Enhancing Anaerobic Digestion of Kitchen Waste via Functional Microbial Granular Sludge Addition
Abstract
1. Introduction
2. Materials and Methods
2.1. Inoculum and Substrate
2.2. Experiment Setup
2.3. Analytic Methods
2.4. Metagenomic Analysis
3. Results and Discussion
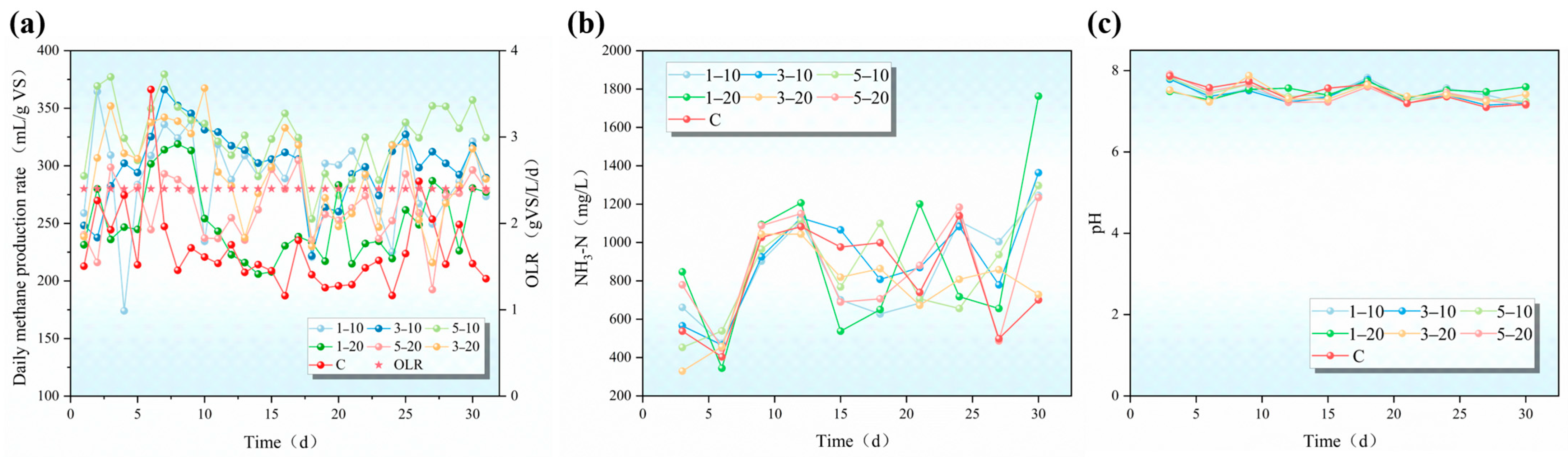
3.1. Performance of the AD System
3.2. Three-Dimensional Fluorescence Spectral Analysis
3.3. Functional Microbial Community Structure
3.4. Expression of Functional Genes in Key Organic Matter Metabolic Pathways
3.4.1. Pyruvate Conversion and Production
- (1)
- Acetate production
- (2)
- Propionate production
- (3)
- Butyric acid production
3.4.2. Methanogenesis Stage’s Metabolism
3.5. Expression of Energy Metabolism Functional Genes
3.6. Regulation of Genetic Information Processing
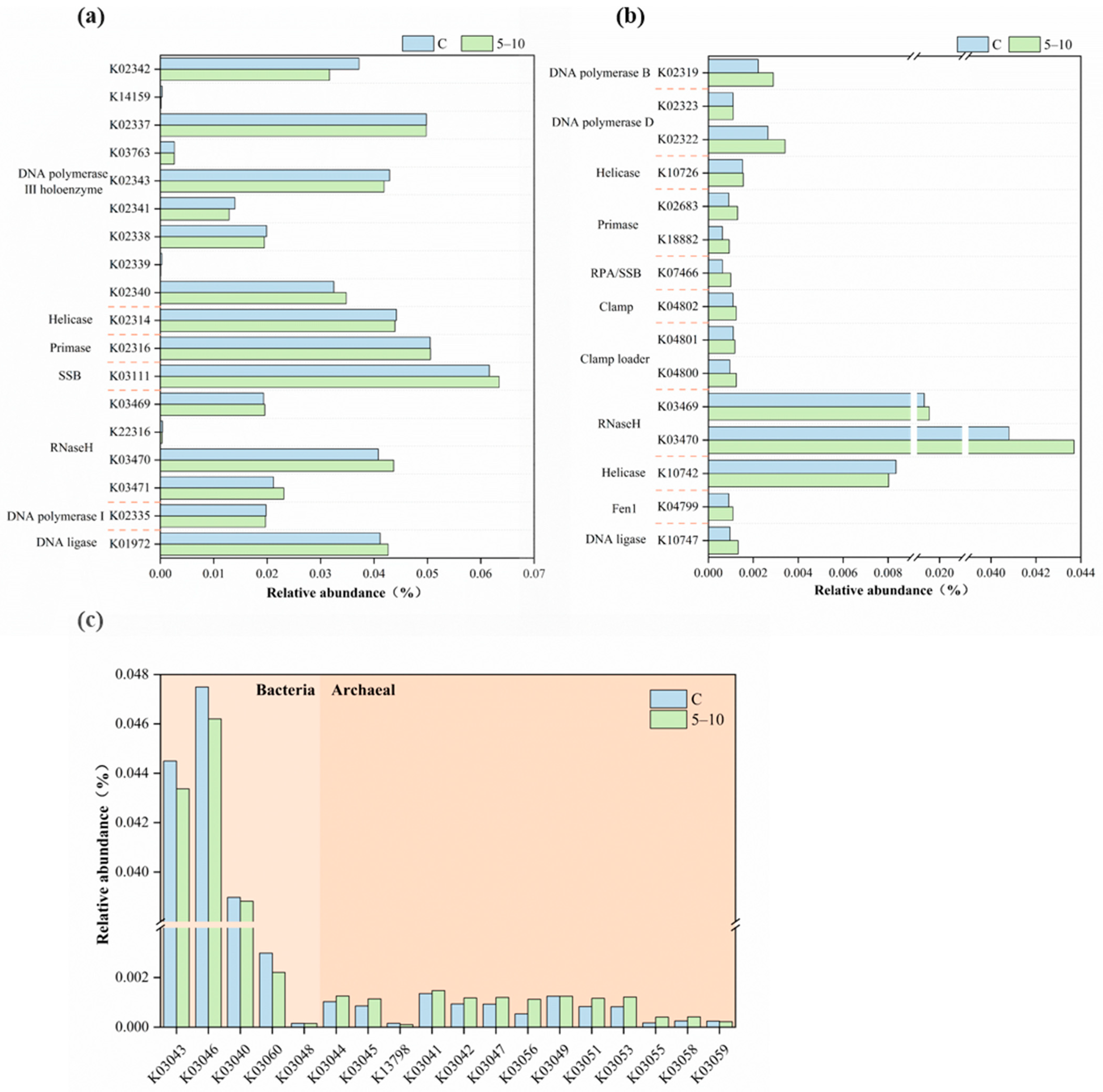
3.6.1. DNA Replication
3.6.2. Gene Transcription
3.6.3. Protein Translation
4. Conclusions
Supplementary Materials
Author Contributions
Funding
Institutional Review Board Statement
Informed Consent Statement
Data Availability Statement
Conflicts of Interest
References
- Gao, B.; Xue, Y.; Li, S.; Yang, J.; Dou, M.; Li, X. Modified ultrafiltration membrane to improve organic matter conversion in anaerobic digestion of kitchen waste: Performance and separation mechanism. J. Environ. Chem. Eng. 2025, 13, 118078. [Google Scholar] [CrossRef]
- Prepilková, V.; Poništ, J.; Schwarz, M.; Samešová, D. Challenges and opportunities for kitchen waste treatment—A review. Environ. Rev. 2023, 31, 632–642. [Google Scholar] [CrossRef]
- Wang, Z.; Li, L.; Hong, Y. Trilogy of comprehensive treatment of kitchen waste by bacteria-microalgae-fungi combined system: Pretreatment, water purification and resource utilization, and biomass harvesting. Sci. Total Environ. 2024, 949, 175160. [Google Scholar] [CrossRef]
- Hu, Y.; Wang, X.; Zhang, S.; Liu, S.; Hu, T.; Wang, X.; Wang, C.; Wu, J.; Xu, L.; Xu, G.; et al. Microbial response behavior to powdered activated carbon in high-solids anaerobic digestion of kitchen waste: Metabolism and functional prediction analysis. J. Environ. Manag. 2023, 337, 117756. [Google Scholar]
- Chen, L.; Li, S.; Zhang, J.; Zhen, F.; Shang, Z.; Yan, M.; Zhang, Y.; Zhang, P.; Sun, Y.; Li, Y. A critical review on bioaugmentation assisted anaerobic digestion for methane production: Performances, microbiome-functionalities and challenges. J. Environ. Manag. 2025, 380, 125127. [Google Scholar] [CrossRef]
- Fang, X.; Li, X.; Li, X.; Fan, J.; Yan, Y.; Tu, J. Characterization and quantitively analysis on the high solid anaerobic digestion in the large scale Stirred Tank Reactor. Renew. Energy 2025, 241, 122326. [Google Scholar] [CrossRef]
- Chen, W.; Bian, S.; Zhou, X.; Jia, R.; Li, X.; Yuan, H.; Zuo, X. Effect of the inoculum from different substrates on anaerobic digestion performance of corn stover and the microbial mechanisms analysis. Fuel 2024, 366, 131302. [Google Scholar] [CrossRef]
- Gong, Y.; Jin, Z.; Wang, X.; Zhang, Y. Improving methane production and 4-chlorophenol removal in anaerobic digestion of corn straw by adding Phanerochaete chrysosporium and biochar under microaerobic conditions. Water Res. 2025, 270, 122845. [Google Scholar] [CrossRef]
- Dohdoh, A.M.; Aboulfotoh, A.M. Hydrodynamic characteristics of UASB granular sludge produced from combined anaerobic/aerobic treatment systems. Desalination Water Treat. 2018, 124, 232–239. [Google Scholar] [CrossRef]
- Cui, P.; Ge, J.; Chen, Y.; Zhao, Y.; Wang, S.; Su, H. The Fe3O4 nanoparticles-modified mycelium pellet-based anaerobic granular sludge enhanced anaerobic digestion of food waste with high salinity and organic load. Renew. Energy 2022, 185, 376–385. [Google Scholar] [CrossRef]
- Zhang, S.; Hu, Y.; Fu, N.; Wu, J.; Wei, Q.; Wang, X.; Wang, X.; Hu, F. Enhancing kitchen waste anaerobic digestion by recycled aluminum industry waste: Alkali treatment and potential electron transfer mechanism. J. Environ. Chem. Eng. 2024, 12, 112409. [Google Scholar] [CrossRef]
- Zhang, A.; Gao, C.; Chen, T.; Xie, Y.; Wang, X. Treatment of fracturing wastewater by anaerobic granular sludge: The short-term effect of salinity and its mechanism. Bioresour. Technol. 2022, 345, 126538. [Google Scholar] [CrossRef]
- Jiang, J.; Li, L.; Li, Y.; He, Y.; Wang, C.; Sun, Y. Bioaugmentation to enhance anaerobic digestion of food waste: Dosage, frequency and economic analysis. Bioresour. Technol. 2020, 307, 123256. [Google Scholar] [CrossRef]
- Americal Publish Health Association. Standard Methods for the Examination of Water and Wastewater; Americal Publish Health Association: Washington, DC, USA, 2005. [Google Scholar]
- Linsong, H.; Lianhua, L.; Ying, L.; Changrui, W.; Yongming, S. Bioaugmentation with methanogenic culture to improve methane production from chicken manure in batch anaerobic digestion. Chemosphere 2022, 303, 135127. [Google Scholar] [CrossRef] [PubMed]
- Wang, X.; Li, X.; Xie, Y.; Zhang, J.; Ran, J.; Zhang, M.; Zhang, L.; Zhang, A.; Zhu, C. Enhancing anaerobic digestion of actual papermaking wastewater with addition of Fenton sludge. J. Water Process Eng. 2024, 63, 105520. [Google Scholar] [CrossRef]
- Li, Z.-Y.; Inoue, D.; Ike, M. Mitigating ammonia-inhibition in anaerobic digestion by bioaugmentation: A review. J. Water Process Eng. 2023, 52, 103506. [Google Scholar] [CrossRef]
- Wang, K.; Yun, S.; Ke, T.; An, J.; Abbas, Y.; Liu, X.; Zou, M.; Liu, L.; Liu, J. Use of bag-filter gas dust in anaerobic digestion of cattle manure for boosting the methane yield and digestate utilization. Bioresour. Technol. 2022, 348, 126729. [Google Scholar] [CrossRef]
- Jiang, X.; Li, Z.; Lin, K.; Zhao, Y.; Su, L.; Wu, T.; Zhou, T. Enhancement of anaerobic digestion from food waste via inert substances based on metagenomic analysis: Oxidative phosphorylation and metabolism. Environ. Res. 2024, 246, 118033. [Google Scholar] [CrossRef] [PubMed]
- Wang, X.; Han, M.; Li, W.; Liu, X.; Lv, L.; Gao, W.; Liu, X.; Sun, L.; Liang, J.; Zhang, G.; et al. Enhanced anaerobic digestion of landfill leachate based on a novel redox mediator: Synergistic mechanism of enhancing extracellular electron transfer. Chem. Eng. J. 2024, 490, 151649. [Google Scholar] [CrossRef]
- Yuan, Y.; Cai, X.; Wang, Y.; Zhou, S. Electron transfer at microbe-humic substances interfaces: Electrochemical, microscopic and bacterial community characterizations. Chem. Geol. 2017, 456, 1–9. [Google Scholar] [CrossRef]
- He, Z.-W.; Wang, F.; Zou, Z.-S.; Tang, C.-C.; Zhou, A.-J.; Liu, W.; Ren, Y.-X.; Li, Z.; Wang, A. Recent advances and perspectives in roles of humic acid in anaerobic digestion of waste activated sludge. Chem. Eng. J. 2023, 466, 143081. [Google Scholar] [CrossRef]
- Jiang, J.; Kappler, A. Kinetics of Microbial and Chemical Reduction of Humic Substances: Implications for Electron Shuttling. Environ. Sci. Technol. 2008, 42, 3563–3569. [Google Scholar] [CrossRef]
- Liu, Y.; Ying, L.; Li, H.; Awasthi, M.K.; Tian, D.; He, J.; Zou, J.; Lei, Y.; Shen, F. Allophane improves anaerobic digestion of chicken manure by alleviating ammonia inhibition and intensifying direct interspecies electron transfer. Bioresour. Technol. 2024, 400, 130692. [Google Scholar] [CrossRef]
- Wang, L.; He, Y.; Zhu, Y.; Ping, Q.; Li, Y. Insight into using hydrochar to alleviate ammonia nitrogen inhibition during anaerobic digestion of waste activated sludge: Performance, metagenomic and metabolomic signatures. Sci. Total Environ. 2024, 916, 170196. [Google Scholar] [CrossRef]
- Wang, R.; Li, C.; Lv, N.; Pan, X.; Cai, G.; Ning, J.; Zhu, G. Deeper insights into effect of activated carbon and nano-zero-valent iron addition on acidogenesis and whole anaerobic digestion. Bioresour. Technol. 2021, 324, 124671. [Google Scholar] [CrossRef]
- Yu, C.; Dongsu, B.; Tao, Z.; Zhe, K.; Xintong, J.; Siqi, W.; Ming, C.; Zheng, S.; Yalei, Z. Anaerobic co-digestion of PBAT/PLA/starch commercial bio-plastic bags with food waste: Effects on methane production and microbial community structure. Biochem. Eng. J. 2023, 199, 109072. [Google Scholar] [CrossRef]
- Hu, Y.; Wei, Q.; Wang, X.; Zhang, S.; Liu, S.; Fu, N.; Liu, Z.; Zou, Z.; Wu, J.; Wang, C. Enhancing High Solid Anaerobic Digestion of Kitchen Waste with Red Mud Addition: Performance and Microbial Community. Water Air Soil Pollut. 2024, 235, 34. [Google Scholar] [CrossRef]
- Öztep, G.; Güngören-Madenoğlu, T.; Özdemir, G.; Işık, E.; Serez, H.; Kabay, N.; Yüksel, M. Optimization and microbial community analysis for anaerobic digestion of water hyacinth (Eichhornia crassipes) with waste sludge at different solid contents and temperatures. Environ. Technol. Innov. 2023, 32, 103395. [Google Scholar] [CrossRef]
- Sakaveli, F.; Petala, M.; Tsiridis, V.; Karas, P.A.; Karpouzas, D.G.; Darakas, E. Effect of attapulgite on anaerobic digestion of primary sludge and downstream valorization of produced biosolids. Renew. Energy 2023, 217, 119211. [Google Scholar] [CrossRef]
- Yang, J.; Liu, K.; Yi, W.; Si, B.; Tian, C.; Yang, G. Effects of biochar, granular activated carbon, and magnetite on the electron transfer of microbials during the anaerobic digestion process: Insights into nitrogen heterocyclic compounds degradation. Fuel 2024, 358, 130079. [Google Scholar] [CrossRef]
- Hu, P.; Xiao, M.; Wang, N.; Zhang, S.; Shi, J.; Shi, J.; Tang, T.; Liu, L. Metagenome reveals the possible mechanism that microbial strains promote methanogenesis during anaerobic digestion of food waste. Environ. Res. 2024, 251, 118723. [Google Scholar] [CrossRef]
- Rotaru, A.-E.; Shrestha, P.M.; Liu, F.; Shrestha, M.; Shrestha, D.; Embree, M.; Zengler, K.; Wardman, C.; Nevin, K.P.; Lovley, D.R. A new model for electron flow during anaerobic digestion: Direct interspecies electron transfer to Methanosaeta for the reduction of carbon dioxide to methane. Energy Environ. Sci. 2014, 7, 408–415. [Google Scholar] [CrossRef]
- Zhong, Y.; He, J.; Zhang, P.; Zou, X.; Pan, X.; Zhang, J. Effects of different particle size of zero-valent iron (ZVI) during anaerobic digestion: Performance and mechanism from genetic level. Chem. Eng. J. 2022, 435, 134977. [Google Scholar] [CrossRef]
- Zhang, W.; Kong, T.; Xing, W.; Li, R.; Yang, T.; Yao, N.; Lv, D. Links between carbon/nitrogen ratio, synergy and microbial characteristics of long-term semi-continuous anaerobic co-digestion of food waste, cattle manure and corn straw. Bioresour. Technol. 2022, 343, 126094. [Google Scholar] [CrossRef] [PubMed]
- Rahimieh, A.; Akhavan, G.; Mousazadehgavan, M.; Mehriar, M.; Javadi, A. Propionate production and degradation in the biological wastewater treatment: A mini review on the role of additives in anaerobic digestion. Desalination Water Treat. 2024, 319, 100555. [Google Scholar] [CrossRef]
- Shi, X.; Yasuda, S.; Wang, Z.; Hu, Y.; Wu, G.; Lens, P.; Zhan, X. Microbial transitions and degradation pathways driven by butyrate concentration in mesophilic and thermophilic anaerobic digestion under low hydrogen partial pressure. Bioresour. Technol. 2025, 419, 132012. [Google Scholar] [CrossRef]
- Li, Y.; Park, J.-S.; Deng, J.-H.; Bai, Y. Cytochrome c oxidase subunit IV is essential for assembly and respiratory function of the enzyme complex. J. Bioenerg. Biomembr. 2006, 38, 283–291. [Google Scholar] [CrossRef]








| Parameters | Unit | Kitchen Waste | Inoculum | Granular Sludge |
|---|---|---|---|---|
| TS | % | 33.02 ± 0.41 | 23.56 ± 0.45 | 11.90 ± 0.35 |
| VS | % | 31.88 ± 0.38 | 14.38 ± 0.31 | 7.87±0.30 |
| NH3-N | mg/kg | 617.31 ± 8.43 | 464.33 ± 10.54 | 1200.90 ± 11.24 |
| COD | g/kg | 226.43 ± 7.15 | 117.50 ± 2.62 | 60.07 ± 1.33 |
Disclaimer/Publisher’s Note: The statements, opinions and data contained in all publications are solely those of the individual author(s) and contributor(s) and not of MDPI and/or the editor(s). MDPI and/or the editor(s) disclaim responsibility for any injury to people or property resulting from any ideas, methods, instructions or products referred to in the content. |
© 2025 by the authors. Licensee MDPI, Basel, Switzerland. This article is an open access article distributed under the terms and conditions of the Creative Commons Attribution (CC BY) license (https://creativecommons.org/licenses/by/4.0/).
Share and Cite
Liu, Z.; Hu, Y.; Wang, X.; Fu, N. Enhancing Anaerobic Digestion of Kitchen Waste via Functional Microbial Granular Sludge Addition. Sustainability 2025, 17, 10956. https://doi.org/10.3390/su172410956
Liu Z, Hu Y, Wang X, Fu N. Enhancing Anaerobic Digestion of Kitchen Waste via Functional Microbial Granular Sludge Addition. Sustainability. 2025; 17(24):10956. https://doi.org/10.3390/su172410956
Chicago/Turabian StyleLiu, Zugen, Yuying Hu, Xin Wang, and Ningxin Fu. 2025. "Enhancing Anaerobic Digestion of Kitchen Waste via Functional Microbial Granular Sludge Addition" Sustainability 17, no. 24: 10956. https://doi.org/10.3390/su172410956
APA StyleLiu, Z., Hu, Y., Wang, X., & Fu, N. (2025). Enhancing Anaerobic Digestion of Kitchen Waste via Functional Microbial Granular Sludge Addition. Sustainability, 17(24), 10956. https://doi.org/10.3390/su172410956
