The Influence of Communication Strategies of Intelligent Agents in Production Systems on the Shift of Sustainable Solutions
Abstract
1. Introduction
2. Materials and Methods
- a Nash equilibrium—strategic sustainability of interaction;
- an evolutionarily stable strategy (ESS)—behavioral sustainability under mass adherence to established rules;
- a robust solution—retention of feasibility and optimality under changes in environmental parameters.
- Strategically sustainable: no agent (e.g., workshop, production unit, supplier) has an incentive to unilaterally deviate from the adopted strategy, thus satisfying the Nash equilibrium condition.
- Evolutionarily sustainable: if the majority of agents follow this strategy, then deviations by individual agents neither improve their outcomes nor disrupt system coherence (i.e., the strategy qualifies as evolutionarily stable, ESS).
- Robustly sustainable: the solution maintains feasibility and effectiveness under external changes (e.g., demand, resource availability, delivery schedules, equipment condition) within a defined parameter range.
3. Results
- Robust Stability
- Demonstrate the independence of system-level performance indicators from random factors.
- Demonstrate the dependence of system-level performance indicators on the communication strategies preferred by agents, for at least two groups defined by types of communication preferences, for example, groups with different values of the altruism coefficient.
- 2.
- Evolutionary Stability
- Identify a set of agent communication strategy preferences for which the system’s performance indicators do not change significantly. From this set, determine the strategies with maximum utility.
- 3.
- Strategic Stability
- Identify a set of agent communication strategy preferences for which the agents’ individual performance indicators do not change significantly. From this set, determine the strategies with maximum utility.
- 4.
- Constraint Definition
- Identify the set of constraints under which the stability conditions for the solution are satisfied.
4. Discussion and Conclusions
Author Contributions
Funding
Institutional Review Board Statement
Informed Consent Statement
Data Availability Statement
Conflicts of Interest
References
- Gintciak, A.M.; Burlutskaya, Z.V.; Daria, E.H. [i dr.] Fedyaevskaya. Cifrovoe Modelirovanie Sociotekhnicheskikh i Social’no-ehkonomicheskikh Sistem: Monografiya. 2023. Available online: https://elibrary.ru/yotcrs (accessed on 1 October 2025).
- Raev, V.K. Organizatsionnye sistemy. ITNOU Informatsionnye Tekhnologii Nauk. Obraz. Upr. 2019, 1, 94–100. [Google Scholar]
- Sharko, P.A.; Burlutskaya, Z.V.; Zubkova, D.A.; Gintciak, A.M.; Pospelov, K.N. AI-Supported Decision Making in Multi-Agent Production Systems Using the Example of the Oil and Gas Industry. Appl. Sci. 2025, 15, 5366. [Google Scholar] [CrossRef]
- Research on Approaches to Creating Intelligent Multi-Agent Systems for Predictive and Prescriptive Analytics in Industry” for 2024. [n.d.]. No. R&D 124062900023-5. (In Russian).
- Tennant, E.; Hailes, S.; Musolesi, M. Dynamics of moral behavior in heterogeneous populations of learning agents. In Proceedings of the AAAI/ACM Conference on AI, Ethics, and Society, San Jose, CA, USA, 21–23 October 2024; Volume 7, pp. 1444–1454. [Google Scholar]
- Antonova, A.S.; Aksenov, K.A. Primenenie Metodov Prinyatiya Reshenij i Planirovaniya Biznes-Processov na Osnove Mul’tiagentnogo Podkhoda. 2021. Available online: https://s.monographies.ru/doc/files/2021/12/file_61b994e30729c.pdf (accessed on 1 October 2025).
- Caridi, M.; Cavalieri, S. Multi-agent systems in production planning and control: An overview. Prod. Plan. Control 2004, 15, 106–118. [Google Scholar] [CrossRef]
- Caridi, M.; Sianesi, A. Multi-agent systems in production planning and control: An application to the scheduling of mixed-model assembly lines. Int. J. Prod. Econ. 2000, 68, 29–42. [Google Scholar] [CrossRef]
- Shukla, O.J.; Soni, G.; Kumar, R.; Ahluwalia, R.S. A review of multi agent-based production scheduling in manufacturing system. Recent Pat. Eng. 2021, 15, 15–32. [Google Scholar] [CrossRef]
- Siatras, V.; Bakopoulos, E.; Mavrothalassitis, P.; Nikolakis, N.; Alexopoulos, K. Production scheduling based on a multi-agent system and digital twin: A bicycle industry case. Information 2024, 15, 337. [Google Scholar] [CrossRef]
- Nouiri, M.; Trentesaux, D.; Bekrar, A. Towards energy efficient scheduling of manufacturing systems through collaboration between cyber physical production and energy systems. Energies 2019, 12, 4448. [Google Scholar] [CrossRef]
- Tan, J.; Braubach, L.; Jander, K.; Xu, R.; Chen, K. A novel multi-agent scheduling mechanism for adaptation of production plans in case of supply chain disruptions. AI Commun. 2020, 33, 1–12. [Google Scholar] [CrossRef]
- Gharaei, A.; Jolai, F. A multi-agent approach to the integrated production scheduling and distribution problem in multi-factory supply chain. Appl. Soft Comput. 2018, 65, 577–589. [Google Scholar] [CrossRef]
- Biasoto, L.P.; de Carvalho, V.R.; Sichman, J.S. Applying Multi-Agent Negotiation to Solve the Production Routing Problem with Privacy Preserving. arXiv 2024. [Google Scholar] [CrossRef]
- Motsch, W.; Wagner, A.; Ruskowski, M. Autonomous Agent-Based Adaptation of Energy-Optimized Production Schedules Using Extensive-Form Games. Sustainability 2024, 16, 3612. [Google Scholar] [CrossRef]
- Ebufegha, A.; Li, S. Multi-agent system model for dynamic scheduling in flexible job shop subject to random machine breakdown. In Proceedings of the 2022 Winter Simulation Conference (WSC), Singapore, 11–14 December 2022; IEEE: New York, NY, USA, 2022; pp. 1719–1730. [Google Scholar]
- Šůcha, P.; Agnetis, A.; Šidlovský, M.; Briand, C. Nash equilibrium solutions in multi-agent project scheduling with milestones. Eur. J. Oper. Res. 2021, 294, 29–41. [Google Scholar] [CrossRef]
- Jang, J.; Klabjan, D.; Liu, H.; Patel, N.S.; Li, X.; Ananthanarayanan, B.; Dauod, H.; Juang, T.-H. Scalable Multi-agent Reinforcement Learning for Factory-wide Dynamic Scheduling. arXiv 2024, arXiv:2409.13571. [Google Scholar]
- Issers, O.S. Kommunikativnye Strategii i Taktiki Russkoj Rechi. Available online: https://exlibrus.net/de/catalog/lingvistika--yazykoznanie/russkij--yazyk/kommunikativnye-strategii-i-taktiki-russkoj-rechi-107928 (accessed on 1 October 2025).
- Mikhal’skaya, A.K. Osnovy Ritoriki: Mysl’i Slovo; Prosveshchenie: Moscow, Russia, 1996. [Google Scholar]
- Karpenko, N.P.; Sejtkaziev, A.S.; Majmakova, A.K. Rechevye strategii manipulirovaniya soznaniem v SMI. Mezhdunarodnyj Nauchno-Issledovatel’skij Zhurnal 2016, 10, 125–132. [Google Scholar]
- Corbo, L.; Kraus, S.; Vlačić, B.; Dabić, M.; Caputo, A.; Pellegrini, M.M. Coopetition and innovation: A review and research agenda. Technovation 2023, 122, 102624. [Google Scholar] [CrossRef]
- Astashina, O.V. Kommunikativnye strategii v organizacii. Vestn. Nauk. I Obraz. Sev.-Zapada Ross. 2015, 1, 151–156. [Google Scholar]
- Nongaillard, A.; Mathieu, P.; Jaumard, B. A multiagent resource negotiation for the utilitarian welfare. In International Workshop on Engineering Societies in the Agents World; Springer: Berlin/Heidelberg, Germany, 2008; pp. 208–226. [Google Scholar]
- Wooldridge, M.J. An Introduction to Multiagent Systems; John Wiley & Sons: Hoboken, NJ, USA, 2009. [Google Scholar]
- Boissier, O.; Bordini, R.H.; Hubner, J.; Ricci, A. Multiagent Oriented Programming: Programming Multi-Agent Systems Using JaCaMo; MIT Press: Cambridge, MA, USA, 2020. [Google Scholar]
- Calegari, R.; Ciatto, G.; Mascardi, V.; Omicini, A. Logic-based technologies for multi-agent systems: A systematic literature review. Auton. Agents Multi-Agent Syst. 2021, 35, 1. [Google Scholar] [CrossRef]
- Drobnjakovic, M.; Kulvatunyou, B.; Ameri, F.; Will, C.; Smith, B.; Jones, A. The industrial ontologies foundry (IOF) core ontology. In Proceedings of the 12th International Workshop on Formal Ontologies Meet Industry, Tarbes, France, 12–15 September 2022. [Google Scholar]
- Hadzic, M.; Wongthongtham, P.; Dillon, T.; Chang, E. Ontology-Based Multi-Agent Systems; Springer: Berlin/Heidelberg, Germany, 2009. [Google Scholar]
- Lim, J.; Pfeiffer, L.; Ocker, F.; Vogel-Heuser, B.; Kovalenko, I. Ontology-Based Feedback to Improve Runtime Control for MultiAgent Manufacturing Systems. In Proceedings of the 2023 IEEE 19th International Conference on Automation Science and Engineering (CASE), Auckland, New Zealand, 26–30 August 2023; IEEE: New York, NY, USA, 2023; pp. 1–7. [Google Scholar]
- May, M.C.; Kiefer, L.; Kuhnle, A.; Lanza, G. Ontologybased production simulation with ontologysim. Appl. Sci. 2022, 12, 1608. [Google Scholar] [CrossRef]
- Chernyshev, S.A.; Magomedov, O.R. Mul’tiagentnaya Sistema Podderzhki Prinyatiya Reshenij Dlya Minimizacii Stoimosti gruppiruemykh Tovarov. Vestnik Rossijskogo Novogo Universiteta. Seriya: Slozhnye Sistemy: Modeli, Analiz i Upravlenie 4. 2022, pp. 97–107. Available online: https://vestnik-rosnou.ru/%D1%81%D0%BB%D0%BE%D0%B6%D0%BD%D1%8B%D0%B5-%D1%81%D0%B8%D1%81%D1%82%D0%B5%D0%BC%D1%8B-%D0%BC%D0%BE%D0%B4%D0%B5%D0%BB%D0%B8-%D0%B0%D0%BD%D0%B0%D0%BB%D0%B8%D0%B7-%D0%B8-%D1%83%D0%BF%D1%80%D0%B0%D0%B2%D0%BB%D0%B5%D0%BD%D0%B8%D0%B5-complex-systems-models-analysis-management/2022/4/97 (accessed on 8 December 2025).
- Cervantes, J.-A.; López, S.; Rodríguez, L.-F.; Cervantes, S.; Cervantes, F.; Ramos, F. Artificial moral agents: A survey of the current status. Sci. Eng. Ethics 2020, 26, 501–532. [Google Scholar] [CrossRef] [PubMed]
- Cointe, N.; Bonnet, G.; Boissier, O. Ethics-based cooperation in multi-agent systems. In Advances in Social Simulation: Looking in the Mirror; Springer: Berlin/Heidelberg, Germany, 2020; pp. 101–116. [Google Scholar]
- Parker, T. Ethical Evaluation in Multi-Agent Systems. Ph.D. Dissertation, Université de Toulouse, Toulouse, France, 2024. [Google Scholar]
- Balashov, V.G.; Zalozhnev, A.Y.; Novikov, D.A. Mekhanizmy upravleniya organizatsionnymi proektami. In Mechanisms of Organizational Management; ILU RAN Publ.: Moscow, Russia, 2003; p. 84. [Google Scholar]
- Doljatovskij, V.A.; Doljatovskij, L.V. Analiz i upravlenie razvitiyem organizatsionnykh sistem. Sist. Anal. V Proekt. I Upr. 2023, 26, 7–16. [Google Scholar]
- Unguryanu, T.N.; Grzhibovskij, A.M. Sravnenie trekh i bolee nezavisimykh grupp s ispol’zovaniem neparametricheskogo kriteriya Kraskela Uollisa v programme Stata. Ehkologiya Cheloveka 2014, 6, 55–58. [Google Scholar]
- Da Silva, S.; Bonini, S. Unintentional Evolution: The Rise of Reciprocal Altruism. Humans 2024, 4, 22–33. [Google Scholar] [CrossRef]


| Method Class | Mathematical Apparatus | Reference | Stability Criterion |
|---|---|---|---|
| Game-theoretic models | Extensive-form games, construction of game trees between scheduler and energy agents | Motsch W., Wagner A., Ruskowski M. Autonomous Agent-Based Adaptation of Energy-Optimized Production Schedules Using Extensive-Form Games //Sustainability.—2024.—T. 16.—No. 9.—C. 3612 [15]. | System’s ability to adapt to price changes or unexpected events with minimal performance loss |
| Agent-based dynamic planning | Decentralized task allocation by machine agents, real-time response to equipment failures | Ebufegha A., Li S. Multi-agent system model for dynamic scheduling in flexibile job shop subject to random machine breakdown //2022 Winter Simulation Conference (WSC).—IEEE, 2022.—C. 1719–1730 [16]. | Low sensitivity to failures (evaluated via flowtime across different failure scenarios) |
| Game-theoretic models (equilibrium solutions) | Nash equilibrium for multi-project scheduling with milestones | Šůcha P. et al. Nash equilibrium solutions in multi-agent project scheduling with milestones //European Journal of Operational Research.—2021.—T. 294.—No. 1.—C. 29–41 [17]. | Absence of agents’ incentive to change task durations (stability achieved at equilibrium point) |
| Machine learning in MAS | Multi-agent reinforcement learning (MARL), leader–follower coordination + rule-based conversion algorithm | Jang J. et al. Scalable Multi-agent Reinforcement Learning for Factory-wide Dynamic Scheduling //arXiv preprint arXiv:2409.13571.—2024 [18]. | Robustness to demand variability and prevention of production capacity loss through RL-agent decision correction |
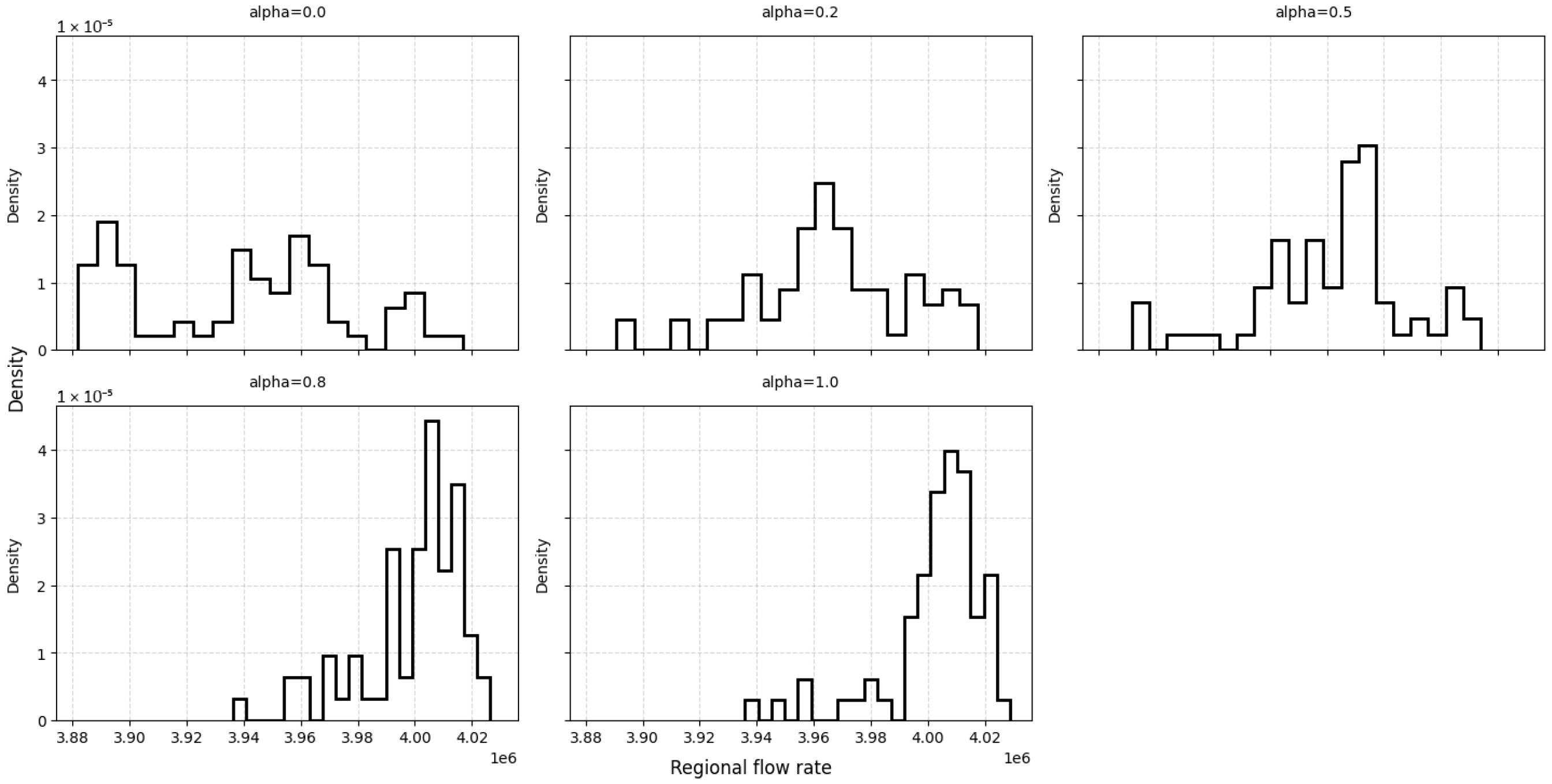
| Altruism coefficient | 0 | 0.2 | 0.5 | 0.8 | 1 |
| Coefficient of variation | 0.009445 | 0.006893 | 0.006569 | 0.004484 | 0.004300 |
| 0 | 0.2 | 0.5 | 0.8 | 1 | |
| 0 | 1 | 0.008 | 0.0675 | 0 | 0 |
| 0.2 | 0.008 | 1 | 1 | 0 | 0 |
| 0.5 | 0.0675 | 1 | 1 | 0 | 0 |
| 0.8 | 0 | 0 | 0 | 1 | 1 |
| 1 | 0 | 0 | 0 | 1 | 1 |
Disclaimer/Publisher’s Note: The statements, opinions and data contained in all publications are solely those of the individual author(s) and contributor(s) and not of MDPI and/or the editor(s). MDPI and/or the editor(s) disclaim responsibility for any injury to people or property resulting from any ideas, methods, instructions or products referred to in the content. |
© 2025 by the authors. Licensee MDPI, Basel, Switzerland. This article is an open access article distributed under the terms and conditions of the Creative Commons Attribution (CC BY) license (https://creativecommons.org/licenses/by/4.0/).
Share and Cite
Sharko, P.A.; Burlutskaya, Z.V.; Gintciak, A.M.; Beketov, S.M.; Lundaeva, K.A. The Influence of Communication Strategies of Intelligent Agents in Production Systems on the Shift of Sustainable Solutions. Sustainability 2025, 17, 11130. https://doi.org/10.3390/su172411130
Sharko PA, Burlutskaya ZV, Gintciak AM, Beketov SM, Lundaeva KA. The Influence of Communication Strategies of Intelligent Agents in Production Systems on the Shift of Sustainable Solutions. Sustainability. 2025; 17(24):11130. https://doi.org/10.3390/su172411130
Chicago/Turabian StyleSharko, Polina A., Zhanna V. Burlutskaya, Aleksei M. Gintciak, Salbek M. Beketov, and Karina A. Lundaeva. 2025. "The Influence of Communication Strategies of Intelligent Agents in Production Systems on the Shift of Sustainable Solutions" Sustainability 17, no. 24: 11130. https://doi.org/10.3390/su172411130
APA StyleSharko, P. A., Burlutskaya, Z. V., Gintciak, A. M., Beketov, S. M., & Lundaeva, K. A. (2025). The Influence of Communication Strategies of Intelligent Agents in Production Systems on the Shift of Sustainable Solutions. Sustainability, 17(24), 11130. https://doi.org/10.3390/su172411130

