Coordination and Adaptation: An Analysis of the Spatial Compatibility Between Primary Schools and Adjacent Facilities in China’s Central Cities
Abstract
1. Introduction
2. Materials and Methods
2.1. Study Area
2.2. Research Data
2.3. Methodology
2.3.1. Technical Approaches
2.3.2. Establishment of Fundamental Research Units for the Built Environment
- (1)
- Create fishnet.
- (2)
- Classification of facilities around primary schools
- (3)
- Grid unit information matching
2.3.3. Model Training
- (1)
- Algorithm selection
- (2)
- Algorithmic Modeling
- (3)
- Model training
3. Results
3.1. Spatial Distribution of Facilities
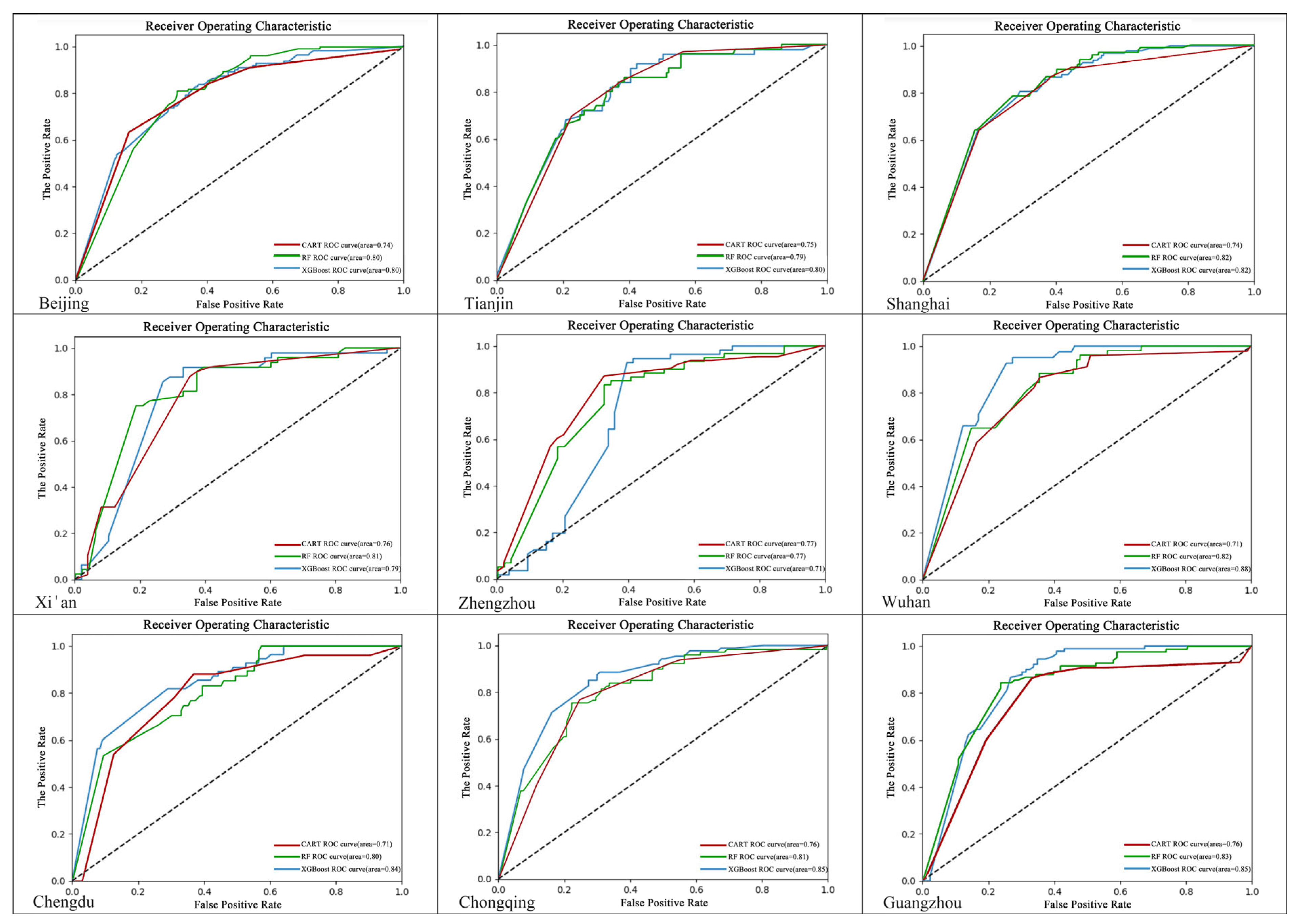
3.2. Evaluation of Model Performance
3.3. The Relationship Between Primary Schools and Surrounding Facilities
4. Discussion
4.1. Application of Research Results
4.1.1. Enhance the Current Surroundings of Primary Schools
4.1.2. Coordinated Development of New Elementary Schools and Amenities
4.1.3. Optimization of Primary School Site Selection in Existing Spaces
4.2. Primary School Layout as a Mirror of Urban Development Trajectories
4.3. Research Contributions
- (1)
- Methodological Contribution: A Novel Analytical Framework for Facility Compatibility.
- (2)
- Empirical Contribution: The First Multi-City Comparative Analysis Revealing Distinct Urban Typologies.
- (3)
- Practical Contribution: Actionable Insights for Sustainable Urban Planning.
4.4. Research Limitations
- (1)
- Obstacles in enhancing feature engineering.
- (2)
- Constraints in the dimensions of spatial grids.
- (3)
- Limitations in cross-validation among urban areas
5. Conclusions
Supplementary Materials
Author Contributions
Funding
Institutional Review Board Statement
Informed Consent Statement
Data Availability Statement
Acknowledgments
Conflicts of Interest
Appendix A
| Total Area (km2) | Built-Up Area (km2) | Total Population (10,000) | GDP per Capita (CNY) | Average Residential Selling Price (CNY) | Average Population Growth Rate over the Past Five Years (%) | |||||
|---|---|---|---|---|---|---|---|---|---|---|
| 2020 | 2000 | 2020 | 2000 | 2020 | 2000 | 2020 | 2000 | 2020 | 2020–2024 | |
| Beijing | 16,410.54 | 490.11 | 1469 | 1249.9 | 2189.31 | 22,460 | 164,889 | 5647 | 35,905 | 0.01 |
| Chengdu | 11,760.25 | 385.86 | 1170.24 | 970.17 | 1386.6 | 17,993 | 101614 | 2251 | 15,380 | 0.30 |
| Chongqing | 6340.5 | 549.58 | 1237.85 | 1313.12 | 2487.09 | 34,547 | 155,768 | 3422 | 30,677 | 0.01 |
| Guangzhou | 43,263.52 | 324.26 | 1565.61 | 3072.34 | 3205.42 | 5157 | 78,170 | 1377 | 8402 | 0.43 |
| Shanghai | 7434.4 | 430.7 | 1350.4 | 685 | 1874.03 | 34,292 | 133,960 | None | 25,056 | 0.72 |
| Tianjin | 1010.3 | 133.22 | 640.8 | 615.36 | 1262 | 11,227 | 95,257 | 1891 | 9845 | 1.16 |
| Wuhan | 5806.7 | 186.97 | 700.69 | 674.5 | 1296 | 9484 | 77,360 | None | 13,743 | 5.74 |
| Xi’an | 8569.15 | 209.99 | 885.11 | 740.2 | 1244.77 | 14,473 | 126,730 | 1782 | 14,672 | 4.37 |
| Zhengzhou | 3639.81 | 207.81 | 977.12 | 1003.56 | 2094.7 | 13,053 | 84,616 | None | 12,148 | 5.76 |
| Feature | Model | Beijing | Chengdu | Guangzhou | Shanghai | Tianjin | Wuhan | Xi’an | Zhengzhou | Chongqing |
|---|---|---|---|---|---|---|---|---|---|---|
| Other | CART | 0.7 | 0.04 | 0.61 | 0.68 | 0.73 | 0.08 | 0.03 | 0.1 | 0.05 |
| RF | 0.17 | 0.13 | 0.28 | 0.24 | 0.25 | 0.09 | 0.05 | 0.12 | 0.05 | |
| XGBoost | 0.08 | 0.16 | 0.12 | 0.34 | 0.11 | 0.11 | 0.1 | 0.08 | 0 | |
| Training | CART | 0.03 | 0.51 | 0.03 | 0 | 0.13 | 0.61 | 0.53 | 0.41 | 0.76 |
| RF | 0.1 | 0.28 | 0.1 | 0.21 | 0.13 | 0.26 | 0.35 | 0.18 | 0.17 | |
| XGBoost | 0.04 | 0.16 | 0.08 | 0.08 | 0.07 | 0.06 | 0.06 | 0.06 | 0.14 | |
| Culture | CART | 0 | 0.08 | 0.13 | 0.05 | 0 | 0.11 | 0.04 | 0.04 | 0.07 |
| RF | 0.17 | 0.07 | 0.1 | 0.05 | 0.01 | 0.11 | 0 | 0.06 | 0.03 | |
| XGBoost | 0.08 | 0.16 | 0.09 | 0.09 | 0.06 | 0.09 | 0.07 | 0.07 | 0.16 | |
| Hotel | CART | 0 | 0.04 | 0.06 | 0 | 0 | 0.02 | 0.06 | 0.02 | 0 |
| RF | 0.05 | 0.06 | 0.07 | 0.04 | 0.05 | 0.09 | 0.15 | 0.07 | 0.08 | |
| XGBoost | 0.13 | 0.06 | 0.04 | 0.04 | 0.01 | 0.09 | 0.06 | 0.06 | 0 | |
| Cater | CART | 0 | 0.01 | 0 | 0 | 0 | 0.02 | 0.03 | 0 | 0 |
| RF | 0.03 | 0.01 | 0.02 | 0 | 0.02 | 0.03 | 0.01 | 0.04 | 0.06 | |
| XGBoost | 0.06 | 0.04 | 0.02 | 0 | 0.03 | 0.01 | 0.07 | 0.07 | 0.02 | |
| Shopping | CART | 0 | 0 | 0 | 0 | 0 | 0 | 0 | 0.03 | 0 |
| RF | 0 | 0 | 0.01 | 0 | 0.01 | 0 | 0.08 | 0.02 | 0.01 | |
| XGBoost | 0 | 0 | 0.11 | 0 | 0.05 | 0 | 0.03 | 0.04 | 0 | |
| Life | CART | 0 | 0.02 | 0 | 0 | 0 | 0 | 0 | 0 | 0 |
| RF | 0 | 0 | 0.01 | 0 | 0 | 0 | 0.14 | 0.02 | 0.01 | |
| XGBoost | 0 | 0 | 0.02 | 0 | 0 | 0 | 0.02 | 0.07 | 0 | |
| Recreation | CART | 0.17 | 0.05 | 0 | 0.14 | 0.02 | 0 | 0.08 | 0.04 | 0 |
| RF | 0.06 | 0.13 | 0.07 | 0.07 | 0.06 | 0.07 | 0.01 | 0.05 | 0.13 | |
| XGBoost | 0.14 | 0.06 | 0 | 0.17 | 0.07 | 0.08 | 0.11 | 0.07 | 0 | |
| Finance | CART | 0 | 0.05 | 0 | 0.1 | 0 | 0.09 | 0.02 | 0 | 0 |
| RF | 0.09 | 0.05 | 0.05 | 0.09 | 0.12 | 0.1 | 0 | 0.05 | 0.03 | |
| XGBoost | 0.09 | 0 | 0.02 | 0.12 | 0.1 | 0.14 | 0.07 | 0.05 | 0 | |
| Residence | CART | 0.06 | 0.03 | 0.04 | 0 | 0 | 0 | 0.04 | 0 | 0 |
| RF | 0.01 | 0.03 | 0.06 | 0.04 | 0.06 | 0.02 | 0.09 | 0.06 | 0.08 | |
| XGBoost | 0.06 | 0.06 | 0.04 | 0 | 0.1 | 0.03 | 0.09 | 0.07 | 0.2 | |
| Government | CART | 0 | 0.03 | 0.02 | 0 | 0.03 | 0 | 0.04 | 0.05 | 0 |
| RF | 0.01 | 0.04 | 0.03 | 0 | 0.01 | 0.01 | 0 | 0.06 | 0.02 | |
| XGBoost | 0.04 | 0.06 | 0.07 | 0 | 0.04 | 0.05 | 0.03 | 0.12 | 0 | |
| Industry | CART | 0 | 0 | 0 | 0 | 0 | 0 | 0 | 0 | 0 |
| RF | 0 | 0 | 0 | 0 | 0 | 0 | 0.05 | 0.01 | 0.01 | |
| XGBoost | 0 | 0.14 | 0.06 | 0 | 0.02 | 0 | 0.09 | 0.01 | 0.06 | |
| Sport | CART | 0 | 0.08 | 0 | 0.03 | 0 | 0.04 | 0.01 | 0.1 | 0 |
| RF | 0.19 | 0.12 | 0.04 | 0.22 | 0.07 | 0.12 | 0.03 | 0.05 | 0.08 | |
| XGBoost | 0.13 | 0.12 | 0.03 | 0.1 | 0.05 | 0.15 | 0.04 | 0.07 | 0.08 | |
| Treatment | CART | 0.01 | 0.03 | 0.08 | 0 | 0.09 | 0.03 | 0.03 | 0.07 | 0.12 |
| RF | 0.08 | 0.04 | 0.13 | 0.03 | 0.19 | 0.1 | 0 | 0.09 | 0.18 | |
| XGBoost | 0.08 | 0 | 0.12 | 0.06 | 0.18 | 0.07 | 0.08 | 0.09 | 0.2 | |
| Traffic | CART | 0.03 | 0.03 | 0.03 | 0 | 0 | 0 | 0.09 | 0.14 | 0 |
| RF | 0.04 | 0.02 | 0.03 | 0.01 | 0.02 | 0 | 0.04 | 0.12 | 0.06 | |
| XGBoost | 0.07 | 0 | 0.18 | 0 | 0.11 | 0.12 | 0.08 | 0.07 | 0.14 |
References
- Monk, D.H. Toward A Multilevel Perspective on the Allocation of Educational Resources. Rev. Educ. Res. 1981, 51, 215–236. [Google Scholar] [CrossRef]
- Hák, T.; Janoušková, S.; Moldan, B. Sustainable Development Goals: A Need for Relevant Indicators. Ecol. Indic. 2016, 60, 565–573. [Google Scholar] [CrossRef]
- Xue, E.; Li, J. Creating a High-Quality Education Policy System: Insights from China; Springer: Berlin/Heidelberg, Germany, 2021; ISBN 9811632766. [Google Scholar]
- Statistical Bulletin on the Development of China’s Education Sector. Available online: http://www.moe.gov.cn/jyb_sjzl/sjzl_fztjgb/ (accessed on 2 October 2025).
- Garriga, C.; Hedlund, A.; Tang, Y.; Wang, P. Rural-Urban Migration, Structural Transformation, and Housing Markets in China. Am. Econ. J. Macroecon. 2023, 15, 413–440. [Google Scholar] [CrossRef]
- Guo, J.; Yu, Z.; Ma, Z.; Xu, D.; Cao, S. What Factors Have Driven Urbanization in China? Environ. Dev. Sustain. 2022, 24, 6508–6526. [Google Scholar] [CrossRef]
- National Bureau of Statistics of the People’s Republic of China. Statistical Bulletin of the People’s Republic of China on National Economic and Social Development. 2023. Available online: https://www.stats.gov.cn/sj/zxfb/202402/t20240228_1947915.html (accessed on 13 July 2024).
- Yıldız, S.; Kıvrak, S.; Gültekin, A.B.; Arslan, G. Built Environment Design—Social Sustainability Relation in Urban Renewal. Sustain. Cities Soc. 2020, 60, 102173. [Google Scholar] [CrossRef]
- Bai, Y.; Wu, S.; Zhang, Y. Exploring the Key Factors Influencing Sustainable Urban Renewal from the Perspective of Multiple Stakeholders. Sustainability 2023, 15, 10596. [Google Scholar] [CrossRef]
- Song, W.; Cao, H.; Tu, T.; Song, Z.; Chen, P.; Liu, C. Jiaoyufication as an Education-Driven Gentrification in Urban China: A Case Study of Nanjing. J. Geogr. Sci. 2023, 33, 1095–1112. [Google Scholar] [CrossRef]
- Peng, Y.; Tian, C.; Wen, H. How Does School District Adjustment Affect Housing Prices: An Empirical Investigation from Hangzhou, China. China Econ. Rev. 2021, 69, 101683. [Google Scholar] [CrossRef]
- Du, K.; Cheng, Y.; Yao, X. Environmental Regulation, Green Technology Innovation, and Industrial Structure Upgrading: The Road to the Green Transformation of Chinese Cities. Energy Econ. 2021, 98, 105247. [Google Scholar] [CrossRef]
- Sun, B.; Zhang, T.; Wang, Y.; Zhang, L.; Li, W. Are Mega-Cities Wrecking Urban Hierarchies? A Cross-National Study on the Evolution of City-Size Distribution. Cities 2021, 108, 102999. [Google Scholar] [CrossRef]
- Cordero-Vinueza, V.A.; Niekerk, F.; van Dijk, T. (Terry) Making Child-Friendly Cities: A Socio-Spatial Literature Review. Cities 2023, 137, 104248. [Google Scholar] [CrossRef]
- Zhan, L.; Wang, S.; Xie, S.; Zhang, Q.; Qu, Y. Spatial Path to Achieve Urban-Rural Integration Development—Analytical Framework for Coupling the Linkage and Coordination of Urban-Rural System Functions. Habitat. Int. 2023, 142, 102953. [Google Scholar] [CrossRef]
- Levinson, M.; Geron, T.; Brighouse, H. Conceptions of Educational Equity. AERA Open 2022, 8, 23328584221121344. [Google Scholar] [CrossRef]
- Li, Z.; He, S.; Su, S.; Li, G.; Chen, F. Public Services Equalization in Urbanizing China: Indicators, Spatiotemporal Dynamics and Implications on Regional Economic Disparities. Soc. Indic. Res. 2020, 152, 1–65. [Google Scholar] [CrossRef]
- Hu, Z.; Zhang, M.; Liu, L.; Wu, H. Spatio-Temporal Analysis of Urban Leisure Consumption Activities Based on Autoencoder and Multi-Source Data: A Case Study of Chongqing, China. IEEE Access 2025, 13, 56112–56128. [Google Scholar] [CrossRef]
- Tian, L.; Liu, J.; Liang, Y.; Wu, Y. A Participatory E-Planning Model in the Urban Renewal of China: Implications of Technologies in Facilitating Planning Participation. Environ. Plan. B Urban. Anal. City Sci. 2023, 50, 299–315. [Google Scholar] [CrossRef]
- Pl ger, J. Urban Planning and Urban Life: Problems and Challenges. Plan. Pract. Res. 2006, 21, 201–222. [Google Scholar] [CrossRef]
- Xiang, L.; Stillwell, J.; Burns, L.; Heppenstall, A. Measuring and Assessing Regional Education Inequalities in China under Changing Policy Regimes. Appl. Spat. Anal. Policy 2020, 13, 91–112. [Google Scholar] [CrossRef]
- Kimelberg, S.M.; Williams, E. Evaluating the Importance of Business Location Factors: The Influence of Facility Type. Growth Change 2013, 44, 92–117. [Google Scholar] [CrossRef]
- Guimaraes, T.; Liska, K. Exploring the Business Benefits of Environmental Stewardship. Bus. Strategy Environ. 1995, 4, 9–22. [Google Scholar] [CrossRef]
- Limstrand, T. Environmental Characteristics Relevant to Young People’s Use of Sports Facilities: A Review. Scand. J. Med. Sci. Sports 2008, 18, 275–287. [Google Scholar] [CrossRef] [PubMed]
- Jang, W.Y.; Baek, S.Y. The Relative Importance of Servicescape in Fitness Center for Facility Improvement. Heliyon 2024, 10, e29562. [Google Scholar] [CrossRef]
- Jiao, J.; Rollo, J.; Fu, B.; Liu, C. Exploring Effective Built Environment Factors for Evaluating Pedestrian Volume in High-Density Areas: A New Finding for the Central Business District in Melbourne, Australia. Land 2021, 10, 655. [Google Scholar] [CrossRef]
- Ochoa Rico, M.S.; Vergara-Romero, A.; Subia, J.F.R.; del Río, J.A.J. Study of Citizen Satisfaction and Loyalty in the Urban Area of Guayaquil: Perspective of the Quality of Public Services Applying Structural Equations. PLoS ONE 2022, 17, e0263331. [Google Scholar] [CrossRef]
- Järv, O.; Tenkanen, H.; Salonen, M.; Ahas, R.; Toivonen, T. Dynamic Cities: Location-Based Accessibility Modelling as a Function of Time. Appl. Geogr. 2018, 95, 101–110. [Google Scholar] [CrossRef]
- Tahmasbi, B.; Mansourianfar, M.H.; Haghshenas, H.; Kim, I. Multimodal Accessibility-Based Equity Assessment of Urban Public Facilities Distribution. Sustain. Cities Soc. 2019, 49, 101633. [Google Scholar] [CrossRef]
- Barbati, M.; Piccolo, C. Equality Measures Properties for Location Problems. Optim. Lett. 2016, 10, 903–920. [Google Scholar] [CrossRef]
- Barbara, M.; Rey, D.; Akbarnezhad, A. Optimizing Location of New Public Schools in Town Planning Considering Supply and Demand. J. Urban Plan Dev. 2021, 147, 04021057. [Google Scholar] [CrossRef]
- Peng, J.; Liu, Y.; Ruan, Z.; Yang, H. Study on the Optimal Allocation of Public Service Facilities from the Perspective of Living Circle—A Case Study of Xiangyang High-Tech Zone, China. J. Urban. Manag. 2023, 12, 344–359. [Google Scholar] [CrossRef]
- Yang, L.; Zhang, S.; Guan, M.; Cao, J.; Zhang, B. An Assessment of the Accessibility of Multiple Public Service Facilities and Its Correlation with Housing Prices Using an Improved 2SFCA Method—A Case Study of Jinan City, China. ISPRS Int. J. Geoinf. 2022, 11, 414. [Google Scholar] [CrossRef]
- Shi, Y.; Yang, J.; Shen, P. Revealing the Correlation between Population Density and the Spatial Distribution of Urban Public Service Facilities with Mobile Phone Data. ISPRS Int. J. Geoinf. 2020, 9, 38. [Google Scholar] [CrossRef]
- Keyimu, M.; Abulikemu, Z.; Abudurexiti, A. Quantitative Evaluation of the Equity of Public Service Facility Layout in Urumqi City for Sustainable Development. Sustainability 2024, 16, 4913. [Google Scholar] [CrossRef]
- Qiu, Z.; Wang, Y.; Bao, L.; Yun, B.; Lu, J. Sustainability of Chinese Village Development in a New Perspective: Planning Principle of Rural Public Service Facilities Based on “Function-Space” Synergistic Mechanism. Sustainability 2022, 14, 8544. [Google Scholar] [CrossRef]
- Ma, X.; Zhang, J.; Ding, C.; Wang, Y. A Geographically and Temporally Weighted Regression Model to Explore the Spatiotemporal Influence of Built Environment on Transit Ridership. Comput. Environ. Urban. Syst. 2018, 70, 113–124. [Google Scholar] [CrossRef]
- Li, T.; Zhao, Y.; Kong, X. Spatio-Temporal Characteristics and Influencing Factors of Basic Public Service Levels in the Yangtze River Delta Region, China. Land 2022, 11, 1477. [Google Scholar] [CrossRef]
- Current, J.; Ratick, S.; ReVelle, C. Dynamic Facility Location When the Total Number of Facilities Is Uncertain: A Decision Analysis Approach. Eur. J. Oper. Res. 1998, 110, 597–609. [Google Scholar] [CrossRef]
- Chen, H.; Covert, I.C.; Lundberg, S.M.; Lee, S.-I. Algorithms to Estimate Shapley Value Feature Attributions. Nat. Mach. Intell. 2023, 5, 590–601. [Google Scholar] [CrossRef]
- Rozemberczki, B.; Watson, L.; Bayer, P.; Yang, H.-T.; Kiss, O.; Nilsson, S.; Sarkar, R. The Shapley Value in Machine Learning. In Proceedings of the Thirty-First International Joint Conference on Artificial Intelligence, Vienna, Austria, 23–29 July 2022; pp. 5572–5579. [Google Scholar]
- Wu, Z.; Zhu, M.; Kang, Y.; Leung, E.L.-H.; Lei, T.; Shen, C.; Jiang, D.; Wang, Z.; Cao, D.; Hou, T. Do We Need Different Machine Learning Algorithms for QSAR Modeling? A Comprehensive Assessment of 16 Machine Learning Algorithms on 14 QSAR Data Sets. Brief Bioinform. 2021, 22, bbaa321. [Google Scholar] [CrossRef]
- Huang, J.-C.; Ko, K.-M.; Shu, M.-H.; Hsu, B.-M. Application and Comparison of Several Machine Learning Algorithms and Their Integration Models in Regression Problems. Neural Comput. Appl. 2020, 32, 5461–5469. [Google Scholar] [CrossRef]
- Yang, L.; Shami, A. On Hyperparameter Optimization of Machine Learning Algorithms: Theory and Practice. Neurocomputing 2020, 415, 295–316. [Google Scholar] [CrossRef]
- Gupta, B.; Rawat, A.; Jain, A.; Arora, A.; Dhami, N. Analysis of Various Decision Tree Algorithms for Classification in Data Mining. Int. J. Comput. Appl. 2017, 163, 15–19. [Google Scholar] [CrossRef]
- Charbuty, B.; Abdulazeez, A. Classification Based on Decision Tree Algorithm for Machine Learning. J. Appl. Sci. Technol. Trends 2021, 2, 20–28. [Google Scholar] [CrossRef]
- Black, J.E.; Kueper, J.K.; Williamson, T.S. An Introduction to Machine Learning for Classification and Prediction. Fam. Pract. 2023, 40, 200–204. [Google Scholar] [CrossRef]
- Bai, X.; Shi, P. China’s Urbanization at a Turning Point—Challenges and Opportunities. Science 2025, 388, eadw3443. [Google Scholar] [CrossRef]
- Li, K.; Hou, Y.; Randall, M.T.; Skov-Petersen, H.; Li, X. The Spatio-Temporal Trade-off between Ecosystem and Basic Public Services and the Urbanization Driving Force in the Rapidly Urbanizing Region. Sustain. Cities Soc. 2024, 111, 105554. [Google Scholar] [CrossRef]
- Zhu, A.; Lu, G.; Liu, J.; Qin, C.; Zhou, C. Spatial Prediction Based on Third Law of Geography. Ann. GIS 2018, 24, 225–240. [Google Scholar] [CrossRef]
- Tobler, W.R. A Computer Movie Simulating Urban Growth in the Detroit Region. Econ. Geogr. 1970, 46, 234. [Google Scholar] [CrossRef]
- Zhu, A.-X.; Turner, M. How Is the Third Law of Geography Different? Ann. GIS 2022, 28, 57–67. [Google Scholar] [CrossRef]
- Song, Y. Geographically Optimal Similarity. Math. Geosci. 2023, 55, 295–320. [Google Scholar] [CrossRef]
- Zhao, F.-H.; Huang, J.; Zhu, A.-X. Spatial Prediction of Groundwater Level Change Based on the Third Law of Geography. Int. J. Geogr. Inf. Sci. 2023, 37, 2129–2149. [Google Scholar] [CrossRef]
- Musiaka, Ł.; Nalej, M. Application of GIS Tools in the Measurement Analysis of Urban Spatial Layouts Using the Square Grid Method. ISPRS Int. J. Geoinf. 2021, 10, 558. [Google Scholar] [CrossRef]
- Steiner, F.R.; Butler, K. Planning and Urban Design Standards; John Wiley & Sons: Hoboken, NJ, USA, 2012; ISBN 1118550765. [Google Scholar]
- Horie, N.; Hagihara, K.; Kimura, F.; Asahi, C. Evaluation of the Educational Role of Urban Facilities and Their Contribution to Regional Sustainability. In Toward Sustainable Regions; Springer: Berlin/Heidelberg, Germany, 2023; pp. 105–131. [Google Scholar]
- Song, T.; Luo, X.; Li, X. Clustering of Basic Educational Resources and Urban Resilience Development in the Central Region of China—An Empirical Study Based on POI Data. Reg. Sci. Environ. Econ. 2024, 1, 46–59. [Google Scholar] [CrossRef]
- Pauw, J.; Gericke, N.; Olsson, D.; Berglund, T. The Effectiveness of Education for Sustainable Development. Sustainability 2015, 7, 15693–15717. [Google Scholar] [CrossRef]
- Herzallah, W.; Faris, H.; Adwan, O. Feature Engineering for Detecting Spammers on Twitter: Modelling and Analysis. J. Inf. Sci. 2018, 44, 230–247. [Google Scholar] [CrossRef]
- Zhang, Y.-P.; Zhang, X.-Y.; Cheng, Y.-T.; Li, B.; Teng, X.-Z.; Zhang, J.; Lam, S.; Zhou, T.; Ma, Z.-R.; Sheng, J.-B.; et al. Artificial Intelligence-Driven Radiomics Study in Cancer: The Role of Feature Engineering and Modeling. Mil. Med. Res. 2023, 10, 22. [Google Scholar] [CrossRef] [PubMed]
- Jordan, M.I.; Mitchell, T.M. Machine Learning: Trends, Perspectives, and Prospects. Science 2015, 349, 255–260. [Google Scholar] [CrossRef] [PubMed]
- Patel, M.; Tan, J.B.; Chou, F.-S. Non-Linear Algorithms in Supervised Classical Machine Learning. Neonatol. Today 2021, 16, 40–43. [Google Scholar] [CrossRef]
- Belkin, M.; Hsu, D.; Ma, S.; Mandal, S. Reconciling Modern Machine-Learning Practice and the Classical Bias–Variance Trade-Off. Proc. Natl. Acad. Sci. USA 2019, 116, 15849–15854. [Google Scholar] [CrossRef]
- Gordon, A.D.; Breiman, L.; Friedman, J.H.; Olshen, R.A.; Stone, C.J. Classification and Regression Trees. Biometrics 1984, 40, 874. [Google Scholar] [CrossRef]
- Chen, M.-S.; Han, J.; Yu, P.S. Data Mining: An Overview from a Database Perspective. IEEE Trans. Knowl. Data Eng. 1996, 8, 866–883. [Google Scholar] [CrossRef]
- Wu, X.; Kumar, V.; Ross Quinlan, J.; Ghosh, J.; Yang, Q.; Motoda, H.; McLachlan, G.J.; Ng, A.; Liu, B.; Yu, P.S.; et al. Top 10 Algorithms in Data Mining. Knowl. Inf. Syst. 2008, 14, 1–37. [Google Scholar] [CrossRef]
- Ho, T.K. Random Decision Forests. In Proceedings of the 3rd International Conference on Document Analysis and Recognition, Montreal, QC, Canada, 14–16 August 1995; pp. 278–282. [Google Scholar]
- Ho, T.K. The Random Subspace Method for Constructing Decision Forests. IEEE Trans. Pattern Anal. Mach. Intell. 1998, 20, 832–844. [Google Scholar] [CrossRef]
- Dhaliwal, S.S.; Nahid, A.-A.; Abbas, R. Effective Intrusion Detection System Using XGBoost. Information 2018, 9, 149. [Google Scholar] [CrossRef]
- Zhang, P.; Jia, Y.; Shang, Y. Research and Application of XGBoost in Imbalanced Data. Int. J. Distrib. Sens. Netw. 2022, 18, 155013292211069. [Google Scholar] [CrossRef]
- Chen, T.; Guestrin, C. XGBoost: A Scalable Tree Boosting System. In Proceedings of the 22nd ACM SIGKDD International Conference on Knowledge Discovery and Data Mining, New York, NY, USA, 13 August 2016; pp. 785–794. [Google Scholar]
- Wang, J.; Zhang, X. Land-Based Urbanization in China: Mismatched Land Development in the Post-Financial Crisis Era. Habitat. Int. 2022, 125, 102598. [Google Scholar] [CrossRef]
- Laue, S.; Blacher, M.; Giesen, J. Optimization for Classical Machine Learning Problems on the GPU. Proc. AAAI Conf. Artif. Intell. 2022, 36, 7300–7308. [Google Scholar] [CrossRef]
- Krueger, A.B.; Lindahl, M. Education for Growth: Why and for Whom? J. Econ. Lit. 2001, 39, 1101–1136. [Google Scholar] [CrossRef]
- Huang, L.; Zheng, W.; Hong, J.; Liu, Y.; Liu, G. Paths and Strategies for Sustainable Urban Renewal at the Neighbourhood Level: A Framework for Decision-Making. Sustain. Cities Soc. 2020, 55, 102074. [Google Scholar] [CrossRef]

















| Category I | Category II | Classification Codebook | Facilities Covered |
|---|---|---|---|
| Educational Culture | Primary | 01 | Elementary school and their various ancillary facilities |
| Other | 02 | Kindergartens, secondary schools, universities and colleges, special elementary school and their ancillary facilities | |
| Training | 03 | Cultural, artistic and vocational skills training institutions | |
| Culture | 04 | Libraries, museums, juvenile palaces and other types of public cultural activity venues | |
| Business Services | Hotel | 05 | Hotels, hostels, guest houses, etc. |
| Cater | 06 | Chinese and foreign restaurants, fast food, desserts, cafes, etc. | |
| Shopping | 07 | Convenience stores, daily necessities, wholesale markets, etc. | |
| Life | 08 | Beauty salon, bath and massage, communication and logistics, etc. | |
| Recreation | 09 | KTV, bar, cinema, theater, etc. | |
| Finance | 10 | Banks, ATMs, insurance, etc. | |
| Residential Office | Residence | 11 | Residences, dormitories, talent apartments, etc. |
| Government | 12 | Government agencies, institutions, grassroots management units, etc. | |
| Industry | 13 | Office buildings, companies, industrial parks, etc. | |
| Infrastructure | Sport | 14 | Swimming pools, outdoor camps, sports plazas, etc. |
| Treatment | 15 | Hospitals, clinics, pharmacies, etc. | |
| Traffic | 16 | Bus stops, subway stations |
| Model | Split Criterion | max_depth | min_samples_split | min_samples_leaf | Number of trees_estimators | Learning Rate | Cross-Validation Folds |
|---|---|---|---|---|---|---|---|
| CART | [gini,entropy] | range (1,11) | range (2,11) | range (1,11) | - | - | 5 |
| RF | - | [None,5,10, 20,30] | - | - | [10,50,100,200] | - | 5 |
| XGBoost | - | [3,5,7] | - | - | [100,200,300] | [0.1,0.01,0.001] | 5 |
| Accuracy | Precision | Recall | F1 | ROC | |
|---|---|---|---|---|---|
| CART | 0.010137938 | 0.071258528 | 0.132518343 | 0.091210989 | 0.021858128 |
| RF | 0.021213203 | 0.066164777 | 0.127290132 | 0.086458082 | 0.018104634 |
| XGBoost | 0.0325747 | 0.076811457 | 0.164527944 | 0.0988686 | 0.049272485 |
Disclaimer/Publisher’s Note: The statements, opinions and data contained in all publications are solely those of the individual author(s) and contributor(s) and not of MDPI and/or the editor(s). MDPI and/or the editor(s) disclaim responsibility for any injury to people or property resulting from any ideas, methods, instructions or products referred to in the content. |
© 2025 by the authors. Licensee MDPI, Basel, Switzerland. This article is an open access article distributed under the terms and conditions of the Creative Commons Attribution (CC BY) license (https://creativecommons.org/licenses/by/4.0/).
Share and Cite
Zhang, J.; Chen, Q.; Luo, P.; Zhao, Y.; Rijal, M. Coordination and Adaptation: An Analysis of the Spatial Compatibility Between Primary Schools and Adjacent Facilities in China’s Central Cities. Sustainability 2025, 17, 10263. https://doi.org/10.3390/su172210263
Zhang J, Chen Q, Luo P, Zhao Y, Rijal M. Coordination and Adaptation: An Analysis of the Spatial Compatibility Between Primary Schools and Adjacent Facilities in China’s Central Cities. Sustainability. 2025; 17(22):10263. https://doi.org/10.3390/su172210263
Chicago/Turabian StyleZhang, Jianxin, Qiongze Chen, Pingping Luo, Yang Zhao, and Madhab Rijal. 2025. "Coordination and Adaptation: An Analysis of the Spatial Compatibility Between Primary Schools and Adjacent Facilities in China’s Central Cities" Sustainability 17, no. 22: 10263. https://doi.org/10.3390/su172210263
APA StyleZhang, J., Chen, Q., Luo, P., Zhao, Y., & Rijal, M. (2025). Coordination and Adaptation: An Analysis of the Spatial Compatibility Between Primary Schools and Adjacent Facilities in China’s Central Cities. Sustainability, 17(22), 10263. https://doi.org/10.3390/su172210263

