Next Article in Journal
Harnessing Renewable Waste as a Pathway and Opportunities Toward Sustainability in Saudi Arabia and the Gulf Region
Previous Article in Journal
Sustainable Biodegradable Waste Management for Circular Economy: Comparative Assessment of Composting Technologies
 
 
Font Type:
Arial Georgia Verdana
Font Size:
Aa Aa Aa
Line Spacing:
Column Width:
Background:
Article

Copper Closed-Loop Supply Chain Network Design Based on a Two-Stage Stochastic Programming Model Considering Uncertain Market Prices

1
School of Business, East China University of Science and Technology, Meilong Road 130, Shanghai 200237, China
2
School of Energy Science and Engineering, Central South University, Lushan South Road 932, Changsha 410083, China
3
Economics and Technology Research Institute, China National Petroleum Corporation, Beijing 100724, China
*
Author to whom correspondence should be addressed.
Sustainability 2025, 17(20), 8977; https://doi.org/10.3390/su17208977
Submission received: 30 August 2025 / Revised: 4 October 2025 / Accepted: 6 October 2025 / Published: 10 October 2025

Abstract

Copper is a critically important metal for economic security, and its supply chain is influenced by various factors, particularly market prices. This paper aims to uncover the impact of high uncertainty in copper prices on the copper supply chain (CSC) configuration and propose strategies for CSC construction. To achieve this goal, this study presents a closed-loop supply chain (CLSC) network, simulates copper market volatility using the geometric Brownian motion (GBM) model, and establishes a two-stage stochastic programming (TSSP) model. An empirical study was conducted using geographical and economic data of the CSC in the Chinese province of Hunan. The research results indicate that there is a threshold in copper prices that can lead to the construction of a reverse supply chain (RSC). However, significant fluctuations in copper prices introduce uncertainty into the supply chain network configuration. Therefore, policy measures to encourage copper scrap recycling should be implemented to maintain the safety of the CLSC during market instability. The proposed modelling framework for addressing fluctuation factors in supply chain design has been validated and can be promoted to other similar industries affected by markets.

1. Introduction

Copper is an important strategic mineral resource related to the national economy and security [1]. It has been widely used in energy, manufacturing, and other industries [2,3], which supports economic growth and human development with limited resources. In the ongoing process of energy transition, communication technology promotion, and urbanization acceleration, copper demand is expected to continually increase in the future [4,5]. It is expected that copper demand will increase by 275% to 350% by 2050 compared with 2010, and cumulative demand will exceed copper reserves [6]. Mitigation strategies for potential supply disruptions of copper include purchasing scrap copper from abroad or recycling local scrap copper [7]. Imported copper and domestic recycled copper will become the basic components of China’s long-term supply of copper resources [8]. Although about 33% of the world’s copper consumption comes from recovery sources, i.e., copper products or scrap copper collected in the manufacturing process, the current rate of recovery is difficult to make up for the human demand for copper resources [9,10]. In addition, recycling policies and copper prices both have an impact on the level of copper recycling. Taking price and recycling into account, the copper supply to society is expected to run out after 2400.
The difficulty in designing a copper CLSC network lies in the presence of multiple uncertain factors, especially copper market volatility. The mineral market always copes with the challenge of insufficient supply through rising metal prices [11]. With China becoming the largest copper importer, the international copper price impacts the production and consumption of Chinese copper products [12]. The uncertainty of copper prices has an impact on copper purchasing choices, such as purchasing scrap copper locally, importing scrap copper, or building a scrap copper supply chain (CSC). Based on this, we propose Research Hypothesis 1: when copper prices fluctuate significantly, the uncertainty of the supply chain structure increases. How the uncertainty of copper prices affects the design and operation of CLSC is a problem worthy of discussion. Moreover, many variables in the CSC may affect the supply chain structure, such as the distance between the main bodies (processing factories, distribution centres, markets, recycling centres, etc.) raw material price, demand, transportation, and so on. The CLSC model can be used to design a supply chain that covers multi-variable parameters, achieving the lowest total production cost by optimizing the supply chain structure. Based on this, we propose Research Hypothesis 2 and 3: the more demand decreases, the less likely it is for reverse logistics to occur. The reduction in demand may lead to a decrease in reverse logistics and collection costs.
The current research on the utilization and reuse of copper mainly focuses on the material flow, discussing the production, reproduction, stock, and future available quantity of copper [13]. The copper supply system under carbon constraints has also been studied [14]. In addition, some scholars have employed various optimization and modelling approaches to evaluate the copper supply chain, which represents a significant contribution to the advancement of research methodologies. R. Goodfellow and R. Dimitrakopoulos presented the simultaneous stochastic optimization of mining complexes and mineral value chains and the corresponding two-stage stochastic mixed integer, non-linear programming formulation, which further expanded supply chain optimization methods [15]. M. Akbari-Kasgari et al. designed a resilient and sustainable closed-loop supply chain network in the copper industry to reduce the effects of earthquakes on mining operations [16]. P. Becerra et al. proposed a method that combines a simulation model based on system dynamics with a mixed integer linear programming model to evaluate the performance of copper mine CLSC and support decision-making [17]. Overall, the above literature has made significant innovations and contributions to the research methods and perspectives of the copper supply chain. From previous similar studies, there are still some research gaps: previous models rarely integrate the price-driven randomness of copper based on market data and rarely study how variables affected by uncertainty intervene in the supply chain network structure. At the same time, previous research also rarely designs uncertainty scenarios for copper CLSC based on demand fluctuations.
The research question of this paper addresses how high uncertainty in copper prices affects the configuration of the copper supply chain (CSC). The research objective is to identify CSC development strategies through analysis. To address the above research questions, we develop an integrated decision-analytic framework that jointly optimizes the copper closed-loop supply chain (CLSC) design and operation under price uncertainty. Using historical data, we calibrate a stochastic copper price process and generate a scenario set that feeds a two-stage stochastic mixed-integer linear programme: The first stage determines facility location and capacity (e.g., recycling plants, refineries), and the second stage adjusts material flows and inventory policies after price realization. The model minimizes the expected total cost across scenarios while capturing the interaction among recycling, refining, and inventory decisions, thereby producing network designs that are explicitly robust to price volatility. In terms of modelling, the Geometric Binomial Motion (GBM) possesses distinct advantages in reflecting proportional volatility, offering analytical solutions, and demonstrating broad applicability; thus, we establish the GBM model of copper price volatility. Historical data of the original copper and scrap copper markets are compiled, and the critical parameters in the GBM model are estimated by using these data. A series of scenarios is designed for different levels of market volatility to span different copper market conditions. Then, a two-stage stochastic model combined with the integer programming (MILP) of CLSC is built. Taking Hunan Province in China as an example to verify the effectiveness of the model, this paper also studies the influence of copper demand on the supply chain. Compared to the deterministic model, the constructed model introduces the stochastic variable of the copper price. In the first stage, there is no change in the copper price. The second stage of planning studies the impact of copper price uncertainty on supply chain decision-making. The two-stage models are based on geographic data, and the geographic data are used as the necessary parameters of the model. Through the model, under the fluctuation of the copper price, the location, scale, and route are optimized.
This study contributes to the literature in three ways. Methodologically, it introduces a unified two-stage stochastic MILP that endogenizes price risk within discrete network design, enabling the coordinated optimization of siting/capacity choices and recourse operations. Empirically, a regional application to Hunan Province, China, demonstrates calibratability, scalability, and computational tractability, and provides a replicable data–model–solve pipeline. Substantively, the analysis quantifies how volatility regimes reshape network topology, buffer inventories, and total system costs and identifies thresholds and value ranges for recycling capacity and capacity slack; these insights translate into actionable guidance on scenario-based planning, flexibility-oriented investment, and policy coordination for building copper CLSCs that are both cost-effective and resilient.
The rest of the study is as follows: Section 2 reviews the relevant literature on copper scrap policy, reverse supply chain (RSC) design and optimization, supply chain uncertainty, and supply chains with geographic data. Section 3 contains the methodology and data. Section 4 introduces and analyzes the results of the case study. Section 5 discusses the research questions and models. Section 6 summarizes key contributions, policy suggestions, and further research.

2. Literature Review

2.1. China’s Copper Scrap Import Policy

China attaches great importance to the green development of the copper industry and the sustainable competitiveness of copper resources [18,19,20]. The future situation of scrap copper resources in China is as follows: scrap copper produced in China will account for a larger proportion of the copper supply, and it will reach about 80% of copper resources by 2060, according to predictions. Based on the analysis of the latest import policy of scrap copper, we can draw the following conclusions: (1) the import policy for scrap copper may become stricter, which has been illustrated by several adjustments to the import catalogue of copper scrap. (2) In the future, with the improvement of environmental protection requirements, the import of scrap copper may be completely prohibited, and the raw materials of scrap copper can only come from local scrap copper. (3) It is not easy to ban the imports completely.

2.2. Research on Design and Optimization of Supply Chain

Decisions of supply chain network design (SCND) are strategic and therefore have a significant long-term impact on the company’s development and profit. Therefore, the design of the supply chain should be cautious when considering affecting factors, such as market fluctuations, policy impacts, and so on [21]. With the extensive promotion of the concept of energy conservation and carbon emission reduction, the methods of resource recovery and reuse are receiving more and more attention. According to the 3R principle of reducing, reusing, and recycling waste products, it is becoming a consensus of many industries to incorporate waste products into the SCND, that is, to establish a network including an RSC or CLSC [22].
Supply chain optimization methods include linear programming, constraint propagation, genetic algorithm, multi-criteria optimization, etc. [23]. After the RSC system takes waste products as raw materials, they can also be optimized using the above methods. Two-stage MILP models are used to design RSC models [24] and handle fluctuations in uncertain parameters [25]. An improved genetic algorithm is adopted to optimize the CLSC [26]. In addition, a multi-objective fuzzy robust optimization method is applied for a sustainable CLSC network [27]. A robust optimization model is also established for the CLSC of durable goods [28]. The combination of CLSC (or RSC) with various optimization methods is expected to further improve the supply chain performance with problems of cost, demand, environment, and other aspects.

2.3. Supply Chain Uncertainty Analysis

There are many uncertainties in the supply chain system, such as price, tax, recovery rate, demand, and so on. The analysis of uncertainty helps study how various factors affect the optimization results to provide necessary suggestions for decision-making to improve efficiency, prevent risks, and enhance the stability of the supply chain network system. The uncertainty of supply chains exists in the supply chain gap [29], supply, transportation, and processing [30]. Considering the uncertainty, mathematical methods and supply chain management models are proposed, including a multi-objective decision-making method, the Monte Carlo method, a stochastic optimization method [31], structural equation modelling, sensitivity analysis, an extensive numerical study [32], etc. Guo et al. developed an aluminum supply chain model considering carbon price uncertainty [33], and Zhou et al. constructed an integrated hydrogen energy system model based on the MESSAGEix framework, evaluating the uncertain technological progress in decarbonization pathways of China’s hydrogen energy system [34].
Previous models rarely calibrated the price-driven randomness of copper based on market data. Few scholars have proposed two-stage stochastic mixed-integer programming decisions that span the mine–processing–recycling cycle with capacity coupling. Simultaneously, robust scenario designs for the out-of-sample validation of copper CLSC have received scant attention.

2.4. Supply Chains with Geographic Data

Geographic data are essential to processing spatial data and visualizing the collected geographic information with computer tools [35]. Geographic data play an important role in the management of natural resources, environmental protection, and regional and urban development [36] and are useful for the study of decentralized raw material collection and product distribution, such as in optimizing the collection process of waste paper and paperboard in small enterprises, improving urban solid waste management systems in Italy and China and discussing how the geographic location of recycling systems affects the sustainability of recycling [37]. At present, there is a lack of research on the optimization of copper RSCs based on geographic data.

2.5. Literature Review on Metal Supply Chain

By comparing copper with the existing literature on other metal supply chains, the significance of the copper supply chain within the broader field of metal supply chain research is highlighted. What is generalizable (e.g., mining, smelting, refining topology, quality degradation, and recovery uncertainty) and what is copper-specific (by-product value, scrap quality dispersion) can be compared in the metal supply chain. The metal supply chain literature is reviewed in Table 1, and the following research gaps are found:
(1)
Most of the research on the metal supply chain is on steel (No. 2, 4, and 7), with very few on copper (No. 1), some products with copper or steel as raw materials (No. 3, 5), and less precious metals (No. 6).
(2)
In terms of methods, there are mainly linear programming (No. 1, 6, and 7), multi-objective programming (No. 2, 4), or comprehensive optimization methods of various mathematical models (No. 3, 5).
(3)
Moreover, in the early research, reverse logistics and uncertainty were hardly considered (No. 7). However, in recent years, there has been more and more research on reverse logistics or closed-loop logistics (No. 1–4, 6). Uncertainty is also considered, such as (No. 1–3, 5).
(4)
But so far, there is no research on metal logistics considering the application of geographic data.
In our study, a two-stage stochastic programming (TSSP) method is adopted to establish an optimization model for the CSC including reverse logistics, and an uncertainty analysis is also conducted. Combining two-stage stochastic programming (TSSP) with mixed-integer linear programming (MILP) enables the simultaneous handling of uncertainty and discrete decision-making within a unified framework. On the one hand, the TSSP structure allows the model to capture hierarchical relationships between long-term strategic decisions and short-term operational adjustments. On the other hand, MILP’s powerful expressive capability enables the precise modelling of integer constraints such as unit start-up/shutdown and investment construction. Leveraging mature decomposition algorithms and commercial solvers, this approach achieves both scalability and computational feasibility in large-scale energy system optimization. Compared to deterministic optimization methods, TSSP and MILP offer distinct advantages in risk management, policy implementation ability, and result robustness.

3. Methodology and Data

3.1. Copper Supply Chain Structure

A multi-tier CSC is a complex system with specific functions formed by the combination of several interconnected components. Figure 1 shows the CSC network, including copper suppliers (copper smelting plants), factories, distribution centres, markets, users, collection centres, recycling centres, disassembling centres, and pretreatment centres, which are described in Table 2.
Copper in an automobile engine needs to be disassembled to be reused, but plastic and other metals are also produced during the disassembly process. Therefore, the disassembling part is not considered in this paper. For waste products containing copper, there are many kinds of non-copper raw materials. The low-quality copper scrap needs to be entered into the copper smelter for reuse. Considering these two reasons, the supply chain structure of this paper only includes the green background in the figure.

3.2. Model Formulation

As copper is an important future product, the price of copper will be affected by the international financial market in addition to the impact of upstream and downstream industrial chains and regional supply–demand contradictions. The random change in copper price has a great influence on the CSC and RSC network, so this paper constructs a stochastic programming model to discuss this problem. The TSSP model provides an effective method for the discussion of stochastic problems. In the TSSP model, the first stage is an MILP model with the copper price as a static parameter. In the second stage, the copper price is set to follow random fluctuations.

3.2.1. Deterministic MILP Model

To solve the optimization problem of the CSC, the RSC network is designed according to the production process of primary copper and secondary copper. Geographical location, local population, and economic data are used as parameters or constraints, and the CSC optimization model is established. This paper assumes that
(1)
Products or wastes are not stacked in factories, distribution centres, collection centres, and circulation centres, i.e., there is no overstock.
(2)
Delivery time in the supply chain is not considered.
(3)
Referring to Figure 1, this system selects the core part of the CSC network and does not consider the problems of the cross-provincial border, miscellaneous copper, dismantling, and so on.
(4)
The system consists of several copper manufacturers, copper product distribution centres, markets, scrap copper collection centres, and scrap copper recovery centres.
(5)
All traffic is by road only (diesel-powered trucks).
The first stage planning model aims to minimize the total cost, discusses the optimal situation of the supply chain structure under a fixed copper price, and discusses the probability of constructing reverse logistics.
The meanings of all symbols in the formula are as follows in Table 3, Table 4 and Table 5:
min   y = C F + C M + C T + C D + C C + C R
The objective function y represents the overall cost of the whole supply chain, which can be decomposed into the following costs: raw material procurement cost (CF), manufacturing cost (CM), transportation cost (CT), distribution cost (CD), collection cost (CC), and recycling cost (CR).
The overall profit is equal to the overall sales revenue minus the overall cost, which is shown in Equation (2).
p r o f i t = p , t f p q t D P P p , t y
The procurement cost (CF) defined in Equation (3) consists of two parts: the raw material procurement cost and the carbon emission cost for each factory.
C F = p , q f p q q D F P p , q + c t c o t q q D F P p , q
In Equation (4), the manufacturing cost (CM) includes the annual investment depreciation cost of each factory, the variable production cost, and the cost of carbon emissions.
C M = p e c p f p + p , t c t p f p , t D P P p , t + c t c p , t o t p f p , t D P P p , t
In Equation (5), the transportation cost (CT) includes all the transportation costs and the carbon emission cost from fuel use.
C T = c t t p + c t c o t t p p , d , t d p p d p , d D F D p , d , t + d , m , t d i s d m d , m D D M d , m , t + m , c , t d p m c m , c D M C m , c , t + r , p , q r d p r p r , p D R P r , p , q r
In Equation (6), the distribution cost (CD) includes annual depreciation and apportionment expenses of fixed investment assets, variable costs, and carbon emission costs generated by energy used.
C D = d e c d c d + d , m , t c t d c d , t D D M d , m , t + c t c d , m , t o t d c d , t D D M d , m , t
In Equation (7), the collection cost (CC) includes annual depreciation and apportionment expenses of fixed investment assets, variable costs, and carbon emission costs generated by energy used.
C C = c e c c c c D C E c + m , c , t c t c c c , t D M C m , c , t + p r c m , c , t o t c c c , t D M C m , c , t
In Equation (8), the recycling costs (CR) include annual depreciation and apportionment expenses of fixed investment assets, variable costs, and carbon emission costs generated by energy used.
C R = r e c r c r D R E r + c , r , t c t r c r , t D C R c , r , t + p r c c , r , t o t r c r , t D C R c , r , t
Model Constraints
The first stage of the model is an MILP. The constraints of the objective function come from the supply–demand relationship between the internal links of the supply chain. Constraints (9)–(12) refer to the capacity limit, that is, the materials or products provided by each link to the next link do not exceed the output of the current link. Constraint (9) requires that the product output of the factory be limited by production capacity. Constraints (10)–(12) require that the total amount of materials received by distribution centres, collection centres, and recycling centres should not exceed their capacity.
D P P p , t c p p f p , t p P , t T
p D F D p , d , t c p d c d , t d D , p P
m D M C m , c , t c p c c c , t D C E c c C , p P
c D C R c , r , t c p r c r , t D R E r r R , t T
The constraint of logistics balance is expressed by Equations (13)–(20). Equation (13) represents the material balance before and after processing in the factory. Equation (14) represents the balance of the recovered material. Equation (15) states that the total amount of product produced by the factory is the same as that sent to the distribution centre. Equation (16) stipulates that the quantity of products sent to the markets by the distribution centres is the same as the total quantity of products obtained by the markets. Equation (17) ensures that the quantity of products input and output from each distribution centre is equal. Equation (18) defines the material balance of the product for each collection centre. Equation (19) defines the material balance for each recycling centre. Equation (20) ensures that the amount of product waste should be equal to the amount collected by the collection centre.
c p q f D F P p , q = D P P p , q f p P , q Q , q f Q F
c p q r D F P p , q r + c p q r r D R P r , p , q r = D P P p , w p P , w W , q r Q R
D P P p , t = d D F D p , d , t p P , t T
d m d t , m = d D D M d , m , t m M , t T
p D F D p , d , t = m D D M d , m , t d D , t T
m D M C m , c , s = r D C R c , r , s c C , s S
c p r s , q r c D C R c , r , s = p D R P r , p , q r r R , s S , q r Q R
m d m d m , s D R F E = m , c D M C m , c , s s S

3.2.2. Two-Stage Stochastic Programming Model

The reason why we choose the two-stage stochastic programming model is as follows. Firstly, decision-making within the copper supply chain exhibits a high degree of centralization: key uncertainties spanning the upstream (mining and smelting), midstream (processing), and downstream (consumption) segments primarily concern pricing, demand, and transport conditions. These uncertainties typically only become apparent at critical junctures. Secondly, the two-stage model aligns well with the industry’s structure, where the first stage involves strategic or long-term decisions and the second stage focuses on operational decisions. This framework effectively describes the practical realities of the copper industry chain. While multi-stage models are better suited for long-term rolling uncertainty, uncertainties within the copper supply chain can generally be simplified as one-off revelations. Consequently, a two-stage approach proves sufficient.
The copper price is the only random variable in the model. According to whether the cost item ( C Q ) includes copper price variable, the objective function contains two parts, namely, the constant cost item ( C Q c o n ) and the cost part changing with the copper price ( C Q v a r ). The first stage of the planning model deals with the decision problem when the copper price is constant. In the second stage, a new mathematical model for copper price uncertainty is established, and how the variables affected by the uncertainty intervene in the supply chain network structure could be discussed.
In the second stage model, a large amount of random numbers is allocated for the variable copper price, in which the total cost expression of the objective function corresponding to the i ( i I ) sample is as in Equation (21):
y i = C Q c o n + C Q v a r , i
In the second stage of the model, the first step is to optimize each sample y i so the symbol of the decision variable is added with the corner i, for example, D F P p , q , i represents the amount of feedstock in the sample y i in the second stage when D F P p , q represents the amount of feedstock in the first stage.
In the second stage of planning, the total cost always changes with the copper price changing randomly. Therefore, the expected total cost E i I ( y i ) is used to express the objective function in Equation (22), which means the sum of the constant cost item ( C Q c o n ) and the expected value of all samples i I u i C Q v a r , i is as follows:
min E i I y i = C Q c o n + i I u i C Q v a r , i
where u i is the probability of the occurrence of the i t h copper price sample.

3.3. Modelling Copper Price Uncertainty

Geometric Brownian motion (GBM) is a stochastic process in which the logarithm of random variables follows Brownian motion. In financial mathematics, GBM is often used to simulate stochastic prices, such as carbon prices. The GBM possesses distinct advantages in ensuring non-negativity, conforming to normal distribution, reflecting proportional volatility, offering analytical solutions, and demonstrating broad applicability. Consequently, compared to Alternative Binomial Models (ABM), Mean-Reversion Processes, or Jump Diffusion Models, selecting the GBM more reasonably characterizes the dynamic features of the research subject while maintaining model simplicity and operational feasibility.
Therefore, GBM is adopted to simulate fluctuating copper prices in this paper. According to the GBM standard formula, the change in copper price can be calculated in Equation (23):
d S t = μ S t d t + σ S t d W t
where S t means the copper price at time t, coefficients μ and σ indicate the drift and volatility, respectively, and are both constant in this model. W t is a Wiener process (Brownian Motion), and d W t is normally distributed with variance d t   in Equation (24):
d W t = ε d t
where ε is a standard normal random number, so Equation (25) can be deduced as follows:
d S t / S t = μ d t + σ ε d t
On the basis of the Euler–Maruyama Approximation method, a discretized form to calculate S t is presented in Equation (26):
S t = S 0 + μ S 0 d t + σ S 0 ε d t
According to Equation (26), simulation of the copper price fluctuation needs some key parameters, such as the initial price level S0, the drift μ , and the volatility σ . These parameters are estimated from historical price data, which comes from the cathode copper price in the international financial market, provided by commercial databaseWIND. And then parameters at different levels are set in the model to analyze the uncertainty of copper prices. Scenario settings of the copper market are illustrated in Section 4.1.

3.4. Case Introduction and Parameter Assumptions

The demand for copper is driven by population and per capita income. This paper takes Hunan Province as an example. Hunan is in the central part of China. In 2021, the GDP was 4606.47 billion CNY, and the population was 66.22 million in Hunan. In the province, there are 14 cities, including both economically developed cities and underdeveloped cities. The former, such as Changsha, Zhuzhou, Yueyang, and so on, are building houses on a large scale in these cities, and the urbanization process is intensifying. The latter, such as Zhangjiajie, West Hunan, and so on, are increasing power grid construction to promote economic development. Real estate construction and power grid construction both need a lot of copper. Moreover, copper will return to the scrap market after being used in buildings for several years and can be reused. Considering the opinions of local industry experts, there are potentially three factories, six distribution centres, 14 markets, eight collection centres, and five recycling centres designed in this case. The geographic data and the distance data of all the facilities are obtained from Baidu Maps by using Geocoder API and Direction API.

4. Results

4.1. Scenario Settings

Based on the relevant market and policies of copper and copper scrap, several scenarios are set for copper price fluctuations and copper product demand changes.

4.1.1. Historical Data on Copper Prices

Copper prices and scrap copper prices are important factors affecting the supply chain network. The fluctuation of raw material prices will affect the cost, profit, carbon emission, and structure of the supply chain. Copper prices and scrap copper prices are affected by many factors and fluctuate greatly. This paper traces the historical data of cathode copper prices and scrap copper prices to provide basic data for the supply chain model. According to the commercial database WIND, the typical cathode copper price (Shanghai futures market) and scrap copper price (No.l Copper price and yellow copper price) are extracted. The results show that (1) the cathode copper prices in different futures markets (London futures market, New York futures market, and Shanghai futures market) are relatively consistent. (2) The correlation between impurity copper and cathode copper is small, but the fluctuation trend of No.l Copper and cathode copper is the same. The scrap copper in this paper only collects No.l Copper, excluding impurity copper, so it can be assumed that the price of scrap copper is related to cathode copper.

4.1.2. Scenario Settings of Copper Price Uncertainty

According to the historical data on copper prices, the future copper price is predicted. A total of 45,000 CNY/ton is taken as the starting point, and six price scenarios of low, medium, and high are set, as shown in Table 6.
Combined with the fluctuation attribute of the copper price, the standard deviation is used to express the copper price fluctuation. The standard deviation of low, medium, and high represents the copper price fluctuation in different degrees when the standard deviation coefficients (SDC) are 0.05, 0.15, and 0.25, respectively. Six copper prices and three fluctuation degrees constitute 18 copper price change scenarios, as shown in Table 7.
To express the copper price and fluctuation more intuitively, the combinations of six copper prices and two fluctuation levels of low and high are plotted in one chart, as shown in Figure 2.

4.1.3. Demand Fluctuation Scenario

Influenced by the development policies of the power grid and real estate and the related market demand, the demand for copper products will fluctuate to a certain extent. Five demand scenarios are set up to measure the impact of demand fluctuation on the supply chain, as shown in Table 8.
Copper prices frequently fluctuate within a range of 0–20%, with 10% representing the average fluctuation margin. As market demand for copper is closely correlated with its price, the five expected values are selected.

4.2. Copper Price Effect on Reverse Logistics Construction

Based on the copper price change scenario in Section 4.1, this section discusses the relationship between copper price characteristics and optimal cost and the probability of constructing reverse logistics (PCRL). In Figure 3, the copper price presents a normal distribution, and its characteristics depend on the expected value and standard deviation. The SDC can fully reflect the relative size of the standard deviation and the expected value. The large SDC indicates that the copper price fluctuates greatly. The six expected prices are shown in Table 6. Eighteen scenarios of copper price changes are shown in Table 7. This section discusses the relationship between SDC and PCRL under six expected copper prices. As shown in Table 7, under each expected price, three SDCs are set: 0.05, 0.15, and 0.25. The optimal costs under all combinations of expected prices and SDC are calculated, and the PCRLs are recorded.
Under six copper price scenarios, the probability of establishing reverse logistics is shown in Figure 3. The results show that with the increase in the SDC, the PCRL of all expected price scenarios tends to be 0.5. Regardless of the price fluctuation, the PCRL corresponding to the S2 scenario is always 0.5. This shows that the price of S2 is a critical point. When the price expectation is lower than S2, PCRL and SDC are positively correlated and have the same trend of change. When the price expectation is higher than S2, PCRL and SDC are negatively correlated. According to the GBM model of forecasting copper prices, with the growth of time, the expected price of copper will become higher, so the PCRL will also increase. This means that when the price grows rapidly, even if the RSC is not built in the short term, it will be built in the long term. However, when copper prices fluctuate significantly, the uncertainty of the supply chain structure increases.

4.3. Optimization Results Under Variable Copper Prices

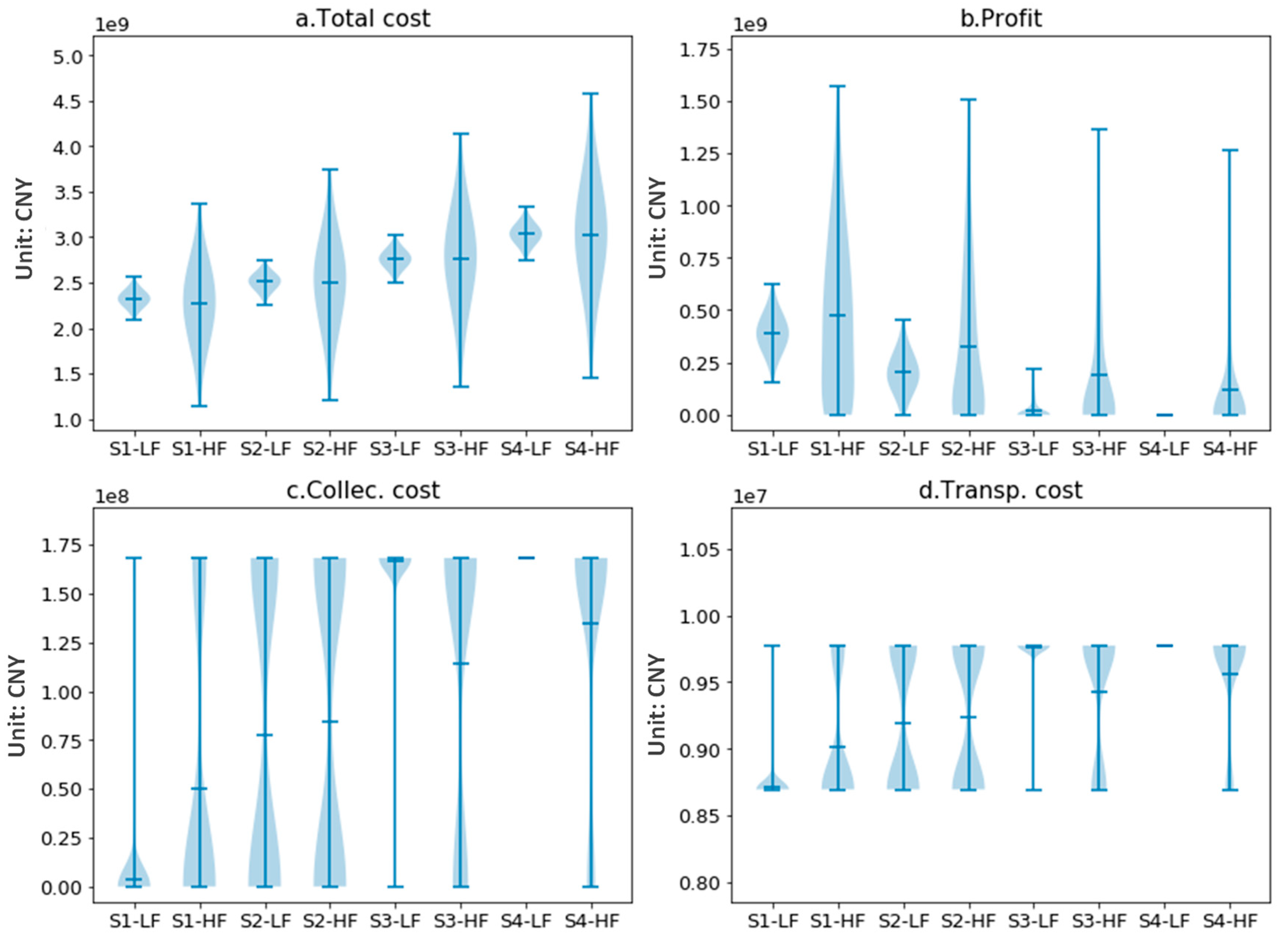
Twelve scenarios of low/high volatility corresponding to six expected prices are chosen, and the total cost, profit, collection cost, and transportation cost are analyzed in Figure 4. Four violin charts represent the probability density under eight copper price scenarios. Figure 4a indicates the probability density of the total cost. Figure 4b indicates the probability density of the profit. Figure 4c indicates the probability density of the collection cost. Figure 4d indicates the probability density of the transportation cost.
Because the results of scenarios S5 and S6 are very similar to those of S4, only eight scenarios of S1~S4 are shown, including the optimized main cost and profit of the supply chain.
In the optimization results, the total cost is in the shape of a spindle, and whether reverse logistics is built or not, the cost distribution meets the following characteristics: the cost distribution density is the largest near the optimal cost corresponding to the expected value.
As the commodity price in the model comes from market research, and the expected prices of S3 and S4 in the model have increased to a higher level, most of the profits are negative. In the figure, the profits of S3-LF and S4-LF represent two short lines close to the zero point.
Most of the collection costs are a dumbbell type because the collection costs depend on whether to establish reverse logistics. This distribution will appear only if the PCRL is less than one. The PCRL of S4-LF is one, so the collection cost is a short line at the top of the graph.
The shape of the transportation cost is similar to the collection cost. The transportation cost includes the two parts of the forward logistics and reverse logistics, and the transportation cost of the RSC depends on the PCRL, like the collection cost, so the two cost trends are similar.

4.4. Impact of Demand Fluctuation on Supply Chain Construction

In this section, the effects of whether the fluctuation of demand will affect PCRL are examined. Two cases of low and high price fluctuations are considered, respectively. The PCRL under each scenario is achieved, as shown in Figure 5.
The fluctuation of the demand causes a change in the PCRL. With the fluctuation of high prices, the higher the expected price is, the greater the PCRL is. In the case of the same expected price and volatility, when the demand is reduced, the PCRL is reduced. The more the demand decreases, the lower the probability of reverse logistics is. When the demand increases, P4, P5, and P3 have the same PCRL because of the constraints on the RSC in the model. When the demand reaches the P3 level, the upper limit of reverse logistics is reached, so P4, P5, and P3 behave the same way. A similar result also appears in Figure 5b. Furthermore, the PCRL is more polarized when the demand fluctuates similarly in Figure 5b, while the change between the low expected prices and the high ones shows a certain continuity in Figure 5a.
In Figure 5b, when the expected price reaches P3, the PCRL is close to one, and when the expected price is low, the probability is close to zero, such as S1-LF. This is because the volatility is small; whether to build reverse logistics or not depends on the static model of the expected price. When the expected price is too low or too high, the differentiation is especially obvious. When the copper price is low, even if the demand fluctuates, it tends not to build reverse logistics. When the price of copper is high and the demand fluctuates, it always tends to build reverse logistics.
However, S2 in Figure 5b is quite special. In five cases of demand fluctuation, the PCRL is 0.25, 0.4, 0.5, 0.5, and 0.5, respectively. When the demand reduces, the cost of the RSC per unit product will increase, and the economy of building reverse logistics will decline. Therefore, the low demand brings a decrease in PCRL.

4.5. Optimization Results Under Both Copper Price and Demand Fluctuations

To investigate the impact of the demand fluctuation for copper products on the economic data of the supply chain, under the dynamic change of copper prices, such as total cost, profit, collection cost, and transportation cost, S2 is chosen to study how the optimization results change when both price and demand fluctuate.
In Figure 6, the results show that, with the increase in demand, the minimum cost of optimization rises gradually, and the core density distribution of the total cost violin chart presents a spindle shape.
In the collection cost and transportation cost, the data corresponding to P1 and P2 is smaller than that of P3~P5. That is relevant to the PCRL. It can be concluded from the analysis in the previous section that the change in demand will affect the PCRL, and a low PCRL leads to a low collection cost. The PCRL of P1~P5 in S2-HF is 0.25, 0.4, 0.5, 0.5, and 0.5. Therefore, the collection cost of P1 is lower than that of P2. The PCRL of P3~P5 are equal, and the demand for copper scrap has reached the upper limit of model constraints, so the collection cost is the same. Transport costs are similar in character to collection costs for the same reasons.

4.6. Sensitivity Analysis of Demand Fluctuation

The five scenarios of demand change are shown in Table 6. P1~P5 represent the situations of demand −20%, −10%, unchanged, +10%, and +20%, respectively.
It can be seen from the results in Figure 7 that the total cost, profit, collection cost, and transportation cost all change with the demand changes. The change range of the total cost is slightly smaller than that of demand. The decrease or increase in profit is greater than the change in demand. In P1 and P2 scenarios, the collection cost is greatly reduced. Combined with Figure 5 above, it can be deduced that the decrease in demand could cause a decrease in PCRL and the collection cost.
The collection costs of P4 and P5 are the same as those of P3, and the reason has been analyzed. As the collection cost has not changed, the profit growth of P4 and P5 has increased significantly.

5. Discussion

5.1. Discussion of Research Questions and Hypotheses

A threshold exists for copper prices that can trigger the formation of reverse supply chains (RSC). However, significant fluctuations in copper prices introduce uncertainty into supply chain network configurations. Firstly, as time progresses, the expected price of copper increases, thereby elevating PCRL. This implies that during periods of rapid price growth, even if an RSC is not established in the short term, it will be established in the long run. However, when copper prices fluctuate significantly, uncertainty in the supply chain structure increases, validating Research Hypothesis 1. Secondly, fluctuations in demand cause the PCRL to change. As high-price volatility intensifies, higher expected prices correlate with greater PCRL. Under identical expected prices and volatility, reduced demand diminishes the PCRL. Greater demand contraction lowers the reverse logistics likelihood, validating Research Hypothesis 2. Thirdly, total costs, profits, collection costs, and transportation costs all fluctuate with demand variations. Total cost variations exhibit slightly smaller magnitudes than demand shifts. Profit reductions or increases exceed demand fluctuations. Reduced demand may lead to decreases in PCRL and collection costs, validating Research Hypothesis 3. Overall, validation of these hypotheses further clarifies the study’s research questions and objectives: to reveal the impact of high copper price uncertainty on the copper supply chain (CSC) configuration and propose CSC development strategies.

5.2. Discussion on the MILP Model

From a temporal perspective, historical data cannot be fully compared: real-world supply chain evolution is disrupted by unforeseen events (policy changes, wars, and pandemics), rendering direct verification between MILP model outcomes and historical data impossible. Concurrently, future projections prove difficult to validate, as MILP models are frequently employed to forecast or optimize prospective copper supply chain scenarios—scenarios that cannot be ‘pre-verified’. Methodologically, MILP typically requires linear objective functions and constraints, yet the copper supply chain exhibits scale effects, non-linear smelting processes, and non-linear price curves, creating an inherent ‘structural gap’ between the model and reality. Moreover, MILP models frequently yield multiple optimal solutions, with the practical feasibility of different outcomes potentially varying significantly in reality, making it challenging to determine which solution is ‘truly verifiable’. Furthermore, MILP places a greater emphasis on demonstrating possible outcomes under varying conditions through scenario analysis rather than providing a single, directly verifiable deterministic conclusion.

6. Conclusions

This section summarizes the study as follows. First, the significance revealed by the research results is analyzed. Second, the policy recommendations are explored. Third, limitations of the study are indicated, and future research directions are provided.
The current literature on copper resources is primarily focused on material flow analysis but little is written about the CSC. In this context, the paper has made the following scientific contributions: (1) this paper first attempts to propose a TSSP optimization model of copper based on geographic data. (2) The proposed model can be used for dynamic cost optimization and provide economic performance under different copper price fluctuations. (3) The results show that the CLSC establishment is not only beneficial to the reuse of resources but also has great economic benefits. (4) The results of research on the CSC in Hunan Province indicate that the level and fluctuation of copper prices both affect the supply chain structure. The probability of establishing an RSC in a high copper price scenario is greater than in a low copper price scenario. There is a threshold for the copper price that can trigger the establishment of an RSC. However, the significant fluctuations in prices could increase the uncertainty of the supply chain network structure. Policy measures should be taken to maintain the safety of the CLSC in times of market instability. (5) The research method proposed in this paper can also be used in other metal supply chains to promote the efficient utilization of metal resources and provide a method for the construction of a sustainable metal supply chain network.
Based on the inspiration provided by the research results, this paper provides the following policy suggestions: (1) Necessary financial means can be adopted to hedge the risk of copper price fluctuations and reduce the uncertainty of the supply chain structure; (2) guarantee policies can be provided for the recycling of copper scrap, such as tax incentives can be given to recycled copper products; and (3) consumers are encouraged to establish values of conservation, recycling, and reuse, as well as purchase recycled copper products.
The limitations of this study and the future research are analyzed. (1) The research scope of this paper is the core part of the whole CSC network, but the problems of impure copper, the dismantling of waste-containing copper, and the trans-provincial supply chain are not involved in this paper. In further research, the above factors can be taken into consideration of the SCND, and the research results will be closer to the actual problems and will serve as a good case for the development of the real industry. (2) Since the price of No.l Copper is highly related to the price of cathode copper, this paper assumes that the price of cathode copper and scrap copper change in equal proportion, but the relationship between impure copper and raw copper is not close. In future research, we can discuss how impure copper, which is not closely related to the price of cathode copper, affects the SCND. (3) In this model, the cost of carbon dioxide emission is included, but the effect of the carbon dioxide price on the CLSC is not discussed.

Author Contributions

Conceptualization, Y.G. and H.R.; methodology, Y.G.; software, Y.G. and H.R.; validation, M.S. and H.R.; formal analysis, M.S. and H.R.; investigation, Y.G. and H.R.; resources, Y.G. and H.R.; data curation, H.G.; writing—original draft preparation, Y.G. and H.R.; writing—review and editing, M.S.; visualization, M.S.; supervision, H.R.; project administration, H.R.; funding acquisition, H.R. All authors have read and agreed to the published version of the manuscript.”

Funding

This research and the APC was financially supported by the National Natural Science Foundation of China (No. 72371102).

Data Availability Statement

The data that support the findings of this study are available on a reasonable request from the author.

Conflicts of Interest

The authors declare no conflict of interest.

References

  1. Ma, X.; Chen, L.; Wu, W.; Liu, Y.; Qiao, W.; Ma, L. Comparative Analysis of Arctic-Related Strategies at the National Level: Competition and Collaboration. Systems 2023, 11, 413. [Google Scholar] [CrossRef]
  2. Cañadilla, A.; Romero, A.; Rodríguez, G.P.; Caminero, M.Á.; Dura, Ó.J. Mechanical, Electrical, and Thermal Characterization of Pure Copper Parts Manufactured via Material Extrusion Additive Manufacturing. Materials 2022, 15, 4644. [Google Scholar] [CrossRef]
  3. Kortyka, L.; Labaj, J.; Mycka, L.; Matula, T.; Ptak, S.; Babilas, D.; Wojtal, T.; Blacha, L.; Smalcerz, A.; Findorak, R.; et al. Fruit Seed Biomass as an Alternative Material to Use in Recycling Processes of Metals from Industrial Waste. Materials 2025, 18, 3063. [Google Scholar] [CrossRef] [PubMed]
  4. Earl, C.; Shah, I.H.; Cook, S.; Cheeseman, C.R. Environmental Sustainability and Supply Resilience of Cobalt. Sustainability 2022, 14, 4124. [Google Scholar] [CrossRef]
  5. Gorman, M.R.; Dzombak, D.A. An Assessment of the Environmental Sustainability and Circularity of Future Scenarios of the Copper Life Cycle in the U.S. Sustainability 2019, 11, 5624. [Google Scholar] [CrossRef]
  6. Elshkaki, A.; Graedel, T.E.; Ciacci, L.; Reck, B.K. Copper Demand, Supply, and Associated Energy Use to 2050. Glob. Environ. Change 2016, 39, 305–315. [Google Scholar] [CrossRef]
  7. Zhou, Y.; Li, J.; Wang, G.; Chen, S.; Xing, W.; Li, T. Assessing the Short-to Medium-Term Supply Risks of Clean Energy Minerals for China. J. Clean. Prod. 2019, 215, 217–225. [Google Scholar] [CrossRef]
  8. Gu, Y.; Yang, H.; Wu, Y.; Tuo, M.; Xu, M.; Hu, G.; Zuo, T. Regulation Mechanism for Designing Decarbonization Pathways in the Copper Industry Toward Carbon Neutrality. Environ. Sci. Technol. 2024, 58, 1518–1530. [Google Scholar] [CrossRef]
  9. Dai, T.; Yue, Z.; Zhang, X.; Chi, Y. A Systems Perspective on Material Stocks Research: From Quantification to Sustainability. Systems 2025, 13, 587. [Google Scholar] [CrossRef]
  10. Pavo-López, M.F.; Amaro-Mellado, J.-L. Identifying Editions of the Ptolemy of Rome Maps (1478/90–1507/08) by Copper Plates Changes. Int. J. Geo. Inf. 2024, 13, 195. [Google Scholar] [CrossRef]
  11. Valenta, R.K.; Kemp, D.; Owen, J.R.; Corder, G.D.; Lèbre, É. Re-Thinking Complex Orebodies: Consequences for the Future World Supply of Copper. J. Clean. Prod. 2019, 220, 816–826. [Google Scholar] [CrossRef]
  12. Wen, F.; Zhao, C.; Hu, C. Time-Varying Effects of International Copper Price Shocks on China’s Producer Price Index. Resour. Policy 2019, 62, 507–514. [Google Scholar] [CrossRef]
  13. Pfaff, M.; Glöser-Chahoud, S.; Chrubasik, L.; Walz, R. Resource Efficiency in the German Copper Cycle: Analysis of Stock and Flow Dynamics Resulting from Different Efficiency Measures. Resour. Conserv. Recycl. 2018, 139, 205–218. [Google Scholar] [CrossRef]
  14. Wang, J.; Zheng, S.; Liu, W.; Chen, L.; Wen, Z.; Li, X. Prediction, Evaluation and Optimization of China’s Copper Resource Supply System under Carbon Constraints. Sustain. Prod. Consum. 2023, 39, 285–300. [Google Scholar] [CrossRef]
  15. Goodfellow, R.; Dimitrakopoulos, R. Simultaneous Stochastic Optimization of Mining Complexes and Mineral Value Chains. Math. Geosci. 2017, 49, 341–360. [Google Scholar] [CrossRef] [PubMed]
  16. Akbari-Kasgari, M.; Khademi-Zare, H.; Fakhrzad, M.B.; Hajiaghaei-Keshteli, M.; Honarvar, M. Designing a Resilient and Sustainable Closed-Loop Supply Chain Network in Copper Industry. Clean Techn. Environ. Policy 2022, 24, 1553–1580. [Google Scholar] [CrossRef]
  17. Becerra, P.; Mula, J.; Sanchis, R.; Campuzano-Bolarín, F. Simulation Optimisation of a Sustainable Copper Mining Closed-Loop Supply Chain. Int. J. Syst. Sci. Oper. Logist. 2024, 11, 2311285. [Google Scholar] [CrossRef]
  18. Li, B.; Li, H.; Ren, S.; Zheng, X.; Tang, Q.; Zhang, Y. Quantifying the Supply System Risk of the Global Copper Industry Chain under Different Shock Scenarios. Resour. Conserv. Recycl. 2025, 219, 108270. [Google Scholar] [CrossRef]
  19. Tian, X.; Zheng, J.; Hu, L.; Liu, Y.; Wen, H.; Dong, X. Impact of China's Waste Import Policy on the Scrap Copper Recovery Pattern and Environmental Benefits. Waste Manag. 2021, 135, 287–297. [Google Scholar] [CrossRef]
  20. Yin, J.; Liu, L.; Ji, H.; Zhang, L.; Li, C.; Yuan, Z. Sustain China's Copper Resources with Domestic Mining, Trading, and Recycling. Resour. Conserv. Recycl. 2024, 202, 107396. [Google Scholar] [CrossRef]
  21. Jabbarzadeh, A.; Haughton, M.; Khosrojerdi, A. Closed-Loop Supply Chain Network Design under Disruption Risks: A Robust Approach with Real World Application. Comput. Ind. Eng. 2018, 116, 178–191. [Google Scholar] [CrossRef]
  22. Lu, S.; Hou, W.; Li, Z.; Xia, J.; Xie, L.; Su, H. Design and Optimisation of a Green Manufacturing-Recycling Network Considering Heavy Metal Pollutants—An Electronic Assembly Case. Int. J. Prod. Res. 2022, 60, 2830–2849. [Google Scholar] [CrossRef]
  23. Becerra, P.; Mula, J.; Sanchis, R. Optimising Location, Inventory and Transportation in a Sustainable Closed-Loop Supply Chain. Int. J. Prod. Res. 2024, 62, 1609–1632. [Google Scholar] [CrossRef]
  24. Yılmaz, Ö.F.; Özçelik, G.; Yeni, F.B. Ensuring Sustainability in the Reverse Supply Chain in Case of the Ripple Effect: A Two-Stage Stochastic Optimization Model. J. Clean. Prod. 2021, 282, 124548. [Google Scholar] [CrossRef]
  25. Sharifi, E.; Fang, L.; Amin, S.H. A Novel Two-Stage Multi-Objective Optimization Model for Sustainable Soybean Supply Chain Design under Uncertainty. Sustain. Prod. Consum. 2023, 40, 297–317. [Google Scholar] [CrossRef]
  26. Gholizadeh, H.; Fazlollahtabar, H. Robust Optimization and Modified Genetic Algorithm for a Closed Loop Green Supply Chain under Uncertainty: Case Study in Melting Industry. Comput. Ind. Eng. 2020, 147, 106653. [Google Scholar] [CrossRef]
  27. Nayeri, S.; Paydar, M.M.; Asadi-Gangraj, E.; Emami, S. Multi-Objective Fuzzy Robust Optimization Approach to Sustainable Closed-Loop Supply Chain Network Design. Comput. Ind. Eng. 2020, 148, 106716. [Google Scholar] [CrossRef]
  28. Atabaki, M.S.; Mohammadi, M.; Naderi, B. New Robust Optimization Models for Closed-Loop Supply Chain of Durable Products: Towards a Circular Economy. Comput. Ind. Eng. 2020, 146, 106520. [Google Scholar] [CrossRef]
  29. Jafarian, A.; Rabiee, M.; Tavana, M. A Novel Multi-Objective Co-Evolutionary Approach for Supply Chain Gap Analysis with Consideration of Uncertainties. Int. J. Prod. Econ. 2020, 228, 107852. [Google Scholar] [CrossRef]
  30. Hu, H.; Lin, T.; Wang, S.; Rodriguez, L.F. A cyberGIS Approach to Uncertainty and Sensitivity Analysis in Biomass Supply Chain Optimization. Appl. Energy 2017, 203, 26–40. [Google Scholar] [CrossRef]
  31. Zamar, D.S.; Gopaluni, B.; Sokhansanj, S.; Newlands, N.K. A Quantile-Based Scenario Analysis Approach to Biomass Supply Chain Optimization under Uncertainty. Comput. Chem. Eng. 2017, 97, 114–123. [Google Scholar] [CrossRef]
  32. Karabağ, O.; Gökgür, B. Integrated Optimisation of Pricing, Manufacturing, and Procurement Decisions of a Make-to-Stock System Operating in a Fluctuating Environment. Int. J. Prod. Res. 2023, 61, 8423–8450. [Google Scholar] [CrossRef]
  33. Guo, Y.; Zhou, W.; Ren, H.; Yu, Y.; Xu, L.; Fuss, M. Optimizing the Aluminum Supply Chain Network Subject to the Uncertainty of Carbon Emissions Trading Market. Resour. Policy 2023, 80, 103247. [Google Scholar] [CrossRef]
  34. Zhou, W.; Ren, H.; Zhang, X.-B.; Shao, S. Assessing Uncertain Technological Progress in the Decarbonization Pathway of China's Hydrogen Energy System. Energy Econ. 2025, 141, 108135. [Google Scholar] [CrossRef]
  35. Sharma, R.; Kamble, S.S.; Gunasekaran, A. Big GIS Analytics Framework for Agriculture Supply Chains: A Literature Review Identifying the Current Trends and Future Perspectives. Comput. Electron. Agric. 2018, 155, 103–120. [Google Scholar] [CrossRef]
  36. AbdelRahman, M.A.E.; Natarajan, A.; Hegde, R. Assessment of Land Suitability and Capability by Integrating Remote Sensing and GIS for Agriculture in Chamarajanagar District, Karnataka, India. Egypt. J. Remote Sens. Space Sci. 2016, 19, 125–141. [Google Scholar] [CrossRef]
  37. Yang, G.; Zhou, C.; Wang, W.; Ma, S.; Liu, H.; Liu, Y.; Zhao, Z. Recycling Sustainability of Waste Paper Industry in Beijing City: An Analysis Based on Value Chain and GIS Model. Waste Manag. 2020, 106, 62–70. [Google Scholar] [CrossRef] [PubMed]
  38. Akbari-Kasgari, M.; Khademi-Zare, H.; Fakhrzad, M.B.; Hajiaghaei-Keshteli, M.; Honarvar, M. A Closed-Loop Supply Chain Network Design Problem in Copper Industry. Int. J. Epidemiol. 2020, 33, 2008–2015. [Google Scholar] [CrossRef]
  39. Pourmehdi, M.; Paydar, M.M.; Asadi-Gangraj, E. Scenario-Based Design of a Steel Sustainable Closed-Loop Supply Chain Network Considering Production Technology. J. Clean. Prod. 2020, 277, 123298. [Google Scholar] [CrossRef]
  40. Mardan, E.; Govindan, K.; Mina, H.; Gholami-Zanjani, S.M. An Accelerated Benders Decomposition Algorithm for a Bi-Objective Green Closed Loop Supply Chain Network Design Problem. J. Clean. Prod. 2019, 235, 1499–1514. [Google Scholar] [CrossRef]
  41. Gu, W.; Wang, C.; Dai, S.; Wei, L.; Chiang, I.R. Optimal Strategies for Reverse Logistics Network Construction: A Multi-Criteria Decision Method for Chinese Iron and Steel Industry. Resour. Policy 2021, 74, 101353. [Google Scholar] [CrossRef]
  42. Sherafati, M.; Bashiri, M.; Tavakkoli-Moghaddam, R.; Pishvaee, M.S. Supply Chain Network Design Considering Sustainable Development Paradigm: A Case Study in Cable Industry. J. Clean. Prod. 2019, 234, 366–380. [Google Scholar] [CrossRef]
  43. Zohal, M.; Soleimani, H. Developing an Ant Colony Approach for Green Closed-Loop Supply Chain Network Design: A Case Study in Gold Industry. J. Clean. Prod. 2016, 133, 314–337. [Google Scholar] [CrossRef]
Figure 1. The copper supply chain network.
Figure 1. The copper supply chain network.
Sustainability 17 08977 g001
Figure 2. Simulations of copper prices in the 12 scenarios.
Figure 2. Simulations of copper prices in the 12 scenarios.
Sustainability 17 08977 g002
Figure 3. Probability of establishing the reverse logistics at different copper price scenarios with different levels of volatility.
Figure 3. Probability of establishing the reverse logistics at different copper price scenarios with different levels of volatility.
Sustainability 17 08977 g003
Figure 4. Total cost, profit, collection cost, and transportation cost under eight scenarios.
Figure 4. Total cost, profit, collection cost, and transportation cost under eight scenarios.
Sustainability 17 08977 g004
Figure 5. PCRL of demand fluctuation.
Figure 5. PCRL of demand fluctuation.
Sustainability 17 08977 g005
Figure 6. Total cost, profit, collection cost, and transportation cost under demand fluctuation in S2-HF.
Figure 6. Total cost, profit, collection cost, and transportation cost under demand fluctuation in S2-HF.
Sustainability 17 08977 g006
Figure 7. Sensitivity analysis of the expected value of total cost, profit, collection cost, and transportation cost when demand fluctuates from −20% to 10% and 10% to 20% in S2-HF.
Figure 7. Sensitivity analysis of the expected value of total cost, profit, collection cost, and transportation cost when demand fluctuates from −20% to 10% and 10% to 20% in S2-HF.
Sustainability 17 08977 g007
Table 1. Literature review on metal supply chain.
Table 1. Literature review on metal supply chain.
No.ReferenceIndustryOptimization MethodTypes of Supply ChainUncertainty ConsideredIncluding Geographic Data
1Akbari-Kasgari et al. (2020)copperMILP [38]CYN
2Pourmehdi et al. (2020) steelMOA [39]CYN
3Mardan et al. (2019)wire and cableBOLP [40]CYN
4Gu et al. (2021) iron and steel scrapMCDA [41]RNN
5Sherafati et al. (2019) cableBONP [42]FYN
6Zohal and Soleimani (2016)goldMILP [43]CNN
7This papercopperTSSP&MILPCYY
Optimization method: MCDA: Multi-criteria Decision Analysis, MOA: multi-objective approach, MILP: mixed integer linear programming, MINLP: Mixed Integer Non-linear Programming, BONP: bi-objective non-linear programming, BOLP: bi-objective linear programming, and TSSP: two-stage stochastic programming. Types of logistics: C: closed-loop, R: reverse logistics included, and F: forward logistics only.
Table 2. Design of the copper supply chain.
Table 2. Design of the copper supply chain.
EchelonsDescription
FactoryThe factory uses copper or high-quality waste copper as raw materials to produce copper products.
Distribution centreDistribution centres with different capacities.
MarketMarkets are distributed in different places and of different scales, providing products to users, and markets are also the first gathering places of scrap copper.
Collection centreCollection centres are responsible for collecting scrap copper from markets.
Recycling centreRecycling centres send the waste copper from collection centres to the copper factory.
Table 3. Indices.
Table 3. Indices.
SetsDescription
P set of factories, P = {1, 2, …, |P|}, p P
D set of distribution centres, D = {1, 2, …, |D|}, d   D
M set of markets, M = {1, 2, …, |M|}, m   M
C set of collection centres, C = {1, 2, …, |C|}, c   C
R set of recycling centres, R = {1, 2, …, |R|}, r   R
T set of product category, T = {1, 2, …, |T|}, t   T
S set of new product category, subset of T, S = {1, 2, …, |S|}, s   S
W set of recycled product category, subset of T, W = {1, 2, …, |W|}, w   W
Q set of raw material category, Q = {1, 2, …, |Q|}, q   Q
Q F set of new raw material category, subset of Q, QF = {1, 2, …, |QF|}, q f Q F
Q R set of recycled feedstock category, subset of Q, QR = {1, 2, …, |QR|}, qr   Q R
Table 4. Parameters.
Table 4. Parameters.
ParametersDescription
f p q q feedstock price, CNY/ton
c t c copper price, CNY/ton
c t t p transportation cost, CNY/(ton·km)
o t t p CO2 emission of transportation, tCO2/(ton·km)
o t q q CO2 emission of feedstock, tCO2/ton
f p q t commodity price, CNY/ton
c p q conversion efficiency from feedstock q to product t during processing
c p r s , q r conversion efficiency from product waste s to recycled feedstock qr in the recycling process
d m d t , m quantity of product t transported to market m, ton/yr
c p p f p , t the maximum output of product t in factory p, ton/yr
e c p f p annual fixed cost of factory p, CNY/yr
c t p f p , t variable cost of product t in factory p, CNY/ton
o t p f p , t CO2 emissions of product t in factory p, tCO2/ton
c p d c d , t storing capacity of product t in distribution centre d, ton/yr
e c d c d annual fixed cost of distribution centre d, CNY/yr
c t d c d , t distributing cost of product t in distribution centre d, CNY/ton
o t d c d , t CO2 emissions of distributing product t in distribution centre d, tCO2/ton
c p c c c , t capacity of collection centre c for collecting product waste t, ton/yr
e c c c c annual fixed cost of collection centre c, CNY/yr
c t c c c , t collecting cost of product waste t in collection centre c, CNY/ton
o t c c c , t CO2 emissions of collecting product waste t in collecting centre c, tCO2/ton
c p r c r , t capacity of recycling centre r for recycling product t, ton/yr
o t r c r , t CO2 emissions of recycling waste t in recycling centre r, tCO2/ton
e c r c r annual fixed cost of recycling centre r, CNY/yr
c t r c r , t recycling cost of product waste t at recycling centre r, CNY/ton
d p p d p , d distance length between factory p and distribution centre d, km
d p d m d , m distance length between distribution centre d and market m, km
d p m c m , c distance length between market m and collection centre c, km
d p c r c , r distance length between collection centre c and recycling centre r, km
d p r p r , p distance length between recycling centre r and factory p, km
Table 5. Decision variables.
Table 5. Decision variables.
Decision VariablesDescription
D F P p , q 0 quantity of raw material q bought by factory p, ton/yr
D P P p , t 0 quantity of product t produced by factory p, ton/yr
D F D p , d , t 0 quantity of product t transported from factory p to distribution centre d, ton/yr
D D M d , m , t 0 quantity of product t transported from distribution centre d to market m, ton/yr
D M C m , c , s 0 quantity of product waste s transported from market m to collection centre c, ton/yr
D C R c , r , s 0 quantity of product waste s transported from collection centre c to recycling centre r, ton/yr
D R P r , p , q r 0 quantity of recycled feedstock qr transported from recycling centre r to factory p, ton/yr
D C E c equal to 1 if collection centre c is built, equal to 0 otherwise
D R E r equal to 1 if recycling centre r is built, equal to 0 otherwise
D R F E equal to 1 if the reverse logistics is built, equal to 0 otherwise
Table 6. Scenario setting of copper price. (Source: the expectation based on the WIND database).
Table 6. Scenario setting of copper price. (Source: the expectation based on the WIND database).
ScenarioExpectation (CNY/ton)
S146,121
S250,804
S357,237
S464,439
S572,669
S682,169
Table 7. Scenario setting of copper market. (Source: the expectation based on the WIND database).
Table 7. Scenario setting of copper market. (Source: the expectation based on the WIND database).
ScenarioDescriptionExpectation
(CNY/ton)
Standard Deviation
S1-LFLow speed of price increase, low fluctuation46,1212306
S1-MFLow speed of price increase, medium fluctuation46,1216918
S1-HFLow speed of price increase, high fluctuation46,12111,530
S2-LFLow speed of price increase, low fluctuation50,8042540
S2-MFLow speed of price increase, medium fluctuation50,8047621
S2-HFLow speed of price increase, high fluctuation50,80412,701
S3-LFMedium speed of price increase, low fluctuation57,2372862
S3-MFMedium speed of price increase, medium fluctuation57,2378586
S3-HFMedium speed of price increase, high fluctuation57,23714,309
S4-LFMedium speed of price increase, low fluctuation64,4393222
S4-MFMedium speed of price increase, medium fluctuation64,4399666
S4-HFMedium speed of price increase, high fluctuation64,43916,110
S5-LFHigh speed of price increase, low fluctuation72,6693633
S5-MFHigh speed of price increase, medium fluctuation72,66910,900
S5-HFHigh speed of price increase, high fluctuation72,66918,167
S6-LFHigh speed of price increase, low fluctuation82,1694108
S6-MFHigh speed of price increase, medium fluctuation82,16912,325
S6-HFHigh speed of price increase, high fluctuation82,16920,542
Table 8. Demand fluctuation. (Source: the expectation based on the WIND database).
Table 8. Demand fluctuation. (Source: the expectation based on the WIND database).
Scenario SettingExpectation
P1−20%
P2−10%
P30
P410%
P520%
Disclaimer/Publisher’s Note: The statements, opinions and data contained in all publications are solely those of the individual author(s) and contributor(s) and not of MDPI and/or the editor(s). MDPI and/or the editor(s) disclaim responsibility for any injury to people or property resulting from any ideas, methods, instructions or products referred to in the content.

Share and Cite

MDPI and ACS Style

Shen, M.; Guo, Y.; Gao, H.; Ren, H. Copper Closed-Loop Supply Chain Network Design Based on a Two-Stage Stochastic Programming Model Considering Uncertain Market Prices. Sustainability 2025, 17, 8977. https://doi.org/10.3390/su17208977

AMA Style

Shen M, Guo Y, Gao H, Ren H. Copper Closed-Loop Supply Chain Network Design Based on a Two-Stage Stochastic Programming Model Considering Uncertain Market Prices. Sustainability. 2025; 17(20):8977. https://doi.org/10.3390/su17208977

Chicago/Turabian Style

Shen, Mou, Ying Guo, Hui Gao, and Hongtao Ren. 2025. "Copper Closed-Loop Supply Chain Network Design Based on a Two-Stage Stochastic Programming Model Considering Uncertain Market Prices" Sustainability 17, no. 20: 8977. https://doi.org/10.3390/su17208977

APA Style

Shen, M., Guo, Y., Gao, H., & Ren, H. (2025). Copper Closed-Loop Supply Chain Network Design Based on a Two-Stage Stochastic Programming Model Considering Uncertain Market Prices. Sustainability, 17(20), 8977. https://doi.org/10.3390/su17208977

Note that from the first issue of 2016, this journal uses article numbers instead of page numbers. See further details here.

Article Metrics

Article metric data becomes available approximately 24 hours after publication online.
Back to TopTop