Next Article in Journal
The Impact of Institutional Environment and Innovativeness on Early-Stage Entrepreneurial Activities: The Moderating Effects of Reciprocity
Previous Article in Journal
A Study of Energy Production in Gran Canaria with a Pumped Hydroelectric Energy Storage Plant (PHES)
 
 
Font Type:
Arial Georgia Verdana
Font Size:
Aa Aa Aa
Line Spacing:
Column Width:
Background:
Article

Sustainability of the Rural Environment Based on a Tripartite Game Among Government, Enterprises, and Farmers Under the Prisoner’s Dilemma

College of Mathematics and Computer Science, Guangdong Ocean University, Zhanjiang 524088, China
*
Author to whom correspondence should be addressed.
These authors contributed equally to this work as co-first authors.
Sustainability 2025, 17(2), 436; https://doi.org/10.3390/su17020436
Submission received: 2 December 2024 / Revised: 29 December 2024 / Accepted: 30 December 2024 / Published: 8 January 2025

Abstract

In recent years, with rapid economic development, the importance of environmental governance has gradually been overlooked. The increasing pollution caused by rural sewage discharge has posed a significant threat to the local ecological environment. In this context, this paper treats the local governments, village enterprises, and farmers as the game subjects, integrating them with prisoner’s dilemma theory to construct a tripartite game model. By analyzing the equilibrium points and stability of the model, as well as the effects of the parameters in the dynamic equations, this paper reveals the evolution of strategic choices made by different participants. The results indicate that the optimal strategy for local governments is strict regulation, and village enterprises tend to adopt purification measures, while farmers weigh the costs and benefits and exhibit a negative attitude toward participating in governance. Finally, from a practical perspective, this paper offers suggestions for improving rural ecological environmental protection by engaging local governments, village enterprises, and farmers, aiming to promote the sustainable development of the ecological environment.

1. Introduction

A good ecological environment is the basis for the healthy and sustainable development of agriculture and rural areas. In recent years, with the rapid progress of industrialization and urbanization, the quality of the ecological environment in rural areas has been negatively affected by industrial pollution emissions, while the economy has been developing rapidly, and the environment on which farmers rely for their livelihood has gradually deteriorated [1]. For rural areas, local governments, rural enterprises, and individuals all play a role. They play an important role in the transformation of the local economy. However, the pollution problem caused by the discharge of sewage from township enterprises is becoming more and more serious, posing a great threat to the local ecological environment [2]. Many village enterprises, for their own interests, only focus on the economic benefits. The effects of this short-sighted behavior and its management are serious [3], as by ignoring the impact of sewage on the environment, sewage will be discharged directly into the river, seriously affecting the normal life of farmers [4]. When the local government does not strictly enforce controls, this situation becomes even more serious and even endangers the ecological sustainability of the local region. In this context, local governments, village enterprises, and farmers constitute a tripartite game system. Therefore, studying the game balance among local governments, village enterprises, and farmers is crucial for economic development and environmental protection.
The three subjects face a choice between short-term economic interests and long-term protection of the ecological environment, and local governments, as regulators, shoulder the dual responsibility of promoting economic development and environmental governance. Villages and village enterprises, as the main bodies of economic activities, often ignore their environmental responsibilities due to cost considerations. Farmers are the direct beneficiaries of the ecological environment. A healthy ecological environment can not only guarantee the sustainable use of land and other agricultural resources but also ensure that farmers rely on agricultural production and life in the long term. Rural environmental pollution management is a one-time static game with incomplete information [5], and there is a ‘non-cooperative game’ between village enterprises and farmers, thus falling into a ‘prisoner’s dilemma’, which is not conducive to the development of rural areas. The tripartite game strategy of local governments, village enterprises, and farmers is shown in Figure 1.
By analyzing the background of rural environmental governance, the application of the prisoner’s dilemma framework provides a clearer understanding of the conflicts of interest between local governments, village enterprises, and farmers in balancing environmental protection and economic development. These actors may fail to cooperate due to the pursuit of their own self-interests, leading to ineffective environmental governance. Village enterprises are often reluctant to invest in environmental protection technologies due to cost considerations, while farmers, lacking environmental awareness, do not take sustainability into account when utilizing natural resources. Although these behaviors may bring individual benefits in the short term, they ultimately harm the shared environmental resources in the long run, leading to the ‘tragedy of the commons’. It is a typical situation described by the prisoner’s dilemma.
Under the issue of environmental governance, part of the literature derives strategies to cope with environmental pollution through theoretical studies, rating models, and soft-system approaches. Li [6] analyzes the status quo and governance dilemmas of the rural environment through the field study of dynamic portfolio evaluation theory, describes the problems and causes of environmental pollution management, and puts forward countermeasures for solving the problems of environmental pollution management. Liu [7] combines questionnaire surveys and applies the logit model to explore the effects of homogeneous and heterogeneous relationships in social networks on farmers’ willingness to participate in rural environmental governance and finds that farmers have an important position in environmental governance. Saputra [8] combines a soft systems approach and text network analysis to study the sustainability strategy of rural governance and creates a more participatory system to promote rural ecological governance. The work in this category of literature explores rural governance only from the perspective of the rural environment or farmers individually, without considering the impact of other factors. However, environmental pollution is the result of a combination of factors. Based on this, this paper will examine rural environmental pollution governance from multiple perspectives.
A number of scholars have combined their research with game theory to analyze the relationship between the ecological environment as well as economic interests. Deng [9] establishes an evolutionary game model of local governments and enterprises to explore the impact of spillover effects on the choice of green technology innovation strategies and finds that the spillover effect on the probability of local governments choosing strict regulatory strategies is positive or negative depending on the environmental benefits of local government environmental protection investment. Hao [10] takes the government, enterprises, and university research institutes as game subjects and analyzes the evolutionary stability of stakeholders’ strategies in the renewable resources industry based on the innovation ecosystem theory. Kahil [11] develops a cooperative game theoretic framework to suggest modifications to the management policy of water scarcity in the typical arid and semi-arid basins of southeastern Spain and shows that, when stakeholders cooperate, they can reduce the drought’s ecological damage. Combined with evolutionary game theory, the evolution of the strategies of the various stakeholders in the environmental management process can be more clearly revealed. In this paper, we use game theory to analyze the rural environmental pollution problem in depth.
It is worth noting that most of the existing studies focus on the game relationship between the government and enterprises in environmental governance and do not consider the application of the prisoner’s dilemma theory to ecological environmental protection in the context of a tripartite game, and only a relatively small number of studies have paid attention to the impact of farmers as an important strategy subject on ecological protection. Therefore, this paper takes rural local governments, village enterprises, and farmers as the game subjects, combines the prisoner’s dilemma and game theory, constructs a tripartite game model, analyzes the stability point of the model and the influence of each parameter on the stable strategy state, explores the influence of the decision-making of different subjects on rural ecological environment governance, and puts forward the corresponding reasonable suggestions by combining the optimal strategies.
The structure of this paper is organized as follows: Section 2 establishes a tripartite evolutionary game model of local governments, village enterprises, and farmers, solves the model, and obtains the strategy stabilization point. Section 3 combines the reported data in 2022 and simulates the game strategy process through MATLAB R2020b software to explore the effects of different parameters on the three-party stabilization strategy state. Section 4 points out the research significance of this paper and future research directions. Besides, Section 4 summarizes the whole paper and gives corresponding suggestions for the tripartite research object.

2. Modeling

2.1. Problem Descriptions and Assumptions

This paper establishes a tripartite evolutionary game model of local governments, village enterprises, and farmers, and makes the following 5 assumptions in order to subsequently better analyze the equilibrium point as well as the evolutionary process:
  • Local governments, village enterprises, and farmers are denoted by X, Y, and Z, respectively, and all three subjects are finite rational subjects whose strategies reach a steady state over time. Local governments have a strategy space of X = (strict regulation or lax regulation), village enterprises have a strategy space of Y = (purification or sewage), and farmers have a strategy space of Z = (participation in governance or non-participation in governance);
  • The probability that the local government enforces strict regulation is x (0 ≤ x ≤ 1), and the probability of lax regulation is 1 − x. The probability that a village enterprise chooses to purify is y (0 ≤ y ≤ 1), and the probability that it chooses to discharge is 1 − y. The probability that a farm household participates in governance is z (0 ≤ z ≤ 1), and the probability of it not participating in governance is 1 − z;
  • The cost invested by the local government in strictly enforcing the regulation of pollution control is Cg1. The ecological benefit obtained due to participation in the management of the environment is expressed as Vg1. When the local government does not strictly implement the regulation, the ecological gain obtained is Vg2 (Vg2 < Vg1), and the cost of ecological losses suffered is Cg2. According to the actual situation, there is Cg2 > Cg1. At the same time, the local government is subject to accountability from farmers, resulting in a loss of credibility and a loss cost of Cg3;
  • The cost of purchasing purification equipment and choosing to purify is Ce. At this time, the village enterprise’s production revenue is Re1 (Re1 > Ce), and it will receive incentives from the local government Ve. If the village enterprise chooses to directly discharge sewage, at this time, it can obtain the production revenue Re2 (Re2 < Re1). If at this time, the local government strictly enforces the regulation, the village enterprise will be fined by the local government Pe (Pe ≫ Re2 − Re1);
  • Farmers actively cooperate with the relevant departments, the use of organic fertilizers, environmentally friendly ways of handling waste, and participation in the management of the cost required for Cf. By participating in the management of a better farming environment, the benefit is expressed as Wf1 (Wf1 > Cf). Farmers actively report enterprises that directly discharge pollutants and receive rewards from the local government, provided that they participate in governance and the government strictly enforces regulation Vf. Regardless of whether farmers participate in governance or not, if a village enterprise discharges sewage, which affects farming and causes damage to the farmer’s crops, the farmer will be compensated by the discharging enterprise after reporting the discharging enterprise Rf. Farmers who do not participate in governance and pollute the water source by discharging it directly and discarding untreated rubbish receive the benefit of Wf2 (Wf2 < Wf1). At the same time, they will be fined by the local government Pf. Since corporate sewage has a greater negative impact than farmers, Pe ≫ Pf.
Based on the above assumptions, we constructed the payment matrix of the game among local governments, village enterprises, and farmers, as shown in Table 1.
Based on the tripartite payment matrix, the expected return function of local governments under the implementation of strict regulation and lax regulation strategy was calculated.
The expected benefit to local governments of choosing to strictly enforce regulation Ex is
Ex = yz(−Cg1 + Vg1 − Ve) + y(1 − z)(−Cg1 + Vg1 + Pe − Vf)
+ (1 − y)z(−Cg1 + Vg1 − Ve + Pf) + (1 − y)(1 − z)(−Cg1 + Vg1 + Pe + Pf)
If local governments choose a lax regulatory strategy, the expected benefit E1−x is
E1−x = yz(Vg2 − Cg2 − Cg3) + (1 − y)z(Vg2 − Cg2 − Cg3 + Pe)
+ y(1 − z)(Vg2 − Cg2 − Cg3 + Pf) + (1 − y)(1 − z)(Vg2 − Cg2 − Cg3 + Pf + Pe)
Similarly, the expected benefit to the village enterprises’ choice of purification Ey is
Ey = xz(−Ce + Re1 + Ve) + x(1 − z)(−Ce + Re1 + Ve)
+ (1 − x)z(−Ce + Re1) + (1 − x)(1 − z)(−Ce + Re1)
The expected benefit of sewage disposal by village enterprises E1−y is
E1−y = xz(Re2 − Pe − Rf) + x(1 − z)(Re2 − Pe − Rf)
+ (1 − x)z(Re2 − Pe − Rf) + (1 − x)(1 − z)(Re2 − Pe − Rf)
For farmers, the expected benefit of choosing to participate in governance EZ is
EZ = xy(−Cf + Wf1) + x(1 − y)(−Cf + Wf1 + Vf + Pf)
+ (1 − x)y(−Cf +Wf1) + (1 − x)(1 − y)(−Cf + Wf1 + Rf)
The expected benefit in the cases where farmers do not participate in governance E1−z is
E1−z = xy(Wf2 − Pf) + x(1 − y)(Rf + Wf2 − Pf)
+ (1 − x)y(Wf2 − Pf) + (1 − x)(1 − y)(Wf2 − Pf + Rf)

2.2. A Tripartite Behavioral Evolution Game Based on the Prisoner’s Dilemma in the Ecological Environment

The final outcome of the game often depends on the choices made by each rational actor, and their choices are usually considered strategic because of the need to guess how the others would make decisions in the same scenario. In non-cooperative games, the participating actors tend to consider only how to obtain their own maximum benefit, but this does not mean that they are in opposition to each other [12].
In the context of environmental protection and the pursuit of economic interests, local governments strictly regulate when achieving maximum economic benefits is a common goal between village enterprises and farmers, and both sides fall into a prisoner’s dilemma. In order to pursue their own interests, village enterprises discharge sewage directly, sacrificing the long-term health of the local environment. In the short term, the village enterprises can obtain greater profits, i.e., Re2 − Pe − Rf > Re1 + Ve − Ce. When the village enterprises choose to discharge the sewage but farmers choose to participate in governance, which is the optimal choice, the Nash equilibrium of the model is (sewage, participation in governance). This situation is consistent with the actual situation. In real life, many village enterprises, in order to reduce the cost of profit-making, directly discharge untreated sewage into rivers, causing a great impact on the normal life of farmers. Farmers want to protect the environment in which they live and choose to cooperate with the government to participate in sewage treatment. The payment matrix of the game under the prisoner’s dilemma is shown in Table 2.

2.3. Solution of the Evolutionary Game

Combined with the calculated expected benefits, the replication dynamic equations for the three strategic subjects of local governments, village enterprises, and farmers under the prisoner’s dilemma are derived:
F ( x ) = dx dt = x E x 1 x E 1 x = x 1 x C g 2 C g 1 + C g 3 + V g 1 V g 2 y V e z V f + yz V f F ( y ) = dy dt = y E y ( 1 y ) E 1 y = y ( 1 y ) ( P e C e + R e 1 R e 2 + R f + x V e ) F ( z ) = dz dt = z E z ( 1 z ) E 1 z = z ( 1 z ) ( P f C f + W f 1 W f 2 + x V f x y V f )
According to equilibrium theory, there are
F ( x ) = dx dt = 0 F ( y ) = dy dt = 0 F ( z ) = dz dt = 0
By solving Equations (7) and (8), it is easy to obtain 8 pure strategy equilibrium points of the tripartite evolutionary as (0, 0, 0), (1, 0, 0), (0, 1, 0), (0, 1, 0), (0, 0, 1), (1, 1, 0), (1, 0, 1), (0, 1, 1), and (1, 1, 1).
An evolutionary stable strategy (ESS) denotes a point that tends to be an asymptotically stable fixed point [13]. According to the evolutionary game theory and the replicated dynamic equations of the tripartite game, the corresponding Jacobi matrix can be obtained:
J = F x x F x y F x z F y x F y y F y z F z x F z y F z z = J 11 J 12 J 13 J 21 J 22 J 23 J 31 J 32 J 33
where J11 = (x − 1)(Cg1 − Cg2 − Cg3 − Vg1 + Vg2 + yVe + zVf − yzVf) + x(Cg1 − Cg2 − Cg3 − Vg1 + Vg2 + yVe + zVf − yzVf), J22 = (y − 1)(Ce − Pe − Re1 + Re2 − Rf − xVe) + y(Ce − Pe − Re1 + Re2 − Rf − xVe), and J33 = (z − 1)(Cf − Pf − Wf1 + Wf2 − xVf + xyVf) + z(Cf − Pf − Wf1 + Wf2 − xVf + xyVf).
In multi-player evolutionary games, the pure strategy equilibrium is a strict Nash equilibrium, which is also known as an evolutionarily stable equilibrium [14]. According to Lyapunov theorems, the equilibrium point satisfies the sufficient condition of the evolutionary stable strategy when all eigenvalues of the Jacobian matrix have a negative real part. The stability of each equilibrium point was analyzed, as shown in Table 3.
When satisfying Pf − Cf + Wf1 − Wf2 < 0, Cg1 − Cg2 − Cg3 + Ve − Vg1 + Vg2 < 0, Ce − Pe − Re1 + Re2 − Rf − Ve < 0, there exists an evolutionary stable strategy (1, 1, 0) for the tripartite game.

3. Numerical Analysis

In a tripartite evolutionary game, replicated dynamic equations can be used to describe the process of strategy selection and strategy propagation among participants. In this paper, the evolutionary game model of rural local governments, village enterprises, and farmers was simulated and analyzed using MATLAB R2020b software to observe the dynamic evolution process of the tripartite evolutionary game among local governments, village enterprises, and farmers. Combined with the information from the 2022 Annual Report of Chinese Ecological Environment Statistics and the 2022 Guangdong Province Ecological Environment Condition Bulletin, as well as the relationship between the size of the parameters assumed by the model, the parameters were set, as shown in Table 4.

3.1. The Effect of Initial Willingness of Different Subjects on the Equilibrium

When the initial willingness of each subject is lower than 0.5 (x ≤ 0.5, y ≤ 0.5, z ≤ 0.5) (Figure 2a), the willingness of village enterprises to participate is higher and closer to 1. With the increase in the initial willingness, the three subjects converge to the stabilization strategy faster, and all of them reach the ideal state at Time = 0.25. When the initial willingness of local governments, village enterprises, and farmers is higher than 0.5 (x > 0.5, y > 0.5, z > 0.5) (Figure 2b), it is still the village enterprises that have the highest willingness to participate, and all three subjects basically reach the ideal state at Time = 0.2. From the evolution of the replication dynamic equation, it is known that when the initial willingness of all three strategy subjects is not high, village enterprises are the first to participate, followed by local governments as well as farmers. Whether the initial willingness is lower or higher than 0.5, the willingness of local governments to participate is higher than farmers.
As in Figure 3, when the initial willingness of local governments is not high, the willingness of village enterprises to participate is higher than that of farmers, combined with the reality that, for village enterprises that are more backward in terms of development, farmers have a lack of environmental awareness, and in the short term, they may not feel the impact of environmental pollution on them, and so their willingness to respond to the government is not high. As the initial willingness of local governments to strictly regulate environmental problems increases, the speed of reaching the strategic equilibrium slows down. At the same time, the willingness of village enterprises to participate also increases because when village enterprises actively cooperate with environmental management, they are incentivized by the government, and in addition, the green benefits brought by the ecological environment help to increase the profitability of enterprises.
As the initial willingness of the village enterprises increases, the rate of convergence to the strategic steady state increases. The initial willingness of the village enterprises is 0.8, and the steady state is reached when Time = 0.05. From the change in the curve in Figure 4, it is found that the initial willingness of the enterprises does not have a great influence on the willingness of local governments and farmers to participate. Within the study area, the initial willingness of village enterprises is low (x = 0.3), and the willingness of farmers to participate is the highest. This is when the probability of a village enterprise choosing direct discharge is higher than purification, and farmers will receive compensation from the enterprise.
Farmers’ initial willingness has a large impact on the speed of convergence to a stable strategy state. When the initial willingness is lower (z = 0.1), the speed of convergence to a complete smoothness is slow, and it reaches only stability at Time = 0.25. When the initial willingness is z = 0.8, stability is reached when Time = 0.15. The initial willingness of farmers has little effect on local governments and village enterprises, and both their curves change very little as the initial willingness of farmers increases. Moreover, it can be found from the local graph in Figure 5 that the willingness of farmers to participate in the initial period of time is higher than that of both local governments and enterprises, which indicates that farmers pay attention to the problem of ecological environmental protection and are willing to cooperate with the government and participate in environmental management.

3.2. Factors Affecting the Choice of Local Government Strategies

In the following, the strategy steady state was analyzed for five factors: the cost invested in strict and lax regulation, the corresponding benefit gained, and the cost of loss due to credibility loss. In order to exclude the influence of other factors, we let x = 0.3, y = 0.3, and z = 0.3 and changed the values of Cg1, Vg2, Cg2, Vg1, and Cg3, respectively, to analyze their influence on the strategy choices of local governments.
From the results in Figure 6, as the cost Cg1 to be invested in strict regulation increases, and the ecological benefits Vg2 gained from lax regulation increases, local governments begin to favor the choice of lax regulation out of the considerations of lowering expenses and obtaining short-term benefits. In the case of this choice, there may be long-term negative impacts on local ecological environments, including the deterioration of ecological environments and an increase in the cost of pollution control. Local governments need to be aware that lax regulation can pose serious constraints on local sustainable development and should consider the range of impacts that their own actions can have on rural enterprises and farmers.
In addition, it can be seen that the proportion of governments choosing strict regulation increases with the increase in ecological benefits Vg1 as well as the loss cost Cg2 of lax regulation. The analysis concludes that the ecological benefits brought by strict regulation are higher than the cost benefits invested, and, at the same time, it can respond to the call for green policies from a higher level of government. The cost paid by local governments and the ecological benefits obtained are shared with the village enterprises and farmers, which is in line with the concept of harmony between man and nature. Both local governments and local ecological environments can attain greater benefits.
From Figure 7, it can be seen that when local governments do not implement strict regulation for a long time, although it slows down the financial pressure in the short term, the environmental problems become more and more obvious, and the public’s trust in the government’s credibility gradually weakens, resulting in the increasing cost of loss Cg3. For their own interests, local governments will begin to favor the choice of strict regulation to try to regain their credibility in society. Under strict regulation, it is possible to increase the public’s satisfaction with local governments. A commitment to creating a good productive and living environment for the public can enhance the image of the government in the eyes of the public and is a significant strategy to improve the credibility of a government.
It is unrealistic to rely solely on local government intervention to solve the problems of rural environmental protection. Before the environment is completely destroyed, village enterprises and farmers will have egoistic thinking and will not voluntarily pay for environmental pollution, which will ultimately lead to the collapse of the ecological balance and a prisoner’s dilemma. To solve the problem fundamentally, we must rely on the coordination of the game among local governments, village enterprises, and farmers.

3.3. Factors Influencing Strategy Selection in Village Enterprises

The cost Ce when a village enterprise chooses to purify, the production revenue Re1 in the corresponding case, the government incentive Ve as well as the production revenue Re2 when it chooses to discharge, and the government fine Pe are the relevant factors for the strategy choices of village enterprises. By ordering x = 0.3, y = 0.3, and z = 0.3 and changing the values of Ce, Re1, Ve, Re2, and Pe, respectively, we analyzed their effects on the strategy choices of village enterprises.
The effect of Pe and Ve changes on stabilizing strategy states is shown in Figure 8. The heavier the fine Pe and the higher the incentive Ve of the local government to the village enterprise, the higher proportion of village enterprises complying tends to stabilize the choice of purification and cooperation with environmental management. When the local government strictly regulates, the fine Pe is much larger than the difference between the enterprise’s emission and purification gains, and if the enterprise still chooses to emit under this condition, it loses more than it gains. Therefore, this is when they tend to choose the strategy of purification more quickly.
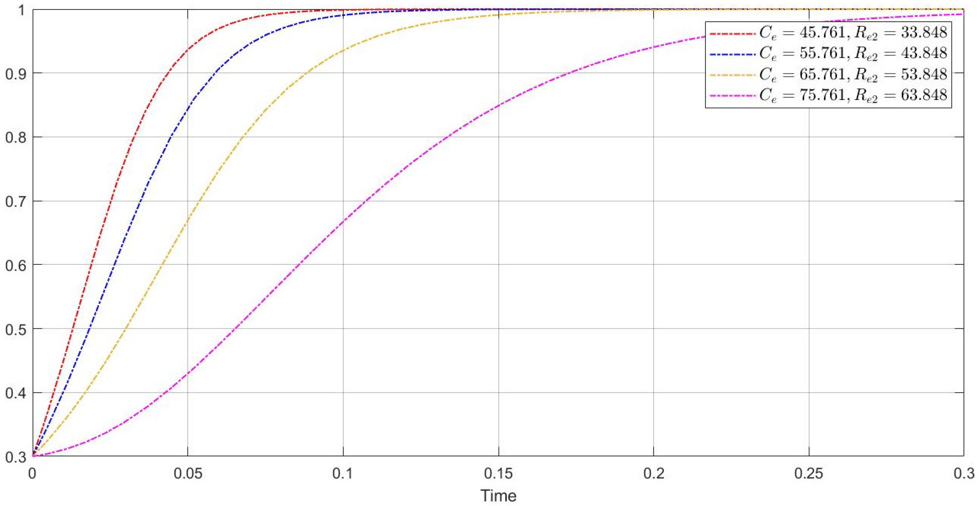
As can be seen from Figure 9, when village enterprises buy purification equipment, and the cost of purification Ce is too high, they face greater economic pressure while protecting the ecological environment, and their willingness to invest in environmental protection and purification still declines even if the production benefits of choosing direct sewage Re2 increase. Enterprises are the main producers of environmental pollution and the main consumers of resources [15]. High purification costs will not only affect enthusiasm toward pollution management but may also make the village enterprises in the game process more inclined to choose the short-term economic benefit maximization strategy, resulting in the stabilization of the state of the strategy slowing down, ignoring the long-term requirements of sustainable development. When the cost pressure is high, enterprises are more inclined to save money by reducing the cost of pollution control, especially in the case of lax regulation by local governments, and this behavior is more obvious.
Combined with Figure 10, it can be seen that when village enterprises choose purification, the production gain Re1 is greater, and village enterprises are more driven to participate in environmental management. As purification investment can bring direct or indirect economic benefits, the village enterprises are more willing to continue to invest in a faster convergence to the state of stabilization strategy. In practice, many village enterprises are willing to purchase purification equipment, realizing the win-win situation of environmental and economic benefits.

3.4. Influences on Farmer Selection Strategies

The cost Cf needed for farmers to participate in environmental management, the benefit Wf1 received, the local government reward Vf, the compensation Rf received from the discharging enterprise as well as the production benefit Wf2 when choosing to discharge, and the fine Pf from local governments are all the relevant factors influencing the strategy choice of farmers. The parameters were set as x = 0.3, y = 0.3, and z = 0.3, the values of Cf, Wf1, Vf, Rf, Wf2, and Pf, respectively, were changed, and their impacts on the strategy choices of farmers were analyzed.
Figure 11 shows the effect of Cf and Vf on the strategy choices of farmers. When the cost Cf needed to participate in the treatment is too high, farmers eventually tend to choose the strategy of not participating in the treatment and discharging the polluted water source directly. Since farmers have a weak awareness of environmental protection and fail to fully realize the long-term harm of pollution, they may choose not to participate in governance as they may believe that the pollution they produce is small and has little impact on the overall environment. In some areas, the government has less policy support for farmers’ environmental governance and lacks effective incentives, and even with government incentives Vf, the funding is still insufficient compared to the cost of inputs, leading to their reluctance to invest in rural environmental protection.
Farmers who actively cooperate with local governments and participate in the governance of the environment receive the ecological benefits Wf1, and farmers who report sewage enterprises receive the corresponding compensation Rf. This situation eventually means that farmers are more inclined to actively participate in the stabilization strategy. Combined with practical analysis, farmers attain both economic and ecological benefits from it, and their willingness to participate in the management of the environment is improved, forming a virtuous circle and promoting the quality of the village environment. In recent years, the Kashgar region has conscientiously implemented ecological and environmental violation reporting incentives to encourage public participation in ecological and environmental protection and fully mobilized the power of the public. This enables local people to receive corresponding financial compensation after reporting, providing the public with incentives to actively participate in environmental protection [16]. The effects of Rf and Wf1 on farmers’ strategy choices are shown in Figure 12.
From Figure 13, it can be seen that when the production gains Wf2 obtained by farmers from non-participation are low, they do not gain enough short-term benefits from the direct discharge of effluent, so they eventually stabilize their choices to participate in the management of the environment. However, as the production gain Wf2 increases, the choices of farmers change, and they tend not to participate in environmental management, even though this choice will have a long-term negative impact on the environment. This phenomenon can be explained by the prisoner’s dilemma theory, in which farmers ignore the long-term benefits of environmental governance while pursuing their own interests.
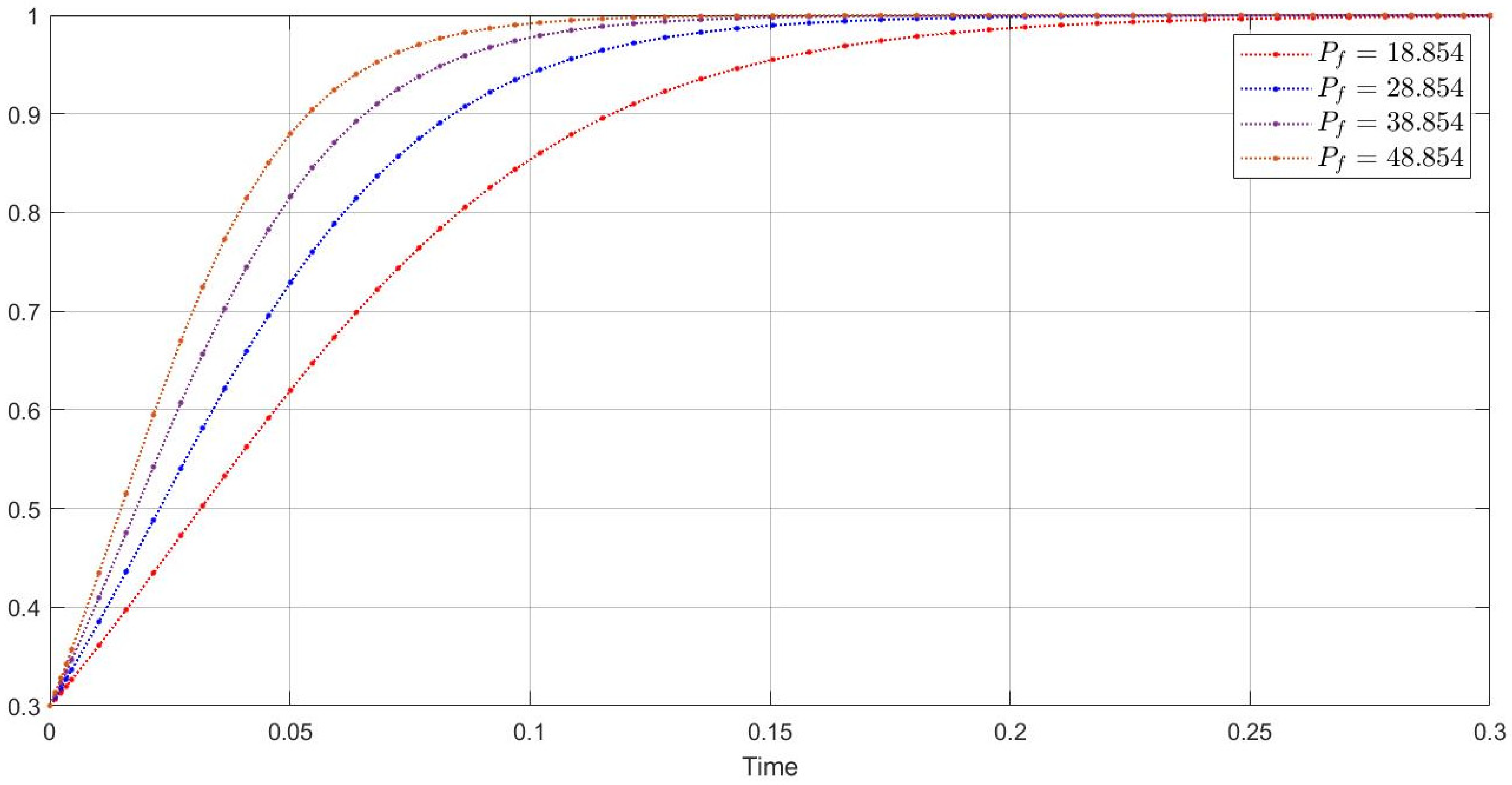
If environmental pollution is a growing problem, the local governments will implement a stricter policy of fines for farmers who discharge, and an increase in the fine Pf will significantly affect the decision-making behavior of farmers. When the fines are stricter, the economic loss of farmers’ non-participation in environmental governance increases significantly, making farmers reconsider their decision-making choices and adjust to a policy of participation in governance. High fines increase the economic cost of illegal emissions, thus making emissions not an optimal choice. In addition to direct fines, farmers may face more serious consequences, such as the degradation of land quality, increased water pollution, and reduced crop yields, which directly affect the normal life of farmers. The effect of Pf on farmers’ strategic choices is shown in Figure 14.

4. Discussion and Conclusions

4.1. Discussion

This paper establishes a tripartite game model around local governments, village enterprises, and farmers; analyzes the benefits of each subject by combining the prisoner’s dilemma theory; visualizes the game evolution process through simulation; explains the influence of each parameter on the stable state of the strategy; and puts forward reasonable opinions for the protection of the rural environment.
While the prisoner’s dilemma framework provides a theoretical model for understanding the conflict between cooperation and self-interest, its relevance to rural environmental governance becomes particularly evident when examining the strategic choices of different stakeholders. In this study, the model reveals that local governments, village enterprises, and farmers, despite their common interest in improving the rural ecological environment, may not cooperate optimally due to the lack of trust, competing priorities, and the high individual costs of environmental protection [17]. By adopting the prisoner’s dilemma model, we demonstrate how different strategies can influence the stability of cooperation and ultimately promote better outcomes for environmental governance.
The model established in this paper provides a basis for future research, and the modeling combined with the prisoner’s dilemma theory can present a more accurate stable state of the game to provide realistic and feasible opinions and promote relevant subjects to protect the rural environment. Considering that in the context of rural environmental governance, there may be other subjects whose decisions influence the outcome, we will study the evolutionary game process of the four strategic subjects in the future. Moreover, all the results in this paper assume that all game participants interact completely. However, in fact, the probability of interaction between participants may vary. Random interactions with different probability distributions can have diverse impacts on the evolution of cooperation in prisoner’s dilemmas. Incomplete interactions [18] and asymmetric interactions are also important aspects to consider in game theory, and they represent potential directions for future research. The probability of interaction between strategic subjects varies, as does the outcome of the evolution of their cooperative processes, and for cooperators, full interaction ability means the opportunity for higher payoffs, which facilitates the expansion of cooperation in asymmetric interaction environments [19]. Therefore, we will investigate these two types of incomplete interaction in future research.
In the model assumption section, this paper only considers the case where the subjects are all rational decision-makers, but in the actual situation of rural environmental governance, cultural and political factors may also influence the subjects to make strategic judgments, for example, local protectionism by the government, the transfer of sewage costs from enterprises to rural areas, and the lack of awareness and knowledge of environmental protection among farmers [20]. This is also the focus of future research.

4.2. Conclusions

With economic development and the accelerated pace of rural modernization, pollution caused by production is becoming more and more serious, and the problem of rural environmental protection is becoming more and more prominent. If no attention is paid to it, the sustainability of rural environmental development will be undermined. Local governments, village enterprises, and farmers, as the three strategic subjects in governing the rural ecological environment, each seek to maximize their own interests, forming a prisoner’s dilemma. To achieve the ultimate goal of protecting the rural environment, they must form a game balance between them.
The strategy corresponding to the stable point of the tripartite game is that local governments strictly regulate, village enterprises choose to purify, and farmers have a negative attitude toward participation in governance. Combined with the analysis of the actual situation, local governments take environmental regulation as the first priority, strictly implement the regulatory strategy to protect the environment, and restrict the sewage discharge behaviors of enterprises and farmers. The government demonstrates a clear position on protecting the environment to society, which enhances its own credibility, and, at the same time, lays the foundation for long-term environmental governance. Under the government’s regulatory pressure, the optimal choice for village enterprises is to invest in purification, which not only ensures their own production interests but also enables them to obtain incentive funds from the government. Farmers believe that it is more costly to invest in participating in governance than to receive benefits from participating in governance, so they have a passive attitude toward participating in environmental governance, relying on the government’s regulation as well as the environmental protection measures of village enterprises to indirectly enjoy the long-term benefits from environmental protection.
In addition to the prisoner’s dilemma tripartite game model that can be applied to explain rural environmental governance problems, the model can be applied to other contexts, for example, studying the impact of different government interventions on the use of port shore power by shipping companies [21], improving conflict management skills in higher education [22], etc.
The strategy stability point reflects a relatively reasonable strategy combination of the three subjects under the premise of maximizing their respective interests. Since farmers are not involved in governance, this strategy still exists in the long-term environmental protection pressure. Environmental problems are a long-term dynamic process. In order to ensure a long-term environmental management effect, local governments, village enterprises, and farmers need to put forward the corresponding reasonable suggestions.
From the perspective of local governments, they should continue to actively guide village enterprises and farmers, for example, by carrying out lectures on environmental management or through higher subsidies and incentives, to motivate farmers to actively participate in environmental management. At the same time, in order to maintain the sustainability of the ecological environment and the credibility of the government, local governments can strengthen the popularization of knowledge about environmental governance and hold regular environmental education lectures, so that more people can participate in environmental governance. While enjoying the long-term benefits of environmental improvement, farmers can gain more economic benefits, thus forming a virtuous circle and promoting the sustainable improvement of the local ecological environment.
Analyzing from the perspective of village enterprises, under the condition of receiving policy support, enterprises can further reduce purification costs through technological innovation. This will not only alleviate the economic pressure faced by enterprises in environmental management but also improve their market competitiveness. By introducing green production technology and the concept of sustainable development, village enterprises can improve the efficiency of resource utilization and create more economic value. In addition, the combination of policy support and technological innovation can promote the upgrading of industrial structure and the transformation of village enterprises from traditional high-pollution industries to green and high-value-added industries, thus creating a win-win situation for both economic development and environmental protection.
From the perspective of farmers, constantly updating their environmental knowledge is the key. With the changes in economic development and rural industrial structure, farmers need to understand the impact of environmental policies on their own lives and help the government synchronize environmental protection and economic development. By participating in environmental education, farmers can learn the basics of pollution prevention and control, as well as master green production techniques and gradually form a sustainable production model. In this process, the support of local governments and village enterprises is particularly important. With their support, farmers can more actively participate in environmental management.
Close cooperation among local governments, village enterprises, and farmers is the key to realizing environmental co-management. Only when all parties make concerted efforts and give full play to their respective advantages can we effectively break through the prisoner’s dilemma and form a stable game equilibrium for pollution control, thus promoting the sustainable development of the rural ecological environment.

Author Contributions

Conceptualization, Y.F. and G.X.; data curation, Y.F.; formal analysis, Y.F.; funding acquisition, G.X.; investigation, Y.F.; methodology, Y.F.; project administration, G.X.; resources, G.X.; software, Y.F.; supervision, R.C.; validation, R.C.; writing—original draft, Y.F.; visualization, Y.F.; writing—review and editing, G.X. All authors have read and agreed to the published version of the manuscript.

Funding

This research was supported by GuangDong Basic and Applied Basic Research Foundation [grant number: 2023A1515011270], 2022 Guangdong University Quality Assurance Project by the Education Department of Guangdong Province—Course Faculty “Circuits and Electronics Course Faculty” (Guangdong Provincial Department of Education Higher Education Document [2023] No. 4), 2020 Guangdong University Quality Assurance Project by the Education Department of Guangdong Province—Guangdong Ocean University—Guangzhou Shangguan Information Technology Co., Ltd. off-campus practice teaching base for college students (Guangdong Provincial Department of Education Higher Education Document [2020] No. 19).

Institutional Review Board Statement

Not applicable.

Informed Consent Statement

Not applicable.

Data Availability Statement

The data presented in this study are available on request from the corresponding author.

Acknowledgments

We appreciate the anonymous reviewers for their invaluable comments and suggestions on this manuscript.

Conflicts of Interest

The authors declare no conflicts of interest.

References

  1. Long, H. Land consolidation: An indispensable way of spatial restructuring in rural China. J. Geogr. Sci. 2014, 24, 211–225. [Google Scholar] [CrossRef]
  2. Xue, D.-s.; Yan, X.-p.; Johnson, G. Local government, enterprises and individuals: Economic transformation in the pearl river delta. Chin. Geogr. Sci. 2001, 11, 211–222. [Google Scholar] [CrossRef]
  3. Chen, S. Thoughts on Rural Ecological Environment Governance in the Period of the 14th Five-Year Plan. Environ. Prot. 2021, 49, 12–15. [Google Scholar]
  4. Fan, W.; Wang, S.; Gu, X.; Zhou, Z.; Zhao, Y.; Huo, W. Evolutionary game analysis on industrial pollution control of local government in China. J. Environ. Manag. 2021, 298, 113499. [Google Scholar] [CrossRef] [PubMed]
  5. Zhu, Y.; Wang, W. Game Analysis of the Process of Investigation and Handling of Agro-Environment Pollution Accident. Ecol. Econ. 2014, 30, 100–104. [Google Scholar]
  6. Li, X. Dynamic Combination Evaluation Method of Rural Environmental Pollution Control Effect. Complexity 2021, 2021, 5531677. [Google Scholar] [CrossRef]
  7. Liu, J.; Huang, S.; Wang, Y. Study of Farmers’ Willingness to Participate in Environmental Governance Based on Recycling, Reduction and Resourcing. Sustainability 2023, 15, 10850. [Google Scholar] [CrossRef]
  8. Saputra, R.; Havlíček, T. Strengthening Rural Governance for Rural Development Through Collaborative Strategy: The Application of Soft System Methodology and Textual Network Analysis. Syst. Pract. Action Res. 2024. [Google Scholar] [CrossRef]
  9. Deng, Y.; You, D.; Zhang, Y. Can the Behavioural Spillover Effect Affect the Environmental Regulations Strategy Choice of Local Governments? Int. J. Environ. Res. Public Health 2021, 18, 4975. [Google Scholar] [CrossRef] [PubMed]
  10. Hao, X.; Liu, G.Q.; Zhang, X.; Dong, L. The Coevolution Mechanism of Stakeholder Strategies in the Recycled Resources Industry Innovation Ecosystem: The View of Evolutionary Game Theory. Technol. Forecast. Soc. Change 2022, 179, 121627. [Google Scholar] [CrossRef]
  11. Kahil, M.T.; Dinar, A.; Albiac, J. Cooperative water management and ecosystem protection under scarcity and drought in arid and semiarid regions. Water Resour. Econ. 2016, 13, 60–74. [Google Scholar] [CrossRef]
  12. Singh, S.; Gibali, A.; Reich, S. Multidimensional Evolution Effects on Non-Cooperative Strategic Games. Mathematics 2024, 12, 2453. [Google Scholar] [CrossRef]
  13. Wei, Z.; Xu, J.; Chen, R. A Study on the Regulatory Game of University Online Public Opinion Supervision from the Perspective of Media Convergence Based on the Herd Effect. Dyn. Games Appl. 2024. [Google Scholar] [CrossRef]
  14. Li, J.; Kendall, G.; John, R.I. Computing Nash Equilibria and Evolutionarily Stable States of Evolutionary Games. IEEE Trans. Evol. Comput. 2016, 20, 460–469. [Google Scholar] [CrossRef]
  15. Fan, Q.; Qiao, Y.; Zhang, T.; Huang, K. Environmental regulation policy, corporate pollution control and economic growth effect: Evidence from China. Environ. Chall. 2021, 5, 100244. [Google Scholar] [CrossRef]
  16. Typical Cases of Implementation of Whistle-Blowing Reward System by Kashi Regional Bureau of Ecology and Environment. Available online: https://www.kashi.gov.cn/ksdqxzgs/c112193/202406/9404796927c94024a16286b5e8f14389.shtml (accessed on 12 June 2024).
  17. Zhang, Y.; Guo, X. The Dilemma and Path of Rural Environmental Governance in China: From the Perspective of a Community with a Shared Future. Int. J. Environ. Res. Public Health 2023, 20, 1446. [Google Scholar] [CrossRef] [PubMed]
  18. Li, X.; Hao, G.; Zhang, Z.; Xia, C. Evolution of cooperation in heterogeneously stochastic interactions. Chaos Solitons Fractals 2021, 150, 111186. [Google Scholar] [CrossRef]
  19. Li, X.; Wang, Z.; Xu, Y.; Zhang, H.; Yu, G. Asymmetrical interactions driven by strategic persistence effectively alleviate social dilemmas. Chaos Solitons Fractals 2024, 184, 115054. [Google Scholar] [CrossRef]
  20. Wang, L.; Li, Z.; Zhang, Y. Identification of key factors of cooperative governance for village environment based on rural revitalization strategy. Chin. J. Eco-Agric. 2019, 27, 227–235. [Google Scholar]
  21. Song, Z.; Tang, W.; Zhao, R.; Zhang, G. Implications of government subsidies on shipping companies’ shore power usage strategies in port. Transp. Res. Part E Logist. Transp. Rev. 2022, 165, 102840. [Google Scholar] [CrossRef]
  22. Bruno, A.; Dell’Aversana, G.; Guidetti, G. Developing Organizational Competences for Conflict Management: The Use of the Prisoner’s Dilemma in Higher Education. Front. Psychol. 2018, 9, 376. [Google Scholar] [CrossRef]
Figure 1. Tripartite gaming strategies in the prisoner’s dilemma.
Figure 1. Tripartite gaming strategies in the prisoner’s dilemma.
Sustainability 17 00436 g001
Figure 2. The effect of the initial willingness of the strategy subject on the equilibrium state: (a) Initial willingness value for the first group; (b) Initial willingness value for the second group.
Figure 2. The effect of the initial willingness of the strategy subject on the equilibrium state: (a) Initial willingness value for the first group; (b) Initial willingness value for the second group.
Sustainability 17 00436 g002
Figure 3. Impact of changes in local governments’ initial willingness on strategy stabilization outcomes.
Figure 3. Impact of changes in local governments’ initial willingness on strategy stabilization outcomes.
Sustainability 17 00436 g003
Figure 4. The effect of changes in initial willingness of village enterprises on strategy stabilization outcomes.
Figure 4. The effect of changes in initial willingness of village enterprises on strategy stabilization outcomes.
Sustainability 17 00436 g004
Figure 5. The effect of changes in farmers’ initial willingness on the outcome of strategy stabilization.
Figure 5. The effect of changes in farmers’ initial willingness on the outcome of strategy stabilization.
Sustainability 17 00436 g005
Figure 6. Impact of Cg1, Cg2, Vg1, and Vg2 on local government strategy choices. (a) Impact of Cg1 and Vg2 on government decision-making; (b) Impact of Cg2 and Vg1 on government decision-making.
Figure 6. Impact of Cg1, Cg2, Vg1, and Vg2 on local government strategy choices. (a) Impact of Cg1 and Vg2 on government decision-making; (b) Impact of Cg2 and Vg1 on government decision-making.
Sustainability 17 00436 g006
Figure 7. Impact of Cg3 on local government strategy choices.
Figure 7. Impact of Cg3 on local government strategy choices.
Sustainability 17 00436 g007
Figure 8. The effect of Pe and Ve on strategy choices of village enterprises.
Figure 8. The effect of Pe and Ve on strategy choices of village enterprises.
Sustainability 17 00436 g008
Figure 9. The effect of Ce and Re2 on strategy choices of village enterprises.
Figure 9. The effect of Ce and Re2 on strategy choices of village enterprises.
Sustainability 17 00436 g009
Figure 10. Impact of Re1 on strategy choices of village enterprises.
Figure 10. Impact of Re1 on strategy choices of village enterprises.
Sustainability 17 00436 g010
Figure 11. Impact of Cf and Vf on farmers’ strategy choices.
Figure 11. Impact of Cf and Vf on farmers’ strategy choices.
Sustainability 17 00436 g011
Figure 12. Effect of Rf and Wf1 on farmers’ strategy choices.
Figure 12. Effect of Rf and Wf1 on farmers’ strategy choices.
Sustainability 17 00436 g012
Figure 13. The effect of parameter Wf2 on farmers’ strategy choices.
Figure 13. The effect of parameter Wf2 on farmers’ strategy choices.
Sustainability 17 00436 g013
Figure 14. The effect of parameter Pf on farmers’ strategy choices.
Figure 14. The effect of parameter Pf on farmers’ strategy choices.
Sustainability 17 00436 g014
Table 1. Tripartite game payment matrix.
Table 1. Tripartite game payment matrix.
Village EnterpriseFarmer
ParticipationNon-Participation
Local
Government
Strict
Regulation
PurifyVg1 − Ve − Cg1,
Re1 + Ve − Ce,
Wf1 − Cf
Vg − Ve + Pf − Cg1,
Re1 + Ve − Ce,
Wf2 − Pf
SewageVg1 + Pe − Vf − Cg1,
Re2 − Pe − Rf,
Wf1 + Vf + Rf − Cf
Vg1 + Pe + Pf − Cg1,
Re − Pe − Rf,
Wf2 − Pf + Rf
Lax
Regulation
PurifyVg2 − Cg2 − Cg3,
Re1 − Ce,
Wf1 − Cf
Vg2 − Cg2 − Cg3 + Pf,
Re1 − Ce,
Wf2 − Pf
SewageVg − Cg2 − Cg + Pe,
Re − Pe − Rf,
Wf1 + Rf − Cf
Vg − Cg2 − Cg3 + Pf + Pe,
Re2 − Pe − Rf,
Wf2 − Pf + Rf
Table 2. The payment matrix of the game under the prisoner’s dilemma.
Table 2. The payment matrix of the game under the prisoner’s dilemma.
Strict Regulation
by Local Government
Farmer
Participation
in Governance
Non-Participation
in Governance
Village EnterprisePurificationRe1 − Ce + Ve,
Wf1 − Cf
Re1 − Ce + Ve,
Wf2 − Pf
SewageRe2 − Pe − Rf,
Wf1 + Vf + Rf − Cf
Re − Pe − Rf,
Wf2 − Pf + Rf
Table 3. Evolutionary equilibrium stability analysis.
Table 3. Evolutionary equilibrium stability analysis.
Evolutionary
Equilibrium
Eigenvalue 1Eigenvalue 2Eigenvalue 3ConditionStability
(0, 0, 0)Pf − Cf + Wf1 − Wf2Cg2 − Cg1 + Cg3 + Vg1 − Vg2Pe − Ce + Re1 − Re2 + Rf(−, +,   × )Instability
(0, 0, 1)Cf − Pf − Wf1 + Wf2Pe − Ce + Re1 − Re2 + RfCg2 − Cg1 + Cg3 − Vf + Vg1 − Vg2(+, −,   × )Instability
(0, 1, 0)Pf − Cf + Wf1 − Wf2Ce − Pe − Re1 + Re2 − RfCg2 − Cg1 + Cg3 − Ve + Vg1 − Vg2(−, +, +)Instability
(1, 0, 0)Pf − Cf + Vf + Wf1 − Wf2Cg1 − Cg2 − Cg3 − Vg1 + Vg2Pe − Ce + Re1 − Re2 + Rf + Ve( × , −, +)Instability
(1, 1, 0)Pf − Cf + Wf1 − Wf2Cg1 − Cg2 − Cg3 + Ve − Vg1 + Vg2Ce − Pe − Re1 + Re2 − Rf − Ve(−, −, −)ESS
(1, 0, 1)Cf − Pf − Vf − Wf1 + Wf2Cg1 − Cg2 − Cg3 + Vf − Vg1 + Vg2Pe − Ce + Re1 − Re2 + Rf + Ve( × , −, +)Instability
(0, 1, 1)Cf − Pf− Wf1 + Wf2Ce − Pe − Re1 + Re2 − RfCg2 − Cg1 + Cg3 − Ve + Vg1 − Vg2(+, +, +)Instability
(1, 1, 1)Cf − Pf− Wf1 + Wf2Cg1 − Cg2 − Cg3 + Ve − Vg1 + Vg2Ce − Pe − Re1 + Re2 − Rf − Ve(+, −, −)Instability
Note:  × denotes uncertainty, + denotes positive eigenvalues, and − denotes negative eigenvalues.
Table 4. Parameters of the tripartite game model.
Table 4. Parameters of the tripartite game model.
Strategy SubjectParameter
Local GovernmentCg1 = 26.678, Cg2 = 57.883, Cg3 = 15.091,
Vg1 = 87.111, Vg2 = 66.235
Village EnterpriseCe = 45.761, Re1 = 20.502, Re2 = 33.848,
Ve = 25.045, Pe = 108.692
FarmerCf = 13.38, Vf = 7.19, Rf = 6.089,
Wf1 = 35.04, Wf2 = 15.06, Pf = 18.854
Note: The data in the table come from the 2022 Annual Report on China’s Ecological Environment Statistics, the 2022 Bulletin on the State of the Ecological Environment in Guangdong Province, and other information.
Disclaimer/Publisher’s Note: The statements, opinions and data contained in all publications are solely those of the individual author(s) and contributor(s) and not of MDPI and/or the editor(s). MDPI and/or the editor(s) disclaim responsibility for any injury to people or property resulting from any ideas, methods, instructions or products referred to in the content.

Share and Cite

MDPI and ACS Style

Feng, Y.; Chen, R.; Xu, G. Sustainability of the Rural Environment Based on a Tripartite Game Among Government, Enterprises, and Farmers Under the Prisoner’s Dilemma. Sustainability 2025, 17, 436. https://doi.org/10.3390/su17020436

AMA Style

Feng Y, Chen R, Xu G. Sustainability of the Rural Environment Based on a Tripartite Game Among Government, Enterprises, and Farmers Under the Prisoner’s Dilemma. Sustainability. 2025; 17(2):436. https://doi.org/10.3390/su17020436

Chicago/Turabian Style

Feng, Yini, Rongning Chen, and Guobao Xu. 2025. "Sustainability of the Rural Environment Based on a Tripartite Game Among Government, Enterprises, and Farmers Under the Prisoner’s Dilemma" Sustainability 17, no. 2: 436. https://doi.org/10.3390/su17020436

APA Style

Feng, Y., Chen, R., & Xu, G. (2025). Sustainability of the Rural Environment Based on a Tripartite Game Among Government, Enterprises, and Farmers Under the Prisoner’s Dilemma. Sustainability, 17(2), 436. https://doi.org/10.3390/su17020436

Note that from the first issue of 2016, this journal uses article numbers instead of page numbers. See further details here.

Article Metrics

Back to TopTop