The Impact of Using Compost, Vermicompost and Mineral Fertilization on Soil Nematode Communities and Maize Grain Quality in a Pot Experiment
Abstract
1. Introduction
2. Materials and Methods
2.1. Experiment Design
- (1)
- Compost (A) (obtained from sewage sludge and sawdust) + mineral nitrogen fertilizer (75 kg∙ha−1 N);
- (2)
- Compost (B) (obtained from sewage sludge, sawdust, and green waste) + mineral nitrogen fertilizer (75 kg∙ha−1 N);
- (3)
- Compost (C) (obtained from green waste and sawdust) + mineral nitrogen fertilizer (75 kg∙ha−1 N);
- (4)
- Vermicompost (D) (derived from sewage sludge and sawdust processed by Eisenia fetida) + mineral nitrogen fertilizer (75 kg∙ha−1 N);
- (5)
- Vermicompost (E) (derived from a mixture of sewage sludge, sawdust, and green waste processed by Eisenia fetida) + mineral nitrogen (75 kg∙ha−1 N);
- (6)
- Vermicompost (F) (prepared from green waste and sawdust, processed by Eisenia fetida)+ mineral nitrogen fertilizer (75 kg∙ha−1 N);
- (7)
- Mineral fertilization (NPK)—exclusive use of mineral fertilizers at recommended rates (150 kg∙ha−1 N, 96 kg∙ha−1 P2O5, and 96 kg∙ha−1 K2O).
- (8)
- Control (soil without any fertilizer or amendment applied).
2.2. Seed Material
2.3. Soil Analysis
2.4. Nematode Isolation and Analysis
- Shannon Diversity Index (H’): H’ = −∑Pi (lnPi) (Pi is the proportion of the genus divided by the total nematode abundance in the sample),
- Plant Parasitic Index (PPI), comparable to the MI but computed only for the plant-feeding nematodes.
2.5. Biometric and Chemical Characteristics of Plants
2.6. Statistical Analysis
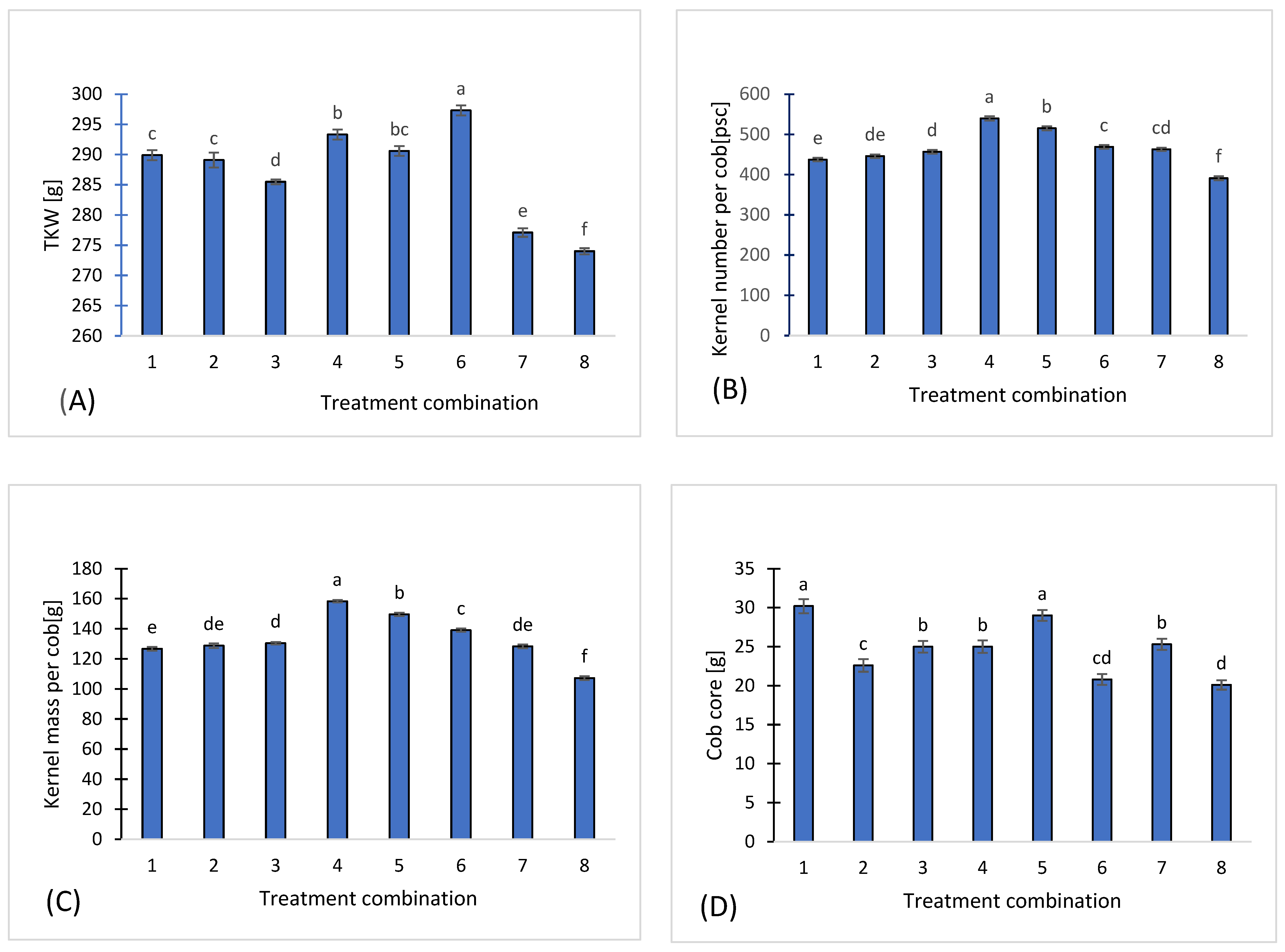
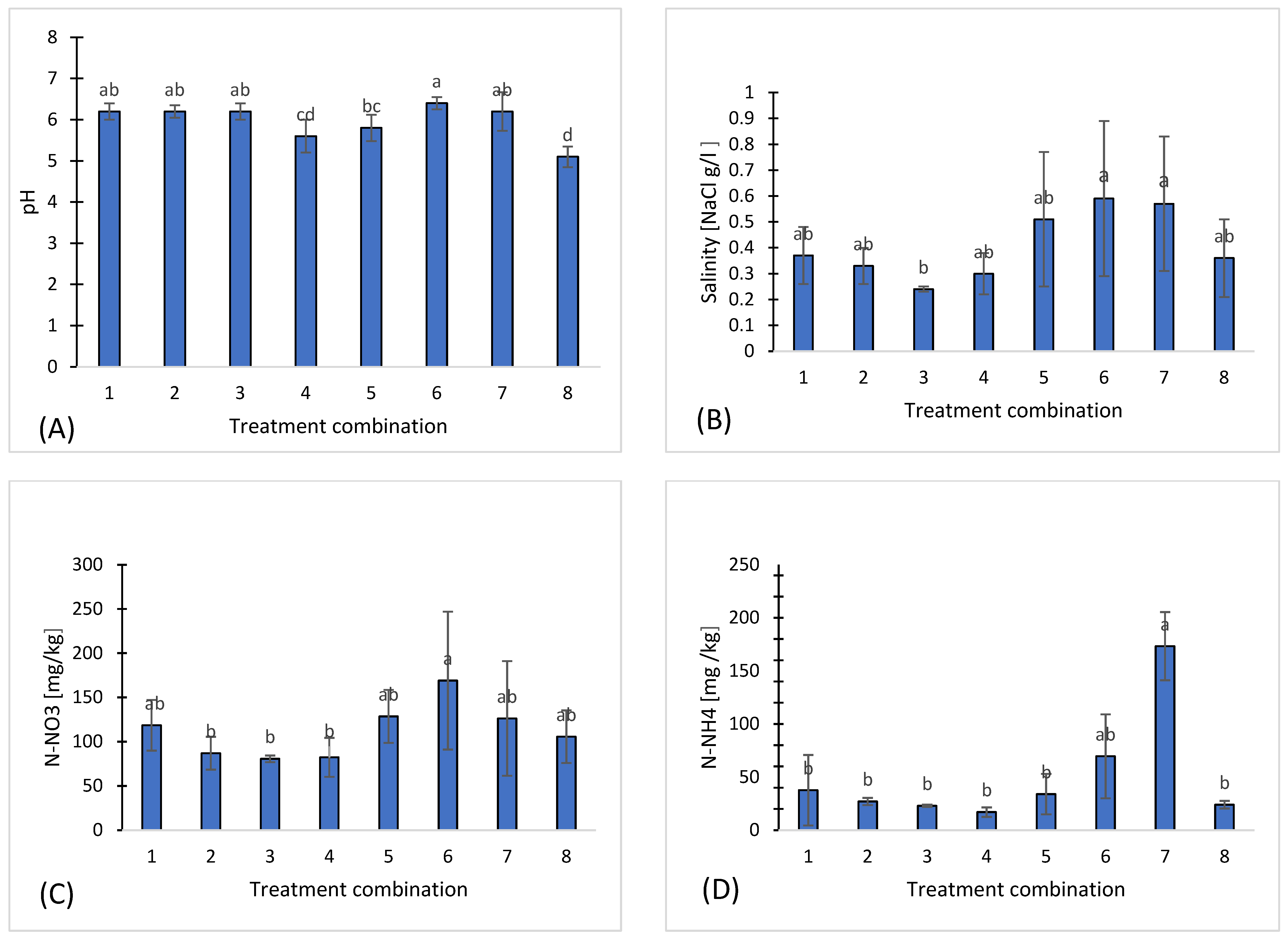
3. Results
3.1. Chemical Properties of Treatment Combination
3.2. Nematode Analysis
3.3. Biometric Parameters of Plants
4. Discussion
5. Conclusions
Author Contributions
Funding
Institutional Review Board Statement
Informed Consent Statement
Data Availability Statement
Acknowledgments
Conflicts of Interest
References
- Ma, D.; Teng, W.; Mo, Y.T.; Yi, B.; Chen, W.L.; Pang, Y.P.; Wang, L. Effects of nitrogen, phosphorus, and potassium fertilization on plant growth, element levels in plants and soil, and the relationships among nutrient concentrations, plant yield, and nutrient status in Erythropalum scandens (Blume). J. Plant Nutr. 2023, 47, 82–96. [Google Scholar] [CrossRef]
- Bindraban, P.S.; Dimkpa, C.; Nagarajan, L.; Roy, A.; Rabbinge, R. Revisiting fertilisers and fertilisation strategies for improved nutrient uptake by plants. Biol. Fertil. Soils 2015, 51, 897–911. [Google Scholar] [CrossRef]
- Rashmi, I.; Roy, T.; Kartika, K.S.; Pal, R.; Coumar, V.; Kala, S.; Shinoji, K.C. Organic and inorganic fertilizer contaminants in agriculture: Impact on soil and water resources. In Contaminants in Agriculture: Sources, Impacts and Management; Springer: Berlin/Heidelberg, Germany, 2020; pp. 3–41. [Google Scholar] [CrossRef]
- Gurmessa, B. Soil acidity challenges and the significance of liming and organic amendments in tropical agricultural lands with reference to Ethiopia. Env. Dev Sustain 2021, 23, 77–99. [Google Scholar] [CrossRef]
- FAO. Sustainable Food and Agriculture. 2014. Available online: https://www.fao.org/sustainability/en (accessed on 31 August 2025).
- Verma, B.C.; Pramanik, P.; Bhaduri, D. Organic Fertilizers for Sustainable Soil and Environmental Management. In Nutrient Dynamics for Sustainable Crop Production; Meena, R., Ed.; Springer: Berlin/Heidelberg, Germany, 2020. [Google Scholar] [CrossRef]
- Zheng, X.; Wei, L.; Lv, W.; Zhang, H.; Zhang, Y.; Zhang, H.; Zhang, H.; Zhu, Z.; Ge, T.; Zhang, W. Long-term bioorganic and organic fertilization improved soil quality and multifunctionality under continuous cropping in watermelon. Agric. Ecosyst. Environ. 2024, 359, 108721. [Google Scholar] [CrossRef]
- Pourhosseini, S.H.; Azizi, A.; Seyedi, F.S.; Hadian, J. Bio-fertilizer as a pathway to minimize nitrate leaching from chemical fertilizer in high yield peppermint production. J. Clean. Prod. 2024, 468, 143100. [Google Scholar] [CrossRef]
- Tang, Y.; Nian, L.; Zhao, X.; Li, J.; Wang, Z.; Dong, L. Bio-Organic Fertilizer Application Enhances Silage Maize Yield by Regulating Soil Physicochemical and Microbial Properties. Microorganisms 2025, 13, 959. [Google Scholar] [CrossRef]
- Liu, Y.; Lan, X.; Hou, H.; Ji, J.; Liu, X.; Lv, Z. Multifaceted Ability of Organic Fertilizers to Improve Crop Productivity and Abiotic Stress Tolerance: Review and Perspectives. Agronomy 2024, 14, 1141. [Google Scholar] [CrossRef]
- Delin, S.; Engström, L. Timing of organic fertiliser application to synchronise nitrogen supply with crop demand. Acta Agric. Scand. Sect. B-Soil Plant Sci. 2009, 60, 78–88. [Google Scholar] [CrossRef]
- Chew, K.W.; Chia, S.R.; Yen, H.W.; Nomanbhay, S.; Ho, Y.C.; Show, P.L. Transformation of biomass waste into sustainable organic fertilizers. Sustain 2019, 11, 2266. [Google Scholar] [CrossRef]
- Olaniyi, J.O.; Ajibola, A. Effects of Inorganic and Organic Fertilizers Application on the Growth, Fruit Yield and Quality of Tomato (Lycopersicon lycopersicum). J. Appl. Biosci. 2008, 8, 236–242. [Google Scholar]
- Shakoor, A.; Shakoor, S.; Rehman, A.; Ashraf, F.; Abdullah, M.; Shahzad, S.M.; Farooq, T.H.; Ashraf, M.; Manzoor, M.A.; Altaf, M.A. Effect of animal manure, crop type, climate zone, and soil attributes on greenhouse gas emissions from agricultural soils-A global meta-analysis. J. Clean. Prod. 2021, 278, 124019. [Google Scholar] [CrossRef]
- Vanlauwe, B.; Bationo, A.; Chianu, J.; Giller, K.E.; Merckx, R.; Mokwunye, U.; Sanginga, N. Integrated soil fertility management: Operational definition and consequences for implementation and dissemination. Outlook Agric. 2010, 39, 17–24. [Google Scholar] [CrossRef]
- Berenguer, P.; Santiveri, F.; Boixadera, J.; Lloveras, J. Nitrogen fertilization of irrigated maize under Mediterranean conditions. Eur. J. Agron. 2009, 30, 163–171. [Google Scholar] [CrossRef]
- Song, W.F.; Shu, A.P.; Liu, J.A.; Shi, W.C.; Li, M.C.; Zhang, W.X.; Li, Z.Z.; Liu, G.G.; Yuan, F.S.; Zhang, S.X.; et al. Effects of long-term fertilization with different substitution ratios of organic fertilizer on paddy soil. Pedosphere 2022, 32, 637–648. [Google Scholar] [CrossRef]
- Cela, S.; Salmerón, M.; Isla, R.; Cavero, J.; Santiveri, F.; Lloveras, S. Reduced nitrogen fertilization to corn following alfalfa in an irrigated semiarid environment. Agron. J. 2011, 103, 520–528. [Google Scholar] [CrossRef]
- Kandil, E.E.E. Response of some maize hybrids (Zea mays L.) to different levels of nitrogenous fertilization. J. Appl. Sci. Res. 2013, 9, 1902–1908. [Google Scholar]
- Law-Ogbomo, K.E.; Law-Ogbomo, J.E. The performance of Zea mays as influenced by NPK fertilizer application. Not. Sci. Biol. 2009, 1, 59–62. [Google Scholar] [CrossRef]
- Škarpa, P.; Antošovský, J.; Ryant, P.; Hammerschmiedt, T.; Kintl, A.; Brtnický, M. Using waste sulfur from biogas production in combination with nitrogen fertilization of maize (Zea mays L.) by foliar application. Plants 2021, 10, 2188. [Google Scholar] [CrossRef]
- Zha, Y.; Wu, X.-P.; He, X.-H.; Zhang, H.-M.; Gong, F.-F.; Cai, D.-X.; Zhu, P.; Gao, H.-J. Basic soil productivity of spring maize in black soil under long-term fertilization based on DSSAT model. J. Integr. Agric. 2014, 13, 577–587. [Google Scholar] [CrossRef]
- Sileshi, G.W. Nutrient Use Efficiency and Crop Yield Response to the Combined Application of Cattle Manure and Inorganic Fertilizer in Sub-Saharan Africa. Nutr. Cycl. Agroecosystems 2019, 113, 181–199. [Google Scholar] [CrossRef]
- Zhang, Y.; Li, T.; Wu, H.; Bei, S.; Zhang, J.; Li, X. Effect of different fertilization practices on soil microbial community in a wheat–maize rotation system. Sustainability 2019, 11, 4088. [Google Scholar] [CrossRef]
- Zerssa, G.W.; Kim, D.-G.; Koal, P.; Eichler-Löbermann, B. Combination of Compost and Mineral Fertilizers as an Option for Enhancing Maize (Zea mays L.) Yields and Mitigating Greenhouse Gas Emissions from a Nitisol in Ethiopia. Agronomy 2021, 11, 2097. [Google Scholar] [CrossRef]
- Zapałowska, A.; Skwiercz, A.; Tereba, A.; Puchalski, C.; Malewski, T. Next-Generation Sequencing for Evaluating the Soil Nematode Diversity and Its Role in Composting Processes. Int. J. Mol. Sci. 2023, 24, 15749. [Google Scholar] [CrossRef]
- Yeates, G.W. Nematodes as soil indicators: Functional and biodiversity aspects. Biol. Fertil. Soils 2003, 37, 199–210. [Google Scholar] [CrossRef]
- Ferris, H.; Bongers, T.; De Goede, R.G.M. A framework for soil food web diagnostics: Extension of the nematode faunal analysis concept. Appl. Soil Ecol. 2001, 18, 13–29. [Google Scholar] [CrossRef]
- Neher, D.A.; Darby, B.J. General community indices that can be used for analysis of nematode assemblages. In Nematodes as Environmental Indicators; Wilson, M.J., Kakouli-Duarte, T., Eds.; CaBi Publishing: Oxford, UK, 2009; pp. 107–123. [Google Scholar] [CrossRef]
- Biswal, D. Nematodes as ghosts of land use past: Elucidating the roles of soil nematode community studies as indicators of soil health and land management practices. Appl. Biochem. Biotechnol. 2022, 194, 2357–2417. [Google Scholar] [CrossRef]
- Griffiths, B.S.; Römbke, J.; Schmelz, R.M.; Scheffczyk, A.; Faber, J.H.; Bloem, J.; Pérès, G.; Cluzeau, D.; Chabbi, A.; Suhadolc, M.; et al. Selecting cost effective and policy-relevant biological indicators for European monitoring of soil biodiversity and ecosystem function. Ecol. Indic. 2016, 69, 213–223. [Google Scholar] [CrossRef]
- Jiang, Y.; Liu, M.; Zhang, J.; Chen, Y.; Chen, X.; Chen, L.; Li, H.; Zhang, X.X.; Sun, B. Nematode grazing promotes bacterial community dynamics in soil at the aggregate level. ISME J. 2017, 11, 2705–2717. [Google Scholar] [CrossRef]
- Grabau, Z.J.; Chen, S. Influence of long-term corn–soybean crop sequences on soil ecology as indicated by the nematode community. Appl Soil Ecol. 2016, 100, 172–185. [Google Scholar] [CrossRef]
- IUSS Working Group WRB. World Reference Base for Soil Resources. International Soil Classification System for Naming Soils and Creating Legends for Soil Maps, 4th ed.; International Union of Soil Sciences (IUSS): Vienna, Austria, 2022; Available online: https://files.isric.org/public/documents/WRB_fourth_edition_2022-12-18.pdf (accessed on 22 July 2025).
- Nowosielski, O. Zasady Opracowywania Zaleceń Nawozowych w Ogrodnictwie. Wyd. III uzupełnione. PWRiL Warszawa, 1988. p. 310. Available online: https://w.bibliotece.pl/402626/Zasady%20opracowywania%20zalece%C5%84%20nawozowych%20w%20ogrodnictwie (accessed on 31 August 2025). (In Polish).
- Komosa, A.; Breś, W.; Golcz, A.; Kozik, E. Żywienie Roślin Ogrodniczych—Podstawy i Perspektywy; Państwowe Wydawnictwo Rolnicze i Leśne (PWRiL): Poznań, Poland, 2012; p. 390. Available online: https://www.agroswiat.pl/zywienie-roslin-ogrodniczych-11920.html (accessed on 31 August 2025). (In Polish)
- Ostrowska, A.; Gawliński, S.; Szczubiałka, Z. Metody Analizy i Oceny Właściwości Gleb i Roślin; Instytut Ochrony: Środowiska, Warszawa, 1991; p. 334. Available online: https://www.scirp.org/reference/referencespapers?referenceid=1394461 (accessed on 31 August 2025). (In Polish)
- Antweiler, R.C.; Patton, C.J.; Taylor, H.E. Automated Colorimetric Methods for Determination Nitrate Plus Nitrite, Nitrite, Ammonium and Orthophosphate Ions in Natural Wather Samples; U.S. Geological Survey: Reston, VA, USA, 1996. [CrossRef]
- Zawadzińska, A.; Salachna, P.; Nowak, J.S.; Kowalczyk, W.; Piechocki, R.; Łopusiewicz, Ł.; Pietrak, A. Compost Based on Pulp and Paper Mill Sludge, Fruit-Vegetable Waste, Mushroom Spent Substrate and Rye Straw Improves Yield and Nutritional Value of Tomato. Agronomy 2022, 12, 13. [Google Scholar] [CrossRef]
- Regulation (EU) 2019/1009 of the European Parliament and of the Council, Dated 5 June 2019. Available online: http://data.europa.eu/eli/reg/2019/1009/oj (accessed on 31 August 2025).
- Szczygieł, A. Application of the Centrifugal Method for Extraction of Nematodes from Soil. J. Prog. Agric. Sci. 1971, 12, 169–179. [Google Scholar]
- Stefanovska, T.; Skwiercz, A.; Pidlisnyuk, V.; Zhukov, O.; Kozacki, D.; Mamirova, A.; Newton, R.A.; Ust’ak, S. The Short-Term Effects of Amendments on Nematode Communities and Diversity Patterns under the Cultivation of Miscanthus × giganteus on Marginal Land. Agronomy 2022, 12, 2063. [Google Scholar] [CrossRef]
- Brzeski, M.W. Nematodes of Tylenchina in Poland and Temperate Europe. In Muzeum i Instytutu Zoologii; Polska Akademia Nauk (MiIZ PAN): Warsaw, Poland, 1998; ISBN 83-85192-84-0. [Google Scholar]
- Andrássy, I. Free-Living Nematodes of Hungary (Nematoda Errantia). In Pedozoologica Hungarica; Csuzdi, C., Mahunka, S., Eds.; Hungarian Natural History Museum and Systematic Zoology Research Group of the Hungarian Academy of Sciences: Budapest, Hungary, 2007; Volume II, ISBN 963 7093 98 2. [Google Scholar]
- Bongers, T. The Maturity Index: An Ecological Measure of Environmental Disturbance Based on Nematode Species Composition. Oecologia 1990, 83, 14–19. [Google Scholar] [CrossRef]
- Bongers, T.; van der Meulen, H.; Korthals, G. Inverse relationship between the nematode maturity index and plant parasite index under enriched nutrient conditions. Appl. Soil Ecol. 1997, 6, 195–199. [Google Scholar] [CrossRef]
- PAST Software. Available online: https://www.nhm.uio.no/english/research/resources/past (accessed on 31 August 2025).
- Sieriebriennikov, B.; Ferris, H.; de Goede, R.G.M. NINJA: An automated calculation system for nematode-based biological monitoring. Eur. J. Soil Biol. 2014, 61, 90–93. [Google Scholar] [CrossRef]
- Meier, U. Growth Stages of Mono-and Dicotyledonous Plants. In BBCH Monograph; Federal Biological Research Centre for Agriculture and Forestry: Berlin, Germany; Braunschweig, Germany, 2001; p. 158. Available online: https://www.yumpu.com/en/document/read/16359822/growth-stages-of-mono-and-dicotyledonous-plants-regione- (accessed on 31 August 2025).
- Smith, L.; Papendick, R. Soil organic matter dynamics and crop residue management. In Soil Microbial Ecology; Applications in Agricultural and Environmental Management; Metting, F.B., Jr., Ed.; Marcel Dekker: New York, NY, USA, 1993; pp. 65–94. Available online: https://www.cabidigitallibrary.org/doi/full/10.5555/19931976430 (accessed on 31 August 2025).
- Abid, M.; Batool, T.; Siddique, G.; Ali, S.; Binyamin, R.; Shahid, M.J.; Rizwan, M.; Alsahli, A.A.; Alyemeni, M.N. Integrated Nutrient Management Enhances Soil Quality and Crop Productivity in Maize-Based Cropping System. Sustainability 2020, 12, 10214. [Google Scholar] [CrossRef]
- Abedi, T.; Alemzadeh, A.; Kazemeini, S.A. Effect of organic and inorganic fertilizers on grain yield and protein banding pattern of wheat. Aust. J. Crop Sci. 2010, 4, 384. [Google Scholar]
- Lambert, K.; Bekal, S. Introduction to plant-parasitic nematodes. Plant Health Instr. 2002, 10, 1094–1218. [Google Scholar] [CrossRef]
- Wang, P.; Yang, F.; Chen, X.; Li, J.; Zhou, X.; Guo, H. Long-term fertilisation effects on soil biotic communities are mediated by plant diversity in a Tibetan alpine meadow. Plant Soil 2022, 474, 525–540. [Google Scholar] [CrossRef]
- Liang, S.; Kou, X.; Li, Y.; Lü, X.; Wang, J.; Li, Q. Soil nematode community composition and stability under different nitrogen additions in a semiarid grassland. Glob. Ecol. Conserv. 2020, 22, e00965. [Google Scholar] [CrossRef]
- Wei, C.; Zheng, H.; Li, Q.; Lü, X.; Yu, Q.; Zhang, H.; Chen, Q.; He, N.; Kardol, P.; Liang, W.; et al. Nitrogen Addition Regulates Soil Nematode Community Composition through Ammonium Suppression. PLoS ONE 2012, 7, e43384. [Google Scholar] [CrossRef]
- Tu, C.; Koenning, S.R.; Hu, S. Root-parasitic nematodes enhance soil microbial activities and nitrogen mineralization. Microb. Ecol. 2003, 46, 134–144. [Google Scholar] [CrossRef]
- Li, J.; Wang, D.; Fan, W.; He, R.; Yao, Y.; Sun, L.; Zhao, X.; Wu, J. Comparative effects of different organic materials on nematode community in continuous soybean monoculture soil. Appl. Soil Ecol. 2018, 125, 12–17. [Google Scholar] [CrossRef]
- Raharijaona, S.; Blanchart, E.; Razafindrakoto, M.; Rafolisy, T.; Salgado, P.; Razafimbelo, T.; Autfray, P.; Ratsiatosika, O.; Bernard, L.; Trap, J. Responses of Soil Nematodes to Combined Bio-Organo-Mineral Fertilisers on Upland Rice Cropping in the Highlands of Madagascar. Proc. Zool. Soc. 2023, 76, 224–240. [Google Scholar] [CrossRef]
- Wu, L.; Hu, J.; Chen, H.; Wang, B.; Wu, Y.; Bai, Y.; Chen, D. Stronger effects of long-term P enrichment on soil biota than plants in grasslands. Soil Tillage Res. 2023, 229, 105668. [Google Scholar] [CrossRef]
- Qi, Y.; Sun, X.; Peng, S.; Tan, X.; Zhou, S. Effects of fertilisation on soil nematode communities in an alpine meadow of Qinghai-Tibet plateau. Front. Ecol. Evol. 2023, 11, 1122505. [Google Scholar] [CrossRef]
- Vestergård, M. Nematode assemblages in the rhizosphere of spring barley (Hordeum vulgare L.) depended on fertilisation and plant growth phase. Pedobiologia 2004, 48, 257–265. [Google Scholar] [CrossRef]
- Du Preez, G.; Daneel, M.; De Goede, R.; Du Toit, M.J.; Ferris, H.; Fourie, H.; Geisen, S.; Kakouli-Duarte, T.; Korthals, G.; Sánchez-Moreno, S.; et al. Nematode-based indices in soil ecology: Application, utility, and future directions. Soil Biol. Biochem. 2022, 169, 108640. [Google Scholar] [CrossRef]
- Benkovic-Lacic, T.; BrMez, M.; Ivezic, M.; Raspudic, E.; Pribetić, D.; Loncaric, Z.; Grubisic, D. Influence of organic and inorganic fertilisers on nematode communities in cornfield. Agric. Academy. Bulg. J. Agric. Sci. 2013, 19, 235–240. [Google Scholar]
- Gruzdeva, L.I.; Matveeva, E.M.; Kovalenko, T.E. Changes in soil nematode communities under the impact of fertilisers. Eurasian Soil Sci. 2007, 40, 681–693. [Google Scholar] [CrossRef]
- Skwiercz, A.T. Plant parasitic nematodes in the peat soils in Poland. Part II. Frequency of occurrence and population density in different chemical properties of peat. Rocz. Nauk Rolniczych. Ser. E. Ochr. Roślin 1991, 19, 101–111. [Google Scholar]
- Tahat, M.M.; Alananbeh, K.M.; Othman, Y.A.; Leskovar, D.I. Soil health and sustainable agriculture. Sustainability 2020, 12, 4859. [Google Scholar] [CrossRef]
- Gebremikael, M.T.; Steel, H.; Buchan, D.; Bert, W.; De Neve, S. Nematodes enhance plant growth and nutrient uptake under C and N-rich conditions. Sci. Rep. 2016, 6, 32862. [Google Scholar] [CrossRef] [PubMed]
- Nayak, A.; Gangwar, B.; Shukla, A.K.; Mazumdar, S.P.; Kumar, A.; Raja, R.; Kumar, A.; Kumar, V.; Rai, P.; Mohan, U. Long-term effect of different integrated nutrient management on soil organic carbon and its fractions and sustainability of rice-wheat system in Indo Gangetic Plains of India. Field Crops Res. 2012, 127, 129–139. [Google Scholar] [CrossRef]
- Abid, M.; Tian, Z.; Ata-Ul-Karim, S.T.; Cui, Y.; Liu, Y.; Zahoor, R.; Jiang, D.; Dai, T. Nitrogen nutrition improves the potential of wheat (Triticum aestivum L.) to alleviate the effects of drought stress during vegetative growth periods. Front. Plant Sci. 2016, 7, 981. [Google Scholar] [CrossRef] [PubMed]
- Güereña, D.T.; Kimetu, J.; Riha, S.; Neufeldt, H.; Lehmann, J. Maize productivity dynamics in response to mineral nutrient additions and legacy organic soil inputs of contrasting quality. Field Crops Res. 2016, 188, 113–120. [Google Scholar] [CrossRef]
- Hepperly, P.; Lotter, D.; Ulsh, C.Z.; Seidel, R.; Reider, C. Compost, manure and synthetic fertilizer influences crop yields, soil properties, nitrate leaching and crop nutrient content. Compost. Sci. Util. 2009, 17, 117–126. [Google Scholar] [CrossRef]
- Arif, M.; Ali, K.; Jan, M.T.; Shah, Z.; Jones, D.L.; Quilliam, R.S. Integration of biochar with animal manure and nitrogen for improving maize yields and soil properties in calcareous semi-arid agroecosystems. Field Crops Res. 2016, 195, 28–35. [Google Scholar] [CrossRef]
- Kumar, A.; Yadav, D.S. Long-Term Effects of Fertilizers on the Soil Fertility and Productivity of a Rice–Wheat System. J. Agron. Crop Sci. 2008, 186, 47–54. [Google Scholar] [CrossRef]
- Gangwar, K.; Singh, K.; Sharma, S.; Tomar, O. Alternative tillage and crop residue management in wheat after rice in sandy loam soils of Indo-Gangetic plains. Soil Tillage Res. 2006, 88, 242–252. [Google Scholar] [CrossRef]
- Teshita, A.; Khan, W.; Alabbosh, K.F.; Ullah, A.; Khan, A.; Jalal, A.; Iqbal, B. Dynamic changes of soil nematodes between bulk and rhizosphere soils in the maize (Zea mays L.)/alfalfa (Medicago sativa L.) intercropping system. Plant Stress 2024, 11, 100345. [Google Scholar] [CrossRef]
- Shokoohi, E.; Masoko, P. Association of Plant-Parasitic Nematodes and Soil Physicochemical Properties in Tomatoes in Turfloop, Limpopo Province. South Afr. Hortic. 2024, 10, 328. [Google Scholar] [CrossRef]
- van den Hoogen, J.; Geisen, S.; Routh, D.; Ferris, H.; Traunspurger, W.; Wardle, D.A.; de Goede, R.G.M.; Adams, B.J.; Ahmad, W.; Andriuzzi, W.S.; et al. Soil nematode abundance and functional group composition at a global scale. Nature 2019, 572, 194–198. [Google Scholar] [CrossRef]
- Mekuria, T.M.; Meressa, B.H.; Hundesa, W.B. Prevalence of major parasitic nematodes associated with tomatoes (Solanum lycopersicum L.) in two districts of Jimma, Ethiopia. Arch. Phytopathol. Plant Prot. 2023, 56, 158–174. [Google Scholar] [CrossRef]
- Karuri, H. Nematode community response to intensive tomato production in the tropics. Rhizosphere 2023, 25, 10068. [Google Scholar] [CrossRef]
- Shokoohi, E. Impact of agricultural land use on nematode diversity and soil quality in Dalmada. South Afr. Hortic. 2023, 9, 749. [Google Scholar] [CrossRef]
- Jones, J.T.; Haegeman, A.; Danchin, E.G.J.; Gaur, H.S.; Helder, J.; Jones, M.G.K.; Kikuchi, T.; Manzanilla-López, R.; Palomares-Rius, J.E.; Wesemael, W.M.L.; et al. Top 10 plant-parasitic nematodes in molecular plant pathology. Mol. Plant Pathol. 2013, 14, 946–961. [Google Scholar] [CrossRef] [PubMed]
- Das, S.; Bar, S.; Madhu, N.R.; Ghorai, S.K. Evaluating the Consequences of Parasitic Nematodes on Agricultural Productivity. Int. Acad. Publ. House 2024, 3, 93–127. [Google Scholar] [CrossRef]
- Maina, S.; Ng’endo, R.N. Influence of Spiral Nematodes (Scutellonema spp.) on Maize Performance and Growth under Natural Field Infestation in Mwea, Kenya. Hindawi Int. J. Agron. 2020, 2020, 9587569. [Google Scholar] [CrossRef]















| Parameter | A | B | C | D | E | F |
|---|---|---|---|---|---|---|
| pH KCl | 5.9 | 6.3 | 7.1 | 5.8 | 7.1 | 8.1 |
| Phosphorus (g·kg−1) | 13.00 | 1.09 | 2.01 | 9.42 | 8.89 | 3.64 |
| Potassium (g·kg−1) | 4.93 | 6.88 | 4.63 | 5.09 | 7.63 | 7.28 |
| Total nitrogen (%) | 4.02 | 1.82 | 1.01 | 2.59 | 1.86 | 1.56 |
| Calcium (%) | 1.7 | 1.52 | 1.95 | 2.13 | 1.64 | 2.34 |
| Magnesium (%) | 0.32 | 0.32 | 0.20 | 0.34 | 0.3 | 0.51 |
| C/N ratio | 19.25 | 23.57 | 37.72 | 28.06 | 21.29 | 30.32 |
| Feeding Type | Species | C-p Class | P-p Class | Mass, ug |
|---|---|---|---|---|
| Herbivores—ectoparasites | Amplimerlinius globigerus | 0 | 3 | 0.484 |
| Herbivores—semi-endoparasites | Helicotylenchus digonicus | 0 | 3 | 0.227 |
| Helicotylenchus pseudorobustus | 0 | 3 | 0.293 | |
| Herbivores—ectoparasites | Merlinius brevidens | 0 | 3 | 0.208 |
| Merlinius nothus | 0 | 3 | 0.204 | |
| Paratylenchus projectus | 0 | 2 | 0.05 | |
| Herbivores—migratory endoparasites | Pratylenchus neglectus | 0 | 3 | 0.095 |
| Herbivores—epidermal/root hair feeders | Tylenchus | 0 | 2 | 0.36 |
| Fungivores | Aphelenchoides | 2 | 0 | 0.151 |
| Aphelenchus | 2 | 0 | 0.218 | |
| Filenchus | 2 | 0 | 0.099 | |
| Bacterivores | Acrobeles | 2 | 0 | 0.64 |
| Acrobeloides | 2 | 0 | 1.263 | |
| Diplogaster | 1 | 0 | 1.886 | |
| Rhabditis | 1 | 0 | 7.5 | |
| Predators | Clarkus | 4 | 0 | 3.897 |
| Mylonchulus | 4 | 0 | 1.723 | |
| Omnivores | Dorylaimus | 4 | 0 | 42.765 |
| Eudorylaimus | 4 | 0 | 3.135 |
| Treatment Combination | Indicator | ||
|---|---|---|---|
| Shannon Index (H’) | Maturity Index (MI) | Plant Parasitic Index (PPI) | |
| 1 | 2.53 ± 0.01 a | 2.38 ± 0.09 a | 2.58 ± 0.02 b |
| 2 | 2.55 ± 0.02 a | 2.20 ± 0.05 a | 2.59 ± 0.03 b |
| 3 | 2.41 ± 0.03 ab | 2.01 ± 0.06 ab | 2.82 ± 0.01 a |
| 4 | 2.50 ± 0.08 a | 2.15 ± 0.06 a | 2.38 ± 0.09 cd |
| 5 | 2.41 ± 0.04 ab | 2.15 ± 0.05 ab | 2.22 ± 0.02 d |
| 6 | 2.39 ± 0.03 ab | 2.10 ± 0.02 ab | 2.28 ± 0.03 d |
| 7 | 2.22 ± 0.14 b | 2.00 ± 0.03 b | 2.54 ± 0.15 bc |
| 8 | 2.47 ± 0.08 a | 2.01 ± 0.10 ab | 2.33 ± 0.08 d |
| Parameter | TKW [g] | Cob Core [g] | Kernel Numer [psc] | Kernel Mass [g] |
|---|---|---|---|---|
| pH | 0.426 | 0.246 | 0.144 | 0.190 |
| Salinity | 0.043 | −0.024 | 0.067 | 0.068 |
| N-NO3 | 0.155 | −0.009 | −0.009 | 0.024 |
| N-NH4 | −0.190 | −0.056 | −0.023 | −0.070 |
| P | 0.407 | 0.118 | 0.083 | 0.147 |
| K | 0.202 | −0.025 | −0.241 | −0.170 |
| Mg | 0.586 | 0.220 | 0.090 | 0.186 |
| Ca | 0.522 | 0.222 | 0.101 | 0.179 |
| Na | −0.178 | 0.121 | −0.241 | −0.243 |
| S-SO4 | −0.117 | 0.084 | 0.036 | 0.004 |
| Cl | −0.196 | −0.041 | −0.034 | −0.082 |
| Fe | −0.554 | −0.227 | −0.352 | −0.404 |
| Mn | −0.639 | −0.301 | −0.553 | −0.598 |
| Cu | 0.306 | 0.402 | 0.490 | 0.484 |
| Zn | 0.358 | 0.301 | 0.255 | 0.281 |
| B | 0.354 | 0.439 | −0.211 | −0.116 |
| C org | 0.455 | −0.058 | 0.228 | 0.283 |
![]() | ||||
| Treatment Combination | Parameter | ||||
|---|---|---|---|---|---|
| Protein | Fat | Fiber | Ash | Dry Matter | |
| (%) | |||||
| 1 | 8.96 ± 0.05 bc | 4.56 ± 0.14 bc | 3.02 ± 0.17 a | 0.87 ± 0.04 a | 89.97 ± 0.04 a |
| 2 | 8.78 ± 0.09 bcd | 4.29 ± 0.03 cd | 2.74 ± 0.09 ab | 0.78 ± 0.03 ab | 89.67 ± 0.02 ef |
| 3 | 8.44 ± 0.04 e | 4.14 ± 0.04 d | 2.74 ± 0.12 b | 0.69 ± 0.03 bc | 89.64 ± 0.01 ef |
| 4 | 9.07 ± 0.04 ab | 4.85 ± 0.08 a | 2.74 ± 0.11 b | 0.76 ± 0.02 ab | 89.21 ± 0.01 d |
| 5 | 9.26 ± 0.10 a | 4.73 ± 0.06 ab | 2.74 ± 0.08 b | 0.81 ± 0.03 ab | 89.48 ± 0.03 b |
| 6 | 9.00 ± 0.10 abc | 4.11 ± 0.14 d | 2.74 ± 0.12 b | 0.66 ± 0.06 bc | 89.33 ± 0.05 c |
| 7 | 8.63 ± 0.13 d | 4.44 ± 0.09 cd | 2.79 ± 0.10 ab | 0.65 ± 0.05 c | 89.60 ± 0.04 f |
| 8 | 8.76 ± 0.10 cd | 4.82 ± 0.11 ab | 2.98 ± 0.13 ab | 0.83 ± 0.05 a | 89.73 ± 0.03 e |
| Parameter | PPN | Bacteriavores | Fungivores | Omnivores | Predators |
|---|---|---|---|---|---|
| Protein | 0.581 | 0.414 | 0.674 | 0.448 | 0.438 |
| Fat | −0.102 | −0.350 | −0.151 | −0.230 | 0.033 |
| Fiber | 0.097 | −0.340 | −0.165 | 0.088 | 0.421 |
| Ash | 0.362 | −0.302 | 0.164 | 0.211 | 0.527 |
| Dry matter | 0.192 | −0.414 | −0.188 | 0.071 | 0.501 |
| TKW | 0.665 | 0.577 | 0.756 | 0.682 | 0.419 |
| Cob core | 0.428 | −0.101 | 0.170 | 0.249 | 0.646 |
| Kernel number | 0.150 | 0.270 | 0.308 | 0.088 | 0.013 |
| Kernel mass | 0.269 | 0.349 | 0.425 | 0.219 | 0.098 |
![]() | |||||
Disclaimer/Publisher’s Note: The statements, opinions and data contained in all publications are solely those of the individual author(s) and contributor(s) and not of MDPI and/or the editor(s). MDPI and/or the editor(s) disclaim responsibility for any injury to people or property resulting from any ideas, methods, instructions or products referred to in the content. |
© 2025 by the authors. Licensee MDPI, Basel, Switzerland. This article is an open access article distributed under the terms and conditions of the Creative Commons Attribution (CC BY) license (https://creativecommons.org/licenses/by/4.0/).
Share and Cite
Zapałowska, A.; Jarecki, W.; Skwiercz, A.T.; Kunka, M. The Impact of Using Compost, Vermicompost and Mineral Fertilization on Soil Nematode Communities and Maize Grain Quality in a Pot Experiment. Sustainability 2025, 17, 9936. https://doi.org/10.3390/su17229936
Zapałowska A, Jarecki W, Skwiercz AT, Kunka M. The Impact of Using Compost, Vermicompost and Mineral Fertilization on Soil Nematode Communities and Maize Grain Quality in a Pot Experiment. Sustainability. 2025; 17(22):9936. https://doi.org/10.3390/su17229936
Chicago/Turabian StyleZapałowska, Anita, Wacław Jarecki, Andrzej Tomasz Skwiercz, and Małgorzata Kunka. 2025. "The Impact of Using Compost, Vermicompost and Mineral Fertilization on Soil Nematode Communities and Maize Grain Quality in a Pot Experiment" Sustainability 17, no. 22: 9936. https://doi.org/10.3390/su17229936
APA StyleZapałowska, A., Jarecki, W., Skwiercz, A. T., & Kunka, M. (2025). The Impact of Using Compost, Vermicompost and Mineral Fertilization on Soil Nematode Communities and Maize Grain Quality in a Pot Experiment. Sustainability, 17(22), 9936. https://doi.org/10.3390/su17229936



