You are currently viewing a new version of our website. To view the old version click .
Sustainability
  • Article
  • Open Access

3 February 2025

Does China’s Low-Carbon City Pilot Facilitate Firm Productivity? An Analysis of Industrial Firms

and
School of Public Economics and Administration, Shanghai University of Finance and Economics, Shanghai 200433, China
*
Author to whom correspondence should be addressed.
This article belongs to the Topic Energy Economics and Sustainable Development

Abstract

This study analyzed the impact of China’s Low-carbon City Pilot (LCCP) on firm productivity using firm-level financial data from the Chinese State Administration of Tax and patent data from the State Intellectual Property Office of the People’s Republic of China from 2007 to 2016, with the aim of clarifying the impact and mechanism of carbon regulation on firms’ productivity from the perspective of a developing country. By employing a staggered difference-in-differences model, we solved the analytical difficulties caused by the low-carbon pilot batch. Our findings revealed that the LCCP has a positive effect on firm productivity, with a 3% increase in total factor productivity (TFP). We concluded that environmental regulations can increase firms’ productivity. We also identified the mechanism, determining that the LCCP can increase firms’ research and development expenditure and the number of patents, advancing technological development. We also demonstrated that the dispersion of TFP across LCCPs has decreased, showing that low-productivity firms exit the market and the exit mechanism is improved, while resources are allocated more efficiently and market distortions are mitigated. This study contributes to the literature on climate policies on firms’ productivity and provides policymakers with valuable insights for balancing environmental regulations and firm productivity.

1. Introduction

Global warming is an urgent concern for all countries in the world. A series of disasters caused by climate change have resulted in massive economic losses and human casualties. Since the establishment of the Intergovernmental Panel on Climate Change, the organization has issued multiple assessment reports for early warning, and governments have been actively involved in climate-related matters since the 1990s, exploring the most effective policies for limiting carbon emissions, implementing various types of carbon policies such as carbon tax and emissions trading systems (ETS) in major countries; however, concerns remain that the implementation of carbon emissions policies will diminish firm productivity. A common argument is that environmental regulations impose implicit taxes on regulated firms [1], which distorts incentives, stifles innovation, and impedes productivity gains, competition, and growth [2,3,4,5]. Another perspective is that appropriate environmental regulations can compel firms to invest in research and development (R&D) to increase productivity and cover the costs of environmental policies [6].
Despite considerable empirical evidence, the impact of environmental regulations on firm productivity remains inconclusive. Carbon emissions continue to increase with ongoing global economic development, and environmental regulations are a costly endeavor; therefore, all countries must balance the relationship between economic activity and emissions reduction. Countries around the world have developed and implemented different environmental policies according to economic theory, the most significant of which are carbon taxes and ETS. Government policy choices are fragmented due to the advantages and disadvantages of such policies. In this study, we analyzed the impact of China’s Low-carbon City Pilot (LCCP) on firms’ total factor productivity (TFP). The LCCP was launched in 2010, followed by a second wave in 2012. The policy aims at exploring potential pathways for balancing the relationship between economic activity and emissions reduction.
The purpose of our study was to complement environmental regulations theory and afford policymaking instruction. The LCCP policy targets the emissions outcomes of firms rather than the emissions process, which is in line with the basic assumptions of the Porter hypothesis. We demonstrated the validity of the Porter hypothesis by using the LCCP as exogenous shocks and proposed that the LCCP improves firms’ TFP by incentivizing innovation and optimizing market mechanisms. Then, we recommend that carbon regulation policies should target firms’ carbon emissions since leaving room for the process of technology application by enterprises can effectively promote firms’ innovation. This provides policy guidance for carbon regulation in developing countries. Exploiting the introduction of the LCCP to conduct a quasi-natural experiment, we investigated the effect of localized climate policies on firms’ TFP. This study examined the dynamic effects of environmental regulations on firm behavior and related policy responses. This study provides policymakers with valuable insights for balancing environmental regulations and firm productivity.
We employed a staggered difference-in-differences (DID) framework to accurately identify the causal effect of the LCCP on firms’ TFP. Specifically, the first difference was firm productivity in LCCP cities minus firm productivity in non-LCCP cities, and the second difference was the policy implementation in 2010 and 2012. The staggered DID model allows us to properly address the challenge of policies that are implemented in multiple time periods. To confirm the robustness of our findings, we conducted a placebo test, randomly assigning LCCP implementation to verify whether the LCCP has an effect on firm productivity. Finally, we employed propensity score matching (PSM)-DID to rule out the interference of other policies. To avoid TFP measurement errors, we also used an alternative specification (OPacf), which employs the modification to the Olley and Pakes (OP) model [7] applied by Ackerberg [8].
The empirical results are divided into three parts. First, we found that the LCCP has positive effects on firm TFP, revealing a 3% treatment effect of the LCCP on TFP, which is the interaction term. Using detailed firm-level financial data obtained from the Chinese State Administration of Tax (SAT) from 2007 to 2016, we demonstrated that LCCP implementation has positive effects on firm productivity. Our findings are consistent with Porter and Van der Linde [6], and some anecdotal evidence also supports our conclusion. The LCCP eliminates low-productivity firms from the market and compels viable firms to improve green innovation.
Second, we examined whether outcomes differ in different city locations because regions across China are considerably heterogeneous, with diverse economic statuses and industrial structures. Therefore, we posited that the impact of the LCCP is notably different across China. We divided our sample into east, west, and central China, revealing that only firms in east China exhibited positive effects, while the effect on firms in central China was negative, indicating that the LCCP had no effect on the firm productivity in this region. Finally, we detected the difference between state-owned and private firms. It is well known that private firms generally cultivate high operating efficiency, whereas state-owned firms are generally the opposite [9]. The empirical results demonstrated that only private firms exhibited a positive response to the LCCP, with no effect on state-owned firms.
Finally, we explored the mechanism of the LCCP’s effect on firm productivity, finding that firms in the LCCP cities increased R&D expenditure and filed more patents. In addition, firms in the LCCP cities exhibited lower market power and fiercer competition, and the market weeded out laggards and strengthened high-productivity firms through resource reallocation, which is consistent with the “survival of the fittest” theory [10]. In summary, in response to the LCCP, firms must allocate more expenditure to R&D to increase productivity. With market competition becoming fiercer, low-productivity firms are compelled to exit the market, while high-productivity firms enter and flourish as resources are efficiently redistributed across the market.
This study makes the following contributions to the previous literature on the effects of carbon policies on firm TFP and is directly relevant to research that has examined the impact of environmental policies on productivity. We demonstrated that climate policies may not always harm firms’ productivity. Greenstone and Greenstone et al. demonstrated that air pollution regulation in the US dampens firm productivity [11,12]. Fan et al.determined that water regulations in China enhance environmental performance but harm economic outcomes such as profits [13]. He et al. came to the same conclusion from water regulations in China. Some empirical studies have supported the Porter hypothesis [14]. For example, Li and Linfound that China’s energy conservation policies have effectively advanced green productivity [15]. Calel and Dechezlepretre demonstrated that the European Union’s ETS implementation increased green innovation [16].
More broadly, we provide policy advice concerning the development of scientifically sound climate policies. First, the LCCP is a place-based environmental policy, which implies that local governments have considerable autonomy. Environmental regulation is not the only goal of the LCCP, and local governments can balance the dual goals of economic development and environmental protection. China has developed rapidly since implementing its reform and opening-up policy, which has made China the second-largest economy in the world. However, China’s rapid development depended on accelerated industrialization and extensive development, using large amounts of fossil fuels and emitting serious air pollution such as sulfur dioxide and carbon dioxide, which are typical problems in developing countries [17]. The LCCP implemented by the Chinese government can provide a reference for developing countries to balance economic development and environmental protection.
Second, the database used in this article contains all types of industrial firms in China; specifically, we used data from the Chinese SAT to conduct a baseline regression and patent data from the State Intellectual Property Office (SIPO) of the People’s Republic of China to measure R&D innovation. These data included valid financial data from 2007 to 2016, which allowed us to examine the impact of the LCCP on firm productivity. Previous research has only examined the impact of environmental regulations on listed firms. In contrast, this study expanded the sample to all firms, making our results more universal.
Third, the low-carbon pilot was implemented in multiple batches, which cannot be examined using the traditional DID framework. Therefore, we used staggered DID to infer causality accurately. The LCCP was implemented uniformly by the central government, requiring local governments to fulfill specified carbon emissions reduction requirements by limiting emissions and promoting green innovation. LCCP implementation provides a good quasi-natural experimental environment to study the effects of locally focused climate policies.
The remainder of this paper is organized as follows. Section 2 comprises a literature review, providing a comprehensive review of the literature on the impact of the LCCP on business. Section 3 describes the background of the LCCP in China. Section 4 details the data and variables used. Section 5 describes the empirical strategy. Section 6 presents the empirical results, and Section 7 concludes the paper.

2. Literature Review

The impact of environmental regulations on firm productivity has long been controversial. Porter and Linde pointed out that innovation benefits could offset some of the production costs imposed by environmental regulations, which has come to be known as the “Porter hypothesis” [6]. Therefore, ignoring the benefits of innovation overestimates the negative impacts of environmental regulations on firms. Jaffeh and Plamer further expanded the analytical framework of the Porter hypothesis and found that no empirical evidence confirms this hypothesis [5]. From then on, several studies demonstrated that environmental regulations harm industrial activity [18,19,20]. For example, Becker et al. found that air quality regulation led to a 26% to 45% reduction in the number of start-ups in polluting industries in nonattainment areas from 1963 to 1992, shifting the industrial structure toward less regulated single-plant firms [20]. On the contrary, Berman and Bui showed that environmental regulations do not harm regulated firms or their workers and may even benefit them [21].
The research on environmental regulations mainly focuses on developed countries, which ignores the effect of environmental policies on developing countries. Research on developing countries is very important, especially transition economies like China. As a major carbon emitter, China has committed to developing its economy while reducing emissions. We list several papers based on developing countries as the foundation of our paper. Greenstone and Hanna found that environmental regulations can improve the quality of the environment and reduce the incidence of related diseases and mortality in China [22]. Chen et al. found that policy impacts vary across regions in terms of income, welfare, and output. Fiscal policies that target output or welfare and increase productive capacity are more effective in terms of output [23]. Maet al. found that stricter environmental regulations are also responsible for sharp declines in corporate profits, capital, and labor [24]. Firms rely more on recycling and emissions reduction investments than on innovation when meeting environmental requirements.
We proceeded to examine the impact of the LCCP on firms’ TFP. The LCCP is a comprehensive environmental policy that targets carbon emissions outcomes rather than emissions processes, which is more in line with the setup of the Porter hypothesis. Therefore, the LCCP can better test whether the Porter hypothesis can be established compared to the existing carbon policies. Existing research focuses on the impact of the LCCP on regional innovation rather than on firms’ TFP. Tian et al. found that the LCCP has had a negative effect on green innovation and reduces the overall level of green innovation in cities [25]. Chen et al.showed that the LCCP has accelerated the green innovation process of local and neighboring cities at the same time, and better spatial spillover effects could be realized in high-level cities, large cities, and eastern cities [26]. Other studies focus on the effect of the LCCP on carbon reduction, like Qian’s study [27]. They revealed that the LCCP has a considerable positive impact on reducing carbon emissions and improving the efficiency of energy use, which promotes the transformation of the industrial structure toward modern services, especially in the restructuring of the tertiary sector.
Here, we provide a brief summary of the existing literature. Although there are a large number of papers studying the impact of environmental regulations on firms’ TFP, the impact of these regulations is still controversial, and the mechanisms are ambiguous. The main reason is that different types of environmental policies have different effects on the real economy. The existing literature examines the impact of environmental regulations more from the perspective of developed countries. These regulations tend to have the single goal of reducing pollution and are implemented in a single region. Environmental regulations in China, which are implemented from the top down and combine the dual goals of economic development and environmental protection, are different from those of developed countries. In addition, the existing literature has hardly considered the impact of the LCCP on firms. It mainly focuses on the impact of the LCCP on regional innovation without further investigating the impact on firm productivity. Therefore, we attempted to study how city-based carbon emissions policies affect firms’ TFP, using the LCCP as an exogenous shock. The research in this paper fills this gap and helps us to better understand the mechanism of environmental regulations. Future research should focus more on comparisons between policies. At the same time, the research should be expanded from the governance effect of the policy itself to the impact on the real economy. This will help us to better formulate policies and avoid hindering economic development.

3. Background and Hypothesis Development

3.1. Background of the LCCP in China

As China has become the world’s largest carbon emitter [28], energy conservation and emissions reduction are crucial concerns of the Chinese government. In September 2020, China set a target of peaking the nation’s carbon footprint by 2030 and becoming carbon neutral by 2060, exemplifying the determination of the Chinese government to protect the environment. Recognizing the seriousness of the problem, China issued its National Climate Change Plan in 2007 to address the climate change effects caused by carbon emissions [29]. In 2008, China issued a white paper on national actions and strategies to address climate change [30]. In 2009, the State Council set a target of reducing carbon intensity from 2005 levels by 40–45% by 2020 [31]. It also set a binding target of a 17% reduction in carbon dioxide emissions from 2011 to 2015 [32], assigning emissions reduction targets to each province according to specific socioeconomic characteristics. In 2016, according to the 13th Five-year Plan, China’s GDP-related carbon intensity was reduced to 18% from 2016 to 2020, during which the task of reducing emissions was assigned to each province [33].
On 19 July 2010, the National Development and Reform Commission (NRDC) issued the Notice of the National Development and Reform Commission on Carrying out the Pilot Work of Low-carbon Provinces and Regions and Low-carbon Cities, confirming pilot work in the five provinces of Guangdong, Liaoning, Hubei, Shaanxi, and Yunnan and the eight cities of Tianjin, Chongqing, Shenzhen, Xiamen, Hangzhou, Nanchang, Guiyang, and Baoding. The pilot cities then formulated policies to support low-carbon development and accelerate the establishment of an industrial system featuring low-carbon emissions. They had to establish greenhouse gas (GHG) emissions statistics and management systems and actively advocate low-carbon lifestyles. After more than a year of local low-carbon practices, the Climate Department of the NRDC announced the application of a second batch of low-carbon pilot work in April 2012, issuing the Notice of the National Development and Reform Commission on the second batch of low-carbon provinces and low-carbon cities pilot work on 29 November 2012. The second batch included Beijing, Shanghai, Hainan Province and Shijiazhuang, Qinhuangda, Jinchen, Hulunbui, Jilin, the Greater Xingan Mountains area, Suzho, Huai’an, Zhenjiang, Ningb, Wenzho, Chizho, Nanping, Jingdezhen, Ganzho, Qingdao, Jiyua, Wuhan, Guangzhou, Guili, Guangyua, Zunyi, Kunming, Ya, and Jin. Due to data limitations, we only used the first and second batches for our research.
Each pilot city formulated specifically targeted plans according to regional economic development characteristics rather than being assigned binding targets by the central government. Local governments are free to assign emissions reduction tasks according to local conditions. Local governments had to meet the central government’s aggregate requirements. According to the NRDC, the pilot cities had to establish clear low-carbon development plans, specifying the measures to be applied to promote an effective local low-carbon economy, accelerate the establishment of a low-carbon industrial system, formulate a statistical management system for tracking GHG emissions, and encourage low-carbon lifestyles and green consumption patterns.
The LCCP covers every region in China, making it highly representative. Therefore, the LCCP implemented in China provides a good experimental environment for our research, making it reasonable to study the average treatment effect of regional LCCPs on the productivity of firms. We develop hypotheses and theoretically introduce the economic mechanism in the next section.

3.2. Theory and Hypothesis Development

The cost pressure pushed by the LCCP incentivizes firms to optimize their resource allocation by upgrading their technology so as to achieve improvements in production efficiency. Firms have to bear externality costs in the form of abatement costs, which encourages firms to control pollution. With the implementation of the LCCP, firms are severely penalized if they violate the carbon emissions requirements, which creates pressure on firms to reduce emissions. Firms can only choose to reduce output to meet the emissions requirements or optimize the allocation of resources to improve the production process, which reduces the carbon intensity per unit of output by improving production efficiency. Economists have argued that increased environmental costs have a negative impact on firm productivity [34]. However, the Porter hypothesis posits that this can only occur under static conditions. Firms always try to maximize their profit, which incentivizes them to raise production efficiency to reduce the carbon intensity per unit by optimizing the allocation of resources and innovation. The LCCP adopts a series of measures to promote technological innovation and firms’ positive emissions reduction behavior. They not only help to meet the emissions requirements and reduce the cost of carbon emissions but also develop green products and obtain market power in the new energy market [35]. The increase in potential benefits can help reduce the externalities of corporate emissions, making the costs and benefits of corporate emissions reduction more compatible [36]. From the perspective of firms’ resource allocation, it is usually believed that it is based on profit maximization, but the LCCP impacts firms’ production function. Firms are not only able to obtain the benefits of productivity improvement but also have the opportunity to capture the new energy market. Therefore, under the influence of the LCCP, firms’ management will have stronger incentives to optimize the allocation of resources or upgrade production processes to improve productivity.
Hypothesis 1.
The LCCP has a positive effect on firm productivity.
The LCCP is also characterized by a combination of policies. Each pilot city formulated corresponding development programs based on the local economic development, technology, and industry advantages, containing different types of policy tools, such as command-and-control, market-type, and voluntary policies. Meanwhile, pilot cities have also introduced various green financial policies. The implementation of the LCCP may bring about the improvement of energy efficiency in production processes to transform in the low-carbon direction, thus reducing the carbon intensity. This process will inevitably be accompanied by technological innovation, prompting firms to upgrade technologies and develop green technologies that meet the needs of low-carbon development. The Porter hypothesis suggests that environmental regulations affect firms’ production decisions through the compliance effect. Well-designed environmental policies can have a compensatory effect on innovation, leading to increased productivity. Firms have an incentive to innovate technology and reduce pollution emissions under pressure from their production processes to meet regulatory emissions levels, ultimately realizing both environmental and economic benefits.
Hypothesis 2.
The LCCP has a positive effect on firms by motivating them to innovate.
An imperfect market always leads to misallocation. Fiercer competition promotes the allocation of more resources to firms with higher productivity [37]. In contrast, many zombie firms can emerge in a market that lacks competition, which crowds out efficient firms and prevents potentially efficient firms from entering the market [38]. In a market with strong competition and efficient resource allocation, the dispersion of TFP among firms is low. In contrast, if distortions exist in the market, excessive resources are likely to be allocated to inefficient firms. Inefficient firms are unable to exit the market normally (i.e., zombie firms), which reduces resource allocation efficiency and is often reflected in increased TFP dispersion between firms. Therefore, we propose our second hypothesis.
The implementation of the LCCP increases the cost of doing business by adding abatement costs for firms so that low-productivity firms exit the market and resources are redistributed. At the same time, the market surplus created by the exit of firms is filled by potentially high-productivity firms. The implementation of the LCCP improves the exit mechanism of the market, allowing higher-productivity firms to remain and strengthening market competition and factor mobility, which increases the productivity of firms in the market as a whole.
Hypothesis 3.
The LCCP intensifies market competition and reduces TFP dispersion, which has a positive effect on firm productivity.

4. Data and Sample

4.1. Data

We primarily used two datasets for our empirical analysis, namely, SAT firm data and SIPO patent data. Our main firm data were obtained from the SAT, covering 2007–2016. The SAT is equivalent to the Internal Revenue Service in the United States and oversees national tax collection and auditing. Our data included firms’ administrative income tax records from 2007 to 2016. We obtained firm-level tax payment records and other financial data used in TFP calculations. Patent data were obtained from the SIPO patent database for firm-level R&D information. The SIPO database covers all patent information filed in China since September 1985.

4.2. Measuring Productivity

As described previously, we introduced two methods, OP and OPacf, to calculate firms’ TFP. The OP method uses investment as a proxy variable of unobservable productivity to address the endogeneity problem between production factors and productivity. We used the Ackerberg approach for robustness testing because it improves the calculation in two ways [8]. First, it uses intermediate inputs as the proxy variable as opposed to investment in the OP method to mitigate the challenge of “lumpy investments” associated with firm-level data. Second, it corrects the functional dependence problem that the OP method faces. This study used the OP method in the benchmark regression results and OPacf as a robustness test.

4.3. Control Variables

We included firm and city-level control variables in the regression in Table 1. Specifically, firm-level control variables included firm size (log of total assets), state-owned firms (equal to 1 if it is state-owned), capital density (net fixed assets divided by the number of employees), debt ratio (liabilities divided by net fixed assets), current ratio (current asset divided by total assets), lev (liabilities divided by total fixed assets), turn (operating income divided by assets), net assets (assets minus liabilities), roe (net profit divided by net assets), net cash flow, costinc (operating cost divided by revenue), and firm age. In addition, we included the city-level control variables industrialization level and unemployment rate.
Table 1. Definitions of the variables.

4.4. Sample Statistics

Our sample of firms covered 75% of China’s value-added tax and included all industrial firms. The data over the sample period covered 635,951 firms, with 291,592 firms in the treatment group and 344,359 firms in the control group. In addition, the annual city-level economic data used in this study were obtained from the China Urban Statistical Yearbook and the CEIC database.
We processed the data as follows: (1) Data from Lhasa city were excluded due to missing elements. (2) We only retained industrial firms in the original database, and (3) we excluded samples with missing or zero values for the amount of urban land use tax payable and total taxable land area. (4) We excluded samples with new investments in fixed assets, industrial added value, and fixed assets less than or equal to zero or missing values. (5) We removed samples with less than or equal to eight employees or missing values. (6) We winsorized extreme values 1% above and below the industrial added value, number of employees, fixed assets, land area stock, and new fixed asset investment in each industry. (7) We excluded samples of tobacco manufacturing and petroleum processing, coking, and nuclear fuel processing industries because these industries are mainly state-owned. Table 2 presents the descriptive statistics of the variables used in the analysis over the 2007–2016 period.
Table 2. Summary statistics of firm characteristics.

5. Empirical Strategy

To empirically analyze the impact of LCCP implementation on firms’ TFP in the pilot low-carbon cities, this study adopted the staggered DID approach, allowing us to effectively avoid the endogeneity problem. As previously described, in 2010, the NDRC launched the first batch of urban pilot projects in five provinces and eight cities. The NDRC released a list of the second batch of pilot cities in 2012, including Hainan Province and 28 additional cities. Due to varied timings, it was not possible to use the traditional DID to quantify the impact of the LCCP on firm productivity, but the staggered DID was suitable for evaluating the effect of the LCCP. Specifically, the staggered DID has two differences. One difference was between the treatment group and the control group; the treatment group included the cities taking part in the pilot, while the control group comprised cities that had never been part of the pilot. We set the experimental group as 1 and the control group as 0. The other difference was the time dimension, which was set to 0 before the policy occurred and to 1 afterward.
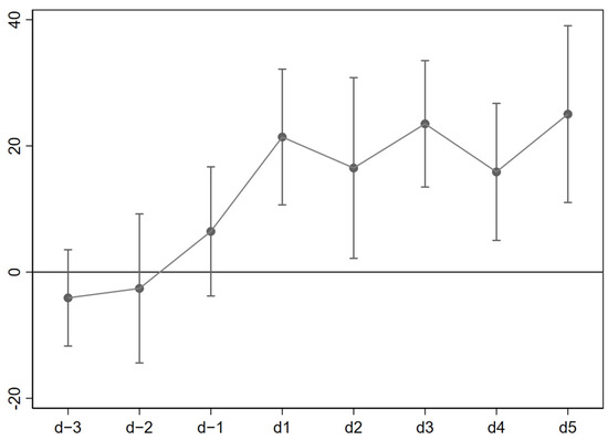
If firm productivity in the pilot and nonpilot cities conforms to the parallel trend assumption before policy impact, the DID estimate will represent the average processing effect of the LCCP on productivity as long as no policy interference is introduced at the same time as the LCCP. In particular, we first compared the firm productivity in the pilot and nonpilot cities before policy implementation (Figure 1). Since the influence of the LCCP is predominantly targeted at high-carbon emissions firms in the pilot cities, we primarily considered industrial firms, examining the trend two years before LCCP implementation to three years after implementation, as shown in Figure 1. The coefficients of d − 2 and d − 1 corresponding to the years before LCCP implementation indicated no significant differences in the productivity of treatment and control groups; however, divergence occurred after the LCCP was implemented, confirming that the DID estimation results would be robust. After the pilot policy’s launch, the coefficient of the corresponding variables became positive at the 1% level in the year after LCCP implementation.
Figure 1. Parallel trend test. The key assumption of DID is that the treatment and control groups must have the same or similar trends before exogenous policy implementation, with no significant trend differences. This study conducted a parallel trend test using the event study method. According to the relative timing of each variable and the corresponding city implementing the LCCP, a total of seven variables from t − 2 to t + 3 were defined. If year t was exactly j years after (or before) the pilot time corresponding to the pilot batch, t − j was 1; otherwise, t − j was 0.
The conclusion from applying the event study method demonstrated that firms’ TFP in the pilot and nonpilot cities exhibited the same trend prior to policy implementation. We then formally tested whether the firm TFP in the LCCP cities and nonpilot cities changed in response to the policy. We tested the impact of the LCCP on firms’ TFP through two-way fixed effects. We eliminated time trends that did not vary with individuals and firm characteristics that did not vary over time using time fixed effects and individual fixed effects. We additionally controlled for firm- and city-level control variables to mitigate endogeneity problems caused by omitted variables. These variables included firm size, state-owned firms, capital density, debt ratio, current ratio, lev, turn, net asset, roe, net cash flow, costinc, firm age industrialization level, and unemployment rate. We used the following regression specification:
TFP i , t =   β 0 +   β 1 Treat i , t +   γ X i , t +   δ t +   φ i +   ε i , t
where TFP i , t is the TFP of manufacturing firm i in year t, measured using the OP method; Treat i , t = 0 if city i is the treatment group and t if before the pilot implementation; Treat i , t = 1 if t is after the pilot implementation; Treat i , t = 0 if city i is the control group; X i , t denotes firm- and city-level control variables; β 1 is average treatment effect; φ i represents the individual firm’s fixed effect; δ t represents the year fixed effect; ε i , t is the error term.

6. Empirical Results

6.1. Baseline Results

Table 3 presents the results from regressing firms’ TFP on treatment indicators, firm and year fixed effects, and firm- and city-level control variables. In column (1), we controlled for firm and year fixed effects. We then examined how the LCCP affected firm-level productivity without introducing control variables. Compared to firms in the non-LCCP cities, those in the LCCP cities significantly improved productivity by 3%. In column (2), we introduced firm size, state-owned firms, capital density, debt ratio, current ratio, lev, turn, net asset, roe, net cash flow, and costinc firm-level control variables. The results revealed that the effect remained significantly positive. In column (3), we introduced the industrialization level and unemployment rate as city-level control variables. The coefficient is positive in columns (1) and (2), and the value remained the same after introducing firm- and city-level controls. Therefore, we conclude that the LCCP has had a significantly positive effect on firm TFP. The above shows that the results remained robust after controlling for endogeneity due to omitted variables, suggesting that the LCCP significantly increases firms’ TFP.
Table 3. Baseline results.
Our baseline results are consistent with those of the existing literature, demonstrating that environmental regulations improve firm productivity. For example, environmental regulations stimulate innovative activities such as R&D and patents [39,40], which advances firm productivity by enhancing innovation [6].
We propose two explanations regarding why LCCP implementation improves firm productivity in China. First, production efficiency is improved to reduce unit carbon intensity under the LCCP, and increased green innovation accelerates firms’ transformation from low to high efficiency. The LCCP forces firms to reach beyond their comfort zone and increase investment in R&D. Second, the LCCP makes the market more efficient. It compels high-carbon emissions firms to exit and incentivizes the entry of new firms. Fiercer competition causes more resources to be allocated to firms with higher productivity, redistributing resources from inefficient firms to efficient ones. As a result, low-productivity firms are eliminated, and high-productivity firms continue to operate, which increases the productivity of companies.

6.2. Robustness Tests

6.2.1. Placebo Test

We conducted a placebo test to confirm the robustness of the baseline results regarding the impact of LCCP implementation on firm productivity. We randomly arranged the time point of the LCCP for each firm and re-estimated the DID model, repeating the random test 1000 times. If the effects observed in the baseline findings were not caused by the LCCP but by random factors, the result would be the same as the previous results. If the results differed greatly from the previous analysis, this indicated that the effect of the LCCP on TFP was not random. Figure 2 presents the results of the placebo test. Notably, the average coefficient of influence of repeated pseudo-policy shocks ( β 1 ) was extremely close to 0, indicating that the pseudo-LCCP applied in the randomized trial had no treatment effect on firm productivity, which is far from the influence effect found above, confirming that the observed effects of the LCCP on productivity were not random.
Figure 2. Placebo test. Note: this figure presents the results of the placebo test in which we randomly arranged the timing of LCCP implementation for each firm and re-estimated the DID model, repeating the random test 1000 times.

6.2.2. Alternative Specifications

The OP approach assumes that firms can make immediate, cost-free adjustments to inputs when facing productivity shocks. Ackerberg et al. argued that a unified estimation can only be achieved when free and proxy variables are independent of one another [8]. Otherwise, a serious collinearity problem is evident between the estimated coefficients in the first step. The authors proposed a correction method to solve this problem, which is named OPacf.
Table 4 presents the results of several robustness tests using alternative TFP measures to examine the effect of the LCCP on TFP. The results report the effect of the LCCP on TFP. In column (1), we regressed TFP, which was measured according to Ackerberg et al. [11] on (treat × post) without firm- and city-level control variables. We then added firm- and city-level control variables in columns (2) and (3). Our baseline results remained robust, yielding consistent estimates that were also statistically significant and positive.
Table 4. The LCCP and TFP: alternative specifications.

6.2.3. PSM-DID

We used PSM-DID to further rule out selective bias. Specifically, we used firm size, capital density, current ratio, turn, and roe to match the control group, then regressed TFP on the indicator treatment again. Column (4) in Table 4 reveals that the LCCP had a significantly positive effect on firm productivity, which mirrors the previous regression, confirming that our baseline result is robust.

6.2.4. Synthesis Control Method

The selection of pilot cities may not be completely random, so simple identification based on the DID method may lead to biased results. To overcome the issue of endogenous policy, we further summed up TFP at the regional level and used synthetic controls to create a “counterfactual” control group for each pilot city, alleviating the above problems to an extent.
Specifically, we used the rationalization of industrial structure, level of economic development, financial investment, level of science and technology, degree of openness to the world, number of patents, level of human capital, and level of digitization to synthesize a control group for the pilot cities from the nonpilot cities. The results of the synthetic control are shown in Table 5, showing that the average treatment effect of the “low carbon city” pilot on TFP was 0.343. The parameter was positive and significant. The results of the synthetic control method are consistent with the staggered DID, which indicates the robustness of the impact of the LCCP on TFP.
Table 5. Synthesis control method.
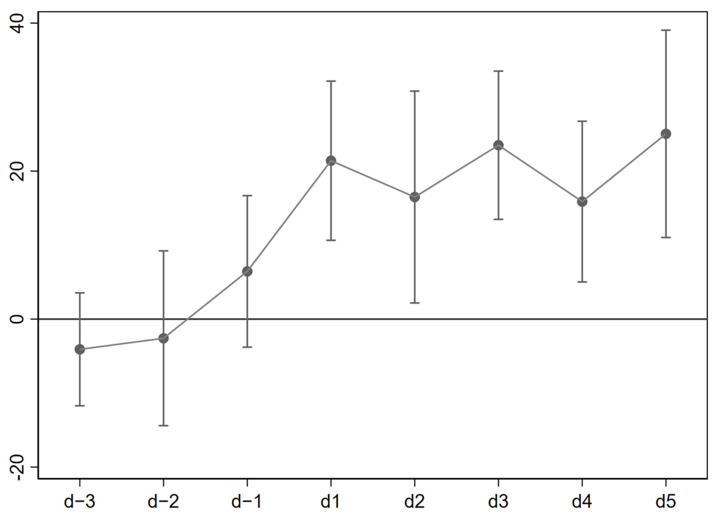
Figure 3 reports the dynamic effect of the synthetic control method. We defined the dummy variables from d − 3 to d5 according to the relative time when the cities in the treatment group experienced the LCCP. The dummy variable d − j was 1 when the cities in the treatment group were in the year j before the implementation of the policy; otherwise, it was 0. The dummy variable a_i was 1 when the cities in the treatment group were in the year i after the implementation of the policy; otherwise, it was 0. Based on the results of Figure 3, the coefficients of d − j were insignificant, which suggests that there was no significant difference in TFP between the treatment and control groups in the sample before the implementation of the LCCP. The coefficient was significantly positive after the policy shock, which indicates that the implementation of the LCCP had a significant positive effect on TFP levels.
Figure 3. Synthesis control method.

6.3. Heterogeneity Analysis

6.3.1. City Location

China has a vast land area with significant differences in economic and social development across regions, which can be geographically divided into east, central, and west. Due to the diverse economic development and industrial structure in each region, the impact of the LCCP on firms’ TFP is also expected to differ. Therefore, we examined the impact of the LCCP on firms’ TFP in different regions.
Columns (1)–(3) in Table 6 show that the LCCP only improved firms’ TFP in east China. The rationale for this may be that east China has been undergoing an industrial structural transformation. The pilot cities in this region have advanced industrial structures to attract mobility factors (such as senior talent) that prefer a high-quality environment [41]. Local governments are motivated by a race to the top in environmental regulations [42]. In the name of environmental protection, local governments acquire a large amount of industrial land and construct high-tech industrial parks to attract high-tech talent and firms, which promotes local economic development and drives other firms’ technological progress through agglomeration, spillover, and learning effects.
Table 6. Heterogeneity analysis: location and ownership.

6.3.2. Firms’ Ownership Nature

Finally, we considered the role of firm ownership in this process. Policy bias toward state-owned firms in developing countries is a major policy issue, particularly in China. Compared to the private economy, the state-owned economy has been generally regarded as inefficient, both theoretically and empirically [43,44,45]. Although state-owned firms’ profits have increased significantly since 2000, the primary reason behind this is that the demand generated by China’s accession to the World Trade Organization results in private firms dominating, with factor endowment advantages for the rapid development of labor-intensive industries [46]. However, the over-expansion of the state-owned economy in the early stage following the subprime crisis led to a slowdown in economic growth, and state-owned firms’ profits declined again due to weakening external demand and difficulty upgrading the industrial structure. Private firms’ profits are always higher than those of state-owned firms [47]. Meanwhile, China’s financial system is dominated by state-owned banks, and state-owned firms can obtain preferential credit allocation and enjoy preferential interest rates, while private firms generally face the problem of difficult access and expensive financing [48,49]. In summary, state-owned firms have greater advantages over private firms; therefore, we divided the sample according to state-owned and private firms for further investigation.
We present the results in columns (4) and (5) of Table 6, revealing that nonstate-owned firms’ TFP increased significantly following LCCP implementation, while the effect on state-owned firms’ TFP was negative but insignificant. These findings demonstrate that state-owned firms also had to reduce emissions after LCCP implementation. Since state-owned firms are supported by state funds, they will not close down even when affected by a negative shock, whereas LCCP implementation will eliminate low-productivity firms. Only firms that can adapt to the low-carbon pilot policy can survive, revealing that the coefficient of TFP is positive.

6.3.3. Firm Size

Firms that are smaller and firms with lower cash flow tend to be more financially constrained [50,51]. As a result, when confronted with policy shocks, smaller firms tend to cut back more on R&D expenditure and patents due to lower cash flows [52]. In contrast, large firms usually have much more capital and the ability to invest in environmental technologies to reduce costs from the LCCP. Meanwhile, large firms have much more innovative talent to improve resource utilization and energy efficiency through technological improvements.
We distinguished between large and small firm sizes by comparing them with the mean firm size in the sample. A firm was regarded as large if its size was larger than the mean; otherwise, it was regarded as a small firm. According to columns (1) and (2) in Table 7, large firms in the LCCP significantly increased their TFP, whereas small firms did not. This means that the LCCP can only incentivize large firms to innovate in R&D, while small firms, constrained by their lack of innovation capacity, choose not to innovate.
Table 7. Heterogeneity analysis: firm size and firm age.

6.3.4. Firm Age

Firms’ innovation activities change over time, so R&D investment varies by firm age. The older the firm, the more likely it tends to be to generate innovative activity [53]. Older firms tend to have more mature management with extensive experience in R&D innovation and dealing with policy regulation. As a result, they have a greater capacity to cope with policy shocks than later-established firms and can increase their TFP through R&D innovation.
We distinguished between firm age by the year of establishment. We compared the firm age to the sample mean, and when the firm’s year of establishment was greater than the median, it was considered an old firm; otherwise, it was considered a new firm. According to columns (3) and (4) in Table 7, the coefficient for old firms was significantly positive, while the coefficient for new firms was not significant, which verifies our hypothesis proposed above that older firms with richer R&D and innovation advantages can improve their TFP and effectively respond to the LCCP pilot policy.

6.3.5. Type of Industry

The type of industry of the firms also had a differential impact on the findings of this paper. Different industries have different modes of production and responses to the LCCP. The sample in this paper comprised industrial firms. Industrial firms can be divided into mining, manufacturing, and electricity, heat, gas, and water industries. Some industries, like the mining industry, have higher pollution due to their natural attributes. They do not necessarily have the ability to update their technology in a timely manner when the LCCP occurs due to the requirement of large equipment and the higher abatement technology, forcing them to reduce their productivity.
Therefore, we categorized the sample according to industry type. According to Table 8, in the manufacturing industry sample, the inclusion of firms in the Low-carbon City Pilot significantly contributed to the increase in TFP, while in the mining industry sample, firms in the LCCP suppressed their TFP. The parameters for firms in the production and supply of electricity, heat, gas, and water industries were not significant after the implementation of the LCCP.
Table 8. Heterogeneity analysis: firm types.

6.4. Mechanism Analysis

6.4.1. R&D Innovation Channel

Previous research has demonstrated that environmental regulations can stimulate firms’ innovation [5,6,33,40], and R&D innovation has a positive effect on firms’ productivity. However, it is unclear whether a place-based environment policy can raise productivity. In this section, we employed patent data obtained from SIPO and merged these data with the SAT database. The patent data included utility model patents, patent disclosure, patent authorization, and design patents. We summed all four patent values and measured R&D innovation using the logarithm. Invention patents are technologically complex and more difficult to imitate and apply to better capture corporate innovation.
Table 9 presents the empirical results examining the effect of LCCP implementation on firms’ R&D. Column (1) indicates that the LCCP had a significantly positive effect on R&D innovation as firms’ patents increased following its implementation. Columns (2) and (5) show that the LCCP only had a significantly positive effect on utility model patents but was insignificant for design patents. These empirical results indicate that firms only have the incentive to invest in utility model patent R&D that can raise firm productivity. Columns (3) and (4) show that patent disclosure was less likely to be affected as the parameter is close to zero. Meanwhile, patent authorization was positively affected by the LCCP, indicating that small firms try to apply for patent authorization to raise productivity.
Table 9. Mechanism I: R&D innovation.

6.4.2. R&D Expenditure Channel

Firms invest in R&D to develop product innovations. These knowledge investments improve firms’ productivity, which enables them to gain competitive advantages in the market [54]. Previous evidence from firm-level research for other countries has confirmed the positive role of R&D expenditure in explaining productivity growth [55]. One drawback of this research is the poor quality of firm-level R&D data; however, SAT data include firm-level R&D expenditure.
We regressed productivity on R&D expenditure in column (1) of Table 10, and the result revealed that the LCCP pushed the firms in pilot cities to invest more in R&D. This indicates that firms experiencing the LCCP do invest more money in R&D activities after the policy is implemented, which explains why the TFP was increased by the LCCP, i.e., firms had an incentive to invest more money in R&D and innovation. The implementation of the LCCP allowed firms to acquire green technologies by expanding their R&D activities to alleviate the pressure from the pilot policy, which is in line with the Porter hypothesis.
Table 10. Mechanism II.

6.4.3. Market Competition Channel

The impact of market competition on firms’ TFP is primarily related to two considerations. First, the Darwinian choice between firms with different productivities [10]. Competition shifts market share to more efficient firms (i.e., those with lower costs and usually lower prices), while less efficient firms gradually shrink or exit the market; therefore, the productivity threshold for potential entrants rises. Second, intensified competition prompts firms to increase R&D investment to improve firm productivity to escape the competition effect [56]. Some representative studies using a database of Chinese industrial firms have shown that market competition improves Chinese firms’ TFP [57].
We used the Herfindahl–Hirschman Index (HHI) to measure market competition, which is expressed by the sum of the squares of the market shares of all firms at the CIC 4-bit industry level, divided by operating income. Column (2) in Table 10 shows that the LCCP had a negative effect on market share, which implies that the LCCP intensifies market competition and reduces market share.

6.4.4. Market Power Channel

The HHI is calculated based on the market share of firms, and it is sensitive to the number of firms. The higher the number of companies, the smaller the HHI. There may be the following shortcomings: the market share does not directly reflect the pricing power of the firms and market competition and HHI is not sensitive enough to the competitiveness of new entrants. Therefore, we further measured the firms’ market monopoly power using the Lerner index by constructing (P-MC)/P to reflect the market power, in which the higher the Lerner index, the greater the firms’ monopoly power. Column (3) in Table 10 shows that the coefficient of the LCCP was significantly negative; that is, when the city was included in the Low-carbon City Pilot, it significantly reduced the firms’ market monopoly level.

6.4.5. Allocation Channel

Next, we calculated the standard deviation of firms’ TFP distribution in each two-digit manufacturing industry to obtain the standard deviation of TFP in each city in the current year. The logic behind this indicator is that a market with no distortions and orderly competition can fully leverage the decisive influence of the price mechanism on resource allocation. High-efficiency firms are more likely to be successful in a fully fair state of market competition, obtain more market share and production factors, and benefit from the allocation of production factors. From a dynamic perspective, fair competition ensures that the market’s “survival of the fittest” mechanism is fully enabled, encouraging efficient firms to enter the market and forcing inefficient firms to withdraw, with broad resource allocation efficiency improvement effects. Therefore, in a market with full competition and efficient resource allocation, the dispersion of TFP among firms is low. In contrast, if distortions exist in the market, excessive resources are likely to be distributed to inefficient firms; however, inefficient firms are unable to exit normally (i.e., zombie firms), reducing resource allocation efficiency, which is reflected in increased TFP dispersion between firms. The most significant advantage of this indicator is that it considers static and dynamic resource allocation efficiency.
Column (4) of Table 10 presents the empirical results concerning the effect of LCCP implementation on TFP dispersion. The results reveal that after LCCP implementation, TFP dispersion decreased significantly and tended toward the average. This indicates that environmental regulations such as the LCCP promote the withdrawal of firms with insufficient operating capacity from the market and concentrate more resources on firms with higher productivity. This is consistent with Melitz’s view (2003) of survival of the fittest. The establishment of the LCCP raised the abatement costs of firms to a certain extent, forcing less productive firms to exit the market as they could not afford the abatement costs. This improved the exit mechanism of the market and allowed resources to flow to high-productivity firms, thereby attracting potential high-productivity firms into the market.

7. Conclusions and Discussions

We used a comprehensive firm dataset to examine the effect of the LCCP on TFP to investigate the Porter hypothesis that environmental regulations can increase firm productivity using China’s LCCP, which was China’s first carbon policy, as an exogenous shock. The policy was promulgated by the central government and implemented by local governments based on local socioeconomic conditions. We used staggered DID to measure the treatment effect by comparing the TFP of firms in LCCP cities and non-LCCP cities before and after LCCP implementation.
The two comprehensive datasets revealed that the LCCP increased firm productivity by 3%, confirming the Porter hypothesis, which supports Hypothesis 1 that the LCCP has a positive effect on firm productivity. The conclusion is in line with what has been argued by Berman and Bui [21]. We also conducted a series of robustness tests using an alternative specification for productivity, a placebo, and PSM-DID, and the results remained robust. Firms in east China were positively influenced by the LCCP, while firms in central China were negatively influenced. Finally, the LCCP only had a positive effect on private firms and did not significantly impact state-owned firms.
We further explored the mechanisms, finding that after LCCP implementation, firms increased R&D expenditure and patents, which supports Hypothesis 2 that the LCCP has a positive effect on firms by motivating them to allocate more toward R&D expenditure. Our mechanisms are in line with what has been argued by Chen et al. [26]. Furthermore, the LCCP increased market competition and diminished firms’ market power, which supports Hypothesis 3 that the LCCP has a positive effect on firm productivity, which intensifies market competition and reduces TFP dispersion. Fiercer market competition eliminates low-productivity firms and redistributes resources to high-productivity firms. There are no papers directly focusing on market optimization by the LCCP. Our theoretical basis for this mechanism was Melitz’s work [10], which stated that the LCCP eliminates low-productivity firms from the market.
Finally, this study contributes to the growing body of literature on balancing environmental regulations and economic growth by revealing potential pathways for advancing the transition to a low-carbon economy. The results expand the understanding of the relationship between place-based climate policies and firm behavior, providing valuable insights to inform policymakers’ strategic development of targeted policies.
In contrast to the previous studies about the LCCP, we extended the study to the research of policy on firms’ productivity. Qian found a significant positive effect of the LCCP on carbon reduction [27]. Wolff assessed the impact of a low-carbon zone implemented in Europe in recent years on regional air quality by utilizing the DID method and constructing regional and temporal double differences [58]. Gehrsitz investigated the impact of low-carbon zone policies implemented in Germany on air quality and infant mortality rates by utilizing the DID method [59]. All of these studies found that low-carbon zone policies significantly improved local air quality and reduced infant mortality in Europe. Based on the previous study, our study provides another perspective. We focused on firms’ TFP. The empirical results showed that the LCCP facilitates firms’ TFP by motivating innovation and optimizing market allocation.
Our research is limited by sample selection due to the limited access to financial data for all firms in China, which means that it is difficult to set a structural model to examine the counterfactual effects of the LCCP. Our data were only publicly available for the 2007–2016 firm sample, which means that it was difficult for us to include the third wave of pilots in this paper. We could not study the impact of LCCP pilot policies on firms’ TFP over a longer time period. Updated data on firms will help us to fully examine the impact of LCCP policies on firms’ TFP. As the data are updated, we will have more microdata to study mechanisms, such as how patent citation and different patent types become mechanisms among the LCCP and firms’ TFP. In the future, we will also further study the mechanism by employing carbon policies and full sample data of firms in other countries.

8. Policy Implications

To build a sustainable energy system, the government should continue to construct the LCCP. We demonstrated that the LCCP effectively facilitates firms to engage in innovation and keep a balance between economic development and environmental protection.
In formulating and implementing policies, it is imperative to account for regional differences. The heterogeneity test results revealed that the LCCP positively influenced firms in the pilot cities located in the eastern region but had a negative impact on those in the central region. This divergence stems from the eastern region’s advanced reform and opening-up initiatives, accumulating robust capital reserves and strong R&D capabilities, which incentivize industrial transformation. Conversely, the central region’s weaker industrial foundation faces challenges as the LCCP could hinder firms’ development. Thus, policies should be tailored to the varying economic levels of different regions, providing strategic buffer zones and support for the central region to foster its transition. Concurrently, financial transfers should target regions with weaker industrial bases, helping them reduce carbon emissions and transition toward green development. Furthermore, policies can encourage firms to boost R&D investment by offering tax breaks, subsidies, and similar incentives.
Finally, the government should enhance financial support for the manufacturing sector and technological innovation. Encouraging banks and credit institutions to invest in the real economy, particularly in manufacturing and R&D, can lower financing barriers and diversify funding channels. Strengthening capital market development through improved regulation and promoting equity and bond financing can reduce firms’ reliance on traditional bank loans. Moreover, greater coordination among local governments, the central bank, and financial regulators can ensure that capital flows effectively into the real economy, minimizing speculative behavior and fostering sustainable growth.

Author Contributions

Data curation and writing—review and editing, J.H.; formal analysis, methodology, supervision, and writing—original draft, Y.M. All authors have read and agreed to the published version of the manuscript.

Funding

This research received no external funding.

Data Availability Statement

The data presented in this study are available on request from the corresponding author due to data size.

Conflicts of Interest

The authors declare no conflict of interest.

References

  1. Lu, W.; Wu, H.; Yang, S.; Tu, Y.P. Effect of environmental regulation policy synergy on carbon emissions in China under consideration of the mediating role of industrial structure. J. Environ. Manag. 2022, 322, 116053. [Google Scholar] [CrossRef] [PubMed]
  2. Bartik, T.J. Business Location Decisions in the United States: Estimates of the Effects of Unionization, Taxes, and Other Characteristics of States. J. Bus. Econ. Stat. 1985, 3, 14–22. [Google Scholar] [CrossRef]
  3. McConnell, V.D.; Schwab, R.M. The Impact of Environmental Regulation on Industry Location Decisions: The Motor Vehicle Industry. Land Econ. 1990, 66, 67–81. [Google Scholar] [CrossRef]
  4. Gray, W.B.; Shadbegian, R.J. Pollution Abatement Costs, Regulation, and Plant-Level Productivity; NBER Working Paper 4994; National Bureau of Economic Research: Cambridge, MA, USA, 1995. [Google Scholar]
  5. Jaffe, A.B.; Palmer, K. Environmental Regulation and Innovation: A Panel Data Study. Rev. Econ. Stat. 1997, 79, 610–619. [Google Scholar] [CrossRef]
  6. Porter, M.; Van der Linde, C. Green and competitive: Ending the stalemate. In The Dynamics of the Eco-Efficient Economy: Environmental Regulation and Competitive Advantage; Edward Elgar: Cheltenham, UK, 1995; p. 33. [Google Scholar]
  7. Olley, S.; Pakes, A. The Dynamics of Productivity in the Telecommunications Equipment Industry. Econometrica 1996, 64, 1263–1298. [Google Scholar] [CrossRef]
  8. Ackerberg, D.A.; Caves, K.; Frazer, G. Identification properties of recent production function estimators. Econometrica 2015, 83, 2411–2451. [Google Scholar] [CrossRef]
  9. Le, T.H.; Park, D.; Castillejos-Petalcorin, C. Performance comparison of state-owned enterprises versus private firms in selected emerging Asian countries. J. Asian Bus. Econ. Stud. 2023, 30, 26–48. [Google Scholar] [CrossRef]
  10. Melitz, M.J. The impact of trade on intra-industry reallocations and aggregate industry productivity. Econometrica 2003, 71, 1695–1725. [Google Scholar] [CrossRef]
  11. Greenstone, M. The Impacts of Environmental Regulations on Industrial Activity: Evidence from the 1970 and 1977 Clean Air Act Amendments and the Census of Manufactures. J. Political Econ. 2002, 110, 1175–1219. [Google Scholar] [CrossRef]
  12. Greenstone, M.; List, J.A.; Syverson, C. The Effects of Environmental Regulation on the Competitiveness of US Manufacturing; National Bureau of Economic Research: Cambridge, MA, USA, 2012. [Google Scholar]
  13. Fan, H.; Zivin, J.S.G.; Kou, Z.; Liu, X.; Wang, H. Going Green in China: Firms’ Responses to Stricter Environmental Regulations; NBER Working Paper 26540; National Bureau of Economic Research: Cambridge, MA, USA, 2019. [Google Scholar]
  14. He, G.; Wang, S.; Zhang, B. Watering Down Environmental Regulation in China. Q. J. Econ. 2020, 135, 2135–2185. [Google Scholar] [CrossRef]
  15. Li, K.; Lin, B. Impact of energy conservation policies on the green productivity in China’s manufacturing sector: Evidence from a three-stage DEA model. Appl. Energy 2016, 168, 351–363. [Google Scholar] [CrossRef]
  16. Calel, R.; Dechezleprêtre, A. Environmental Policy and Directed Technological Change: Evidence from the European Carbon Market. Rev. Econ. Stat. 2016, 98, 173–191. [Google Scholar] [CrossRef]
  17. Kartal, M.T. The role of consumption of energy, fossil sources, nuclear energy, and renewable energy on environmental degradation in top-five carbon producing countries. Renew. Energy 2022, 184, 871–880. [Google Scholar] [CrossRef]
  18. Henderson, J.V. Effects of Air Quality Regulation. Am. Econ. Rev. 1996, 86, 789–813. [Google Scholar]
  19. Levinson, A. Environmental regulations and industry location: International and domestic evidence. Fair Trade Harmon. Prerequisites Free. Trade 1996, 1, 429–457. [Google Scholar]
  20. Becker, R.A.; Henderson, J.V. Costs of air quality regulation. In Behavioral and Distributional Effects of Environmental Policy; University of Chicago Press: Chicago, IL, USA, 2001; pp. 159–186. [Google Scholar]
  21. Wolff, H. Keep Your Clunker in the Suburb: Low-emission Zones and Adoption of Green Vehicles. Econ. J. 2014, 124, 481–512. [Google Scholar]
  22. Greenstone, M.; Hanna, R. Environmental regulations, air and water pollution, and infant mortality in India. Am. Econ. Rev. 2014, 104, 3038–3072. [Google Scholar] [CrossRef]
  23. Chen, Z.; Kahn, M.E.; Liu, Y.; Wang, Z. The consequences of spatially differentiated water pollution regulation in China. J. Environ. Econ. Manag. 2018, 88, 468–485. [Google Scholar] [CrossRef]
  24. Ma, D.; Zhu, Y.; Yang, Y. How Green finance affects export production quality: Fresh evidence from China. Energy Econ. 2024, 131, 107381. [Google Scholar] [CrossRef]
  25. Tian, Y.; Song, W.; Liu, M. Assessment of how environmental policy affects urban innovation: Evidence from China’s low-carbon pilot cities program. Econ. Anal. Policy 2021, 71, 41–56. [Google Scholar] [CrossRef]
  26. Chen, Z.; Zhang, Y.; Wang, H.; Ouyang, X.; Xie, Y. Can green credit policy promote low-carbon technology innovation? J. Clean. Prod. 2022, 359, 132061. [Google Scholar] [CrossRef]
  27. Lv, Q.; Lv, T.; Li, C.; Wang, C.; Shi, J.; Xie, J. The Impact Mechanism of the Low-Carbon Pilot Policy on Urban Carbon Emissions in China. Sustainability 2024, 16, 9510. [Google Scholar] [CrossRef]
  28. Wan, X.; Jiang, T.; Li, S.; Nie, J. China’s carbon emissions structure and reduction potential on the supply-side and demand-side of energy: Under the background of four influencing factors. PLoS ONE 2021, 16, e0255387. [Google Scholar] [CrossRef]
  29. NDRC. China’s National Climate Change Programme; Technical Report; NDRC: Beijing, China, 2007. [Google Scholar]
  30. SCPRC. China’s Policies and Actions for Addressing Climate Change; Technical Report; SCPRC: Beijing, China, 2008. [Google Scholar]
  31. SCPRC. China to Cut 40 to 45% GDP Unit Carbon by 2020; Technical Report; SCPRC: Beijing, China, 2009. [Google Scholar]
  32. NPC. The Twelfth Five-Year Plan on National Economy and Social Development; Technical Report; NPC: Beijing, China, 2011. [Google Scholar]
  33. NPC. The Thirteenth Five-Year Plan on National Economy and Social Development; Technical Report; NPC: Beijing, China, 2016. [Google Scholar]
  34. Jorgenson, D.W.; Wilcoxen, P.J. Environmental regulation and US economic growth. RAND J. Econ. 1990, 21, 314–340. [Google Scholar] [CrossRef]
  35. Clarkson, P.M.; Li, Y.; Pinnuck, M.; Richardson, G.D. The valuation relevance of greenhouse gas emissions under the European Union carbon emissions trading scheme. Eur. Account. Rev. 2015, 24, 551–580. [Google Scholar] [CrossRef]
  36. Matisoff, D.C. Making Cap-and-Trade Work: Lessons from the European Union Experience. Environ. Sci. Policy Sustain. Dev. 2010, 52, 10–19. [Google Scholar] [CrossRef]
  37. Ding, S.; Jiang, W.; Sun, P. Import competition, dynamic resource allocation and productivity dispersion: Micro-level evidence from China. Oxf. Econ. Pap. 2016, 68, 994–1015. [Google Scholar] [CrossRef]
  38. Dhingra, S.; Morrow, J. Monopolistic competition and optimum product diversity under firm heterogeneity. J. Political Econ. 2019, 127, 196–232. [Google Scholar] [CrossRef]
  39. Newell, R.G.; Jaffe, A.B.; Stavins, R.N. The Induced Innovation Hypothesis and Energy-Saving Technological Change. Q. J. Econ. 1999, 114, 941–975. [Google Scholar] [CrossRef]
  40. Popp, D. Induced Innovation and Energy Prices. Am. Econ. Rev. 2002, 92, 160–180. [Google Scholar] [CrossRef]
  41. Zhao, W.; Toh, M.Y. Impact of Innovative City Pilot Policy on Industrial Structure Upgrading in China. Sustainability 2023, 15, 7377. [Google Scholar] [CrossRef]
  42. Konisky, D.M. Regulatory competition and environmental enforcement: Is there a race to the bottom? Am. J. Political Sci. 2007, 51, 853–872. [Google Scholar] [CrossRef]
  43. Hsieh, C.T.; Klenow, P.J. Misallocation and Manufacturing TFP in China and India. Q. J. Econ. 2009, 124, 1403–1448. [Google Scholar] [CrossRef]
  44. Brandt, L.; Zhu, X.D. Accounting for China’s Growth; IZA DP No.4764; IZA—Institute of Labor Economics: Bonn, Germany, 2010. [Google Scholar]
  45. Song, Z.; Storesletten, F.; Zilibotti, F. Growing Like China. Am. Econ. Rev. 2011, 101, 196–233. [Google Scholar] [CrossRef]
  46. Wakasugi, R.; Zhang, H. Impacts of the WTO accession on Chinese exports. J. Chin. Econ. Bus. Stud. 2016, 14, 347–364. [Google Scholar] [CrossRef]
  47. Yu, H. The ascendency of state-owned enterprises in China: Development, controversy and problems. J. Contemp. China 2014, 23, 161–182. [Google Scholar] [CrossRef]
  48. Arocena, P.; Oliveros, D. The efficiency of state-owned and privatized firms: Does ownership make a difference? Int. J. Prod. Econ. 2012, 140, 457–465. [Google Scholar] [CrossRef]
  49. Walter, C.E.; Howie, J.T. Red Capitalism: The Fragile Financial Foundation of China’s Extraordinary Rise; John Wiley & Sons: Hoboken, NJ, USA, 2012. [Google Scholar]
  50. Zwick, E.; Mahon, J. Tax policy and heterogeneous investment behavior. Am. Econ. Rev. 2017, 107, 217–248. [Google Scholar] [CrossRef]
  51. Huang, Y.; Pagano, M.; Panizza, U. Local crowding-out in China. J. Financ. 2020, 75, 2855–2898. [Google Scholar] [CrossRef]
  52. Fan, J.; Liu, Y.; Zhang, Q.; Zhao, P. Does government debt impede firm innovation? Evidence from the rise of LGFVs in China. J. Bank. Financ. 2022, 138, 106475. [Google Scholar] [CrossRef]
  53. Fan, S.; Wang, C. Firm age, ultimate ownership, and R&D investments. Int. Rev. Econ. Financ. 2021, 76, 1245–1264. [Google Scholar]
  54. Doraszelski, U.; Jaumandreu, J. R&D and productivity: Estimating endogenous productivity. Rev. Econ. Stud. 2013, 80, 1338–1383. [Google Scholar]
  55. Griliches, Z.; Mairesse, J. R&D and Productivity Growth: Comparing Japanese and US Manufacturing Firms. In Productivity Growth in Japan and the United States; University of Chicago Press: Chicago, IL, USA, 1990; pp. 317–348. [Google Scholar]
  56. Syverson, C. What Determines Productivity? J. Econ. Lit. 2011, 49, 326–365. [Google Scholar] [CrossRef]
  57. Demir, F.; Hu, C.; Liu, J.; Shen, H. Local Corruption. Total Factor Productivity and Firm Heterogeneity: Empirical Evidence from Chinese Manufacturing Firms. World Dev. 2022, 151, 105770. [Google Scholar] [CrossRef]
  58. Berman, E.; Bui, L.T.M. Environmental regulation and labor demand: Evidence from the south coast air basin. J. Public Econ. 2001, 79, 265–295. [Google Scholar] [CrossRef]
  59. Gehrsitz, M. The effect of low emission zones on air pollution and infant health. J. Environ. Econ. Manag. 2017, 83, 121–144. [Google Scholar] [CrossRef]
Disclaimer/Publisher’s Note: The statements, opinions and data contained in all publications are solely those of the individual author(s) and contributor(s) and not of MDPI and/or the editor(s). MDPI and/or the editor(s) disclaim responsibility for any injury to people or property resulting from any ideas, methods, instructions or products referred to in the content.

Article Metrics

Citations

Article Access Statistics

Multiple requests from the same IP address are counted as one view.