Air and Water Temperature Relationships in Major Polish Rivers and Their Long-Term Changes
Abstract
1. Introduction
2. Materials and Methods
2.1. Study Area
2.2. Materials
2.3. Methods
2.3.1. Thermal Coupling Between Air and Water Temperature
Wavelet Analysis
Distributed Lag Non-Linear Models
Copula Analysis
2.3.2. Water Temperature Reconstruction
2.3.3. Trend Analysis
3. Results
3.1. Wavelet Analysis and Coherence
3.2. Distributed Lag Non-Linear Models (DLNM)
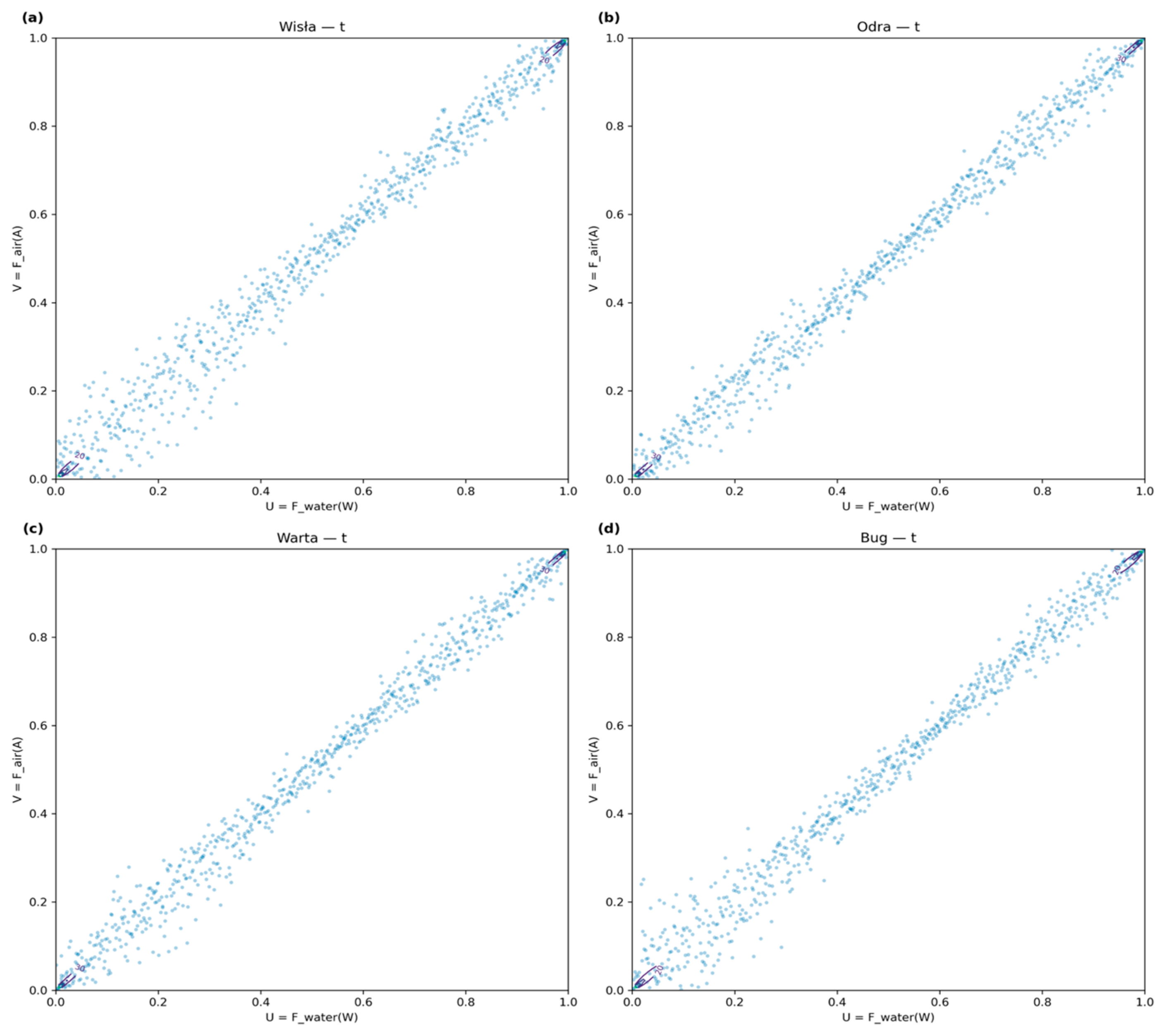
3.3. Copula Analysis and Joint Distributions
3.4. Trend Analysis
4. Discussion
5. Conclusions
Supplementary Materials
Author Contributions
Funding
Institutional Review Board Statement
Informed Consent Statement
Data Availability Statement
Conflicts of Interest
References
- Ptak, M.; Choiński, A.; Strzelczak, A.; Targosz, A. Disappearance of Lake Jelenino since the end of the XVIII century as an effect of anthropogenic transformations of the natural environment. Pol. J. Environ. Stud. 2013, 22, 191–196. [Google Scholar]
- Zhu, S.; Ptak, M.; Choiński, A.; Wu, S. Exploring and quantifying the impact of climate change on surface water temperature of a high mountain lake in Central Europe. Environ. Monit. Assess. 2020, 192, 7. [Google Scholar] [CrossRef]
- Cameron, E.; Oliva, M.; Antoniades, D. High Arctic lakes reveal accelerating ecological shifts linked to twenty-first century warming. Sci. Rep. 2025, 15, 77. [Google Scholar] [CrossRef]
- Liu, C.; Chen, Y.; Huang, W.; Fang, G.; Li, Z.; Zhu, C.; Liu, Y. Climate warming positively affects hydrological connectivity of typical inland river in arid Central Asia. NPJ Clim. Atmos. Sci. 2024, 7, 250. [Google Scholar] [CrossRef]
- Merchant, C.J.; Allan, R.P.; Embury, O. Quantifying the acceleration of multidecadal global sea surface warming driven by Earth’s energy imbalance. Environ. Res. Lett. 2025, 20, 024037. [Google Scholar] [CrossRef]
- Feron, S.; Malhotra, A.; Bansal, S.; Fluet-Chouinard, E.; McNicol, G.; Knox, S.H.; Delwiche, K.B.; Cordero, R.R.; Ouyang, Z.; Zhang, Z.; et al. Recent increases in annual, seasonal, and extreme methane fluxes driven by changes in climate and vegetation in boreal and temperate wetland ecosystems. Glob. Change Biol. 2024, 30, e17131. [Google Scholar] [CrossRef]
- Hoffmann, B.; Feakins, S.J.; Bookhagen, B.; Olen, S.M.; Adhikari, D.P.; Mainali, J.; Sachse, D. Climatic and geomorphic drivers of plant organic matter transport in the Arun River, E Nepal. Earth Planet. Sci. Lett. 2016, 452, 104–114. [Google Scholar] [CrossRef]
- Saleem, A.; Dewan, A.; Rahman, M.M.; Nawfee, S.M.; Karim, R.; Lu, X.X. Spatial and temporal variations of erosion and accretion: A case of a large tropical river. Earth Syst. Environ. 2020, 4, 167–181. [Google Scholar] [CrossRef]
- Onwude, A.M.; Fran, A.E.; Abel, I.; Eric, O. Biodiversity of fish fauna in river niger at Agenebode, Edo State, Nigeria. Egypt. J. Aquat. Biol. Fish. 2019, 23, 159–166. [Google Scholar] [CrossRef]
- Yimere, A.; Assefa, E. Current and future irrigation water requirement and potential in the Abbay River Basin, Ethiopia. Air Soil Water Res. 2022, 15, 11786221221097929. [Google Scholar] [CrossRef]
- Skoulikaris, C. Run-Of-River Small Hydropower Plants as Hydro-Resilience Assets against Climate Change. Sustainability 2021, 13, 14001. [Google Scholar] [CrossRef]
- Payne, A.I. Asian upland fishes and fisheries. In Freshwater Fisheries Ecology; Wiley: Hoboken, NJ, USA, 2015; pp. 377–383. [Google Scholar]
- Plotnikova, E.; Vienažindienė, M.; Slavinskas, S. Development of Inland Waterway Transport as a Key to Ensure Sustainability: A Case Study of Lithuania. Sustainability 2022, 14, 10532. [Google Scholar] [CrossRef]
- Syvitski, J.; Cohen, S.; Miara, A.; Best, J. River temperature and the thermal-dynamic transport of sediment. Glob. Planet. Change 2019, 178, 168–183. [Google Scholar] [CrossRef]
- Leach, J.A.; Kelleher, C.; Kurylyk, B.L.; Moore, R.D.; Neilson, B.T. A primer on stream temperature processes. Wiley Interdiscip. Rev. Water 2023, 10, e1643. [Google Scholar] [CrossRef]
- Bonacina, L.; Fasano, F.; Mezzanotte, V.; Fornaroli, R. Effects of water temperature on freshwater macroinvertebrates: A systematic review. Biol. Rev. 2023, 98, 191–221. [Google Scholar] [CrossRef]
- Loerke, E.; Pohle, I.; Wilkinson, M.E.; Rivington, M.; Wardell-Johnson, D.; Geris, J. Long-term daily stream temperature record for Scotland reveals spatio-temporal patterns in warming of rivers in the past and further warming in the future. Sci. Total Environ. 2023, 890, 164194. [Google Scholar] [CrossRef]
- Vasilenko, A.; Frolova, N.; Grigoriev, V.Y.; Magritsky, D.; Shevchenko, A.; Winde, F. Spatio-temporal variability of water temperature of Arctic rivers in Russia over the past 60 years. Appl. Sci. 2024, 14, 10942. [Google Scholar] [CrossRef]
- Shrestha, R.R.; Pesklevits, J.C.; Bonsal, B.R.; Brannen, R.; Guo, T.; Hoffman, S. Rising summer river water temperature across Canada: Spatial patterns and hydroclimatic controls. Environ. Res. Lett. 2024, 19, 044058. [Google Scholar] [CrossRef]
- Das, N.; Bhattacharjee, R.; Choubey, A.; Agnihotri, A.K.; Ohri, A.; Gaur, S. Analysis of the spatio-temporal variation of the thermal pattern of River Ganges in proximity to Varanasi, India. J. Indian Soc. Remote Sens. 2022, 50, 1119–1134. [Google Scholar] [CrossRef]
- Liu, S.; Zhenghui, X.; Liu, B.; Wang, Y.; Gao, J.; Zeng, Y.; Xie, J.; Zhipeng, X.; Jia, B.; Qin, P.; et al. Global river water warming due to climate change and anthropogenic heat emission. Glob. Planet. Change 2020, 193, 103289. [Google Scholar] [CrossRef]
- Johnson, M.F.; Albertson, L.K.; Algar, A.C.; Dugdale, S.J.; Edwards, P.; England, J.; Gibbins, C.; Kazama, S.; Komori, D.; MacColl, A.; et al. Rising water temperature in rivers: Ecological impacts and future resilience. Wiley Interdiscip. Rev. Water 2024, 11, e1724. [Google Scholar] [CrossRef]
- Brown, T.M.; O’Connor, J.; Genner, M.J. Climate warming drives population trajectories of freshwater fish. Proc. Natl. Acad. Sci. USA 2024, 121, e2410355121. [Google Scholar] [CrossRef]
- Fritioff, Å.; Kautsky, L.; Greger, M. Influence of temperature and salinity on heavy metal uptake by submersed plants. Environ. Pollut. 2005, 133, 265–274. [Google Scholar] [CrossRef]
- Ptak, M. Wpływ zalesienia na temperaturę wody w rzece. Leśne Pr. Badaw. 2017, 78, 251–256. [Google Scholar]
- Ptak, M.; Amnuaylojaroen, T.; Sojka, M. Historical and future changes in water temperature of the Pilica River (Central Europe) in response to global warming. Sustainability 2024, 16, 10244. [Google Scholar] [CrossRef]
- Yang, R.; Wu, S.; Wu, X.; Ptak, M.; Li, X.; Sojka, M.; Graf, R.; Dai, J.; Zhu, S. Quantifying the impacts of climate variation, damming and flow regulation on river thermal dynamics: A case study of the Włocławek Reservoir in the Wisła River, Poland. Environ. Sci. Eur. 2022, 34, 3. [Google Scholar] [CrossRef]
- Sun, J.; Di Nunno, F.; Sojka, M.; Ptak, M.; Zhou, Q.; Luo, Y.; Zhu, S.; Granata, F. Long-term daily water temperatures unveil escalating water warming and intensifying heatwaves in the Odra River Basin, Europe. Geosci. Front. 2024, 15, 101916. [Google Scholar] [CrossRef]
- Łaszewski, M.A. Diurnal water temperature dynamics in lowland rivers: A case study from Central Poland. J. Water L. Dev. 2018, 36, 89–97. [Google Scholar] [CrossRef]
- Ptak, M. Long-term temperature fluctuations in rivers of the Fore-Sudetic region in Poland. Geografie 2018, 123, 279–294. [Google Scholar] [CrossRef]
- Daigle, A.; Légaré, A. Trend detection in the temperature of Quebec (Canada) rivers. Hydrol. Sci. J. 2024, 69, 2214–2226. [Google Scholar] [CrossRef]
- Sojka, M.; Ptak, M. Possibilities of river water temperature reconstruction using statistical models in the context of long-term thermal regime changes assessment. Appl. Sci. 2022, 12, 7503. [Google Scholar] [CrossRef]
- Jurgelėnaitė, A.; Kriaučiūnienė, J.; Šarauskienė, D. Spatial and temporal variation in the water temperature of Lithuanian rivers. Baltica 2012, 25, 65–76. [Google Scholar] [CrossRef]
- Niedrist, G.H. Substantial warming of Central European mountain rivers under climate change. Reg. Environ. Change 2023, 23, 43. [Google Scholar] [CrossRef]
- Briciu, A.E.; Mihăilă, D.; Graur, A.; Oprea, D.I.; Prisăcariu, A.; Bistricean, P.I. Changes in the Water Temperature of Rivers Impacted by the Urban Heat Island: Case Study of Suceava City. Water 2020, 12, 1343. [Google Scholar] [CrossRef]
- Wrzesiński, D. Entropia Odpływu Rzek w Polsce; Wydawnictwo Naukowe Bogucki: Poznań, Poland, 2013. [Google Scholar]
- Torrence, C.; Compo, G.P. A practical guide to wavelet analysis. Bull. Am. Meteorol. Soc. 1998, 79, 61–78. [Google Scholar] [CrossRef]
- Grinsted, A.; Moore, J.C.; Jevrejeva, S. Application of the cross wavelet transform and wavelet coherence to geophysical time series. Nonlinear Process. Geophys. 2004, 11, 561–566. [Google Scholar] [CrossRef]
- Gasparrini, A.; Armstrong, B.; Kenward, M.G. Distributed lag non-linear models. Stat. Med. 2010, 29, 2224–2234. [Google Scholar] [CrossRef]
- Nelsen, R.B. An Introduction to Copulas, 2nd ed.; Springer: Berlin/Heidelberg, Germany, 2006. [Google Scholar]
- Joe, H. Dependence Modeling with Copulas; CRC Press: London, UK, 2014. [Google Scholar]
- Gilman, D.L.; Fuglister, F.J.; Mitchell, J.M., Jr. On the power spectrum of “red noise”. J. Atmos. Sci. 1963, 20, 182–184. [Google Scholar] [CrossRef]
- Torrence, C.; Webster, P.J. Interdecadal changes in the ENSO-monsoon system. J. Clim. 1999, 12, 2679–2690. [Google Scholar] [CrossRef]
- Maraun, D.; Kurths, J. Cross wavelet analysis: Significance testing and pitfalls. Nonlinear Process. Geophys. 2004, 11, 505–514. [Google Scholar] [CrossRef]
- Gasparrini, A. Distributed lag linear and non-linear models in R: The package dlnm. J. Stat. Softw. 2011, 43, 1–20. [Google Scholar] [CrossRef] [PubMed]
- Gasparrini, A.; Scheipl, F.; Armstrong, B.; Kenward, M.G. A penalized framework for distributed lag non-linear models. Biometrics 2017, 73, 938–948. [Google Scholar] [CrossRef] [PubMed]
- de Boor, C. A Practical Guide to Splines, (Edition); Springer: Berlin, Germany, 1978. [Google Scholar]
- Wood, S.N. Generalized Additive Models: An Introduction with R. Chapman and Hall; CRC: Boca Raton, FL, USA, 2017. [Google Scholar]
- McCullagh, P. Generalized Linear Models; Routledge: London, UK, 2019. [Google Scholar]
- Armstrong, B.G.; Gasparrini, A.; Tobias, A. Conditional Poisson models: A flexible alternative to conditional logistic case cross-over analysis. BMC Med. Res. Methodol. 2014, 14, 122. [Google Scholar] [CrossRef] [PubMed]
- Sklar, A. Fonctions de Répartition à n Dimensions et Leurs Marges; Publications de l’Institut de Statistique de l’Université de Paris: Paris, France, 1959; Volume 8, pp. 229–231. [Google Scholar]
- Genest, C.; Favre, A.C. Everything you always wanted to know about copula modeling but were afraid to ask. J. Hydrol. Eng. 2007, 12, 347–368. [Google Scholar] [CrossRef]
- Demarta, S.; McNeil, A.J. The t copula and related copulas. Int. Stat. Rev. 2005, 73, 111–129. [Google Scholar] [CrossRef]
- Clayton, D.G. A model for association in bivariate life tables and its application in epidemiological studies of familial tendency in chronic disease incidence. Biometrika 1978, 65, 141–151. [Google Scholar] [CrossRef]
- Gumbel, E.J. Bivariate exponential distributions. J. Am. Stat. Assoc. 1960, 55, 698–707. [Google Scholar] [CrossRef]
- Frank, M.J. On the simultaneous associativity of F(x,y) and x + y − F(x,y). Aequationes Math. 1979, 19, 194–226. [Google Scholar] [CrossRef]
- Genest, C. Frank’s family of bivariate distributions. Biometrika 1987, 74, 549–555. [Google Scholar] [CrossRef]
- Kendall, M.G. A new measure of rank correlation. Biometrika 1938, 30, 81–93. [Google Scholar] [CrossRef]
- Genest, C.; MacKay, J. The joy of copulas: Bivariate distributions with uniform marginals. Am. Stat. 1986, 40, 280–283. [Google Scholar] [CrossRef]
- Akaike, H. A new look at the statistical model identification. IEEE Trans. Autom. Control 2003, 19, 716–723. [Google Scholar] [CrossRef]
- Joe, H. Multivariate Models and Dependence Concepts; Chapman & Hall: London, UK, 1997. [Google Scholar]
- Coles, S.; Heffernan, J.; Tawn, J. Dependence measures for extreme value analyses. Extremes 1999, 2, 339–365. [Google Scholar] [CrossRef]
- Embrechts, P.; McNeil, A.; Straumann, D. Correlation and dependence in risk management: Properties and pitfalls. In Risk Management: Value at Risk and Beyond; Cambridge University Press: Cambridge, UK, 2002; pp. 176–223. [Google Scholar]
- Cherubini, U.; Luciano, E.; Vecchiato, W. Copula Methods in Finance; John Wiley & Sons: Hoboken, NJ, USA, 2004. [Google Scholar]
- Kendall, M.G.; Stuart, A. The Advanced Theory of Statistics, 3rd ed.; Charles Griffin Ltd.: Knutsford, UK, 1968. [Google Scholar]
- Gilbert, R.O. Statistical Methods for Environmental Pollution Monitorin; Van Nos-trand Reinhold Co.: New York, NY, USA, 1987. [Google Scholar]
- Patakamuri, S.K.; O’Brien, N. Modified Versions of Mann Kendall and Spearman’s Rho Trend Tests, Version 1.6. Available online: https://cran.r-project.org/web/packages/modifiedmk/modifiedmk.pdf (accessed on 15 October 2025).
- Ptak, M.; Amnuaylojaroen, T.; Huang, W.; Wang, L.; Sojka, M. Role of lake morphometric and environmental drivers of ice cover formation on temperate lakes: A case study from the Eastern Baltic Lakeland, Poland. Resources 2024, 13, 146. [Google Scholar] [CrossRef]
- Ptak, M.; Szyga-Pluta, K.; Sojka, M. Long-term dynamics of water level fluctuations in lowland lakes in Central Europe (North Poland). Sci. Rep. 2025, 15, 1216. [Google Scholar] [CrossRef]
- Grey, V.; Hatt, B.E.; Fletcher, T.D.; Smith-Miles, K.; Coleman, R.A. Analysis of irregularly sampled stream temperature time series: Challenges and solutions. J. Hydrol. 2024, 636, 131244. [Google Scholar] [CrossRef]
- Ptak, M.; Heddam, S.; Haddout, S.; Sojka, M.; Amnuaylojaroen, T. Long-term changes in the thermal and ice regime of the Biebrza River (northeastern Poland) in the era of global warming. Water 2024, 16, 3211. [Google Scholar] [CrossRef]
- Bonacci, O.; Žaknić-Ćatović, A.; Roje-Bonacci, T. Significant Rise in Sava River Water Temperature in the City of Zagreb Identified across Various Time Scales. Water 2024, 16, 2337. [Google Scholar] [CrossRef]
- Kvambekk, Å.S.; Melvold, K. Long-term trends in water temperature and ice cover in the subalpine lake, Øvre Heimdalsvatn, and nearby lakes and rivers. Hydrobiologia 2010, 642, 47–60. [Google Scholar] [CrossRef]
- Kolar, P. Changes and variability of spring-summer air temperature in Czechia during the past 300 years: Comparison of instrumental, documentary and natural proxy data. Geografie 2017, 122, 190–212. [Google Scholar] [CrossRef]
- Worrall, F.; Howden, N.J.; Burt, T.P.; Hannah, D.M. River water temperature demonstrates resistance to long-term air temperature change. Hydrol. Process. 2022, 36, e14732. [Google Scholar] [CrossRef]
- Nowak, B.; Ptak, M.; Stanek, P. Influence of a lake on river water thermal regime: A case study of Lake Sławianowskie and the Kocunia River (Pomeranian Lakeland, Northern Poland). Meteorol. Hydrol. Water Manag. 2020, 8, 78–83. [Google Scholar] [CrossRef]
- Hudon, C.; Armellin, A.; Gagnon, P.; Patoine, A. Variations in water temperatures and levels in the St. Lawrence River (Québec, Canada) and potential implications for three common fish species. Hydrobiologia 2010, 647, 145–161. [Google Scholar] [CrossRef]
- Pekárová, P.; Bajtek, Z.; Pekár, J.; Výleta, R.; Bonacci, O.; Miklánek, P.; Belz, J.; Gorbachova, L. Monthly stream temperatures along the Danube River: Statistical analysis and predictive modelling with incremental climate change scenarios. J. Hydrol. Hydromech. 2023, 71, 382–398. [Google Scholar] [CrossRef]
- Chen, D.; Hu, M.; Guo, Y.; Dahlgren, R.A. Changes in river water temperature between 1980 and 2012 in Yongan watershed, eastern China: Magnitude, drivers and models. J. Hydrol. 2016, 533, 191–199. [Google Scholar] [CrossRef]
- Ashizawa, D.; Cole, J.J. Long-term temperature trends of the Hudson River: A study of the historical data. Estuaries 1994, 17, 166–171. [Google Scholar] [CrossRef]
- Scott, M.H.; Talke, S.A.; Jay, D.A.; Diefenderfer, H.L. Warming of the lower Columbia River 1853 to 2018. River Res. Appl. 2023, 39, 1828–1845. [Google Scholar] [CrossRef]
- Hardenbicker, P.; Viergutz, C.; Becker, A.; Kirchesch, V.; Nilson, E.; Fischer, H. Water temperature increases in the river Rhine in response to climate change. Reg. Environ. Change 2017, 17, 299–308. [Google Scholar] [CrossRef]
- Ahipathy, M.V.; Puttaiah, E.T. Ecological characteristics of vrishabhavathy River in Bangalore (India). Environ. Geol. 2006, 49, 1217–1222. [Google Scholar] [CrossRef]
- Ptak, M.; Nowak, B. Variability of oxygen-thermal conditions in selected lakes in Poland. Ecol. Chem. Eng. S 2016, 23, 639–650. [Google Scholar] [CrossRef]
- Available online: https://wody.gios.gov.pl/pjwp/publication/367 (accessed on 15 October 2025).
- Morrill, J.C.; Bales, R.C.; Conklin, M.H. Estimating stream temperature from air temperature: Implications for future water quality. J. Environ. Eng. 2005, 131, 139–146. [Google Scholar] [CrossRef]
- Available online: http://karty.apgw.gov.pl (accessed on 15 October 2025).
- Radtke, G.; Bernaś, R. Temperature tolerance of European fish species based on thermal maxima in southern Baltic Sea-basin streams. Ecol. Indic. 2025, 170, 113107. [Google Scholar] [CrossRef]
- Semenchenko, V.; Grabowska, J.; Grabowski, M.; Rizevsky, V.; Pluta, M. Non-native fish in Belarusian and Polish areas of the European central invasion corridor. Oceanol. Hydrobiol. Stud. 2011, 40, 57–67. [Google Scholar] [CrossRef]
- Płąchocki, D.; Kobak, J.; Kakareko, T. First report on the importance of alien gobiids in the diet of native piscivorous fishes in the lower Wisła River (Poland). Oceanol. Hydrobiol. Stud. 2012, 41, 83–89. [Google Scholar] [CrossRef]
- Kokocińska, K.; Ośko, K.; Kośla, K.; Rechulicz, J. Gatunki inwazyjne ryb w głównych rzekach Lubelszczyzny. 117. In Wybrane Zagadnienia Produkcji Zwierzęcej; Chabuza, W., Nowakowicz-Dębek, B., Eds.; Uniwersytet Przyrodniczy w Lublinie: Lublin, Poland, 2021. [Google Scholar]








Disclaimer/Publisher’s Note: The statements, opinions and data contained in all publications are solely those of the individual author(s) and contributor(s) and not of MDPI and/or the editor(s). MDPI and/or the editor(s) disclaim responsibility for any injury to people or property resulting from any ideas, methods, instructions or products referred to in the content. |
© 2025 by the authors. Licensee MDPI, Basel, Switzerland. This article is an open access article distributed under the terms and conditions of the Creative Commons Attribution (CC BY) license (https://creativecommons.org/licenses/by/4.0/).
Share and Cite
Ptak, M.; Sojka, M.; Szyga-Pluta, K.; Amnuaylojaroen, T. Air and Water Temperature Relationships in Major Polish Rivers and Their Long-Term Changes. Sustainability 2025, 17, 10737. https://doi.org/10.3390/su172310737
Ptak M, Sojka M, Szyga-Pluta K, Amnuaylojaroen T. Air and Water Temperature Relationships in Major Polish Rivers and Their Long-Term Changes. Sustainability. 2025; 17(23):10737. https://doi.org/10.3390/su172310737
Chicago/Turabian StylePtak, Mariusz, Mariusz Sojka, Katarzyna Szyga-Pluta, and Teerachai Amnuaylojaroen. 2025. "Air and Water Temperature Relationships in Major Polish Rivers and Their Long-Term Changes" Sustainability 17, no. 23: 10737. https://doi.org/10.3390/su172310737
APA StylePtak, M., Sojka, M., Szyga-Pluta, K., & Amnuaylojaroen, T. (2025). Air and Water Temperature Relationships in Major Polish Rivers and Their Long-Term Changes. Sustainability, 17(23), 10737. https://doi.org/10.3390/su172310737

