Effects of Agricultural Production Patterns on Surface Water Quality in Central China’s Irrigation Districts: A Case Study of the Four Lakes Basin
Abstract
1. Introduction
2. Materials and Methods
2.1. Study Area
2.2. Data Sources and Monitoring Point Layout
2.3. Research Methods
- (1)
- Determination of Water Quality
- (2)
- Estimation of Water Yield and Different Pollution Loads in the FLB
| Study Area | Pollutants | AFMs | Source | |||
|---|---|---|---|---|---|---|
| Rice Cultivation (RC) | Rice-Crayfish Farming (RCF) | Freshwater Aquaculture (FA) | Dryland Cropping (DC) | |||
| Qianjiang City | TN | - | 9.7 | - | - | [25] |
| TP | - | 2.2 | - | - | ||
| Qianjiang City | TN | 11.84 | 4.46 | - | - | [33] |
| TP | 0.51 | 0.68 | - | - | ||
| Honghu City | TN | - | - | 27.61 | - | [34] |
| TP | - | - | 7.33 | - | ||
| Three Gorges Reservoir Area | TN | - | - | - | 17.1 | [35] |
| TP | - | - | - | 2.3 | ||
| Xiantao City | TN | 21.60 | - | - | 21.22 | [36] |
| TP | 2.50 | - | - | 2.05 | ||
| This Research | TN | 16.57 | 7.10 | 28.05 | 18.75 | Observation Data |
| TP | 1.49 | 2.55 | 7.41 | 2.09 | ||
| Mean | TN | 16.67 | 7.09 | 27.83 | 19.02 | |
| TP | 1.5 | 1.81 | 7.37 | 2.15 | ||
2.4. Statistical Analysis
3. Results
3.1. Dynamics of Land Use Types and AFMs
3.2. Dynamics of N/P-Loads Within Basin
3.3. Inter-Annual Variations in Water Quantity and Quality
3.4. Intra-Annual Variations in Water Quantity and Quality
4. Discussion
4.1. Analysis of Driving Factors for N/P Concentrations Changes in the FLMC
- (1)
- From the perspective of AFMs, RCF, RC, FA and LPB were the four AFMs with the largest proportions and changes in agricultural N/P-loads (Figure 5). Correlation analysis results (Figure 8) show that the N/P-load from AF was negatively correlated with that from RCF, while it was significantly positively correlated with the N/P-loads from FA and LPB (p ≤ 0.001, correlation coefficient > 0.89). Meanwhile, the TN/TP concentrations in the FLMC were also significantly positively correlated with the N/P-loads from AF (p ≤ 0.001, correlation coefficient > 0.84). It can be seen that AFM adjustments in the FLB had promoted a reduction in basin-wide N/P-loads and a decrease in FLMC N/P concentrations to a certain extent. Specifically, from 2017 to 2023, the proportion of FA area decreased by 4%, the proportion of DC area decreased by 11%, and the proportion of RCF area increased by 14% (Figure 3c). Correspondingly, the total N-loads in the FLB decreased by 2432 tons and the total P-loads decreased by 540 tons (Table 2), ultimately driving a continuous decline in N/P concentrations in the FLMC (Figure 9) [19,21]. Notably, although the TN/TP concentrations in the FLMC are negatively correlated with RCF, this does not justify the unlimited expansion of RCF. As of 2023, RCF had become the primary pollution source, contributing approximately 42% of the total N/P-loads (Table 2). Its potential impacts on the regional water environment cannot be overlooked, and the associated pollution risks require further in-depth research.
- (2)
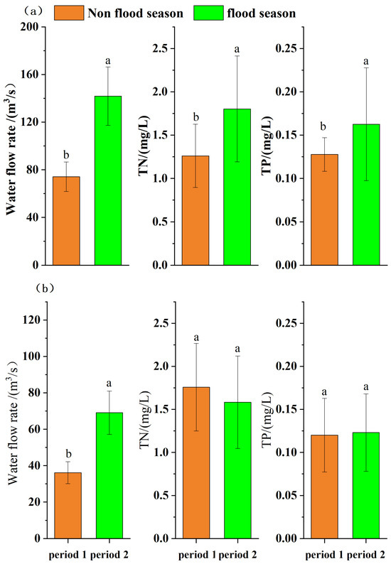
- From the perspective of hydrological conditions, rainfall (P), main canal discharge (S), and branch canal discharge (R) affect N/P concentrations by altering water dynamic conditions. On the one hand, the high runoff caused by the annual peak rainfall (June–July) during the flood season (April–September) can reduce the N/P concentrations in the main canal through a dilution effect [51]. On the other hand, the ecological water supplement from the Yangtze River-Han River Water Diversion Project has increased the multi-year average drainage volume of the main canal from 6.0 billion m3 to 7.2 billion m3, further amplifying the dilution effect [44,46].
- (3)
- From the perspective of spatial differences in pollutant inputs, the N/P concentrations in the main canal exhibit a “first increase, then decrease” trend along the “canal head-middle canal-canal tail” gradient (Figure 10), which essentially reflected the uneven spatial distribution of agricultural pollution in the basin.
4.2. Why Did Honghu Lake’s Water Quality Deteriorate During 2017–2023?
- (1)
- External Inputs: A Reduction in Quantity Does Not Equal Qualitative Safety
- ①
- The background concentrations of N/P in the FLMC remain relatively high. Despite a slight decrease in the FLMC’s N/P concentrations (TN: 5 mg/L to 3 mg/L; TP: 0.21 mg/L to 0.17 mg/L), these concentrations were still much higher than those of Honghu Lake before disturbance (Period 1: TN 0.93 mg/L, TP 0.04 mg/L) (Figure 6). When such relatively polluted water enters Honghu Lake, it still raises the lake’s nutrient background value. Moreover, as a semi-enclosed lake, Honghu Lake has slow water exchange, making it difficult to achieve rapid purification [8,16]. For instance, the TN concentration in the FLMC in 2023 was still 1.5 times that of Honghu Lake in 2017 (Figure 9), which means that even with a reduction in inflow volume, the FLMC still acts as a “nutrient source” rather than a “purification channel” for Honghu Lake.
- ②
- Inadequate control of NSP in the central basin. The central FLB, dominated by RCF and FA, remains the main source of N/P-loads [42]. Agricultural wastewater generated in this region was discharged into Honghu Lake through the FLMC and its tributaries, continuously supplementing the lake’s external nutrient pool and offsetting the improvement effects brought by load reductions from other pollution sources. This was well evidenced by the higher N/P concentrations in the middle section of the FLMC and the northern waters of Honghu Lake (Figure 10).
- ③
- Short-term pollution pulses from the demolition of net enclosures/polders further exacerbate external pressure. Although the two-phase demolition projects (2015–2017, 2019–2021) eliminated direct aquaculture pollution on the lake surface, the high-concentration wastewater (TN ≈ 15 mg/L, TP ≈ 1.2 mg/L) remaining in the abandoned net enclosures was discharged into the lake in a concentrated manner in the short term, causing a 15–20% short-term increase in the lake’s TN/TP concentrations [56,57]. Meanwhile, the disturbance caused by construction machinery also triggers the release of nutrients from surrounding sediments, forming a “legacy pollution effect” that lasts for 3–5 years and further increases the external pollution load [58].
- (2)
- Internal Release: Increment of Hidden Pollution
- (3)
- Other Potential Factors: Unquantified Variables
5. Conclusions and Prospects
- (1)
- Conclusions and Recommendations
- Compared with period 2010–2016, the AFMs of the FLB achieved significant optimization during 2016–2023. The proportion of RC area under sustainable increased by 14%, while the areas of DC with high fertilizer input and FA with high pollution risk decreased by 11% and 4%, respectively.
- Optimization to the AFMs can significantly reduce N/P loads within the basin. This was specifically reflected in the following: NPS N/P loads decreased by 11–13%; N/P loads in the FLMC reduced by 22.94% and 3.15%, respectively; and the N/P inputs into Honghu Lake via the FLMC decreased synchronously by 22.04% and 2.02%. From 2016 to 2023, due to the lower N/P loads in the basin, the water quality of the FLMC was continuously optimized, with the TN/TP concentrations decreasing by approximately 2 mg/L and 0.04 mg/L.
- Despite the reduction in external pollution, the TN/TP concentrations in Honghu Lake still increased by 0.46 mg/L and 0.06 mg/L, respectively. This reflected the constraints from climate variability, natural disasters, internal nutrient release from sediments, and the decline of water environment carrying capacity, highlighting the complexity of lake ecological restoration.
- The pollution control and water environment improvement of the FLB and Honghu Lake can be advanced through three key measures: first, establish an agricultural pollution control system of “source control + process regulation” and promote green agricultural technologies; second, conduct comprehensive pollution prevention and control centered on “external pollution prevention and internal pollution treatment”; third, enhance water environment carrying capacity via the dual-path of “controlling pollution input, and increasing environmental capacity”.
- (2)
- Limitations and Prospects
- The study focused on the impact of changes in agricultural models on the water quality of rivers and lakes, with insufficient consideration of other environmental factors such as atmospheric deposition and climate change. This led to an incomplete analysis of the causes of water quality deterioration in Honghu Lake. It will be necessary to systematically quantify the contribution weights of various factors to the water quality changes in Honghu Lake in the future.
- Dynamic models such as the Soil and Water Assessment Tool (SWAT) and Hydrological Simulation Program-Fortran (HSPF) were not integrated. As a result, the long-term responses of the ecosystem to future agricultural policies cannot be simulated, which limited the predictive ability of the research results.
Author Contributions
Funding
Institutional Review Board Statement
Informed Consent Statement
Data Availability Statement
Conflicts of Interest
References
- Chao, X.; Witthaus, L.; Bingner, R.; Jia, Y.; Locke, M.; Lizotte, R. An integrated watershedand water quality modeling system to study lake water qualityresponses to agricultural management practices. Environ. Model. Softw. 2023, 164, 105691. [Google Scholar] [CrossRef]
- Motew, M.; Chen, X.; Booth, E.G.; Carpenter, S.R.; Pinkas, P.; Zipper, S.C.; Loheide II, S.P.; Donner, S.D.; Tsuruta, K.; Vadas, P.A.; et al. The influence of legacy Fon lake water quality in a midwestern agricultural watershed. Ecosystems 2017, 20, 1468–1482. [Google Scholar] [CrossRef]
- Rodriguez, H.G.; Popp, J.; Maringanti, C.; Chaubey, I. Selection and placement of best management practices used to reduce water quality degradation in Lincoln Lake watershed. Water Resour. Res. 2011, 47, W01507. [Google Scholar] [CrossRef]
- Shi, Y.; Feng, L.; Gong, J. Four decades of the morphological dynamics of the lakes in the Jianghan Plain using Landsat observations. Water Environ. J. 2017, 31, 353–359. [Google Scholar] [CrossRef]
- Peng, X.S.; Fu, K.J. The Current Situation of Environmental Quality Surround Four Main Canal and Prevention Measures. J. Hunan Inst. Sci. Technol. (Nat. Sci.) 2015, 28, 77–80. [Google Scholar]
- Ma, Y.B.; Chen, L.W.; Liu, J.J.; Deng, C.Z.; Wu, Z.; Zhang, Y.Z.; Dai, J. Investigation of Agricultural Non-Point Source Pollution and Estimation of Pollution Loads in Honghu Valley. Hubei Agric. Sci. 2013, 50, 8–14. [Google Scholar]
- Zhou, H.E.; Chen, X.F.; He, X.; Ning, Z.P.; Wu, C.X. Research on Spatio-temporal Variation and Causes of Nutrients in Honghu Lake. Earth Environ. 2021, 49, 9–17. [Google Scholar]
- Wang, S.M. Analysis on Temporal-Spatial Variations in Water Quality and Pollution Sources of Honghu Lake. Master’s Thesis, Hubei University, Wuhan, China, 2018. [Google Scholar]
- Liu, Y.J.; Huang, S.Z.; Zhang, L.; Peng, X.; Zhang, X.Y.; Ge, F.J.; Liu, B.Y.; Wu, Z.B. Spatial Distribution Characteristics of Phosphorus Fractions and Release Risk in Sediments of Honghu International Importance Wetland. Environ. Sci. 2021, 42, 3198–3205. [Google Scholar]
- Min, M.; Li, H.; Miao, C.H. Output response of non-point source pollutants and its driving mechanisms of different arable land use patterns. Land Degrad. Dev. 2023, 34, 4123–4137. [Google Scholar] [CrossRef]
- Shi, J.H.; Jin, R.; Zhu, W.H. Quantification of effects of natural geographical factors and landscape patterns on non-point source pollution in watershed based on geodetector: Burhatong River Basin, Northeast China as an example. Chin. Geogr. Sci. 2022, 32, 707–723. [Google Scholar] [CrossRef]
- Zhang, G.Q.; Qin, X.Y.; Liao, J.F.; Liu, Q.M.; Huang, Y.F. Identification and regulation of critical source areas of non-point source pollution in medium and small watersheds based on source-sink theory. Land 2021, 10, 668. [Google Scholar]
- Wang, B.Y.; Wang, L.; Chen, J.C.; Qi, Q.; He, S.Y.; Yang, Z.Q.; Li, Z.H.; Li, K. Identification of ecological functional zoning and its influencing factors in the Sihu Lake Basin, China. Chin. J. Appl. Ecol. 2023, 34, 2757–2766. [Google Scholar]
- Yang, Q.X.; Li, W.C. Environmental changes since foundation of Pen-fish-farming in East Taihu Lake. China Environ. Sci. 1996, 2, 101–106. [Google Scholar]
- Hu, X.Y. Changes of water environment of Honghu Lake from 1990 to 2003. Wetl. Sci. 2006, 4, 115–119. [Google Scholar]
- Chen, S.; Mo, C.F.; Li, Y.Q.; Wu, D.N.; Zhong, Y.; Li, Z.H. Spatio-temporal characteristics of water quality and the pollution driving forces of Honghu Lake. Environ. Pollut. Control 2019, 41, 421–425. [Google Scholar] [CrossRef]
- He, Y.F.; Li, H.C.; Zhu, Y.J.; Yang, D.G. Status and spatial-temporal variations of eutrophication in Lake Changhu, Hubei Province. J. Lake Sci. 2015, 27, 853–864. [Google Scholar] [CrossRef][Green Version]
- Ban, X.; Du, Y.; Wu, Q.Z.; Yu, C.; Feng, Q.; Wu, S.J. Spatial distrubution of water quality and pollutant source analysis in Sihu Basin. Resour. Environ. Yangze Basin 2011, 20, 112–116. [Google Scholar]
- Cao, C.G.; Jiang, Y.; Wang, J.; Yuan, P.; Chen, S. “Dual character” of rice-crayfish culture and strategy for its sustainable development. Chin. J. Eco-Agric. 2017, 25, 1245–1253. [Google Scholar]
- Hu, N.J.; Liu, C.H.; Chen, Q.; Zhu, L.Q. Life cycle environmental impact assessment of rice-crayfish integrated system: A case study. J. Clean. Prod. 2020, 280, 124440. [Google Scholar] [CrossRef]
- Chen, L.; Fan, X.P.; Huang, M.; Liu, D.; Wu, M.Y.; Zhang, F.; Zhang, Z.; Ni, C.; Cheng, Z. Characteristics of nitrogen and phosphorus loss in surface runoff under the rice-crawfish rotation system in the Jianghan Plain, China. J. Agro-Environ. Sci. 2022, 41, 1520–1530. [Google Scholar]
- Miao, J.J.; Liu, Y.F.; Hu, H.X.; Tu, R.F.; Zhan, R.C.; Xue, Z.J.; Xu, Q.R. Effects of Different Fertilization Modes on Nitrogen and Phosphorus Loss and Yield in Paddy Fields. J. Soil Water Conserv. 2020, 34, 86–93. [Google Scholar]
- Shi, X.L.; Zhang, W. Nitrogen and Phosphorus Variation Characteristics in Water and Soil of the Rice-Crayfish System. Jiangxi Sci. 2021, 39, 805–809. [Google Scholar]
- Tang, W.; Chen, C.; Huang, H. Effects of Different Rice Cultivation Patterns on Soil and Water Physical and Chemical Properties and Rice Yield. Crop Res. 2021, 35, 490–495. [Google Scholar]
- Si, G.H.; Yuan, J.F.; Peng, C.L.; Zhao, S.J.; Jia, P.A.; He, J.H. The impact of crayfish farming on water environment under rice shrimp co cultivation mode. Jiangsu Agric. Sci. 2019, 47, 299–303. [Google Scholar]
- Wang, H.; Shao, Q.; Li, R.; Song, M.; Zhou, Y. Governmental policies drive the LUCC trajectories in the Jianghan Plain. Environ. Monit. Assess. 2013, 185, 10521–10536. [Google Scholar] [CrossRef] [PubMed]
- Li, Y.; Wang, H.; Deng, Y.; Liang, D.; Li, Y.; Gu, Q. Applying water environment capacity to assess the non-point source pollution risks in watersheds. Water Res. 2023, 240, 120092. [Google Scholar] [CrossRef]
- State Environmental Protection Administration. Monitoring and Analysis Methods for Water and Wastewater, 4th ed.; China Environmental Science Press: Beijing, China, 2002.
- Wang, X.L.; Wang, H.L.; Wang, Q.M. On the hydrological response to the Land Use/Cover Change of Four-lake Basin in Jianghan Plain. J. HuaZhong Norm. Univ. (Nat. Sci.) 2014, 48, 101–105. [Google Scholar]
- Beaulac, M.N.; Reckhow, K.H. An examination of land use-nutrient export relationships. Water Resour. Bull. 1982, 18, 1013–1024. [Google Scholar] [CrossRef]
- Frink, C.R. Estimating nutrient exports to estuaries. J. Environ. Qual. 1991, 20, 717–724. [Google Scholar] [CrossRef]
- Gou, T.; Pei, D.F.; Liang, R.C.; She, L.; Yang, J.; Ma, Q.L. Analysis of nitrogen and phosphorus emissions from agricultural non-point sources based on improved output coefficient method. China Environ. Sci. 2023, 43, 6539–6550. [Google Scholar]
- Tao, L.; Peng, L.; Dai, L.L.; Yang, Z.; Chen, S.Y.; Ke, Y. Characteristics of non-point source pollution emission of rice-crayfish rotation system and its emergy analysis. J. Lake Sci. 2023, 35, 168–180. [Google Scholar]
- Dai, J.; Li, C.L.; Deng, C.Z.; Wu, Z.; Yang, L.Q. Investigation of Nitrogen and Phosphorus Pollution and Their Pollution Loads of Pond Crab Farming in Honghu Valley. Environ. Sci. Technol. 2010, 33, 169–172. [Google Scholar]
- Liu, F.Y.; Xia, Y.; Huang, M.; Lei, Q.L.; Liu, H.B.; Fan, X.P. Characteristics of nitrogen and phosphorus losses from farmlands through surface runoff under different cropping patterns in the Three Gorges Reservoir area of Hubei Province. J. Agric. Resour. Environ. 2018, 35, 550–558. [Google Scholar]
- Zhang, Y.Y.; Tan, X.; Xu, J.G.; Li, F.M. Spatial—Temporal distribution of agricultural non-point source pollution load in Xiantao City, Hubei Province. Yangtze River 2020, 51, 55–61. [Google Scholar]
- Gu, S.; Li, S. Riparian habitat quality as an indicator of land use/land cover effects on riverine water quality. Geogr. Sustain. 2024, 5, 135–143. [Google Scholar] [CrossRef]
- Yi, F.; Chen, M.; He, X.F.; You, J.H.; An, R.D. Effect of spatial scale on water quality in watershed land use analysis. China Environ. Sci. 2023, 43, 4280–4291. [Google Scholar]
- Zhang, X.; Qi, Y.; Li, H.; Wang, X.; Yin, Q. Assessing the response of non-point source nitrogen pollution to land use change based on SWAT model. Ecol. Indic. 2024, 158, 111391. [Google Scholar] [CrossRef]
- Nepal, D.; Parajuli, P.B.; Ouyang, Y.; To, S.F.; Wijewardane, N. Assessing hydrological and water quality responses to dynamic landuse change at watershed scale in Mississippi. J. Hydrol. 2023, 625, 129983. [Google Scholar] [CrossRef]
- Li, Y.Y.; Li, X.; Meng, C.; Wu, J.S. Analysis of agricultural non-point source pollution issue in waters and technical strategy of comprehensive prevention and control in rural area of China. Res. Agric. Mod. 2021, 42, 185–197. [Google Scholar]
- Liu, X.D. Evolution of Temporal and Spatial Pattern of Rice and Crayfish Fields in Qianjiang City and Its Impact on Ecological Environment. Master’s Thesis, Cental China Normal University, Wuhan, China, 2021. [Google Scholar]
- Du, F.; Hua, L.; Zhai, L.; Zhang, F.; Fan, X.; Wang, S.; Liu, Y.; Liu, H. Rice-crayfish pattern in irrigation-drainage unit increased N runoff losses and facilitated N enrichment in ditches. Sci. Total Environ. 2022, 848, 157721. [Google Scholar] [CrossRef]
- Yang, D.; Yang, Y.; Xia, J. Hydrological cycle and water resources in a changing world: A review. Geogr. Sustain. 2021, 2, 115–122. [Google Scholar] [CrossRef]
- Li, W.; Lü, S.S.; Zhao, Z.L. Impact of land use change on watershed water conservation and water quality purification service:a case study of Wujiang River Basin. Acta Ecol. Sin. 2023, 43, 8375–8389. [Google Scholar]
- Li, L.; Knapp, J.L.A.; Lintern, A.; Ng, G.H.C.; Perdrial, J.; Sullivan, P.L.; Zhi, W. River water quality shaped by land–river connectivity in a changing climate. Nat. Clim. Change 2024, 14, 225–237. [Google Scholar] [CrossRef]
- Tian, P.; Xu, Z.; Fan, W.; Lai, H.; Liu, Y.; Yang, P.; Yang, Z. Exploring the effects of climate change and urban policies on lake water quality using remote sensing and explainable artificial intelligence. J. Clean. Prod. 2024, 475, 143649. [Google Scholar] [CrossRef]
- Li, K.; Wang, L.; Li, Z.H.; Wang, X.R.; Chen, H.B.; Wu, Z.; Zhu, P. Spatial Variability Characteristics of Water Quality and Its Driving Forces in Honghu Lake During High Water- level Period. Environ. Sci. 2015, 36, 1285–1292. [Google Scholar]
- Deng, Y.J.; Zhou, S.H.; Yang, C.H.; Xia, Z.; Liu, K. Analysis of drought and flood change based on standard precipitation index (SPI) and its impact on lake water level of Honghu lake. Hubei Agric. Sci. 2020, 59, 32–37. [Google Scholar]
- Wang, M.; Liu, M.; Xia, Z.H. Effect of future climate change on water resource in Honghu watershed based on SWAT model. J. Meteorol. Environ. 2016, 32, 36–47. [Google Scholar]
- Li, D.; Bu, S.; Li, Q.; Chen, S.; Zhen, Z.; Fu, C. Water environment capacity estimation and pollutant reduction of Yanghe Reservoir Basin in Hebei Province, China, via 0-D water quality model. Environ. Earth Sci. 2021, 80, 508. [Google Scholar] [CrossRef]
- Yu, H.B.; Xi, B.D.; Guo, X.J.; Zhai, L.H.; He, L.S.; Xu, Q.G.; Liu, H.L. Effect of Rainfall Runoff on Nitrogen and Phosphorus Loss in Farming Drainage Ditch. Res. Environ. Ment. Sci. 2009, 22, 409–414. [Google Scholar]
- Liang, L.Q.; Guo, C.X.; Chen, X.H.; Li, J.W.; Chen, C.; Yang, L.P.; Shen, G.X. Characteristics of pollution discharges during pond cleaning in typical fish ponds in Taihu Basin and its impacts on water environment. J. Lake Sci. 2023, 35, 181–191. [Google Scholar]
- Wen, J.W.; Wang, P.; Huang, G.X.; Zhang, H.; Nie, M.H.; Ding, M.J.; Zhe, Y.Y. Influence of Land Use Structure and Spatial Pattern on Water Quality of Small and Medium-sized Rivers in Poyang Lake Basin. Environ. Sci. 2023, 44, 6728–6743. [Google Scholar]
- Chen, X.; Dai, Z.S.; Jiang, L.; Ye, C.; Wang, Y.H.; Huang, X.L.; Yang, C.C.; Chen, S.D. Simulation of nitrogen export scenarios in Chaohu Basin based on land use patterns. J. Lake Sci. 2024, 36, 149–164. [Google Scholar] [CrossRef]
- Xu, Y.; Feng, L.; Hou, X.J.; Wang, J.; Tang, J. Four-decade dynamics of the water color in 61 large lakes on the Yangtze Plain and the impacts of reclaimed aquaculture zones. Sci. Total Environ. 2021, 781, 146688. [Google Scholar] [CrossRef] [PubMed]
- Zhou, W.C.; Shi, Y.H.; Pan, L. Current Status and Controlling Strategies of Water Pollution in Honghu Lake Wetland in Jianghan Plain of Middle Reaches of Yangtze River. Wetl. Sci. Manag. 2019, 15, 31–34. [Google Scholar]
- Liu, X.; Li, E.H.; Xu, J.; Deng, Z.L.; Huang, X.L.; Wang, Y.C.; Wang, X.L. Evolution mechanism of Lake Honghu wetland ecosystem and regime shift crucial threshold. J. Lake Sci. 2023, 35, 934–940. [Google Scholar]
- Zhang, X.W.; Peng, X.; Deng, Z.L.; Ge, F.L.; Zhang, H.K.; Wang, L.J.; Fang, M.J.; Xiong, Y.F.; Zhang, L.; Li, X.; et al. Spatio-temporal characteristics and causes of eco-environmental changes in Lake Honghu from 2019 to 2023. Lake Sci. 2025, 37, 496–507. [Google Scholar]
- Pang, R.H.; Zhu, Y.H.; Lv, H.S.; Chen, Y.N. Effect of Exogenous Non-point Source Pollution on Honghu with the Corresponding Protection and Restoration Countermeasures. Water Resour. Power 2016, 34, 56–59. [Google Scholar]
- Wei, D.X.; Li, X.; Zhao, Y.H. Analyses of atmospheric nitrogen and phosphorus deposition at Hefei Science Island and its impact on Chaohu Lake. J. Hefei Univ. Technol. 2018, 41, 125–1266. [Google Scholar]











| LLP | N-Load (t/a) | Load Proportion (%) | P-Load (t/a) | Load Proportion (%) | |||||
|---|---|---|---|---|---|---|---|---|---|
| AFM | 2016 | 2023 | 2016 | 2023 | 2016 | 2023 | 2016 | 2023 | |
| FA | 9120.02 | 5505.36 | 38.3 | 25.9 | 2416.44 | 1471.32 | 58.0 | 40.5 | |
| DC | 9382.83 | 6735.64 | 39.4 | 31.6 | 847.37 | 606.48 | 20.3 | 16.7 | |
| RCF | 5282.94 | 9045.31 | 22.2 | 42.5 | 905.65 | 1551.37 | 21.7 | 42.8 | |
Disclaimer/Publisher’s Note: The statements, opinions and data contained in all publications are solely those of the individual author(s) and contributor(s) and not of MDPI and/or the editor(s). MDPI and/or the editor(s) disclaim responsibility for any injury to people or property resulting from any ideas, methods, instructions or products referred to in the content. |
© 2025 by the authors. Licensee MDPI, Basel, Switzerland. This article is an open access article distributed under the terms and conditions of the Creative Commons Attribution (CC BY) license (https://creativecommons.org/licenses/by/4.0/).
Share and Cite
Hu, Y.; Wang, Z.; Shao, D.; Li, R.; Zhang, W.; Long, M.; Song, K.; Cao, X. Effects of Agricultural Production Patterns on Surface Water Quality in Central China’s Irrigation Districts: A Case Study of the Four Lakes Basin. Sustainability 2025, 17, 8838. https://doi.org/10.3390/su17198838
Hu Y, Wang Z, Shao D, Li R, Zhang W, Long M, Song K, Cao X. Effects of Agricultural Production Patterns on Surface Water Quality in Central China’s Irrigation Districts: A Case Study of the Four Lakes Basin. Sustainability. 2025; 17(19):8838. https://doi.org/10.3390/su17198838
Chicago/Turabian StyleHu, Yanping, Zhenhua Wang, Dongguo Shao, Rui Li, Wei Zhang, Meng Long, Kezheng Song, and Xiaohuan Cao. 2025. "Effects of Agricultural Production Patterns on Surface Water Quality in Central China’s Irrigation Districts: A Case Study of the Four Lakes Basin" Sustainability 17, no. 19: 8838. https://doi.org/10.3390/su17198838
APA StyleHu, Y., Wang, Z., Shao, D., Li, R., Zhang, W., Long, M., Song, K., & Cao, X. (2025). Effects of Agricultural Production Patterns on Surface Water Quality in Central China’s Irrigation Districts: A Case Study of the Four Lakes Basin. Sustainability, 17(19), 8838. https://doi.org/10.3390/su17198838
