Next Article in Journal
Digitalization and Blockchain Integration in Agri-Food Supply Chains: Towards a Resilient, Circular, and Sustainable Future
Previous Article in Journal
Carbon Footprint of Global Construction Industries: A Cross-Country Analysis of Emissions, Drivers, and the Construction Carbon Sustainability Index (1990–2023)
Previous Article in Special Issue
Phosphorus Control and Recovery in Anthropogenic Wetlands Using Their Green Waste—Validation of an Adsorbent Mixture Model
 
 
Font Type:
Arial Georgia Verdana
Font Size:
Aa Aa Aa
Line Spacing:
Column Width:
Background:
Article

Modeling and Optimization of Argon-Activated Electrohydraulic Plasma Discharge Process for p-Nitrophenol Remediation

by
Anilkumar Krosuri
1,
Yunfei Zhou
2,3,
Muhammad Aamir Bashir
4,
Robinson Junior Ndeddy Aka
4 and
Sarah Wu
4,*
1
Environmental Science Program, University of Idaho, 875 Perimeter Drive MS 1138, Moscow, ID 83844-1138, USA
2
Department of Mathematics and Statistical Science, University of Idaho, 875 Perimeter Drive MS 3025, Moscow, ID 83844-3025, USA
3
Institutional Research and Planning, Western Illinois University, 1 University Circle, Macomb, IL 61455-1390, USA
4
Department of Chemical and Biological Engineering, University of Idaho, 875 Perimeter Drive MS 0904, Moscow, ID 83844-0904, USA
*
Author to whom correspondence should be addressed.
Sustainability 2025, 17(20), 9275; https://doi.org/10.3390/su17209275
Submission received: 8 September 2025 / Revised: 9 October 2025 / Accepted: 17 October 2025 / Published: 19 October 2025

Abstract

This study presents a statistical modelling and optimization of an argon-activated electrohydraulic plasma discharge (EHPD) process for the degradation and mineralization of p-nitrophenol (p-NP) in water. The EHPD reactor design incorporated dual dielectric plates to initiate plasma discharge through a central orifice. A fractional factorial design (FFD) was first employed to screen four operating variables, including argon flow rate, pH, applied power, and persulfate dosage, on the p-NP degradation efficiency and energy yield, revealing argon flow rate and applied power as two identified, significant process factors. These were then further optimized using a central composite design (CCD) and response surface methodology (RSM), with the optimal operating condition found to be 2.73 L/min and 128.6 W for argon flow rate and applied power, respectively. Under the optimal operating conditions, 10 min treatment of 50 mg/L p-NP achieved a degradation efficiency of 94.2% and 75.8% total organic carbon (TOC) removal, along with a first-order reaction rate constant of 0.296 min−1 and an energy efficiency of 0.22 g/kWh. The reaction mechanism for p-NP degradation by EHPD was proposed and confirmed with optical emission spectroscopy and radical scavengers. The optimized EHPD process proved both effective and energy-efficient in treating p-nitrophenol, highlighting its potential as a scalable and sustainable plasma-based technology for eliminating persistent organic pollutants and promoting greener water treatment practices.

1. Introduction

p-Nitrophenol (p-NP) is a widely utilized chemical in the production of pesticides, explosives, dyes, and herbicides [1,2,3,4,5]. Due to its complex lipophilic structure, p-NP is prone to bioaccumulation. When released into wastewater treatment plants, conventional biological treatment processes are often ineffective in degrading this compound efficiently. Moreover, toxicological studies on p-NP have demonstrated its potential mutagenicity and toxicity; as a result, it is classified as a top priority pollutant by the USEPA [6,7,8]. Given the current limitations in treatment methods, there is a clear need for the development of new and advanced technologies to enhance the removal of p-NP from wastewater.
Advanced oxidation processes (AOPs), such as photocatalysis, ozonation, Fenton and photo-Fenton, have been widely studied for the removal of persistent organic pollutants. While these techniques can achieve significant degradation, they often require continuous chemical dosing, pH adjustment, or external energy inputs such as UV light, which limit their large-scale application and sustainability. In contrast, electrical plasma discharge is one of the most efficient technologies because of its inimitable characteristics of producing reactive oxygen species (ROS) and reactive nitrogen species (RNS) without the need of any chemicals or external light source for organic pollutant degradation [9]. When the electrical plasma discharge happens in liquid–gas interaction, both physical and chemical effects, such as ultraviolet (UV) radiation, shock waves and cavitation, and the formation of reactive radicals, ions, and charged particles, all come into play in the degradation of organic pollutants [10].
Despite these advantages, the application of plasma-based processes for p-NP treatment remains limited and fragmented. K. Shang et al. [11] reported the degradation of p-NP by dielectric barrier discharge (DBD) plasma in the presence of persulfate (PS) and Fe2+. Results showed that PS could be synergistically activated by DBD plasma and a small quantity of Fe2+. The degradation efficiency of p-NP at an initial concentration of 5 mg/L reached 34.8% by 50 min plasma treatment alone at 17 kV, while with the addition of 36 μM of Fe2+ and 2.5 mM of PS in p-NP solution, the degradation efficiency was increased to 81.1%. The energy yield was 99.4 mg/kWh for plasma alone and 229.5 mg/kWh with plasma/PS/Fe2+. The radical scavenging experiment showed that OH and SO4 radicals contributed to degradation of p-NP. Another study reported by C. Zhao et al. [5] showed a microwave atmospheric pressure plasma jet to degrade p-NP in wastewater. Completed degradation of p-NP at an initial concentration of 100 mg/L was achieved in 12 min of treatment. TOC removal efficiency was 57.6%, and the energy yield was 0.12 g/kWh. These cases show significant differences in degradation efficiency, mineralization, and energy yield, as well as variability and limitations of plasma-based processes, emphasizing the need for systematic optimization to enhance performance and sustainability.
In this study, argon (Ar)-activated electrohydraulic plasma discharge (EHPD) was used for degradation of p-NP in water. The influence of operation parameters, such as pH, gas flow rate, applied power, and persulfate concentration, on p-NP degradation were investigated. Statistical experimental designs, such as fractional factorial design and response surface methodology (RSM), were employed to determine the optimal running conditions. First, a 24−1 factorial design was used to evaluate the relative significance of various factors that influenced the plasma degradation of p-NP [12,13]. Then, a central composite design (CCD) with response surface methodology (RSM) was employed to further evaluate the significant factors for modeling and optimization in terms of p-NP removal efficiency and energy yield. With CCD design, various variables and their interactions were tested simultaneously with a minimum number of experimental trials needed to fit a quadratic surface and to determine optimal levels of process variables [14,15].

2. Materials and Methods

p-Nitrophenol purchased from TCI Chemicals Pvt. Ltd. (Tokyo, Japan) was used as the target pollutant. Other chemicals, such as sodium sulfate, ascorbic acid, 2-propanol (C3H8O), and sodium nitrate (NaNO3), purchased from Fisher Scientific (Eugene, OR) were used for conductivity adjustment and radical scavenging.

2.1. Experimental Setup and Improved Reactor Design

The setup of the continuous-flow electrohydraulic plasma discharge (EHPD) process was similar to that of our previous work on methylene blue remediation [16]. The body of the reactor was made of polycarbonate material. To produce plasma discharge in the solution continuously passing the reactor, stainless-steel bushings served electrodes that were connected to high voltage and ground to make a full electrical circuit, separated by dielectric plates with a small orifice in the center (0.8 mm) as shown in Figure 1. Improved design of the reactor was achieved via the addition of a second dielectric plate for better plasma discharge and electric safety. In comparison to the most-studied designs, i.e., pin–pin and pin–plate electrohydraulic discharge reactors, this design achieved a unique ability to establish a complete discharge through the conducting channel of the orifice rather than between the electrodes. The orifice in the middle of the dielectric plate allowed electrons to concentrate near the opening, and the discharge current could be kept in the plasma phase as mobile electrons, allowing for better mass transfer and breakdown of substrate molecules in contact with the plasma discharge. This continuous-flow design could also significantly improve the throughput capacity of the reactor, thus potentially reducing reactor size and operating costs at the commercial level [17,18].
In this study, a high-voltage transformer (output: 12 kV, Plasma Technics, Inc., Racine, WI, USA) connected to an alternating current (AC) power supply was used to power the EHPD reactor. A Variac variable voltage regulator (model#: TDGC2-2KM, ISE Inc., Cleveland, OH) was used to vary the voltage and power applied. The applied voltage between the top electrode and the ground electrode was measured using a high-voltage probe (Tektronix P6015A) connected to an oscilloscope (Tektronix TBS1052B, Beaverton, OR, USA). The amount of power applied to the entire system was determined using a wattmeter. A total volume of 100 mL of p-NP solution at an initial concentration 50 mg/L was used for each experimental run. Sodium sulfate was used to adjust the initial conductivity (65 µS/cm) of the solution. The prepared p-Nitrophenol solution was introduced to a three-neck flask connected to a condenser tube and pumped through the EHPD reactor through a peristaltic pump for treatment. The treated solution was then directed back to the flask to accomplish a continuous mixing and circulating operation. A peristaltic pump (Masterflex L/S 7523-60, Vernon Hills, IL, USA) was controlling the flow rate of the prepared p-NP solutions to be continuously passed through the reactor for treatment. Argon was used for the initiation of plasma discharge, and the power was turned on once the solution filled the discharge region. Each treatment lasted 10 min, after which the reactor system was flushed twice with distilled water to clean the system. The initial and final pH and conductivity of p-NP was measured using conductivity and pH probes with a Hach HQ 440D Multi-Meter.

2.2. Experimental Design

Minitab 20.2.0 version (Minitab Inc., State college, PA, USA) and Design Expert 13 (StatEase, Inc., St. Paul, MN, USA) were both used in this study for factor screening and optimization. The experimental design started with screening the main effects of the process variables by performing a fractional factorial design (FFD) with 2n−k experiments, where n was the number of factors to study at low and high levels (−1, +1), and k was the number of steps to minimize the experimental design [19]. The purpose of the screening experiments was to identify a subset of critical factors of significance, which could be further examined in the second experimental design, i.e., the central composite design (CCD) coupled with response surface methodology (RSM), to determine the optimal values of these factors [14,15].
Four process control variables were selected for FFD (pH, argon flow rate, power applied, and persulfate; levels shown in Table 1), and their effects on p-NP degradation efficiency and energy yield were set as dependent variables. Once the significant independent variables were determined, a CCD/RSM was used to determine the optimal conditions of EHPD with respect to the selected, significant independent variables to establish a quadratic response surface for each dependent variable.

2.3. Analytical Methods

Degradation of p-NP by the EHPD treatment was monitored at 1 min intervals up to 10 min using a UV–Vis spectrophotometer (Synergy HT, BioTek Instruments Inc., Winooski, USA) at 317 nm. Each experiment was repeated twice and was carried out at atmospheric pressure and ambient temperature. The degradation efficiency of p-NP was measured as follows:
n (%) = (C0C) × 100/C0
In the equation, C0 = initial concentration, and C = final concentration.
The energy yield for p-NP degradation was calculated using Equation (3). The yield value was expressed as the amount of pollutant converted divided by the energy input required at n % conversion of the pollutant [20]:
Y(g/kWh) = (C0 × V0 × n % × 1/100)/Pt
where C0 was the initial concentration of the pollutant in mg/L, V0 was volume of treated solution in L, n % was degradation efficiency at time t, P was average power dissipated in the discharge (kW), and t was the treatment time in hour.
Total organic carbon was measured using a TOC kit and analyzed using a Hach DR3900 laboratory spectrophotometer.
TOC (%) = (TOC0TOCt) × 100/TOC0
where TOC0 = TOC of initial solution, and TOCt = TOC of the solution at time t.

2.4. Radical Scavenging Experiments

To determine the role of active species produced during the EHPD process in p-NP degradation, ascorbic acid (3 mmol/L), sodium nitrate (3 mmol/L), and 10 mL diluted 2-propanol (100 mg/L) in distilled water were added to the initial p-NP solution of 50 mg/L to inhibit superoxide radical (O2), aqueous electrons (eaq), and hydroxyl radical (OH), respectively [16]. To compare with the scavenger-free experiment for p-NP degradation, the optimum conditions from the CCD were used for all radical scavenging tests.

3. Results and Discussion

3.1. Operating Factor Screening by Fractional Factorial Design and Analysis

In this study, a 24−1 FFD was used to identify key variables affecting the degradation of p-NP using EHPD. Experiments were conducted at different points within experimental space to systemically assess the impact of four process variables, i.e., pH, argon gas flow rate, applied power, and persulfate concentration. A two-level, half-factorial design with four factors required a total of eight experimental runs, with a duplicate of corner points included for validation as shown in Table S1, with responses being the degradation efficiency and energy yield. The significance of each analyzed input variable was shown in a Pareto chart (Figure 2a,b), and the analysis of variance (ANOVA) results (Table S2) provide clear insights into the key factors influencing the degradation of p-NP using EHPD. The ANOVA results showed that the argon flow rate and applied power were the most significant factors affecting both degradation efficiency and energy yield, as indicated by their extremely low p-values (p < 0.0001) and high F-values. Persulfate concentration also exhibits statistical significance, particularly for degradation efficiency (p = 0.0024), though its impact is less stated than that of argon flow rate and power. In addition, the interaction between argon flow rate and power (AC) is highly significant (p < 0.0001), emphasizing the necessity of optimizing these two parameters together to maximize performance. In contrast, pH has no significant effect on either response (p > 0.05), indicating that within the tested range, pH variations do not substantially influence degradation efficiency or energy yield. A study reported by A. Khourshidi [21] found that ozone recirculation in the DBD reactor increased the degradation efficiency of p-nitrophenol, which was attributed to an increased release of reactive oxygen species in the DBD–O3 system, whereas the process performance was reported to have minimal effect on the DBD-O3 system by variations in pH levels, initial pollutant concentrations, or the presence of co-existing substances in comparison with DBD system.
The Pareto charts highlight these findings, illustrating that argon flow rate and power were the most significant standardized effects on both responses. Furthermore, the predicted vs. actual plots illustrated in Figure S1a,b, demonstrated strong model reliability, as the data points align closely with the diagonal reference line, confirming the predictive accuracy of the statistical model. Figure S2a,b illustrated the four main effects on degradation efficiency and energy yield, which clearly showed that for both responses, the larger the vertical line, the greater the difference was when changing from level −1 to +1. It was observed that the effects of argon and power were significantly higher than the other factors. Therefore, argon and power were selected as the important main effects for p-NP degradation using EHPD for optimization.

3.2. Optimization of p-NP Degradation by EHPD

According to the FFD, argon and power were found to be the most significant factors. Therefore, argon and power were chosen as control variables for EHPD to be optimized using CCD with the aid of Design Expert 11 and Minitab version 20.2.0. In CCD, a second-order quadratic model, Equation (4), was developed by varying each independent variable at five levels (−α, −1, 0, +1 and +α) to fit the responses (a total of thirteen experiments were needed). Table S3 showed the combinations of controlling variables that were examined, as well as the results achieved. Different levels of argon flow rate and applied power were used in the experimental runs as determined by the CCD model.
Y = β 0 + β 1 x 1 + β 2 x 2 + β 12 x 1 x 2 + β 11 x 1 2 + β 22 x 2 2
where Y: the predicted response, x1 and x2: independent variables ,   β 0 : the offset term ,   β 1 and β 2 : linear coefficients, β 11 and β 22 : the squared coefficients, and β 12 : the interaction coefficient.

3.3. Degradation Efficiency and Energy Yield Model

Response surface models were established based on the responses (degradation efficiency and energy yield) obtained for the designated sets of experiments in Table S3. The goodness of fit according to ANOVA analysis was used to validate the models, and the results are shown in Table 2. The degradation efficiency model (Equation (5)) had an overall p-value of 0.0002, and the energy yield model (Equation (6)) had an overall p-value of less than 0.0001, suggesting that both quadratic models were statistically significant. The F values of both models were 28.75 and 792.25 for degradation efficiency and energy yield, respectively, which also implied that the models were significant. Also, argon, power, and argon*power were found to be significant model terms in the degradation efficiency model. For the energy yield model, argon, power, argon*power, and power2 were significant.
Moreover, the lack of fit values for both models was insignificant (0.1541 and 0.0606, respectively), providing evidence that both models were highly significant. As shown in Figure S4a,b, the observed degradation efficiency and energy yield values ranged from 83.06 to 96.61% and 0.08 to 0.212 g/kWh, respectively, and were in good agreement with the predicted values.
Degradation efficiency (%)=54.85 + 14.01 Argon + 0.1449 Power
−0.900 Argon × Argon- 0.000098 Power × Power
−0.0304 Argon × Power
(5)
Energy yield (g/kWh)=0.33639 + 0.02638 Argon − 0.001578 Power
−0.00152 Argon × Argon + 0.000002 Power × Power
−0.000067 Argon × Power
(6)
The goodness of fit could also be evaluated using R2 value. In both responses, the R2 values (0.9536 and 0.9982) were in reasonable agreement with the adjusted R2 values (0.9204 and 0.9970). Also, Adeq precision was used to verify the model’s validity by measuring the signal-to-noise (S/N) ratio (Adeq precision should be greater than 4) [22,23]. In this study, the Adeq precision values were 17.0 and 87.5 for degradation efficiency and energy yield responses, indicating an adequate signal. In addition to all these parameters, the normality plots were used to provide further evidence and validation for the regression models. As shown in Figure S3a,b, the normality plot of externally studentized residuals denoted that the majority of color points representing degradation efficiency and energy yield were in a narrow range on a normal probability line, while the minorly significant points deviated from the normal line. Both models confirmed the normal distribution of the plots. The regression models showed strong statistical reliability as indicated by high R2 values, adequate Adeq precision, and normal residuals. They accurately predict degradation efficiency and energy yield under controlled lab conditions. However, real wastewater systems are more complex, with multiple variables potentially affecting outcomes and limiting model accuracy at larger scales. Thus, further validation in pilot-scale and real wastewater scenarios is needed to confirm broader applicability.

3.4. Graphical Interpretation and Optimization of Operating Parameters

Figure 3a,b represent the contour and surface plots to view the effects of argon and power and their interactions on degradation efficiency and energy yield. These figures were used to define the optimal value of each variable towards maximizing degradation efficiency and energy yield of the EHPD process. As shown in Figure 3a, the degradation efficiency was enhanced with an increase in either argon flow rate or power. The impact of argon flow rate was more prominent than that of power. It was also noticed that at high power (331.1 W) and mid-range argon flow rate (1.6 L/min), the degradation efficiency reached maximum (96.61%) within 10 min of treatment. Past research showed that argon flow rate was an important parameter that could influence species concentrations when the plasma was initiated [24,25]. A high argon flow rate could also produce larger bubbles in the solution. Thus, the plasma composition, as well as the concentrations of numerous species produced during plasma discharge, was all directly related to argon flow rate. As shown in Figure 3b, to achieve maximal energy yield, a combination of low power and high argon flow rate was required. When a lower power supply was used, energy loss due to heat dissipation could be minimized, thus improving energy yield.
Optimization of influencing factors is required to determine the optimal values of the operating variables to achieve the best p-NP degradation efficiency and energy yield. The response surface optimization was carried out using the Minitab software 20.2.0 version. maximal percentage degradation and energy yield were 92.73% and 0.212 g/kWh, respectively, under the optimal operating conditions, i.e., argon flow rate of 2.73 L/min and power of 128.6 W (Figure 3c). To validate the models for satisfactory prediction of the maximal degradation and energy yield, an additional experiment was conducted under the optimized conditions, which produced the maximal degradation efficiency and energy yield of 94.23% and 0.22 g/kWh, respectively. These results showed that RSM was a reliable technique to establish an accurate model for obtaining maximal degradation and energy yield in this investigation. The optimization process showed the importance of balancing degradation efficiency with energy yield. Increased power input resulted in faster p-NP degradation by generating more reactive species but also led to reduced energy efficiency due to heat dissipation and greater energy losses. In contrast, lower power improved energy yield yet limited degradation efficiency. The determined optimal operating window incorporated both satisfactory degradation performance and energy efficiency, supporting the sustainable use of the EHPD process.

4. Mechanistic Study of p-NP Degradation by EHPD

The emission spectra of the plasma discharge were recorded to better understand the nature of active species that contributed to degradation of p-nitrophenol. Figure 4a presented the optical emission spectra of the argon-activated EHPD for p-NP (50 mg/L) degradation measured under optimal operating conditions. During plasma treatment, argon atomic (Ar I) system lines ranging from 690 to 965 nm were detected in the OES spectra, corresponding to radiative de-excitations from the 4p and 4p′ to 4s energy levels [5,24]. The emission line observed at 309.6 nm was assigned to •OH radical species, specifically related to the A2Σ+ (v″ = 0)–X2Π(v″ = 0) transition [26]. Additionally, atomic oxygen species (OI at 777.03 and 844.13 nm) and hydrogen lines of the Balmer series, including Hα (at 655.92 nm) and H_β (at 486.16 nm), were identified [27]. The generation of •OH radicals and hydrogen species during plasma treatment is likely due to high-energy electrons colliding with Ar atoms to produce excited Ar, which subsequently reacts with water to form •OH and H radicals, as described in Equations (7) and (8). Furthermore, •OH and H radicals may also result from the dissociation, ionization, and excitation of water molecules (Equations (9)–(13)). The formation of atomic oxygen is presumed to arise from the dissociation of oxygen molecules, as illustrated in Equation (14) [5,26,27,28].
e + ArAr + e
Ar + H2OAr + OH + H
e + H2OOH + H + e
e + H2O → 2e+ H2O+
H2O+ + H2OOH + H3O+
e + H2OH2O + e
H2O* + H2OH2O + H + OH
e + O2O + O + e
O + H2O → 2OH
To validate their contribution to p-NP degradation, radical scavenger experiments were conducted at an initial p-NP concentration of 50 mg/L under identical operating conditions, i.e., argon flow rate of 2.73 L/min and power of 128.6 W, to detect aqueous electrons, superoxide, and hydroxyl radicals. The results were compared to those obtained in the absence of scavengers to determine the main active species involved. To further establish the influence of radical scavengers on p-NP degradation efficiency, degradation kinetics were investigated as shown in Figure 4b. During the entire treatment, 2-propanol had a significant effect on p-NP degradation, with the degradation rate constant of 0.0848, evincing the production of OH radicals in the argon-initiated EHPD process as the main active species for p-NP degradation. The degradation rate constant was reduced to 0.1129 with the addition of ascorbic acid, clearly suggesting a drop in degradation percentage as compared to scavenger-free trials. The data revealed that superoxide radicals were the second-most active species in degradation. When NaNO3 was added, the degradation rate constant was 0.2116, showing a minor influence on the p-NP degradation, which meant that hydrated electrons had a minimal impact on p-NP degradation in the argon initiated EHPD process. Moreover, it is important to note that the scavengers were introduced at concentrations designed to quench specific radicals while allowing measurable degradation. This approach aimed to demonstrate the relative contribution of each species without inhibiting the overall plasma process. The combined findings from OES data and scavenger experiments clearly indicate that hydroxyl radicals (•OH) serve as the primary oxidizing agents within the argon-activated EHPD system, while superoxide radicals play a secondary role and hydrated electrons have only a minimal impact.

4.1. Proposed p-NP Degradation Pathway

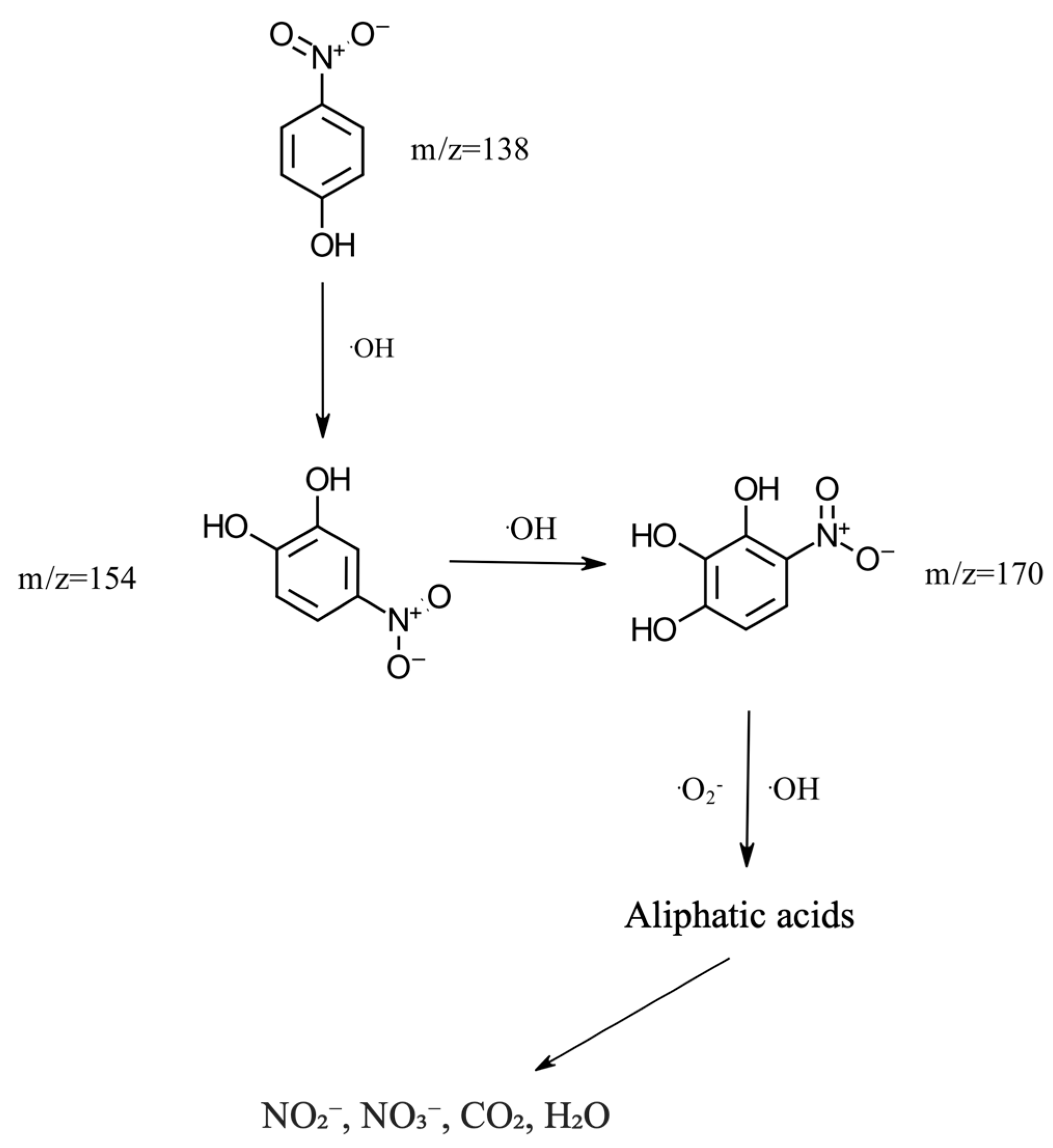
To identify the p-NP degradation intermediates, 50 mg/L p-NP initial concentration was treated under optimal conditions by EHPD, and then the intermediate products were analyzed using UPLC-MS/MS. The total chromatogram is shown in Figure S5. The intermediate products were hydroxylated compounds based on ortho- and para-positions of the OH, which had high density and were readily attacked by the OH radicals [29]. The findings suggested that p-NP was first oxidized to p-nitrocatechol (m/z = 154) by electrophilic reaction, which was then transformed by OH radicals into p-nitropyrogallol (m/z = 170). The aromatic ring-opening products were further oxidized into aliphatic acids such as formic acid, acetic acid, or oxalic acid [30]. These aliphatic acids were eventually mineralized to NO2, NO3, H2O, and CO2 via the degradation pathway shown in Figure 5. In addition to OH radicals, active species (such as O and H) and physical effects (such as heat and UV) might also participate in the process.
Many studies reported a similar mechanism for degradation of p-NP through oxidation by OH radicals through electrophilic attack [4,5,30,31,32]. Wang et al. [30], reported that OH radicals might attack the -NO2 group in p-NP molecules due to the relatively long C—N bond, which was the longest bond in the molecule and thus was prone to breakup to form phenol, which was then oxidized into hydroquinone, benzoquinone, and catechol. Additional reactions between these intermediates and •OH radicals could result in ring cleavage and the formation of an aliphatic compound.
The results from ion chromatography for 50 mg/L p-NP initial concentration treated under optimal running conditions showed that nitrate, nitrite, and sulfate were present in low concentrations, which were produced during decomposition of p-NP molecules. For a 10 min treatment, a relatively high concentration of sulfate was obtained (44.9 mg/L), while much lower concentrations of nitrate and nitrite were seen (14.4 mg/L and 1.4 mg/L). The high sulfate concentration was due to the addition of sodium sulfate to adjust the initial conductivity of the p-NP aqueous solution. To further validate the extent of mineralization, TOC analysis was conducted under the same optimal conditions (50 mg/L p-NP). After 10 min of treatment, a TOC removal rate of 75.68% was observed, indicating that the EHPD process not only transformed p-NP into intermediate products but also accomplished significant mineralization to CO2 and smaller organic compounds. This high level of mineralization demonstrates the efficiency of the process beyond mere degradation [5,11,32].
Optical emission spectroscopy identified the active species involved in the argon-activated EHPD process, which included argon atoms, OH radicals, atomic oxygen species, and hydrogen lines of the Balmer series. The radical scavenging experiment confirmed that the main active species responsible for p-NP degradation was OH radicals. The intermediates and inorganic ions involved in p-NP degradation by the EHPD process were identified using UPLC-MS/MS and ion chromatography, based on which the possible pathway for p-NP degradation was revealed to be electrophilic reactions by OH radicals and oxidation and mineralization of nitroaromatic rings into inorganic ions (NOx) or compounds such as carbon dioxide.

4.2. Comparative Studies for p-NP Degradation by Nonthermal Plasma Processes

The argon-activated EHPD achieved 94.23% degradation in just under 10 min for an initial p-NP concentration of 50 mg/L at 128.6 W, resulting in an energy yield of 0.22 g/kWh. In comparison, other plasma processes reported in the literature display different balances between efficiency, energy consumption, and chemical requirements (Table 3). DBD plasma alone reached 34.38% degradation after 50 min, while adding persulfate and Fe2+ increased removal to 81.1% but required external chemical inputs and had a similar energy yield to EHPD (0.23 g/kWh). Microwave plasma achieved complete degradation in 12 min at higher initial concentrations, but its energy yield was lower (0.07 g/kWh) due to increased energy consumption (380 W). These results indicate that the EHPD process combines rapid degradation and relatively high energy efficiency without requiring chemical additives. With short treatment times, chemical-free operation, and competitive energy performance, the EHPD system provides an alternative approach to existing plasma-based remediation methods.

5. Conclusions

This study presents the optimization and modeling of the argon-activated electrohydraulic plasma discharge (EHPD) process to achieve efficient degradation of p-nitrophenol in aqueous solution. Kinetic and statistical modeling, such as fractional factorial design and response surface methodology, were employed to identify reactor conditions that maximized degradation efficiency per unit of energy and argon, significantly reducing operational costs and greenhouse gas emissions. Through the fractional factorial design (FFD), argon flow rate and applied power were found to be the significant factors of the EHPD process for p-NP degradation, which were then optimized using CCD coupled with response surface methodology (RSM) with respect to two response variables, i.e., p-NP degradation efficiency and energy yield. The optimal values of argon flow rate and applied power were found to be 2.73 L/min and 128.6 W, which achieved the maximal degradation efficiency of 92.73% and energy yield of 0.212 g/kWh. The R2 values of the two response models (degradation efficiency and energy yield) were 0.9536 and 0.9982, respectively, which were close to the adjusted R2 of 0.9204 and 0.9970. Additional experiments were carried out under optimized conditions to validate the models. For 10 min treatment, the maximal degradation efficiency and energy yield at 50 mg/L initial concentration were 94.23% and 0.22 g/kWh, respectively, indicating that the model accuracy was satisfactory. The EHPD process under optimal running conditions achieved effective and efficient p-NP decomposition and higher or comparable energy yield than competitive plasma techniques and was therefore deemed as a promising technology for treating p-NP wastewater and other pollutants, enhancing sustainability by efficiently mineralizing the toxic pollutant without the addition of chemicals. Additionally, a TOC removal rate of 75.68% was achieved, and ion chromatography detected low concentrations of nitrate and nitrite byproducts, suggesting that the EHPD process resulted in effective mineralization with limited secondary byproduct formation. These findings indicated that EHPD, with its modular and continuous-flow design, holds significant potential as a compact and sustainable technology for scalable, decentralized wastewater treatment. While the models showed reliability in laboratory settings, additional validation with real wastewater and pilot-scale studies is required to determine practical applicability. Future research should also investigate the kinetics and fundamental mechanisms involved in the rapid and effective p-NP degradation achieved by EHPD.

Supplementary Materials

The following supporting information can be downloaded at: https://www.mdpi.com/article/10.3390/su17209275/s1, Figure S1: FFE predicted values vs actual values of (a) degradation efficiency and (b) energy yield; Figure S2: Four main effects plots for (a) degradation efficiency and (b) energy yield; Figure S3: Normality plots for the regression model (a) degradation efficiency and (b) energy yield; Figure S4: CCD predicted vs actual values of (a) degradation efficiency and (b) energy yield; Figure S5: Total ion chromatogram (TIC) of p-NP degradation intermediates; Table S1: The 24-1 fractional factorial experimental design matrix with responses; Table S2: Analysis of variance for the factorial model; Table S3: Central composite design matrix of the two independent variables in actual values with experimental responses for degradation efficiency (%) and energy yield (g/kwh).

Author Contributions

Conceptualization, A.K. and S.W.; methodology, A.K. and Y.Z.; software, M.A.B.; validation, Y.Z.; formal analysis, A.K.; investigation, A.K.; resources, M.A.B.; data curation, R.J.N.A.; writing—original draft, A.K.; writing—review and editing, Y.Z., M.A.B., R.J.N.A., and S.W.; visualization, Y.Z.; supervision, S.W.; project administration, S.W.; funding acquisition, S.W. All authors have read and agreed to the published version of the manuscript.

Funding

This research was funded by Department of Defense Strategic Environmental Research and Development Program (DoD SERDP) Project ER21-3564, USDA National Institute of Food and Agriculture (NIFA) Foundational and Applied Science Program (Grant # 2021-67021-34204 and # 2022-67022-37611), and by USDA NIFA Hatch project IDA01723, United States.

Institutional Review Board Statement

Not applicable.

Informed Consent Statement

Not applicable.

Data Availability Statement

The data presented in this study are available on request from the corresponding author.

Conflicts of Interest

The authors declare no conflicts of interest.

References

  1. Lai, B.; Zhang, Y.; Chen, Z.; Yang, P.; Zhou, Y.; Wang, J. Removal of p-nitrophenol (PNP) in aqueous solution by the micron-scale iron–copper (Fe/Cu) bimetallic particles. Appl. Catal. B Environ. 2014, 144, 816–830. [Google Scholar] [CrossRef]
  2. Rodrigues, C.S.D.; Madeira, L.M. p-Nitrophenol degradation by activated persulfate. Environ. Technol. Innov. 2020, 21, 101265. [Google Scholar] [CrossRef]
  3. Tchieno, F.M.M.; Tonle, I.K. p-Nitrophenol determination and remediation: An overview. Rev. Anal. Chem. 2018, 37, 20170019. [Google Scholar] [CrossRef]
  4. Wang, T.C.; Lu, N.; Li, J.; Wu, Y. Plasma-TiO2 Catalytic Method for High-Efficiency Remediation of p-Nitrophenol Contaminated Soil in Pulsed Discharge. Environ. Sci. Technol. 2011, 45, 9301–9307. [Google Scholar] [CrossRef] [PubMed]
  5. Zhao, C.; Xue, L.; Zhou, Y.; Zhang, Y.; Huang, K. A microwave atmospheric plasma strategy for fast and efficient degradation of aqueous p-nitrophenol. J. Hazard. Mater. 2020, 409, 124473. [Google Scholar] [CrossRef]
  6. Saka, E.T.; Tekintas, K. Light driven photodegradation of 4-nitrophenol with novel Co and Cu phthalocyanine in aqueous media. J. Mol. Struct. 2020, 1215, 128189. [Google Scholar] [CrossRef]
  7. Yadav, V.; Verma, P.; Sharma, H.; Tripathy, S.; Saini, V.K. Photodegradation of 4-nitrophenol over B-doped TiO2 nanostructure: Effect of dopant concentration, kinetics, and mechanism. Environ. Sci. Pollut. Res. 2020, 27, 10966–10980. [Google Scholar] [CrossRef]
  8. Wang, N.; Lv, G.; He, L.; Sun, X. New insight into photodegradation mechanisms, kinetics and health effects of p-nitrophenol by ozonation in polluted water. J. Hazard. Mater. 2021, 403, 123805. [Google Scholar] [CrossRef]
  9. Vanraes, P.; Nikiforov, A.Y.; Leys, C. Electrical discharge in water treatment technology for micropollutant decomposition. Plasma Sci. Technol. Prog. Phys. States Chem. React. 2016, 428–478. [Google Scholar]
  10. Yang, C.; Guangzhou, Q.; Tengfei, L.; Nan, J.; Tiecheng, W. Review on reactive species in water treatment using electrical discharge plasma: Formation, measurement, mechanisms and mass transfer. Plasma Sci. Technol. 2018, 20, 103001. [Google Scholar] [CrossRef]
  11. Shang, K.; Li, W.; Wang, X.; Lu, N.; Jiang, N.; Li, J.; Wu, Y. Degradation of p-nitrophenol by DBD plasma/Fe2+/persulfate oxidation process. Sep. Purif. Technol. 2019, 218, 106–112. [Google Scholar] [CrossRef]
  12. Borges, K.A.; Santos, L.M.; Paniago, R.M.; Neto, N.M.B.; Schneider, J.; Bahnemann, D.W.; Patrocinio, A.O.T.; Machado, A.E.H. Characterization of a highly efficient N-doped TiO2 photocatalyst prepared via factorial design. New J. Chem. 2016, 40, 7846–7855. [Google Scholar] [CrossRef]
  13. Younis, S.A.; Amdeha, E.; El-Salamony, R.A. Enhanced removal of p-nitrophenol by ꞵ-Ga2O3-TiO2 photocatalyst immobilized onto rice straw-based SiO2 via factorial optimization of the synergy between adsorption and photocatalysis. J. Environ. Chem. Eng. 2021, 9, 104619. [Google Scholar] [CrossRef]
  14. Wu, S.; Krousuri, A. Removing methylene blue contained in dye wastewater using a novel liquid-phase plasma discharge process. J. Environ. Sci. Health Part A 2020, 55, 1032–1039. [Google Scholar] [CrossRef]
  15. Wu, S.; Deng, S.; Zhu, J.; Bashir, M.A.; Izuno, F. Optimization of a novel liquid-phase plasma discharge process for continuous production of biodiesel. J. Clean. Prod. 2019, 228, 405–417. [Google Scholar] [CrossRef]
  16. Krosuri, A.; Wu, S.; Bashir, M.A.; Walquist, M. Efficient degradation and mineralization of methylene blue via continuous-flow electrohydraulic plasma discharge. J. Water Process Eng. 2021, 40, 101926. [Google Scholar] [CrossRef]
  17. Wu, S.; Krosuri, A. A novel continuous-flow electrohydraulic discharge process for handling high-conductivity wastewaters. Int. J. Environ. Sci. Technol. 2020, 17, 615–624. [Google Scholar] [CrossRef]
  18. Bruggeman, P.J.; Kushner, M.J.; Locke, B.R.; Gardeniers, J.G.; Graham, W.G.; Graves, D.B.; Hofman-Caris, R.C.H.M.; Maric, D.; Reid, J.P.; Ceriani, E.; et al. Plasma–liquid interactions: A review and roadmap. Plasma Sources Sci. Technol. 2016, 25, 053002. [Google Scholar] [CrossRef]
  19. De Coninck, J.; Leclercq, B.; Exbrayat, J.M.; Duyme, F. Factorial designs: An efficient approach to choosing the main factors influencing growth and hydrolase production by Tetrahymena thermophila. J. Ind. Microbiol. Biotechnol. 2004, 31, 204–208. [Google Scholar] [CrossRef]
  20. Reddy, P.M.K.; Raju, B.R.; Karuppiah, J.; Reddy, E.L.; Subrahmanyam, C. Degradation and mineralization of methylene blue by dielectric barrier discharge non-thermal plasma reactor. Chem. Eng. J. 2013, 217, 41–47. [Google Scholar] [CrossRef]
  21. Khourshidi, A.; Ajam, F.; Rabieian, M.; Taghavijeloudar, M. Efficient degradation of p-nitrophenol from water by enhancing dielectric barrier discharge (DBD) plasma through ozone circulation: Optimization, kinetics and mechanism. Chemosphere 2024, 362, 142749. [Google Scholar] [CrossRef]
  22. David, I.J.; Adubisi, O.D.; Ogbaji, O.E.; Eghwerido, J.T.; Umar, Z.A. Resistant measures in assessing the adequacy of regression models. Sci. Afr. 2020, 8, e00437. [Google Scholar] [CrossRef]
  23. Jacob Kizhakedathil, M.P.; Suvarna, S.; Belur, P.D.; Wongsagonsup, R.; Agoo, E.M.G.; Janairo, J.I.B. Optimization of oxalate-free starch production from Taro flour by oxalate oxidase assisted process. Prep. Biochem. Biotechnol. 2021, 51, 105–111. [Google Scholar] [CrossRef]
  24. García, M.C.; Mora, M.; Esquivel, D.; Foster, J.E.; Rodero, A.; Jiménez-Sanchidrián, C.; Romero-Salguero, F.J. Microwave atmospheric pressure plasma jets for wastewater treatment: Degradation of methylene blue as a model dye. Chemosphere 2017, 180, 239–246. [Google Scholar] [CrossRef]
  25. Hamdan, A.; Liu, J.L.; Cha, M.S. Microwave Plasma Jet in Water: Characterization and Feasibility to Wastewater Treatment. Plasma Chem. Plasma Process. 2018, 38, 1003–1020. [Google Scholar] [CrossRef]
  26. Lamichhane, P.; Ghimire, B.; Mumtaz, S.; Paneru, R.; Ki, S.H.; Choi, E.H. Control of hydrogen peroxide production in plasma activated water by utilizing nitrification. J. Phys. D Appl. Phys. 2019, 52, 265206. [Google Scholar] [CrossRef]
  27. Joshi, A.A.; Locke, B.R.; Arce, P.; Finney, W.C. Formation of hydroxyl radicals, hydrogen peroxide and aqueous electrons by pulsed streamer corona discharge in aqueous solution. J. Hazard. Mater. 1995, 41, 3–30. [Google Scholar] [CrossRef]
  28. Malik, M.A.; Ghaffar, A.; Malik, S.A. Water purification by electrical discharges. Plasma Sources Sci. Technol. 2001, 10, 82. [Google Scholar] [CrossRef]
  29. Di Paola, A.; Augugliaro, V.; Palmisano, L.; Pantaleo, G.; Savinov, E. Heterogeneous photocatalytic degradation of nitrophenols. J. Photochem. Photobiol. A Chem. 2003, 155, 207–214. [Google Scholar] [CrossRef]
  30. Wang, T.; Qu, G.; Sun, Q.; Liang, D.; Hu, S. Evaluation of the potential of p-nitrophenol degradation in dredged sediment by pulsed discharge plasma. Water Res. 2015, 84, 18–24. [Google Scholar] [CrossRef]
  31. Sun, S.-P.; Lemley, A.T. p-Nitrophenol degradation by a heterogeneous Fenton-like reaction on nano-magnetite: Process optimization, kinetics, and degradation pathways. J. Mol. Catal. A Chem. 2011, 349, 71–79. [Google Scholar] [CrossRef]
  32. Zheng, H.; Guo, Y.; Zhu, H.; Pan, D.; Pan, L.; Liu, J. p-Nitrophenol Enhanced Degradation in High-Voltage Pulsed Corona Discharges Combined with Ozone System. Plasma Chem. Plasma Process. 2013, 33, 1053–1062. [Google Scholar] [CrossRef]
Figure 1. Schematic of the novel electrohydraulic discharge reactor system.
Figure 1. Schematic of the novel electrohydraulic discharge reactor system.
Sustainability 17 09275 g001
Figure 2. Pareto charts of the standardized effects based on (a) response degradation efficiency and (b) based on energy yield.
Figure 2. Pareto charts of the standardized effects based on (a) response degradation efficiency and (b) based on energy yield.
Sustainability 17 09275 g002
Figure 3. Surface and contour plots of (a) degradation efficiency and (b) energy yield; (c) optimization of EHPD process (Red vertical lines – current factor settings).
Figure 3. Surface and contour plots of (a) degradation efficiency and (b) energy yield; (c) optimization of EHPD process (Red vertical lines – current factor settings).
Sustainability 17 09275 g003aSustainability 17 09275 g003b
Figure 4. (a) Optical emission spectra of argon-activated EHPD process, (b) radical scavenging experiment of EHPD process for p-NP (50 mg/L) degradation.
Figure 4. (a) Optical emission spectra of argon-activated EHPD process, (b) radical scavenging experiment of EHPD process for p-NP (50 mg/L) degradation.
Sustainability 17 09275 g004
Figure 5. Degradation pathway of p-NP by EHPD.
Figure 5. Degradation pathway of p-NP by EHPD.
Sustainability 17 09275 g005
Table 1. This table shows 24−1 factorial design factors and their chosen levels.
Table 1. This table shows 24−1 factorial design factors and their chosen levels.
FactorLow Level (−1)High Level (+1)
Gas flow rate (L/min)0.41
pH59
Applied power (W)200300
Persulfate conc. (mg/L)50250
Table 2. ANOVA for quadratic models of degradation efficiency and energy yield.
Table 2. ANOVA for quadratic models of degradation efficiency and energy yield.
SourceSum of SquaresdfMean SquareF-Valuep-Value
Response 1: degradation efficiency
Model233.77546.7528.750.0002Significant
A-argon93.92193.9257.760.0001
B-power122.621122.6275.41<0.0001
AB13.32113.328.190.0243
A22.3112.311.420.2723
B22.1112.111.300.2919
Residual11.3871.63
Lack of fit7.9332.643.060.1541Not significant
Pure error3.4540.8636
Cor total245.1512
Response 2: energy yield
Model0.015950.0032792.25<0.0001Significant
A-argon0.000210.000254.290.0002
B-power0.014210.01423536.83<0.0001
AB0.000110.000115.910.0053
A26.545 × 10−616.545 × 10−61.630.2428
B20.001410.0014340.42<0.0001
Residual0.000074.022 × 10−6
Lack of fit0.000037.642 × 10−65.840.0606Not significant
Pure error5.232 × 10−641.308 × 10−6
Cor total0.01612
Table 3. Comparison of the argon-activated EHPD on p-NP degradation with other plasma processes.
Table 3. Comparison of the argon-activated EHPD on p-NP degradation with other plasma processes.
MethodsInitial p-NP Concentration (mg/L)Time (min)Degradation Efficiency (n%) Discharge PowerEnergy Yield (g/kWh)Reference
DBD plasma55034.384.2 W0.1 [11]
Plasma + persulfate55063.64.2 W0.18 [11]
Plasma + persulfate + Fe2+55081.14.2 W0.23 [11]
Microwave plasma10012100380 W0.07 [5]
EHPD501094.23128.6 W0.22This study
Disclaimer/Publisher’s Note: The statements, opinions and data contained in all publications are solely those of the individual author(s) and contributor(s) and not of MDPI and/or the editor(s). MDPI and/or the editor(s) disclaim responsibility for any injury to people or property resulting from any ideas, methods, instructions or products referred to in the content.

Share and Cite

MDPI and ACS Style

Krosuri, A.; Zhou, Y.; Bashir, M.A.; Ndeddy Aka, R.J.; Wu, S. Modeling and Optimization of Argon-Activated Electrohydraulic Plasma Discharge Process for p-Nitrophenol Remediation. Sustainability 2025, 17, 9275. https://doi.org/10.3390/su17209275

AMA Style

Krosuri A, Zhou Y, Bashir MA, Ndeddy Aka RJ, Wu S. Modeling and Optimization of Argon-Activated Electrohydraulic Plasma Discharge Process for p-Nitrophenol Remediation. Sustainability. 2025; 17(20):9275. https://doi.org/10.3390/su17209275

Chicago/Turabian Style

Krosuri, Anilkumar, Yunfei Zhou, Muhammad Aamir Bashir, Robinson Junior Ndeddy Aka, and Sarah Wu. 2025. "Modeling and Optimization of Argon-Activated Electrohydraulic Plasma Discharge Process for p-Nitrophenol Remediation" Sustainability 17, no. 20: 9275. https://doi.org/10.3390/su17209275

APA Style

Krosuri, A., Zhou, Y., Bashir, M. A., Ndeddy Aka, R. J., & Wu, S. (2025). Modeling and Optimization of Argon-Activated Electrohydraulic Plasma Discharge Process for p-Nitrophenol Remediation. Sustainability, 17(20), 9275. https://doi.org/10.3390/su17209275

Note that from the first issue of 2016, this journal uses article numbers instead of page numbers. See further details here.

Article Metrics

Back to TopTop