Abstract
Sustainable development requires integrating economic growth with environmental protection; however, rising carbon emissions pose a substantial threat to ecological balance. The conclusions of this study regarding the determinants of carbon emissions risk within the broader sustainability framework—coal and oil consumption, foreign direct investment (FDI), and economic growth—are critically significant. The application of ARDL and Dynamic ARDL estimate methods indicates that coal and oil consumption, along with foreign direct investment (FDI), exert a considerable and favourable influence on carbon emissions. The Toda–Yamamoto causality study indicates a bidirectional influence between coal usage and carbon emissions. Conversely, oil consumption and foreign direct investment influence carbon emissions solely via coal consumption. These findings underscore the need to develop efficient emission control strategies rapidly. Policy recommendations include accelerating economic restructuring, reducing dependence on fossil fuels, and promoting the adoption of clean, renewable energy sources. By analyzing these factors, the study offers significant insights into achieving simultaneous economic growth and environmental sustainability.
1. Introduction
A complex network of interconnected elements in the modern world shapes our prospects. Ecological improvement has become a top priority for the twenty-first century because of the correlation between environmental protection and long-term economic growth [1,2,3]. Carbon emissions, economic development, foreign direct investment, coal consumption, and oil consumption are the primary themes shaping the 21st century. These four trends are at the core of this intricate symphony. The complex relationships among these aspects are the key to successfully managing them and ensuring the sustainability of our planet and humanity.
Environmental destruction is a problem in many developing countries. Using energy consumption to drive economic expansion harms the environment, yet the effects of environmental degradation cannot be dismissed. The Indian economy is growing exponentially, and this growth will only accelerate. Industrial output, agricultural output, foreign investment, and the film industry are vital to India’s economy. Despite agriculture being the backbone of the Indian economy, more and more farmland is being converted to other uses to accommodate the country’s booming manufacturing sector. In addition, deforestation is a significant problem in India, which ranks first among Asian countries due to its fast population growth. Financial progress and industrial sector energy demand for expansion contribute to environmental degradation. India relies on traditional energy sources to meet its rapidly growing energy needs [4]. India is responsible for 7% of global carbon dioxide emissions and ranks third worldwide [5]. The environment faces severe consequences due to carbon emissions from the rampant combustion of fossil fuels. These emissions contribute to global warming, biodiversity loss, and increased extreme weather events. Immediate and decisive action is essential to address these critical issues.
Malik [6] argued that conventional energy sources emit carbon dioxide, which has a detrimental impact on ecological conditions and that this has significant implications for both the natural environment and human well-being.
Implementing income-enhancing policies in emerging nations has contributed to economic growth and the urbanization of their populations, which may pose environmental challenges. While rapid economic development in both emerging and affluent countries has improved living standards, it has also intensified environmental issues such as desertification and pollution [7]. However, the role of government policies and regulations in shaping this relationship must be considered. Several nations have changed and modernized their industrial structures to achieve sustainable development and progress, thanks to stringent environmental regulations and the promotion of renewable energy sources. Global economic expansion drives development and innovation, which in turn propels the development of nations. The proposed intervention can rescue underprivileged populations from their current circumstances, raise living standards across the population, and offer hope for a brighter future. However, carbon emissions worsen when economic expansion is pursued without regard for the environment. A trade-off between environmental sustainability and economic progress may occasionally accompany the pursuit of economic progress [8].
The Industrial Revolution catalyzed a sea change in society and the economy, with urbanization and industrialization playing essential roles. However, these methods speed up the use of fossil fuels, which, in turn, releases a great deal of carbon dioxide and other GHGs into the atmosphere [9]. Numerous modern economic activities—including transportation, industry, and trade—consume vast quantities of oil. For almost a century, it has been the engine that has propelled the global economy, allowing for the growth of nations and urban centres worldwide. However, widespread oil consumption produces a large carbon footprint, contributing to climate change and greenhouse gas emissions worldwide. From 570 million metric tonnes of oil equivalent in 2020, India’s primary energy consumption is expected to increase by 63% over the following decade [10]. Energy production and consumption accounted for over 75% of India’s greenhouse gas emissions in 2020 [11].
Researchers have investigated the discrete or cumulative impacts of economic growth, trade, investment, and energy consumption on carbon emissions [12,13,14,15]. Nonetheless, an oversight persists in the thorough evaluation of the synergistic and interrelated influences of coal consumption, oil consumption, foreign direct investment (FDI), and economic growth on carbon emissions, especially within the Indian context. A complex network of interconnected factors now defines global development paths, linking economic growth, energy use, and environmental stability. This study builds on the premise that sustainable growth depends on integrating economic and ecological objectives. In developing countries, energy-intensive growth often drives carbon emissions and ecological stress. India, with rapid industrial expansion and urbanization, offers an important case for examining this trade-off.
To strengthen conceptual clarity, three testable hypotheses have been formulated:
- H1: Fossil fuel consumption (coal and oil) significantly increases carbon emissions in India.
- H2: Foreign direct investment positively contributes to carbon emissions through energy-intensive industrialization.
- H3: Economic growth moderates the long-term relationship between energy consumption and environmental degradation.
These hypotheses align the empirical design with the central research question of how economic expansion and investment affect India’s carbon risk route.
The Indian economy’s transition from agriculture to industry has accelerated the use of fossil fuels and increased carbon intensity. While economic and social development have improved living standards, they also pose environmental risks. Existing studies have primarily examined economic growth and emissions in isolation. This paper differs by integrating coal use, oil use, FDI, and GDP per capita within a single framework and by applying ARDL and Dynamic ARDL models, along with Toda–Yamamoto causality, to capture directional relationships. By adopting a multi-method approach, the research adds robust empirical evidence for sustainable development policy.
2. Literature Review
A growing body of literature has emerged to address the sophisticated relationship between sustainable development and environmental harmony, mainly through the lens of carbon emissions and their associated risks. Rising carbon emissions from industrial expansion, energy consumption, and foreign direct investment have posed a challenge to sustainable development, which seeks to balance economic growth with environmental preservation. The concept of environmental harmony emphasizes the need for ecological stability and reduced environmental degradation to sustain long-term development. Scholars and policymakers have begun investigating the critical elements influencing carbon emissions, focusing on energy sources, technological innovation, regulatory policies, economic structures, and societal behaviours. Understanding these factors is crucial to mitigating carbon emissions risk, as excessive emissions have been shown to exacerbate climate change and degrade ecosystems. This review synthesizes existing research to examine the primary drivers of carbon emissions and the strategies that may support a more harmonious, sustainable trajectory for economic and environmental goals [16].
2.1. Oil and Coal Consumption
Governments and policymakers must act quickly to address the severe deterioration of our environment, which is primarily the result of our excessive reliance on fossil fuels (such as oil, gas, and coal) for economic growth [17,18,19,20,21]. The Intergovernmental Panel on Climate Change (IPCC) [22]) warns that a staggering 76.6% of global carbon dioxide (CO2) emissions are a direct result of our relentless pursuit of economic expansion and improved quality of life, particularly in developing countries, leading to a significant increase in electricity consumption. Further reveals that global electricity production surged by 2.8% in 2017 and 1.9% in 2018, with a substantial portion of this increase originating from oil-producing countries heavily dependent on fossil fuels [23]. Katircioglu [24] underscores that crude oil alone accounts for about 35% of the world’s energy demand, and fossil fuels represented over 80% of the world’s energy demand in 2004. This heavy reliance on fossil fuels may bring significant economic benefits to oil-producing countries, but it is crucial to explore alternative solutions for a sustainable future.
2.2. Oil Consumption and Carbon Emissions
In a study by Hanif [25], the influence of economic growth, urban expansion, and consumption of fossil fuels, solid fuels, and renewable energy on CO2 emissions in Sub-Saharan African economies from 1995 to 2015 was examined using the GMM model. The results showed that consumption of fossil and solid fuels increases CO2 emissions, while renewable energy helps reduce them.
Furthermore, Saboori [26] conducted a pivotal study on the association among oil consumption, economic growth, and environmental degradation across three Asian countries. Their findings, obtained from the Granger causality test, revealed a unidirectional causality from oil consumption to economic growth in China and Japan, and from oil consumption to CO2 emissions in South Korea. This underscores the significant role of oil consumption in driving economic growth, a crucial consideration in environmental economics and sustainability.
2.3. FDI and Carbon Emissions
The impact of foreign direct investment (FDI) and trade openness on environmental sustainability in a country or region has been widely examined in the literature. These factors are considered significant in understanding the influence of external influences on environmental sustainability [13]. Koçak and Sarkgüne [27] found that increasing environmental pollution results from this connection. In their study, Solarin and Al-Mulali [28] examined the existence of the pollution haven hypothesis (PHH) in 20 countries. They found that foreign direct investment (FDI) increases pollution in emerging countries while reducing environmental degradation in developed countries. In a similar vein, Baloch [29] investigated the correlation between carbon dioxide (CO2) emissions and foreign direct investment (FDI) in nations involved in the Belt and Road Initiative (BRI), thereby revealing the presence of a phenomenon known as the Pollution Haven Hypothesis (PHH). The study by Hou [30] revealed a strong correlation between foreign direct investment (FDI) and the rapid deterioration of China’s environment. This finding is consistent with previous research, underscoring its significance.
However, the relationship between foreign direct investment (FDI) and environmental sustainability is not a straightforward one. Jijian [31] found a minimal correlation between FDI and carbon dioxide (CO2) emissions in countries participating in the Belt and Road Initiative (BRI), suggesting a more nuanced understanding is required. In a study by Rahaman [32] in Bangladesh, the impact of FDI, economic condition (EC), tourism, and CO2 emissions was examined. The results showed a positive correlation between FDI and CO2 emissions. These diverse outcomes underscore the topic’s complexity and the pressing need for further research to understand this relationship fully.
Furthermore, Islam [33] used the dynamic simulated ARDL model to study the influence of FDI on environmental deterioration. Their findings suggest that FDI can promote environmental sustainability. Bakhsh [34] examined the relationship between FDI and environmental deterioration in Pakistan and found that FDI can contribute to environmental degradation. Salman [35] examined the relationship between FDI and environmental outcomes in Pakistan and confirmed the pollution haven hypothesis (PHH). Similarly, Paramati [36] investigated the relationship between FDI and CO2 emissions in developing countries, finding that FDI can have a significant, positive impact on the environment. While these findings provide valuable insights, they also underscore the need for further study to fully understand the effects of FDI on environmental sustainability fully.
In addition, Ahmad [37] examined the correlation between foreign direct investment (FDI) and environmental degradation in OECD countries and found that FDI contributes to increased CO2 emissions. Ashraf [38] investigated the asymmetrical relationship among foreign direct investment (FDI), oil prices, and carbon dioxide (CO2) emissions using data from the Gulf Cooperation Council (GCC) economies. It was determined that foreign direct investment (FDI) harms the environment, and the pollution haven hypothesis (PHH) was verified. In Udemba’s (2020) [39] study, an analysis examined the impact of foreign direct investment (FDI) and other factors on India’s environmental quality. The findings revealed a positive association between FDI and environmental quality. Hanif [26] examined how GDP and FDI affect environmental quality in 15 rising Asian countries. They contended that foreign direct investment (FDI) was responsible for environmental degradation, bolstering pollution-induced health hazards (PHH). Zmami and Ben-Salha [40] utilized the PMG-ARDL technique to examine the relationship between foreign direct investment (FDI) and the environment in Gulf Cooperation Council (GCC) countries. It was determined that foreign direct investment (FDI) had a beneficial and lasting effect on the environment.
2.4. Growth (GDP) and CO2: EKC and Structural Change
The relationship between environmental stress and economic development does not simply follow a linear trend, according to the Environmental Kuznets Curve (EKC). Initially, pollution and environmental degradation generally escalate alongside rising income during the early phases of development; however, once a nation attains a certain income level, further economic growth is frequently linked to enhancements in environmental quality as economies embrace cleaner technologies and transition towards service-oriented industries [41]. However, findings from developing and emerging economies do not always fit this classic inverted U-shape pattern. Some studies confirm the traditional EKC, while others report that the relationship is either continuously rising or falling, or features more than one turning point, depending on factors such as the energy mix, degree of trade openness, regulatory rigour, and the quality of institutions [42].
Transitions in economic structure, such as a shift from manufacturing to services, greater energy efficiency, new environmental policies, and support for low-carbon innovation, have all been identified as important drivers that can help decouple economic progress from rising greenhouse gas emissions. For example, Voumik [43] examined how integrating renewable energy sources influences the EKC and found that increasing the use of cleaner energy can alter the growth-emissions relationship within a group of countries. Other variables, including levels of inequality, the quality of governance, and the distribution of income, can also shape the extent to which economic expansions affect environmental outcomes [44].
The growing body of literature on low-carbon development has highlighted the effectiveness of comprehensive strategies—such as combining carbon pricing, subsidies for green technologies, and layered regulations—in making economies more efficient and reducing the emissions intensity of growth [45,46]. Initiatives such as urban pilot zones have been shown to further these improvements. Polat and Çil [47], for instance, proposed updates to the human development index for countries with a strong eco-innovation focus and validated the presence of inverted U-shaped patterns in these contexts. In addition, Muratoğlu [48] examined EKC behaviour across specific economic sectors using a nonlinear ARDL model, uncovering distinct patterns among agriculture, industry, and services.
There is little research on India’s sustainable development that uses a dynamic ARDL (Autoregressive Distributed Lag) simulation model and the Todo-Yamamoto causality test to provide a comprehensive analysis of carbon emissions, oil and coal consumption, foreign direct investment (FDI), and economic growth dynamics. While numerous studies have individually explored aspects such as carbon emissions, energy consumption, and economic growth, there is a need for more literature that holistically addresses their interconnectedness. This research aims to bridge this gap by employing a novel dynamic ARDL model, offering a more nuanced understanding of how these variables interact over time. By uncovering the intricate relationships among carbon emissions, energy consumption patterns, FDI inflows, and economic growth, this study seeks to offer valuable insights to academia and policymakers, fostering a more comprehensive perspective on India’s sustainable future.
3. Methods
3.1. Data and Model
In this study, we used annual time-series data to analyze India from 1970 to 2022. To gather the necessary data for CE, CC, and OC, we turned to BP stats, while data for GP and FDI were sourced from WDI [49]. Our variable selection process was informed by previous studies conducted by [50,51] that explored the relationship between economic growth and CO2 emissions. Additionally, we drew insights from [52], who examined the impact of financial development on environmental degradation. Based on this literature review, we selected the variables necessary to estimate the influence of coal consumption, oil consumption, foreign direct investment, and economic growth on India’s carbon emissions between 1970 and 2022. The following equation gives the general regression model for time series data.
where CE represents carbon emissions, CC represents coal consumption, OC represents oil consumption, GP represents gross domestic product per capita consumption (as a proxy for economic growth), FDI represents foreign direct investment, and denotes the white noise error term.
3.2. Econometric Procedure
To initiate our analysis, we found it essential to test for unit roots in the variables. This step was necessary for selecting the appropriate long-term estimation and cointegration techniques. We conducted this evaluation using both the Phillips-Perron (PP) and Augmented Dickey–Fuller (ADF) tests, as shown in Table 1. After identifying the integration levels of the series, we used suitable econometric methods to derive our results as illustrated in Figure 1.
Table 1.
Unit root test results.
Figure 1.
This graphic shows the most critical steps used in the study as econometric procedures.
The unit-root tests (Table 1) show a I (1) process across variables. TY causality is robust to such integration orders and avoids pre-testing bias regarding the cointegration rank. By estimating an augmented VAR in levels with an extra lag (the maximum integration order), the Wald test on the first lags has standard asymptotic even if the true system is cointegrated or not. This is attractive for our small-sample annual data (1970–2022), where misspecifying the cointegration rank can distort VECM-based Granger tests. We therefore use ARDL/ECM for elasticities and adjustment speeds, and TY for directional predictability that is robust to integration and cointegration uncertainty.
For parameter estimation, our study utilized the ARDL bounds test developed by [53,54]. Bounds tests are employed to examine the cointegration depicted in Table 2. A long-run association is determined based on the calculated F-statistic value at a 5% significance level. Cointegration exists if the calculated F-statistic exceeds the upper bound.
Table 2.
Bound Test results.
Conversely, if the F-statistic is lower than the lower bound, the study variables have no long-run association. However, the decision is indeterminate if the calculated F statistic is between the upper and lower bounds. Examining the following two hypotheses is necessary to verify the long-term association.
What follows is the bounds-testing approach equation.
The change operator, represented by Δ, along with the optimal lag number (t−1) based on SC and HQ, are utilized to estimate the elements to and to . If a long-term relationship exists between the study variables, we will carefully evaluate both short-run and long-run ARDL models.
3.3. Autoregressive Distributed Lag (ARDL)
The ARDL model presented in Table 3, developed by Pesaran et al. in 1999 and 2001 [53,54], boasts several advantages over other cointegration models. As Duasa [55] noted in 2007, the ARDL cointegration model allows for different lag lengths for the dependent and independent variables, unlike models [56,57,58], which require the same lag length. Additionally, the ARDL model can be used for I (0), I (I), or a combination of both orders and is suitable for small sample sizes of data, as shown in Narayan’s [59] examination of the bounds test. The test results indicated a long-run association among the study variables, as indicated by the long-run ARDL equation as delineated in Figure 2.
Table 3.
ARDL regression (1, 1, 1, 1, 1).
Figure 2.
Illustrates the sign of the coefficient for the long-run and short-run ARDL model.
The above equation, to , indicates the long-run association among the study variables. The following equation indicates the error correction model.
The above equation showcases the short-term relationship between the variables under study, represented by to . The ECT term determines the pace at which the system corrects itself towards equilibrium following a shock. To ensure the stationarity of each variable, ADF and PP tests were conducted with constant, constant and trend, and without constant and trend. The Breusch–Godfrey LM test was used to examine serial correlation, while the functional form was examined using the Ramsey RESET test. Heteroscedasticity was examined using the Breusch–Pagan–Godfrey test.
3.4. Dynamic ARDL Simulation
In their 2018 paper, Jordan and Philips proposed a new dynamic simulated ARDL model to address limitations in investigating long-run and short-run multivariate model specifications. Researchers such as [51,60] agree that this model can estimate and plot counterfactual alterations in one regressor and their effects on the regression while holding other independent variables constant. The model can also predict both positive and negative changes in variables and their short- and long-run relationships. In contrast, the ARDL model introduced by Pesaran [53] can only estimate the long- and short-run relationships among variables. In this study, all variables are stationary and, in most cases, integrated as I(0) or I(1), making the dynamic simulated ARDL model suitable. The study found that the variables meet the criteria for the novel model, and a graphical examination of counterfactual alterations in the regressors and their effects on the regression was conducted. The results of a novel dynamic ARDL error-correction equation, as presented in earlier studies, are shown in Table 4 below. We applied 800 simulations using a multivariate normal distribution for the dynamic ARDL error-correction algorithm, the error-correction-term form of the ARDL bounds test proposed by Jordan and Phillips [60].
Table 4.
DYNARDL Simulation Outcomes.
The FMOLS, DOLS, and CCR estimators serve as robustness checks for the ARDL long-run coefficients. All three estimators correct for potential endogeneity and serial correlation inherent in cointegrated panels, whereas ARDL captures dynamic adjustment and short-run responses. The similarity of long-run elasticities across these estimators (Table 5) reinforces the reliability of the results and suggests that the relationships are not sensitive to estimation technique.
Table 5.
Robustness analysis (FMOLS, DOLS, CCR).
The robustness test centres solely on comparing the outcomes of the novel dynamic ARDL simulation model with those of the DOLS, FMOLS, and CCR estimation methodologies, as outlined in Table 5 and Figure 3. Upon comparison, there appears to be a discernible difference in the calculated coefficients, particularly regarding their signs and level of statistical significance. While the signs of most variables remain the same, their magnitudes occasionally change significantly. It is clear from these results that the primary outcomes of the dynamic ARDL simulation model are stable, sensible, and consistent with findings from the DOLS, FMOLS, and CCR estimation methods.
Figure 3.
Illustrates the sign of the coefficient of the DYNARDL model and Robustness.
3.5. Model Stability
To prevent the functional form from being mis-estimated due to the volatility of the time variables, a stability test of the estimated parameters for the selected ARDL model is necessary. Using the cumulative sum (CUSUM) and cumulative sum of squares (CUSUMSQ) tests is a common practice for assessing the stability of an ARDL-ECM model. The cumulative sum of squares of regression residuals is used to compute the statistics of the CUSUM test, while the cumulative sum of the residuals is used for the CUSUMSQ test. The computed coefficients are considered stable if the statistic lies between the confidence intervals [61]. Figure 4 indicates that CUSUM is shown in the left plot (a), and CUSUMSQ is in the right plot (b). At a 5% significance level, the CUSUM and CUSUMSQ plots lie between the red lines representing the critical lower and upper boundaries, respectively. The results of these two tests show that the ARDL model we chose is stable. The statistical stability of the chosen model and the reliability of the parameters corresponding to lncc, lnoc, lngp, and fdi relative to lnce have been confirmed.
Figure 4.
Illustrate CUSUM and CUSUM Square.
While the Toda–Yamamoto causality tests reveal directional linkages among variables, these results should be interpreted as predictive associations rather than definitive causal mechanisms. Given that TY tests are based on reduced-form VAR estimations, causality here reflects statistical precedence under the model’s assumptions, not necessarily structural or policy causality. Accordingly, we qualify our interpretation in Figure 5 and note that further structural-equation or instrumental-variable approaches could confirm these linkages. The results highlight the crucial bidirectional causal relationship between coal consumption and carbon emissions, underscoring the importance of understanding and addressing this issue. On the other hand, oil consumption has a one-way impact on coal consumption and carbon emissions, indicating that cutting back on oil use could directly lessen environmental pressures. Coal consumption and carbon emissions are also driven by foreign direct investment (FDI), suggesting that capital inflows are currently focused on energy-intensive industries. The difficulty of attaining sustainable growth is further highlighted by the apparent causal relationship between economic growth and increases in coal consumption, foreign direct investment, and carbon emissions. When combined, these findings highlight the significance of implementing cleaner energy practices, encouraging green investment, and coordinating economic growth with environmental sustainability objectives.
Figure 5.
Graphically shows the Todo–Yamamato causality test. Arrows indicate causality direction with Chi-square (χ2) values; * denotes a 1% significance level, and ** represents a 5% significance level.
Table 6 presents the results of the diagnostic tests run on the model. The Breusch–Godfrey LM test gives a p-value of 0.13, which means there is not enough evidence to say that the residuals are serially correlated. The Breusch–Pagan–Godfrey test also yields a p-value of 0.88, indicating that the model is not heteroscedastic and that the residuals have a constant variance. The Jarque–Bera test yields a p-value of 0.097, suggesting that the residuals a approximately normally distributed. A thorough examination of these results shows that they significantly affect the model’s reliability and accuracy. The results show that the model satisfies the basic classical assumptions, indicating that its estimates are reliable and valid.
Table 6.
Summary of diagnostic test results.
In Figure 6, dynamic ARDL simulations illustrate the impact of counterfactual shocks on predicted economic growth. The predicted carbon emissions from a log-log model are represented by a dot (●), with −10% and 10% shocks in economic growth. The three distinct spikes in varying colours indicate 75, 90, and 95% confidence intervals.
Figure 6.
Shocks in Economics growth.
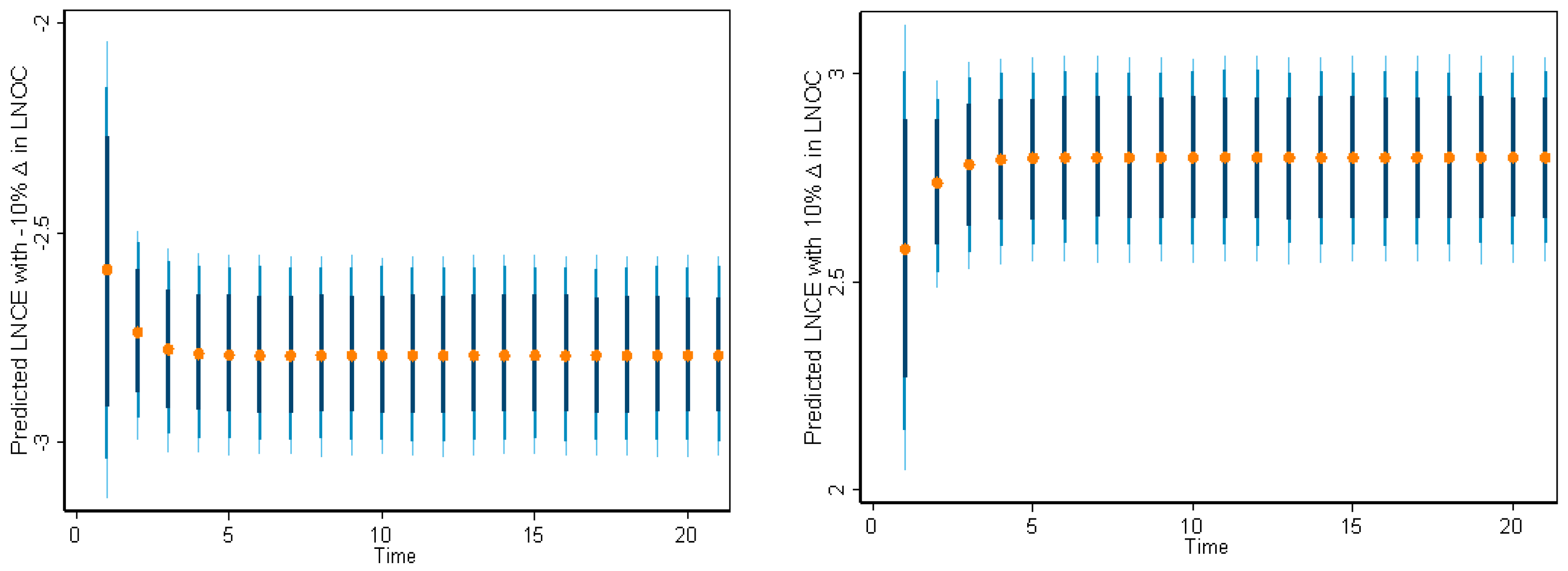
In Figure 7, dynamic ARDL simulations illustrate the impact of counterfactual shocks on predicted oil consumption. The predicted carbon emissions from a log-log model are represented by a dot (●), with −10% and 10% shocks in oil consumption. The three distinct spikes in varying colours indicate 75, 90, and 95% confidence intervals.
Figure 7.
Shocks in Oil consumption.
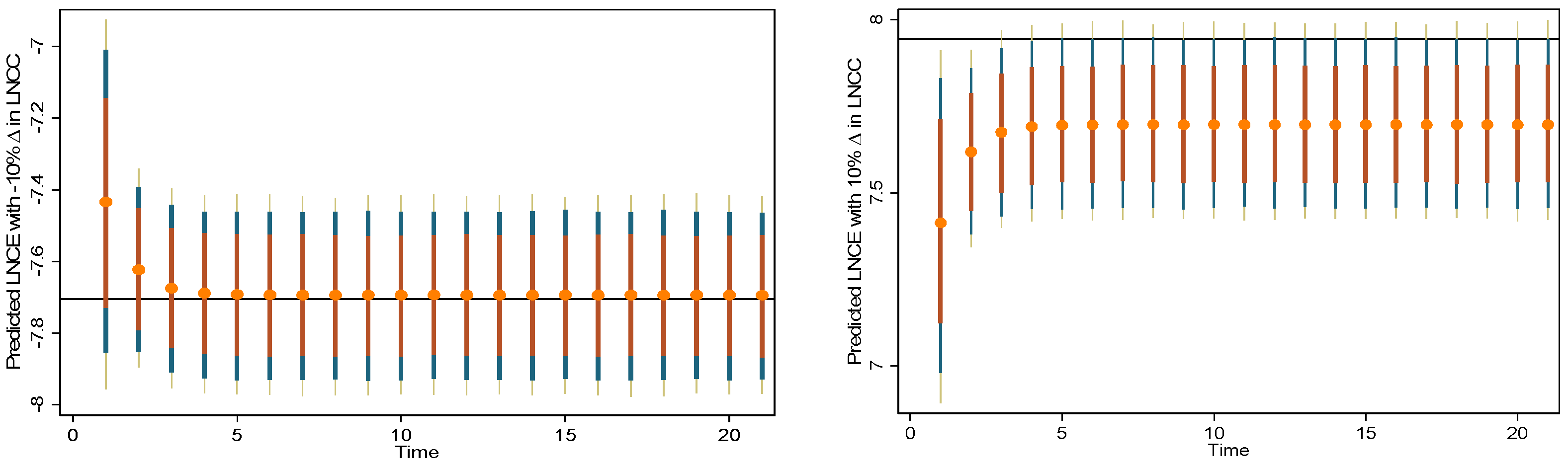
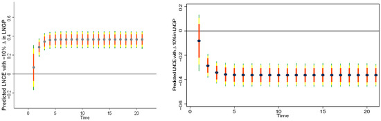
In Figure 8, dynamic ARDL simulations illustrate the impact of counterfactual shocks on predicted coal consumption. The predicted carbon emissions from a log-log model are represented by a dot (●), with −10% and 10% shocks in coal consumption. The three distinct spikes in varying colours indicate 75, 90, and 95% confidence intervals. A +10% shock to LNCC raises (ln CE) on impact, and the effect persists for ~6–8 years before converging (Figure 8), consistent with the positive long-run coefficient in Table 4.
Figure 8.
Shocks in Coal consumption.
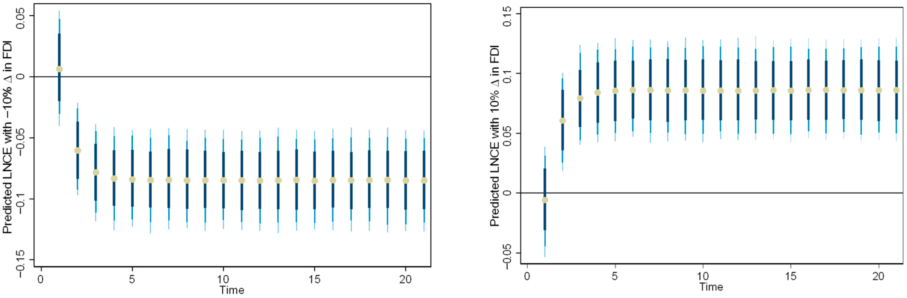
In Figure 9, dynamic ARDL simulations illustrate the impact of counterfactual shocks on the predicted level of foreign direct investment. The predicted carbon emissions from a log-log model are represented by a dot (●), with −10% and 10% shocks in foreign direct investment. The three distinct spikes in varying colours indicate 75, 90, and 95% confidence intervals.
Figure 9.
Shocks in Foreign Direct Investment.
4. Conclusions
The ARDL and Dynamic ARDL findings show that using coal and oil and getting foreign direct investment (FDI) both short- and long-term considerably raise carbon emissions. On the other hand, GDP per capita has a modest but negative coefficient. This means that growth at higher income levels can assist in reducing emissions by making technology better and more efficient, which is a good sign for possible remedies.
This result backs up Hypotheses H1 and H2 and partly backs up H3. This shows that India’s economic expansion, when combined with the right rules, is very important for reducing the relationship between energy use and damage to the environment.
Table 3 and Table 5 show a statistically significant negative long-run coefficient of LNGP on LNCE, while short-run GDP effects are weak. We view this as consistent with (i) an EKC-type decoupling—where growth correlates with improved energy efficiency, cleaner technology adoption, and sectoral reallocation toward services—and (ii) policy-driven structural change (fuel substitution, efficiency standards, and renewable deployment). The Dynamic-ARDL paths (Figure 6) reveal that a positive GDP shock does not raise emissions persistently; the median path is flat to slightly negative beyond the short run, aligning with the long-run ARDL elasticities. Nevertheless, we caution that this is an average long-run association conditional on the model and period; it does not preclude scale effects from coal and oil (both positive and significant). Our reading is therefore “conditional EKC evidence”: growth correlates with reduced emissions when accompanied by efficiency gains and a cleaner energy mix. To probe Robustness, we re-estimated long-run GDP elasticities via FMOLS/DOLS/CCR (Table 6), which remained negative and significant, supporting the ARDL result.
We find a small but significant positive long-run FDI effect on emissions (Table 3 and Table 5), alongside a negative and significant short-run coefficient. One interpretation is sequenced adoption: initial FDI inflows often bring best-available equipment and managerial practices that improve energy efficiency and reduce emissions on impact (composition/tech effects). Over time, however, scale effects dominate as production capacity expands and supply chains deepen, yielding a positive long-run association. This pattern mirrors our DYNARDL paths (Figure 9): the short-run response dips before converging upward. This pattern is consistent with a ‘qualified pollution-haven mechanism’, which suggests that while initial FDI inflows may reduce emissions, over time, the scale of production and supply chains may increase emissions.
This study has two main policy takeaways: first, although coal, oil consumption and foreign direct investment generate more carbon emissions, economic growth depletes the latter; second, the economic growth index has an effect on abating the environmental degradation and plays a significant role in lowering the environmental degradation because of the negative coefficient in both ARDL and DARDL. The government of India should create a policy based on this to limit the use of non-renewable or filthy energy sources. Policy simulation, on the other hand, indicates that coal and renewable energy could have comparable effects on the strategy for achieving environmental goals. This result offers some hope, suggesting that renewable energy could be a feasible solution to our environmental issues. The policy encouraging the nation’s economic development should also be considered. A drawback of this study, therefore, is the use of simulated shocks. A correct choice of shocks will therefore help decision-makers determine what the government should consider: a clean energy source or a decrease in non-renewable energy sources.
Our results have far-reaching consequences. First, to address environmental concerns, the monitoring and control of carbon emissions should be strengthened, and several solutions, such as accelerating economic reconstruction, reducing reliance on fossil fuels, and promoting environmentally friendly energy consumption, should be implemented to address carbon emissions and the associated problems.
Overall, the empirical results validate our hypothesis that fossil fuel consumption and FDI inflows aggravate carbon emissions. However, they also highlight the potential for change. Economic growth, when accompanied by technological progress and regulatory efficiency, can mitigate emissions in the long run. This confirms the dual dynamic of India’s development trajectory and underscores the transformative power of policy coordination in ensuring that growth leads to sustainability. This underscores the importance of policy coordination and should empower and motivate the audience to advocate for sustainable policies.
Causality analysis using the Toda–Yamamoto approach reveals a bidirectional relationship between coal consumption and carbon emissions (χ2 = 21.84 *), one-way causality from oil consumption to carbon emissions (χ2 = 15.97 **), and unidirectional causality from FDI to carbon emissions (χ2 = 26.40 *). These are interpreted as indicative rather than deterministic associations.
Diagnostic and stability tests confirm model validity: the CUSUM and CUSUMSQ statistics fall within the 5% significance band, and the Breusch–Godfrey and Jarque–Bera tests show no serial correlation or normality issues.
4.1. Policy Suggestions
Policies and initiatives grounded in a deep understanding of how different things are connected can help India build a better, more sustainable future. To make the world more sustainable, we need to work together, come up with new ideas, and think ahead to ensure future generations have a strong, environmentally friendly future. When thinking about how to reach a sustainable future, it is important to consider and plan for the effects of carbon emissions, economic growth, coal use, and oil use. If we follow these suggestions, to some extent, India will become a cleaner, greener place to live:
- Create and put into action thorough urban planning policies that put mixed-use, compact urban development first to promote public transportation and lower energy use.
- To meet the energy needs of growing urban areas, push for and give money to switch to renewable energy sources like solar, wind, and hydropower.
- Use carbon pricing methods like cap-and-trade systems or carbon levies to get cities and businesses to cut down on their emissions.
- Encourage the use of electric and hybrid public transportation and give people reasons to switch to electric vehicles. This will lower the number of hydrocarbons used and released by the transportation sector.
- Support and improve energy efficiency codes and green building standards to cut down on the amount of energy buildings and operational structures use.
- To deal with the carbon emissions that come from waste management, push for a circular economy that focuses on recycling, reducing, and using resources more efficiently.
- You and your group are the ones who can make a difference. Your actions can help a group reduce its carbon footprint, invest in renewable technologies, and adopt environmentally friendly business practices. Not only will you get tax breaks and other financial benefits, but you will also help India achieve its broader sustainability goal.
- Create public awareness campaigns and educational programs that stress the need to cut down on carbon emissions, save energy, and promote sustainable development.
Not only is it a good idea to invest in climate-resilient infrastructure and strategies, but it is also necessary. If we do not, the economy could suffer greatly, as climate-related disasters are becoming more common and more severe. It is time to address these risks and ensure that India has a stable future.
4.2. Limitations and Future Research
This research emphasizes fossil fuel variables due to the lack of consistent data on renewable and natural gas consumption throughout the study period. While the paper highlights the need for continued investigation, it also makes substantial progress in exploring the relationship between coal and oil consumption, economic growth, FDI, and carbon emissions. The findings underscore the necessity for additional studies employing diverse statistical models. The current analysis focuses solely on economic growth and energy consumption, excluding green technology and both renewable and non-renewable energy usage. Hence, future research should incorporate these aspects. Emphasizing the importance of further investigation can help depict the consultation’s interest in the pursuit of sustainable development. Future studies should also include indicators such as green technology implementation, the strictness of energy policies, and post-pandemic carbon neutrality goals to provide a more holistic understanding of India’s transition toward sustainable energy.
Author Contributions
Writing—original draft, methodology, administration, A.M.K.; critical analysis, A.M.K.; methodology, statistical analysis, A.M.K.; writing—review and editing, project administration and funding acquisition, M.A. All authors have read and agreed to the published version of the manuscript.
Funding
This work was funded by Prince Sattam bin Abdulaziz University through the project number (PSAU/2024/02/29641).
Institutional Review Board Statement
Not applicable.
Informed Consent Statement
Not applicable.
Data Availability Statement
The original contributions presented in the study are included in the article; further inquiries can be directed to the corresponding author.
Acknowledgments
The authors extend their appreciation to Prince Sattam bin Abdulaziz Uni-versity for funding this research work through the project number (PSAU/2024/02/29641 ).
Conflicts of Interest
The authors declare no conflicts of interest.
References
- Li, Y.; Ramzan, M.; Li, X.; Murshed, M.; Awosusi, A.A.; Bah, S.I.; Adebayo, T.S. Determinants of carbon emissions in Argentina: The roles of renewable energy consumption and globalization. Energy Rep. 2021, 7, 4747–4760. [Google Scholar] [CrossRef]
- Rehman, A.; Ma, H.; Ahmad, M.; Öztürk, I.; Işik, C. An Asymmetrical Analysis to Explore the Dynamic Impacts of CO2 Emission to Renewable Energy, Expenditures, Foreign Direct Investment, and Trade in Pakistan. Environ. Sci. Pollut. Res. 2021, 28, 53520–53532. [Google Scholar] [CrossRef] [PubMed]
- Zhao, J.; Sinha, A.; Inuwa, N.; Wang, Y.; Murshed, M.; Abbasi, K.R. Does structural transformation in economy impact inequality in renewable energy productivity? Implications for sustainable development. Renew. Energy 2022, 189, 853–864. [Google Scholar] [CrossRef]
- Pachiyappan, D.; Alam, M.S.; Khan, U.; Khan, A.M.; Mohammed, S.; Alagirisamy, K.; Manigandan, P. Environmental sustainability with the role of green innovation and economic growth in India with bootstrap ARDL approach. Front. Environ. Sci. 2022, 10, 975177. [Google Scholar] [CrossRef]
- IEA. 2025. Available online: https://www.iea.org/reports/global-energy-review-2025/co2-emissions (accessed on 1 February 2025).
- Malik, M.A. Economic growth, energy consumption, and environmental quality nexus in Turkey: Evidence from simultaneous equation models. Environ. Sci. Pollut. Res. 2021, 28, 41988–41999. [Google Scholar] [CrossRef]
- Khattak, S.I.; Khan, A.M.; Khan, M.K.; Chen, L.C.; Liu, J.; Pi, Z. Do regional government green innovation preferences promote industrial structure upgradation in China? Econometric assessment based on the environmental regulation threshold effect model. Front. Environ. Sci. 2022, 10, 995990. [Google Scholar] [CrossRef]
- Hunjra, A.I.; Bouri, E.; Azam, M.; Azam, R.I.; Dai, J. Economic growth and environmental sustainability in developing economies. Res. Int. Bus. Financ. 2024, 70, 102341. [Google Scholar] [CrossRef]
- Li, Y.; Lin, B. Impacts of Urbanization and Industrialization on Energy Consumption/CO2 Emissions: Does the Level of Development Matter? Renew. Sustain. Energy Rev. 2015, 52, 1107–1122. [Google Scholar] [CrossRef]
- Ministry of Statistics and Programme Implementation. Energy Statistics 2020. Government of India. 2020. Available online: https://www.mospi.gov.in/sites/default/files/publication_reports/ES_2020_240420m.pdf (accessed on 5 October 2025).
- International Energy Agency. India Energy Outlook 2021; IEA Publications: Paris, France, 2021; Available online: https://www.iea.org/reports/india-energy-outlook-2021 (accessed on 5 October 2025).
- Khan, U. Effects of Oil Consumption, Urbanization, Economic Growth on Greenhouse Gas Emissions: India via Quantile Approach. Int. J. Energy Econ. Policy 2013, 3, 171–176. [Google Scholar] [CrossRef]
- Shahbaz, M.; Solarin, S.A.; Mahmood, H.; Arouri, M. Does Financial Development Reduce CO2 Emissions in Malaysian Economy? A Time Series Analysis. Econ. Model. 2013, 47, 145–152. [Google Scholar] [CrossRef]
- Shahbaz, M.; Nasir, M.A.; Roubaud, D. Environmental Degradation in France: The Effects of FDI, Financial Development, and Energy Innovations. Energy Econ. 2018, 74, 843–857. [Google Scholar] [CrossRef]
- Murshed, M.; Apergis, N.; Alam, M.S.; Khan, U.; Mahmud, S. The impacts of renewable energy, financial inclusivity, globalization, economic growth, and urbanization on carbon productivity: Evidence from net moderation and mediation effects of energy efficiency gains. Renew. Energy 2022, 196, 824–838. [Google Scholar] [CrossRef]
- Cai, C.; Qiu, R.; Tu, Y. Pulling Off Stable Economic System Adhering Carbon Emissions, Urban Development and Sustainable Development Values. Front. Public Health 2022, 10, 814656. [Google Scholar] [CrossRef] [PubMed]
- Bhattacharya, M.; Paramati, S.R.; Ozturk, I.; Bhattacharya, S. The Effect of Renewable Energy Consumption on Economic Growth: Evidence from Top 38 Countries. Appl. Energy 2016, 162, 733–741. [Google Scholar] [CrossRef]
- Rafindadi, A.A. Does the Need for Economic Growth Influence Energy Consumption and CO2 Emissions in Nigeria? Evidence from the Innovation Accounting Test. Renew. Sustain. Energy Rev. 2016, 62, 1209–1225. [Google Scholar] [CrossRef]
- Sarkodie, S.A. The invisible hand and EKC hypothesis: What are the drivers of environmental degradation and pollution in Africa? Environ. Sci. Pollut. Res. 2018, 25, 21993–22022. [Google Scholar] [CrossRef]
- Sarkodie, S.A.; Strezov, V. Assessment of contribution of Australia’s energy production to CO2 emissions and environmental degradation using statistical dynamic approach. Sci. Total Environ. 2018, 639, 888–899. [Google Scholar] [CrossRef]
- Rafindadi, A.A.; Usman, O. Globalization, Energy Use, and Environmental Degradation in South Africa: Startling Empirical Evidence from the Maki Cointegration Test. J. Environ. Manag. 2019, 244, 265–275. [Google Scholar] [CrossRef]
- IPCC. 2013: Index. In Climate Change 2013: The Physical Science Basis; Contribution of Working Group I to the Fifth. Assessment Report of the Intergovernmental Panel on Climate Change; Stocker, T.F., Qin, D., Plattner, G.-K., Tignor, M., Allen, S.K., Boschung, J., Nauels, A., Xia, Y., Bex, V., Midgley, P.M., Eds.; Cambridge University Press: Cambridge, UK; New York, NY, USA, 2013. [Google Scholar]
- Enerdata. Global Energy Statistical Yearbook; Enerdata: Grenoble, France, 2019; Available online: https://yearbook.enerdata.net (accessed on 12 March 2025).
- Katircioglu, S. Investigating the Role of Oil Prices in the Conventional EKC Model: Evidence from Turkey. Asian Econ. Financ. Rev. 2017, 7, 498–508. [Google Scholar] [CrossRef]
- Hanif, I.; Raza, S.M.F.; Gago-de-Santos, P.; Abbas, Q. Fossil fuels, foreign direct investment, and economic growth have triggered CO2 emissions in emerging Asian economies: Some empirical evidence. Energy 2019, 171, 493–501. [Google Scholar] [CrossRef]
- Saboori, B.; Rasoulinezhad, E.; Sung, J. The nexus of oil consumption, CO2 emissions and economic growth in China, Japan and South Korea. Environ. Sci. Pollut. Res. 2017, 24, 7436–7455. [Google Scholar] [CrossRef]
- Koçak, E.; Şarkgüne, N.S. The Impact of Foreign Direct Investment on CO2 Emissions in Turkey: New Evidence from Cointegration and Bootstrap Causality Analysis. Environ. Sci. Pollut. Res. 2018, 25, 790–804. [Google Scholar] [CrossRef] [PubMed]
- Solarin, S.A.; Al-Mulali, U. Influence of Foreign Direct Investment on Indicators of Environmental Degradation. Environ. Sci. Pollut. Res. 2018, 25, 24845–24859. [Google Scholar] [CrossRef] [PubMed]
- Baloch, M.A.; Zhang, J.; Iqbal, K.; Iqbal, Z. The Effect of Financial Development on Ecological Footprint in BRI Countries: Evidence from Panel Data Estimation. Environ. Sci. Pollut. Res. 2019, 26, 6199–6208. [Google Scholar] [CrossRef]
- Hou, F.; Su, H.; Li, Y.; Qian, W.; Xiao, J. The impact of foreign direct investment on China’s carbon emissions. Sustainability 2021, 13, 11911. [Google Scholar] [CrossRef]
- Jijian, Z.; Twum, A.K.; Agyemang, A.O.; Edziah, B.K.; Ayamba, E.C. Empirical study on the impact of international trade and foreign direct investment on carbon emission for belt and road countries. Energy Rep. 2021, 7, 7591–7600. [Google Scholar] [CrossRef]
- Rahaman, M.A.; Hossain, M.A.; Chen, S. The impact of foreign direct investment, tourism, electricity consumption, and economic development on CO2 emissions in Bangladesh. Environ. Sci. Pollut. Res. Int. 2022, 29, 37344–37358. [Google Scholar] [CrossRef] [PubMed]
- Islam, M.S.; Hossain, M.E.; Khan, M.A.; Rana, M.J.; Ema, N.S.; Bekun, F.V. Heading towards sustainable environment: Exploring the dynamic linkage among selected macroeconomic variables and ecological footprint using a novel dynamic ARDL simulations approach. Environ. Sci. Pollut. Res. Int. 2022, 29, 22260–22279. [Google Scholar] [CrossRef]
- Bakhsh, K.; Rose, S.; Ali, M.F.; Ahmad, N.; Shahbaz, M. Economic growth, CO2 emissions, renewable waste and FDI relation in Pakistan: New evidences from 3SLS. J. Environ. Manag. 2017, 196, 627–632. [Google Scholar] [CrossRef]
- Salman, M.; Long, X.; Dauda, L.; Mensah, C.N.; Muhammad, S. Different impacts of export and import on carbon emissions across 7 ASEAN countries: A panel quantile regression approach. Sci. Total Environ. 2019, 686, 1019–1029. [Google Scholar] [CrossRef]
- Paramati, S.R.; Ummalla, M.; Apergis, N. The effect of foreign direct investment and stock market growth on clean energy use across a panel of emerging market economies. Energy Econ. 2016, 56, 29–41. [Google Scholar] [CrossRef]
- Ahmad, M.; Khattak, S.I.; Khan, A.; Rahman, Z.U. Innovation, foreign direct investment (FDI), and the energy–pollution–growth nexus in OECD region: A simultaneous equation modeling approach. Environ. Ecol. Stat. 2020, 27, 203–232. [Google Scholar] [CrossRef]
- Ashraf, S.; Jithin, P.; Umar, Z. The asymmetric relationship between foreign direct investment, oil prices and carbon emissions: Evidence from Gulf Cooperative Council economies. Cogent Econ. Financ. 2022, 10, 2080316. [Google Scholar] [CrossRef]
- Udemba, E.N. Mediation of foreign direct investment and agriculture towards ecological footprint: A shift from single perspective to a more inclusive perspective for India. Environ. Sci. Pollut. Res. 2020, 27, 26817–26834. [Google Scholar] [CrossRef]
- Zmami, M.; Ben-Salha, O. An empirical analysis of the determinants of CO2 emissions in GCC countries. Int. J. Sustain. Dev. World Ecol. 2020, 27, 469–480. [Google Scholar] [CrossRef]
- Wang, Q.; Li, Y.; Li, R. Rethinking the environmental Kuznets curve hypothesis across 214 countries: The impacts of 12 economic, institutional, technological, resource, and social factors. Palgrave Commun. 2024, 11, 292. [Google Scholar] [CrossRef]
- Wang, Q.; Wang, X.; Li, R.; Jiang, X. Reinvestigating the environmental Kuznets curve (EKC) of carbon emissions and ecological footprint in 147 countries: A matter of trade protectionism. Humanit. Soc. Sci. 2014, 11, 160. [Google Scholar] [CrossRef]
- Voumik, L.C.; Rahman, M.; Akter, S. Investigating the EKC hypothesis with renewable energy, nuclear energy, and R&D for EU: Fresh panel evidence. Heliyon 2022, 8, e12447. [Google Scholar] [CrossRef] [PubMed]
- Wang, Q.; Yang, T.; Li, R. Does income inequality reshape the environmental Kuznets curve (EKC) hypothesis? A nonlinear panel data analysis. Environ. Res. 2023, 216 Pt 2, 114575. [Google Scholar] [CrossRef]
- Lyu, H.; Ma, C.; Arash, F. Government innovation subsidies, green technology innovation and carbon intensity of industrial firms. J. Environ. Manag. 2024, 369, 122274. [Google Scholar] [CrossRef]
- Wu, J.; Yu, Z.; Wang, B.; Ma, C. Environmental regulations and carbon intensity: Assessing the impact of command-and-control, market-incentive, and public-participation approaches. Carbon Manag. 2015, 16, 2499091. [Google Scholar] [CrossRef]
- Polat, B.; Çil, N. Investigating the environmental Kuznets curve modified with HDI: Evidence from a panel of eco-innovative countries. Environ. Dev. Sustain. 2025, 27, 16655–16682. [Google Scholar] [CrossRef]
- Muratoğlu, Y.; Songur, M.; Ugurlu, E.; Sanli, D. Testing the environmental Kuznets Curve hypothesis at the sector level: Evidence from PNARDL for OECD countries. Front. Energy Res. 2024, 12, 1452906. [Google Scholar] [CrossRef]
- World Bank. World Development Indicators 2022; World Bank: Washington, DC, USA, 2022; Available online: https://databank.worldbank.org/source/world-development-indicators (accessed on 21 March 2025).
- Khan, I.; Hou, F.; Le, H.P. The Impact of Natural Resources, Energy Consumption, and Population Growth on Environmental Quality: Fresh Evidence from the United States of America. Sci. Total Environ. 2021, 754, 142222. [Google Scholar] [CrossRef]
- Sarkodie, S.A.; Strezov, V.; Weldekidan, H.; Asamoah, E.F.; Owusu, P.A.; Doyi, I.N.Y. Environmental Sustainability Assessment Using Dynamic Autoregressive-Distributed Lag Simulations—Nexus between Greenhouse Gas Emissions, Biomass Energy, Food and Economic Growth. Sci. Total Environ. 2019, 668, 318–332. [Google Scholar] [CrossRef] [PubMed]
- Shahbaz, M.; Shahzad, S.J.H.; Mahalik, M.K. Is Globalization Detrimental to CO2 Emissions in Japan? New Threshold Analysis. Environ. Model. Assess. 2018, 23, 557–568. [Google Scholar] [CrossRef]
- Pesaran, M.H.; Shin, Y.; Smith, R.J. Bounds Testing Approaches to the Analysis of Level Relationships. J. Appl. Econ. 2001, 16, 289–326. Available online: https://www.jstor.org/stable/2678547 (accessed on 5 October 2025). [CrossRef]
- Pesaran, M.H.; Shin, Y.; Smith, R.P. Pooled Mean Group Estimation of Dynamic Heterogeneous Panels. J. Am. Stat. Assoc. 1999, 94, 621–634. [Google Scholar] [CrossRef]
- Duasa, J. Determinants of Malaysian Trade Balance: An ARDL Bound Testing Approach. Glob. Econ. Rev. 2007, 36, 89–102. [Google Scholar] [CrossRef]
- Granger, C.W.J. Some Properties of Time Series Data and Their Use in Econometric Model Specification. J. Econom. 1981, 16, 121–130. [Google Scholar] [CrossRef]
- Robert, F.E.; Granger, C.W.J. Cointegration and Error Correction: Representation, Estimation, and Testing. Econometrica 1987, 55, 251–276. [Google Scholar] [CrossRef]
- Johansen, S.; Juselius, K. Maximum Likelihood Estimation and Inference on Cointegration—With Applications to the Demand for Money. Oxf. Bull. Econ. Stat. 1990, 52, 169–210. [Google Scholar] [CrossRef]
- Narayan, P.K. Reformulating Critical Values for the Bounds F-Statistics Approach to Cointegration: An Application to the Tourism Demand Model for Fiji; Department of Economics Discussion Papers 2004, No. 02/04; Monash University: Clayton, Australia, 2004. [Google Scholar]
- Jordan, S.; Philips, A.Q. Cointegration Testing and Dynamic Simulations of Autoregressive Distributed Lag Models. Stata J. 2018, 18, 902–923. [Google Scholar] [CrossRef]
- Brown, R.L.; Durbin, J.; Evans, J.M. Techniques for Testing the Constancy of Regression Relations over Time. J. R. Stat. Soc. Ser. B Methodol. 1975, 37, 149–163. [Google Scholar] [CrossRef]
Disclaimer/Publisher’s Note: The statements, opinions and data contained in all publications are solely those of the individual author(s) and contributor(s) and not of MDPI and/or the editor(s). MDPI and/or the editor(s) disclaim responsibility for any injury to people or property resulting from any ideas, methods, instructions or products referred to in the content. |
© 2025 by the authors. Licensee MDPI, Basel, Switzerland. This article is an open access article distributed under the terms and conditions of the Creative Commons Attribution (CC BY) license (https://creativecommons.org/licenses/by/4.0/).








