Next Article in Journal
How Does Culture Become an Asset? Property Rights Design and Internalised Governance on China’s Urban Peripheries
Previous Article in Journal
Institutional Investor Horizon and Corporate Green Innovation: Evidence from Chinese Listed Companies
Previous Article in Special Issue
Optimizing Reverse Logistics Network for Waste Electric Vehicle Batteries: The Impact Analysis of Chinese Government Subsidies and Penalties
 
 
Font Type:
Arial Georgia Verdana
Font Size:
Aa Aa Aa
Line Spacing:
Column Width:
Background:
Article

Does the “Green Factories” Certification Pilot Policy Improve the ESG Performance of Enterprises? Evidence from a Quasi-Natural Experiment in China

School of Management, Wuhan Textile University, Wuhan 430200, China
*
Author to whom correspondence should be addressed.
Sustainability 2025, 17(22), 10400; https://doi.org/10.3390/su172210400
Submission received: 13 October 2025 / Revised: 17 November 2025 / Accepted: 18 November 2025 / Published: 20 November 2025

Abstract

Green manufacturing is an important path for accelerating the green transformation of the industrial development model. “Green Factories” certification serves as an innovative approach to voluntary environmental regulation, designed to guide firms toward optimal decision making in green manufacturing. Can the voluntary environmental regulation policy be effective, particularly in the absence of a mandatory, strictly environmental, social, and governance (ESG) framework environment? Utilizing the “Green Factories” certification pilot policy released by the Ministry of Industry and Information Technology (MIIT) in 2016 as a quasi-natural experiment, this study employs the staggered difference-in-differences (DID) model to estimate the impacts of the voluntary environmental regulation policy on corporate ESG performance. Using a panel dataset of 2585 Chinese A-share listed enterprises from the industrial sector spanning 2012 to 2021, the results show that the “Green Factories” certification pilot policy significantly improves corporate ESG performance, and the results remain consistent after robustness tests. The mechanism analysis reveals that the influencing channel mainly works through green technology innovation, total factor productivity (TFP), and digital transformation. Heterogeneity tests further indicate that the green manufacturing pilot policy has a stronger effect on larger, heavily polluting, private enterprises that receive greater investor attention. This study provides empirical evidence at the micro level on the determinants of corporate ESG performance and voluntary environmental regulation policy evaluation, offering practical insights for promoting green manufacturing engineering development.

1. Introduction

In recent years, the increasing frequency and intensity of extreme weather, severe natural resource constraints, environmental degradation, and continuous changes in climate risks have caused widespread concern in society. Countries worldwide are seeking a circular and low-carbon green development path. Subsequently, substantial emphasis has been placed on evaluating enterprises from a sustainability-oriented perspective, with environmental, social, and governance (ESG) performance serving as a core measurement dimension [1]. Consequently, a rapidly growing number of enterprise policymakers are setting and pursuing corporate ESG performance targets [2]. As the world’s greatest manufacturing country, the Chinese government places significant emphasis on addressing climate change and actively explores ecological priority and a green and low-carbon development road. Therefore, exploring how enterprises can activate the ESG activities and accelerate overall green transformation in China holds substantial practical and academic significance.
Environmental regulation serves as a crucial tool for boosting corporate ESG performance and has emerged as an increasingly prominent trend in sustainable development. Three forms of environmental regulation exist [3]: market-incentive regulation (MIR), voluntary environmental regulation, and command–control regulation (CCR). A rapidly growing body of literature has offered empirical evidence regarding the impacts of MIR and CCR environmental regulation policies in China, such as green financial reforms or green credit policies [4], energy-saving and carbon emission reduction policies [5], and the Environmental Protection Tax Law [6]. Consequently, CCR and MIR environmental regulations have long prevailed in the majority of environmental governance practices and academic research on the topic. However, CCR or MIR tools are based on a rigid “top-down” approach to governance, which is administratively costly, less flexible, and less effective than expected in environmental governance [7]. Academics and governments worldwide are starting to pay attention to voluntary environmental behaviors as public awareness of sustainable development grows [8,9]. In the environmental governance field, there is insufficient practical implementation of voluntary environmental regulation, and the related research is still in its initial stage. Therefore, exploring the role and effect of participation in voluntary environmental regulations on corporate ESG performance is needed.
In 2016, the Ministry of Industry and Information Technology (MIIT) established green manufacturing system governance, including the “Green Factories” certification pilot policy. In 2017, the first official batch of certifications was launched. The “Green Factories” certification pilot follows a framework combining self-assessment by enterprises and independent evaluation by third-party institutions. Within China’s institutional context, this certification—as the first comprehensive environmental standard system designed from the perspective of enterprises’ entire production lifecycle—represents an innovative form of voluntary environmental regulation. The “Green Factories” certification pilot policy is a large-scale experiment involving thousands of green factories covering many provinces and enterprises across China and has been implemented in batches with good continuity. Therefore, the conclusions from this large sample policy experiment are credible. Scholars have yet to fully examine whether the “Green Factories” certification pilot program exerts an impact on the ESG performance of manufacturing enterprises, nor have they fully explored what underlying influencing mechanisms exist in policy implementation.
Using this unique policy experiment against the background of Chinese green manufacturing system development, this study selected a sample of 2585 Chinese manufacturing listed enterprises spanning 2012 to 2021. We employed a staggered difference-in-differences (DID) model to analyze whether and how the “Green Factories” certification pilot policy influences corporate ESG performance from a micro perspective. The results indicate that participation in the “Green Factories” certification pilot significantly improves enterprises’ ESG performance. Enterprises’ green technology innovation, total factor productivity (TFP), and digital transformation play mediating roles between the “Green Factories” certification pilot policy and ESG performance. Heterogeneity analysis indicates that larger enterprises and those receiving greater investor attention achieve higher ESG performance from the “Green Factories” certification pilot policy. After a battery of robustness tests, the empirical findings remain consistent and reliable.
This study offers several potential contributions. First, it expands academic research regarding the effects of voluntary environmental regulation policies. Research has focused on how CCR and MIR policy tools affect the ESG performance of enterprises [10,11]. Only a few scholars have discussed how voluntary environmental regulations affect corporate ESG-related issues based on the ISO14001 environmental certification tool [12]. The “Green Factories” certification and ISO14001 certification have similarities; both rely on highly specialized environmental technical standards and third-party evaluations. However, the ISO14001 certification standards focus only on the environmental management process, whereas the “Green Factories” certification pilot policy standards cover enterprises’ whole production life cycle, including energy input, product manufacturing, and emission processes, making it a more comprehensive tool. This paper discusses the importance of China’s “Green Factories” certification pilot policy for ESG performance for the first time. Second, examining the connection between the certification pilot program and ESG performance helps advance research into the critical determinant factors of the corporate ESG literature, particularly those that have not received much attention. Furthermore, the results provide valuable evidence to help policymakers gain insights into the significant association between ESG performance and China’s “Green Factories” certification pilot policy, the influencing channels, and the heterogeneous effects, which will in turn support the continued rollout of green manufacturing policies and dissemination of best management practices around the world.
The paper is organized into seven sections. Section 2 offers a review of the relevant literature, alongside an overview of the background information on the green manufacturing system and the “Green Factories” certification pilot policy. We develop the hypotheses in Section 3. Section 4 outlines the data sampling procedures and methodologies employed. The regression results and subsequent discussions are presented in Section 5 and Section 6, while Section 7 contains the conclusions and policy recommendations for the future.

2. Literature Review

2.1. Determinants of ESG Performance

The ESG concept has sparked a hot discussion within both industry and academia [13,14]. A large body of research has explored factors affecting ESG performance, focusing on internal corporate governance perspectives, such as enterprise ownership [15], the composition and diversification of the board [16], and manager characteristics [17]. According to Liu et al. [18], mixed ownership reform significantly improved comprehensive ESG performance. Sun et al. [15] reported that family ownership and control can significantly improve corporate ESG scores. Wong [16] provided evidence that female representation on a committee can achieve better ESG performance. Welch and Yoon [17] claimed that highly skilled managers allocate resources to ESG activities to increase shareholder value. Other studies have focused primarily on external determinants, such as investor and investment efficiency [19,20], digital finance [21], and stock markets [22]. For example, Yin et al. [23] revealed that stock market openings boost ESG performance. Furthermore, other factors that affect ESG performance include the nature of the nation [24] and the risks of climate change [25]. Overall, research has been carried out to investigate the variables affecting ESG performance across many countries and regions based on different scopes, especially from an internal perspective [11]; therefore, further studies on determinants of ESG performance from an external perspective are needed.

2.2. Environmental Regulation Policies and Corporate ESG Performance

As an outside governance tool, environmental regulations have been proven to influence corporate social responsibility (CSR) or ESG practices. The extant literature has analyzed the links based on two principal theoretical frameworks. On the one hand, based on neoclassical economic theory [26], environmental policies, as an outside regulatory pressure, increase an organization’s workload and cause a shift in resource usage from “standard production” to “pollution manufacturing.” The growing production and pollution expenses adversely affect corporate competitiveness, hindering corporate ESG (or CSR) activities. For example, ESG performance is negatively impacted by policy risks related to carbon management [27]. Furthermore, Yan et al. [28] found that environmental tax law negatively impacted enterprises’ green productivity. On the other hand, according to Porter and van der Linde [29], reasonably sound environmental regulation helps enterprises reallocate resources internally and innovate more technologically, which enhances ESG (or CSR) practices. Moreover, the environmental regulation also lessens the adverse financial effects on enterprises’ businesses.
The Chinese government has implemented some CCR and MER policies to address environmental issues in the country, as environmental concerns and China’s economic standing have grown significantly. These policies include the Energy Conservation Law (2007), the Adjustment of Subsidies for Energy-Efficient Vehicles Notice (2011), the Low-Carbon City Pilot Policy (2012), and the Green Finance Reform and Innovation Pilot Zone (2017). Consequently, an evolving area of policy effect research within the Chinese context, encompassing green financial policy [30], energy and carbon-related policy [31], the environmental tax legislation [6], and other environmental regulation policies [32], has grown rapidly. For example, Ma et al. [4] found that green credit policy in China positively affects corporate ESG performance. Wan et al. [11] explored how a pilot policy for a low-carbon city in China helped companies adopt ESG practices. Zeng et al. [32] showed that establishing free trade zones in China can considerably improve ESG performance. These empirical results all align with the theoretical views put forward by Porter and van der Linde [29].
However, compared to the CCR and MER policies, policies of voluntary environmental regulation received less attention. Concerning the links between voluntary environmental regulations and ESG performance, most scholars have centered their attention on the economic impacts of ISO14001 certification [7,8,33]. The “Green Factories” certification pilot policy, a voluntary regulatory tool with Chinese characteristics, has not yet attracted much attention. Overall, the extant literature in the publication has not reached an agreement to links between voluntary environmental regulation policies and ESG performance across disparate datasets, methodologies, and policy scopes.
Current research has examined the links between CCR or MER environmental regulation policies and ESG performance. However, the question of how voluntary environmental regulation policies, like the “Green Factories” certification pilot program, affect corporate ESG performance has garnered insufficient attention. Moreover, thorough analysis of the potential benefits that the “Green Factories” certification pilot program may bring to ESG performance is still lacking. To address these gaps, this study investigates the effects of the “Green Factories” certification pilot program on corporate ESG performance and the channels that influence it by using a panel dataset of 2585 Chinese companies from 2012 to 2021 for the first time. The findings of this study provide a theoretical foundation for ESG performance management and voluntary environmental regulation initiatives, offering valuable insights for corporate and government decision makers.

3. Policy Background and Research Hypotheses

3.1. The “Green Factories” Certification Pilot Policy in China

“Made in China 2025” introduced the fundamental idea of a green manufacturing system for the first time. In 2016, the notification for establishing the green manufacturing system in China was formally released by the MIIT. As one of the green manufacturing policies, the “Green Factories” certification pilot program was formally introduced in 2017. The goal is to transform factories into green factories and position them as leaders in international competition, thus serving as demonstration benchmarks for green transformation and upgrading.
Specifically, based on product life cycle management, the General Rules of Green Factories Evaluation document was issued. This document proposes a thorough evaluation system covering 26 indicators at the second level, and 7 indicators at the first level. The indicators at the first level consist of general requirements, infrastructure, management system, energy and resource inputs, products, environmental emissions, and performance. The whole certification process is as follows: First, when the evaluation indicators of the energy utilization rate and pollutant emission level are better than the industry average level, the enterprise can voluntarily apply for an evaluation report from a third-party institution. Second, after the application, the local regulatory authorities evaluate, confirm, and recommend a roster of “Green Factories” to the competent department of the MIIT. Third, the responsible MIIT department approves and releases the final list of “Green Factories”. Fourth, after obtaining “Green Factories” certification, the state and local government provide them with exceptional support funds and access to relevant green credit preferences, thus supporting the sustainable development of the certified enterprises. To continuously promote supervision, the MIIT will regularly review the relevant indicators of certified enterprises every three years. If the related indicators of an enterprise previously certified as a “Green Factory” no longer meet the assessment requirements, the enterprise will be delisted by the MIIT. The MIIT requires such enterprises not re-apply for certification within three years.
From 2017 to 2021, 2738 national “Green Factories” enterprises were released in six batches comprising 201, 208, 391, 602, 719, and 662, with the number increasing annually. Many of the national “Green Factories” are part of the same listed parent company, and at most, 19 “Green Factories” are controlled by the same parent company.

3.2. Research Hypotheses

3.2.1. Basic Hypothesis

Corporate ESG performance could enhance the “Green Factories” certification pilot program. First, pressure from environmental regulations will make enterprises aware of society’s current green and sustainable development orientations. High standards and comprehensiveness characterize the application requirements for the “Green Factories” certification. On the one hand, the prerequisite for obtaining the “Green Factories” certification is that enterprises must ensure the completion of basic green production processes and end-of-pipe pollution technology reforms. These internal reforms increase corporations’ efforts toward green behavior and actively engage them in green transformation. By adopting more advanced and applicable cleaner production process technologies and equipment, companies can save energy, reduce some costs related to environmental regulation penalties, and enhance their overall competitive ability, all of which support more effective ESG practices. On the other hand, the “Green Factories” certification program is a voluntary environmental regulation, and the pressure it places on enterprises is more intrinsic, such that enterprises voluntarily carry out ESG practices. This avoids the consequences of excessive legitimacy pressure and excludes the possibility of ‘green-washing’ and other opportunistic motives. Second, enterprises certified as Green Factories send signals to external potential investors (e.g., stakeholders, regulators, potential suppliers of funds) that they are consciously fulfilling their social responsibilities. This helps alleviate the asymmetry in environmental information between the certified enterprises and external investors and leads to more positive responses in terms of financing and government subsidies [12]. As the scale of outside investor attention increases, more financial resources enter the “Green Factories” system, further motivating enterprises to engage in continuous ESG behaviors [23]. Third, “Green Factories” are subject to continuous monitoring and receive greater attention from the MIIT and other environmental protection departments. Moreover, “Green Factories” are also required to demonstrate their managerial experiences to their peers. The higher cost of compliance ensures that enterprises marked as “Green Factories” are inherently more motivated to enhance their environmental performance over time, enhancing their ESG performance. In light of the analysis above, this paper puts forward the following hypothesis:
H1. 
The implementation of the “Green Factories” certification pilot policy has a positive impact on corporate ESG performance.

3.2.2. Mechanism Hypothesis

The “Green Factories” certification pilot policy can influence an enterprise’s ESG performance through three plausible channels: green technology innovation, TFP, and digital transformation.
Green technology innovation effect: Previous studies have proven the positive links between environmental regulations and green technology innovation based on different samples, sectors, and policies [34]. The “Green Factories” certification program is essential for encouraging green innovation in enterprises. Drawing on Porter’s hypothesis, green technology innovation enables firms to achieve an environmental and financial win–win, aligning with the core requirements of ESG practices. For example, to qualify for the “Green Factories” certification pilot program, enterprises need to devote themselves to upgrading their overall green R&D capabilities, including energy conservation techniques and sophisticated water reclamation methods. Moreover, the “Green Factories” certification pilot policy requires enterprises to consider environmental factors at the product design stage and to develop green products. Product innovation caters to market needs for eco-friendly goods, spurring enterprises to attain product performance via technological innovation [35]. As such, their ESG practice efficiency will be enhanced to some degree. Furthermore, in this process, voluntary environmental regulatory measures tend to align with Porter’s hypothesis in their effects, exerting positive impacts on enterprises across the board. We therefore present Hypothesis 2:
H2. 
The “Green Factories” certification pilot policy enhances corporate ESG performance by facilitating green technology innovation.
Total factor productivity effect: First, enterprises are expected to reallocate their production resources and optimize production management across the whole production life cycle after introducing the “Green Factories” certification pilot program. The certification program requires enterprises to focus on optimizing production planning, processing, and the recycling rate of resources. During this process, enterprises can significantly reduce the consumption of resources per unit of output, demonstrating their commitment to corporate ESG practices. Therefore, as an environmental regulation, ESG performance can be improved through the “Green Factories” certification pilot policy’s positive impact on total factor productivity [36,37,38,39]. Second, enterprises certified as “Green Factories” are usually seen as having a high level of green awareness and responsibility. This positive image helps boost TFP of enterprises and then can open up wider future market space and longer-term development prospects, which in turn aids in advancing ESG performance. Therefore, we hypothesize the following:
H3. 
The “Green Factories” certification pilot policy improves corporate ESG performance by promoting total factor productivity.
Digital transformation effect: First, as a voluntary environmental regulatory measure, the “Green Factories” designation incentivizes certified enterprises to enhance their green information disclosure to government agencies, industry peers, and the general public, which leads to the upgrading of digital systems. The advanced digital system improves the efficiency of information utilization by structuring and standardizing data coding and output, thereby improving ESG information disclosure based on information processing theory [40]. For example, under the “Green Factories” initiative, corporate digital upgrading allows for more transparent green data sharing with value chain partners [41]. Second, digital transformation helps enterprises improve their workforce and attract talent for innovation. For example, the use of digital technology and equipment can replace low-skilled labor and repetitive work. Implementing a green office system helps enterprises optimize their human resource allocation while demonstrating their commitment to the social dimension of ESG performance. Supported by digital tools, digital upgrading has further enhanced the service performance, eco-friendly low-carbon manufacturing, brand image, and external reputation of “Green Factories”, thereby enhancing overall ESG performance. Consequently, Hypothesis 4 is presented as follows:
H4. 
The “Green Factories” certification pilot policy improves corporate ESG performance through digital transformation.

4. Research Design

4.1. Sample Selection and Data Sources

Considering that manufacturing production units are the targets of the “Green Factories” certification pilot policy, this study initially selected A-share listed manufacturing firms in China from 2012 to 2021 as its target samples. We further screened and processed the samples using the following steps: (1) firms labeled with ST (special treatment) and *ST (delisting warning) were deleted; (2) observations with a missing value (e.g., lacking ESG data or other required data either before or after implementing the “Green Factories” certification pilot policy) were removed; (3) the influence of extreme outliers was eliminated, and at the 1% level, all continuous variables were winsorized. Following the data filtration process, the final sample dataset included 2585 firms and 17,422 valid observations from 2012 to 2021. Among these, 837 observations comprised the treatment group, and the other 16,585 observations comprised the “Green Factories” certification list, constituting the control group.
ESG performance data for the sample companies were sourced from the WIND database. The CSMAR database provided all historical firm-level financial variable data. The “Green Factories” list was manually obtained from the MIIT’s official website.

4.2. Variable Definitions

4.2.1. Dependent Variable

ESG, which indicates corporate ESG performance, is the dependent variable. This study adopted ESG ratings from China’s Huazheng Rating Agency [11]. This agency conducts a comprehensive assessment of ESG ratings based on publicly available data and CSR reports in China, which are regularly updated quarterly and cover more listed companies. ESG ratings include 9 grades from AAA to C, with AAA representing the highest rating and C representing the lowest. In this study, we quantified the ESG ratings assigned to companies into corresponding numerical grades: 1 is C, 2 is CC, 3 is CCC, 4 is B, 5 is BB, 6 is BBB, 7 is A, 8 is AA, and 9 is AAA. The higher the figure, the stronger a company’s ESG performance.

4.2.2. Independent Variables

GFactory is the core independent variable for whether an enterprise has the “Green Factories” certification. Six batches of green factories were launched at different times from 2017 to 2021. Based on the “Green Factories” demonstration lists released by the MIIT within this period, if a listed enterprise received a “Green Factories” certification in year t, in year t and subsequent years, the GFactory variable is valued at 1. Otherwise, it equals 0. The original data were manually obtained from the MIIT’s official website.

4.2.3. Control Variables

Drawing on previous theoretical and empirical studies [30,42,43], other variables that impact corporate ESG performance should be considered. Variables (1)–(5) are control variables representing the general financial characteristics of enterprises. (1) Leverage (Lev) is calculated as the average annual total liabilities divided by the average annual total assets. The inclusion of leverage is based on capital structure and corporate sustainability theories: high-leverage firms may cut ESG-related investments (e.g., environmental protection) due to debt repayment pressure, while creditors’ risk management demands could also push for better ESG performance, so this variable controls for capital structure interference. (2) Return on assets (Roa) is calculated by dividing the net profit for a company by its total assets. (3) Liquid represents the liquidity ratio. A firm’s liquidity level reflects its ability to allocate short-term resources, as sufficient cash flow can provide necessary financial support for ESG initiatives, including environmental technology transformation and governance optimization. Meanwhile, liquidity constraints may limit such investments. Therefore, this variable is included to isolate the potential impact of resource availability on ESG performance. (4) Growth of a company (Growth), indicates the company’s revenue growth rate. (5) Cashflow is calculated using the beginning of the year’s total assets divided by the net cash flows from activities. Variables (6)–(9) are control variables representing corporate governance characteristics. (6) Ownership concentration (Top1) is the ratio of the largest shareholder. (7) Big Four Auditor (Big4) indicates whether an enterprise is audited by a Big Four audit agency. (8) Loss indicates whether there is a loss in the current year. (9) Female represents the proportion of women in senior management. Data for all aforementioned control variables was sourced from the CSMAR database.

4.3. DID Model for Exploring the Impact of “Green Factories” Certification Pilot Policy

Following the approach by Bertrand and Mullainathan (2004) [44], using the DID methodology, this research examines the potential impact of the “Green Factories” certification pilot policy on firms’ ESG performance. Two groups were divided from the original sample: the treatment group consisted of companies or their holding subsidiaries in the “Green Factories” list announced by the MIIT, and the control group included the companies that not on the list. Considering that the “Green Factories” certification pilot policy was implemented in different batches, we applied a staggered DID model as follows (1):
E S G i , t = β 0 + β 1 G F a c t o r y i , t + α c o n t r o l s i , t + λ i + μ t + ε i , t
ESGi,t stands for the ESG performance of a firm, t denotes the year, and i represents the firm. GFactoryi,t represents a dummy variable that indicates whether firm i was in the MIIT-announced “Green Factories” list in year t; the coefficient β 1 calculates how the corporate ESG performance is affected by the “Green Factories” certification pilot program; Controlsi,t are control variables. λ i controls the firm fixed effect, μ t controls the year fixed effect. ϵ i , t is a random error term. This study used Stata14.0 software to test the models.

5. Analysis of Empirical Results

5.1. Descriptive Statistics

The descriptive statistical results are displayed in Table 1. The ESG rating maximum value is 6, and the minimum value is 1.250. The average value of the ESG variable is 4.060, indicating that the average performance of sample companies is around the B grade level. The greatest value is 6, the minimum value is 1.250, and the standard deviation is 1.029. Therefore, the overall ESG performance of China’s industrial sector remains relatively weak, with substantial room for enhancement. The Gfactory variable has an average value of 0.048. Therefore, 4.80% of the sample companies are on the “Green Factories” list. The control variables, such as Leverage, ROA, Top1, and Growth, have descriptive statistics that fall within a respectable range and align with the results of previous studies.

5.2. Baseline Regression

Table 2 displays the estimated baseline findings of Model (1). The regression results in Column (1) exclude controls for year fixed effects or firm fixed effects. It is evident that the Gfactory coefficient equals 0.308 and is significant at the 1% level. In Column 2, control variables were included in the model. The Gfactory coefficient is still significant at the 1% level, and the coefficient is 0.306. Compared to the results in Column (1), the results in Column (2) are almost unchanged. Therefore, the business ESG performance was greatly enhanced by adopting the “Green Factories” certification pilot policy, supporting Hypothesis 1. In general, companies that received the “Green Factories” certification showed an increase in ESG performance of approximately 30.6% compared to enterprises that did not obtain the certification, reflecting the impact of the “Green Factories” certification pilot program.

5.3. Robustness Tests

5.3.1. Parallel Trend Test

The parallel trend hypothesis is crucial for testing the validity of the DID model. Before introducing the “Green Factories” certification pilot policy, the trend in ESG performance over time was constant between the treatment and control groups. Therefore, following Beck et al. [45] and Liu et al. [46], we designated the year before the implementation of the “Green Factories” certification pilot policy as the benchmark, and Model (2) was formulated:
E S G i , t = β 0 + k = 6 4 β k G F a c t o r y i , t + α c o n t r o l s i , t + λ i + μ t + ε i , t
where k is the release year of the “Green Factories” certification pilot program, with values from −6 to 4; the coefficient β k represents the annual policy treatment effect from 2010 to 2020, which reflects whether a discernible difference in the treatment and control groups’ ESG performance exists. The other variables have the same definitions as in Model (1).
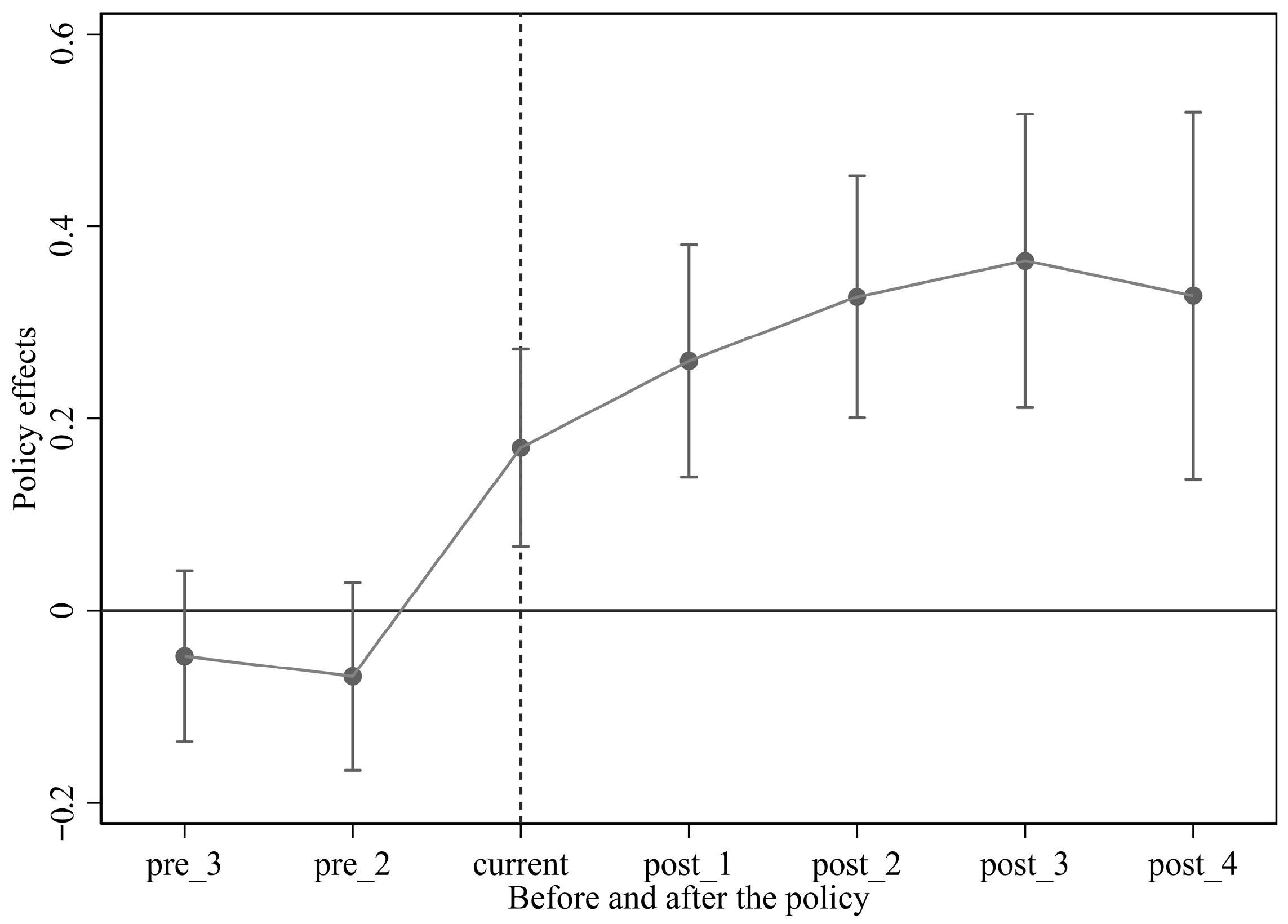
In Figure 1, the 95% confidence interval is represented by the solid line perpendicular to the horizontal axis. The broken line depicts the estimated coefficients year by year. To avoid the problem of covariance, data from the year before implementation of the “Green Factories” certification pilot program was omitted before plotting changes in the parallel trend. The results indicate that prior to the policy effect, all predictions were under 0 and not significant. The predictions were significant and show an increasing trend following the policy’s implementation. Therefore, the DID study design satisfies the precondition.

5.3.2. PSM-DID

A robustness test was performed by matching the explained variables and the core explanatory variables through the propensity score matching method (PSM-DID) to eliminate the systematic differences in volatility trends across sample enterprises. Considering quantitative disparities in the treatment and control groups, samples were matched using the one-to-four nearest-neighbor, radius, and kernel matching methods. Table 3 in Columns (1)–(6) show the PSM-DID regression findings. The coefficients of Gfactory indicate that the “Green Factories” certification pilot program boosts Chinese manufacturing firms’ performance, confirming the stability of the baseline regression analysis.

5.3.3. Placebo Test

First, the placebo test was used to randomly allocate sample firms to treatment groups. Then, regression analyses were performed on the test subjects and repeated 500 times. Figure 2 shows that the estimated values of the Gfactory coefficient follow a normal distribution, all clustering around 0. The actual coefficients diverge from the coefficient distribution shown in the figure. This indicates that it is unlikely that our estimate was obtained by chance.
Second, the placebo test was conducted by replacing the explained variables using the measurement methods for the ESG variable. Specifically, two approaches were adopted. In the first approach, the quarterly median ESG rating (ESG_Q) from the Huazheng Rating Agency, was used to represent the annual values of corporate ESG performance. The regression results from this robustness test are reported in Column (2) of Table 4 and are in line with the baseline regression results in Column (1). However, the Huazheng ESG ratings may involve a certain degree of subjectivity and inconsistent corporate disclosure practices, which could introduce measurement bias. To mitigate this issue and verify the robustness of our estimates, we conducted a second approach by replacing the original Huazheng ESG rating with the ESG_R indicator from the CNRDS (China National Research Data Service Platform) database. The CNRDS database is a widely recognized and frequently used alternative indicator in relevant ESG academic research. The regression results from this robustness test are reported in Column (3) of Table 4, indicating consistency with our baseline model results.

5.3.4. Additional Fixed Effects

Considering potential confounding effects due to differences among development levels and population densities, province and city fixed effects were introduced into the baseline model. The data in columns (4)–(6) of Table 4 show that, at the 1% significance level, the implementation of the “Green Factories” certification pilot program greatly improves ESG performance. Our results are reliable.

5.3.5. Heterogeneous Treatment Effects

Considering that the “Green Factories” certification pilot program was implemented gradually, under the framework of staggered DID, sample enterprises were grouped into different comparison combinations based on the timing of their inclusion in the pilot policy. These combinations can mainly be divided into three types. The first type takes enterprises that have never been included in the “Green Factories” certification program as the control group (Never treated); The second type takes enterprises that were included later in the “Green Factories” certification program as the control group (Later C). The third type takes enterprises that were included earlier in the “Green Factories” certification program as the control group (Earlier C). Among these, the control group in the third combination have actually received policy treatment, which may cause bias in the estimation results. Therefore, we used the decomposition method proposed by Goodman-Bacon (2021) [47] to decompose the effect contributions of different control groups and eliminate the interference caused by heterogeneous treatment effects [47]. The results are shown in Table 5. It can be clearly seen from the decomposition results that the positive effect of the “Green Factories” certification pilot policy on ESG performance mainly comes from the effect contributions of the first and second types. In contrast, the effect contribution of the third type is extremely low, with only 0.80% weight. This result indicates that the estimation results in this study are less affected by the bias of heterogeneous treatment effects.

5.4. Mechanism Analysis

The present study investigated the potential impact of green technology innovation (GPatent), total factor productivity (TFP), and digital transformation on the relationships between “Green Factories” certification pilot policy and ESG performance. To test the influencing mechanism, following the work of [23,46], mediating effect models were formulated:
M i , t = β 0 + β 2 G F a c t o r y i , t + α c o n t r o l s i , t + λ i + μ t + ε i , t
E S G i , t = β 0 + β 3 G F a c t o r y i , t + θ M i , t + α c o n t r o l s i , t + λ i + μ t + ε i , t
where Mi,t represents the mechanism variables, including GPatent, TFP, and DTI, respectively. To measure Gpatent variable, we calculated the logarithm of 1 plus their green patent application volume. Drawing on Levinsohn and Petrin (2003) [48], the linear programming (LP) method was used to calculate the TFP of enterprises. The extent of a company’s digital transformation was quantified using the digital transformation index (DTI), and the data came from the CSMAR database. The digital transformation index is based on six core dimensions, including strategic leadership, technology-driven innovation, organizational empowerment, environmental support, digital achievements, and digital application. Its data are derived from multi-type public documents of listed companies, including annual reports, fund-raising announcements, and qualification certification notices. The other variables in Models (3) and (4) have the same definitions as in Model (1).
The detailed test procedure was as follows: Firstly, the benchmark Model (1) examined the relationships between the “Green Factories” certification pilot policy and corporate ESG performance. Subsequently, the Mi,t variable was entered into the benchmark Model (1) as the explained variable, and Model (3) is formulated. The objective was to ascertain the significance of coefficient β 2 . Ultimately, the Mi,t variable was entered into the benchmark model as the explanatory variable to construct Model (4), where the focus is on the significance of β 3 and θ . If the coefficient β 2 and θ remain significant after adding the variables, as confirmed by the Sobel test and bootstrapping results, this indicates partial mediation. A reduction in the magnitude of β3, combined with a significant indirect effect, is key evidence for partial mediation, while complete mediation is only inferred when β3 becomes non-significant and the indirect effect remains significant.
Columns (3) and (4) in Table 6 shows the regression results when using Gpatent as the mechanism variable. In Model (1), the Gfactory coefficient is significantly positive. Meanwhile, the Gpatent coefficient in Model (4) is also significantly positive, with a reduced magnitude, indicating that green innovation plays a partial mediating role in this relationship. Therefore, research Hypothesis 2 is confirmed. The TFP effect was reported in Columns (3) and (4). At the 1% level, the coefficient of the mechanism variable TFP is significant and positive, proving a partial mediation effect. Thus, Hypothesis 3 is verified. Meanwhile, as can be seen in Columns (5) and (6), the estimated coefficient of mechanism variable DTI in Model (5) is significant and positive. Therefore, it is evident that DTI also plays a partial mediating role in the positive link between the “Green Factories” certification pilot policy and corporate ESG performance. This is because enterprises are encouraged to perform digital transformation to support the enforcement of green manufacturing policy, such as establishing industrial internet platforms and green energy management platforms. This highly promotes energy savings, emission reduction, and governance management, thereby promoting corporate ESG practices. In conclusion, the “Green Factories” certification pilot policy primarily boosts corporate ESG performance by driving green technological innovation, advancing TFP, and strengthening digital transformation.

5.5. Heterogeneity Analysis

5.5.1. Enterprise Scale Heterogeneity

To provide a more comprehensive and insightful analysis of the heterogeneity of firm size, this section discusses the heterogeneous effects of different size dimensions, including total assets (reflecting asset scale), market capitalization (reflecting market value and growth expectations), and employee count (reflecting operational scale). The sample was separated into large-scale and small-scale enterprises based on their median values of total assets, median values of total employees, and median values of market capitalization. The estimated scale heterogeneity results can be found in Table 7. As shown in Columns (1)–(4), the estimated coefficient of the variable Gfactory is positive and significant at the 1% level in the large-scale enterprise group, indicating that the “Green Factories” certification pilot program can improve ESG performance in enterprises with large total assets and human resources. However, for small-scale enterprises, the estimated Gfactory coefficient is insignificant. Therefore, enterprises with small total assets and human resources show little sensitivity in ESG performance when facing the “Green Factories” certification pilot program. Columns (5) and (6) report the heterogeneity effect of market capitalization, indicating a higher positive coefficient for the group of firms with higher market capitalization compared to those with lower market capitalization. This is because large-scale enterprises have more abundant human, financial, and information resources than smaller enterprises, which can further ensure better implementation of the “Green Factories” certification pilot program, thus further improving the ESG practices of enterprises. Meanwhile, the level of market capitalization does not alter the environmental constraints or optimization potential imposed by green certification.

5.5.2. Investor Attention Heterogeneity

According to resource-based theory, a good relationship between a company and external investors can effectively enhance the company’s ability to obtain resources and is an important factor influencing corporate ESG activities. In the study by Yin et al. [23], the Baidu index, which directly reflects the frequency with which keywords are searched, was used to measure investor attention to Chinese companies. The Baidu index is calculated by adding 1 to the total search values of terms, such as the listed company’s stock code, its acronym, and its complete name. The sample was split into high-attention and low-attention companies based on the median Baidu index. The estimated regression results for the sub-samples are shown in Columns (3) and (4) of Table 8. The Gfactory variable’s coefficient is positive and significant at the 1% level. This indicates that the ESG performance of firms with high investor attention is more sensitive to the “Green Factories” certification pilot program. In other words, the “Green Factories” certification pilot policy can considerably increase ESG performance in a higher-investor-attention environment. This is probably because firms with higher investor attention face more intensive information collection and analysis from outside investors, analysts, and media. When such firms obtain “Green Factories” certification, investor attention can quickly disseminate this certification information to the market, reducing the information gap between the firm and external stakeholders, which motivates the firm to further adopt more proactive ESG practices and brings a lower cost of capital strength. With more accessible and cheaper capital, the firm has greater financial capacity to enhance their ESG performance, thereby amplifying the positive effect between the “Green Factories” certification program and ESG performance.

5.5.3. Industry Heterogeneity

Considering that different industries face distinct environmental regulatory pressures and resource endowments, we classified sample firms into two sub-groups based on the “Guidelines for Environmental Protection Classification Management of Industrial Enterprises” issued by China’s Ministry of Ecology and Environment, namely heavily polluting and non-heavily polluting industries. Heavily polluting industries include those with high energy consumption, high emissions, and strict environmental supervision, such as the energy, chemicals, metallurgy, and manufacturing sectors. The heterogeneity results presented in Columns (1) and (2) of Table 8 indicate that the positive effect of the “Green Factories” certification policy on ESG performance is significantly stronger in high-pollution industries. This is probably because highly polluting firms face greater external regulatory constraints and public pressure to improve their environmental performance. Therefore, obtaining “Green Factories” certification not only helps them meet environmental compliance standards but also enhances their green reputation, thereby motivating more intensive ESG practices. In contrast, non-highly polluting firms have lower baseline environmental improvement needs, so the policy’s marginal effect on their overall ESG performance is relatively weaker.

5.5.4. Ownership Heterogeneity

Ownership structure shapes firms’ strategic priorities, resource access, and accountability to stakeholders. We divided sample firms into a state-owned enterprise (SOE) group and a private enterprise (PE) group. The heterogeneity results are shown in Columns (5)–(6) of Table 8, indicating that the “Green Factories” certification policy exerts a significantly positive impact on the ESG performance of both state-owned enterprises and private enterprises. However, the regression coefficient for the PE group is higher than that for SOEs. This is probably because private enterprises face stronger market competition, which fosters greater inner motivation for ESG performance improvement, and their relatively weaker initial ESG foundation results in a more pronounced marginal enhancement effect from the “Green Factories” certification. In contrast, SOEs, subject to stricter policy compliance requirements and boasting a more solid ESG foundation, view “Green Factories” certification more as a standardized validation of their existing compliance systems, leading to relatively limited incremental improvement space in ESG performance.

6. Discussion

The above findings indicate that the “Green Factories” certification pilot policy considerably boosts the ESG performance of Chinese industrial firms by stimulating total factor productivity, green technology innovation, and digital transformation. Our results reveal the intrinsic link between environmental regulation policy and corporate ESG performance, addressing a gap in existing research that has focused on the functions of command-based regulation and market-incentive regulation while ignoring voluntary environmental regulation.
Our findings are consistent with those of previous studies arguing a positive link between environmental regulations and corporate ESG performance, with particular reference to the links between market-incentive environmental regulations and corporate ESG performance outcomes [4,11,30,32]. Moreover, our mechanism evidence confirms the results of Du et al. [49], who reported that environmental regulation tools could stimulate corporate green technology innovation, and further confirmed the rationality of the Porter hypothesis. Conversely, our results also correspond to the conclusions put forward by Ai et al. [36] and Chen et al. [38], who demonstrated that market-incentive environmental regulations can enhance the TFP of enterprises. The findings also echo the opinion that environmental regulations significantly benefit digital transformation [50]. Therefore, a possible explanation could be that the incremental benefits of a manufacturing enterprise marked as a “Green Factory” will be greater than the incremental costs of complying with the application requirements. Once marked as a “Green Factory,” the company will actively increase its green-related inputs after weighing the pros and cons. Specifically, the certified enterprises can benefit from a range of financial incentives, including national policy support, provincial and municipal incentive funds, and preferential interest rate loans from financial institutions. Therefore, the “Green Factories” benchmark also facilitates greater access to financing channels, reduces financing costs, and is more likely to secure favorable terms from green credit funds, largely alleviating enterprises’ financing constraints. Moreover, the national “carbon neutrality” goal in China encourages the development and transformation of enterprises. In this context, the progress of technology and the growth of corporate profits will prompt some enterprises to shift their attention to pursuing environmental effects. In this process, profit-seeking companies will increasingly transition to green practices.
However, an alternative explanation of our results could be driven by selection bias, where firms with pre-existing higher ESG performance are more likely to pursue and obtain “Green Factories” certification, rather than the certification itself driving ESG performance. For example, firms with stronger ESG performance often have already established environmental management systems (e.g., ISO 14001 certification), allocated more resources to sustainability initiatives (e.g., green R&D budgets), or built a reputation for responsible operations. These attributes could make it easier for them to meet the strict criteria of the “Green Factories” certification policy (e.g., energy efficiency thresholds, waste reduction targets). Second, firms with a high ESG rating may view “Green Factories” certification as a “signal amplification tool”. In this case, certification becomes a consequence of prior ESG strength, rather than a driver of subsequent ESG improvements. To address this reverse causality concern, our study incorporates multiple design features that enhance causal identification, such as the parallel trend test, placebo simulations, and heterogeneous treatment effects. Despite these mitigation strategies, residual reverse causality cannot be fully eliminated. Therefore, future research should address this problem using instrumental variables (e.g., differences in regional-level “Green Factories” certification promotion policies) that are exogenous to firm-level ESG performance to further strengthen causal identification.
Moreover, the findings are based on data from only publicly listed companies, which may restrict the generalizability of the results to small- and medium-sized enterprises (SMEs). Therefore, case studies of SMEs that have been included in the “Green Factories” certification program can be conducted to explore the specific challenges they face in translating policy participation into ESG improvements and to identify targeted policy support measures. These follow-up studies will complement our current conclusions and provide a more comprehensive understanding of the policy’s overall effect across different enterprise scales. Additionally, further extension of the approach could be used to compare the efficiency of CCR, MR, and voluntary regulations on ESG performance to propose more suitable targeted environmental regulatory tools for enterprises with different characteristics in terms of their effectiveness.

7. Conclusions and Policy Implications

This study took a sample of 2585 A-share listed manufacturing enterprises and used the implementation of a voluntary environmental regulation policy as a quasi-natural experiment to test the enhancement effect of the “Green Factories” certification pilot policy on corporate ESG performance. This study reported that (1) the “Green Factories” certification pilot policy significantly improves enterprises’ ESG performance, and results still held after robustness tests were performed; (2) enterprises’ green innovation, TFP, and digital transformation are important pathways and (3) the heterogeneity analysis revealed that the “Green Factories” certification pilot program generates more pronounced ESG performance improvements for enterprises with specific characteristics: larger firm size, private ownership, heavily polluting industry affiliation, and higher investor attention. The conclusions of this article provide vital support for the development of voluntary environmental rules.
This study has the following policy implications. First, China’s environmental policy system is gradually transitioning from a command-and-control type to a market-incentive type. In this process, a voluntary environmental regulatory tool represented by the “Green Factories” certification pilot policy has proven to be an effective complementary strategy and a method to improve overall corporate ESG performance. The overarching framework of environmental regulation devised by government departments should prioritize voluntary environmental regulatory tools to encourage more enterprises to increase their environmental awareness, focus on green transformation, and carry out more effective voluntary ESG practices. Second, enterprises should accelerate the application of green technologies, develop green productivity, and promote digital transformation. Specifically, enterprises that obtain “Green Factories” certification should introduce advanced and applicable green technologies in a timely manner into real-life productive forces. To further increase the improvement effect of the green manufacturing policy on ESG practices, the Chinese government can provide more financial subsidies and preferential tax policies for green factories to implement digital transformation, helping to reduce the costs of transformation and the risks to enterprises. In addition, enterprises should adopt different strategies when implementing green manufacturing policies. Considering that large enterprises can take advantage of their resources and financial strengths, it is reasonable that large enterprises focus more on innovating leading industry green technologies, thus further improving their ESG performance. Small enterprises ought to concentrate on specific market niches based on their actual circumstances, choose appropriate green technologies and equipment in line with their green offerings, and steadily advance green factory development. In addition, small enterprises may explore collaborations with large firms or industry associations to share green and digital technologies and resources, lower transformation costs, and pursue win–win cooperation, thereby enhancing their ESG performance gradually. Drawing on the findings of this study, enterprises with weak investor attention should strengthen ESG disclosure and maintain close communication with investors to increase transparency. For example, such enterprises can use green factories as an important part of their brand image to increase brand value and market competitiveness. Third, considering the absence of a mandatory ESG disclosure requirement in China [50], it is recommended that government departments enforce more voluntary ESG regulation policies to encourage enterprises to disclose ESG information, thereby improving the overall quality of ESG performance across multiple dimensions. In particular, enterprises can proactively align their ESG disclosure framework and rating system with mainstream international ESG rating standards to adapt to the evolving regulatory landscape and market expectations, thereby transforming from a passive to an active stance and enhancing ESG performance.

Author Contributions

Conceptualization, J.R.; methodology, X.L.; software, X.L.; formal analysis, X.L. and J.Q.; data collection, Y.L.; writing—original draft preparation, J.Q.; writing—review and editing, J.Q.; supervision, J.Q. All authors have read and agreed to the published version of the manuscript.

Funding

This research was supported by the National Natural Science Foundation of China (Grant No. 20CGL038), the Hubei Ministry of Education Humanities and Social Sciences Fund Youth Project (Grant No. 23Q108), and the Fundamental Research Funds for the Hubei Provincial Textile Industry Development Research Association.

Institutional Review Board Statement

Not applicable.

Informed Consent Statement

Not applicable.

Data Availability Statement

The original contributions presented in this study are included in the article. Further inquiries can be directed to the corresponding author.

Conflicts of Interest

The authors declare no conflict of interest.

References

  1. Jámbor, A.; Zanócz, A. The Diversity of Environmental, Social, and Governance Aspects in Sustainability: A Systematic Literature Review. Sustainability 2023, 15, 13958. [Google Scholar] [CrossRef]
  2. Li, J.; Lian, G.; Xu, A. How Do ESG Affect the Spillover of Green Innovation among Peer Firms? Mechanism Discussion and Performance Study. J. Bus. Res. 2023, 158, 113648. [Google Scholar] [CrossRef]
  3. Ren, S.; Li, X.; Yuan, B.; Li, D.; Chen, X. The Effects of Three Types of Environmental Regulation on Eco-Efficiency: A Cross-Region Analysis in China. J. Clean. Prod. 2018, 173, 245–255. [Google Scholar] [CrossRef]
  4. Ma, D.; He, Y.; Zeng, L. Can Green Finance Improve the ESG Performance? Evidence from Green Credit Policy in China. Energy Econ. 2024, 137, 107772. [Google Scholar] [CrossRef]
  5. Zhang, S.; Cheng, L.; Ren, Y.; Yao, Y. Effects of Carbon Emission Trading System on Corporate Green Total Factor Productivity: Does Environmental Regulation Play a Role of Green Blessing? Environ. Res. 2024, 248, 118295. [Google Scholar] [CrossRef]
  6. He, X.; Jing, Q.; Chen, H. The Impact of Environmental Tax Laws on Heavy-Polluting Enterprise ESG Performance: A Stakeholder Behavior Perspective. J. Environ. Manag. 2023, 344, 118578. [Google Scholar] [CrossRef]
  7. Jiang, Z.; Wang, Z.; Zeng, Y. Can Voluntary Environmental Regulation Promote Corporate Technological Innovation? Bus. Strategy Environ. 2020, 29, 390–406. [Google Scholar] [CrossRef]
  8. Blackman, A. Can Voluntary Environmental Regulation Work in Developing Countries? Lessons from Case Studies. Policy Stud. J. 2008, 36, 119–141. [Google Scholar] [CrossRef]
  9. Goulden, S.; Negev, M.; Reicher, S.; Berman, T. Implications of Standards in Setting Environmental Policy. Environ. Sci. Policy 2019, 98, 39–46. [Google Scholar] [CrossRef]
  10. He, Y.; Zhao, X.; Zheng, H. How Does the Environmental Protection Tax Law Affect Firm ESG? Evidence from the Chinese Stock Markets. Energy Econ. 2023, 127, 107067. [Google Scholar] [CrossRef]
  11. Wan, G.; Zhang, W.; Li, C. How Does Low-Carbon City Pilot Policy Catalyze Companies toward ESG Practices? Evidence from China. Econ. Anal. Policy 2024, 81, 1593–1607. [Google Scholar] [CrossRef]
  12. Ronalter, L.M.; Bernardo, M.; Romaní, J.M. Quality and Environmental Management Systems as Business Tools to Enhance ESG Performance: A Cross-Regional Empirical Study. Environ. Dev. Sustain. 2023, 25, 9067–9109. [Google Scholar] [CrossRef]
  13. Tsang, A.; Frost, T.; Cao, H. Environmental, Social, and Governance (ESG) Disclosure: A Literature Review. Br. Account. Rev. 2023, 55, 101149. [Google Scholar] [CrossRef]
  14. Martiny, A.; Taglialatela, J.; Testa, F.; Iraldo, F. Determinants of Environmental Social and Governance (ESG) Performance: A Systematic Literature Review. J. Clean. Prod. 2024, 456, 142213. [Google Scholar] [CrossRef]
  15. Sun, J.; Pellegrini, M.M.; Dabić, M.; Wang, K.; Wang, C. Family Ownership and Control as Drivers for Environmental, Social, and Governance in Family Firms. Rev. Manag. Sci. 2024, 18, 1015–1046. [Google Scholar] [CrossRef]
  16. Wong, S.L. The Impact of Female Representation and Ethnic Diversity in Committees on Environmental, Social and Governance Performance in Malaysia. Soc. Bus. Rev. 2024, 19, 207–229. [Google Scholar] [CrossRef]
  17. Welch, K.; Yoon, A. Do High-Ability Managers Choose ESG Projects That Create Shareholder Value? Evidence from Employee Opinions. Rev. Account. Stud. 2023, 28, 2448–2475. [Google Scholar] [CrossRef]
  18. Liu, K.; Wang, J.; Liu, L.; Huang, Y. Mixed-Ownership Reform of SOEs and ESG Performance: Evidence from China. Econ. Anal. Policy 2023, 80, 1618–1641. [Google Scholar] [CrossRef]
  19. Harymawan, I.; Nasih, M.; Agustia, D.; Putra, F.K.G.; Djajadikerta, H.G. Investment Efficiency and Environmental, Social, and Governance Reporting: Perspective from Corporate Integration Management. Corp. Soc. Responsib. Environ. Manag. 2022, 29, 1186–1202. [Google Scholar] [CrossRef]
  20. Gu, J. Investor Attention and ESG Performance: Lessons from China’s Manufacturing Industry. J. Environ. Manag. 2024, 355, 120483. [Google Scholar] [CrossRef]
  21. Su, X.; Wang, S.; Li, F. The Impact of Digital Transformation on ESG Performance Based on the Mediating Effect of Dynamic Capabilities. Sustainability 2023, 15, 13506. [Google Scholar] [CrossRef]
  22. Wang, Y.; Lin, Y.; Fu, X.; Chen, S. Institutional Ownership Heterogeneity and ESG Performance: Evidence from China. Finance Res. Lett. 2023, 51, 103448. [Google Scholar] [CrossRef]
  23. Yin, Z.; Li, X.; Si, D.; Li, X. China Stock Market Liberalization and Company ESG Performance: The Mediating Effect of Investor Attention. Econ. Anal. Policy 2023, 80, 1396–1414. [Google Scholar] [CrossRef]
  24. Mooneeapen, O.; Abhayawansa, S.; Mamode Khan, N. The Influence of the Country Governance Environment on Corporate Environmental, Social and Governance (ESG) Performance. Sustain. Account. Manag. Policy J. 2022, 13, 953–985. [Google Scholar] [CrossRef]
  25. Erhemjamts, O.; Huang, K.; Tehranian, H. Climate Risk, ESG Performance, and ESG Sentiment in US Commercial Banks. Glob. Finance J. 2024, 59, 100924. [Google Scholar] [CrossRef]
  26. Gray, W.B. The Cost of Regulation: OSHA, EPA and the Productivity Slowdown. Am. Econ. Rev. 1987, 77, 998–1006. [Google Scholar]
  27. Shu, H.; Tan, W. Does Carbon Control Policy Risk Affect Corporate ESG Performance? Econ. Model. 2023, 120, 106148. [Google Scholar] [CrossRef]
  28. Yan, Z.; Jia, Y.; Zhang, B. Environmental Protection Taxes and Green Productivity: Evidence from Listed Companies in China. Econ. Syst. 2024, 48, 101213. [Google Scholar] [CrossRef]
  29. Porter, M.E.; Linde, C. van der Toward a New Conception of the Environment-Competitiveness Relationship. J. Econ. Perspect. 1995, 9, 97–118. [Google Scholar] [CrossRef]
  30. Gao, J.; Hua, G.; Huo, B. Green Finance Policies, Financing Constraints and Corporate ESG Performance: Insights from Supply Chain Management. Oper. Manag. Res. 2024, 17, 1345–1359. [Google Scholar] [CrossRef]
  31. Jiang, Y.; Tang, Q. Mandatory Carbon Reporting, Voluntary Carbon Disclosure and ESG Performance. Pac. Account. Rev. 2023, 35, 534–561. [Google Scholar] [CrossRef]
  32. Zeng, J.; Zhang, B.; Li, K.K. The Impact of Free Trade Zones on ESG Performance: Evidence from China. Int. Rev. Econ. Finance 2024, 91, 1110–1122. [Google Scholar] [CrossRef]
  33. Hu, S.; Wang, M.; Wu, M.; Wang, A. Voluntary Environmental Regulations, Greenwashing and Green Innovation: Empirical Study of China’s ISO14001 Certification. Environ. Impact Assess. Rev. 2023, 102, 107224. [Google Scholar] [CrossRef]
  34. Liu, Y.; Wang, A.; Wu, Y. Environmental Regulation and Green Innovation: Evidence from China’s New Environmental Protection Law. J. Clean. Prod. 2021, 297, 126698. [Google Scholar] [CrossRef]
  35. Chen, Y.-S. The Driver of Green Innovation and Green Image–Green Core Competence. J. Bus. Ethics 2008, 81, 531–543. [Google Scholar] [CrossRef]
  36. Ai, H.; Hu, S.; Li, K.; Shao, S. Environmental Regulation, Total Factor Productivity, and Enterprise Duration: Evidence from China. Bus. Strategy Environ. 2020, 29, 2284–2296. [Google Scholar] [CrossRef]
  37. Cai, W.; Ye, P. How Does Environmental Regulation Influence Enterprises’ Total Factor Productivity? A Quasi-Natural Experiment Based on China’s New Environmental Protection Law. J. Clean. Prod. 2020, 276, 124105. [Google Scholar] [CrossRef]
  38. Chen, H.; Guo, W.; Feng, X.; Wei, W.; Liu, H.; Feng, Y.; Gong, W. The Impact of Low-Carbon City Pilot Policy on the Total Factor Productivity of Listed Enterprises in China. Resour. Conserv. Recycl. 2021, 169, 105457. [Google Scholar] [CrossRef]
  39. Pan, X.; Pu, C.; Yuan, S.; Xu, H. Effect of Chinese Pilots Carbon Emission Trading Scheme on Enterprises’ Total Factor Productivity: The Moderating Role of Government Participation and Carbon Trading Market Efficiency. J. Environ. Manag. 2022, 316, 115228. [Google Scholar] [CrossRef]
  40. Yu, F.; Zhang, Q.; Jiang, D. The Impact of Regional Environmental Regulations on Digital Transformation of Energy Companies: The Moderating Role of the Top Management Team. Manag. Decis. Econ. 2023, 44, 3152–3165. [Google Scholar] [CrossRef]
  41. Roy, V.; Schoenherr, T.; Jayaram, J. Digital Enabled Agility: Industry 4.0 Unlocking Real-Time Information Processing, Traceability, and Visibility to Unleash the next Extent of Agility. Int. J. Prod. Res. 2024, 62, 5127–5148. [Google Scholar] [CrossRef]
  42. Kim, S.; Yoon, A. Analyzing Active Managers’ Commitment to ESG: Evidence from United Nations Principles for Responsible Investment. Manag. Sci. 2021, 69, 723–1322. [Google Scholar]
  43. Chen, Y.; Ren, Y.-S.; Narayan, S.; Huynh, N.Q.A. Does Climate Risk Impact Firms’ ESG Performance? Evidence from China. Econ. Anal. Policy 2024, 81, 683–695. [Google Scholar] [CrossRef]
  44. Bertrand, M.; Mullainathan, S. Are Emily and Greg more employable than Lakisha and Jamal? A field experiment on labor market discrimination. Am. Econ. Rev. 2004, 94, 991–1013. [Google Scholar] [CrossRef]
  45. Beck, T.; Levine, R.; Levkov, A. Big Bad Banks? The Winners and Losers from Bank Deregulation in the United States. J. Finance 2010, 65, 1637–1667. [Google Scholar] [CrossRef]
  46. Liu, L.; Zhao, Z.; Zhu, R.; Qin, X. Can National Environmental Protection Supervision and Control Have a Lasting Impact on Corporate Production Efficiency?—An Empirical Study Based on the Multi-Phase Difference-in-Difference Model. Environ. Sci. Pollut. Res. 2022, 29, 56136–56153. [Google Scholar] [CrossRef]
  47. Goodman-Bacon, A. Difference-in-Differences with Variation in Treatment Timing. J. Econom. 2021, 225, 254–277. [Google Scholar] [CrossRef]
  48. Levinsohn, J.; Petrin, A. Estimating production functions using inputs to control for unobservables. Rev. Econ. Stud. 2003, 70, 317–341. [Google Scholar] [CrossRef]
  49. Du, M.; Antunes, J.; Wanke, P.; Chen, Z. Ecological Efficiency Assessment Under the Construction of Low-Carbon City: A Perspective of Green Technology Innovation. J. Environ. Plan. Manag. 2022, 65, 1727–1752. [Google Scholar] [CrossRef]
  50. Zhao, S.; Zhang, L.; An, H.; Peng, L.; Zhou, H.; Hu, F. Has China’s Low-Carbon Strategy Pushed Forward the Digital Transformation of Manufacturing Enterprises? Evidence from the Low-Carbon City Pilot Policy. Environ. Impact Assess. Rev. 2023, 102, 107184. [Google Scholar] [CrossRef]
Figure 1. Parallel trend test results.
Figure 1. Parallel trend test results.
Sustainability 17 10400 g001
Figure 2. Results of placebo test.
Figure 2. Results of placebo test.
Sustainability 17 10400 g002
Table 1. Descriptive statistics of the study variables.
Table 1. Descriptive statistics of the study variables.
VariablesNMeanStdMinMaxData Source
ESG17,4224.0601.0291.2506WIND database
Gfactory17,4220.0480.21401Manually obtained from MIIT’s official website
Lev17,4223.5782.9261.07518.750CSMAR database
Roa17,4220.0430.065−0.2190.228CSMAR database
Liquid17,4222.5532.4990.38916.540CSMAR database
Cashflow17,4220.0510.065−0.1370.238CSMAR database
Growth17,4220.1700.377−0.4812.355CSMAR database
Loss17,4220.1090.31201CSMAR database
Female17,42218.72010.880047.620CSMAR database
Top117,42233.27013.9708.92771.310CSMAR database
Big417,4220.0500.21601CSMAR database
Table 2. Baseline estimation results.
Table 2. Baseline estimation results.
Variables(1)(2)
ESGESG
Gfactory0.308 ***0.306 ***
(5.64)(5.77)
ControlsNoYes
Constant4.203 ***3.857 ***
(200.65)(51.62)
Firm fixed effectNoYes
Year fixed effectNoYes
Observations17,42217,422
Adjusted R-squared0.0190.033
Notes: Significance at the 1% levels is indicated by the symbols ***. Standard errors are shown by the values in parentheses.
Table 3. PSM-DID regression results.
Table 3. PSM-DID regression results.
Variables(1)(2)(3)(4)(5)(6)
1:4 Nearest-Neighbor MatchingRadius MatchingKernel Matching
ESGESGESGESGESGESG
Gfactory0.246 ***0.240 ***0.308 ***0.307 ***0.306 ***0.305 ***
(3.31)(3.34)(5.65)(5.78)(5.60)(5.74)
Constant4.127 ***3.628 ***4.204 ***3.858 ***4.199 ***3.848 ***
(65.38)(19.36)(200.49)(51.62)(197.50)(51.07)
ControlsNoYesNoYesNoYes
Firm fixed effectYesYesYesYesYesYes
Year fixed effectYesYesYesYesYesYes
Observations3796379617,41517,41517,18617,186
Adjusted R-squared0.0210.0380.0190.0330.0180.032
Notes: Significance at the 1% levels is indicated by the symbols ***. Standard errors are shown by the values in parentheses.
Table 4. Robustness regression results.
Table 4. Robustness regression results.
Variables(1)(2)(3)(4)(5)(6)
ESGESG_QESG_RESGESGESG
Gfactory0.306 ***0.340 ***1.392 ***0.305 ***0.304 ***0.305 ***
(5.77)(6.05)(2.82)(5.60)(5.74)(5.76)
Constant3.857 ***3.864 ***23.867 ***3.634 ***3.267 ***3.363 ***
(51.62)(49.43)(39.06)(5.65)(5.08)(39.15)
Control variablesYesYesYesYesYesYes
Firm fixed effectYesYesYesYesYesYes
Year fixed effectYesYesYesYesYesYes
City fixed effectNoNoNoNoYesYes
Province fixed effectNoNoNoYesNoYes
Observations17,42217,42217,42217,42217,42217,422
Adjusted R-squared0.0330.0310.1410.0230.0380.048
Notes: Significance at the 1% levels is indicated by the symbols ***. Standard errors are shown by the values in parentheses.
Table 5. Goodman-Bacon decomposition results.
Table 5. Goodman-Bacon decomposition results.
Treatment GroupControl GroupWeight (%)Average Treatment Effect
TNever treated96.90.313
Earlier TLater C1.70.190
Later TEarlier C0.80.039
Table 6. Mechanism analysis results.
Table 6. Mechanism analysis results.
Variable(1)(2)(3)(4)(5)(6)
GIESGTFP-LPESGDTIESG
DID0.105 **0.298 ***0.041 *0.297 ***1.071 ***0.295 ***
(2.10)(5.61)(1.73)(5.65)(3.67)(5.56)
GI 0.075 ***
(6.80)
TFP 0.232 ***
(7.55)
DTI 0.010 ***
(5.08)
Control variablesYesYesYesYesYesYes
Constant0.555 ***3.815 ***7.976 ***2.009 ***33.216 ***3.513 ***
(8.16)(51.00)(162.59)(7.84)(68.74)(34.64)
Firm fixed effectYesYesYesYesYesYes
Year fixed effectYesYesYesYesYesYes
Observations17,42217,42217,42217,42217,42217,422
Adjusted R-squared0.1570.03960.4380.04560.3000.0369
Sobel Test0.005 *** (Z = 6.090)0.010 *** (Z = 9.530)0.001 *** (Z = 6.56)
Bootstrap CI (95%)(0.132, 0.158)(0.136, 0.164)(0.008, 0.011)
Notes: Significance at the 10%, 5%, and 1% levels is indicated by the symbols *, **, and ***, respectively. Standard errors are shown by the values in parentheses.
Table 7. Scale heterogeneity test results.
Table 7. Scale heterogeneity test results.
(1)(2)(3)(4)(5)(6)
GroupLarge-Scale Enterprise Group by SizeSmall-Scale Enterprise Group by SizeLarge-Scale Enterprise Group by EmployeeSmall-Scale Enterprise Group by EmployeeLarge-Scale Enterprise Group by Market CapitalizationSmall-Scale Enterprise Group by Market Capitalization
Variable nameESGESGESGESGESGESG
Gfactory0.292 ***0.1330.338 ***0.1120.285 ***0.258 ***
(4.38)(1.38)(5.44)(1.06)(4.16)(3.19)
Control VariablesYesYesYesYesYesYes
Constant3.878 ***3.761 ***3.762 ***3.934 ***3.895 ***3.700 ***
(32.63)(34.59)(33.33)(34.30)(37.16)(31.19)
Firm fixed effectYesYesYesYesYesYes
Year fixed effectYesYesYesYesYesYes
Observations775996638712871010,3387084
Adjusted R-squared0.0300.0540.0370.0540.0220.077
Notes: Significance at 1% levels is indicated by the symbols ***. Standard errors are shown by the values in parentheses.
Table 8. Investor attention, industry, and ownership heterogeneity tests results.
Table 8. Investor attention, industry, and ownership heterogeneity tests results.
(1)(2)(3)(4)(5)(6)
GroupHigh Investor Attention GroupLow Investor Attention GroupHeavily Polluting GroupNon-Heavily Polluting GroupSOEsPEs
Variable nameESGESGESGESGESGESG
Gfactory0.336 ***0.243 ***0.285 ***0.258 ***0.182 *0.362 ***
(3.69)(3.84)(4.16)(3.19)(1.86)(5.66)
Control VariablesYesYesYesYesYesYes
Constant3.759 ***3.875 ***3.895 ***3.700 ***4.042 ***3.985 ***
(29.06)(42.45)(37.16)(31.19)(35.02)(40.25)
Firm fixed effectYesYesYesYesYesYes
Year fixed effectYesYesYesYesYesYes
Observations551411,90810,3387084504312,058
Adjusted R-squared0.0370.0420.0220.0770.0490.058
Notes: Significance at 10% and 1% levels is indicated by the symbols * and ***. Standard errors are shown by the values in parentheses.
Disclaimer/Publisher’s Note: The statements, opinions and data contained in all publications are solely those of the individual author(s) and contributor(s) and not of MDPI and/or the editor(s). MDPI and/or the editor(s) disclaim responsibility for any injury to people or property resulting from any ideas, methods, instructions or products referred to in the content.

Share and Cite

MDPI and ACS Style

Ren, J.; Li, X.; Li, Y.; Qi, J. Does the “Green Factories” Certification Pilot Policy Improve the ESG Performance of Enterprises? Evidence from a Quasi-Natural Experiment in China. Sustainability 2025, 17, 10400. https://doi.org/10.3390/su172210400

AMA Style

Ren J, Li X, Li Y, Qi J. Does the “Green Factories” Certification Pilot Policy Improve the ESG Performance of Enterprises? Evidence from a Quasi-Natural Experiment in China. Sustainability. 2025; 17(22):10400. https://doi.org/10.3390/su172210400

Chicago/Turabian Style

Ren, Junlin, Xinyue Li, Yuejia Li, and Junmei Qi. 2025. "Does the “Green Factories” Certification Pilot Policy Improve the ESG Performance of Enterprises? Evidence from a Quasi-Natural Experiment in China" Sustainability 17, no. 22: 10400. https://doi.org/10.3390/su172210400

APA Style

Ren, J., Li, X., Li, Y., & Qi, J. (2025). Does the “Green Factories” Certification Pilot Policy Improve the ESG Performance of Enterprises? Evidence from a Quasi-Natural Experiment in China. Sustainability, 17(22), 10400. https://doi.org/10.3390/su172210400

Note that from the first issue of 2016, this journal uses article numbers instead of page numbers. See further details here.

Article Metrics

Back to TopTop