Advanced Formulation of Ecological Bioinsecticides Based on Citrus limonum in Clayey Matrices: Optimization of Diffusive Dynamics
Abstract
1. Introduction
2. Materials and Methods
2.1. Materials
2.1.1. Porous Clay
2.1.2. Lemon Essential Oil
2.1.3. Preparation of the Clay/Essential Oil Mixture
2.1.4. Insecticidal Test Against Sitophilus granaries
2.2. Theoretical Considerations
2.2.1. Diffusion Model
- -
- is the concentration of the essential oil at position x and time t;
- -
- D is the diffusion coefficient of the essential oil in the clay matrix;
- -
- is the rate of change of concentration with time;
- -
- is the second derivative of concentration with respect to position, representing the spatial variation in concentration.
2.2.2. Advanced Models
2.2.3. Assumptions
2.2.4. Model of Mass Transfer by Diffusion
2.2.5. Mathematical Framework
- -
- is the concentration of EOCL at a position and time t;
- -
- are the diffusion coefficients in the directions, respectively.
2.2.6. Boundary and Initial Conditions
2.2.7. Analytical Solution
- -
- M0 is the initial mass of EOCL absorbed;
- -
- M∞ is the mass of EOCL at equilibrium.
2.3. Experimentation and Modeling—Essentials
2.3.1. Insecticidal Activity Test
2.3.2. Optimization of Transfer Conditions
2.3.3. Study of Insecticidal Activity Behavior of Essential Oil Mixture in Clay Porous Media
2.4. The Bioinformatics Approach
2.5. Statistical Analysis
3. Results and Discussion
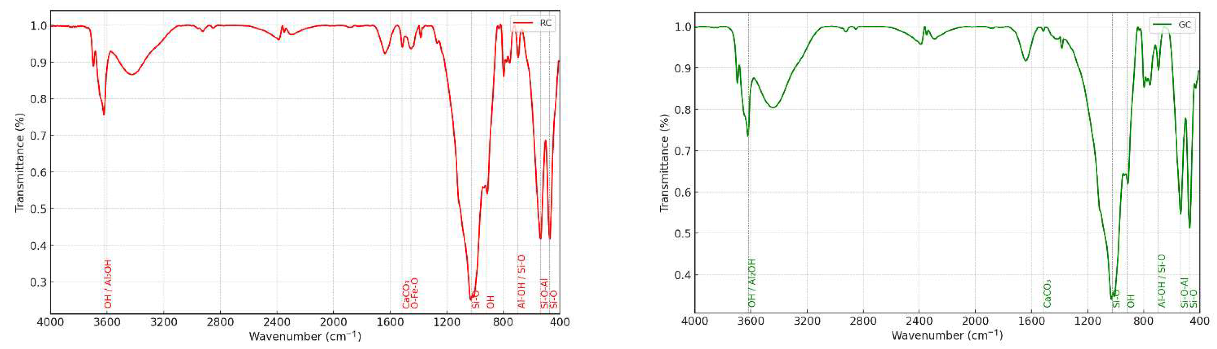
3.1. Chemical Characterization of RC and GC Media
3.2. Chemical Characterization of Essential Oil of Citrus limonum
3.3. Insecticidal Activities in Porous Clay Media
3.4. Optimization of Essential Oil Transfer Conditions in Porous Media
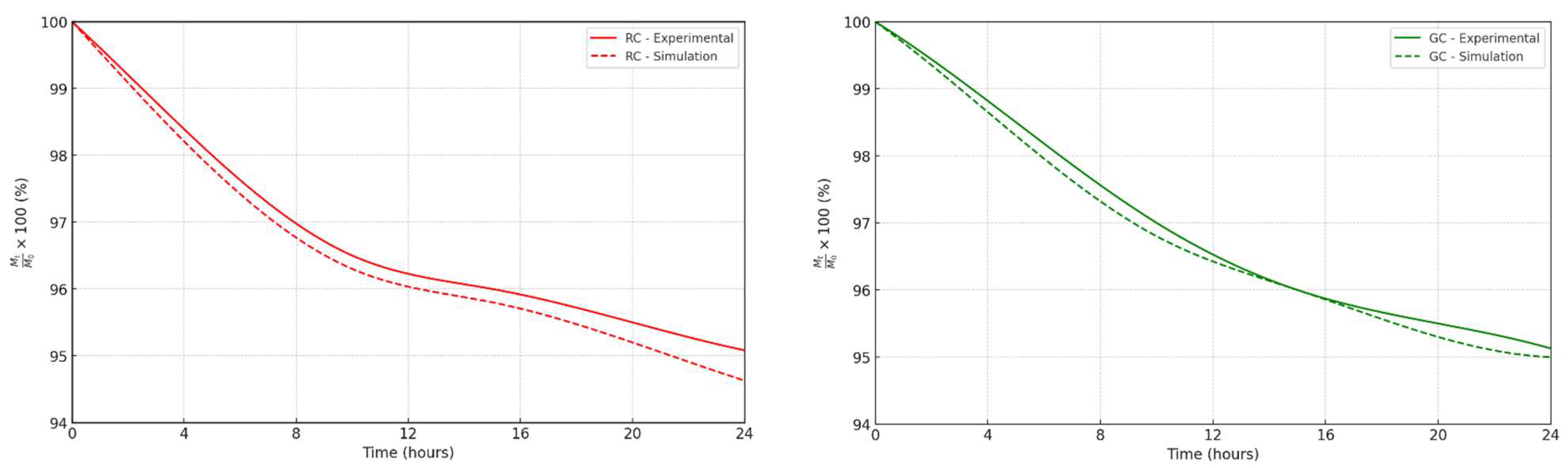
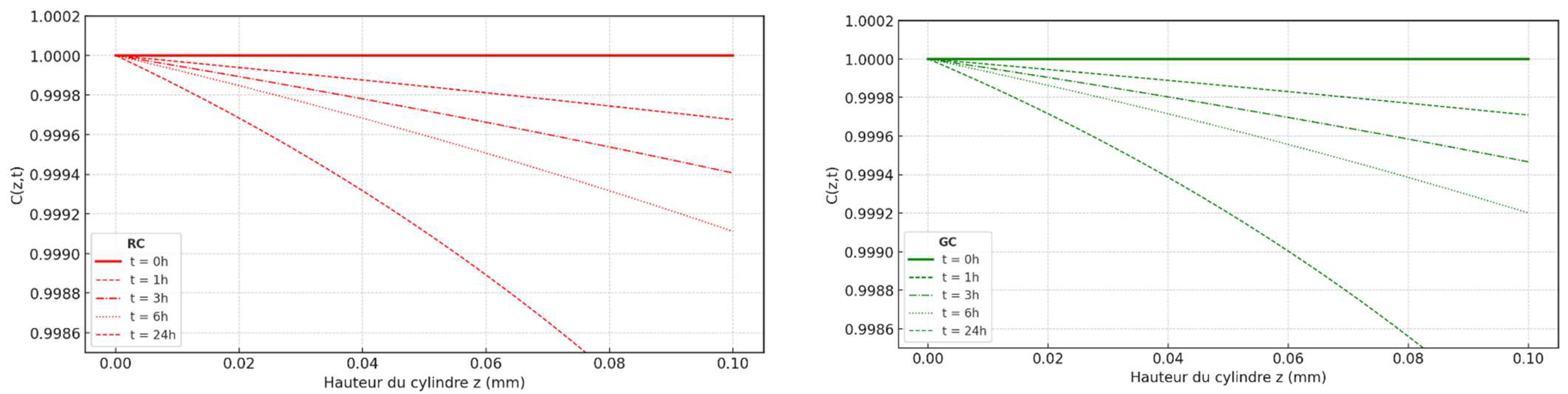
3.5. Modeling the Diffusion Process of Citrus limonum Essential Oil (EOCL) in Porous Media RC and GC
3.6. Interaction of Essential Oils in Porous Media and Insecticidal Efficacy
3.7. Bioinformatic Studies
4. Conclusions
Author Contributions
Funding
Institutional Review Board Statement
Informed Consent Statement
Data Availability Statement
Conflicts of Interest
References
- Atalla, S.M.; Abdel-Kader, M.M.; El-Gamal, N.G.; El-Mougy, N.S. Using maize wastes, fermented by co-cultures of Trichoderma harzianum and Pseudomonas fluorescens, as grain dressing against maize diseases under field conditions. Egypt. J. Biol. Pest Control. 2020, 30, 37. [Google Scholar] [CrossRef]
- Nzekoue, F.K.; Caprioli, G.; Ricciutelli, M.; Cortese, M.; Alesi, A.; Vittori, S.; Sagratini, G. Development of an innovative phytosterol derivatization method to improve the HPLC-DAD analysis and the ESI-MS detection of plant sterols/stanols. Food Res. Int. 2020, 131, 108998. [Google Scholar] [CrossRef] [PubMed]
- Khammour, F.; Abdoul-Latif, F.M.; Ainane, A.; Mohamed, J.; Ainane, T. Eco-friendly adsorbent from waste of mint: Application for the removal of hexavalent chromium. J. Chem. 2021, 2021, 8848964. [Google Scholar] [CrossRef]
- Lebelo, K.; Malebo, N.; Mochane, M.J.; Masinde, M. Chemical contamination pathways and the food safety implications along the various stages of food production: A review. Int. J. Environ. Res. Public Health 2021, 18, 5795. [Google Scholar] [CrossRef] [PubMed]
- Narayanan, M.; Kandasamy, S.; He, Z.; Kumarasamy, S. Ecological impacts of pesticides on soil and water ecosystems and its natural degradation process. In Pesticides in the Natural Environment; Elsevier: Amsterdam, The Netherlands, 2022; pp. 23–49. [Google Scholar]
- Gupta, I.; Singh, R.; Muthusamy, S.; Sharma, M.; Grewal, K.; Singh, H.P.; Batish, D.R. Plant essential oils as biopesticides: Applications, mechanisms, innovations, and constraints. Plants 2023, 12, 2916. [Google Scholar] [CrossRef]
- Assadpour, E.; Karaça, A.C.; Fasamanesh, M.; Mahdavi, S.A.; Shariat-Alavi, M.; Feng, J.; Jafari, S.M. Application of Essential Oils as Natural Biopesticides: Recent Advances. Crit. Rev. Food Sci. Nutr. 2024, 64, 6477–6497. [Google Scholar] [CrossRef]
- Michael, Q. Assessment of Bioactivity of Selected Plants Against Pests and Microbes from Agro-Pastoral Communities in Mbulu District, Tanzania. Ph.D. Thesis, The Open University of Tanzania, Dar es Salaam, Tanzania, 2015. [Google Scholar]
- Lewicka, K.; Szymanek, I.; Rogacz, D.; Wrzalik, M.; Łagiewka, J.; Nowik-Zając, A.; Rychter, P. Current trends of polymer materials’ application in agriculture. Sustainability 2024, 16, 8439. [Google Scholar] [CrossRef]
- Mohamed Abdoul-Latif, F.; Ainane, A.; Merito, A.; Houmed Aboubaker, I.; Mohamed, H.; Cherroud, S.; Ainane, T. The effects of khat chewing among Djiboutians: Dental chemical studies, gingival histopathological analyses and bioinformatics approaches. Bioengineering 2024, 11, 716. [Google Scholar] [CrossRef] [PubMed]
- Bobrovskikh, M.A.; Gruntenko, N.E. Mechanisms of neuroendocrine stress response in Drosophila and its effect on carbohydrate and lipid metabolism. Insects 2023, 14, 474. [Google Scholar] [CrossRef]
- De Clerck, C.; Genva, M.; Jijakli, M.H.; Fauconnier, M.L. Use of essential oils and volatile compounds as biological control agents. Foods 2021, 10, 1062. [Google Scholar] [CrossRef]
- Ainane, T.; Abourriche, A.; Kabbaj, M.; Elkouali, M.; Bennamara, A.; Charrouf, M.; Talbi, M. Removal of Hexavalent Chromium from Aqueous Solution by Raw and Chemically Modified Seaweed Bifurcaria bifurcata. J. Mater. Environ. Sci. 2014, 5, 975–982. [Google Scholar]
- Shybat, Z.L.; Mohamed Abdoul-Latif, F.; Mohamed, J.; Ainane, A.; Ainane, T. Antifungal activity of the essential oil of Moroccan myrtle (Myrtus communis L.): Application in agriculture. Pharmacologyonline 2021, 2, 485–491. [Google Scholar]
- Zhang, S.; Lu, Y.; He, K.; Meng, X.; Que, L.; Wang, Z. Effect of UV light polymerization time on the properties of plastic crystal composite polyacrylate polymer electrolyte for all solid-state lithium-ion batteries. J. Appl. Polym. Sci. 2022, 139, 52001. [Google Scholar] [CrossRef]
- Ainane, A.; Taleb, M.; El-Hajjaji, F.; Hammouti, B.; Chetouani, A.; Ainane, T. Study of dependence between two types of most abundant natural clays in Bejaad province (Central Morocco) using a statistical approach. Moroccan J. Chem. 2021, 9, 210–220. [Google Scholar]
- Curtoni, A.; Pastrone, L.; Cordovana, M.; Bondi, A.; Piccinini, G.; Genco, M.; Bottino, P.; Polizzi, C.; Cavallo, L.; Mandras, N.; et al. Fourier Transform Infrared Spectroscopy application for Candida auris outbreak typing in a referral intensive care unit: Phylogenetic analysis and clustering cut-off definition. Microorganisms 2024, 12, 1312. [Google Scholar] [CrossRef] [PubMed]
- Atemni, I.; Ouafi, R.; Hjouji, K.; Mehdaoui, I.; Ainane, A.; Ainane, T.; Taleb, M.; Rais, Z. Extraction and characterization of natural hydroxyapatite derived from animal bones using the thermal treatment process. Emergent Mater. 2023, 6, 551–560. [Google Scholar] [CrossRef]
- Martínez, M.G.; Dupont, C.; da Silva Perez, D.; Mortha, G.; Thiéry, S.; Meyer, X.M.; Gourdon, C. Understanding the torrefaction of woody and agricultural biomasses through their extracted macromolecular components. Part 1: Experimental thermogravimetric solid mass loss. Energy 2020, 205, 118067. [Google Scholar] [CrossRef]
- Abdoul-Latif, F.M.; Elmi, A.; Merito, A.; Nour, M.; Risler, A.; Ainane, A.; Bignon, J.; Ainane, T. Essential oils of Ocimum basilicum L. and Ocimum americanum L. from Djibouti: Chemical composition, antimicrobial and cytotoxicity evaluations. Processes 2022, 10, 1785. [Google Scholar] [CrossRef]
- Ainane, A.; Benhima, R.; Khammour, F.; Elkouali, M.; Talbi, M.; Abba, E.H.; Cherroud, S.; Ainane, T. Composition chimique et activité insecticide de cinq huiles essentielles: Cedrus atlantica, Citrus limonum, Eucalyptus globules, Rosmarinus officinalis et Syzygium aromaticum. Proc. Biosune 2018, 1, 67–79. [Google Scholar]
- Arora, H.; Naaz, F.; Sharma, A.; Dubey, S.; Sharma, S.; Rajauria, G. Thyme-licorice nanoemulsion for anthracnose management in Capsicum annuum L. and life cycle assessment of its production. Biocatal. Agric. Biotechnol. 2024, 56, 103029. [Google Scholar] [CrossRef]
- Ainane, A.; Cherroud, S.; El Kouali, M.; Abba, E.H.; Ainane, T. Chemical compositions, insecticidal and antimicrobial activities of two Moroccan essential oils of Citrus limonum and Syzygium aromaticum. Pharmacol. J. 2020, 30, 190–199. [Google Scholar]
- Mohamed Abdoul-Latif, F.; Elmi, A.; Merito, A.; Nour, M.; Risler, A.; Ainane, A.; Ainane, T. Chemical analysis of essential oils of Cymbopogon schoenanthus (L.) Spreng. and Nepeta azurea R. Br. ex Benth from Djibouti, in-vitro cytotoxicity against cancer cell lines and antibacterial activities. Appl. Sci. 2022, 12, 8699. [Google Scholar] [CrossRef]
- Xu, L.; Meng, X.; Xie, D.; Jin, P.; Li, X.; Liu, Z.; Gong, Y.; Zhang, S.; Xu, Y.-Q.; Du, Q. Kinetic analysis of aroma compound release from Citrus aurantium essential oil-casein-phospholipid-nanocomposites. LWT 2024, 199, 116104. [Google Scholar] [CrossRef]
- Ainane, A.; Abdoul-Latif, F.M.; Mohamed, J.; Attahar, W.; Ouassuk, M.; Shybat, Z.L.; Yaacoubi, A.E.; Ainane, T. Behaviour desorption study of the essential oil of Cedrus atlantica in a porous clay versus insecticidal activity against Sitophilus granarius: Explanation of the phenomenon by statistical studies. Int. J. Metrol. Qual. Eng. 2021, 12, 12. [Google Scholar] [CrossRef]
- Ainane, T.; Mohamed Abdoul-Latif, F.; Am, A.; Ouassil, M.; Attahar, W.; Ainane, A. Antagonistic antifungal activities of Mentha suaveolens and Artemisia absinthium essential oils from Morocco. Pharmacologyonline 2021, 2, 470–478. [Google Scholar]
- Cunha, N.; da Silva, L.H.M.; da Cruz Rodrigues, A.M. Drying of Curcuma longa L. slices by refractance window: Effect of temperature on thermodynamic properties and mass transfer parameters. Heat Mass Transfer 2024, 60, 617–626. [Google Scholar] [CrossRef]
- Crank, J. The Mathematics of Diffusion, 2nd ed.; Oxford University Press: Oxford, UK, 1979. [Google Scholar]
- Santos, A.C.; Sacomano Filho, F.L.; Vié, A. A reference formulation for computing mass transfer rates of multi-component droplets undergoing general phase-change. Int. J. Heat Mass Transf. 2024, 222, 125185. [Google Scholar] [CrossRef]
- Karimi-Maleh, H.; Ghalkhani, M.; Dehkordi, Z.S.; Singh, J.; Wen, Y.; Baghayeri, M.; Baghayeri, M.; Rouhi, J.; Fu, L.; Rajendran, S. MOF-enabled pesticides as developing approach for sustainable agriculture and reducing environmental hazards. J. Ind. Eng. Chem. 2024, 129, 105–123. [Google Scholar] [CrossRef]
- Mostafiz, M.M.; Hwang, H.S.; Kim, J.R.; Kim, B.S.; Lee, K.Y. The fumigation toxicity of three benzoate compounds against phosphine-susceptible and phosphine-resistant strains of Rhyzoperthadominica and Sitophilus oryzae. Insects 2024, 15, 477. [Google Scholar] [CrossRef] [PubMed]
- De Carvalho Brito, R.; de Moura Pádua, L.E.; da Silva, L.R.; Briozo, M.E.O.; Silva, P.R.R.; de Carvalho, L.F.; de Andrade Dutra, K.; Navarro, D.M.d.A.F.; Barbosa, D.R.e.S.; Rojas, M.O.A.I.; et al. Use of essential oils and α-pinene as insecticides against Sitophilus zeamais and their effects on maize seed germination. Agronomy 2024, 14, 2282. [Google Scholar] [CrossRef]
- Abdoul-Latif, F.M.; Ainane, A.; Abdoul-Latif, T.M.; Ainane, T. Chemical study and evaluation of insecticidal properties of African Lippia citriodora essential oil. J. Biopesticides 2020, 13, 119–126. [Google Scholar] [CrossRef]
- Mohamed Abdoul-Latif, F.; El Montassir, Z.; Ainane, A.; Gharby, S.; Sakar, E.H.; Merito, A.; Mohamed, J.; Ainane, T. Use of Thymus plants as an ecological filler in urea-formaldehyde adhesives intended for bonding plywood. Processes 2022, 10, 2209. [Google Scholar] [CrossRef]
- Channab, B.E.; Idrissi, A.E.; Ammar, A.; Dardari, O.; Marrane, S.E.; El Gharrak, A.; Akil, A.; Essemlail, Y.; Zahouily, M. Recent advances in nano-fertilizers: Synthesis, crop yield impact, and economic analysis. Nanoscale 2024, 16, 4484–4513. [Google Scholar] [CrossRef] [PubMed]
- Gharby, S.; Asdadi, A.; Ibourki, M.; Hamdouch, A.; Ainane, T.; Hassani, L.A.I. Chemical Characterization of the Essential Oil from Aerial Parts of Lavandula rejdalii Upson & Jury, a Medicinal Plant Endemic to Morocco. J. Essent. Oil Bear. Plants 2020, 23, 1422–1427. [Google Scholar]
- Shaltiel-Harpaz, L.; Kreimer, T.; Dudai, N.; Kaspi, R.; Ben-Yakir, D.; Rytwo, G. Sepiolite-rosemary oil combination as an environmentally oriented insecticide. Appl. Clay Sci. 2023, 234, 106838. [Google Scholar] [CrossRef]
- Cardinali, F.; Bracciale, M.P.; Santarelli, M.L.; Marrocchi, A. Principal component analysis (PCA) combined with naturally occurring crystallization inhibitors: An integrated strategy for a more sustainable control of salt decay in built heritage. Heritage 2021, 4, 220–229. [Google Scholar] [CrossRef]
- Abdoul-Latif, F.M.; Ejjabraoui, M.; Ainane, A.; Hachi, T.; Mohamed, J.; Oumaskour, K.; Boujaber, N.; El Montassir, Z.; Ainane, T. Correlation of the diffusion parameters and the biological activities in the formulation of Pinus halepensis essential oil in phosphogypsum material. Appl. Sci. 2023, 13, 5358. [Google Scholar] [CrossRef]
- Ahmedi, S.; Pant, P.; Raj, N.; Manzoor, N. Limonene inhibits virulence associated traits in Candida albicans: In-vitro and in-silico studies. Phytomed. Plus 2022, 2, 100285. [Google Scholar] [CrossRef]
- Du, X.; Li, Y.; Xia, Y.L.; Ai, S.M.; Liang, J.; Sang, P.; Ji, X.-L.; Liu, S.-Q. Insights into protein–ligand interactions: Mechanisms, models, and methods. Int. J. Mol. Sci. 2016, 17, 144. [Google Scholar] [CrossRef] [PubMed]
- Mohamed Abdoul-Latif, F.; Ainane, A.; Achenani, L.; Merito Ali, A.; Mohamed, H.; Ali, A.; Jutur, P.P.; Ainane, T. Production of fucoxanthin from microalgae Isochrysis galbana of Djibouti: Optimization, correlation with antioxidant potential, and bioinformatics approaches. Mar. Drugs 2024, 22, 358. [Google Scholar] [CrossRef]
- Inoue, S.; Ikeda, Y.; Fujiyama, S.; Ueda, T.; Abe, Y. Oligomeric state of the N-terminal domain of DnaT for replication restart in Escherichia coli. Biochim. Biophys. Acta Proteins Proteom. 2023, 1871, 140929. [Google Scholar] [CrossRef]
- Ha, N.N.; Ha, N.T.T. New insight into the mechanism of carbon dioxide activation on copper-based catalysts: A theoretical study. J. Mol. Graph. Model. 2021, 107, 107979. [Google Scholar] [CrossRef] [PubMed]
- Alturki, A.M. Physicochemical studies of iron/vanadate doped hydroxyapatite/polycaprolactone nanofibers scaffolds. J. Mol. Struct. 2022, 1260, 132835. [Google Scholar] [CrossRef]
- Wang, L.; Hou, M.; Liang, C.; Xu, Q.; Lu, Y.; Zhao, Z. Role of odorant binding protein C12 in the response of Triboliumcastaneum to chemical agents. Pestic. Biochem. Physiol. 2024, 201, 105861. [Google Scholar] [CrossRef] [PubMed]
- Cankaya, N.; Tanış, E.; Gülbaş, H.E.; Bulut, N. A new synthesis of limonene copolymer: Experimental and theoretical analysis. Polym. Bull. 2019, 76, 3297–3327. [Google Scholar] [CrossRef]
- Shi, L.; Ren, Z.; Shen, L.; Wang, Q.; Zhou, C.; Xu, C.; Liu, T. Numerical modeling and topological analysis of entangled single-wire metal rubber. Mater. Sci. Eng. A 2024, 891, 145983. [Google Scholar] [CrossRef]
- Bibri, S.E.; Huang, J.; Jagatheesaperumal, S.K.; Krogstie, J. The synergistic interplay of artificial intelligence and digital twin in environmentally planning sustainable smart cities: A comprehensive systematic review. Environ. Sci. Ecotechnol. 2024, 20, 100433. [Google Scholar] [CrossRef]
- Magoba, M.; Opuwari, M.; Liu, K. The effect of diagenetic minerals on the petrophysical properties of sandstone reservoir: A case study of the upper shallow marine sandstones in the central Bredasdorp Basin, offshore South Africa. Minerals 2024, 14, 396. [Google Scholar] [CrossRef]
- Shaldybin, M.V.; Lopushnyak, Y.M.; Goncharov, I.V.; Wilson, M.J.; Wilson, L.; Mendis, B.G. The mineralogy of the clayey-silty siliceous rocks in the Bazhenov Shale Formation (Upper Jurassic) in the west Siberian Basin, Russia: The role of diagenesis and possible implications for their exploitation as an unconventional hydrocarbon reservoir. Appl. Clay Sci. 2017, 136, 75–89. [Google Scholar] [CrossRef]
- Eyankware, M.O.; Ogwah, C.; Ike, J.C. A synoptic review of mineralogical and chemical characteristics of clays in the southern part of Nigeria. Res. Ecol. 2021, 3, 32–45. [Google Scholar] [CrossRef]
- Jozanikohan, G.; Sahabi, F.; Norouzi, G.H.; Memarian, H.; Moshiri, B. Quantitative analysis of the clay minerals in the Shurijeh Reservoir Formation using combined X-ray analytical techniques. Russ. Geol. Geophys. 2016, 57, 1048–1063. [Google Scholar] [CrossRef]
- Juturu, R.; Selvaraj, R.; Murty, V.R. Efficient removal of hexavalent chromium from wastewater using a novel magnetic biochar composite adsorbent. J. Water Process. Eng. 2024, 66, 105908. [Google Scholar] [CrossRef]
- Ali, A.; Zhang, N.; Santos, R.M. Mineral characterization using scanning electron microscopy (SEM): A review of the fundamentals, advancements, and research directions. Appl. Sci. 2023, 13, 12600. [Google Scholar] [CrossRef]
- Bastida, J.; Pardo-Ibañez, P. Applications of X-ray powder diffraction microstructural analysis in applied clay mineralogy. Minerals 2024, 14, 584. [Google Scholar] [CrossRef]
- Kariem, H.; Kiefer, T.; Hellmich, C.; Gaggl, W.; Steiger-Thirsfeld, A.; Füssl, J. EDX/XRD-based identification of micrometer-sized domains in scanning electron micrographs of fired clay. Mater. Struct. 2020, 53, 109. [Google Scholar] [CrossRef]
- Alamgir, A.N.M. Therapeutic Use of Medicinal Plants and Their Extracts; Springer International Publishing AG: Cham, Switzerland, 2017; Volume 1. [Google Scholar] [CrossRef]
- Ibrahim, F.M.; Mohammed, R.S.; Abdelsalam, E.; Ashour, W.E.-S.; Magalhães, D.; Pintado, M.; El Habbasha, E.S. Egyptian citrus essential oils recovered from lemon, orange, and mandarin peels: Chemical composition, antioxidant, antimicrobial, and anti-inflammatory activities. Horticulturae 2024, 10, 180. [Google Scholar] [CrossRef]
- Njoku, V.I.; Evbuomwan, B.O. Analysis and Comparative Study of Essential Oil Extracted from Nigerian Orange, Lemon, and Lime Peels. Greener J. Chem. Sci. Technol. 2014, 1, 6–14. [Google Scholar] [CrossRef]
- Bertuzzi, G.; Tirillini, B.; Angelini, P.; Venanzoni, R. Antioxidative Action of Citrus limonum Essential Oil on Skin. Eur. J. Med. Plants. 2012, 3, 1–9. [Google Scholar] [CrossRef]
- Guimarães, R.; Barros, L.; Barreira, J.C.; Sousa, M.J.; Carvalho, A.M.; Ferreira, I.C. Targeting Excessive Free Radicals with Peels and Juices of Citrus Fruits: Grapefruit, Lemon, Lime and Orange. Food Chem. Toxicol. 2010, 48, 99–106. [Google Scholar] [CrossRef] [PubMed]
- Settanni, L.; Randazzo, W.; Palazzolo, E.; Moschetti, M.; Aleo, A.; Guarrasi, V.; Mammina, P.L.; San Biago, P.L.; Marra, F.P.; Moschetti, G.; et al. Seasonal variations of antimicrobial activity and chemical composition of essential oils extracted from three Citrus limon L. Burm. cultivars. Nat. Prod. Res. 2014, 28, 383–391. [Google Scholar] [CrossRef]
- Jagannath, A.; Biradar, R. Comparative evaluation of soxhlet and ultrasonics on the structural morphology and extraction of bioactive compounds of lemon (Citrus limon L.) peel. J. Food Chem. Nanotechnol. 2019, 5, 56–64. [Google Scholar] [CrossRef]
- Moufida, S.; Marzouk, B. Biochemical characterization of blood orange, sweet orange, lemon, bergamot, and bitter orange. Phytochemistry 2003, 62, 1283–1289. [Google Scholar] [CrossRef]
- Perera, A.G.W.U.; Karunaratne, M.M.S.C.; Chinthaka, S.D.M. Prolonged repellent activity of Ruta graveolens essential oil adsorbed on different mineral matrices against Sitophilus zeamais (L.) (Coleoptera: Curculionidae). J. Stored Prod. Res. 2022, 97, 101976. [Google Scholar] [CrossRef]
- Galovičová, L.; Borotová, P.; Vukovic, N.L.; Vukic, M.; Kunová, S.; Hanus, P.; Kowalczewski, P.Ł.; Bakay, L.; Kačániová, M. The potential use of Citrus aurantifolia L. essential oils for decay control, quality preservation of agricultural products, and anti-insect activity. Agronomy 2022, 12, 735. [Google Scholar] [CrossRef]
- Stejskal, V.; Vendl, T.; Aulicky, R.; Athanassiou, C. Synthetic and natural insecticides: Gas, liquid, gel, and solid formulations for stored-product and food-industry pest control. Insects 2021, 12, 590. [Google Scholar] [CrossRef] [PubMed]
- Kainth, S.; Sharma, P.; Pandey, O.P. Green sorbents from agricultural wastes: A review of sustainable adsorption materials. Appl. Surf. Sci. Adv. 2024, 19, 100562. [Google Scholar] [CrossRef]
- Worku, K.W.; Taddesse, A.M.; Abera, S.; Sivasubramanian, M.; Babu, N. Insecticidal formulation based on essential oil from Ocimum basilicum Linn. herb supported onto modified kaolinite for stored maize protection. Heliyon 2024, 10, e35659. [Google Scholar] [CrossRef] [PubMed]
- Su, X.; Li, B.; Chen, S.; Wang, X.; Song, H.; Shen, B.; Zheng, Q.; Yang, M.; Yue, P. Pore engineering of micro/mesoporous nanomaterials for encapsulation, controlled release, and variegated applications of essential oils. J. Control. Release 2024, 367, 107–134. [Google Scholar] [CrossRef] [PubMed]
- Dang, W.; Jiang, S.; Zhang, J.; Li, P.; Nie, H.; Liu, Y.; Li, F.; Sun, J.; Tao, J.; Shan, C.; et al. A systematic experimental and modeling study of water adsorption/desorption behavior in organic-rich shale with different particle sizes. Chem. Eng. J. 2021, 426, 130596. [Google Scholar] [CrossRef]
- Saad, H.; Ayed, A.; Srasra, M.; Mezni, M.; Essid, R.; Jallouli, S.; Tabbene, O.; Srasra, E. Smectite clay nanoparticles as a sustained release system for cinnamon essential oil targeting Candida albicans. Chem. Afr. 2024, 7, 3185–3200. [Google Scholar] [CrossRef]
- Perkowski, Z.; Szweda, Z. The “Skin Effect” Assessment of Chloride Ingress into Concrete Based on the Identification of Effective and Apparent Diffusivity. Appl. Sci. 2022, 12, 1730. [Google Scholar] [CrossRef]
- Oliveira, J.A.C.; Fernandes, L.A.; Figueiredo, K.G.; Corrêa, E.J.A.; Lima, L.H.F.; Alves, D.S.; Bertolucci, S.K.V.; Carvalho, G.A. Effects of essential oils on biological characteristics and potential molecular targets in Spodoptera frugiperda. Plants 2024, 13, 1801. [Google Scholar] [CrossRef]
- Essifi, K.; Hammani, A.; Berraaouan, D.; El Bachiri, A.; Fauconnier, M.L.; Tahani, A. Montmorillonite nanoclay-based formulation for controlled and selective release of volatile essential oil compounds. Mater. Chem. Phys. 2022, 277, 125569. [Google Scholar] [CrossRef]
- Lou, W.; Lu, H.; Ren, X.; Zhao, X.; Wang, Y.; Bonfatti, V. Standardization method, testing scenario, and accuracy of the infrared prediction model affect the standardization accuracy of milk mid-infrared spectra. J. Dairy Sci. 2024, 107, 9404–9414. [Google Scholar] [CrossRef]
- Cai, J.; Qin, X.; Xia, X.; Jiao, X.; Chen, H.; Wang, H.; Xia, Y. Numerical modeling of multiphase flow in porous media considering micro- and nanoscale effects: A comprehensive review. Gas Sci. Eng. 2024, 131, 205441. [Google Scholar] [CrossRef]
- Baig, U.; Usman, J.; Abba, S.I.; Yogarathinam, L.T.; Waheed, A.; Bafaqeer, A.; Aljundi, I.H. Insight into soft chemometric computational learning for modelling oily-wastewater separation efficiency and permeate flux of polypyrrole-decorated ceramic-polymeric membranes. J. Chromatogr. A 2024, 1725, 464897. [Google Scholar] [CrossRef] [PubMed]
- Roth, T.; Uhlenbrock, L.; Strube, J. Distinct and quantitative validation for predictive process modelling in steam distillation of caraway fruits and lavender flower following a Quality-By-Design (QbD) approach. Processes 2020, 8, 594. [Google Scholar] [CrossRef]
- Hettmann, K.; Monnard, F.W.; Melo Rodriguez, G.; Hilty, F.M.; Yildirim, S.; Schoelkopf, J. Porous coatings to control release rates of essential oils to generate an atmosphere with botanical actives. Materials 2022, 15, 2155. [Google Scholar] [CrossRef] [PubMed]
- Wang, S.; Feng, Q.; Zha, M.; Javadpour, F.; Hu, Q. Supercritical methane diffusion in shale nanopores: Effects of pressure, mineral types, and moisture content. Energy Fuels 2018, 32, 169–180. [Google Scholar] [CrossRef]
- Mitra, S.; Sharma, V.K.; Mukhopadhyay, R. Diffusion of confined fluids in microporous zeolites and clay materials. Rep. Prog. Phys. 2021, 84, 066501. [Google Scholar] [CrossRef]
- Bosu, S.; Rajamohan, N.; Lam, S.S.; Vasseghian, Y. Environmental remediation of agrochemicals and dyes using clay nanocomposites: Review on operating conditions, performance evaluation, and machine learning applications. Rev. Environ. Contam. Toxicol. 2023, 261, 17. [Google Scholar] [CrossRef]
- García-Romero, E.; Suárez, M. The alteration of Miraflores Basalt (Panama): Mineralogical and textural evolution. Appl. Clay Sci. 2021, 205, 106036. [Google Scholar] [CrossRef]
- Wang, J.; Sun, Y.; Zhou, J.; Liu, Y.; Liang, H.; Sun, J.; Liu, G.; Di Serio, M.; Vitiello, R. Preparation of a new polymeric surfactant and its thickening of the Linear Alkylbenzene Sulfonate system. J. Mol. Liq. 2023, 379, 121694. [Google Scholar] [CrossRef]
- Mohamed Abdoul-Latif, F.; Ainane, A.; Eddabbeh, F.E.; Oumaskour, K.; Mohamed, J.; Abu Arra, A.; Ainane, T. Assessment and optimization of the insecticidal properties of γ-Al2O3 nanoparticles derived from Mentha pulegium by-products to Xylosandrus crassiusculus (Carob Beetle). Molecules 2024, 29, 1205. [Google Scholar] [CrossRef]
- Zhao, W.; Peng, J.; Wang, F.; Tian, M.; Li, P.; Feng, B.; Yin, M.; Yannan, X.; Xue, J.Y.; Xue, J.; et al. Integrating metabolomics and transcriptomics to unveil the spatiotemporal distribution of macrocyclic diterpenoids and candidate genes involved in ingenol biosynthesis in the medicinal plant Euphorbia lathyris L. Ind. Crops Prod. 2022, 184, 115096. [Google Scholar] [CrossRef]
- Campos, E.V.R.; de Oliveira, J.L.; Fraceto, L.F.; Singh, B. Polysaccharides as safer release systems for agrochemicals. Agron. Sustain. Dev. 2015, 35, 47–66. [Google Scholar] [CrossRef]
- Wang, H.; Fischer, T.; Wieprecht, W.; Möller, D. A predictive method for crude oil volatile organic compounds emission from soil: Evaporation and diffusion behavior investigation of binary gas mixtures. Environ. Sci. Pollut. Res. 2015, 22, 7735–7743. [Google Scholar] [CrossRef] [PubMed]
- Albuquerque, P.M.; Azevedo, S.G.; de Andrade, C.P.; D’Ambros, N.C.D.S.; Pérez, M.T.M.; Manzato, L. Biotechnological applications of nanoencapsulated essential oils: A review. Polymers 2022, 14, 5495. [Google Scholar] [CrossRef]
- Kumar, S.; Nehra, M.; Dilbaghi, N.; Marrazza, G.; Hassan, A.A.; Kim, K.H. Nano-based smart pesticide formulations: Emerging opportunities for agriculture. J. Control. Release 2019, 294, 131–153. [Google Scholar] [CrossRef]
- Rydel-Ciszek, K. DFT studies of the activity and reactivity of limonene in comparison with selected monoterpenes. Molecules 2024, 29, 1579. [Google Scholar] [CrossRef] [PubMed]
- Taktak, N.E.; Badawy, M.E. Potential of hydrocarbon and oxygenated monoterpenes against Culex pipiens larvae: Toxicity, biochemical, pharmacophore modeling and molecular docking studies. Pestic. Biochem. Physiol. 2019, 158, 156–165. [Google Scholar] [CrossRef] [PubMed]
- Adhikary, K.; Banerjee, P.; Barman, S.; Banerjee, A.; Sarkar, A.; Bag, S.; Chatterjee, S.; Bandyopadhyay, B.; Panja, A.S. Larvicidal activity of β-Citral: An in-vitro and in-silico study to understand its potential against mosquito. Acta Tropica 2024, 258, 107356. [Google Scholar] [CrossRef]
- Singh, B.; Kumar, A.; Prajapati, K.S.; Patel, S.; Kumar, S.; Jaitak, V. Chemical composition, in vitro and in silico evaluation of essential oil extracted from Mentha piperita L. for lung cancer. Lett. Drug Des. Discov. 2024, 21, 3018–3029. [Google Scholar] [CrossRef]
- Lim, S.J.; Muhd Noor, N.D.; Sabri, S.; Mohamad Ali, M.S.; Salleh, A.B.; Oslan, S.N. Bibliometric analysis and thematic review of Candida pathogenesis: Fundamental omics to applications as potential antifungal drugs and vaccines. Med. Mycol. 2024, 62, myad126. [Google Scholar] [CrossRef]
- Rajiv Gandhi, G.; Sharanya, C.S.; Jayanandan, A.; Haridas, M.; Edwin Hillary, V.; Rajiv Gandhi, S.; Sridharan, G.; Sivasubramanian r Vasconcelos, A.B.S.; Montalvao, M.M.; Ceasar , S.A.; et al. Multitargeted molecular docking and dynamics simulation studies of flavonoids and volatile components from the peel of Citrus sinensis L. (Osbeck) against specific tumor protein markers. J. Biomol. Struct. Dyn. 2024, 42, 3051–3080. [Google Scholar] [CrossRef] [PubMed]
- Singh, P.; Kumar, V.; Lee, K.W.; Hong, J.C. Discovery of novel allosteric SHP2 inhibitor using pharmacophore-based virtual screening, molecular docking, molecular dynamics simulation, and principal component analysis. Pharmaceuticals 2024, 17, 935. [Google Scholar] [CrossRef] [PubMed]
- Gillet, C.; Tamssaouet, F.; Hassoune-Rhabbour, B.; Tchalla, T.; Nassiet, V. Parameters influencing moisture diffusion in epoxy-based materials during hygrothermal ageing—A review by statistical analysis. Polymers 2022, 14, 2832. [Google Scholar] [CrossRef]














| Test | Factor 1 (C) | Factor 2 (T) | Factor 3 (D) | Factor 4 (M) | F (×10⁴) (g·h−1·cm−1) for RC | F (×10⁴) (g·h−1·cm−1) for GC |
|---|---|---|---|---|---|---|
| 1 | −1 | −1 | −1 | −1 | 1.2732 | 1.8687 |
| 2 | 1 | −1 | −1 | −1 | 3.8197 | 2.886 |
| 3 | −1 | 1 | −1 | −1 | 2.5464 | 2.1248 |
| 4 | 1 | 1 | −1 | −1 | 11.4591 | 6.2191 |
| 5 | −1 | −1 | 1 | −1 | 1.2732 | 1.6471 |
| 6 | 1 | −1 | 1 | −1 | 1.2732 | 1.4987 |
| 7 | −1 | 1 | 1 | −1 | 2.5464 | 2.5367 |
| 8 | 1 | 1 | 1 | −1 | 2.5464 | 3.5786 |
| 9 | −1 | −1 | −1 | 1 | 0.6366 | 1.3582 |
| 10 | 1 | −1 | −1 | 1 | 0.6366 | 1.2191 |
| 11 | −1 | 1 | −1 | 1 | 2.2281 | 2.7483 |
| 12 | 1 | 1 | −1 | 1 | 2.5464 | 3.1296 |
| 13 | −1 | −1 | 1 | 1 | 1.2732 | 1.9371 |
| 14 | 1 | −1 | 1 | 1 | 1.2732 | 2.1582 |
| 15 | −1 | 1 | 1 | 1 | 2.8647 | 3.7489 |
| 16 | 1 | 1 | 1 | 1 | 3.5014 | 4.5672 |
| Property | Symbol | Equation | Description |
|---|---|---|---|
| Energy Gap | EGAP | ELUMO—EHOMO | Difference in energy between LUMO and HOMO orbitals. |
| Chemical Hardness | η | Measure of a molecule resistance to change in electron distribution. | |
| Electronegativity | χ | Ability of an atom or molecule to attract electrons. | |
| Electrophilicity Index | ω | Quantifies the electrophilic nature of a molecule. | |
| Molecular Flexibility | S | Indicates the flexibility of a molecule based on its chemical hardness. |
| Protein | 2NXX | 1C3Z |
|---|---|---|
| Size (Å) | x = 146; y = 140; z = 188 | x = 73; y = 59; z = 49 |
| Center (Å) | x = 146 | x = 1.217 |
| y = 140 | y = 1.626 | |
| z = 188 | z = −8.302 |
| Samples | Al2O3 | CaO | Fe2O3 | K2O | MgO | Na2O | P2O5 | SO3 | SiO2 | TiO2 | LOI |
|---|---|---|---|---|---|---|---|---|---|---|---|
| RC | 17.03 | 0.68 | 32.47 | 3.27 | 1.24 | 3.60 | 0.10 | 0.01 | 33.40 | 0.69 | 8.35 |
| GC | 29.06 | 0.58 | 1.61 | 4.06 | 1.27 | 3.85 | 0.11 | 0.01 | 52.17 | 1.00 | 6.74 |
| Element | GC (%) | RC (%) |
|---|---|---|
| Si | 27.26 | 15.49 |
| Al | 18.7 | 10.74 |
| O | 48.76 | 36.34 |
| Fe | - | 23.27 |
| Mg | - | 2.87 |
| K | 5.28 | 2.87 |
| C | - | 8.41 |
| Total | 100 | 100 |
| Pic | Compounds | RT | RI | Content % |
|---|---|---|---|---|
| 1 | α-Thujene | 5.504 | 732.41 | 0.53 |
| 2 | α-Pinene | 5.733 | 750.68 | 4.84 |
| 3 | Camphene | 6.199 | 785.70 | 0.69 |
| 4 | β-Pinene | 7.247 | 855.70 | 6.46 |
| 5 | Myrcene | 7.726 | 884.38 | 2.67 |
| 6 | α-Phellandrene | 8.21 | 911.61 | 0.47 |
| 7 | Limonene | 9.463 | 975.26 | 51.41 |
| 8 | trans-β-Ocimene | 9.652 | 984.13 | 0.30 |
| 9 | cis-β-Ocimene | 10.054 | 1002.41 | 0.84 |
| 10 | γ-Terpinene | 10.582 | 1025.35 | 4.60 |
| 11 | Linalool | 12.296 | 1092.63 | 3.16 |
| 12 | Fenchyl alcohol | 12.832 | 1111.75 | 0.49 |
| 13 | cis-Sabinene hydrate | 13.192 | 1124.15 | 0.09 |
| 14 | β-Ocimene | 13.765 | 1143.20 | 0.10 |
| 15 | β-Terpineol | 14.231 | 1158.12 | 0.20 |
| 16 | α-Phellandren-8-ol | 15.276 | 1189.88 | 0.49 |
| 17 | α-Terpineol | 16.468 | 1223.55 | 4.13 |
| 18 | Neral | 18.07 | 1265.15 | 3.71 |
| 19 | Nerol | 18.07 | 1265.15 | 0.36 |
| 20 | cis-Citral | 18.619 | 1278.56 | 1.27 |
| 21 | Geraniol | 19.284 | 1294.29 | 0.41 |
| 22 | Geranial | 19.979 | 1310.16 | 2.11 |
| 23 | δ-Elemene | 22.755 | 1368.46 | 0.21 |
| 24 | Neryl acetate | 24.038 | 1393.04 | 2.53 |
| 25 | β-Elemene | 25.095 | 1412.33 | 0.20 |
| 26 | trans-Caryophyllene | 26.193 | 1431.52 | 1.06 |
| 27 | cis-α-Bergamotene | 26.932 | 1443.99 | 1.97 |
| 28 | Selina-4,11-diene | 28.518 | 1469.63 | 0.10 |
| 29 | Germacrene D | 28.723 | 1472.84 | 0.20 |
| 30 | β-Caryophyllene | 28.911 | 1475.76 | 0.14 |
| 31 | β-Cadinene | 29.165 | 1479.68 | 0.11 |
| 32 | α-Selinene | 29.295 | 1481.68 | 0.10 |
| 33 | β-Bisabolene | 29.599 | 1486.17 | 4.03 |
| Total | 99.98 | |||
| Diameter (cm) | Temperature (°C) | LD50 (a) | LD50 (b) for RC | LD50 (b) for GC |
|---|---|---|---|---|
| D1 = 1 | T1 = 25 | 0.229 | 0.110 | 0.115 |
| T2 = 30 | 0.349 | 0.109 | 0.111 | |
| D2 = 2 | T1 = 25 | 0.530 | 0.032 | 0.034 |
| T2 = 30 | 0.759 | 0.008 | 0.009 |
| Coefficient | Value (*) for RC | Ptest for RC | Value (*) for GC | ptest for GC |
|---|---|---|---|---|
| b0 | 2.6061 | 0.46 | 2.6115 | 0.45 |
| bC | 0.7758 | 0.31 | 0.7792 | 0.32 |
| bT | 1.1737 | 0.21 | 1.1824 | 0.22 |
| bD | −0.5371 | 0.42 | −0.5338 | 0.41 |
| bM | −0.7360 | 0.32 | −0.7317 | 0.33 |
| bCT | 0.4575 | 0.47 | 0.4602 | 0.46 |
| bCD | −0.6963 | 0.34 | −0.6937 | 0.35 |
| bCM | −0.6565 | 0.36 | −0.6528 | 0.37 |
| bTD | −0.3779 | 0.53 | −0.3756 | 0.52 |
| bTM | −0.2586 | 0.64 | −0.2553 | 0.63 |
| bDM | 0.8952 | 0.27 | 0.8984 | 0.26 |
| bCTD | −0.3779 | 0.53 | −0.3754 | 0.54 |
| bCTM | −0.3382 | 0.56 | −0.3357 | 0.55 |
| bCDM | 0.7360 | 0.32 | 0.7385 | 0.33 |
| bTDM | 0.4177 | 0.50 | 0.4203 | 0.51 |
| bCTDM | 0.2745 | - | 0.2783 | - |
| Clay Type | Temperature (°C) | Concentration (µL/cm3) | Particle Diameter (mm) | Clay Mass (g) | Desorption Rate (%) | Residual Mass (%) |
|---|---|---|---|---|---|---|
| Red Clay (RC) | 25 | 0.01 | 0.5 | 5 | 25 | 75 |
| Red Clay (RC) | 30 | 0.02 | 1.0 | 10 | 40 | 60 |
| Green Clay (GC) | 25 | 0.01 | 0.5 | 5 | 30 | 70 |
| Green Clay (GC) | 30 | 0.02 | 1.0 | 10 | 45 | 55 |
| Test | F (×10⁴) (g·h−1·cm−1) | Dz (×10⁶) (cm²·h−1) | K (×103) | Ea (J·mol−1) | M% |
|---|---|---|---|---|---|
| 1 | 1.2732 | 7.35 | 1.5 | −8.176 | 16.66 |
| 2 | 3.8197 | 1.47 | 0.3 | 20 | |
| 3 | 2.5464 | 3.43 | 0.7 | 20 | |
| 4 | 11.4591 | 2.45 | 0.5 | 30 | |
| 5 | 1.2732 | 9.31 | 1.9 | 20 | |
| 6 | 1.2732 | 2.94 | 0.6 | 30 | |
| 7 | 2.5464 | 3.92 | 0.8 | 23.33 | |
| 8 | 2.5464 | 1.96 | 0.4 | 33.33 | |
| 9 | 0.6366 | 15.68 | 0.8 | 20 | |
| 10 | 0.6366 | 5.88 | 0.3 | 16.66 | |
| 11 | 2.2281 | 43.12 | 2.2 | 23.33 | |
| 12 | 2.5464 | 17.64 | 0.9 | 23.33 | |
| 13 | 1.2732 | 25.48 | 1.3 | 20 | |
| 14 | 1.2732 | 9.8 | 0.5 | 30 | |
| 15 | 2.8647 | 39.2 | 2.0 | 30 | |
| 16 | 3.5014 | 21.56 | 1.1 | 30 |
| Test | F (×10⁴) (g·h−1·cm−1) | Dz (×10⁶) (cm²·h−1) | K (×103) | Ea (J·mol−1) | M% |
|---|---|---|---|---|---|
| 1 | 1.2732 | 8.12 | 1.6 | −7.854 | 17.50 |
| 2 | 3.8197 | 1.54 | 0.4 | 22 | |
| 3 | 2.5464 | 3.76 | 0.8 | 22 | |
| 4 | 11.4591 | 2.62 | 0.6 | 32 | |
| 5 | 1.2732 | 9.92 | 2.0 | 22 | |
| 6 | 1.2732 | 3.12 | 0.7 | 32 | |
| 7 | 2.5464 | 4.13 | 0.9 | 24.67 | |
| 8 | 2.5464 | 2.12 | 0.5 | 34.50 | |
| 9 | 0.6366 | 16.90 | 0.9 | 22 | |
| 10 | 0.6366 | 6.25 | 0.4 | 18.34 | |
| 11 | 2.2281 | 45.75 | 2.3 | 24.67 | |
| 12 | 2.5464 | 18.75 | 1.0 | 24.67 | |
| 13 | 1.2732 | 27.11 | 1.4 | 22 | |
| 14 | 1.2732 | 10.50 | 0.6 | 32 | |
| 15 | 2.8647 | 42.50 | 2.1 | 32 | |
| 16 | 3.5014 | 23.33 | 1.2 | 32 |
| F1 | F2 | F3 | F4 | |
|---|---|---|---|---|
| Eigenvalue | 1.89 | 1.38 | 0.53 | 0.18 |
| Variability (%) | 47.31 | 34.70 | 13.45 | 4.53 |
| Cumulative (%) | 47.31 | 82.00 | 95.46 | 100 |
| Property | Value (eV) |
|---|---|
| Energy Gap (EGAP) | 14.62 |
| Chemical Hardness (η) | 7.31 |
| Electronegativity (χ) | 6.651 |
| Electrophilicity Index (ω) | 3.026 |
| Molecular Flexibility (S) | 0.068 |
| Proteins | Binding Affinity (kcal/mol) | pKi | Ligand Efficiency (kcal/mol) | Ligand–Protein Interactions | Number of Conventional Hydrogen Bonds | Number of Aromatic Bonds | Number of Van Der Waals Bonds |
|---|---|---|---|---|---|---|---|
| 2NXX | −6.5 | 4.77 | 0.65 | Hydrophobic, Aromatic | 0 | 2 | 3 |
| 1C3Z | −6.3 | 4.62 | 0.63 | Hydrophobic, Aromatic | 0 | 2 | 3 |
Disclaimer/Publisher’s Note: The statements, opinions and data contained in all publications are solely those of the individual author(s) and contributor(s) and not of MDPI and/or the editor(s). MDPI and/or the editor(s) disclaim responsibility for any injury to people or property resulting from any ideas, methods, instructions or products referred to in the content. |
© 2025 by the authors. Licensee MDPI, Basel, Switzerland. This article is an open access article distributed under the terms and conditions of the Creative Commons Attribution (CC BY) license (https://creativecommons.org/licenses/by/4.0/).
Share and Cite
Abdoul-Latif, F.M.; Ainane, A.; Mohamed, H.; Ali, A.M.; Cacciatore, S.; Ainane, T. Advanced Formulation of Ecological Bioinsecticides Based on Citrus limonum in Clayey Matrices: Optimization of Diffusive Dynamics. Sustainability 2025, 17, 785. https://doi.org/10.3390/su17020785
Abdoul-Latif FM, Ainane A, Mohamed H, Ali AM, Cacciatore S, Ainane T. Advanced Formulation of Ecological Bioinsecticides Based on Citrus limonum in Clayey Matrices: Optimization of Diffusive Dynamics. Sustainability. 2025; 17(2):785. https://doi.org/10.3390/su17020785
Chicago/Turabian StyleAbdoul-Latif, Fatouma Mohamed, Ayoub Ainane, Houda Mohamed, Ali Merito Ali, Stefano Cacciatore, and Tarik Ainane. 2025. "Advanced Formulation of Ecological Bioinsecticides Based on Citrus limonum in Clayey Matrices: Optimization of Diffusive Dynamics" Sustainability 17, no. 2: 785. https://doi.org/10.3390/su17020785
APA StyleAbdoul-Latif, F. M., Ainane, A., Mohamed, H., Ali, A. M., Cacciatore, S., & Ainane, T. (2025). Advanced Formulation of Ecological Bioinsecticides Based on Citrus limonum in Clayey Matrices: Optimization of Diffusive Dynamics. Sustainability, 17(2), 785. https://doi.org/10.3390/su17020785

