Climate-Driven Changes in Air Quality: Trends Across Emission and Socioeconomic Pathways
Abstract
1. Introduction
2. Materials and Methods
2.1. The Climate Scenarios
- SSP1 (Sustainability—Taking the Green Road) focused on international cooperation, eco-friendly technologies, renewable energy, and low-resource lifestyles, assuming high economic growth, which results in relatively low challenges for climate mitigation and adaptation.
- SSP2 (Middle of the Road) followed a “business-as-usual” approach with modest technological progress, environmental improvements, and reduced energy/resource intensity, which resulted in intermediate challenges that varied between countries.
- SSP3 (Regional Rivalry—A Rocky Road) focused on high fossil-fuel dependence, resource intensiveness, and limited international cooperation due to nationalism, and slow technological development and economic growth create substantial challenges for climate mitigation and adaption.
- SSP4 (Inequality—A Road Divided) considered growing inequalities due to uneven investments in human capital, with some regions developing low-carbon technologies and integrating political/business elites, which led to low mitigation challenges, while other regions faced high adaptation challenges due to a lack of access to resources.
- SSP5 (Fossil-fueled Development—Taking the Highway) was characterized by extensive fossil fuel exploitation together with energy-intensive lifestyles and substantial investment in health, education, and institutions, which resulted in significant challenges despite strong economic growth and development.
2.2. The AQ Modeling System
2.2.1. Atmospheric Pollutant Emissions
2.2.2. Air Quality Modeling and Setup
2.3. Human Health Impacts
3. Results and Discussion
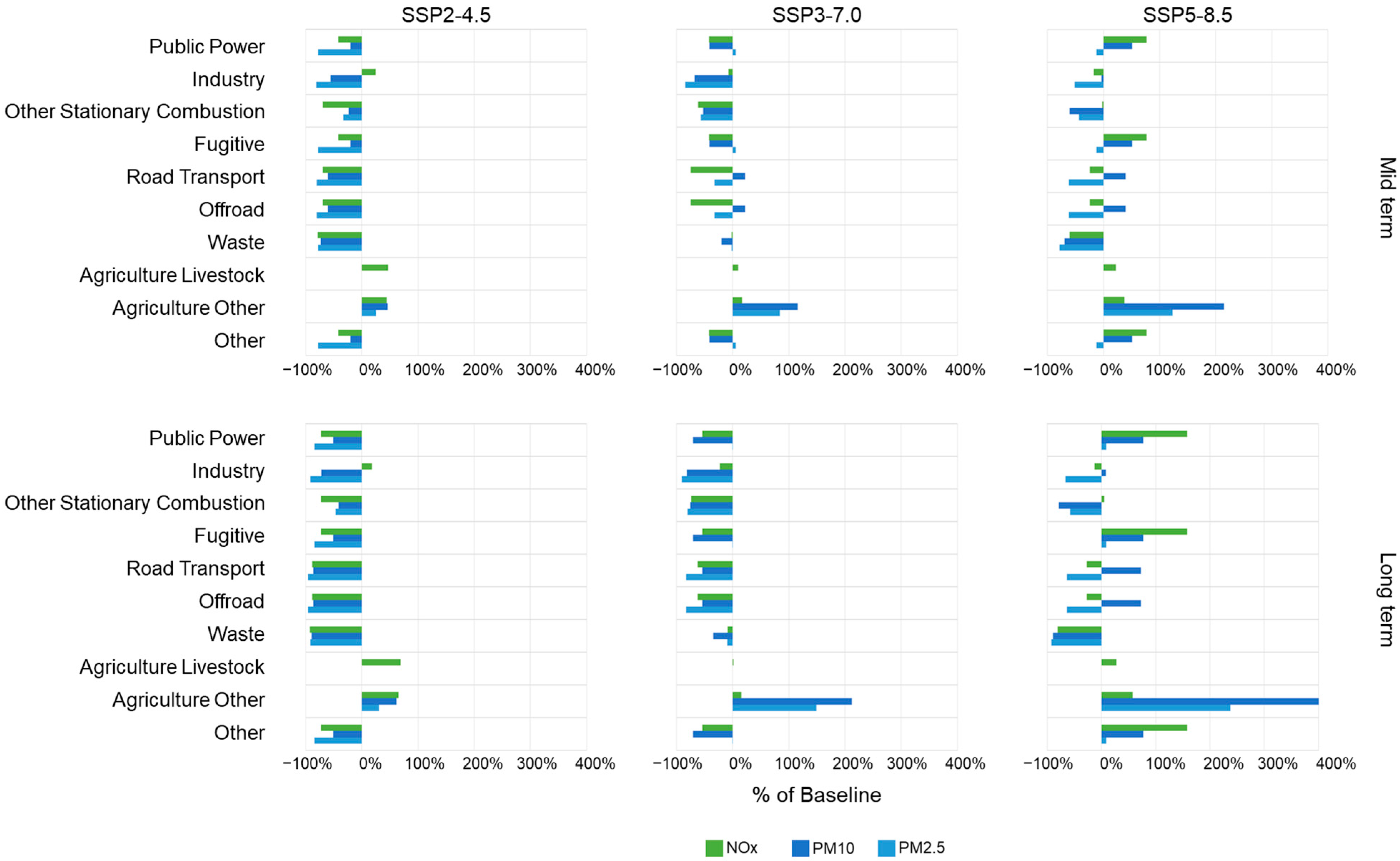
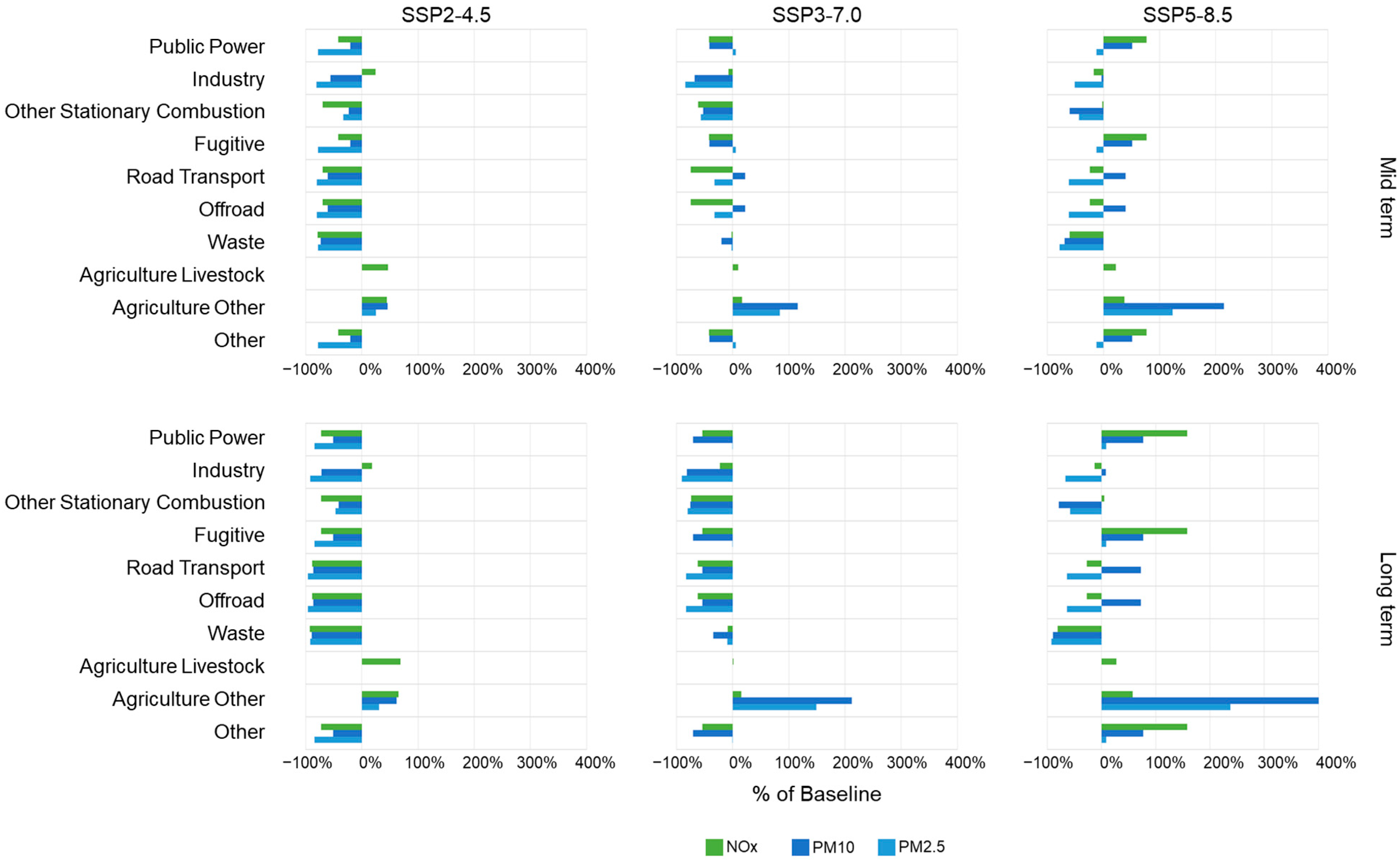
3.1. Air Quality in Future Climate Change Scenarios
3.2. Premature Deaths
3.3. Limitations, Future Perspectives, and Police Recommendations
4. Summary and Conclusions
Author Contributions
Funding
Institutional Review Board Statement
Informed Consent Statement
Data Availability Statement
Conflicts of Interest
Abbreviations
| AQG | Air Quality Guidelines |
| CC | Climate Change |
| CMIP6 | Coupled Model Intercomparison Project Phase 6 |
| EMEP | European Monitoring and Evaluation Programme |
| FAIRMODE | Forum for Air quality Modelling |
| GCM | General Circulation Model |
| GHG | Greenhouse Gases |
| GNFR | Gridded Nomenclature For Reporting |
| IPCC | Intergovernmental Panel on Climate Change |
| MQO | Model Quality Objectives |
| MPI-M | Max Planck Institute for Meteorology |
| MPI-M-ESM-1.2-HR | High-Resolution Earth System Model |
| SDG | Sustainable Development Goals |
| SSP | Shared Socioeconomic Pathways |
| WHO | World Health Organization |
| WRF | Weather Research & Forecasting |
References
- Dimitriou, K.; Kassomenos, P. The Covariance of Air Quality Conditions in Six Cities in Southern Germany—The Role of Meteorology. Sci. Total Environ. 2017, 574, 1611–1621. [Google Scholar] [CrossRef] [PubMed]
- Dean, A.; Green, D. Climate Change, Air Pollution and Human Health in Sydney, Australia: A Review of the Literature. Environ. Res. Lett. 2018, 13, 053003. [Google Scholar] [CrossRef]
- Hou, P.; Wu, S. Long-Term Changes in Extreme Air Pollution Meteorology and the Implications for Air Quality. Sci. Rep. 2016, 6, 23792. [Google Scholar] [CrossRef]
- Giorgio, G.A.; Ragosta, M.; Telesca, V. Climate Variability and Industrial-Suburban Heat Environment in a Mediterranean Area. Sustainability 2017, 9, 775. [Google Scholar] [CrossRef]
- Yang, J.; Shao, M. Impacts of Extreme Air Pollution Meteorology on Air Quality in China. J. Geophys. Res. Atmos. 2021, 126, e2020JD033210. [Google Scholar] [CrossRef]
- Zittis, G.; Hadjinicolaou, P.; Fnais, M.; Lelieveld, J. Projected Changes in Heat Wave Characteristics in the Eastern Mediterranean and the Middle East. Reg. Environ. Change 2016, 16, 1863–1876. [Google Scholar] [CrossRef]
- D’Amato, G.; Baena-Cagnani, C.E.; Cecchi, L.; Annesi-Maesano, I.; Nunes, C.; Ansotegui, I.; D’Amato, M.; Liccardi, G.; Sofia, M.; Canonica, W.G. Climate Change, Air Pollution and Extreme Events Leading to Increasing Prevalence of Allergic Respiratory Diseases. Multidiscip. Respir. Med. 2013, 8, 12. [Google Scholar] [CrossRef]
- Zhang, H.; Wang, Y.; Park, T.W.; Deng, Y. Quantifying the Relationship between Extreme Air Pollution Events and Extreme Weather Events. Atmos. Res. 2017, 188, 64–79. [Google Scholar] [CrossRef]
- Ragosta, M.; D’emilio, M.; Casaletto, L.; Telesca, V. A Statistical Procedure for Analyzing the Behavior of Air Pollutants during Temperature Extreme Events: The Case Study of Emilia-Romagna Region (Northern Italy). Appl. Sci. 2021, 11, 8266. [Google Scholar] [CrossRef]
- De Sario, M.; Katsouyanni, K.; Michelozzi, P. Climate Change, Extreme Weather Events, Air Pollution and Respiratory Health in Europe. Eur. Respir. J. 2013, 42, 826–843. [Google Scholar] [CrossRef]
- Jacob, D.J.; Winner, D.A. Effect of Climate Change on Air Quality. Atmos. Environ. 2009, 43, 51–63. [Google Scholar] [CrossRef]
- Fu, T.M.; Tian, H. Climate Change Penalty to Ozone Air Quality: Review of Current Understandings and Knowledge Gaps. Curr. Pollut. Rep. 2019, 5, 159–171. [Google Scholar] [CrossRef]
- EC (European Commission). European Climate Law. Available online: https://climate.ec.europa.eu/eu-action/european-climate-law_en (accessed on 20 November 2025).
- Penrod, A.; Zhang, Y.; Wang, K.; Wu, S.Y.; Leung, L.R. Impacts of Future Climate and Emission Changes on U.S. Air Quality. Atmos. Environ. 2014, 89, 533–547. [Google Scholar] [CrossRef]
- Zlatev, Z.; Moseholm, L. Impact of Climate Changes on Pollution Levels in Denmark. Ecol. Model. 2008, 217, 305–319. [Google Scholar] [CrossRef]
- Krzyzanowski, M.; Cohen, A. Update of WHO Air Quality Guidelines. Air Qual. Atmos. Health 2008, 1, 7–13. [Google Scholar] [CrossRef]
- WHO. WHO Global Air Quality Guidelines: Particulate Matter (PM2.5 and PM10), Ozone, Nitrogen Dioxide, Sulfur Dioxide and Carbon Monoxide; WHO: Geneva, Switzerland, 2021. [Google Scholar]
- Directive (EU) 2024/2881 of the European Parliament and of the Council of 23 October 2024 on Ambient Air Quality and Cleaner Air for Europe (Recast). Official Journal of the European Union, OJ L. 20 November 2024. Available online: https://environment.ec.europa.eu/publications/revision-eu-ambient-air-quality-legislation_en (accessed on 28 November 2025).
- Coelho, S.; Rafael, S.; Lopes, D.; Miranda, A.I.; Ferreira, J. How Changing Climate May Influence Air Pollution Control Strategies for 2030? Sci. Total Environ. 2021, 758, 143911. [Google Scholar] [CrossRef] [PubMed]
- Dentener, F.; Stevenson, D.; Cofala, J.; Mechler, R.; Amann, M.; Bergamaschi, P.; Raes, F.; Derwent, R. The Impact of Air Pollutant and Methane Emission Controls on Tropospheric Ozone and Radiative Forcing: CTM Calculations for the Period 1990–2030. Atmos. Chem. Phys. 2005, 5, 1731–1755. [Google Scholar] [CrossRef]
- Kelly, J.; Makar, P.A.; Plummer, D.A. Projections of Mid-Century Summer Air-Quality for North America: Effects of Changes in Climate and Precursor Emissions. Atmos. Chem. Phys. 2012, 12, 5367–5390. [Google Scholar] [CrossRef]
- MedECC. Climate and Environmental Change in the Mediterranean Basin–Current Situation and Risks for the Future. First Mediterranean Assessment Report; Cramer, W., Guiot, J., Marini, K., Eds.; Union for the Mediterranean, Plan Bleu, UNEP/MAP: Marseille, France, 2020; 632p, ISBN 978-2-9577416-0-1. [Google Scholar] [CrossRef]
- INE, (Instituto Nacional de Estatística) Em 2024, o Produto Interno Bruto Ascendeu a 289,4 Mil Milhões de Euros—2023/2024. Available online: https://www.ine.pt (accessed on 20 November 2025).
- PORDATA. Produto Interno Bruto (PIB) per Capita. Available online: https://www.pordata.pt/pt/estatisticas/economia/crescimento-e-produtividade/produto-interno-bruto-pib (accessed on 20 November 2025).
- PORDATA. Rendimento Nacional Bruto. Available online: https://www.pordata.pt/pt/estatisticas/economia/rendimento-e-poupanca/rendimento-nacional-bruto (accessed on 20 November 2025).
- O’Neill, B.C.; Kriegler, E.; Ebi, K.L.; Kemp-Benedict, E.; Riahi, K.; Rothman, D.S.; van Ruijven, B.J.; van Vuuren, D.P.; Birkmann, J.; Kok, K.; et al. The Roads Ahead: Narratives for Shared Socioeconomic Pathways Describing World Futures in the 21st Century. Glob. Environ. Change 2017, 42, 169–180. [Google Scholar] [CrossRef]
- Riahi, K.; van Vuuren, D.P.; Kriegler, E.; Edmonds, J.; O’Neill, B.C.; Fujimori, S.; Bauer, N.; Calvin, K.; Dellink, R.; Fricko, O.; et al. The Shared Socioeconomic Pathways and Their Energy, Land Use, and Greenhouse Gas Emissions Implications: An Overview. Glob. Environ. Change 2017, 42, 153–168. [Google Scholar] [CrossRef]
- van Vuuren, D.P.; Riahi, K.; Calvin, K.; Dellink, R.; Emmerling, J.; Fujimori, S.; KC, S.; Kriegler, E.; O’Neill, B. The Shared Socio-Economic Pathways: Trajectories for Human Development and Global Environmental Change. Glob. Environ. Change 2017, 42, 148–152. [Google Scholar] [CrossRef]
- KC, S.; Lutz, W. The Human Core of the Shared Socioeconomic Pathways: Population Scenarios by Age, Sex and Level of Education for All Countries to 2100. Glob. Environ. Change 2017, 42, 181–192. [Google Scholar] [CrossRef]
- Jiang, L.; O’Neill, B.C. Global Urbanization Projections for the Shared Socioeconomic Pathways. Glob. Environ. Change 2017, 42, 193–199. [Google Scholar] [CrossRef]
- Crespo Cuaresma, J. Income Projections for Climate Change Research: A Framework Based on Human Capital Dynamics. Glob. Environ. Change 2017, 42, 226–236. [Google Scholar] [CrossRef]
- Dellink, R.; Chateau, J.; Lanzi, E.; Magné, B. Long-Term Economic Growth Projections in the Shared Socioeconomic Pathways. Glob. Environ. Change 2017, 42, 200–214. [Google Scholar] [CrossRef]
- Leimbach, M.; Kriegler, E.; Roming, N.; Schwanitz, J. Future Growth Patterns of World Regions—A GDP Scenario Approach. Glob. Environ. Change 2017, 42, 215–225. [Google Scholar] [CrossRef]
- Bauer, N.; Calvin, K.; Emmerling, J.; Fricko, O.; Fujimori, S.; Hilaire, J.; Eom, J.; Krey, V.; Kriegler, E.; Mouratiadou, I.; et al. Shared Socio-Economic Pathways of the Energy Sector—Quantifying the Narratives. Glob. Environ. Change 2017, 42, 316–330. [Google Scholar] [CrossRef]
- Popp, A.; Calvin, K.; Fujimori, S.; Havlik, P.; Humpenöder, F.; Stehfest, E.; Bodirsky, B.L.; Dietrich, J.P.; Doelmann, J.C.; Gusti, M.; et al. Land-Use Futures in the Shared Socio-Economic Pathways. Glob. Environ. Change 2017, 42, 331–345. [Google Scholar] [CrossRef]
- Rao, S.; Klimont, Z.; Smith, S.J.; Van Dingenen, R.; Dentener, F.; Bouwman, L.; Riahi, K.; Amann, M.; Bodirsky, B.L.; van Vuuren, D.P.; et al. Future Air Pollution in the Shared Socio-Economic Pathways. Glob. Environ. Change 2017, 42, 346–358. [Google Scholar] [CrossRef]
- Chen, D.; Rojas, M.; Samset, B.H.; Cobb, K.; Diongue Niang, A.; Edwards, P.; Emori, S.; Faria, S.H.; Hawkins, E.; Hope, P.; et al. Framing, Context, and Methods. In Climate Change 2021: The Physical Science Basis. Contribution of Working Group I to the Sixth Assessment Report of the Intergovernmental Panel on Climate Change; Masson-Delmotte, V., Zhai, P., Pirani, A., Connors, S.L., Péan, C., Berger, S., Caud, N., Chen, Y., Goldfarb, L., Gomis, M.I., et al., Eds.; Cambridge University Press: Cambridge, UK; New York, NY, USA, 2021; pp. 147–286. [Google Scholar]
- O’Neill, B.C.; Tebaldi, C.; van Vuuren, D.P.; Eyring, V.; Friedlingstein, P.; Hurtt, G.; Knutti, R.; Kriegler, E.; Lamarque, J.-F.; Lowe, J.; et al. The Scenario Model Intercomparison Project (ScenarioMIP) for CMIP6. Geosci. Model Dev. 2016, 9, 3461–3482. [Google Scholar] [CrossRef]
- Kriegler, E.; O’Neill, B.C.; Hallegatte, S.; Kram, T.; Lempert, R.J.; Moss, R.H.; Wilbanks, T. The Need for and Use of Socio-Economic Scenarios for Climate Change Analysis: A New Approach Based on Shared Socio-Economic Pathways. Glob. Environ. Change 2012, 22, 807–822. [Google Scholar] [CrossRef]
- van Vuuren, D.P.; Kriegler, E.; O, B.C.; Ebi, K.L.; Riahi, K.; Carter, T.R.; Edmonds, J.; Hallegatte, S.; Kram, T.; Mathur, R.; et al. A New Scenario Framework for Climate Change Research: Scenario Matrix Architecture. Clim. Change 2014, 122, 373–386. [Google Scholar] [CrossRef]
- Sa, E.; Ferreira, J.; Carvalho, A.; Borrego, C. Development of Current and Future Pollutant Emissions for Portugal. Atmos. Pollut. Res. 2015, 6, 849–857. [Google Scholar] [CrossRef]
- Mauritsen, T.; Bader, J.; Becker, T.; Behrens, J.; Bittner, M.; Brokopf, R.; Brovkin, V.; Claussen, M.; Crueger, T.; Esch, M.; et al. Developments in the MPI-M Earth System Model Version 1.2 (MPI-ESM1.2) and Its Response to Increasing CO2. J. Adv. Model. Earth Syst. 2019, 11, 998–1038. [Google Scholar] [CrossRef]
- Eyring, V.; Bony, S.; Meehl, G.A.; Senior, C.A.; Stevens, B.; Stouffer, R.J.; Taylor, K.E. Overview of the Coupled Model Intercomparison Project Phase 6 (CMIP6) Experimental Design and Organization. Geosci. Model Dev. 2016, 9, 1937–1958. [Google Scholar] [CrossRef]
- Menut, L.; Cholakian, A.; Pennel, R.; Siour, G.; Mailler, S.; Valari, M.; Lugon, L.; Meurdesoif, Y. The CHIMERE Chemistry-Transport Model V2023r1. Geosci. Model Dev. 2024, 17, 5431–5457. [Google Scholar] [CrossRef]
- Gama, C.; Relvas, H.; Lopes, M.; Monteiro, A. The Impact of COVID-19 on Air Quality Levels in Portugal: A Way to Assess Traffic Contribution. Environ. Res. 2020, 193, 110515. [Google Scholar] [CrossRef] [PubMed]
- Monteiro, A.; Durka, P.; Flandorfer, C.; Georgieva, E.; Guerreiro, C.; Kushta, J.; Malherbe, L.; Maiheu, B.; Miranda, A.I.; Santos, G.; et al. Strengths and Weaknesses of the FAIRMODE Benchmarking Methodology for the Evaluation of Air Quality Models. Air Qual. Atmos. Health 2018, 11, 373–383. [Google Scholar] [CrossRef]
- Janssen, S.; Thunis, P. FAIRMODE Guidance Document on Modelling Quality Objectives and Benchmarking (Version 3.3), EUR 31068 EN; Publications Office of the European Union: Luxembpurg, 2022. [Google Scholar]
- Amnuaylojaroen, T.; Parasin, N.; Limsakul, A. Health Risk Assessment of Exposure Near-Future PM2.5 in Northern Thailand. Air Qual. Atmos. Health 2022, 15, 1963–1979. [Google Scholar] [CrossRef]
- Brook, R.D.; Rajagopalan, S.; Pope, C.A.; Brook, J.R.; Bhatnagar, A.; Diez-Roux, A.V.; Holguin, F.; Hong, Y.; Luepker, R.V.; Mittleman, M.A.; et al. Particulate Matter Air Pollution and Cardiovascular Disease: An Update to the Scientific Statement from the American Heart Association. Circulation 2010, 121, 2331–2378. [Google Scholar] [CrossRef]
- Næss, Ø.; Nafstad, P.; Aamodt, G.; Claussen, B.; Rosland, P. Relation between Concentration of Air Pollution and Cause-Specific Mortality: Four-Year Exposures to Nitrogen Dioxide and Particulate Matter Pollutants in 470 Neighborhoods in Oslo, Norway. Am. J. Epidemiol. 2007, 165, 435–443. [Google Scholar] [CrossRef]
- WHO. Recommendations for Concentration–Response Functions for Cost–Benefit Analysis of Particulate Matter, Ozone and Nitrogen Dioxide, Health Risks of Air Pollution in Europe—HRAPIE Project; World Health Organization: Copenhagen, Denmark, 2013. [Google Scholar]
- Marmett, B.; Carvalho, R.B.; Nunes, R.B.; Rhoden, C.R. Exposure to O3 and NO2 in Physically Active Adults: An Evaluation of Physiological Parameters and Health Risk Assessment. Environ. Geochem. Health 2022, 44, 4269–4284. [Google Scholar] [CrossRef]
- Brunekreef, B. Health Effects of Air Pollution Observed in Cohort Studies in Europe. J. Expo. Sci. Environ. Epidemiol. 2007, 17, S61–S65. [Google Scholar] [CrossRef]
- Cesaroni, G.; Badaloni, C.; Gariazzo, C.; Stafoggia, M.; Sozzi, R.; Davoli, M.; Forastiere, F. Long-Term Exposure to Urban Air Pollution and Mortality in a Cohort of More than a Million Adults in Rome. Environ. Health Perspect. 2013, 121, 324–331. [Google Scholar] [CrossRef]
- Soares, A.R.; Silva, C. Review of Ground-Level Ozone Impact in Respiratory Health Deterioration for the Past Two Decades. Atmosphere 2022, 13, 434. [Google Scholar] [CrossRef]
- Lipfert, F.W.; Wyzga, R.E.; Baty, J.D.; Miller, J.P. Traffic Density as a Surrogate Measure of Environmental Exposures in Studies of Air Pollution Health Effects: Long-Term Mortality in a Cohort of US Veterans. Atmos. Environ. 2006, 40, 154–169. [Google Scholar] [CrossRef]
- Soares, J.; Horálek, J.; Ortiz, A.G.; Guerreiro, C.; Gsella, A. ETC/ATNI Report 13/2019: Health Risk Assessment of Air Pollution in Europe. Methodology Description and 2017 Results; European Environmental Agency: Kjeller, Norway, 2019. [Google Scholar]
- INE Resident Population (No.) by Place of Residence, Sex and Age Group; Decennial—Statistics Portugal, Population and Housing Census—2021. Available online: https://www.ine.pt/xportal/xmain?xpid=INE&xpgid=ine_indicadores&indOcorrCod=0012338&contexto=bd&selTab=tab2 (accessed on 10 July 2025).
- Coelho, S.; Ferreira, J.; Carvalho, D.; Lopes, M. Health Impact Assessment of Air Pollution under a Climate Change Scenario: Methodology and Case Study Application. Sustainability 2022, 14, 14309. [Google Scholar] [CrossRef]
- Chen, J.; Hoek, G. Long-Term Exposure to PM and All-Cause and Cause-Specific Mortality: A Systematic Review and Meta-Analysis. Environ. Int. 2020, 143, 105974. [Google Scholar] [CrossRef]
- Huangfu, P.; Atkinson, R. Long-Term Exposure to NO2 and O3 and All-Cause and Respiratory Mortality: A Systematic Review and Meta-Analysis. Environ. Int. 2020, 144, 105998. [Google Scholar] [CrossRef]
- WHO. WHO Mortality Database. Available online: https://www.who.int/data/data-collection-tools/who-mortality-database (accessed on 10 July 2025).
- Nilu, P.S.; Chmi, D.D. Interim European Air Quality Maps for 2021. 2022. Available online: https://www.eionet.europa.eu/etcs/all-etc-reports (accessed on 24 November 2025).
- Evtyugina, M.G.Ã.; Pio, C.; Nunes, T.; Pinho, P.G.; Costa, C.S. Photochemical Ozone Formation at Portugal West Coast under Sea Breeze Conditions as Assessed by Master Chemical Mechanism Model. Atmos. Environ. 2007, 41, 2171–2182. [Google Scholar] [CrossRef]
- Alves, C.; Vicente, A.; Oliveira, A.R.; Candeias, C.; Vicente, E.; Nunes, T.; Cerqueira, M.; Evtyugina, M.; Rocha, F.; Almeida, S.M. Fine Particulate Matter and Gaseous Compounds in Kitchens and Outdoor Air of Different Dwellings. Int. J. Environ. Res. Public Health 2020, 17, 5256. [Google Scholar] [CrossRef] [PubMed]
- Gama, C.; Pio, C.; Monteiro, A.; Russo, M.; Fernandes, A.P.; Borrego, C.; Baldasano, J.M.; Tchepel, O. Comparison of Methodologies for Assessing Desert Dust Contribution to Regional PM10 and PM2.5 Levels: A One-Year Study over Portugal. Atmosphere 2020, 11, 134. [Google Scholar] [CrossRef]
- Lopes, D.; Graça, D.; Rafael, S.; Rosa, M.; Relvas, H.; Ferreira, J.; Reis, J.; Lopes, M. An Exploratory Approach to Estimate Point Emission Sources. Atmos. Environ. 2023, 312, 120026. [Google Scholar] [CrossRef]
- APA (Agência Portuguesa do Ambiente). National Informative Inventory Report 2023 Portugal. Submission under the NEC Directive (EU) 2016/2284 and the UNECE Convention on Long-Range Transboundary Air Pollution; APA: Amadora, Portugal, 2024. [Google Scholar]
- Thunis, P.; Clappier, A.; Beekmann, M.; Putaud, J.P.; Cuvelier, C.; Madrazo, J.; De Meij, A.; De Paris, U.; Créteil, U.P.; Paris, F. Non-Linear Response of PM2.5 to Changes in NOx and NH3 Emissions in the Po Basin (Italy): Consequences for Air Quality Plans. Atmos. Chem. Phys. 2021, 21, 9309–9327. [Google Scholar] [CrossRef]
- INE (Instituto Nacional de Estatística). Statistics Portugal, 2021. CENSUS, 2021—Statistical Data for Portugal. Available online: http://censos.ine.pt (accessed on 28 April 2022).
- Ribeiro, I.; Monteiro, A.; Gama, C.; Marta, C.; Carvalho, D.; Lopes, M. Investigating Ozone High Levels and the Role of Sea Breeze on Its Transport. Atmos. Pollut. Res. 2016, 7, 339–347. [Google Scholar] [CrossRef]
- Lopes, D.; Rosa, M.; Graça, D.; Rafael, S.; Ferreira, J.; Lopes, M. Enhancing Multi-Mode Transport Emission Inventories: Combining Open-Source Data with Traditional Approaches. Urban Clim. 2024, 57, 102097. [Google Scholar] [CrossRef]
- Tarín-Carrasco, P.; Augusto, S.; Palacios-Penã, L.; Ratola, N.; Jiménez-Guerrero, P. Impact of Large Wildfires on PM10 Levels and Human Mortality in Portugal. Nat. Hazards Earth Syst. Sci. 2021, 21, 2867–2880. [Google Scholar] [CrossRef]
- Wang, X.; Meng, X.; Long, Y. Projecting 1 Km-Grid Population Distributions from 2020 to 2100 Globally under Shared Socioeconomic Pathways. Sci. Data 2022, 9, 563. [Google Scholar] [CrossRef]








| Scenario | Selected Year |
|---|---|
| Baseline (1995–2014) | 2006 |
| SSP2-4.5 (2046–2065) | 2050 |
| SSP3-7.0 (2046–2065) | 2050 |
| SSP5-8.5 (2046–2065) | 2061 |
| SSP2-4.5 (2081–2100) | 2091 |
| SSP3-7.0 (2081–2100) | 2091 |
| SSP5-8.5 (2081–2100) | 2097 |
| Pollutant | RR per 10 µg/m3 (95% CI) | Baseline Concentration (C0) | Source of Mortality Data | Health Outcome |
|---|---|---|---|---|
| PM2.5, annual mean | 1.08 (1.06; 1.09), in [60] | >5 µg/m3 | European Mortality database in [62], ICD-10: A-R | Mortality, all-cause (natural), age 30+ years |
| NO2, annual mean | 1.02 (1.01; 1.04), in [61] | >10 µg/m3 | ||
| O3, SOMO35 1 | 1.01 (1.00; 1.02), in [61] | >70 µg/m3 | European Mortality database in [62], ICD-10: J00-J99 | Mortality, respiratory diseases, age 30+ years |
| Scenario | Baseline | Mid-Term | Long-Term | ||||
|---|---|---|---|---|---|---|---|
| SSP2-4.5 | SSP3-7.0 | SSP5-8.5 | SSP2-4.5 | SSP3-7.0 | SSP5-8.5 | ||
| NO2 | 15 | 1 | 0 | 44 | 1 | 10 | 18 |
| O3 | 20,641 | 29,737 | 26,241 | 34,755 | 4545 | 14,365 | 40,589 |
| PM10 | 6410 | 9473 | 18,091 | 9064 | 654 | 817 | 8884 |
| PM2.5 | 1768 | 1944 | 1395 | 2684 | 188 | 186 | 2515 |
| Pollutant | Health Outcome | Baseline | Mid-Term | Long-Term | ||||
|---|---|---|---|---|---|---|---|---|
| SSP2-4.5 | SSP3-7.0 | SSP5-8.5 | SSP2-4.5 | SSP3-7.0 | SSP5-8.5 | |||
| PM2.5, annual mean | Premature Deaths | 3366 (2525; 3770) | 2443 (1821; 2737) | 2416 (1810; 2718) | 3145 (2358; 3530) | 1156 (858; 1313) | 1203 (870; 1351) | 2302 (1698; 2574) |
| NO2, annual mean | 302 (145; 593) | 136 (69; 272) | 129 (66; 259) | 275 (133; 541) | 69 (36; 145) | 133 (65; 260) | 250 (127; 495) | |
| O3, SOMO35 1 | 50 (0; 169) | 202 (0; 480) | 206 (0; 498) | 215 (0; 511) | 138 (0; 355) | 177 (0; 438) | 227 (0; 540) | |
Disclaimer/Publisher’s Note: The statements, opinions and data contained in all publications are solely those of the individual author(s) and contributor(s) and not of MDPI and/or the editor(s). MDPI and/or the editor(s) disclaim responsibility for any injury to people or property resulting from any ideas, methods, instructions or products referred to in the content. |
© 2025 by the authors. Licensee MDPI, Basel, Switzerland. This article is an open access article distributed under the terms and conditions of the Creative Commons Attribution (CC BY) license (https://creativecommons.org/licenses/by/4.0/).
Share and Cite
Monteiro, A.; Russo, M.; Coelho, S.; Lopes, D.; Carvalho, D. Climate-Driven Changes in Air Quality: Trends Across Emission and Socioeconomic Pathways. Sustainability 2025, 17, 10857. https://doi.org/10.3390/su172310857
Monteiro A, Russo M, Coelho S, Lopes D, Carvalho D. Climate-Driven Changes in Air Quality: Trends Across Emission and Socioeconomic Pathways. Sustainability. 2025; 17(23):10857. https://doi.org/10.3390/su172310857
Chicago/Turabian StyleMonteiro, Alexandra, Michael Russo, Silvia Coelho, Diogo Lopes, and David Carvalho. 2025. "Climate-Driven Changes in Air Quality: Trends Across Emission and Socioeconomic Pathways" Sustainability 17, no. 23: 10857. https://doi.org/10.3390/su172310857
APA StyleMonteiro, A., Russo, M., Coelho, S., Lopes, D., & Carvalho, D. (2025). Climate-Driven Changes in Air Quality: Trends Across Emission and Socioeconomic Pathways. Sustainability, 17(23), 10857. https://doi.org/10.3390/su172310857

