Thermochemical Techniques for Disposal of Municipal Solid Waste Based on the Intuitionistic Fuzzy Hypersoft Evaluation Based on the Distance from the Average Solution Technique
Abstract
1. Introduction
1.1. Literature Review
1.2. Aim of the Proposed Study
- The IFHSS concept has abundant applications and can represent complicated information in a versatile and detailed manner. This makes it an important DM method that considers the overall environment.
- This research demonstrates the apparent convenience of interactional operations, which contributes to their specific variables. The study introduces interactive and interactive ordered AOs that have been optimized for IFHSS.
- The EDAS approach is widely employed due to its accessibility and effectiveness in delivering more favorable outcomes in the DM procedure. The execution of the EDAS approach used in this study boosts the robustness and dependability of the DM system, solving an apparent drawback in present approaches.
- Several researchers use various DM methodologies in different fuzzy structures for existing studies, such as TOPSIS, VIKOR, and EDAS. Still, there exists a lack of real-world studies on MSW management using the EDAS approach in an IFHSS context. This research handles this problem using the presented integrated model, which analyzes IFHSS information to identify the most effective thermochemical approach.
1.3. Research Problem and Contribution
- (1)
- Integrating interactional operational laws in the IFHSS structure assisted in designing and presenting IFHSS interaction AOs. The operators provided are IFHSIWA, IFHSIOWA, IFHSIWG, and IFHSIOWG operators. We also adequately presented some significant aspects of these operators, particularly idempotency, boundedness, monotonicity, homogeneity, and shift-invariance.
- (2)
- The IFHSS structure uses the distinctive procedure EDAS to determine the most optimal alternative. This method delivers a practical solution for convoluted DM challenges and merges the prevailing DM theory through this novel strategy.
- (3)
- The proposed approach investigates and chooses the thermochemical treatment strategy in MSW management.
- (4)
- The approach executes detailed comparison and sensitivity evaluations, which are meticulously examined and evaluated. The research outcomes confirm the consistency and effectiveness of the proposed technique.
2. Preliminaries
- If , then .
- If , then.
- ➢
- If , then .
- ➢
- If , then .
- .
- .
- .
- .
3. Interactive Aggregation Operators for Intuitionistic Fuzzy Hypersoft Sets
- .
- .
- .
3.1. Idempotency
3.2. Boundedness
3.3. Shift Invariance
3.4. Homogeneity
3.5. Monotonicity
3.6. Idempotency
3.7. Boundedness
3.8. Shift Invariance
3.9. Homogeneity
3.10. Monotonicity
4. Interactive Geometric Aggregation Operators for Intuitionistic Fuzzy Hypersoft Sets
4.1. Idempotency
4.2. Boundedness
4.3. Shift Invariance
4.4. Homogeneity
4.5. Monotonicity
4.6. Idempotency
4.7. Boundedness
4.8. Shift Invariance
4.9. Homogeneity
4.10. Monotonicity
5. EDAS Technique Based on Developed Interaction Aggregation Operators
6. Application of the Proposed EDAS Method in MSW Management
6.1. Case Study of MSW Management
6.1.1. Incineration
6.1.2. Plasma Gasification
6.1.3. Thermal Depolymerization
6.1.4. Pyrolysis
6.1.5. Thermal Gasification
6.2. Criteria Description
6.2.1. Energy Recovery
6.2.2. Environmental Impact:
6.2.3. Economic Viability
6.2.4. Resource Efficiency
6.2.5. Regulatory Compliance
6.3. Numerical Example
7. Comparative Analysis and Theoretical Implications
7.1. Comparative Analysis
7.1.1. Comparison with Existing EDAS Approaches
7.1.2. Comparison with Different Aggregation Operators
7.1.3. Comparison with the TOPSIS Method
7.2. Discussion
7.3. Research Implications
7.3.1. Methodological Implications
7.3.2. Theoretical Implications
7.3.3. Managerial Implications
8. Conclusions
Author Contributions
Funding
Institutional Review Board Statement
Informed Consent Statement
Data Availability Statement
Acknowledgments
Conflicts of Interest
References
- Ngoc, U.N.; Schnitzer, H. Sustainable solutions for solid waste management in Southeast Asian countries. Waste Manag. 2009, 29, 1982–1995. [Google Scholar] [CrossRef]
- Gautam, M.; Agrawal, M. Greenhouse gas emissions from municipal solid waste management: A review of global scenario. In Carbon Footprint Case Studies: Municipal Solid Waste Management, Sustainable Road Transport and Carbon Sequestration; Springer: Berlin/Heidelberg, Germany, 2021; pp. 123–160. [Google Scholar]
- Cetrulo, T.B.; Marques, R.C.; Cetrulo, N.M.; Pinto, F.S.; Moreira, R.M.; Mendizábal-Cortés, A.D.; Malheiros, T.F. Effectiveness of solid waste policies in developing countries: A case study in Brazil. J. Clean. Prod. 2018, 205, 179–187. [Google Scholar] [CrossRef]
- Aleluia, J.; Ferrão, P. Characterization of urban waste management practices in developing Asian countries: A new analytical framework based on waste characteristics and urban dimension. Waste Manag. 2016, 58, 415–429. [Google Scholar] [CrossRef] [PubMed]
- Ma, Q.; Zhang, Y.; Hu, F.; Zhou, H. Can the energy conservation and emission reduction demonstration city policy enhance urban domestic waste control? Evidence from 283 cities in China. Cities 2024, 154, 105323. [Google Scholar] [CrossRef]
- Marshall, R.E.; Farahbakhsh, K. Systems approaches to integrated solid waste management in developing countries. Waste Manag. 2013, 33, 988–1003. [Google Scholar] [CrossRef] [PubMed]
- Wang, J.; Liu, X.; Zhang, Z.; Liu, Y. Synergistic utilization, critical mechanisms, and environmental suitability of bauxite residue (red mud) based multi-solid wastes cementitious materials and special concrete. J. Environ. Manag. 2024, 361, 121255. [Google Scholar] [CrossRef] [PubMed]
- Mir, I.S.; Cheema, P.P.S.; Singh, S.P. Implementation analysis of solid waste management in Ludhiana city of Punjab. Environ. Chall. 2021, 2, 100023. [Google Scholar] [CrossRef]
- Wu, S.; Cao, J.; Shao, Q. How to select remanufacturing mode: End-of-life or used product? In Environment, Development and Sustainability; Springer: Berlin/Heidelberg, Germany, 2024; pp. 1–21. [Google Scholar]
- Sohoo, I.; Ritzkowski, M.; Sohu, Z.A.; Cinar, S.Ö.; Chong, Z.K.; Kuchta, K. Estimation of methane production and electrical energy generation from municipal solid waste disposal sites in Pakistan. Energies 2021, 14, 2444. [Google Scholar] [CrossRef]
- Pan, X.R.; Shang-Guan, P.K.; Li, S.H.; Zhang, C.H.; Lou, J.M.; Guo, L.; Liu, L.; Lu, Y. The influence of carbon dioxide on fermentation products, microbial community, and functional gene in food waste fermentation with uncontrol pH. Environ. Res. 2024, 267, 120645. [Google Scholar] [CrossRef] [PubMed]
- Amin, N.; Aslam, M.; Yasin, M.; Hossain, S.; Shahid, M.K.; Inayat, A.; Samir, A.; Ahmad, R.; Murshed, M.N.; Khurram, M.S.; et al. Municipal solid waste treatment for bioenergy and resource production: Potential technologies, techno-economic-environmental aspects and implications of membrane-based recovery. Chemosphere 2023, 323, 138196. [Google Scholar] [CrossRef] [PubMed]
- Sohoo, I.; Ritzkowski, M.; Guo, J.; Sohoo, K.; Kuchta, K. Municipal solid waste management through sustainable landfilling: In view of the situation in Karachi, Pakistan. Int. J. Environ. Res. Public Health 2022, 19, 773. [Google Scholar] [CrossRef] [PubMed]
- Aslam, S.; Ali, F.; Naseer, A.; Sheikh, Z. Application of material flow analysis for the assessment of current municipal solid waste management in Karachi, Pakistan. Waste Manag. Res. 2022, 40, 185–194. [Google Scholar] [CrossRef]
- Iqbal, A.; Yasar, A.; Tabinda, A.B.; Haider, R.; Sultan, I.A.; Kedwii, A.A.; Chaudhary, M.M.; Sheikh, M.M.; Nizami, A.S. Waste as Resource for Pakistan: An Innovative Business Model of Regenerative Circular Economy to Integrate Municipal Solid Waste Management Sector. Sustainability 2023, 15, 6281. [Google Scholar] [CrossRef]
- Sohoo, I.; Ritzkowski, M.; Heerenklage, J.; Kuchta, K. Biochemical methane potential assessment of municipal solid waste generated in Asian cities: A case study of Karachi, Pakistan. Renew. Sustain. Energy Rev. 2021, 135, 110175. [Google Scholar] [CrossRef]
- Han, Y.; Zhang, Y.; Yang, Z.; Zhang, Q.; He, X.; Song, Y.; Tian, L.; Wu, H. Improving aerobic digestion of food waste by adding a personalized microbial inoculum. Curr. Microbiol. 2024, 81, 277. [Google Scholar] [CrossRef] [PubMed]
- Liu, R.; Jiang, S.; Ou, J.; Kouadio, K.L.; Xiong, B. Multifaceted anomaly detection framework for leachate monitoring in landfills. J. Environ. Manag. 2024, 368, 122130. [Google Scholar] [CrossRef] [PubMed]
- Al-Salem, S.M.; Antelava, A.; Constantinou, A.; Manos, G.; Dutta, A. A review on thermal and catalytic pyrolysis of plastic solid waste (PSW). J. Environ. Manag. 2017, 197, 177–198. [Google Scholar] [CrossRef] [PubMed]
- Wang, N.; Zhang, Z.; Zhang, Y.; Xu, X.; Guan, Q. Fe-Mn oxide activating persufate for the in-situ chemical remediation of organic contaminated groundwater. Sep. Purif. Technol. 2025, 355, 129566. [Google Scholar] [CrossRef]
- Meng, L.; Liang, L.; Shi, Y.; Yin, H.; Li, L.; Xiao, J.; Huang, N.; Zhao, A.; Xia, Y.; Hou, J. Biofilms in plastisphere from freshwater wetlands: Biofilm formation, bacterial community assembly, and biogeochemical cycles. J. Hazard. Mater. 2024, 476, 134930. [Google Scholar] [CrossRef]
- Arıkan, E.; Şimşit-Kalender, Z.T.; Vayvay, Ö. Solid waste disposal methodology selection using multi-criteria decision making methods and an application in Turkey. J. Clean. Prod. 2017, 142, 403–412. [Google Scholar] [CrossRef]
- Zhuang, Q.; Li, X.; Lian, X.; Hu, H.; Wang, N.; Wu, J.; Miao, K.; Feng, G.; Luo, X. Catalysis Enhancement of Co3O4 through the Epitaxial Growth of Inert ZnO in Peroxymonosulfate Activation: The Catalytic Mechanism of Surface Hydroxyls in Singlet Oxygen Generation. Cryst. Growth Des. 2024, 25, 319–329. [Google Scholar] [CrossRef]
- Mir, M.A.; Ghazvinei, P.T.; Sulaiman, N.M.N.; Basri, N.E.A.; Saheri, S.; Mahmood, N.Z.; Jahan, A.; Begum, R.A.; Aghamohammadi, N.J.J.O.E.M. Application of TOPSIS and VIKOR improved versions in a multi criteria decision analysis to develop an optimized municipal solid waste management model. J. Environ. Manag. 2016, 166, 109–115. [Google Scholar]
- Wang, Z.; Ren, J.; Goodsite, M.E.; Xu, G. Waste-to-energy, municipal solid waste treatment, and best available technology: Comprehensive evaluation by an interval-valued fuzzy multi-criteria decision making method. J. Clean. Prod. 2018, 172, 887–899. [Google Scholar] [CrossRef]
- Coban, A.; Ertis, I.F.; Cavdaroglu, N.A. Municipal solid waste management via multi-criteria decision making methods: A case study in Istanbul, Turkey. J. Clean. Prod. 2018, 180, 159–167. [Google Scholar] [CrossRef]
- Afrane, S.; Ampah, J.D.; Agyekum, E.B.; Amoh, P.O.; Yusuf, A.A.; Fattah, I.M.R.; Agbozo, E.; Elgamli, E.; Shouran, M.; Mao, G.; et al. Integrated AHP-TOPSIS under a fuzzy environment for the selection of waste-to-energy technologies in Ghana: A performance analysis and socio-enviro-economic feasibility study. Int. J. Environ. Res. Public Health 2022, 19, 8428. [Google Scholar] [CrossRef] [PubMed]
- Akram, M.; Ramzan, N.; Deveci, M. Linguistic Pythagorean fuzzy CRITIC-EDAS method for multiple-attribute group decision analysis. Eng. Appl. Artif. Intell. 2023, 119, 105777. [Google Scholar] [CrossRef]
- Paul, T.K.; Jana, C.; Pal, M. Multi-criteria group decision-making method in disposal of municipal solid waste based on cubic Pythagorean fuzzy EDAS approach with incomplete weight information. Appl. Soft Comput. 2023, 144, 110515. [Google Scholar] [CrossRef]
- Roy, J.; Adhikary, K.; Kar, S. Credibilistic TOPSIS model for evaluation and selection of municipal solid waste disposal methods. In Advances in Waste Management: Select Proceedings of Recycle 2016; Springer: Singapore, 2019; pp. 243–261. [Google Scholar]
- Rahimi, S.; Hafezalkotob, A.; Monavari, S.M.; Hafezalkotob, A.; Rahimi, R. Sustainable landfill site selection for municipal solid waste based on a hybrid decision-making approach: Fuzzy group BWM-MULTIMOORA-GIS. J. Clean. Prod. 2020, 248, 119186. [Google Scholar] [CrossRef]
- Rani, P.; Mishra, A.R.; Krishankumar, R.; Ravichandran, K.S.; Gandomi, A.H. A new Pythagorean fuzzy based decision framework for assessing healthcare waste treatment. IEEE Trans. Eng. Manag. 2020, 69, 2915–2929. [Google Scholar] [CrossRef]
- Garg, H.; Rani, D. An efficient intuitionistic fuzzy MULTIMOORA approach based on novel aggregation operators for the assessment of solid waste management techniques. Appl. Intell. 2022, 52, 4330–4363. [Google Scholar] [CrossRef]
- Al-Barakati, A.; Rani, P. Assessment of healthcare waste treatment methods using an interval-valued intuitionistic fuzzy double normalization-based multiple aggregation approach. Environ. Dev. Sustain. 2023, 26, 1–28. [Google Scholar] [CrossRef]
- Zadeh, L.A. Fuzzy sets. Inf. Control 1965, 8, 338–353. [Google Scholar] [CrossRef]
- Atanassov, K.T. Intuitionistic Fuzzy Sets. Fuzzy Sets Syst. 1986, 20, 87–96. [Google Scholar] [CrossRef]
- Molodtsov, D. Soft set theory—First results. Comput. Math. Appl. 1999, 37, 19–31. [Google Scholar] [CrossRef]
- Maji, P.K.; Biswas, R.; Roy, A.R. Fuzzy soft sets. J. Fuzzy Math. 2001, 9, 589–602. [Google Scholar]
- Maji, P.K.; Biswas, R.; Roy, A.R. Intuitionistic fuzzy soft sets. J. Fuzzy Math. 2001, 9, 677–692. [Google Scholar]
- Smarandache, F. Extension of soft set to hypersoft set, and then to plithogenic hypersoft set. Neutrosophic Sets Syst. 2018, 22, 168–170. [Google Scholar]
- Saeed, M.; Ahsan, M.; Abdeljawad, T. A development of complex multi-fuzzy hypersoft set with application in MCDM based on entropy and similarity measure. IEEE Access 2021, 9, 60026–60042. [Google Scholar] [CrossRef]
- Rahman, A.U.; Saeed, M.; Smarandache, F. A theoretical and analytical approach to the conceptual framework of convexity cum concavity on fuzzy hypersoft sets with some generalized properties. Soft Comput. 2022, 26, 4123–4139. [Google Scholar] [CrossRef]
- Yolcu, A.; Smarandache, F.; Öztürk, T.Y. Intuitionistic fuzzy hypersoft sets. Commun. Fac. Sci. Univ. Ank. Ser. A1 Math. Stat. 2021, 70, 443–455. [Google Scholar] [CrossRef]
- Zulqarnain, R.M.; Xin, X.L.; Saeed, M. Extension of TOPSIS method under intuitionistic fuzzy hypersoft environment based on correlation coefficient and aggregation operators to solve decision making problem. AIMS Math. 2020, 6, 2732–2755. [Google Scholar] [CrossRef]
- Zulqarnain, R.M.; Siddique, I.; Ali, R.; Pamucar, D.; Marinkovic, D.; Bozanic, D. Robust aggregation operators for intuitionistic fuzzy hypersoft set with their application to solve MCDM problem. Entropy 2021, 23, 688. [Google Scholar] [CrossRef]
- He, Y.; Chen, H.; Zhou, L.; Liu, J.; Tao, Z. Intuitionistic fuzzy geometric interaction averaging operators and their application to multi-criteria decision making. Inf. Sci. 2014, 259, 142–159. [Google Scholar] [CrossRef]
- He, Y.; Chen, H.; Zhou, L.; Han, B.; Zhao, Q.; Liu, J. Generalized intuitionistic fuzzy geometric interaction operators and their application to decision making. Expert Syst. Appl. 2014, 41, 2484–2495. [Google Scholar] [CrossRef]
- Garg, H. Some series of intuitionistic fuzzy interactive averaging aggregation operators. SpringerPlus 2016, 5, 999. [Google Scholar] [CrossRef]
- Garg, H. Generalized interaction aggregation operators in intuitionistic fuzzy multiplicative preference environment and their application to multicriteria decision-making. Appl. Intell. 2018, 48, 2120–2136. [Google Scholar] [CrossRef]
- Garg, H. Generalized intuitionistic fuzzy multiplicative interactive geometric operators and their application to multiple criteria decision making. Int. J. Mach. Learn. Cybern. 2016, 7, 1075–1092. [Google Scholar] [CrossRef]
- Liu, P.; Wang, Y. Intuitionistic fuzzy interaction Hamy mean operators and their application to multi-attribute group decision making. Group Decis. Negot. 2019, 28, 197–232. [Google Scholar] [CrossRef]
- Garg, H. Generalized intuitionistic fuzzy interactive geometric interaction operators using Einstein t-norm and t-conorm and their application to decision making. Comput. Ind. Eng. 2016, 101, 53–69. [Google Scholar] [CrossRef]
- Liu, P. Multiple attribute decision-making methods based on normal intuitionistic fuzzy interaction aggregation operators. Symmetry 2017, 9, 261. [Google Scholar] [CrossRef]
- Garg, H.; Arora, R. Novel scaled prioritized intuitionistic fuzzy soft interaction averaging aggregation operators and their application to multi criteria decision making. Eng. Appl. Artif. Intell. 2018, 71, 100–112. [Google Scholar] [CrossRef]
- Wei, G. Pythagorean fuzzy interaction aggregation operators and their application to multiple attribute decision making. J. Intell. Fuzzy Syst. 2017, 33, 2119–2132. [Google Scholar] [CrossRef]
- Gao, H.; Lu, M.; Wei, G.; Wei, Y. Some novel Pythagorean fuzzy interaction aggregation operators in multiple attribute decision making. Fundam. Informaticae 2018, 159, 385–428. [Google Scholar] [CrossRef]
- Wang, L.; Garg, H.; Li, N. Pythagorean fuzzy interactive Hamacher power aggregation operators for assessment of express service quality with entropy weight. Soft Comput. 2021, 25, 973–993. [Google Scholar] [CrossRef]
- Zulqarnain, R.M.; Xin, X.L.; Garg, H.; Ali, R. Interaction aggregation operators to solve multi criteria decision making problem under pythagorean fuzzy soft environment. J. Intell. Fuzzy Syst. 2021, 41, 1151–1171. [Google Scholar] [CrossRef]
- Riaz, M.; Garg, H.; Farid HM, A.; Aslam, M. Novel q-rung orthopair fuzzy interaction aggregation operators and their application to low-carbon green supply chain management. J. Intell. Fuzzy Syst. 2021, 41, 4109–4126. [Google Scholar] [CrossRef]
- Farid HM, A.; Riaz, M. Some generalized q-rung orthopair fuzzy Einstein interactive geometric aggregation operators with improved operational laws. Int. J. Intell. Syst. 2021, 36, 7239–7273. [Google Scholar] [CrossRef]
- Zulqarnain, R.M.; Siddique, I.; Eldin, S.M.; Gurmani, S.H. Extension of interaction aggregation operators for the analysis of cryptocurrency market under q-rung orthopair fuzzy hypersoft set. IEEE Access 2022, 10, 126627–126650. [Google Scholar] [CrossRef]
- Zulqarnain, R.M.; Siddique, I.; Iampan, A.; Awrejcewicz, J.; Bednarek, M.; Ali, R.; Asif, M. Novel multicriteria decision making approach for interactive aggregation operators of q-rung orthopair fuzzy soft set. IEEE Access 2022, 10, 59640–59660. [Google Scholar] [CrossRef]
- Keshavarz Ghorabaee, M.; Zavadskas, E.K.; Olfat, L.; Turskis, Z. Multi-criteria inventory classification using a new method of evaluation based on distance from average solution (EDAS). Informatica 2015, 26, 435–451. [Google Scholar] [CrossRef]
- Ghorabaee, M.K.; Zavadskas, E.K.; Amiri, M.; Turskis, Z. Extended EDAS method for fuzzy multi-criteria decision-making: An application to supplier selection. Int. J. Comput. Commun. Control 2016, 11, 358–371. [Google Scholar] [CrossRef]
- Srivastava, P.; Mustafa, A.; Khanduja, D.; Chowdhary, S.K.; Kumar, N.; Shukla, R.K. Prioritizing autonomous maintenance system attributes using fuzzy EDAS approach. Procedia Comput. Sci. 2020, 167, 1941–1949. [Google Scholar] [CrossRef]
- Kahraman, C.; Keshavarz Ghorabaee, M.; Zavadskas, E.K.; Cevik Onar, S.; Yazdani, M.; Oztaysi, B. Intuitionistic fuzzy EDAS method: An application to solid waste disposal site selection. J. Environ. Eng. Landsc. Manag. 2017, 25, 1–12. [Google Scholar] [CrossRef]
- Mishra, A.R.; Mardani, A.; Rani, P.; Zavadskas, E.K. A novel EDAS approach on intuitionistic fuzzy set for assessment of health-care waste disposal technology using new parametric divergence measures. J. Clean. Prod. 2020, 272, 122807. [Google Scholar] [CrossRef]
- Schitea, D.; Deveci, M.; Iordache, M.; Bilgili, K.; Akyurt, I.Z.; Iordache, I. Hydrogen mobility roll-up site selection using intuitionistic fuzzy sets based WASPAS, COPRAS and EDAS. Int. J. Hydrogen Energy 2019, 44, 8585–8600. [Google Scholar] [CrossRef]
- Liu, C.; Rani, P.; Pachori, K. Sustainable circular supplier selection and evaluation in the manufacturing sector using Pythagorean fuzzy EDAS approach. J. Enterp. Inf. Manag. 2022, 35, 1040–1066. [Google Scholar] [CrossRef]
- Li, P.; Liu, J.; Wei, C.; Liu, J. A new EDAS method based on prospect theory for Pythagorean fuzzy set and its application in selecting investment projects for highway. Kybernetes 2022, 51, 2636–2651. [Google Scholar] [CrossRef]
- Zhang, S.; Wei, G.; Gao, H.; Wei, C.; Wei, Y. EDAS method for multiple criteria group decision making with picture fuzzy information and its application to green suppliers selections. Technol. Econ. Dev. Econ. 2019, 25, 1123–1138. [Google Scholar] [CrossRef]
- Darko, A.P.; Liang, D. Some q-rung orthopair fuzzy Hamacher aggregation operators and their application to multiple attribute group decision making with modified EDAS method. Eng. Appl. Artif. Intell. 2020, 87, 103259. [Google Scholar] [CrossRef]
- Mishra, A.R.; Rani, P.; Pandey, K. Fermatean fuzzy CRITIC-EDAS approach for the selection of sustainable third-party reverse logistics providers using improved generalized score function. J. Ambient Intell. Humaniz. Comput. 2022, 13, 295–311. [Google Scholar] [CrossRef]






| Structure | Appraisal Score | Ranking | ||||
|---|---|---|---|---|---|---|
| Fuzzy EDAS [65] | n/a | n/a | ||||
| IFS EDAS [66] | n/a | n/a | ||||
| PFS EDAS [69] | n/a | n/a | ||||
| Cubic PFS EDAS [29] | n/a | n/a | ||||
| Picture fuzzy EDAS [71] | n/a | n/a | ||||
| q-ROFS EDAS [72] | n/a | n/a | ||||
| Proposed EDAS | 0.45393 | 0.52199 | 0.46017 | 0.52813 | 0.31270 | |
| Operators | Alternatives Score Values/Appraisal Score | Ranking | ||||
|---|---|---|---|---|---|---|
| IFHSWA [45] | 0.52647 | 0.54768 | 0.53082 | 0.56397 | 0.51837 | |
| IFHSWG [45] | 0.46926 | 0.47835 | 0.46052 | 0.49573 | 0.44673 | |
| Proposed method | 0.45393 | 0.52199 | 0.46017 | 0.52813 | 0.31270 | |
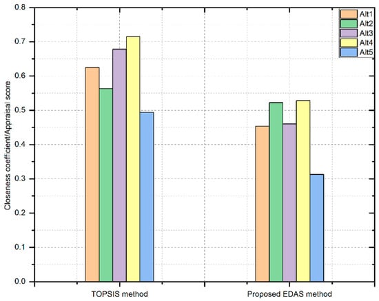
| Method | Appraisal Score/Closeness Coefficient | Ranking | ||||
|---|---|---|---|---|---|---|
| TOPSIS [44] | 0.62497 | 0.56289 | 0.67835 | 0.71509 | 0.49385 | |
| Proposed EDAS | 0.45393 | 0.52199 | 0.46017 | 0.52813 | 0.31270 | |
Disclaimer/Publisher’s Note: The statements, opinions and data contained in all publications are solely those of the individual author(s) and contributor(s) and not of MDPI and/or the editor(s). MDPI and/or the editor(s) disclaim responsibility for any injury to people or property resulting from any ideas, methods, instructions or products referred to in the content. |
© 2025 by the authors. Licensee MDPI, Basel, Switzerland. This article is an open access article distributed under the terms and conditions of the Creative Commons Attribution (CC BY) license (https://creativecommons.org/licenses/by/4.0/).
Share and Cite
Zulqarnain, R.M.; Wang, H.; Siddique, I.; Ali, R.; Naveed, H.; Virk, S.A.; Ahamad, M.I. Thermochemical Techniques for Disposal of Municipal Solid Waste Based on the Intuitionistic Fuzzy Hypersoft Evaluation Based on the Distance from the Average Solution Technique. Sustainability 2025, 17, 970. https://doi.org/10.3390/su17030970
Zulqarnain RM, Wang H, Siddique I, Ali R, Naveed H, Virk SA, Ahamad MI. Thermochemical Techniques for Disposal of Municipal Solid Waste Based on the Intuitionistic Fuzzy Hypersoft Evaluation Based on the Distance from the Average Solution Technique. Sustainability. 2025; 17(3):970. https://doi.org/10.3390/su17030970
Chicago/Turabian StyleZulqarnain, Rana Muhammad, Hongwei Wang, Imran Siddique, Rifaqat Ali, Hamza Naveed, Saalam Ali Virk, and Muhammad Irfan Ahamad. 2025. "Thermochemical Techniques for Disposal of Municipal Solid Waste Based on the Intuitionistic Fuzzy Hypersoft Evaluation Based on the Distance from the Average Solution Technique" Sustainability 17, no. 3: 970. https://doi.org/10.3390/su17030970
APA StyleZulqarnain, R. M., Wang, H., Siddique, I., Ali, R., Naveed, H., Virk, S. A., & Ahamad, M. I. (2025). Thermochemical Techniques for Disposal of Municipal Solid Waste Based on the Intuitionistic Fuzzy Hypersoft Evaluation Based on the Distance from the Average Solution Technique. Sustainability, 17(3), 970. https://doi.org/10.3390/su17030970

