Next Article in Journal
Spatial and Temporal Variation Characteristics of Vegetation Cover in the Tarim River Basin, China, and Analysis of the Driving Factors
Previous Article in Journal
A Method for Estimating Tree Growth Potential with Back Propagation Neural Network
 
 
Font Type:
Arial Georgia Verdana
Font Size:
Aa Aa Aa
Line Spacing:
Column Width:
Background:
Article

Approximate Globally Optimal Energy Management Strategy for Fuel Cell Hybrid Mining Trucks Based on Rule-Interposing Balance Cost Minimization

1
School of Automotive and Traffic Engineering, Jiangsu University, Zhenjiang 212013, China
2
FAW Jiefang Marketing Headquarters Qingdao Medium and Heavy-Duty Vehicle Sales Company, FAW Jiefang Automotive Co., Wuxi 214000, China
*
Author to whom correspondence should be addressed.
Sustainability 2025, 17(4), 1412; https://doi.org/10.3390/su17041412
Submission received: 10 January 2025 / Revised: 5 February 2025 / Accepted: 6 February 2025 / Published: 9 February 2025

Abstract

Fuel cell hybrid vehicles offer significant potential in heavy-duty transportation due to their high efficiency, extended range, and zero emissions, making them a key enabler of sustainable transportation. To enhance the energy consumption economy and lifecycle economy of fuel cell hybrid mining trucks (FCHMTs) while reducing total operating costs and promoting environmental sustainability, this paper proposes an approximate globally optimal energy management strategy (EMS) based on a rule-interposing balance cost minimization strategy (AGO-BCMS). First, an FCHMT power system model is established, including degradation models for the fuel cell and battery. Then, the global optimality of dynamic programming (DP) is utilized to extract the fuel cell output characteristics under different battery states and vehicle power demands. Subsequently, optimal rules are designed and embedded into the cost minimization optimization model to plan the fuel cell output range under actual driving conditions. Simultaneously, dynamic threshold updates are performed based on vehicle driving condition phase recognition. Finally, energy distribution optimization is calculated using sequential quadratic programming (SQP). This strategy not only improves the economic viability of FCHMTs but also contributes to the broader goals of advancing sustainable transportation solutions. The proposed strategy was validated under both single round-trip and continuous operational conditions. Simulation results show that, under single round-trip conditions, the proposed strategy reduces the total operational cost by 3.13%, 4.09%, and 10.90% compared to balance cost-minimization strategies (BCMS), equivalent consumption minimization strategy (ECMS), and rule-based strategies, respectively. Under continuous operational conditions, the total cost is reduced by 3.61%, 6.63%, and 15.90%, respectively.

1. Introduction

The mining industry accounts for 2.7% of global industrial energy consumption reportedly [1], with transportation activities contributing to nearly one-third of the energy utilized in mining operations [2]. Recently, energy and emission concerns associated with mineral extraction have garnered increased attention, driving the need for more sustainable solutions and leading to the rapid proliferation of hybrid electric vehicles within the mining transportation sector. However, the principal fuels employed in hybrid powertrains remain fossil-based [3], indicating that hybrid electric vehicles have yet to transcend their reliance on fossil fuels and fully align with sustainability goals. With advancements in battery technology, pure electric drive systems have thrived in passenger vehicles because of their high efficiency and zero emissions, offering a pathway toward sustainable transportation. Nonetheless, current battery energy storage systems struggle to meet range requirements for most heavy-duty, long-distance commercial transportation applications, such as mining and large commercial freight trucks, highlighting the need for innovative, sustainable energy solutions in these sectors to achieve sustainable transportation goals.
Consequently, fuel cell hybrid systems, which leverage clean energy, are rapidly advancing in the heavy-duty transportation sector. By replacing internal combustion engines with fuel cell systems, these vehicles offer significant advantages, including zero emissions, high energy efficiency, rapid refueling, and long driving ranges, positioning them as a sustainable and practical solution for modern transportation needs. However, the investment cost and service life of proton exchange membrane fuel cell (PEMFC) hybrid systems continue to hinder their widespread adoption and commercialization [4]. First, the high production costs of hydrogen fuel in the initial stages contribute significantly to increased operational expenses. Second, the manufacturing costs of fuel cell power systems remain prohibitively high, often accounting for over 50% of the total vehicle cost [5]. Additionally, improper load management can accelerate the degradation of the system’s lifespan. By exploring energy storage system architectures and energy management strategies (EMSs), fuel cell hybrid mining trucks (FCHMTs) can optimize fuel cell hybrid systems operation, enhance energy efficiency and lifespan, and increase vehicle performance [6].
Given the inherent complexity of the fuel cell hybrid electric vehicle (FCHEV) drivetrain [7], particularly in heavy-duty applications, recent research has increasingly focused on developing advanced energy management strategies (EMSs) tailored specifically for these systems. These strategies aim to overcome the limitations of traditional control methods in the complex and dynamic environments of heavy-duty vehicles by leveraging multidimensional power distribution, predictive control, and state monitoring. They not only focus on optimizing hydrogen consumption and battery degradation but also enhance system responsiveness and stability through the integration of real-time adjustments and prediction mechanisms, leading to significant progress in reducing operating costs and improving system reliability for heavy-duty vehicles [8,9,10,11].
In fact, a variety of energy management strategies have been proposed to optimize the performance of fuel cell hybrid electric vehicle energy systems, with these strategies primarily categorized into rule-based methods and optimization-based methods. Rule-based energy management approaches rely on pre-established empirical rules, offering the advantages of straightforward design and rapid computation. Typical rule-based strategies include the power-follow strategy (PFS) and the thermostat strategy (THS) [12,13,14]. The core control strategy of power-following involves supplying the required power primarily through the fuel cell system, with any shortfall being compensated by the battery. However, this approach necessitates that the output power of the fuel cell closely tracks the power demand of the bus, which can lead to operation under unfavorable conditions such as dynamic loads, low loads, or idle states. These conditions may result in significant power fluctuations, which can negatively impact the durability of the fuel cell system [15]. The THS-based energy management strategy keeps the fuel cell output power at a constant power level [16]. In this scenario, determining the constant power point relies on expert judgment. The optimal constant power point is contingent on the operating conditions. However, control rules typically remain static, resulting in a suboptimal vehicle economy for thermostat-based strategies. In order to investigate the capabilities of a rule-based energy management approach, Gharibeh et al. [17] proposed a two-layer online strategy for fuel cell electric vehicles (FCEVs). This strategy combines operating mode regulation, state machine control, equivalent consumption minimization, and dynamic power factor techniques to optimize the distribution of power within the energy storage system. Xu Y et al. [18] presented a rule-based energy management approach for electric vehicles, enhancing their energy efficiency by utilizing a multi-island genetic algorithm. Nevertheless, this design has limited adaptability to varying operating conditions.
The optimization-based approach abstracts the energy management strategy into an optimization problem, and the optimization goal is usually to minimize energy consumption or the degradation cost of fuel cells and batteries [19]. These optimization-based methods can be further classified into global and real-time optimization. Dynamic programming (DP) serves as a global optimization solver, offering a globally optimal solution when operating conditions are known [20,21]. DP decomposes the decision-making process into multiple phases, identifying optimal solutions by resolving numerous subproblems. It generates a series of optimal solutions by running recursively from the terminal state to the initial state, which are the global optimal solutions for each subproblem [22]. However, owing to the challenges of acquiring unknown working conditions and their computational intensity, DP is difficult to implement in real-time applications and is generally used as a reference point for comparing other energy management strategies (EMSs) [23]. In contrast, real-time optimization strategies offer suboptimal power allocation solutions, shouldering only the burden of online computation [24]. Gao et al. [25] introduced an online adaptive equivalent consumption minimization strategy (AECMS) for hybrid fuel cell systems to overcome the limitations associated with the need for prior knowledge and the poor adaptability of existing energy management algorithms. Saman et al. [26]. proposed an energy management strategy based on fuzzy logic control, which was optimized by adjusting the parameters by a genetic algorithm (GA). Zhao et al. [27]. proposed an AECMS by integrating current road class information into energy management considerations, yielding favorable performance in terms of fuel economy and emissions. However, the development of accurate mathematical models is a prerequisite for achieving better solutions with these instantaneous optimization algorithms.
The combination of rule-based and optimization-based approaches has great potential in enhancing the control objectives of the energy system of fuel cell hybrid vehicles. Song et al. [28]. analyzed the correlation between various operating conditions and the integrated optimization of hybrid energy storage systems, deriving optimal control sequences from DP results and proposing an energy management strategy that approximates an optimal solution. Liu et al. [29]. extracted three-stage control rules from DP based on three distinct load conditions and subsequently developed an EMS predicated on load-adaptive rules. Du et al. [30]. extracted optimal control sequences for required power and fuel cell power using offline DP, employing established relational equations to formulate a rule-based strategy. Wu et al. [31] integrated rules as constraints within a cost optimization model, proposing an EMS that synergizes rule-based strategies with optimization frameworks. Hou et al. [32]. proposed a rule-based EMS by analyzing DP-derived results to extract rules, embedding them into a fuzzy controller capable of real-time operation; simulations confirmed the strategy’s proximity to global optimality across various operating conditions. Nonetheless, the majority of current EMSs that integrate rules with optimization remain predominantly rule-based. Although these rules are derived from DP, their stability and optimality across diverse operational conditions warrant further investigation.
In summary, rule-based strategies, although simple, rely heavily on expert experience. Instantaneous optimization strategies and global optimization strategies, on the other hand, face issues such as susceptibility to local optima and challenges in practical application, respectively. The integration of multiple methods presents a promising development direction. To reduce the operational costs of FCHMT systems and improve economic efficiency, this study proposes an approximate globally optimal energy management algorithm based on a rule-inserted balanced cost minimization strategy. The proposed method comprises an offline optimization strategy and an online real-time optimization strategy. The offline optimization strategy extracts optimal rules from the results of a DP-based global optimization strategy, eliminating dependence on expert experience while providing a globally optimal reference. The online strategy aims to minimize the total cost, which includes hydrogen consumption costs, fuel cell degradation costs, and battery degradation costs. By embedding the rules extracted during offline optimization into the instantaneous optimization model, an energy management control strategy is designed.
Through the combination of these methods, the fuel cell’s power is constrained within an optimized operating range. The proposed strategy achieves a certain degree of global optimality while maintaining instantaneous optimality, thereby avoiding reliance on expert experience and addressing the limitations of local optima. The main contributions of this paper are summarized as follows:
  • The total operating cost of a fuel cell hybrid mining truck is adopted as the control objective of the EMS. To address the limitations of current methods, a multi-objective function is developed to balance multiple optimization goals through cost considerations, which is then integrated with dynamic programming (DP)-based global optimization. This approach designs an EMS characterized by near-global optimal control, effectively balancing the economic performance and durability of the power source, thereby improving overall economic efficiency.
  • To combine rule-based and optimization-based methods, the output patterns of the DP-based EMS are analyzed, and a method is proposed to extract rules from the DP solution and embed them into an instantaneous optimization model. This approach not only retains the advantages of global optimization but also enhances the applicability of real-time control.
  • The proposed AGO-BCMS-based EMS is validated through simulations under typical mining conditions, including unloaded downhill and fully loaded uphill operations. Compared with DP-based, ECMS-based, and rule-based energy management systems, the proposed strategy demonstrates superior performance in comprehensive operating cost control.
This article is organized as follows: In Section 2, the powertrain of the FCHMT is introduced and modeled. The proposed energy management strategy integrates the global optimal interval constraint rules based on DP into the balanced cost minimization optimization model, as detailed in Section 3. In Section 4, a comparative of the performance of different energy management strategies is presented in Section 4. The conclusions are summarized in Section 5.

2. System Description and Modeling

This section is dedicated to modeling the powertrain components of a fuel cell hybrid mining truck. Initially, the powertrain configuration of the hybrid mining truck under study is introduced. Next, the models for essential powertrain components, including the PEMFC system, electric motor, and battery, are examined.

2.1. FCHMT Powertrain Description

The powertrain includes a fuel tank, dual-stack fuel cell system (D-FCS), DC/DC converter, DC/AC inverter, battery, drive motor, and drive axle. Each output of the fuel cell system in the D-FCS is connected to an individual DC/DC converter, which regulates the current on the DC bus. The battery is linked to the DC bus through a bidirectional DC/DC converter, enabling operation in driving, charging, and regenerative braking modes. Figure 1 shows the powertrain configuration of the FCHMT analyzed in this study. The parameters of the FCHMT components are provided in Table 1.

2.2. PEMFC Model

In the FCHMT, the D-FCS primarily supplies power. The D-FCS consists of two identical proton exchange membrane fuel cell (PEMFC) stacks, each with a power rating of 150 kW. The fuel cell system (FCS) mainly includes a hydrogen supply system, an air compressor, a cooling circuit, a supply manifold, and a return manifold [33,34]. This paper focuses on the performance of proposed EMS, necessitating a simplified fuel cell model. Empirical and mathematical models, including fuel cell power performance, energy efficiency, fuel consumption, and performance degradation, were employed to develop the FCS model. The total power supplied by the D-FCS was calculated thus:
P FC = 2 P fc
where P FC is the total output power of the D-FCS, and Pfc is the net output power of each FCS. The efficiency of the FCS depends on its output power. Figure 2 illustrates the relationship between the efficiency of a single FCS and its output power. The FCS operates most efficiently within the power range of [25 kW, 125 kW]. The FCS fuel consumption can be calculated from the fuel cell system efficiency curve [35].
m fc = 1 ρ fc 0 t P fc t η fc η DCDC d t
where ρ fc is the low calorific value of hydrogen (120 MJ/kg). η fc is the FCS efficiency, and m fc is the hydrogen fuel consumption.
As the major power source of FCHMTs, the degradation cost of the FCS cannot be ignored. The performance degradation model of the FCS accounts for four typical operating conditions: start–stop, idling, load change, and high power load. Each operating condition’s voltage recession in the FCS is modeled with distinct recession rates, which are calibrated by experimental data. The voltage degradation rates vary across operating conditions, as detailed in Table 2 [36]. The cyclical start–stop condition contributes to a significant negative impact on the life span of the PEMFC system, especially in FCHMT applications; hence, it is reasonable to maintain the PEMFC system under operating condition as far as possible.
When the PEMFC system’s output power falls below 20% of its nominal power, the FCS is considered to be in a low-power or idling condition. When the output power surpasses 80% of its rated capacity, the FCS is considered to be operating under a high-power load condition. In particular, if the PEMFC system shifts from an idle state to a high-power output within a 2-s interval, it is identified as being in a variable load state [35]. The above degradation factors are typically assumed to be independent; therefore, their collective impact can be ascribed to the overall voltage degradation. Consequently, the voltage loss of the FCS can be expressed thus [34]:
U fcloss = δ ss n + δ idle t 1 + δ chg t 2 + δ high t 3
where δ ss is the voltage degradation rate per start–stop cycle; δ idle is the hourly voltage degradation rate of the FCS under a low load; δ high is a high load, and δ chg is per second under a variable load; n is the number of times the FCS starts and stops and where t1, t2, and t3 are the times at which the FCS is in idle power, the time it is in variable load condition, and the time it is in high power load, respectively. This model is an empirical model designed for the rapid assessment of lifetime degradation in fuel cell systems.

2.3. Motor Model

The drive motor of the FCHMT in this paper has a peak power of 600 kW, a maximum torque of 2500 Nm, and a top speed of 4500 r/min. The efficiency η m of the motor can be represented as a function of the torque T m and speed ω m . Figure 3 shows the relationship between motor efficiency and torque and speed.
η m = f T m , ω m
The motor operates in two distinct modes: drive and power generation. In drive mode, the motor transforms electrical energy from the battery into mechanical energy at the output shaft. Conversely, in generator mode, the motor transforms mechanical power into electrical power to recharge the battery. Consequently, the motor power P m can be represented thus:
P m = T m ω m / η m   T m 0 T m ω m η m T m < 0

2.4. Battery Model

The use of lithium ion batteries as an auxiliary power source for FCHMTs not only supplements the vehicle’s peak power demand and mitigates fuel cell power fluctuations but also aids in braking energy recovery, thereby increasing the fuel cell system efficiency and extending its service life. This study uses the commonly applied equivalent internal resistance (Rint) battery model, depicted in Figure 4. The battery is represented by an equivalent circuit model, which includes an ideal voltage source and an equivalent series resistance. The electrochemical power and power loss of the battery are defined as follows:
P bat = U L I bat = U ocv I bat R bat I bat P ech = U ocv I bat P loss = I bat 2 R bat
where P bat , P ech , and P loss are the controllable power output from the battery storage system, the electrochemical battery power (or the ideal voltage source power), and the power loss within the battery system, respectively. UL and U ocv are the battery output voltage and open-circuit voltage, respectively. I bat is the battery system output current, which is positive during discharging and negative during charging. R bat is the battery’s internal resistance. The variation curves of the battery internal resistance and open-circuit voltage with respect to the SOC are illustrated in Figure 5. Consequently, the battery current can be calculated thus:
I bat = U ocv U ocv 2 4 R bat P bat 2 R bat
The SOC dynamics can be delineated thus:
S O C = S O C ini 0 t I bat ( t ) d t E bat
where S O C ini is the initial SOC the battery and E bat is the battery capacity.
When the FCS charges the battery pack with a specific power, the equivalent hydrogen consumption m bat resulting from the battery charging process can be expressed as
m bat = 1 ρ fc 0 t P bat ( t ) η fc η DCDC d t
where P bat is the battery charging power and η dcdc is the efficiency of the DC/DC converter.
As a supplementary power source, the battery must be regularly charged and discharged during FCHMT operation to compensate for the fuel cell’s limited variable load capacity. In this process, battery performance degrades with irreversible physical and electrochemical reactions. A major factor in battery aging is the decline in its nominal capacity. This study utilizes a semi-empirical lifespan model, initially introduced by Wang et al. [37] and subsequently validated by Song et al. [38]. The capacity degradation of the battery is characterized by the following equation:
L loss = A exp E a + B C rate R T bat A h z
where L loss is the battery capacity loss, A is the empirical coefficient, E a is the activation energy (J), R is the gas constant, J/(mol/K), T bat is the absolute temperature of the battery (K), A h is the ampere–hour flux, C rate is the discharge multiplier, and B is the compensation factor. The discharge multiplier is defined as the ratio of the battery discharge current to its rated capacity. Considering increasingly mature battery thermal management technology, this paper assumes a constant battery temperature of 25 °C. All the parameters are detailed in Table 3 [39].
A 20% loss of the battery capacity is considered the boundary for permissible capacity loss [40]. According to Equation (10), the permissible ampere–hour throughput A h allow is characterized thus:
A h allow = 0.2 / A exp E a + B C rate R T bat z

2.5. Longitudinal Vehicle Dynamic Model

The total mass of a fuel cell hybrid mining truck comprises the vehicle mass and payload mass. During the actual driving process, the vehicle is affected by various traction forces. This paper only considers longitudinal vehicle dynamics. A quasi-static longitudinal vehicle dynamics model based on Newton’s second law is established. The traction force of the entire vehicle is provided by the drive motor, and the longitudinal vehicle dynamic model is expressed thus:
T m i 0 η whr r = m g f c o s β + C D A aero 21.15 v 2 + m g s i n β + δ m d v d t  
where T m , i 0 , η whr , and r are the motor output torque, speed ratio of the gearbox, efficiency of the gearbox, and tire radius, respectively. f , m , C D , A aero , v , β , and δ are the rolling resistance coefficient, total truck mass, air resistance coefficient, windward area, vehicle speed, slope, and rotating mass conversion factor, respectively.
Therefore, the total driving power P trac can be calculated as follows:
P trac = v m g f cos β + C D A aero 21.15 v 2 + m g sin β + δ m d v d t
P d is achieved by the energy generation and storage system by the following overall power balance equation:
P d = P trac η DCDC η DCAC η m η whr
where η DCAC is the efficiency of the DC/AC converter.

3. Real-Time Energy Management Strategy

Equivalent consumption minimization strategy typically focuses solely on optimizing instantaneous equivalent energy consumption. However, due to the durability concerns and significant capital costs of FCHMT, a balance–cost minimization strategy that considers the operational costs, including PEMFC degradation costs, battery degradation costs, and hydrogen fuel costs, shows greater potential for development. Nevertheless, strategies aimed at minimizing instantaneous operational costs often suffer from local optima. To further improve global performance, a rule-interposing balance cost minimization energy management strategy based on approximate global optimization control is proposed. Rule-interposing refers to the process of inserting and adjusting rules within the optimization procedure, thereby modifying the output range of the real-time optimization strategy. Since these rules are derived from the solutions obtained through a global optimization algorithm, they enable the real-time optimization strategy to exhibit some characteristics of global optimization to a certain extent. The workflow of the proposed strategy is shown in Figure 6, which is divided into two phases: offline optimization and online application. During the offline phase, dynamic programming (DP) is used to construct an optimal rule-based control sequence library under given driving conditions and state of charge (SOC) variables. The characteristics of fuel cell output power during uphill and downhill driving are analyzed, and an optimal rule extraction scheme is designed. To achieve an approximately global optimal balanced cost minimization strategy, the DP solution is utilized to extract the optimal control rules for fuel cell output power. The extracted rules are embedded into the constraints of the balanced cost minimization model. Due to the non-causal nature of the DP algorithm, the extracted rules represent the relationships between the fuel cell output power range, the power demand range, and the SOC range. This facilitates their integration into the balanced cost minimization strategy model. In the online phase, a balanced cost minimization strategy is designed. First, the current driving condition is identified based on the vehicle’s load and road gradient. Then, the optimal rules corresponding to the identified driving condition are applied. By constraining the output power of the fuel cell to different ranges based on varying conditions, approximate global optimization can be achieved on the basis of instantaneous optimization. Finally, the optimal energy allocation is realized using the sequential quadratic programming (SQP) algorithm.
Since the FCHMT in this paper utilizes a D-FCS, this section assumes the behavior of the sub-stacks in the D-FCS is the same in the ideal case.

3.1. DP-Based Global Optimal Rule Database Establishment

3.1.1. DP Design

Dynamic programming (DP) is an optimization technique used to solve multi-stage decision problems. The core concept involves decomposing a complex global optimization problem into smaller subproblems, solving them recursively, and storing the solutions at each stage to ultimately obtain the optimal solution for the entire problem. In the application of dynamic programming to energy management in hybrid electric vehicles, the process begins by initializing the system state and constraints, and setting the optimization objective. The system then proceeds with iterative time-step decisions, where the optimal power distribution strategy is chosen at each step based on the current state and load demand. The optimal solution at each decision stage is computed using the Bellman equation, which updates the system state and proceeds to the next time step. This iterative process continues until the termination conditions are met, ultimately yielding the globally optimized energy management strategy. The processing flow of the DP algorithm is shown in Figure 7.
SOC is selected as the state variable of DP. P FC is selected as the control variable. It is affected by the following factors:
P m = η DCDC η DCAC ( P FC + P bat )
This study focuses on multiple optimization objectives to enhance the overall energy efficiency of FCHMT. However, the degradation rates of fuel cells and batteries differ during operation. The weights of different optimization objectives require further consideration to achieve the lowest total operational cost. Consequently, the construction of the multi-objective optimization function incorporates both energy and health aspects, including hydrogen consumption, fuel cell degradation, and battery degradation. The cost of hydrogen fuel consumption can be calculated as follows:
Q H = 2 C H m fc
where C H is the price of hydrogen fuel 29 CNY/kg.
From Equation (3), the voltage degradation of the fuel cell can be determined. The allowable voltage degradation of the FCS can be defined as 10% of the nominal voltage [34]. Based on the ratio of the real-time voltage degradation to the allowable voltage degradation, the current degradation percentage can be obtained. Therefore, the degradation cost can be calculated as follows:
Q FC = 2 C fc P rated U fcloss Δ U
where Q FC is the cost of the D-FCS at each moment in time. C fc is the manufacturing cost of the FCS per unit power, 665 CNY/kW [41]. P rated is the rated power of each FCS, 150 kW. Δ U is the amount of allowed FCS voltage degradation.
Similarly, from Equation (11), the allowable ampere–hour throughput of the battery can be determined. The battery degradation cost can then be calculated as follows:
Q bat = C bat E rate A h A h allow
where C bat is the unit energy cost of the battery pack, 1087 CNY/kWh [42]. E rate is the nominal energy capacity of the battery, kWh. Consequently, the overall operating cost of the FCHMT can be represented thus:
V cost = Q H + Q FC + Q bat
On this basis, the objective function is as follows:
min   J DP ( k ) = min k = 1 T V cost ( k ) Δ t = min k = 1 T Q H ( k ) + Q FC ( k ) + Q bat ( k ) Δ t
where T represents time, specifically the moment marking the end of a complete driving cycle; Δ t is the sampling period.
According to Equation (8), the state transfer equation can be expressed thus:
S O C k + 1 = S O C k U OCV k U OCV ( k ) 2 4 R k P bat k 2 R k E bat
To ensure the minimization of total costs and achieving the desired final SOC value, the following constraints are considered:
P FC , min P FC k P FC , max P bat , min P bat k P bat , max Δ P bat Δ P bat , max Δ P FC Δ P FC , max S O C min S O C k S O C max S O C end = S O C tar
where Δ P bat and Δ P FC are the battery and fuel cell power changes per unit time, respectively. P bat , min and P FC , min are the minimum battery and fuel cell powers, respectively.
Since frequent start–stop conditions can severely degrade the lifespan of the fuel cell, it is reasonable to set a minimum power limit for the fuel cell. In this paper, the minimum power point is set to 12.5 kW. P bat , max and P FC , max are the minimum battery and fuel cell powers, respectively. Δ P bat , max and Δ P FC , max are the maximum battery and fuel cell power changes per unit time, respectively. S O C end is the final value of the SOC, and S O C tar is the target SOC value.
To explore the optimal energy allocation law of the FCHMT under varying power demands and SOC states, the DP algorithm is employed to solve the optimal energy allocation sequence. Different initial SOC values, S O C i = [0.3, 0.4, 0.5, 0.6, 0.7], are used as variables, with the target SOC set to 0.5. Figure 8a illustrates the speed trajectory and gradient under typical driving conditions of a mining truck [43]. Figure 8b–f illustrates the optimal DP-based fuel cell power output results under different initial SOC.

3.1.2. Rules Design Based on the Data

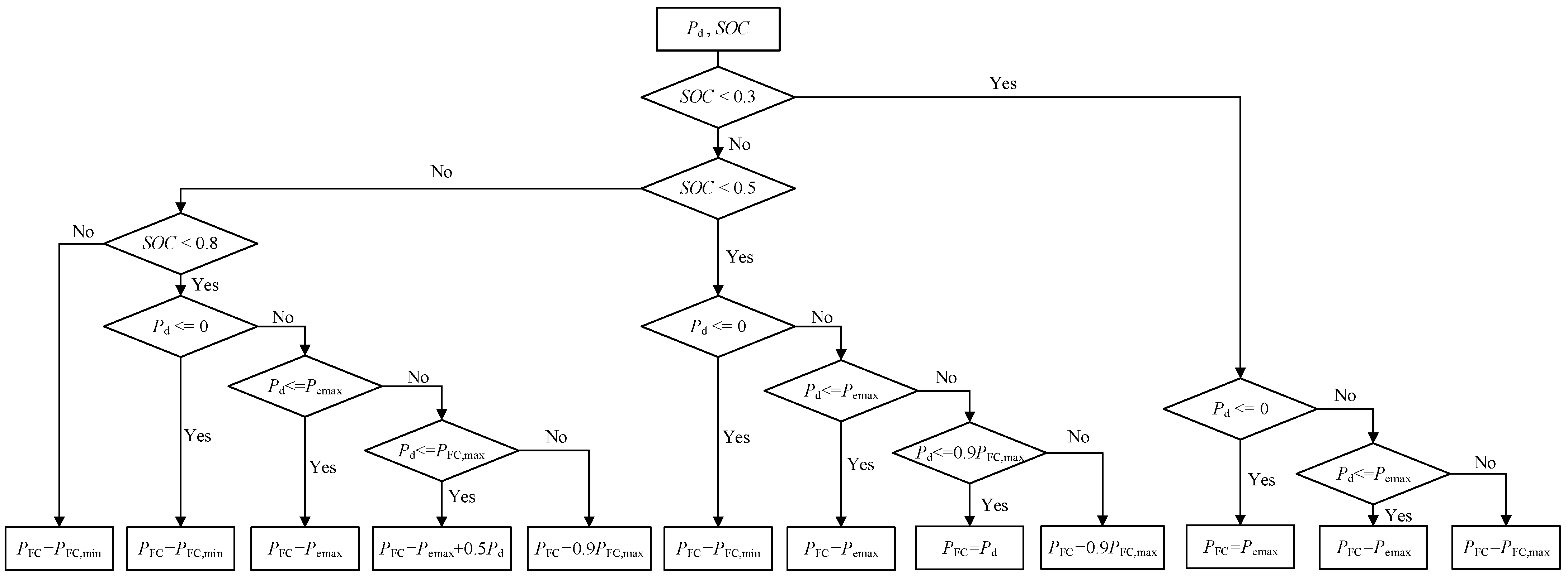
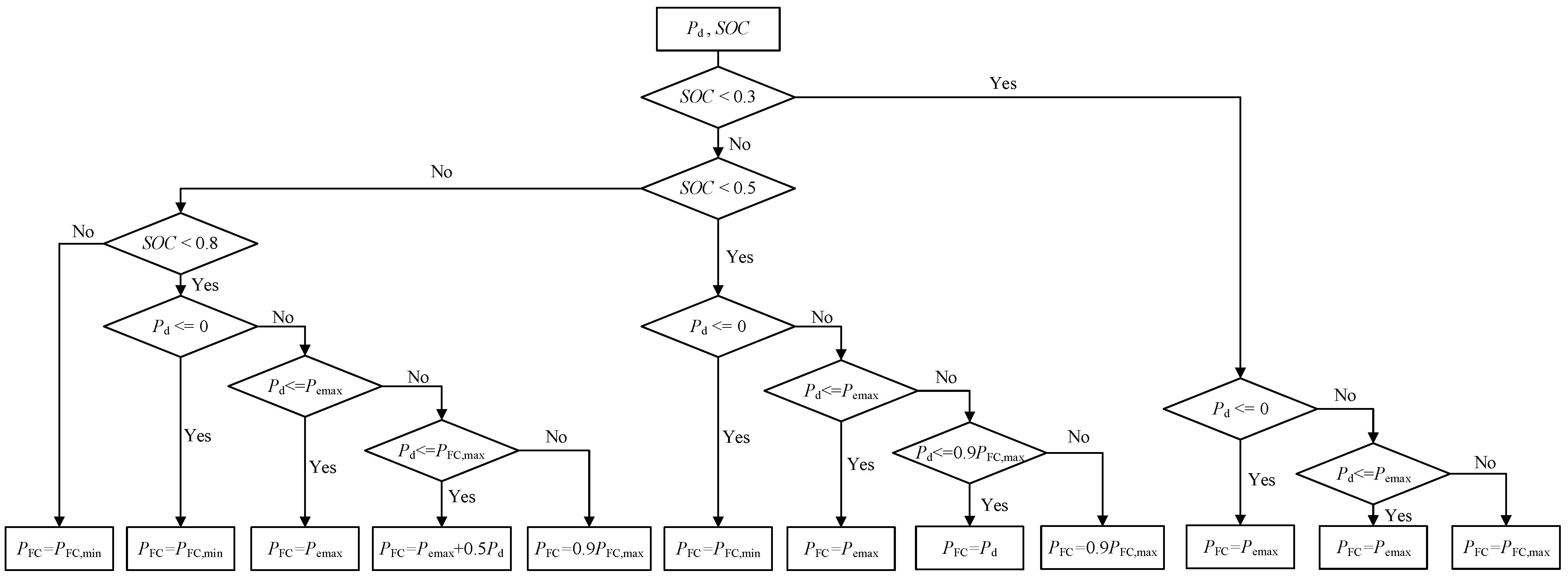
In this section, we develop a rule design methodology based on the dynamic programming (DP) algorithm described in Section 3.1.1. Initially, we analyze the outcomes of the DP solution and identify the non-causality of the DP algorithm as a challenge in rule formulation. We address this challenge by abstracting the rules into interval-to-interval relationships.
Figure 9 illustrates the scatter distribution of the D-FCS output power across different initial SOC values. The red scatter points depict the relationship between the D-FCS output power and the required power, while the green scatter points reflect the relationship between the D-FCS output power and the SOC. The scatter points on the Y-Z plane are more concentrated, indicating that rules can be formulated based on the relationship between the total fuel cell output power and the required power. Additionally, the scatter points on the Y-Z plane are segmented into two distinct parts, representing the operational conditions of mining trucks during unloaded downhill and fully loaded uphill stages, which significantly affect power demand.
We also observe that the D-FCS output power based on DP can vary significantly under the same SOC conditions due to different future power demands. This suggests that discrepancies in DP results, even when SOC and power demands are identical at two specific moments, may complicate the extraction of power distribution rules directly. To address this issue, we categorize power and SOC into different intervals and search for the extremities of fuel cell output power within these intervals based on the DP solution outcomes. Where P dr represents the defined power demand interval, Pdr1 = [−300 kW, 0 kW), Pdr2 = [0 kW, 50 kW), Pdr3 = [50 kW, 100 kW), Pdr4 = [100 kW, 150 kW), Pdr5 = [150 kW, 200 kW), Pdr6 = [200 kW, 250 kW), Pdr7 = [250 kW, 300 kW), Pdr8 = [300 kW, 550 kW]. S O C r is the defined interval of the SOC. SOCr1 = [0.3, 0.4), SOCr2 = [0.4, 0.5), SOCr3 = [0.5, 0.6), SOCr4 = [0.6, 0.7).
Then, taking the above variables as the search interval, the minimum and maximum values of the fuel cell output power are searched in the database constructed on the basis of the DP solution results. This process can be expressed thus:
P FCr ,   min = f min S O C r , P dr P FCr ,   max = f max S O C r , P dr
where P FCr ,   min and P FCr ,   max are the minimum and maximum values of the fuel cell output power in the current interval, respectively.
First, all data are categorized according to the specified intervals. The rule design process must ensure a unique relationship between inputs and outputs. However, due to variations in initial SOC and the non-causal nature of the DP algorithm, identical input conditions may yield different output results. Consequently, averages are taken from the diverse outcomes derived from the same input. Then, to generalize the rules, the output power of the fuel cell is segmented into 12 levels: P1 = 12.5 kW, P2 = 25 kW, P3 = 50 kW, P4 = 75 kW, P5 = 100 kW, P6 = 125 kW, P7 = 150 kW, P8 = 175 kW, P9 = 200 kW, P10 = 225 kW, P11 = 250 kW, P12 = 275 kW, and P13 = 300 kW. Finally, the output results are matched to these predefined power levels according to the proximity principle. If a match is exact, it indicates that the output for this input condition is a fixed value rather than an interval. Notably, the fuel cell output power characteristics solved by the DP strategy are significantly different in the no-load downhill phase than in the full-load uphill phase, necessitating separate rule extraction. Therefore, the first constraint rule for the no-load downhill phase is designed thus:
if   S O C r = S O C r 1   and   P dr = P dr 1 ,   then   P FCr = P 1
where P FCr is the fuel cell output power reference interval (in the above special cases, it is a fixed value). This rule implies that the fuel cell output power is maintained at 12.5 kW when the battery SOC is between 0.3 and 0.4 and when the required power is less than 0. By analogy, rules can be systematically extracted and sequentially applied from the data derived from the dynamic programming (DP) solution. It is important to note that the implicit rules within the database may not encompass all scenarios. Therefore, for these uncovered cases, linear extrapolation is employed to formulate rules. The rules derived from optimal theoretical analysis and extraction are presented in Table 4 and Table 5.

3.2. Balanced Cost Minimization Strategy Based Approximate Global Optimization Control

Typically, rule-based strategies limit the power of the FCS to a specific level. To avoid frequent power fluctuations, appropriate power switching conditions must be designed based on expert experience to ensure that the FCS operates at a relatively high efficiency level. When the FCS is off, its lifetime degradation rate is zero, but its lifetime degradation rate may increase during future startups. Hence, the FCS is switched off only when the SOC reaches its upper limit to prevent unnecessary degradation. Furthermore, the output power of the FCS increases to its maximum only when the SOC falls to the lower bound. In contrast, the strategy based on instantaneous optimization seeks to minimize the incremental operating cost at each time step. The ECMS method formulates an instantaneous minimization problem with the objective of equivalent consumption reduction. Assuming a time step of 1 s, the optimization objective function of the ECMS method can be expressed thus:
  J ECMS = m FC + m bat = m FC + λ P bat
where m FC is the total hydrogen fuel consumption; m bat is the battery equivalent fuel consumption that is measured by the used battery power; λ is the equivalent factor to convert the battery power into the equivalent fuel consumption. Battery usage should be minimized when the SOC is close to the allowable lower limit, whereas battery usage should be maximized when the SOC is near the upper limit. To keep the battery SOC within the desired range, a penalty function is applied to constrain it to the design limits.
  J ECMS = m FC + K λ P bat
where K is the penalty function of battery SOC.
K = 1 S O C S O C t S O C max S O C min / 2 ,   S O C min S O C S O C max 1 S O C S O C t S O C max S O C min / 2 3 ,   S O C > S O C max , S O C < S O C min
Unlike ECMS, BCMS considers the operating cost composed of FCS degradation cost, battery degradation cost, hydrogen fuel cost, and battery equivalent hydrogen consumption cost. To minimize the comprehensive operating cost of FCHMT, assuming a time step of 1 s, the total operating cost increment at each time step is expressed thus:
  J BCMS = Q H ( t ) + Q FC ( t ) + Q bat ( t ) + Q H , eq ( t )
where Q H , eq is battery equivalent hydrogen fuel consumption cost.
Q H , eq = C H K λ P bat
Combining Equations (1)–(18) and (26)–(29), the BCMS is thus formulated as an instantaneous cost minimization problem. To realize the balanced cost minimization strategy of approximate global optimal control, the approximate global optimal rules based on DP extracted in Section 3.1.2 are integrated with BCMS. Firstly, considering that vehicle mass and slope estimation have been well developed [44,45], it is assumed that the no-load downhill and the full-load uphill stages of the mining truck operating conditions can be accurately identified. Specifically, the vehicle’s uphill and downhill states are identified through global positioning system (GPS) or inertial measurement unit (IMU) sensors by monitoring the longitudinal acceleration. When the longitudinal acceleration is positive and the vehicle speed decreases, it is interpreted as an uphill state. Conversely, when the longitudinal acceleration is negative and the vehicle speed increases, it is interpreted as a downhill state. The vehicle’s load state is determined using onboard weighing sensors. Since only the empty and full load conditions are considered in this study, the vehicle is classified as fully loaded when the weighing sensor detects a load equal to or greater than the vehicle’s maximum capacity of 60,000 kg; otherwise, it is classified as empty. By integrating these two sets of information, the system determines the vehicle’s operating condition and switches between two sets of pre-extracted rules based on the corresponding state. Subsequently, as shown in Equation (29), the corresponding optimal reference power interval is obtained based on the SOC and the required power lookup table. Finally, the instantaneous optimization model searches for the optimal output power of the D-FCS from the optimal reference power interval.
P FCr n = f n S O C r , P dr
where n = 1 and 2 are the no-load downhill and full-load uphill stages, respectively. By incorporating Equation (29) into the constraints of the optimization model. The BCMS can be expressed by the following optimization model:
min   J BCMS = min ( Q H ( t ) + Q FC ( t ) + Q bat ( t ) + Q H , eq ( t ) ) subject   to : P d = P FC + P bat if   0.3 S O C 0.7 ,   then   P FC P FCr n if   S O C < 0.3   or   S O C > 0.7 , then   P FC , min P FC P FC , max P bat , min P bat P bat , max Δ P bat Δ P bat , max Δ P FC Δ P FC , max S O C min S O C S O C max
For D-FCSs, which are considered as a whole, the required power is equally distributed among the sub-stacks. The optimization problem is solved by the sequential quadratic programming (SQP) algorithm, which meets the requirements of real-time control. Call this strategy the approximate global optimal energy management strategy based on rule-interposing balance cost minimization (AGO-BCMS).

4. Results and Discussion

To assess the effectiveness and economic viability of the proposed energy management strategy (EMS), this section evaluates its optimality, overall performance, and total operating cost in comparison to other strategies, such as dynamic programming (DP). The proposed EMS is compared with DP-based EMS, equivalent consumption minimization strategy (ECMS), and rule-based strategy in terms of hydrogen consumption, degradation cost, and total operating cost. The DP-based and ECMS-based EMSs are detailed in Section 3, while the rule-based EMS process is depicted in Figure 10.
It should be noted that this study employs simplified fuel cell and battery models in the simulation process to facilitate analysis and optimization. Due to considerations of computational complexity, factors such as temperature fluctuations, aging effects, and other environmental influences have not been incorporated, although these factors could have a significant impact on system performance in real-world applications. Furthermore, the simulation assumes relatively ideal operational conditions for the vehicle, disregarding uncertainties such as the diversity of driver behavior, which may result in discrepancies between the simulation outcomes and actual performance. Additionally, it is assumed that the vehicle’s mass is ideal for both empty and full load conditions, without considering the impact of the loading and unloading processes.

4.1. Validation of the Optimality of the AGO-BCMS Strategy

Comparative verification of the optimality correlation between AGO-BCMS and DP strategies is shown in Figure 11. Figure 11a shows the velocity trajectories and slope of operating condition 1. During the no-load downhill phase (0–1480 s), the proposed strategy effectively controls SOC, maintaining basic consistency with DP. In the full-load uphill phase (1485–3038 s), there are some differences between the proposed strategy and DP results, but overall, the SOC state change trends are similar. This demonstrates that the real-time solution of the cost function in the AGO-BCMS algorithm, combined with approximate global optimal rule constraints, can effectively control fuel cell output, achieving the desired vehicle state.
The output power of fuel cell and battery is shown in Figure 11c,d. The proposed strategy shows a high similarity to DP results in the no-load downhill driving phase, but there are some differences in the full-load uphill phase. This is because the strategy estimates the upper and lower limits of fuel cell power within a certain SOC and power demand range, which cannot guarantee an accurate fit to the true global optimal SOC trajectory. However, the proposed strategy shows consistency in overall output power distribution characteristics.
The composition of operating costs for the two strategies is shown in Figure 12. The results of the proposed strategy and the DP strategy are highly consistent. Both strategies have hydrogen fuel costs as the main cost. Although the hydrogen fuel cost of the proposed strategy has a faster increase rate in the full-load uphill driving phase, degradation costs of fuel cell and battery are at similar levels and show similar trends for both strategies. Therefore, in terms of total operating costs, the proposed strategy and DP have high consistency.
In conclusion, while the proposed strategy may not deliver energy distribution actions fully equivalent to those of DP, the approximate global optimal control rule constraints for each driving phase can steer the energy control strategy towards the optimal solution, achieving control objectives for each phase. This results in a level of global optimality comparable to that of DP, thereby demonstrating the effectiveness of the AGO-BCMS strategy.

4.2. Performance Comparison Under Different EMSs

Under the operating condition shown in Figure 11a, the performance comparison of the strategies is illustrated in Figure 13. The SOC trajectories under ECMS, rule-based strategy, AGO-BCMS strategy, and DP all exhibit an initial rise followed by a decline. However, the SOC trajectories under ECMS and rule-based strategy show a higher upward trend during the no-load downhill driving phase, and the final SOC values deviate significantly from the initial values. The proposed strategy and BCMS, in both the first and second halves of this driving condition, show power output distribution characteristics similar to DP, benefiting from the instantaneous balance cost minimization strategy and approximate global optimal rule constraints. Overall, the SOC trajectory of the proposed strategy is the closest to DP.
In comparing the power distribution between the fuel cell and the battery, during the no-load downhill driving interval (0–1485 s), the proposed strategy minimizes operating costs and, constrained by the approximate global optimal rules, mimics the DP distribution actions. This reduces fuel cell output power in this interval compared to other strategies. The proposed strategy primarily relies on the fuel cell to meet the vehicle’s powertrain output requirements, avoiding excessive charging of the battery and preventing unnecessary battery degradation.
Around 2500 s into the driving condition, the fuel cell output power under the proposed strategy shows a decreasing trend compared to the ECMS and BCMS, making it closer to the DP strategy. At the end of the driving condition, the fuel cell output power of the three strategies presents a distribution similar to the proposed strategy. Both the DP and the proposed strategy maintain higher fuel cell power to avoid unnecessary battery degradation. Although the proposed strategy results in higher fuel cell power during the full-load uphill phase, which may lead to higher hydrogen consumption costs, it also reduces battery degradation. By incorporating approximate global optimization rules and considering global optimality based on the instantaneous cost minimization strategy, the proposed strategy avoids the sharp increase in fuel cell output power during the no-load downhill phase and the sharp increase in battery output power during the mid-phase of the full-load uphill driving phase, compared to the ECMS and rule-based strategies. Compared to the BCMS, the proposed strategy effectively suppresses the excessively high output power of the fuel cell during the fully-loaded uphill phase. The global optimality G can be quantified thus:
G = 1 C other C DP C other
where C other express the cost of other strategies, C DP represents the cost of DP strategy.
This paper aims to improve system economy and extend system lifespan by considering both hydrogen consumption cost and power source degradation cost. A comparison of the total operating costs under different strategies is shown in Figure 14, including equivalent hydrogen consumption cost (FC-C + B-C), fuel cell degradation cost (FC-D), and battery degradation cost (B-D). Compared to the rule-based strategy and ECMS strategy, the proposed strategy significantly reduces power source degradation, especially battery degradation cost. Although the equivalent hydrogen consumption cost of the proposed strategy shows some increase compared to the rule-based strategy and ECMS strategy, the battery degradation cost is suppressed. Thus, the proposed strategy has the total operating cost closest to DP. Table 6 provides detailed operating costs under various EMSs.
The proposed strategy suppresses the increase in fuel cell power during the no-load downhill driving phase, reducing battery charging. During the full-load uphill phase, the fuel cell power of the proposed strategy is slightly higher than that of the rule-based strategy and ECMS strategy. Due to lower efficiency in this interval, the proposed strategy generates slightly higher equivalent hydrogen consumption cost, but it remains lower than that of the BCMS. The equivalent hydrogen consumption costs for the proposed strategy, BCMS, ECMS, and rule-based strategy are CNY 144.2460, CNY 150.3339, CNY 140.0555, and CNY 139.5480, respectively. In terms of degradation cost, the proposed strategy reduces high-power load variations in the fuel cell compared to ECMS and rule-based strategies, with a fuel cell degradation cost of CNY 0.2255, second only to the DP strategy’s CNY 0.0877. The fuel cell degradation costs for ECMS and rule-based strategies are CNY 0.4633 and CNY 1.2311, respectively.
From the composition of the total operating cost shown in Figure 14, it is evident that battery degradation cost significantly impacts the total operating cost. Due to the constraint of approximate global optimal rules, the proposed strategy exhibits global optimization characteristics close to DP, considering battery degradation cost globally to ensure balanced optimization of all costs. The battery degradation costs for the proposed strategy and DP are CNY 20.8438 and CNY 20.0115, respectively, while the battery degradation costs for BCMS, ECMS and rule-based strategies are CNY 19.2022, CNY 31.3106 and CNY 44.1090. Compared to ECMS and rule-based strategies, the proposed strategy reduces battery degradation cost by CNY 11.1956 and CNY 23.9940, respectively. This is mainly due to the optimization of multi-objective cost balancing. The proposed strategy exhibits a slightly higher battery degradation cost compared to the BCMS, as it suppresses the output of the fuel cell, leading to increased battery usage.
Although the equivalent hydrogen consumption cost of the AGO-BCMS strategy is approximately CNY 4.2 and CNY 4.7 higher than that of the ECMS and rule-based strategies, respectively, the total operating cost is reduced by CNY 7.3465 and CNY 20.4052 compared to the two. The total operating costs for the proposed strategy and DP are CNY 164.4829 and CNY 155.2849, respectively, with AGO-BCMS achieving 94.41% of the global optimality. Compared to BCMS, ECMS and rule-based strategies, AGO-BCMS achieves 2.96%, 5.06% and 13.47% economic improvement, respectively. Achieving complete global optimality (i.e., 100% optimality) is inherently challenging, especially in dynamic environments, where certain decisions must be made based on current and limited information, rather than processing all possible future scenarios as dynamic programming (DP) does. Therefore, a 5.59% deviation can be considered a reasonable margin of error in real-time optimization, particularly in practical applications. The failure to achieve global optimality may be attributed to several factors: first, real-time optimization is affected by the unpredictability of future power demands, which may lead to certain deviations; second, real-time optimization requires decisions to be made within a limited time frame, preventing it from fully considering future scenarios as the DP strategy does, potentially resulting in errors in instantaneous decisions; finally, the rule-interposing method may introduce slight performance discrepancies under complex operating conditions, especially when the system complexity is high.
The comprehensive driving cost serves as a key indicator for assessing the effectiveness of energy management strategies. In this study, simulations under continuous operational scenarios are performed to investigate the dynamic changes in cost factors associated with the operation of fuel cell hybrid mining trucks. The continuous operational conditions consist of two sets of distinct operational data, alternating in four cycles, as illustrated in the Figure 15.
Figure 16 compares the performance of different strategies under continuous operational conditions. As observed from the SOC curve, the proposed strategy, along with the DP and BCMS strategies, effectively maintains SOC stability and reduces fluctuations. The fuel cell power curves between 1800 s–2600 s and 4800 s–5600 s show that, under varying driving speed profiles, the proposed strategy also suppresses excessive fuel cell power. Compared to BCMS, it improves efficiency and reduces fuel cell degradation, although this may lead to increased battery lifespan degradation.
Figure 17 compares the cost distribution of different strategies under operating condition 2. The results show that, although challenging to implement in practice, the DP-based strategy achieves a more rational cost composition and the lowest total operational cost due to its global optimization advantages. The proposed strategy, by combining optimal rules with cost minimization, also demonstrates favorable performance. BCMS, compared to ECMS and rule-based strategies, incurs higher hydrogen consumption but significantly reduces lithium battery degradation, thereby gaining an advantage in total operational cost. Building upon BCMS, the proposed strategy further optimizes global optimality by incorporating knowledge extracted from the global optimization strategy. At the cost of a slight increase in battery degradation, it reduces hydrogen consumption and achieves better overall operational economy.
Table 7 presents a detailed comparison of the costs for each strategy. The results show that the proposed strategy achieves a better balance of various costs. Although its hydrogen consumption is slightly higher than that of ECMS, the proposed strategy demonstrates superior long-term performance due to its lower overall operational cost. Compared to BCMS, ECMS, and rule-based strategies, the proposed strategy reduces the total operational cost by 3.61% (CNY 27.5229), 6.63% (CNY 52.2628), and 15.9% (CNY 139.5535), respectively, contributing to improved long-term operational economy of the vehicle. In terms of optimality, the proposed strategy achieves 95.05% optimality, which is consistent with the results obtained under single-cycle conditions, indicating that the proposed strategy maintains good performance under continuous cycling conditions.

5. Conclusions

To achieve global optimal economy of FCHMT by leveraging the global optimization capability of DP, an approximate global optimal energy management strategy based on rule-interposing balance cost minimization strategy is proposed. First, a vehicle model and power source models, including degradation models for the fuel cell and battery, are established. Then, to enhance the global optimality of the strategy, a set of global optimal interval constraint rules based on DP is designed to plan the optimal power output range of the fuel cell under different SOC and power demand conditions. On this basis, a new BCMS is designed to balance three optimization objectives: hydrogen consumption, fuel cell degradation, and battery degradation. Hydrogen consumption, fuel cell, and battery degradation are normalized as operating costs to construct a cost minimization problem. Next, the global optimal interval constraint rules based on DP are embedded into the cost minimization optimization model. Finally, the SQP algorithm is combined to solve the real-time optimization of energy distribution in the vehicle power system. The proposed strategy was validated under both single round-trip and continuous operational conditions.
Simulation results show that the proposed strategy can effectively consider the overall economy of the vehicle and ensure the fuel cell’s degradation within the expected range. At the same time, it can minimize battery degradation, balance various operating costs, and achieve 94.41% optimality under single round-trip conditions and 95.05% optimality under continuous operational conditions. The proposed strategy reduces the total operational cost by 3.13%, 4.09%, and 10.90% compared to BCMS, ECMS, and rule-based strategies, respectively, under single round-trip conditions. Under continuous operational conditions, the proposed strategy reduces the total operational cost by 3.61%, 6.63%, and 15.90% compared to BCMS, ECMS, and rule-based strategies, respectively.

Author Contributions

Conceptualization, Y.Q. and Z.L.; methodology, Y.Q. and Z.L.; software, Y.Q.; validation, Y.Q.; formal analysis, G.G.; resources, G.G. and B.W.; investigation, Y.Q.; data curation, Y.Q.; writing—original draft preparation, Y.Q.; writing—review and editing, Y.Q. and Z.L.; visualization, Y.Q.; supervision, G.G.; All authors have read and agreed to the published version of the manuscript.

Funding

This research received no external funding.

Institutional Review Board Statement

Not applicable.

Informed Consent Statement

Not applicable.

Data Availability Statement

The original contributions presented in this study are included in the article. Further inquiries can be directed to the corresponding authors.

Acknowledgments

This work was supported by Jiangsu University. We would like to express our sincere gratitude to Jiangsu University for providing the experimental conditions and platform essential for the successful completion of this research.

Conflicts of Interest

Bo Wang was employed by the FAW Jiefang Automotive Co. The remaining authors declare that the research was conducted in the absence of any commercial or financial relationships that could be construed as a potential conflict of interest.

Abbreviations

The following abbreviations are used in this manuscript:
FCHMTFuel cell hybrid mining trucks
EMSEnergy management strategy
AGO-BCMSApproximate globally optimal energy management strategy based on rule-interposing balance cost minimization strategy
DPDynamic programming
BCMSBalance cost-minimization strategies
ECMSEquivalent consumption minimization strategy
SQPSequential Quadratic Programming
FCHEVfuel cell hybrid electric vehicle
PFSPower-follower strategy
THSThermostat strategy
AECMSAdaptive equivalent consumption minimization strategy
GAGenetic algorithm
PEMFCProton exchange membrane fuel cell
FCSFuel cell system
SOCState of charge

References

  1. Feng, Y.; Liu, Q.; Li, Y.; Yang, J.; Dong, Z. Energy Efficiency and CO2 Emission Comparison of Alternative Powertrain Solutions for Mining Haul Truck Using Integrated Design and Control Optimization. J. Clean. Prod. 2022, 370, 133568. [Google Scholar] [CrossRef]
  2. Bajany, D.M.; Zhang, L.; Xia, X. An Optimization Approach for Shovel Allocation to Minimize Fuel Consumption in Open-Pit Mines: Case of Heterogeneous Fleet of Shovels. IFAC-PapersOnLine 2019, 52, 207–212. [Google Scholar] [CrossRef]
  3. Feng, Y.; Dong, Z. Optimal Energy Management Strategy of fuel-cell Battery Hybrid Electric Mining Truck to Achieve Minimum Lifecycle Operation Costs. Int. J. Energy Res. 2020, 44, 10797–10808. [Google Scholar] [CrossRef]
  4. Lü, X.; Wu, Y.; Lian, J.; Zhang, Y.; Chen, C.; Wang, P.; Meng, L. Energy Management of Hybrid Electric Vehicles: A Review of Energy Optimization of Fuel Cell Hybrid Power System Based on Genetic Algorithm. Energy Convers. Manag. 2020, 205, 112474. [Google Scholar] [CrossRef]
  5. Liu, X.; Diallo, D.; Marchand, C. Design Methodology of Hybrid Electric Vehicle Energy Sources: Application to Fuel Cell Vehicles. Int. J. Automot. Technol. 2011, 12, 433–441. [Google Scholar] [CrossRef]
  6. Tang, X.; Shi, L.; Zhang, Y.; Li, B.; Xu, S.; Song, Z. Degradation Adaptive Energy Management Strategy for FCHEV Based on the Rule-DDPG Method: Tailored to the Current SOH of the Powertrain. IEEE Trans. Transp. Electrific. 2024, 11, 993–1003. [Google Scholar] [CrossRef]
  7. Rudolf, T.; Schurmann, T.; Schwab, S.; Hohmann, S. Toward Holistic Energy Management Strategies for Fuel Cell Hybrid Electric Vehicles in Heavy-Duty Applications. Proc. IEEE 2021, 109, 1094–1114. [Google Scholar] [CrossRef]
  8. Zhou, Y.; Yang, F.; Guo, Y.; Chen, B.; Jiang, W.; Ma, R.; Gao, F. Adaptive Energy Management for Fuel Cell Heavy Trucks Based on Wavelet Neural Network Speed Predictor and Real-Time Weight Distribution. IEEE Trans. Transp. Electrif. 2024, 11, 5069–5083. [Google Scholar] [CrossRef]
  9. Zhou, J.; Zhou, H.; Wang, C.; Zhao, W. Multi-Objective Energy Management Strategy for a Dual-Stack Fuel Cell Heavy-Duty Truck via Deep Reinforcement Learning. Proc. Inst. Mech. Eng. Part D J. Automob. Eng. 2024, 09544070241279007. [Google Scholar] [CrossRef]
  10. Geng, C.; Mei, S.; Liu, L.; Ma, W.; Xue, Q. Simulation and Experimental Research on Energy Management Control Strategy for Fuel Cell Heavy-Duty Truck. Int. J. Hydrogen Energy 2024, 69, 1305–1318. [Google Scholar] [CrossRef]
  11. Yamchi, H.B.; Kandidayeni, M.; Kelouwani, S.; Boulon, L. Constrained Exploration Method for Optimal Energy Management in Hybrid Multi-Stack Fuel Cell Vehicles. Energy Convers. Manag. 2024, 316, 118841. [Google Scholar] [CrossRef]
  12. Li, D.G.; Feng, D.W. Thermostatic Control for Series Hydraulic Hybrid Vehicle (SHHV) Energy Management. Adv. Mater. Res. 2012, 512–515, 2676–2681. [Google Scholar] [CrossRef]
  13. Gao, J.; Sun, F.; He, H.; Zhu, G.G.; Strangas, E.G. A Comparative Study of Supervisory Control Strategies for a Series Hybrid Electric Vehicle. In Proceedings of the 2009 Asia-Pacific Power and Energy Engineering Conference, Wuhan, China, 27–31 March 2009; IEEE: Wuhan, China, 2009; pp. 1–7. [Google Scholar]
  14. Zhou, Y.; Ravey, A.; Péra, M.-C. Multi-Mode Predictive Energy Management for Fuel Cell Hybrid Electric Vehicles Using Markov Driving Pattern Recognizer. Appl. Energy 2020, 258, 114057. [Google Scholar] [CrossRef]
  15. Song, K.; Chen, H.; Wen, P.; Zhang, T.; Zhang, B.; Zhang, T. A Comprehensive Evaluation Framework to Evaluate Energy Management Strategies of Fuel Cell Electric Vehicles. Electrochim. Acta 2018, 292, 960–973. [Google Scholar] [CrossRef]
  16. Song, K.; Li, F.; Hu, X.; He, L.; Niu, W.; Lu, S.; Zhang, T. Multi-Mode Energy Management Strategy for Fuel Cell Electric Vehicles Based on Driving Pattern Identification Using Learning Vector Quantization Neural Network Algorithm. J. Power Sources 2018, 389, 230–239. [Google Scholar] [CrossRef]
  17. Gharibeh, H.F.; Yazdankhah, A.S.; Azizian, M.R. Energy Management of Fuel Cell Electric Vehicles Based on Working Condition Identification of Energy Storage Systems, Vehicle Driving Performance, and Dynamic Power Factor. J. Energy Storage 2020, 31, 101760. [Google Scholar] [CrossRef]
  18. Xu, Y.; Zhang, H.; Yang, Y.; Zhang, J.; Yang, F.; Yan, D.; Yang, H.; Wang, Y. Optimization of Energy Management Strategy for Extended Range Electric Vehicles Using Multi-Island Genetic Algorithm. J. Energy Storage 2023, 61, 106802. [Google Scholar] [CrossRef]
  19. Hu, Z.; Xu, L.; Li, J.; Gan, Q.; Xu, X.; Song, Z.; Shao, Y.; Ouyang, M. A Novel Diagnostic Methodology for Fuel Cell Stack Health: Performance, Consistency and Uniformity. Energy Convers. Manag. 2019, 185, 611–621. [Google Scholar] [CrossRef]
  20. Zhou, W.; Yang, L.; Cai, Y.; Ying, T. Dynamic Programming for New Energy Vehicles Based on Their Work Modes Part II: Fuel Cell Electric Vehicles. J. Power Sources 2018, 407, 92–104. [Google Scholar] [CrossRef]
  21. Ansarey, M.; Shariat Panahi, M.; Ziarati, H.; Mahjoob, M. Optimal Energy Management in a Dual-Storage Fuel-Cell Hybrid Vehicle Using Multi-Dimensional Dynamic Programming. J. Power Sources 2014, 250, 359–371. [Google Scholar] [CrossRef]
  22. Zhao, X.; Wang, L.; Zhou, Y.; Pan, B.; Wang, R.; Wang, L.; Yan, X. Energy management strategies for fuel cell hybrid electric vehicles: Classification, comparison, and outlook. Energy Convers. Manag. 2022, 270, 116179. [Google Scholar] [CrossRef]
  23. Peng, J.; He, H.; Xiong, R. Rule Based Energy Management Strategy for a Series–Parallel Plug-in Hybrid Electric Bus Optimized by Dynamic Programming. Appl. Energy 2017, 185, 1633–1643. [Google Scholar] [CrossRef]
  24. Lü, X.; Li, S.; He, X.; Xie, C.; He, S.; Xu, Y.; Fang, J.; Zhang, M.; Yang, X. Hybrid Electric Vehicles: A Review of Energy Management Strategies Based on Model Predictive Control. J. Energy Storage 2022, 56, 106112. [Google Scholar] [CrossRef]
  25. Gao, H.; Wang, Z.; Yin, S.; Lu, J.; Guo, Z.; Ma, W. Adaptive Real-Time Optimal Energy Management Strategy Based on Equivalent Factors Optimization for Hybrid Fuel Cell System. Int. J. Hydrogen Energy 2021, 46, 4329–4338. [Google Scholar] [CrossRef]
  26. Ahmadi, S.; Bathaee, S.M.T.; Hosseinpour, A.H. Improving Fuel Economy and Performance of a Fuel-Cell Hybrid Electric Vehicle (Fuel-Cell, Battery, and Ultra-Capacitor) Using Optimized Energy Management Strategy. Energy Convers. Manag. 2018, 160, 74–84. [Google Scholar] [CrossRef]
  27. Chai, H.; Zhao, X.; Yu, Q.; Wang, S.; Han, Q.; Zheng, Z. Adaptive Equivalent Consumption Minimization Strategy Based on Road Grade Estimation for a Plug-in Hybrid Electric Truck. J. Energy Storage 2023, 70, 108035. [Google Scholar] [CrossRef]
  28. Song, Z.; Hou, J.; Xu, S.; Ouyang, M.; Li, J. The Influence of Driving Cycle Characteristics on the Integrated Optimization of Hybrid Energy Storage System for Electric City Buses. Energy 2017, 135, 91–100. [Google Scholar] [CrossRef]
  29. Liu, C.; Wang, Y.; Wang, L.; Chen, Z. Load-Adaptive Real-Time Energy Management Strategy for Battery/Ultracapacitor Hybrid Energy Storage System Using Dynamic Programming Optimization. J. Power Sources 2019, 438, 227024. [Google Scholar] [CrossRef]
  30. Du, C.; Huang, S.; Jiang, Y.; Wu, D.; Li, Y. Optimization of Energy Management Strategy for Fuel Cell Hybrid Electric Vehicles Based on Dynamic Programming. Energies 2022, 15, 4325. [Google Scholar] [CrossRef]
  31. Wu, J.; Zhang, Y.; Ruan, J.; Liang, Z.; Liu, K. Rule and Optimization Combined Real-Time Energy Management Strategy for Minimizing Cost of Fuel Cell Hybrid Electric Vehicles. Energy 2023, 285, 129442. [Google Scholar] [CrossRef]
  32. Hou, S.; Yin, H.; Pla, B.; Gao, J.; Chen, H. Real-Time Energy Management Strategy of a Fuel Cell Electric Vehicle With Global Optimal Learning. IEEE Trans. Transp. Electrific. 2023, 9, 5085–5097. [Google Scholar] [CrossRef]
  33. Hu, X.; Zou, C.; Tang, X.; Liu, T.; Hu, L. Cost-Optimal Energy Management of Hybrid Electric Vehicles Using Fuel Cell/Battery Health-Aware Predictive Control. IEEE Trans. Power Electron. 2020, 35, 382–392. [Google Scholar] [CrossRef]
  34. Chen, H.; Pei, P.; Song, M. Lifetime Prediction and the Economic Lifetime of Proton Exchange Membrane Fuel Cells. Appl. Energy 2015, 142, 154–163. [Google Scholar] [CrossRef]
  35. Han, R.; He, H.; Zhang, Z.; Quan, S.; Chen, J. A Multi-Objective Hierarchical Energy Management Strategy for a Distributed Fuel-Cell Hybrid Electric Tracked Vehicle. J. Energy Storage 2024, 76, 109858. [Google Scholar] [CrossRef]
  36. He, H.; Jia, C.; Li, J. A New Cost-Minimizing Power-Allocating Strategy for the Hybrid Electric Bus with Fuel Cell/Battery Health-Aware Control. Int. J. Hydrogen Energy 2022, 47, 22147–22164. [Google Scholar] [CrossRef]
  37. Wang, J.; Liu, P.; Hicks-Garner, J.; Sherman, E.; Soukiazian, S.; Verbrugge, M.; Tataria, H.; Musser, J.; Finamore, P. Cycle-Life Model for Graphite-LiFePO4 Cells. J. Power Sources 2011, 196, 3942–3948. [Google Scholar] [CrossRef]
  38. Song, Z.; Li, J.; Han, X.; Xu, L.; Lu, L.; Ouyang, M.; Hofmann, H. Multi-Objective Optimization of a Semi-Active Battery/Supercapacitor Energy Storage System for Electric Vehicles. Appl. Energy 2014, 135, 212–224. [Google Scholar] [CrossRef]
  39. Feng, Y.; Dong, Z. Integrated Design and Control Optimization of Fuel Cell Hybrid Mining Truck with Minimized Lifecycle Cost. Appl. Energy 2020, 270, 115164. [Google Scholar] [CrossRef]
  40. Liu, Z.; Xu, S.; Guo, S. High-Potential Control for Durability Improvement of the Vehicle Fuel Cell System Based on Oxygen Partial Pressure Regulation under Low-Load Conditions. International J. Hydrog. Energy 2022, 47, 32607–32627. [Google Scholar] [CrossRef]
  41. Lin, X. Dynamic Programming Solutions Extracted SOC-Trajectory Online Learning Generation Algorithm Based Approximate Global Optimization Control Strategy for a Fuel Cell Hybrid Electric Vehicle. Energy 2024, 295, 130728. [Google Scholar] [CrossRef]
  42. Yan, Q.; Chen, X.; Jian, H.; Wei, W.; Wang, W.; Wang, H. Design of a Deep Inference Framework for Required Power Forecasting and Predictive Control on a Hybrid Electric Mining Truck. Energy 2022, 238, 121960. [Google Scholar] [CrossRef]
  43. Ryan, P. Electricity Demand and Implications of Electric Vehicle and Battery Storage Adoption. In Transition Towards 100% Renewable Energy; Sayigh, A., Ed.; Innovative Renewable Energy; Springer International Publishing: Cham, Switzerland, 2018; pp. 391–398. ISBN 978-3-319-69843-4. [Google Scholar]
  44. Huang, Y.; Wang, S.; Li, K.; Fan, Z.; Xie, H.; Jiang, F. Multi-Parameter Adaptive Online Energy Management Strategy for Concrete Truck Mixers with a Novel Hybrid Powertrain Considering Vehicle Mass. Energy 2023, 277, 127700. [Google Scholar] [CrossRef]
  45. Jiang, S.; Wang, C.; Zhang, C.; Bai, H.; Xu, L. Adaptive Estimation of Road Slope and Vehicle Mass of Fuel Cell Vehicle. eTransportation 2019, 2, 100023. [Google Scholar] [CrossRef]
Figure 1. Structure of the FCHMT.
Figure 1. Structure of the FCHMT.
Sustainability 17 01412 g001
Figure 2. Efficiency of the FCS.
Figure 2. Efficiency of the FCS.
Sustainability 17 01412 g002
Figure 3. Driving motor efficiency map.
Figure 3. Driving motor efficiency map.
Sustainability 17 01412 g003
Figure 4. Battery Rint model.
Figure 4. Battery Rint model.
Sustainability 17 01412 g004
Figure 5. Battery resistance and open-circuit voltage curves with the SOC.
Figure 5. Battery resistance and open-circuit voltage curves with the SOC.
Sustainability 17 01412 g005
Figure 6. General flowchart of the proposed strategy.
Figure 6. General flowchart of the proposed strategy.
Sustainability 17 01412 g006
Figure 7. DP algorithm processing flow.
Figure 7. DP algorithm processing flow.
Sustainability 17 01412 g007
Figure 8. (a) Velocity trajectories and slope of driving cycles in the optimal database. (b) Results of fuel cell power and SOC at an initial SOC of 0.3. (c) Results of fuel cell power and SOC at an initial SOC of 0.4. (d) Results of fuel cell power and SOC at an initial SOC of 0.5. (e) Results of fuel cell power and SOC at an initial SOC of 0.6. (f) Results of fuel cell power and SOC at an initial SOC of 0.7.
Figure 8. (a) Velocity trajectories and slope of driving cycles in the optimal database. (b) Results of fuel cell power and SOC at an initial SOC of 0.3. (c) Results of fuel cell power and SOC at an initial SOC of 0.4. (d) Results of fuel cell power and SOC at an initial SOC of 0.5. (e) Results of fuel cell power and SOC at an initial SOC of 0.6. (f) Results of fuel cell power and SOC at an initial SOC of 0.7.
Sustainability 17 01412 g008
Figure 9. The distribution of fuel cell power scatter results solved by DP under different initial SOC: (a) Initial SOC = 0.3, (b) Initial SOC = 0.4, (c) Initial SOC = 0.5, (d) Initial SOC = 0.6, (e) Initial SOC = 0.7.
Figure 9. The distribution of fuel cell power scatter results solved by DP under different initial SOC: (a) Initial SOC = 0.3, (b) Initial SOC = 0.4, (c) Initial SOC = 0.5, (d) Initial SOC = 0.6, (e) Initial SOC = 0.7.
Sustainability 17 01412 g009
Figure 10. Rule-based energy management control strategy.
Figure 10. Rule-based energy management control strategy.
Sustainability 17 01412 g010
Figure 11. (a) Operating condition 1; (b) battery SOC trajectory under two strategies; (c) fuel cell output power under two strategies; (d) battery output power under two strategies.
Figure 11. (a) Operating condition 1; (b) battery SOC trajectory under two strategies; (c) fuel cell output power under two strategies; (d) battery output power under two strategies.
Sustainability 17 01412 g011
Figure 12. Cumulative cost comparison under two strategies: (a) DP; (b) AGO-BCMS.
Figure 12. Cumulative cost comparison under two strategies: (a) DP; (b) AGO-BCMS.
Sustainability 17 01412 g012
Figure 13. Comparison of AGO-BCMS strategies and various strategies under operating condition 1: (a) Battery SOC trajectory comparison; (b) fuel cell output power comparison; (c) battery output power comparison.
Figure 13. Comparison of AGO-BCMS strategies and various strategies under operating condition 1: (a) Battery SOC trajectory comparison; (b) fuel cell output power comparison; (c) battery output power comparison.
Sustainability 17 01412 g013
Figure 14. Comparison of total operating costs under operating condition 1.
Figure 14. Comparison of total operating costs under operating condition 1.
Sustainability 17 01412 g014
Figure 15. Operating condition 2.
Figure 15. Operating condition 2.
Sustainability 17 01412 g015
Figure 16. Comparison of AGO-BCMS strategies and various strategies under operating condition 2: (a) Battery SOC trajectory comparison; (b) fuel cell output power comparison; (c) comparison of fuel cell output power at 1800–2600 s; (d) comparison of fuel cell output power at 4800–5600 s.
Figure 16. Comparison of AGO-BCMS strategies and various strategies under operating condition 2: (a) Battery SOC trajectory comparison; (b) fuel cell output power comparison; (c) comparison of fuel cell output power at 1800–2600 s; (d) comparison of fuel cell output power at 4800–5600 s.
Sustainability 17 01412 g016
Figure 17. Comparison of total operating costs under operating condition 2.
Figure 17. Comparison of total operating costs under operating condition 2.
Sustainability 17 01412 g017
Table 1. Main parameters of the FCHMT.
Table 1. Main parameters of the FCHMT.
ComponentsParametersUnitsValues
VehicleCurb masskg28,000
Full load masskg88,000
Front aream28.5
Air resistance coefficient0.55
Rolling resistance coefficient0.03
Wheel radiusm0.675
Final drive ratio25
Fuel cell systemsRated powerkW300
Rated voltageV568
Maximum efficiency%58.9
BatteryCapacityAh300
Rated voltage V600
MotorsRated powerkW350
Maximum powerkW600
Maximum speedrpm4500
Maximum torqueNm2500
Table 2. PEMFC voltage degradation rate.
Table 2. PEMFC voltage degradation rate.
Operating ConditionsUnitsValues
Start–stop/ δ ss μV/cycle13.79
Idling/ δ idle μV/h9.42
Load change/ δ chg μV/(kW/s)0.0423
High power load/ δ high μV/h4.881
Table 3. Battery performance degradation model parameters.
Table 3. Battery performance degradation model parameters.
ParameterValue
A0.0032
Ea15,162
B1516
R8.3144598
z0.824
Table 4. Rules for the no-load downhill phase.
Table 4. Rules for the no-load downhill phase.
Pdr1Pdr2Pdr3Pdr4Pdr5Pdr6Pdr7Pdr8
SOCr1P1(P1, P4)[P4, P5)[P5, P6)[P6, P7)[P7, P8)[P8, P9)[P9, P13]
SOCr2P1(P1, P4)[P4, P5)[P5, P6)[P6, P7)[P7, P8)[P8, P9)[P9, P13]
SOCr3P1(P1, P3)[P3, P4)[P4, P5)[P5, P6)[P6, P7)[P7, P8)[P8, P12]
SOCr4P1(P1, P3)[P3, P4)[P4, P5)[P5, P6)[P6, P7)[P7, P8)[P8, P11]
Table 5. Rules for the full-load uphill phase.
Table 5. Rules for the full-load uphill phase.
Pdr1Pdr2Pdr3Pdr4Pdr5Pdr6Pdr7Pdr8
SOCr1P1(P1, P9)[P9, P12)[P12, P13)[P12, P13)[P12, P13)[P12, P13)[P12, P13]
SOCr2P1(P1, P7)[P7, P9)[P9, P10)[P10, P11)[P11, P12)[P12, P13)[P12, P13]
SOCr3P1(P1, P5)[P5, P7)[P7, P8)[P8, P9)[P9, P10)[P10, P11)[P11, P12]
SOCr4P1(P1, P4)[P4, P5)[P5, P7)[P7, P8)[P8, P9)[P9, P10)[P10, P11]
Table 6. Detailed comparison of operating costs under operating condition 1.
Table 6. Detailed comparison of operating costs under operating condition 1.
StrategyFC-C (CNY)B-C (CNY)FC-D (CNY)B-D (CNY)Total Operating Cost (CNY)Optimality (%)
DP134.3534 0 0.0877 20.8438 155.2849 100
AGO-BCMS146.6240 −2.3780 0.2255 20.0115 164.4829 94.41
BCMS158.2782−7.94430.269719.2022169.805891.45
ECMS146.8125 −6.7570 0.4633 31.3106 171.8294 89.35
Rule-base152.3370 −12.7890 1.2311 44.1090 184.8881 80.94
Table 7. Detailed comparison of operating costs under operating condition 2.
Table 7. Detailed comparison of operating costs under operating condition 2.
StrategyFC-C (CNY)B-C (CNY)FC-D (CNY)B-D (CNY)Total Operating Cost (CNY)Optimality (%)
DP607.0138 0.0000 0.3157 91.7127 699.0422 100
AGO-BCMS648.8523 −2.2503 0.8118 88.0506 735.4644 95.05
BCMS681.8262 −1.7812 0.9742 81.9751 762.9943 91.62
ECMS647.3566 −4.4442 2.0385 142.7763 787.7272 88.74
Rule-base670.9725 −2.5085 5.4168 201.1370 875.0179 79.89
Disclaimer/Publisher’s Note: The statements, opinions and data contained in all publications are solely those of the individual author(s) and contributor(s) and not of MDPI and/or the editor(s). MDPI and/or the editor(s) disclaim responsibility for any injury to people or property resulting from any ideas, methods, instructions or products referred to in the content.

Share and Cite

MDPI and ACS Style

Qin, Y.; Li, Z.; Geng, G.; Wang, B. Approximate Globally Optimal Energy Management Strategy for Fuel Cell Hybrid Mining Trucks Based on Rule-Interposing Balance Cost Minimization. Sustainability 2025, 17, 1412. https://doi.org/10.3390/su17041412

AMA Style

Qin Y, Li Z, Geng G, Wang B. Approximate Globally Optimal Energy Management Strategy for Fuel Cell Hybrid Mining Trucks Based on Rule-Interposing Balance Cost Minimization. Sustainability. 2025; 17(4):1412. https://doi.org/10.3390/su17041412

Chicago/Turabian Style

Qin, Yixv, Zhongxing Li, Guoqing Geng, and Bo Wang. 2025. "Approximate Globally Optimal Energy Management Strategy for Fuel Cell Hybrid Mining Trucks Based on Rule-Interposing Balance Cost Minimization" Sustainability 17, no. 4: 1412. https://doi.org/10.3390/su17041412

APA Style

Qin, Y., Li, Z., Geng, G., & Wang, B. (2025). Approximate Globally Optimal Energy Management Strategy for Fuel Cell Hybrid Mining Trucks Based on Rule-Interposing Balance Cost Minimization. Sustainability, 17(4), 1412. https://doi.org/10.3390/su17041412

Note that from the first issue of 2016, this journal uses article numbers instead of page numbers. See further details here.

Article Metrics

Back to TopTop