The Role of New-Quality Productivity in the Sustainable Development of the Economic–Social–Environmental System: Evidence from 67 Ethnic Counties in Sichuan Province
Abstract
1. Introduction
- (1)
- Filling the spatial and dimensional gaps in the literature: By incorporating NQP into the sustainable development framework of the county-level ESEs in ethnic areas, it expands the existing theoretical system beyond macro scales and single dimensions. This new perspective clarifies how NQP empowers ESE coordination in regions with complex social structures and fragile ecosystems, addressing the lack of micro-scale and multi-dimensional research.
- (2)
- Complementing the missing mediating mechanisms: It systematically explores the multi-path mechanisms (technological innovation, industrial upgrading, resource allocation optimization) through which NQP affects ESEs’ sustainable development. This clarifies the complex interaction between NQP and sustainable growth, filling the gap of insufficient mechanism analysis in prior studies.
- (3)
- Addressing the limited regional differentiation: The findings guide county-level governments to formulate differentiated strategies based on local development stages. By clarifying the heterogeneous effects of NQP, it helps narrow the gap between ethnic and developed regions, addressing the uniform analytical framework in existing research, and promoting balanced regional development.
2. Theoretical Analysis and Research Hypothesis
2.1. The Direct Impact of New-Quality Productivity on the Sustainable Development of ESEs
2.2. Heterogeneous Effects of New-Quality Productivity on Sustainable Development of ESEs
2.3. Pathways of the Impact of New-Quality Productivity on Sustainable Development of ESEs
2.4. The Spatial Spillover Effect of New-Quality Productivity on the Sustainable Development of ESEs
3. Materials and Methods
3.1. Study Area and Data Source
3.1.1. Study Area
3.1.2. Data Source
3.2. Methods
3.2.1. Benchmark Regression Model
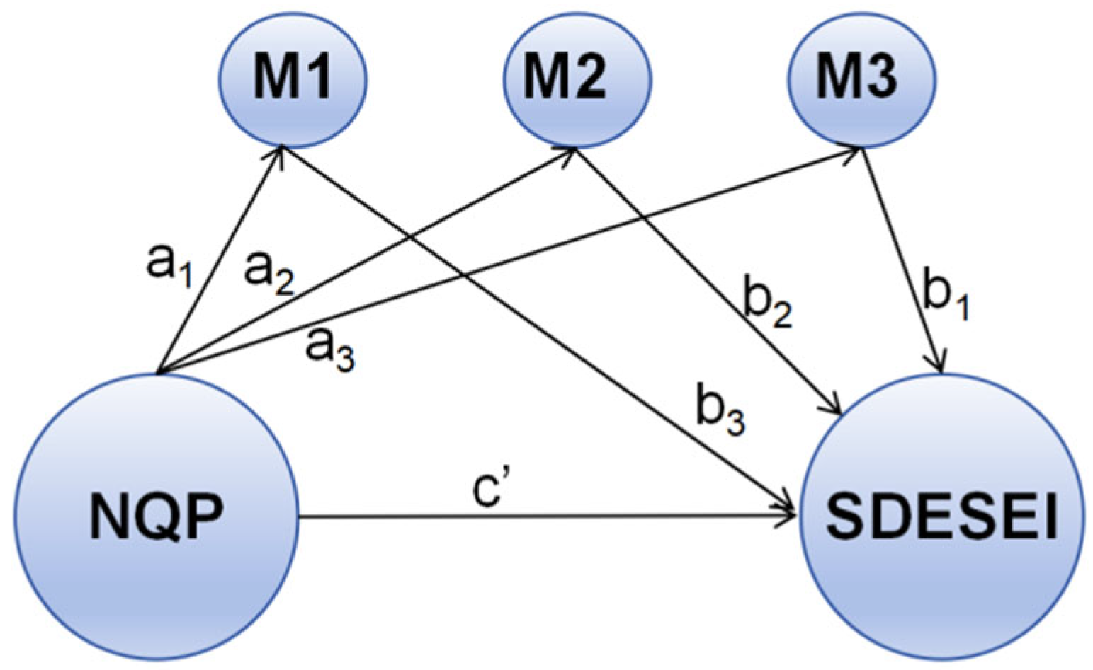
3.2.2. Multiple Mediator Effect Model
3.2.3. Spatial Durbin Models
3.3. Variable Measurement and Description
3.3.1. Dependent Variable: SDESEI
3.3.2. Explanatory Variable: NQP
3.3.3. Mediator and Control Variables
4. Results and Analysis
4.1. Spatial–Temporal Characteristics of NQP and SDESEI
4.2. The Direct Effect of NQP on SDESEI
4.3. Heterogeneous Effects of NQP on SDESEI
4.3.1. Regional Heterogeneity
4.3.2. Structural Heterogeneity
4.4. Pathways of NQP Effects on SDESEI
4.5. Spatial Spillover Effect of NQP on SDESEI
4.5.1. Test for Spatial Autocorrelation
4.5.2. Results of Spatial Durbin Regression
4.6. Robustness Test
5. Main Conclusions and Policy Recommendations
5.1. Main Conclusions
- (1)
- New-uality Productivity has a significant positive impact on the sustainable development of the Economic–Social–Environmental System in ethnic regions: New-quality productivity enhances production efficiency, optimizes industrial structure, and improves resource utilization efficiency, thereby providing important support for sustainable development in ethnic regions. The study finds that an increase in the level of New-Quality Productivity significantly promotes the improvement of the Sustainable Development Index of the Economic–Social–Environmental System in ethnic regions, thus verifying the important driving role of new-quality productivity in the sustainable development of ethnic regions.
- (2)
- The impact of New-Quality Productivity exhibits regional and structural heterogeneity: From a regional perspective, the driving effect of New-Quality Productivity on sustainable development is most pronounced in the Tibetan Plateau area of northwest Sichuan, followed by the Panxi region, while the southwest mountainous area of Sichuan is relatively weaker. This indicates that differences in resource endowment, industrial structure, and policy environment among different regions lead to significant variations in the effectiveness of New-Quality Productivity. From a structural perspective, different dimensions of New-Quality Productivity also have varying impacts on sustainable development. Among them, new types of labor tools and new types of labor objects have a more pronounced positive impact on sustainable development, while the optimization of factor combination and the driving effect of new types of laborers are relatively weaker.
- (3)
- New-Quality Productivity affects the sustainable development of the Economic–Social–Environmental System in ethnic regions through three pathways: scientific and technological innovation, industrial upgrading, and resource factor allocation. Scientific and technological innovation provides technological support for sustainable development in ethnic regions, industrial upgrading optimizes the industrial structure of ethnic regions, and resource factor allocation improves resource utilization efficiency. These three pathways work together to promote the coordinated development of the economy, society, and environment in ethnic regions. Among them, the mediating effect of industrial upgrading is the most significant, indicating that the optimization and upgrading of industrial structure is an important way for new-quality productivity to drive sustainable development in ethnic regions.
- (4)
- New-Quality Productivity has a positive spatial spillover effect on the sustainable development of the Economic–Social–Environmental System in ethnic regions: The development of New-Quality Productivity not only promotes local sustainable development but also drives sustainable development in neighboring regions through technology diffusion, industrial linkages, and market expansion. This spatial spillover effect helps to narrow the gap in sustainable development among ethnic regions and promotes coordinated regional development.
5.2. Policy Recommendations
5.3. Limitations and Prospects
Author Contributions
Funding
Institutional Review Board Statement
Informed Consent Statement
Data Availability Statement
Conflicts of Interest
Appendix A
| Subsystem | Dimension | Indicators | Define | Attribute | Weight | SDGs Target |
|---|---|---|---|---|---|---|
| Economic | Economic Efficiency | Labor productivity of secondary industry (RMB/person) | Reflects the production efficiency of the secondary industry and the productivity level of workers | Positive | 0.066 | ![]() |
| Labor productivity of tertiary industry (RBM/person) | Reflects the production efficiency of the tertiary industry and the productivity level of workers | Positive | 0.058 | |||
| Per capita GDP (RMB) | Reflects the overall economic development level and the average economic contribution of residents | Positive | 0.016 | |||
| Economic structure | Per capita retail sales of consumer goods (RMB) | Reflects the consumption capacity of residents and market activity | Positive | 0.014 | ![]() | |
| The proportion of the secondary industry to GDP (%) | Reflects the relative scale and importance of the secondary industry in the industrial structure | Neutral | 0.010 | |||
| The proportion of the tertiary industry to GDP (%) | Reflects the relative scale and importance of the tertiary industry in the industrial structure | Neutral | 0.004 | |||
| Economic growth | Energy consumption per unit GDP (10,000 t/100 million RMB) | Reflects the energy utilization efficiency and energy intensity of economic activities | Negative | 0.002 | ![]() | |
| GDP growth rate (%) | Reflects the growth trend and vitality of the economy | Positive | 0.044 | |||
| per capita disposable income (RMB) | Reflects the economic well-being and living standards of residents | Positive | 0.048 | |||
| R&D (10,000 RMB) | Reflects the intensity of investment in scientific and technological innovation and the capacity for innovation | Positive | 0.044 | |||
| Social | Well-being | Green coverage rate of negative built-up areas (%) | Reflects the ecological environment quality and greening level of the city | Positive | 0.025 | ![]() |
| Urban road area per capita (m2) | Reflects the perfection of urban traffic infrastructure | Positive | 0.039 | |||
| Number of hospital beds per 100 population (tiers) | Reflects the sufficiency of medical resources and the capacity of medical services | Positive | 0.025 | |||
| The proportion of education expenditure in the fiscal budget (%) | Reflects the emphasis on education and the intensity of investment | Positive | 0.022 | |||
| Green Living | Per capita carbon emissions (t/person) | Reflects the impact of economic activities on the environment and the intensity of carbon emissions | Negative | 0.032 | ![]() | |
| Urban sewage discharge (10,000 m3) | Reflects the pressure on sewage treatment and environmental stress | Negative | 0.012 | |||
| Number of public transport vehicles per 10,000 people (vehicles) | Reflects the supply capacity and coverage of public transportation | Positive | 0.003 | |||
| Per capita annual public transport trips | Reflects the frequency of public transport use and residents’ travel habits | Positive | 0.084 | |||
| Environmental | Environmental Governance | Industrial wastewater discharge (10,000 t) | Reflects the degree of pollution of water resources by industrial activities | Negative | 0.115 | ![]() |
| Sewage treatment capacity (10,000 m3/day) | Reflects the scale and treatment capacity of sewage treatment facilities | Positive | 0.015 | |||
| Centralized treatment rate of sewage treatment plants (%) | Reflects the efficiency and degree of centralized sewage treatment | Positive | 0.105 | |||
| Environmental Resources | Forest coverage rate (%) | Reflects the abundance of forest resources and the quality of the ecological environment | Positive | 0.035 | ![]() | |
| Proportion of renewable energy (%) | Reflects the sustainability of the energy structure and the utilization of clean energy | Positive | 0.004 | |||
| Total installed capacity of renewable energy (kilowatts) | Reflects the development scale and power generation capacity of renewable energy | Positive | 0.019 |
| Subsystem | Dimension | Indicators | Define | Attribute | Weight |
|---|---|---|---|---|---|
| New-type Laborer | Strategic scientific and technological talents | Number of scientific researchers (persons) | Reflects the quantity of scientific research personnel | Positive | 0.039 |
| Proportion of scientific researchers (%) | Reflects the proportion of scientific research personnel in the total workforce | Positive | 0.029 | ||
| Applied talents | Employment ratio in manufacturing, information technology services, and scientific research and technical services (%) | Reflects the employment distribution in key industries | Positive | 0.026 | |
| Proportion with associate degree or above (%) | Reflects the educational level of the workforce | Positive | 0.020 | ||
| Talent structure | Proportion with master’s degree or above (%) | Reflects the educational structure of the workforce | Positive | 0.035 | |
| Proportion of tertiary industry personnel (%) | Reflects the distribution of workforce across different industries | Neutral | 0.019 | ||
| Number of higher education students per 100,000 population (persons) | Reflects the scale of higher education enrollment | Positive | 0.022 | ||
| Talent reserve | Ratio of graduates in the year to the permanent population (%) | Reflects the output of educational institutions | Positive | 0.023 | |
| Ratio of university students to the permanent population (%) | Reflects the capacity of higher education institutions | Positive | 0.022 | ||
| New-type Labor tools | New production tools | Industrial robot installation density (units/10,000 people) | Reflects the level of automation and technological advancement in manufacturing | Positive | 0.029 |
| Integrated circuit production (ten thousand pieces) | Reflects the capacity and output of the semiconductor industry | Positive | 0.034 | ||
| Digital inclusive finance index | Reflects the accessibility and usage of digital financial services | Positive | 0.028 | ||
| New infrastructure | Per capita Internet access port number (ports/person) | Reflects the infrastructure and accessibility of Internet services | Positive | 0.029 | |
| Mobile phone number per hundred people (units/person) | Reflects the penetration and usage of mobile communication | Positive | 0.022 | ||
| Fiber optic cable length per unit area (km/square km) | Reflects the density and coverage of fiber optic infrastructure | Positive | 0.033 | ||
| Energy consumption level | Waste emissions per unit GDP (tons/ten thousand RMB) | Reflects the environmental impact and waste management efficiency | Negative | 0.017 | |
| Water consumption per unit GDP (cubic meters/ten thousand RMB) | Reflects the efficiency of water resource utilization | Negative | 0.013 | ||
| Electricity consumption per unit GDP (kilowatt-hours/ten thousand RMB) | Reflects the efficiency of energy utilization | Negative | 0.023 | ||
| New-type Labor subjects | New production factors | Proportion of enterprise e-commerce sales (%) | Reflects the extent to which enterprises use e-commerce platforms for sales | Positive | 0.028 |
| Per capita telecommunications business volume (billion RMB/person) | Reflects the average telecommunications business volume per person | Positive | 0.060 | ||
| Average mobile internet access traffic per household (GB/household) | Reflects the average mobile internet usage per household | Positive | 0.054 | ||
| New industries and new business forms | Proportion of high-tech enterprise operating income (%) | Reflects the share of high-tech enterprises in total operating income | Positive | 0.036 | |
| Average operating income of high-tech enterprises (billion RMB/enterprise) | Reflects the average operating income of high-tech enterprises | Positive | 0.017 | ||
| Proportion of high-tech enterprises among all industrial enterprises (%) | Reflects the share of high-tech enterprises in the total number of industrial enterprises | Positive | 0.023 | ||
| Green development model | Harmless treatment capacity per 10,000 people (tons/day) | Reflects the capacity for harmless treatment of waste per 10,000 people | Positive | 0.027 | |
| Proportion of environmental protection expenditure (%) | Reflects the share of environmental protection expenditure in total expenditure | Positive | 0.029 | ||
| Comprehensive utilization rate of solid waste (%) | Reflects the efficiency of solid waste utilization | Positive | 0.025 | ||
| Optimization of component generation combinations | Technologization | Number of patent grants per 10,000 people (pieces/10,000 people) | Reflects the number of patents granted per 10,000 people | Positive | 0.036 |
| Proportion of technology market transactions (%) | Reflects the share of technology market transactions in total transactions | Positive | 0.039 | ||
| R&D expenditure intensity (%) | Reflects the proportion of R&D expenditure in total expenditure | Positive | 0.025 | ||
| Greenification | Proportion of green technology patents in total patents (%) | Reflects the share of green technology patents in total patents | Positive | 0.017 | |
| Per capita park green space area (square meters/person) | Reflects the average area of park green space per person | Positive | 0.027 | ||
| Green coverage rate in urban areas (%) | Reflects the green coverage rate in urban areas | Positive | 0.011 | ||
| High efficiency | Labor productivity (ten thousand RMB/person) | Reflects the economic output per worker | Positive | 0.026 | |
| Capital productivity (%) | Reflects the efficiency of capital utilization | Positive | 0.035 | ||
| Energy productivity (tons of standard coal/ten thousand RMB) | Reflects the efficiency of energy utilization | Negative | 0.023 |
| Full Name | Abbreviation |
|---|---|
| Economic–Social–Environmental System | ESES |
| Sustainable Development of the Economic–Social–Environmental System | SDESES |
| Index of Sustainable Development of the Economic-Social-Environmental System | SDESEI |
| New-Quality Productivity | NQP |
| Technological Innovation | TI |
| Industrial Upgrading | IU |
| Resource Element Allocation | RE |
| Population Density | POP |
| Government Fiscal Expenditure | GFE |
| Number of Large-scale Industrial Enterprises | LIE |
| Sustainable Development Goals | SDGs |
| Northwest Sichuan Plateau Tibetan Area | NWPTA |
| Panxi Region | PR |
| Southwest Sichuan Mountainous Area | SMA |
References
- Du, S.; Tian, Q.; Zhong, J.; Yang, J. Optimizing Ethnic Regional Development: A Coupled Economic–Social–Environmental Framework for Sustainable Spatial Planning. Appl. Sci. 2025, 15, 9606. [Google Scholar] [CrossRef]
- Li, J.; Zhao, M. Spatial evolution and influencing mechanism of high-quality development in ethnic minority areas of China. Arid Land Geogr. 2024, 47, 496–505. (In Chinese) [Google Scholar] [CrossRef]
- Liu, H.M.; Long, J.C.; Shen, Z.H. Financial agglomeration, energy efficiency, and sustainable development of China’s regional economy: Evidence from provincial panel data. Math. Probl. Eng. 2021, 2021, 3871148. [Google Scholar] [CrossRef]
- Niemann, L.; Hoppe, T. How to Sustain Sustainability Monitoring in Cities: Lessons from 49 Community Indicator Initiatives across 10 Latin American Countries. Sustainability 2021, 13, 5133. [Google Scholar] [CrossRef]
- Hu, Y.; Jia, X. Empowering the Intelligent Transformation of the Manufacturing Sector Through New Quality Productive Forces: Value Implications, Theoretical Analysis, and Empirical Examination. Sustainability 2025, 17, 7006. [Google Scholar] [CrossRef]
- Chen, S.; Yang, H.; Li, J. How does government attention enhance regional innovation performance from the perspective of innovation-driven productivity? SAGE Open 2025, 15, 21582440251357382. [Google Scholar] [CrossRef]
- Huang, C.; Zhao, J.; Yang, Z.; Wang, L. The Impact Mechanisms of New Quality Productive Forces on Rural Transformation: Evidence from Shandong Province, China. Sustainability 2025, 17, 5869. [Google Scholar] [CrossRef]
- Hegre, H.; Petrova, K.; von Uexkull, N. Synergies and Trade-Offs in Reaching the Sustainable Development Goals. Sustainability 2020, 12, 8729. [Google Scholar] [CrossRef]
- Xu, Y.; Wang, R.; Zhang, S. Digital Economy, Green Innovation Efficiency, and New Quality Productive Forces: Empirical Evidence from Chinese Provincial Panel Data. Sustainability 2025, 17, 633. [Google Scholar] [CrossRef]
- Ardila, A. Who Are the Spanish Speakers? An Examination of Their Linguistic, Cultural, and Societal Commonalities and Differences. Hisp. J. Behav. Sci. 2020, 42, 41–61. [Google Scholar] [CrossRef]
- Feng, T.T.; Liu, B.; Wei, Y.; Xu, Y.; Zheng, H.; Ni, Z.; Zhu, Y.; Fan, X.; Zhou, Z. Research on the low-carbon path of regional industrial structure optimization. Energy Strategy Rev. 2024, 54, 101485. [Google Scholar] [CrossRef]
- Xinhua News Agency. China Sets Up National Rural Revitalization Agency to Promote Rural Development. Xinhuanet, 25 February 2021. Available online: https://www.xinhuanet.com/politics/2021-02/25/c_1127140574.htm (accessed on 13 July 2025).
- Augeraud-Veron, E.; Boucekkine, R.; Gozzi, F.; Venditti, A.; Zou, B.T. Fifty years of mathematical growth theory: Classical topics and new trends. J. Math. Econ. 2024, 111, 102966. [Google Scholar] [CrossRef]
- Romer, P.M. Endogenous Technological Change. J. Political Econ. 1990, 98, S71–S102. [Google Scholar] [CrossRef]
- Aghion, P.; Howitt, P. A Model of Growth Through Creative Destruction. Econometrica 1992, 60, 323–351. [Google Scholar] [CrossRef]
- Porter, M.E.; van der Linde, C. Toward a new conception of the environment-competitiveness relationship. J. Econ. Perspect. 1995, 9, 97–118. [Google Scholar] [CrossRef]
- OECD. OECD Annual Report 2001; OECD Publishing: Paris, France, 2001. [Google Scholar] [CrossRef]
- Mazzucato, M. Mission-oriented innovation policies: Challenges and opportunities. Ind. Corp. Change 2018, 27, 803–815. [Google Scholar] [CrossRef]
- Han, W.L.; Zhang, R.S.; Zhao, F. The Measurement of New Quality Productivity and New Driving Force of the Chinese Economy. J. Quant. Tech. Econ. 2024, 41, 5–22. Available online: https://qikan.cqvip.com/Qikan/Article/Detail?id=7112363819 (accessed on 26 October 2025). (In Chinese).
- Liu, Y.; He, Z. Synergistic industrial agglomeration, new quality productive forces and high-quality development of the manufacturing industry. Int. Rev. Econ. Financ. 2024, 94, 103373. [Google Scholar] [CrossRef]
- Shao, C.; Dong, H.; Gao, Y. New Quality Productivity and Industrial Structure in China: The Moderating Effect of Environmental Regulation. Sustainability 2024, 16, 6796. [Google Scholar] [CrossRef]
- Guo, R.; Ruanzhou, Y.; Ruan, H. Intellectual property protection, new quality productivity, and economic growth: Empirical evidence from China. Int. Rev. Econ. Financ. 2025, 101, 104145. [Google Scholar] [CrossRef]
- Gang, H.; Zhao, F. Research on the coupling and harmonization degree of new productive force and high-quality economic development. Financ. Res. Lett. 2025, 84, 107684. [Google Scholar] [CrossRef]
- Chen, J.; Chen, F.; Dai, Y. Media attention and corporate new quality productive forces. Int. Rev. Financ. Anal. 2025, 105, 104354. [Google Scholar] [CrossRef]
- Luo, Z.; Zhang, H.; Jiang, L.; Zhang, Y.; Zeng, Y.; Wang, Y. Green Revolution vs. Digital Leap: Decoding the Impact of Environmental Regulation on New Quality Productive Forces in China’s Yangtze River Basin. Sustainability 2025, 17, 7216. [Google Scholar] [CrossRef]
- Xiong, N.; Wong, S.W.; Ren, Y.; Shen, L. Regional Disparity in Urbanizing China: Empirical Study of Unbalanced Development Phenomenon of Towns in Southwest China. J. Urban Plan. Dev. 2020, 146, 05020013. [Google Scholar] [CrossRef]
- Li, G.; Zhou, X.; Bao, Z. A win-win opportunity: The industrial pollution reduction effect of digital economy development—A quasi-natural experiment based on the “Broadband China” strategy. Sustainability 2022, 14, 5583. [Google Scholar] [CrossRef]
- Yang, Y.; Jiang, Y.; Yang, Y. Institutional logics and organizational green transformation: Evidence from the agricultural industry in emerging economies. J. Environ. Manag. 2024, 370, 122932. [Google Scholar] [CrossRef]
- Ma, Y.; Wang, S.; Guo, K.; Wang, L. Multi-dimensional pathways of digitally-empowered new-quality productive forces in enterprises: A configurational analysis based on resource orchestration theory. Systems 2025, 13, 623. [Google Scholar] [CrossRef]
- Dai, D.; Zheng, Y. The new quality productive force, science and technology innovation, and optimization of industrial structure. Sustainability 2025, 17, 4439. [Google Scholar] [CrossRef]
- Wang, Q.; Du, Z. Exploring the coexistence between new quality productive force developments, human capital level improvements and time poverty from a time utilization perspective. Sustainability 2025, 17, 930. [Google Scholar] [CrossRef]
- Xu, H.; Deng, H.; Zhang, D. Fine-grained sustainability assessment: County sustainable development in China from 2000 to 2017. J. Clean. Prod. 2023, 425, 138798. [Google Scholar] [CrossRef]
- Wang, H.Y.; Tao, J.Y.; Xu, J.; Zhang, Y.Z. Research on an evaluation index system and evaluation method of green and low-carbon expressway construction. PLoS ONE 2023, 18, e0283559. [Google Scholar] [CrossRef] [PubMed]
- Liu, Z.; Zhang, H.; Guo, C.; Yang, Y. New Quality Productive Forces Enabling High-Quality Development: Mechanism, Measurement, and Empirical Analysis. Sustainability 2025, 17, 8146. [Google Scholar] [CrossRef]
- Tai, X.; Xiao, W.; Tang, Y. A quantitative assessment of vulnerability using social-economic-natural compound ecosystem framework in coal mining cities. J. Clean. Prod. 2020, 258, 120969. [Google Scholar] [CrossRef]
- Yang, J.; Li, Z.; Zhang, D.; Zhong, J. An empirical analysis of the coupling and coordinated development of new urbanization and ecological welfare performance in China’s Chengdu-Chongqing economic circle. Sci. Rep. 2024, 14, 13197. [Google Scholar] [CrossRef]
- Ye, L.; Fang, Z. The impact of new-quality productivity on environmental pollution: Empirical evidence from China. Sustainability 2025, 17, 3230. [Google Scholar] [CrossRef]
- Liu, H.; Yang, H.; Bi, R. The mechanism of action and typical models of new quality productivity empowering rural revitalization: Based on a systematic analysis framework of “element-structure-function”. Sustainability 2025, 17, 3133. [Google Scholar] [CrossRef]
- Sichuan Provincial People’s Government. Notice on Issuing Several Policy Measures to Support the Development of New Energy and Intelligent Automobile Industry in Sichuan Province [Official Document]. 30 September 2020. Available online: https://www.sc.gov.cn/10462/c103044/2020/9/30/5a37938af489498b861716f17e236964.shtml (accessed on 20 July 2025).
- Xi, H.; Liu, X.; Ding, X.; Huang, C.; Tao, Y.; Tao, Q.; Li, J.; Cheng, X.; Wang, F.; Ou, W. Incorporating embodied carbon transfer and sequestration service flows into regional carbon neutrality assessment in China. Sustain. Prod. Consum. 2024, 51, 432–444. [Google Scholar] [CrossRef]
- Yang, J.; Li, Z.; Zhang, D.; Yu, K.; Zhong, J.; Zhu, J. Spatial distribution characteristics and variability of urban ecological welfare performance in the Yangtze River economic Belt: Evidence from 70 cities. Ecol. Indic. 2024, 160, 111846. [Google Scholar] [CrossRef]





| Variables Type | Variable Name | Code | Mean | Std. | Min | Max | Obs. |
|---|---|---|---|---|---|---|---|
| Dependent Variable | Index of Sustainable Development of the Economic–Social–Environmental System | SDESEI | 0.418 | 0.137 | 0.117 | 0.856 | 1340 |
| Independent Variable | New-Quality Productivity | NQP | 0.282 | 0.131 | 0.076 | 0.733 | 1340 |
| Mediating Variables | Technological Innovation | TI | 1.053 | 1.287 | 0.054 | 8.681 | 1340 |
| Industrial Upgrading | IU | 2.303 | 0.135 | 0.108 | 0.757 | 1340 | |
| Resource Element Allocation | RE | 7.141 | 5.93 | 0.647 | 34.47 | 1340 | |
| Control Variables | Population Density | POP | 209.887 | 715.967 | 6.711 | 2047.334 | 1340 |
| Government Fiscal Expenditure | GEF | 0.186 | 0.043 | 0.061 | 0.343 | 1340 | |
| Number of Large-Scale Industrial Enterprises | LIE | 30 | 20 | 0 | 108 | 1340 |
| Variable | (1) | (2) | (3) | (4) |
|---|---|---|---|---|
| NQP | 0.609 *** (0.186) | 0.711 *** (0.178) | 0.749 *** (0.102) | 1.017 *** (0.119) |
| POP | −0.418 *** (0.083) | −0.430 *** (0.078) | −0.317 *** (0.076) | |
| GFE | −0.255 *** (0.056) | 0.102 ** (0.046) | ||
| LIE | −0.471 *** (0.071) | |||
| constant | 0.942 *** (0.066) | 1.282 *** (0.085) | 1.362 *** (0.083) | 1.218 *** (0.080) |
| R2 | 0.592 | 0.526 | 0.571 | 0.576 |
| Estimator | FE | FE | FE | FE |
| Hausman (p) | 36.84 *** (0.031) | 41.92 *** (0.066) | 39.75 *** (0.047) | 45.03 *** (0.028) |
| Obs. | 1340 | 1340 | 1340 | 1340 |
| Variable | NWPTA | PR | SSMA |
|---|---|---|---|
| NQP | 0.614 *** (0.029) | 0.307 *** (0.080) | 0.538 * (0.306) |
| POP | 0.114 (0.108) | −0.107 (0.124) | −0.189 ** (0.089) |
| GFE | 0.109 ** (0.070) | −0.337 *** (0.131) | 0.088 (0.124) |
| LIE | −0.117 (0.160) | 0.141 (0.266) | −0.625 (0.356) |
| constant | 1.503 *** (0.152) | 1.162 *** (0.271) | 1.103 *** (0.245) |
| Obs. | 600 | 400 | 340 |
| R2 | 0.671 | 0.663 | 0.476 |
| County fix | Yes | Yes | Yes |
| Year fix | Yes | Yes | Yes |
| Variable | New-Type Laborer | New-Type Labor Tools | New-Type Labor Subjects | Component Generation |
|---|---|---|---|---|
| NQP | −0.612 (0.711) | 1.341 *** (0.205) | 2.419 *** (0.479) | 1.724 ** (0.722) |
| POP | 0.128 *** (0.112) | 0.169 (0.132) | −0.438 *** (0.149) | 0.098 (0.190) |
| GFE | −0.112 (0.107) | −0.312 *** (0.126) | 0.436 ** (0.177) | −0.711 ** (0.315) |
| LIE | 0.117 (0.231) | −0.621 *** (0.107) | 1.178 ** (0.445) | −0.397 ** (0.176) |
| constant | 0.775 *** (0.252) | 0.833 *** (0.113) | 0.722 *** (0.279) | 0.811 *** (0.308) |
| Obs. | 1340 | 1340 | 1340 | 1340 |
| R2 | 0.473 | 0.702 | 0.601 | 0.403 |
| County fix | Yes | Yes | Yes | Yes |
| Year fix | Yes | Yes | Yes | Yes |
| Variable | TI | IU | RE | SDESEI |
|---|---|---|---|---|
| NQP | 1.301 *** (0.102) | 0.718 *** (0.155) | 1.818 *** (0.103) | 1.334 *** (0.255) |
| TI | 0.077 ** (0.034) | |||
| IU | 0.314 *** (0.046) | |||
| RE | 0.101 ** (0.133) | |||
| POP | 0.083 (0.064) | 0.092 * (0.051) | −0.314 *** (0.081) | −0.299 *** (0.177) |
| GFE | 0.430 ** (0.072) | −0.143 *** (0.045) | 0.141 *** (0.041) | −0.153 * (0169) |
| LIE | −0.298 *** (0.082) | −0.012 (0.062) | −0.122 *** (0.047) | −0.484 *** (0.107) |
| Obs. | −0.136 *** (0.026) | 0.232 *** (0.074) | −0.252 *** (0.049) | 1.307 *** (0.107) |
| R2 | 0.591 | 0.418 | 0.563 | 0.557 |
| County fix | Yes | Yes | Yes | Yes |
| Year fix | Yes | Yes | Yes | Yes |
| Pathways | Value of Intermediate Effect | Std. | 95% Confidence Interval |
|---|---|---|---|
| TI | 0.618 *** | 0.108 | [0.351, 1.163] |
| IU | 1.166 *** | 0.209 | [0.811, 1.412] |
| RE | 0.331 *** | 0.077 | [0.093, 0.396] |
| Year | Moran’s I_NQP | p_Value | Moran’s I_SDESEI | p_Value |
|---|---|---|---|---|
| 2004 | 0.048 | 0.091 | 0.012 | 0.020 |
| 2005 | 0.093 | 0.061 | 0.024 | 0.078 |
| 2006 | 0.220 | 0.000 | 0.068 | 0.000 |
| 2007 | 0.180 | 0.000 | 0.070 | 0.000 |
| 2008 | 0.085 | 0.081 | 0.055 | 0.004 |
| 2009 | 0.186 | 0.000 | 0.087 | 0.001 |
| 2010 | 0.210 | 0.000 | 0.071 | 0.000 |
| 2011 | 0.093 | 0.062 | 0.023 | 0.020 |
| 2012 | 0.168 | 0.001 | 0.045 | 0.021 |
| 2013 | 0.002 | 0.082 | 0.002 | 0.080 |
| 2014 | 0.081 | 0.099 | 0.064 | 0.000 |
| 2015 | 0.070 | 0.015 | 0.027 | 0.014 |
| 2016 | 0.064 | 0.018 | 0.031 | 0.099 |
| 2017 | 0.054 | 0.024 | 0.053 | 0.006 |
| 2018 | 0.033 | 0.035 | 0.029 | 0.011 |
| 2019 | 0.146 | 0.004 | 0.049 | 0.010 |
| 2020 | 0.165 | 0.001 | 0.141 | 0.000 |
| 2021 | 0.060 | 0.083 | 0.098 | 0.041 |
| 2022 | 0.065 | 0.012 | 0.086 | 0.067 |
| 2023 | 0.111 | 0.045 | 0.080 | 0.089 |
| Variable | Direct Effect | Indirect Effect | Total Effect |
|---|---|---|---|
| NQP | 1.468 *** (0. 194) | 1.649 *** (0.233) | 3.117 *** (0.374) |
| POP | −0.409 *** (0.076) | 0.425 *** (0.062) | 0.016 (0.634) |
| GFE | −0.237 * (0.075) | −0.819 (1.288) | −1.056 (1.203) |
| LIE | −0.452 *** (0.059) | −0.700 * (0.305) | −1.152 *** (0.174) |
| Variable | Winsorization | IV-2SLS |
|---|---|---|
| NQP | 0.488 ** (0.224) | 1.373 *** (0.185) |
| POP | −0.324 *** (0.082) | −0.318 *** (0.076) |
| GFE | −0.147 ** (0.072) | −0.031 (0.067) |
| LIE | −0.503 *** (0.087) | −0.404 *** (0.079) |
| constant | 1.310 *** (0.093) | 1.225 *** (0.079) |
| R2 | 0.516 | 0.667 |
| County fix | Yes | Yes |
| Year fix | Yes | Yes |
Disclaimer/Publisher’s Note: The statements, opinions and data contained in all publications are solely those of the individual author(s) and contributor(s) and not of MDPI and/or the editor(s). MDPI and/or the editor(s) disclaim responsibility for any injury to people or property resulting from any ideas, methods, instructions or products referred to in the content. |
© 2025 by the authors. Licensee MDPI, Basel, Switzerland. This article is an open access article distributed under the terms and conditions of the Creative Commons Attribution (CC BY) license (https://creativecommons.org/licenses/by/4.0/).
Share and Cite
Du, S.; Yang, J. The Role of New-Quality Productivity in the Sustainable Development of the Economic–Social–Environmental System: Evidence from 67 Ethnic Counties in Sichuan Province. Sustainability 2025, 17, 9609. https://doi.org/10.3390/su17219609
Du S, Yang J. The Role of New-Quality Productivity in the Sustainable Development of the Economic–Social–Environmental System: Evidence from 67 Ethnic Counties in Sichuan Province. Sustainability. 2025; 17(21):9609. https://doi.org/10.3390/su17219609
Chicago/Turabian StyleDu, Siyao, and Jie Yang. 2025. "The Role of New-Quality Productivity in the Sustainable Development of the Economic–Social–Environmental System: Evidence from 67 Ethnic Counties in Sichuan Province" Sustainability 17, no. 21: 9609. https://doi.org/10.3390/su17219609
APA StyleDu, S., & Yang, J. (2025). The Role of New-Quality Productivity in the Sustainable Development of the Economic–Social–Environmental System: Evidence from 67 Ethnic Counties in Sichuan Province. Sustainability, 17(21), 9609. https://doi.org/10.3390/su17219609








