Next Article in Journal
Disaggregating ESG Mechanisms: The Mediating Role of Stakeholder Pressure in the Financial Performance of Logistics Firms
Previous Article in Journal
Effects of Agricultural Production Patterns on Surface Water Quality in Central China’s Irrigation Districts: A Case Study of the Four Lakes Basin
 
 
Font Type:
Arial Georgia Verdana
Font Size:
Aa Aa Aa
Line Spacing:
Column Width:
Background:
Article

Utilizing Recycled PET and Mining Waste to Produce Non-Traditional Bricks for Sustainable Construction

by
Gonzalo Díaz-García
1,*,
Piero Diaz-Miranda
2 and
Christian Tineo-Villón
2
1
Research Department, César Vallejo University, Chimbote 02712, Peru
2
Department of Civil Engineering, César Vallejo University, Chimbote 02712, Peru
*
Author to whom correspondence should be addressed.
Sustainability 2025, 17(19), 8841; https://doi.org/10.3390/su17198841
Submission received: 14 August 2025 / Revised: 16 September 2025 / Accepted: 23 September 2025 / Published: 2 October 2025
(This article belongs to the Topic Sustainable Building Materials)

Abstract

Plastic waste, particularly polyethylene terephthalate (PET), poses a growing environmental challenge. This study investigates the feasibility of incorporating recycled PET into clay bricks as a sustainable alternative in construction. Bricks were fabricated with 0%, 5%, 10%, and 15% PET content. Clay characterization included particle size distribution, Atterberg limits, and moisture content. Physical and mechanical tests evaluated dimensional variability, void percentage, warping, water absorption, suction, unit compressive strength ( f b ), and prism compressive strength ( f m ). Statistical analysis (Shapiro–Wilk, p < 0.05) validated the results. PET addition improved physical properties—reducing water absorption, suction, and voids—while slightly compromising mechanical strength. The 15% PET mix showed the best overall performance ( f b = 24.00 kg/cm2; f m = 20.40 kg/cm2), with uniform deformation and lower absorption (18.7%). Recycled PET enhances key physical attributes of clay bricks, supporting its use in eco-friendly construction. However, reduced compressive strength limits its structural applications. Optimizing PET particle size, clay type, and firing conditions is essential to improve load-bearing capacity. Current formulations are promising for non-structural uses, contributing to circular material strategies.

1. Introduction

The construction industry, a cornerstone of global development, faces the challenge of minimizing its environmental footprint. Traditionally reliant on natural resources such as clay and cement, and a significant generator of waste, the sector is under increasing pressure to adopt more sustainable materials and processes. In this context, waste valorization emerges as a key strategy to mitigate environmental impact and advance toward a circular economy [1,2]. One of the most abundant and problematic types of waste is plastic, whose accumulation in landfills and ecosystems poses a critical environmental threat [3,4]. The development of innovative construction materials incorporating plastic waste not only offers a solution to the waste management problem [5] but can also lead to the creation of products with improved or comparable properties to conventional ones—often at a reduced cost [6,7]. Bricks, as essential components in building construction [8], are of particular interest for this type of integration [9]. Several studies have explored the incorporation of recycled plastics in brick manufacturing [10], with varying results in terms of their physico-mechanical properties, such as compressive strength, water absorption, density, and thermal conductivity [11]. However, the optimization of plastic types and proportions, as well as their impact on long-term durability, remains an area that requires further research and standardization [12]. For instance, while some studies report improvements in lightness and thermal insulation with the addition of certain plastics [13], others highlight a potential reduction in mechanical strength if the proportions are not adequate or if the interface between the plastic and the clay matrix is suboptimal [14].
The current global landscape, intensified by the climate crisis and pervasive plastic pollution, demands a paradigm shift in the construction industry toward more sustainable practices. In regions such as Chimbote, Áncash, Peru, this urgency is particularly evident, where El Ferrol Bay faces a recurring ecological crisis due to plastic accumulation, severely impacting marine biodiversity [15,16] and the urban landscape [17]. In parallel, the growing need for affordable housing and the pursuit of innovative materials are driving research into alternatives that not only are technically and economically viable but also minimize environmental impact [18]. In this context, the valorization of plastic waste in brick manufacturing emerges as a promising strategy, perfectly aligned with the Sustainable Development Goals (SDG 13: Climate Action) [19]. This approach not only promotes a circular economy by reintegrating discarded materials into the value chain but also contributes to mitigating the exploitation of natural resources [20]. Numerous studies, both internationally and domestically, support this trend, showing that the integration of recycled plastics into clay or cement matrices can lead to significant improvements in key properties such as mechanical strength, lightness, and thermal insulation—all while reducing the environmental footprint of construction materials [21].
Worldwide research has explored various pathways for integrating plastics into brick production, yielding promising results. In terms of strength and lightness, bricks incorporating recycled polypropylene (PP) and polyethylene (PE) have been evaluated, revealing impressive compressive strengths of 789 N/cm2 for PP bricks and 655 N/cm2 for PE bricks, along with a 20% reduction in weight compared to conventional bricks [21]. Similarly, in India, the use of polyethylene terephthalate (PET) at inclusion rates between 20% and 40% yielded an impressive compressive strength of 36.18 MPa—substantially higher than the 13.41 MPa recorded for conventional bricks. Additionally, PET-based bricks showed reduced water absorption, highlighting their potential for improved durability and performance in construction applications [22]. Innovation in processes and materials has also been a key driver in Germany, where bricks have been developed using shredded high-density polyethylene (HDPE) and bitumen, achieving a compressive strength of 37.5 MPa and minimal water absorption (<1%) [23]. In Malaysia, discarded polypropylene (PP) bumpers were repurposed to create blocks with a water absorption rate of just 0.04%. Structural performance was further enhanced by incorporating 5% bitumen, demonstrating the versatility of plastic waste in construction applications [24]. In Lima, Peru, blocks incorporating 10% PET and glass demonstrated superior performance, exceeding a compressive strength of 77.99 kg/cm2 [25], thus complying with Peru’s rigorous E.070 building standard [26]. The focus on the circular economy has also been a cornerstone of national research in Lima, where blocks combining rubber and PET (in proportions ranging from 12% to 36%) were evaluated. These blocks were classified between Type III and Type V based on their load-bearing capacity, with compressive strengths reaching up to 174.71 kg/cm2 [27]. This integration of PET with metal shavings resulted in compressive strengths of up to 194 kg/cm2, making the blocks suitable for load-bearing constructions [28].
Sustainable construction promotes the reduction in environmental impact through the reuse of waste and the use of locally sourced materials [29]. In this context, the incorporation of recycled polyethylene terephthalate (PET) into construction materials [30] has been shown to enhance the thermal and mechanical properties of bricks and mortars [31], with studies reporting compressive strengths of up to 76.85 MPa, low water absorption, and a significant reduction in CO2 emissions [32]. In parallel, kaolin—an abundant clay material found in small-scale informal mining—shows great potential for brick manufacturing, although its sustainable use requires innovations to mitigate the associated environmental degradation [33].
Advances in hybrid materials highlight the viability of bricks made with recycled plastic, with research demonstrating high compressive strengths (38–76 MPa) and a reduced carbon footprint when using PET-sand mixtures [34]. Likewise, geopolymers incorporating mining waste are being explored [35], although the specific integration of kaolin from informal mining remains unaddressed. Despite these advancements, significant challenges persist. The direct compatibility between PET and artisanal kaolin has not been widely examined in the literature, particularly regarding adhesion and thermal stability of such combinations. Moreover, although laboratory results show promising strengths (>30 MPa), the scalability of artisanal production and regulatory standardization still require optimization [31]. It is at this intersection that a clear research gap emerges: no studies have specifically combined recycled PET with kaolin from informal mining for the production of artisanal bricks. While previous works have addressed similar components, none have done so within this particular context of mining by-products and artisanal manufacturing [32].
This study aims to evaluate the physical and mechanical properties of bricks manufactured using a combination of clay and recycled plastic. The underlying hypothesis is that the controlled incorporation of recycled plastic into the clay matrix will yield bricks with competitive physical and mechanical characteristics compared to conventional bricks while simultaneously offering a sustainable solution for plastic waste valorization. Specifically, the study will investigate the effect of varying percentages of recycled plastic (5%, 10%, and 15%) on compressive strength, water absorption, bulk density, and thermal conductivity, seeking to identify the optimal formulation that balances performance and sustainability. This research directly addresses existing gaps by evaluating the physical and mechanical properties of bricks made with clay and recycled PET. The goal is to actively contribute to reducing plastic pollution in the region; validate a sustainable alternative to traditional bricks that complies with Peru’s E.070 standard [26], as well as international standards such as ASTM C67 [36] and ASTM C62 [37]; and generate robust technical data to support the scalability of production in areas similar to the study site [38].
The main contribution of this research lies in its dual approach, combining the use of PET and mining waste to produce bricks [17]. Unlike previous studies that focus on a single type of waste, our work evaluates the technical feasibility of an integrated dual-waste solution [39]. Furthermore, the study addresses a critical gap in the literature by applying this methodology within an artisanal production context in Peru. In doing so, we not only assess the physical and mechanical properties of the material but also demonstrate how the addition of PET can improve the consistency of the base bricks—an inherent challenge in local manufacturing practices [40].
Therefore, this research is positioned to fill a critical gap by integrating environmental sustainability (through the use of recycled PET and locally sourced kaolin to reduce waste and mining-related degradation), technical innovation (by optimizing mechanical and thermal properties in artisanal bricks) [41], and a significant social impact by supporting mining communities through accessible, value-added technologies. This synergistic approach elevates the research beyond a simple material analysis, positioning it as a comprehensive solution that addresses multiple facets of the sustainability challenge.

2. Materials and Methods

2.1. Recycled PET Processing

PET bottles and containers are collected at designated collection points and then transported to recycling facilities, where they are manually sorted—and in some cases, sorted using optical technology—to separate PET from other plastics, labels, caps, metals, and contaminants. Once selected, the bottles are shredded into controlled-size flakes and subjected to a rigorous thermal and chemical washing process, which includes pre-washing, hot washing (85–95 °C) with detergents or caustic solutions, followed by mechanical friction and separation by flotation or centrifugation. This ensures the removal of organic residues, oils, adhesives, and metallic particles, resulting in clean flakes suitable for further use (Figure 1).

2.2. Clay Characterization

This section outlines the methodologies used to characterize the clay material employed in brick manufacturing. All tests were conducted in accordance with the relevant Peruvian Technical Standards (NTP) [26] and the National Building Code (RNE) [26], as well as international standards such as ASTM C67 [36] among others, to ensure the accuracy of the results. The clay (red kaolin) was sourced from the waste material of an artisanal mine located in Carhuaz, Ancash, Peru. Its intrinsic properties significantly influence the final performance of the bricks. The following experimental procedures were carried out to thoroughly characterize the clay.

2.2.1. Particle Size Distribution (Nominal Maximum Size—NMS)

The particle size distribution, including the Nominal Maximum Size (NMS) of the clay, was determined using the Peruvian Technical Standard NTP 339.128 [42] which is aligned with the National Building Code (RNE E.070) [26], and complemented by international standards such as ASTM D422 [43]. This analysis is essential for classifying the clay according to the Unified Soil Classification System (USCS) and for optimizing the homogeneity and workability of the mixture. To ensure a homogeneous distribution of plastic particles within the clay matrix and guarantee the reliability of mechanical testing, the following procedure was implemented. First, the clay (kaolin) and recycled PET—sourced from an artisanal recycling facility and with a particle size slightly larger than 3/8 inch (approximately 9.5 mm)—were manually dry-mixed for 5 min to achieve preliminary homogenization. Then, water was gradually added, and the mixture was processed in a mechanical rotary mixer for an additional 10 min. This two-stage process was designed to break up clumps or agglomerates and produce a uniform blend, which was visually confirmed during the compaction phase.

2.2.2. Moisture Content

The natural moisture content of the clay was determined in accordance with NTP 339.185 [44], with reference to ASTM D2216 [45]. For this test, a representative sample of wet clay was weighed, recording an initial mass (M1) of 134.52 g. The sample was then dried in an oven until a constant dry mass was achieved, yielding a final mass (M2) of 123.35 g. The water content was calculated by subtracting the dry mass from the wet mass (134.52 g − 123.35 g = 11.17 g). The dry soil mass was recorded as 105.34 g. Based on these values, the moisture content was calculated to be 10.59%. Determining this parameter is essential for adjusting the amount of water during the mixing process to achieve optimal workability for brick extrusion and molding. Excess initial moisture can extend drying times and increase the risk of cracking, while insufficient moisture hinders homogenization and shaping. Moreover, the natural moisture content serves as a reference point for evaluating the drying behavior and shrinkage characteristics of clay-PET mixtures.

2.2.3. Atterberg Limits

The plasticity characteristics were evaluated through the Atterberg Limits (Liquid Limit, Plastic Limit, and Plasticity Index), in accordance with NTP 339.129 [46] and supported by ASTM D4318 [47]. These limits are crucial for understanding the workability of the clay, its behavior during drying and shrinkage, and the potential formation of cracks in the final bricks, which defines the consistency limits for soils. The laboratory results indicated that the clay has a Liquid Limit (LL) of 55.9%, a value obtained from the flow curve representing moisture content at 25 blows. The Plastic Limit (PL) was determined to be 17.7%. Based on these values, the Plasticity Index (PI) was calculated as 38.2% (PI = LL − PL = 55.9% − 17.7%). It is worth noting that the thesis report presents a PI of 38.3% in both the particle size distribution table and the physical constants table, showing a slight discrepancy from the direct calculation. Nevertheless, this high plasticity index is a key characteristic, classifying the material as highly plastic clay—an essential property for effective molding and extrusion in brick manufacturing. Overall, the Atterberg limit results classify this soil as a clayey sand with gravel.

2.3. Characterization of Manufactured Bricks

Once the bricks were produced—including both the control samples and those containing varying percentages of recycled PET—a thorough evaluation of their key physical and mechanical properties was carried out. These tests were conducted in accordance with Peruvian Technical Standards E.070 [26], supplemented by internationally recognized standards to ensure the global validity and comparability of the results.

2.3.1. Warping

Warping refers to the curvature of the brick surfaces and was assessed in accordance with Peruvian Standard E.070 [26], with reference to ASTM C67 [36]. This test is essential for evaluating the dimensional stability and flatness of the units, which directly influence the quality and uniformity of masonry construction.

2.3.2. Absorption and Suction

Absorption and suction tests are essential for evaluating the long-term durability and performance of bricks, particularly in masonry construction. High water absorption can lead to issues such as efflorescence, frost damage, and reduced bonding with mortar. Suction rate, in particular, is a key indicator of how well a brick will adhere to mortar—an essential factor for ensuring strong and stable walls. The objective of these tests was to quantify how the addition of PET, by altering the brick’s porosity and void ratio, directly affects these critical parameters. This provides a crucial link between material composition and practical application. The ASTM C67 [36] standard was used to determine these properties.

2.3.3. Dimensional Variability

The dimensional variability test is not merely a quality control measure but a direct reflection of the homogeneity and compactability of the clay-PET mixture. Significant variations in length, width, or height can result in misaligned walls, require additional mortar to compensate for irregularities, and ultimately compromise both the structural integrity and aesthetic quality of the final construction. This test was critical to our study, as it allowed us to assess how PET particles—being less compressible and less reactive than clay—affected the molding process and the final shape of the bricks. The results provide tangible evidence of the challenges and advantages associated with incorporating recycled materials into brick manufacturing. Dimensional measurements of the bricks were carried out in accordance with NTP 339.604 [48], with reference to ASTM C67 [36].

2.3.4. Void Percentage

The brick structure was determined according to NTP 399.604 [48]. This parameter is fundamental for understanding the brick’s density, its thermal and acoustic insulation capacity, and its overall mechanical strength.

2.3.5. Unit and Stack Compressive Strength

Mechanical tests for compressive strength were conducted both on individual bricks ( f b ) and on prism Compressive Strength ( F m ), using a Cardinal 204 V compression device (Weaver, MO, USA), in accordance with NTP 399.605 [49] and ASTM C67 [36].
This research adopted a quantitative paradigm with a quasi-experimental design to rigorously evaluate the physical and mechanical properties of innovative bricks. The study aims to valorize PET plastic waste, addressing its collection, processing, and integration into construction materials. Classified as applied research [50], its core objective is to offer a concrete and sustainable engineering solution to environmental challenges and the growing demand for low-impact materials [51].
The quantitative approach focused on the precise measurement of variables, ensuring objectivity in the testing procedures [52]. The explanatory scope of the study went beyond mere description, seeking to uncover the causal influence of PET incorporation on brick characteristics. The composition of the clay and the proportions of PET were systematically manipulated, establishing experimental groups with 5%, 10%, and 15% PET, alongside a control group composed solely of clay. This design enabled robust comparisons to understand how PET affects strength, durability, and other essential technical parameters of the bricks. To carry out this evaluation, an experimental design was implemented [53], in which the independent variables were clay and recycled plastic (PET), while the dependent variables corresponded to the physical and mechanical properties of the eco-friendly bricks. Three experimental groups were formed with varying PET content (5%, 10%, and 15% by weight), relative to the mass of conventional bricks. The recycled PET, sourced from an artisanal recycling facility, had a particle size slightly larger than 3/8 inch (approximately 9.5 mm). A control group without plastic was also included, allowing for direct comparison of the effects, as shown in Table 1.
Here, O1 represents the initial characterization of the brick’s properties prior to PET addition. X denotes the manipulated independent variable (percentage of recycled plastic). O2 symbolizes the measurement of properties after brick fabrication with varying PET proportions. The symbol — indicates the absence of plastic addition for the control group.
The research variables were operationalized to ensure precise and consistent measurement [54]. The independent variables included the clay, characterized by its particle size distribution (Nominal Maximum Size—NMS), moisture content (%), and Atterberg Limits (Liquid Limit—LL, Plastic Limit—PL, Plasticity Index—PI), in accordance with NTP 399.604 [48] and E.070 [26]. The proportion of recycled PET plastic [39] was controlled at specific levels (5%, 10%, and 15%) within the mixture. The dependent variable consisted of the physical and mechanical properties of the brick [40] which were evaluated using indicators such as warping (degree of curvature), dimensional variability (differences in size), and water absorption (%). Compressive strength was determined through the maximum load capacity ( f b ) and wall compressive strength ( f m ). All tests were rigorously conducted following the guidelines of the Peruvian Building Technical Standard E.070 “Masonry” [26] and other technical standards listed in Table 2.
The study population included all bricks manufactured with varying proportions of recycled PET. The PET was collected in the city of Chimbote, while the clay (kaolin) was sourced from uncontaminated waste piles of informal mining operations in the city of Carhuaz—both located in the Áncash region of Peru. Inclusion criteria were established for bricks containing 0%, 5%, 10%, and 15% recycled PET from the study area, while exclusion criteria applied to bricks without recycled plastic or those originating from other geographic locations.
The sample consisted of 72 experimental bricks, distributed into four groups of 18 units each (0%, 5%, 10%, and 15% PET), complemented by 18 commercial bricks that served as a control/reference group. The detailed composition of the sample is presented in Table 3. Stratified probabilistic sampling was employed to ensure equitable representation of each PET proportion, thereby guaranteeing the validity of statistical inferences. The unit of analysis for this project was each individual brick, which underwent fabrication and subsequent laboratory testing.
The bricks were manufactured following a standardized process. Locally sourced clay was characterized and mixed with specific proportions of recycled PET, which had been previously treated and fragmented. The process included brick molding, controlled drying to prevent cracking and uncontrolled deformation, and an optimized firing stage between 200 °C and 250 °C for a maximum of 2 h. This firing range is critical for developing strength, dimensional stability, and ensuring the final product’s quality.
The percentages are expressed by weight relative to the total dry mixture (clay + PET). Water was dosed at a fixed rate of 5% of the total dry mixture weight (Table 4). The conventional control brick had a mass of 4.34 kg, which served as the reference for regulating the PET content in the experimental bricks.
Data collection was conducted through direct observation and the review of technical documents. The bricks were manufactured following a standardized process [55], and the data gathering was supported by custom-designed test sheets aligned with each applicable standard. Data reliability was ensured through the calibration and certification of laboratory equipment, operated by qualified personnel who adhered strictly to regulatory protocols [56].
For the data analysis, an Analysis of Variance (ANOVA) was performed to compare the physical and mechanical properties across the various experimental groups and the control group. Raw data were systematically organized into individual tables, and mean values were calculated for each evaluated parameter. Preliminary data processing was carried out using Microsoft Excel (version 2019), followed by advanced statistical procedures conducted in IBM SPSS Statistics (version 28). The entire analytical workflow was rigorously aligned with the specifications outlined in Technical Standard E.070 [26], thereby ensuring the validity and comparability of the results.
The research adhered to the highest standards of scientific integrity, following the principles established in the Research Ethics Code of César Vallejo University. All formal authorizations were obtained from the institutions and companies involved. Copyright compliance and transparency in the dissemination of findings were fully ensured. It is important to note that no generative artificial intelligence (GenAI) was used for the creation of textual content, data, graphics, study design, data collection, analysis, or interpretation; its use was strictly limited to superficial manuscript editing (grammar, spelling, punctuation, and formatting).

3. Results

The results of this research stem from the fabrication and thorough characterization of bricks incorporating various proportions of recycled PET plastic into a clay matrix. Laboratory tests were conducted after a 28-day curing period of the samples, strictly adhering to the Peruvian Technical Standards (NTP) and the E.070 Masonry Standard [26].

3.1. Mix Design and Manufacturing Process

Three main formulations were established for the experimental bricks, differentiated by the percentage of recycled PET plastic (A = Clay; PET = PET Plastic): Bricks with 5% PET: Composed of 90% clay, 5% PET, and 5% water, Bricks with 10% PET: Consisting of 85% clay, 10% PET, and 5% water, and, Bricks with 15% PET: Manufactured with 80% clay, 15% PET, and 5% water
The fabrication process began with material preparation: the clay was sieved using a No. 4 mesh, and the recycled PET plastic was sieved with a No. 8 mesh. Although mechanical grinding of the clay was not performed due to equipment limitations, the sieving allowed for initial particle homogenization. Next, the dry components (clay and PET) were mixed until a uniform mass was obtained. Water was gradually added in a mixing tray until the desired workability was achieved. Molding was carried out using custom-made iron molds (23 cm long, 12.5 cm wide, and 9 cm high) to ensure dimensional accuracy. Fine sand was used as a release agent to facilitate demolding without deformation. After molding, the bricks were air-dried for 24 h and then stored under cover for controlled curing over 28 days, with periodic hydration. For the compressive strength tests, masonry stacks were built using a 1:4 mortar mix (cement:sand), in accordance with Standard E.070 [26]. The bricks were moistened prior to laying to improve adhesion, maintaining a mortar thickness of 1.5 cm between courses. A total of nine stacks were constructed—three for each PET percentage—ensuring vertical alignment and consistent height using a plumb line and gauge rod. The stacks were also water-cured for 28 days before testing.

3.2. Base Clay Characterization

The particle size analysis of the clay revealed that, from a sample weighing 874.14 g, 73.8% of the particles passed through the 1/4” sieve and 66.2% passed through the No. 4 sieve. Additionally, 24.9% of the sample corresponded to the fine fraction (<0.074 mm, i.e., material passing the No. 200 sieve), indicating a composition predominantly made up of fine particles. This result is critical for the material’s plasticity and compaction capacity. The natural moisture content of the clay was determined to be 10.59%, representing the amount of water present in the sample prior to drying at 110 °C. Atterberg limit tests yielded the following values: Liquid Limit (LL) of 55.9%, Plastic Limit (PL) of 17.7%, and a Plasticity Index (PI) of 38.3%. A high PI such as this indicates moderate to high plasticity in the clay, which contributes to excellent workability and moldability—desirable properties for brick manufacturing.

3.3. Physical Properties of the Bricks

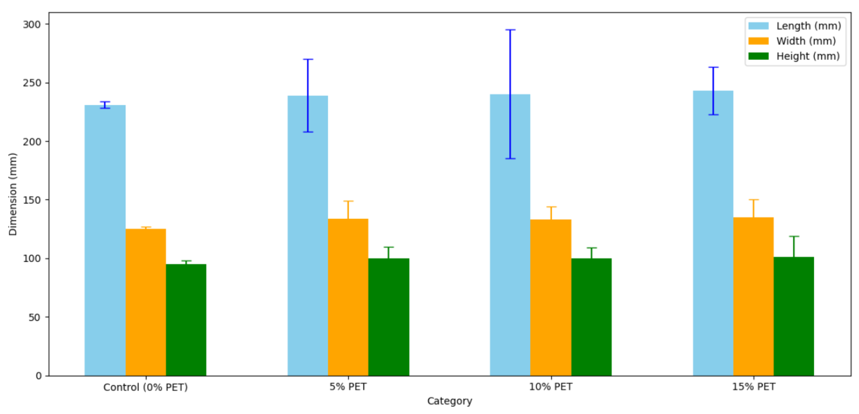
The evaluation of dimensional variability was critical for understanding the effect of PET on brick uniformity.
Figure 2 displays the average dimensions (length, width, and height) of bricks containing 5%, 10%, and 15% PET, produced using a custom mold measuring 240 mm × 130 mm × 100 mm. Error bars indicate the variability ranges. A commercial control brick—REX brand, King Kong type with 18 holes—is also included, though its dimensions differ from the experimental mold due to the absence of such molds in standard manufacturing. Overall, the experimental bricks show average dimensions close to the mold specifications, but variability—particularly in length—tends to increase with higher PET content. The control brick reflects the consistency typical of industrial production. These findings suggest that incorporating PET may compromise dimensional uniformity in molded bricks compared to commercially manufactured counterparts.
Water Absorption Test (ASTM C67) [36]. The analysis of void percentage was used to determine the density and potential strength of the bricks.
Figure 3 illustrates how the incorporation of PET affects the internal structure and surface area of bricks. The left axis displays the void percentage, with the control brick (0% PET) showing the highest value at 35%. As PET content increases to 5%, 10%, and 15%, the void percentage decreases slightly, stabilizing between 31% and 32%. Error bars indicate the variability within each category, which tends to narrow as PET content rises. The right axis presents the gross surface area in mm2, which increases progressively with PET incorporation—from approximately 28,789 mm2 in the control sample to over 32,800 mm2 in the 15% PET brick. The net surface area, represented by the upper portion of the stacked bars, remains constant across all samples. This suggests that the increase in gross area is primarily due to reduced porosity and expanded external volume. Overall, the data indicate that PET contributes to greater material densification and dimensional expansion, with the most pronounced effects observed at lower incorporation levels. Beyond 10% PET, improvements in compaction and structural uniformity appear to plateau under the tested manufacturing conditions.
The warping test measured brick deformation or curvature, which is critical for dimensional stability in construction applications.
Figure 4 illustrates how PET incorporation affects the structural properties of bricks. The left axis shows void percentage, with the control brick (0% PET) exhibiting the highest value at 35%. As PET content increases to 5%, 10%, and 15%, void percentage decreases slightly and stabilizes around 31–32%. Error bars reflect variability within each group. The right axis displays gross surface area in mm2, which increases with PET content. In contrast, net surface area—represented by the upper portion of the stacked bars—remains constant. These results suggest that PET contributes to greater densification and external volume expansion, with the most pronounced effects occurring at lower incorporation levels.
This test measures the brick’s capillary absorption, indicating its porosity and durability against moisture exposure.
Figure 5 presents the relationship between PET content in bricks and two key performance indicators: structural density and moisture absorption. As PET is incorporated (5%, 10%, and 15%), the void percentage decreases slightly from 35% in the control sample to around 31–32%, indicating improved material compactness. Gross surface area increases with PET content, while net area remains constant, suggesting that PET contributes to external volume expansion without altering the usable surface. Capillary absorption results show that bricks with 5% PET exhibit the highest moisture uptake (0.67%), while higher PET levels (10% and 15%) lead to a gradual reduction (0.54% and 0.52%, respectively). This trend suggests that beyond a certain threshold, PET may enhance resistance to moisture penetration, potentially improving long-term durability.

3.4. Mechanical Properties of the Bricks

Prism Compressive Strength is a critical parameter for evaluating the load-bearing capacity of masonry units (Figure 6a and Figure 7a).
Figure 8 illustrates the impact of PET incorporation on the structural properties of masonry units. As the PET content increases from 0% to 15%, the void percentage slightly decreases—from 35% in control bricks to approximately 31–32% in the modified samples—indicating improved material compactness. The gross surface area increases with PET addition, while the net area remains unchanged, suggesting that PET contributes to external volume expansion without affecting the usable surface. Compressive strength results reveal a nonlinear trend. Control bricks (0% PET) achieved the highest strength at 66 kg/cm2 (Figure 6a). Bricks containing 5% PET showed a significant drop to 10 kg/cm2, while those with 10% PET improved to 17 kg/cm2. The highest strength among PET-modified bricks was observed at 15% PET, reaching 24 kg/cm2. Although compressive strength increases with higher PET content, it remains below that of the control group, highlighting a trade-off between sustainability and mechanical performance.
Table 5 presents data obtained from standardized tests conducted in accordance with ASTM C67 [36], NTP E.070 [26], NTP 399.604 [48], and NTP 399.605 [49]. The results reveal a progressive increase in warping, water absorption, suction rate, dimensional variability, and void percentage as the recycled PET content rises. Conversely, both the compressive strength of individual bricks ( f b ) and the overall masonry assembly ( f m ) exhibit a proportional decline. All values are reported as mean ± standard deviation.
Figure 9 shows the surface finish of bricks incorporating 5% PET. These units were bonded using a mortar mix in a 1:3 ratio to ensure uniform contact surfaces during testing and to achieve the most accurate results possible.
Axial compression tests on brick prisms are essential for simulating the behavior of masonry units under load within structural configurations (Figure 6b and Figure 7b).
Figure 10 provides a comprehensive statistical matrix summarizing the results of axial compression tests conducted on masonry prisms incorporating varying percentages of recycled PET. The control group (0% PET) is compared against specimens containing 5%, 10%, and 15% PET. The matrix includes key parameters: average compressive strength (kg/cm2), average failure load (kg), gross area used for calculations (cm2), and PET content. It is clearly observed that the control prisms without PET exhibit the highest compressive strength (45.40 kg/cm2). The inclusion of PET leads to a significant reduction in strength compared to the control; however, a rising trend in both compressive strength and failure load is noted as the PET content increases from 5% to 15%. The heatmap employs a color scale ranging from yellow (lower values) to dark red (higher values), facilitating visual comparison of data magnitudes across the different prism categories. Corrected strength values were obtained by applying slenderness (0.82) and mortar age (1.15) correction factors to the failure load divided by the gross area.
Table 6 shows that the Unit Compressive Strength ( f b ) refers to the individual strength of each brick. In contrast, the Prism Compressive Strength of Prisms ( f m ) incorporates correction factors for slenderness (0.82) and mortar age (1.15) to better simulate real-world masonry behavior. The values expressed in MPa are approximate conversions from kg/cm2, using the factor: 1 kg/cm2 ≈ 0.0980665 MPa.
The relationship between PET content and compressive strength in samples (Figure 11). A significant decrease in compressive strength is observed as the percentage of PET increases. The control sample (0% PET) exhibits the highest strength, while samples with increasing PET content (5%, 10%, and 15%) show considerably lower values. The overall trend indicates that the incorporation of PET compromises the compressive load-bearing capacity of the samples within the studied range.

4. Discussion

This study aimed to evaluate the physical and mechanical properties of bricks incorporating varying proportions of recycled PET plastic (0%, 5%, 10%, and 15%). The findings were contextualized through comparison with prior research, focusing on key parameters such as void ratio, dimensional variability, water absorption, warping, capillary suction, and both unit compressive strength ( f b ) and prism compressive strength ( f m ).
A key finding of this study was the improved dimensional stability (less warping) with increased PET content. The 15% PET mixture exhibited the lowest deformation (concavity: 0.5–0.8 mm; convexity: 0.8–0.9 mm), outperforming even the control brick in some metrics. This suggests that PET particles could act as a filler that more uniformly redistributes thermal stresses during firing, mitigating the typical shrinkage of high-plasticity clays. This result stands in direct contrast to the findings reported by Limami et al. [21], who observed significant volumetric expansion and dimensional variation with increased additions of PET. This discrepancy highlights the critical influence of both the matrix composition and the type of additive; while glass may contribute to sintering issues in certain systems, PET appears to enhance thermal stability within our clay-based matrix.
Furthermore, the incorporation of PET led to a reduction in the percentage of voids (from 35% in the control to 31–32%) and a significant decrease in water absorption and capillary suction. This indicates a densification of the clay matrix, a phenomenon also observed with polyolefins and PET, respectively [39,40]. They attributed this effect to the non-absorbent nature of plastics, which fill the pores between particles. Our results confirm this general trend, reinforcing the potential of plastic waste to improve the hydraulic resistance of clay bricks, a vital factor for their durability in construction applications.
The marked reduction in compressive strength ( f b and f m ) observed across all PET-containing bricks aligns with previous studies attributing this phenomenon to the incorporation of a non-sinterable plastic phase, which results in a weak interface with the clay matrix [21,22]. The particle size of the PET used may have exacerbated this issue, reinforcing the argument that optimizing both the proportion and morphology of the plastic is critical [12].
This outcome contrasts sharply with research reporting high compressive strengths in plastic-based composites, such as the 36.18 MPa achieved with PET [22], the 37.5 MPa with HDPE and bitumen [23], and the values meeting Peruvian standards [25,27]. The discrepancy may be attributed to several key factors: the use of cementitious or bitumen-based matrices that bond more effectively with plastic [23,24], optimized compression molding processes instead of traditional firing, and the use of finely ground or melted plastic to enhance homogeneity and interfacial bonding [34], in contrast to the coarse PET flakes employed in this study.
A statistical analysis was conducted to assess the impact of recycled PET content (5%, 10%, 15%) on the physical and mechanical properties of the bricks. Normality tests (Shapiro–Wilk) were applied to determine the appropriate statistical approach (parametric or non-parametric), using a significance level of p < 0.05.
In terms of physical properties, PET addition significantly reduced both water absorption and capillary suction across all proportions. Dimensional variability (length, width, height) increased, while void percentage decreased. Although warping on the top face showed a notable deviation at 5% PET, the bottom face remained consistent across other PET levels.
For mechanical properties—specifically unit and Prism Compressive Strength—the results indicated a significant reduction in strength with PET incorporation at all studied levels, compared to the control brick. Despite certain improvements in physical characteristics, PET did not enhance the structural capacity of the bricks, in Table 7.
The compressive strength results ( f b and f m ) indicate that although increasing the PET content from 5% to 15% leads to a gradual improvement in the strength of PET-modified bricks, none of the tested proportions match or approach the strength of the control brick. In fact, the compressive strength of PET-containing bricks is markedly lower across all configurations, both for individual units and prism assemblies. Despite the reduction in mechanical strength, this study highlights the potential of PET-infused bricks for non-structural applications, such as partition walls or insulating façades. This shift in application is justified by improvements in physical properties: lower water absorption enhances durability and suggests improved thermal insulation potential [13]. This approach aligns with circular economy principles by valorizing plastic waste [1,2], reducing the demand for virgin clay, and contributing to the mitigation of plastic pollution [3].
The study also underscores the need for targeted research on locally sourced materials. While the combination of native clay and recycled PET from informal sources presents technical challenges, these findings establish a critical baseline. They demonstrate that replicating laboratory methodologies using purified materials is insufficient. Future work should focus on adapting production processes to accommodate suboptimal and locally available material flows, thereby achieving environmentally and socially responsible impact in support of regional communities. The relevance of this research is justified by its ability to connect the results of physical and mechanical properties (porosity, density) with environmental implications and potential insulation performance [56]. Although the latter was not directly measured, the observed reduction in void percentage following the addition of PET suggests improved material densification. This finding is critical, as a denser matrix is directly associated with enhanced thermal and acoustic insulation properties [57,58], which are a key rationale for using this type of composite. Therefore, the study not only addresses waste reutilization, but also lays the groundwork for future research evaluating the energy and acoustic performance of these materials.
The limitations of this study—particularly the large particle size of the PET and the restricted firing temperature range—had a direct impact on the results. Nonetheless, these constraints offer a clearer pathway for future research:
  • Particle Size Optimization: As demonstrated by the success of previous studies, employing finer PET gradations is likely the most effective strategy to enhance both homogeneity and mechanical strength.
  • Alternative Binders and Processing Routes: Investigating low-temperature binders or implementing PET pretreatment methods to improve its compatibility with clay could help bridge the performance gap.
  • Microstructural Analysis: A detailed examination of the clay–PET interface is essential to understand failure mechanisms and to inform the design of targeted solutions.
In summary, although this study did not demonstrate superior mechanical performance compared to the control brick, the results suggest that PET may be a viable component in the production of sustainable bricks. The observed variations, when compared to previous studies, underscore the complexity of optimizing these mixtures and highlight the need for more targeted and in-depth research to develop products that meet required structural standards.

5. Conclusions

This study systematically evaluated the physical and mechanical properties of clay bricks (red kaolin) incorporating recycled PET at 5%, 10%, and 15%, providing critical insights into the feasibility of valorizing plastic waste within a ceramic matrix derived from artisanal mining. The main conclusions, drawn from the analysis and contextualized through existing literature, are as follows:
The incorporation of recycled PET resulted in a clear trade-off, significantly enhancing physical properties such as dimensional stability (reducing warping by up to 44% with 15% PET), water resistance (lowering absorption by approximately 30%), and matrix densification (reducing void percentage from 35% to 31–32%). The 15% PET blend emerged as the optimal proportion within the evaluated range, achieving the best balance of properties—namely, the highest compressive strength ( f b = 24.00 kg/cm2; f m = 20.40 kg/cm2), the lowest water absorption (18.7%), and superior dimensional stability.
However, this optimal proportion does not meet the minimum structural requirements prescribed by Peruvian and international standards for load-bearing masonry. Therefore, we conclude that these bricks are not suitable for structural applications. Nonetheless, they show strong potential for future research in non-load-bearing uses such as partition walls, insulating façades, and decorative elements, where their lightweight nature, low water absorption, and potential improvements in thermal insulation—supported by existing literature—offer promising advantages.
This study concludes that these discrepancies are not anomalous but are primarily attributable to fundamental differences in matrix composition (cementitious vs. clay), production processes (compression molding vs. traditional firing), and plastic preparation methods (finely ground/melted vs. coarse flakes). The findings clearly demonstrate that simply adding coarse plastic waste to a conventional clay firing process is insufficient to achieve structural performance.
Moreover, the integration of materials from artisanal sources—such as locally sourced clay and post-consumer PET—underscores the complexity of working with informal supply chains. While this approach presents significant technical challenges, it establishes a critical baseline for developing truly sustainable and socially responsible solutions. It also highlights the need for future innovation to adapt to these often suboptimal, locally available material flows in order to support mining communities and informal recyclers. We are confident that such efforts can be aligned with the principles of the circular economy.

Author Contributions

Conceptualization, G.D.-G. and P.D.-M. and C.T.-V.; methodology, G.D.-G.; software, P.D.-M. and C.T.-V.; validation, G.D.-G.; investigation, G.D.-G. and P.D.-M. and C.T.-V.; resources, G.D.-G.; data curation, P.D.-M. and C.T.-V.; writing—original draft preparation, G.D.-G. and P.D.-M. and C.T.-V.; writing—review and editing, G.D.-G.; supervision, G.D.-G.; funding acquisition, G.D.-G. All authors have read and agreed to the published version of the manuscript.

Funding

This research was funded by Cesar Vallejo University—Office of The Vice Rector for Research—Research Support Fund, grant number RVI N◦ 186-2023-VI-UCV. The APC was funded by Cesar Vallejo University with funding code.

Data Availability Statement

The raw data supporting the conclusions of this article will be made available by the authors on request.

Acknowledgments

The authors extend their gratitude to Cesar Vallejo University and the Directorate of Research for their financial support in the publication of this article.

Conflicts of Interest

The authors declare no conflicts of interest.

Abbreviations

The following abbreviations are used in this manuscript:
PETPolyethylene terephthalate
f b Unit compressive strength
f m Prism Compressive Strength of brick prisms
SDGsSustainable Development Goals
NTPPeruvian Technical Standard
ASTMAmerican Society for Testing and Materials

References

  1. He, M.; Shuai, J.; Li, H.; Li, L.; Liu, Q.; Liu, W. Application of waste ferrous sulfate for recovering valuable metal elements from minerals and industrial solid waste: A waste to wealth strategy. Sep. Purif. Technol. 2025, 376, 134058. [Google Scholar] [CrossRef]
  2. Uwuigbe, U.; Issah, O.; Ranti, U.O.; Zubeiru, M.; Anaba, S.; Seidu, A.-A.J. Circular Economy: A Bibliometric Review of Research in Emerging Economies (2010–2024). Int. J. Energy Econ. Policy 2024, 15, 77–89. [Google Scholar] [CrossRef]
  3. Manon, R.K.; Hoque, S.; Alam, A.; Islam, S.; Rahman, A. Microplastic pollution in aquaculture species: Quantification and characterization in Tilapia and Pangas. Aquaculture 2026, 610, 742922. [Google Scholar] [CrossRef]
  4. Biyani, N.; Adhikari, S.; Driver, E.M.; Sheehan, C.; Halden, R.U. Mass and fate estimates of plastic waste dispersed globally to marine and terrestrial environments by three major corporations. Sci. Rep. 2025, 15, 22074. [Google Scholar] [CrossRef] [PubMed]
  5. Zhu, L.; Shen, D.; Shentu, J.; Lu, L.; Qi, S.; Zhu, M.; Hu, L.; Long, Y. Green and efficient removal of microplastics from water by ultrasound. Sep. Purif. Technol. 2025, 375, 133800. [Google Scholar] [CrossRef]
  6. Houti, F.B.; Hachemi, H.; Benosman, A.S.; Taleb, O.; Seladji, C.; Mouli, M.; Mesli, I.F.Z.; Badache, A.; Arıcı, M. Assessment of hygrothermal performance in plaster mortar composites incorporating polyvinyl chloride waste aggregates. J. Build. Pathol. Rehabil. 2025, 10, 91. [Google Scholar] [CrossRef]
  7. Dhanalakshmi, K.; Alex, A.G.; Jose, P.A.; Kumar, R.D. Effect of Using Recycled E-Waste Plastic as Coarse Aggregate with Supplementary Nano-fills in Concrete. Int. J. Concr. Struct. Mater. 2025, 19, 44. [Google Scholar] [CrossRef]
  8. Olaiya, B.C.; Lawan, M.M.; Olonade, K.A.; Abubakar, S.A. Development of sustainable sandcrete bricks using industrial and agricultural waste. Sci. Rep. 2025, 15, 17202. [Google Scholar] [CrossRef]
  9. Al-Luhybi, A.S.; Ali, T.K.M.; Qader, D.N.; Ali, M.; Maureira-Carsalade, N.; Parra, P.F.; Avudaiappan, S. Evaluating the mechanical performance and durability of cement mortars incorporating sesame shells as partial cement and sand replacement. Sci. Rep. 2025, 15, 21875. [Google Scholar] [CrossRef]
  10. Díaz, A.E.; Di Lalla, N.; Hernández, A. Analysis of a new brick design using plastic waste. Clean. Waste Syst. 2025, 12, 100339. [Google Scholar] [CrossRef]
  11. Hussein, R.J.; Hameed, D.H. Effect of nano-glass powder addition as an eco-friendly raw materials for bricks under elevated temperature. J. Build. Pathol. Rehabil. 2025, 10, 137. [Google Scholar] [CrossRef]
  12. Raut, S.; Ralegaonkar, R.; Mandavgane, S. Development of sustainable construction material using industrial and agricultural solid waste: A review of waste-create bricks. Constr. Build. Mater. 2011, 25, 4037–4042. [Google Scholar] [CrossRef]
  13. Siddique, R.; Khatib, J.; Kaur, I. Use of recycled plastic in concrete: A review. Waste Manag. 2008, 28, 1835–1852. [Google Scholar] [CrossRef] [PubMed]
  14. Gu, L.; Ozbakkaloglu, T. Use of recycled plastics in concrete: A critical review. Waste Manag. 2016, 51, 19–42. [Google Scholar] [CrossRef] [PubMed]
  15. Aguilar, R.L. Avances en la recuperación ambiental de la bahía El Ferrol (Chimbote, Perú): Evaluación rápida. Arnaldoa 2022, 29, 319–332. [Google Scholar] [CrossRef]
  16. Gomez, N.C.F.; Cragg, S.M.; Ghiglione, J.-F.; Onda, D.F.L.; Ncf, G.; Dfl, O. Accumulation and exposure classifications of plastics in the different coastal habitats in the western Philippine archipelago. Environ. Pollut. 2023, 337, 122602. [Google Scholar] [CrossRef]
  17. Tong, Y.; Lin, L.; Tao, Y.; Huang, Y.; Zhu, X. The occurrence, speciation, and ecological effect of plastic pollution in the bay ecosystems. Sci. Total. Environ. 2023, 857, 159601. [Google Scholar] [CrossRef]
  18. Aneke, F.I.; Shabangu, C. Green-efficient masonry bricks produced from scrap plastic waste and foundry sand. Case Stud. Constr. Mater. 2021, 14, e00515. [Google Scholar] [CrossRef]
  19. Transforming Our World: The 2030 Agenda for Sustainable Development | Department of Economic and Social Affairs. Available online: https://sdgs.un.org/2030agenda (accessed on 13 August 2025).
  20. Subhani, H.A.; Khushnood, R.A.; Shakeel, S. Synthesis of recycled bricks containing mixed plastic waste and foundry sand: Physico-mechanical investigation. Constr. Build. Mater. 2024, 416, 135197. [Google Scholar] [CrossRef]
  21. Ali, D.C.; Jassim, A.K.; Al-Sabur, R. Recycling of Polyethylene and Polypropylene Waste to Produce Plastic Bricks. J. Sustain. Dev. Energy Water Environ. Syst. 2023, 11, 1–13. [Google Scholar] [CrossRef]
  22. Singh, A.; Srivastava, A.K.; Singh, G.; Singh, A.D.; Singh, H.K.; Kumar, A. Utilization of Plastic Waste for Developing Composite Bricks and Enhancing Mechanical Properties: A Review on Challenges and Opportunities. Adv. Polym. Technol. 2023, 2023, 6867755. [Google Scholar] [CrossRef]
  23. Koppula, N.K.; Schuster, J.; Shaik, Y.P. Fabrication and Experimental Analysis of Bricks Using Recycled Plastics and Bitumen. J. Compos. Sci. 2023, 7, 111. [Google Scholar] [CrossRef]
  24. Ong, H.R.; Iskandar, W.M.E.; Yunos, M.A.B.; Zaki, M.F.M.; Khan, M.M.R.; Hong, C.S.; Maarof, M.S.A.; Ismail, N.F. Investigation on the Mechanical and Water Absorption Properties of Eco-Friendly Bricks Produced from Waste Polypropylene (PP) Bumper. Chem. Eng. Trans. 2023, 106, 1339–1344. [Google Scholar] [CrossRef]
  25. Arguedas, J.; Eyzaguirre, C. Analysis of the technical feasibility of ecological bricks based on PET plastic and bottle glass for the reduction of solid waste pollution in a metropolis. E3S Web Conf. 2024, 514, 02001. [Google Scholar] [CrossRef]
  26. Norma E.070 Albañilería. Scribd. Available online: https://es.scribd.com/document/514892481/Norma-E-070-Albanileria (accessed on 16 July 2025).
  27. Aguinaga, D.L.; Gomez, J.D.F.; Benites-Alfaro, E.; Suasnabar, E.A.; Aguinaga, M.G.L.; Cumpa, R.O. Recycling of Rubber and Polyethylene Terephthalate (PET) to Produce Ecological Bricks in Peru. Chem. Eng. Trans. 2023, 101, 199–204. [Google Scholar] [CrossRef]
  28. Ciambelli, P.; Palma, L.D.; Suasnabar, E.H.; Durand, F.; Silvera, E.R.; Cumpa, R.O.; Saldaña, T.E.; Benites-Alfaro, E.G. Ferrous and Polyethylene Terephthalate Waste in the Production of Ecological Bricks: Characterization. 2023. Available online: https://www.semanticscholar.org/paper/Ferrous-and-Polyethylene-Terephthalate-Waste-in-the-Ciambelli-Palma/66cdb03a50678713d1dd70bf6bd152b0dcaecd07 (accessed on 5 June 2025).
  29. Tran, C.N.; Yossapol, C.; Tantemsapya, N.; Kosa, P.; Kongkhiaw, P. Water Quality Simulation and Dissolved Oxygen Change Scenarios in Lam Takhong River in Thailand. J. Sustain. Dev. Energy Water Environ. Syst. 2022, 10, 1–13. [Google Scholar] [CrossRef]
  30. Ashraf, N.; El-Monayeri, O.D.; Hassan, H.A. Lego-like Bricks Manufacturing Using Recycled Polyethylene (PE) and Polyethylene Terephthalate (PET) Waste in Egypt. Sustainability 2024, 16, 8567. [Google Scholar] [CrossRef]
  31. Sakr, N.; AbouZeid, M. Recycling of Plastic Waste in the Construction Industry. Polymers 2025, 17, 1282. [Google Scholar] [CrossRef]
  32. Roy, R.; Mottaghi, M.; Woods, M.; Pearce, J.M. Life Cycle Carbon Emissions Savings of Replacing Concrete with Recycled Polycarbonate and Sand Composite. Sustainability 2025, 17, 839. [Google Scholar] [CrossRef]
  33. Ntod, M.B.H.; Mbog, M.B.; Bitom-Mamdem, L.; Bayiga, E.C.; Kamwa, R.A.T.; Ngueko, E.W.; NgonNgon, G.F.; Bitom, D.; Etame, J. The Physico-Mechanical, Mineralogical, and Thermal Characterization of Geopolymeric Laterite Bricks Containing Polyethylene Terephthalate Bottle Powder. J. Compos. Sci. 2025, 9, 320. [Google Scholar] [CrossRef]
  34. Rabiu, B.O.; Mosaberpanah, M.A. Sustainable Utilization of Waste Glass Powder and Brick Dust as Cement Replacements: Effects on Mortar Performance and Environmental Benefits. Sustainability 2025, 17, 1298. [Google Scholar] [CrossRef]
  35. Cigala, R.M.; Papanikolaou, G.; Lanzafame, P.; Sabatino, G.; Tripodo, A.; La Ganga, G.; Crea, F.; Ielo, I.; De Luca, G. Transforming Waste into Sustainable Construction Materials: Resistant Geopolymers from Recycled Sources. Recycling 2025, 10, 118. [Google Scholar] [CrossRef]
  36. ASTM C67M-21; Standard Test Methods for Sampling and Testing Brick and Structural Clay Tile. ASTM International: West Conshohocken, PA, USA, 2023. Available online: https://es.scribd.com/document/884996411/ASTM-C67M-21-Standard-Test-Methods-for-Sampling-and-Testing-Brick-and-Structural-Clay-Tile (accessed on 22 July 2025).
  37. ASTM C62-12; Standard Specification for Building Brick (Solid Masonry Units Made from Clay or Shale). ASTM International: West Conshohocken, PA, USA, 2013. Available online: https://es.scribd.com/document/605129750/Astm-c62-12-Building-Brick-en-Es (accessed on 22 July 2025).
  38. Arulrajah, A.; Perera, S.; Wong, Y.C.; Horpibulsuk, S.; Maghool, F. Stiffness and flexural strength evaluation of cement stabilized PET blends with demolition wastes. Constr. Build. Mater. 2020, 239, 117819. [Google Scholar] [CrossRef]
  39. Corrales, H.N.C.; Real, E.A.T.; Llaves, M.C.M.; Villarroel, J.G.P.; Rocha, J.H.A. Recycled and waste materials in construction in Bolivia: A systematic literature review. J. Build. Pathol. Rehabil. 2025, 10, 108. [Google Scholar] [CrossRef]
  40. García-León, R.A.; Afanador-García, N.; Guerrero-Gómez, G. Physical-Mechanical properties of H-10 blocks manufactured in Norte of Santander, Colombia: A case study. Dyna 2021, 88, 181–189. [Google Scholar] [CrossRef]
  41. Wang, G.; Zhao, J.; Wang, G.; Zhao, H.; Lin, J.; Zhao, G.; Park, C.B. Strong and super thermally insulating in-situ nanofibrillar PLA/PET composite foam fabricated by high-pressure microcellular injection molding. Chem. Eng. J. 2020, 390, 124520. [Google Scholar] [CrossRef]
  42. Norma Tecnica Peruana NTP 339.128; Análisis Granulométrico. Instituto Nacional de Calidad: San Isidro, Peru, 1999. Available online: https://es.scribd.com/document/479543468/NTP-339-128-Analisis-granulometrico (accessed on 13 August 2025).
  43. ASTM D422; Standard Test Method for Particle-Size Analysis of Soils. ASTM International: West Conshohocken, PA, USA, 2014. Available online: https://es.scribd.com/document/283654320/ASTM-D422-TRADUCIDO-AL-ESPANOL (accessed on 13 August 2025).
  44. Norma Tecnica Peruana NTP 339.185; Contenido de Humedad de Agregados. Instituto Nacional de Calidad: San Isidro, Peru, 2002. Available online: https://es.scribd.com/document/375184167/NTP-339-185-CONTENIDO-DE-HUMEDAD-DE-AGREGADOS-pdf (accessed on 13 August 2025).
  45. ASTM D 2216-19; Standard Test Methods for Laboratory Determination of Water (Moisture) Content of Soil and Rock by Mass. ASTM International: West Conshohocken, PA, USA, 2019. Available online: https://es.scribd.com/document/521086245/ASTM-D-2216-19-Contenido-de-Humedad (accessed on 13 August 2025).
  46. Norma Tecnica Peruana NTP 339.129; Límite Líquido, Plástico, Indíce de Plasticidad. Instituto Nacional de Calidad: San Isidro, Peru, 1999. Available online: https://es.scribd.com/document/625791422/NTP-339-129-Limite-Liquido-Plastico-Ip (accessed on 13 August 2025).
  47. ASTM D4318-17; Standard Test Methods for Liquid Limit, Plastic Limit, and Plasticity Index of Soils. ASTM International: West Conshohocken, PA, USA, 2017. Available online: https://es.scribd.com/document/426835382/ASTM-D4318-17 (accessed on 13 August 2025).
  48. Norma Tecnica Peruana NTP 399.604 2002; Instituto Nacional de Calidad: San Isidro, Peru, 2002. Available online: https://es.scribd.com/document/351903031/Norma-Tecnica-Peruana-Ntp-399-604-2002 (accessed on 16 July 2025).
  49. Norma Tecnica Peruana NTP 399.605-2013; Comprensión en Prismas de Albañilería. Instituto Nacional de Calidad: San Isidro, Peru, 2003. Available online: https://es.scribd.com/document/545404360/NTP-399-605-2013-COMPRENSION-EN-PRISMAS-DE-ALBANILERIA-1 (accessed on 13 August 2025).
  50. García-González, J.R.; Sánchez-Sánchez, P.A. Diseño teórico de la investigación: Instrucciones metodológicas para el desarrollo de propuestas y proyectos de investigación científica. Inf. Tecnológica 2020, 31, 159–170. [Google Scholar] [CrossRef]
  51. Ramos-Galarza, C.A. Alcances de una investigación. CienciAmérica 2020, 9, 1–6. [Google Scholar] [CrossRef]
  52. Flores, F.A.S. Fundamentos Epistémicos de la Investigación Cualitativa y Cuantitativa: Consensos y Disensos. Rev. Digit. Investig. Docencia Univ. 2019, 13, 101–122. [Google Scholar] [CrossRef]
  53. Zuta, M.E.C.; Garcés, N.N.G.; Reinoso, G.G.L.; Garcés, G.K.S.; Pulles, M.R.B. Diseños de Investigación Experimental Aplica-dos a la Ciencias Sociales; Universidad Politécnica Estatal del Carchi: Tulcán, Ecuador, 2022. [Google Scholar]
  54. Kaliyadan, F.; Kulkarni, V. Types of variables, descriptive statistics, and sample size. Indian Dermatol. Online J. 2019, 10, 82. [Google Scholar] [CrossRef]
  55. Baker, L. Observation: A Complex Research Method. Libr. Trends 2006, 55, 171–189. [Google Scholar] [CrossRef]
  56. Bautista-Díaz, M.L.; Franco-Paredes, K.; Hickman-Rodríguez, H. Objetividad, validez y confiabilidad: Atributos científicos de los instrumentos de medición. Educ. Salud Boletín Científico Inst. Cienc. Salud Univ. Autónoma Estado Hidalgo 2022, 11, 66–71. [Google Scholar] [CrossRef]
  57. Ye, F.; Xu, Y.; Sun, Y.; Xiong, B.; Wang, J.; Demartino, C. Renewable insulation panels made with Cynodon dactylon grass for building applications: Physical, mechanical, acoustic, and thermal properties. J. Build. Eng. 2024, 97, 110602. [Google Scholar] [CrossRef]
  58. Belmokaddem, M.; Mahi, A.; Senhadji, Y.; Pekmezci, B.Y. Mechanical and physical properties and morphology of concrete containing plastic waste as aggregate. Constr. Build. Mater. 2020, 257, 119559. [Google Scholar] [CrossRef]
Figure 1. Post-Shredding Collection of Recycled PET Materials for Further Processing.
Figure 1. Post-Shredding Collection of Recycled PET Materials for Further Processing.
Sustainability 17 08841 g001
Figure 2. Mean Dimensions with Variability.
Figure 2. Mean Dimensions with Variability.
Sustainability 17 08841 g002
Figure 3. Void and Area Analysis in Bricks with PET.
Figure 3. Void and Area Analysis in Bricks with PET.
Sustainability 17 08841 g003
Figure 4. Warping Measurements (mm) of Bricks with Varying PET Content.
Figure 4. Warping Measurements (mm) of Bricks with Varying PET Content.
Sustainability 17 08841 g004
Figure 5. Capillary Absorption (%) of Bricks with Varying PET Content.
Figure 5. Capillary Absorption (%) of Bricks with Varying PET Content.
Sustainability 17 08841 g005
Figure 6. Base Brick: (a) Unit compressive strength test ( f b ) of the individual brick; (b) Prism Compressive Strength of brick prisms ( f m ).
Figure 6. Base Brick: (a) Unit compressive strength test ( f b ) of the individual brick; (b) Prism Compressive Strength of brick prisms ( f m ).
Sustainability 17 08841 g006
Figure 7. Modified Bricks: (a) Unit compressive strength test ( f b ) of the individual brick; (b) Prism Compressive Strength test of brick prisms ( f m ).
Figure 7. Modified Bricks: (a) Unit compressive strength test ( f b ) of the individual brick; (b) Prism Compressive Strength test of brick prisms ( f m ).
Sustainability 17 08841 g007
Figure 8. Prism Compressive Strength of Masonry Units with Varying PET Content.
Figure 8. Prism Compressive Strength of Masonry Units with Varying PET Content.
Sustainability 17 08841 g008
Figure 9. Preparation de Prism Compressive Strength.
Figure 9. Preparation de Prism Compressive Strength.
Sustainability 17 08841 g009
Figure 10. Statistical Matrix of Axial Compression Test Results for Masonry Prisms with Varying PET Content.
Figure 10. Statistical Matrix of Axial Compression Test Results for Masonry Prisms with Varying PET Content.
Sustainability 17 08841 g010
Figure 11. Compressive Strength in Relation to PET Content in Samples.
Figure 11. Compressive Strength in Relation to PET Content in Samples.
Sustainability 17 08841 g011
Table 1. Quasi-experimental Research Design.
Table 1. Quasi-experimental Research Design.
GroupO1 (Pre)—Initial ObservationX (Treatment)—InterventionO2 (Post)—Final Observation
Experimental Group 1Initial properties of base brick5% Recycled Plastic (PET)Resulting properties of modified brick
Experimental Group 2Initial properties of base brick10% Recycled Plastic (PET)Resulting properties of modified brick
Experimental Group 3Initial properties of base brick15% Recycled Plastic (PET)Resulting properties of modified brick
Control GroupInitial properties of base brickNo treatment (–)Resulting properties of unmodified brick
Table 2. Standards and Applied Tests.
Table 2. Standards and Applied Tests.
StandardTest
NTP 339.128/E.070/ASTM C67Particle Size Distribution (Nominal Maximum Size—NMS)
NTP 339.185/ASTM D2216Moisture Content in Clay (%)
NTP 339.129/ASTM D4318Atterberg Limits (Liquid Limit, Plastic Limit, Plasticity Index)
NTP 399.605/ASTM C67Compressive Strength (F′b, F′m)
E.070/ASTM C67Warping (Degree of Curvature)
ASTM C67Water Absorption and Suction (%)
NTP 339.604/ASTM C67Dimensional Variability (%)
NTP 399.604/ASTM C67Void Percentage (%)
Table 3. Sample of Masonry Units by PET Percentage.
Table 3. Sample of Masonry Units by PET Percentage.
GroupPET Proportion in Clay MixtureNumber of BricksDescription
Control Group0%18100% clay, no PET
Group 15%1895% clay + 5% PET
Group 210%1890% clay + 10% PET
Group 315%1885% clay + 15% PET
Total72
Table 4. Material Dosage for the Production of 15-Hole Bricks Using Clay and Recycled PET.
Table 4. Material Dosage for the Production of 15-Hole Bricks Using Clay and Recycled PET.
Component5% PET10% PET15% PET
Clay (kg)3.900 (90%)3.560 (85%)3.020 (80%)
PET Plastic (kg)0.217 (5%)0.434 (10%)0.651 (15%)
Water (L)0.217 (5%)0.217 (5%)0.217 (5%)
Table 5. Summary of the Characterization of Manufactured Bricks.
Table 5. Summary of the Characterization of Manufactured Bricks.
Measured PropertyTest Standard % PET 0%% PET 5%% PET 10%% PET 15%Remarks
Warping (mm)ASTM C67/NTP E.0700.8 ± 0.11.0 ± 0.21.3 ± 0.31.7 ± 0.4Increases with PET content
Water Absorption (%)ASTM C6712.5 ± 0.814.2 ± 1.016.8 ± 1.219.5 ± 1.5Linear increase with PET content
Suction Rate (g/min·cm2)ASTM C670.85 ± 0.050.92 ± 0.061.10 ± 0.081.35 ± 0.10Progressive increase
Dimensional VariabilityNTP 399.604±1.2 mm±1.5 mm±2.0 mm±2.8 mm Greater dispersion with PET content
Void Percentage (%)NTP 399.60422.0 ± 1.025.5 ± 1.229.0 ± 1.533.0 ± 2.0Significant increase
Unit Compressive Strength ( f b )NTP 399.605/ASTM C6718.5 ± 1.216.0 ± 1.013.2 ± 0.810.1 ± 0.7Decreases with PET content
Prism Compressive Strength of Prisms ( f m ) NTP 399.6058.2 ± 0.57.0 ± 0.45.8 ± 0.34.5 ± 0.3Reduction proportional to f b
Table 6. Mechanical Test Results.
Table 6. Mechanical Test Results.
Test TypeSampleGross Area (cm2)Failure Load (kg)Compressive Strength (kg/cm2)Equivalent (MPa)
Unit Compressive Strength ( f b )Control (0% PET)288.0619,004666.47
5% PET322.163241101.00
10% PET323.135321171.62
15% PET332.988058242.35
Prism Compressive Strength of Prisms ( f m )Control (0% PET)287.9213,86045.404.45
5% PET287.9215515.080.50
10% PET287.92369612.111.19
15% PET287.92623020.402.00
Table 7. Normality Test Distribution in Mechanical Test Results.
Table 7. Normality Test Distribution in Mechanical Test Results.
PropertyPET ContentData Distribution (Shapiro–Wilk p-Value)Significance Value (p)
Unit Compressive Strength ( f b )5%Normal (p = 0.534)0.001
10%Non-normal (p = 0.015)0.001
15%Non-normal (p = 0.003)0.001
Prism Compressive Strength ( f m )5%Normal (p = 0.727)0.001
10%Normal (p = 0.224)0.001
15%Non-normal (p = 0.046)0.029
Note: Significant reduction in strength; Reject H0, Accept Ha.
Disclaimer/Publisher’s Note: The statements, opinions and data contained in all publications are solely those of the individual author(s) and contributor(s) and not of MDPI and/or the editor(s). MDPI and/or the editor(s) disclaim responsibility for any injury to people or property resulting from any ideas, methods, instructions or products referred to in the content.

Share and Cite

MDPI and ACS Style

Díaz-García, G.; Diaz-Miranda, P.; Tineo-Villón, C. Utilizing Recycled PET and Mining Waste to Produce Non-Traditional Bricks for Sustainable Construction. Sustainability 2025, 17, 8841. https://doi.org/10.3390/su17198841

AMA Style

Díaz-García G, Diaz-Miranda P, Tineo-Villón C. Utilizing Recycled PET and Mining Waste to Produce Non-Traditional Bricks for Sustainable Construction. Sustainability. 2025; 17(19):8841. https://doi.org/10.3390/su17198841

Chicago/Turabian Style

Díaz-García, Gonzalo, Piero Diaz-Miranda, and Christian Tineo-Villón. 2025. "Utilizing Recycled PET and Mining Waste to Produce Non-Traditional Bricks for Sustainable Construction" Sustainability 17, no. 19: 8841. https://doi.org/10.3390/su17198841

APA Style

Díaz-García, G., Diaz-Miranda, P., & Tineo-Villón, C. (2025). Utilizing Recycled PET and Mining Waste to Produce Non-Traditional Bricks for Sustainable Construction. Sustainability, 17(19), 8841. https://doi.org/10.3390/su17198841

Note that from the first issue of 2016, this journal uses article numbers instead of page numbers. See further details here.

Article Metrics

Back to TopTop