Next Article in Journal
Environmental Inequality: Change in Labor Allocation During PM2.5 Exposure in the Northern Part of Thailand
Previous Article in Journal
The Blue Economy in the Arabian Gulf: Trends, Gaps, and Pathways for Sustainable Coastal Development
 
 
Font Type:
Arial Georgia Verdana
Font Size:
Aa Aa Aa
Line Spacing:
Column Width:
Background:
Article

Human Behavioral Drivers of Sustainable Supply Chains: The Role of Green Talent Management in Ecuadorian MSMEs

by
Alexander Sánchez-Rodríguez
1,*,
Reyner Pérez-Campdesuñer
2,
Gelmar García-Vidal
2,
Yandi Fernández-Ochoa
1,
Rodobaldo Martínez-Vivar
2 and
Freddy Ignacio Alvarez-Subía
1
1
Faculty of Engineering Sciences and Industries, Universidad UTE, Quito 170527, Ecuador
2
Faculty of Law, Administrative and Social Sciences, Universidad UTE, Quito 170527, Ecuador
*
Author to whom correspondence should be addressed.
Sustainability 2025, 17(19), 8810; https://doi.org/10.3390/su17198810
Submission received: 22 August 2025 / Revised: 28 September 2025 / Accepted: 30 September 2025 / Published: 1 October 2025

Abstract

This study examines how green talent management (GTM) practices foster sustainable supply chains in micro, small, and medium-sized enterprises (MSMEs) in Quito, Ecuador. It analyzes how sustainable leadership, green organizational culture, and sustainability-oriented training influence employees’ pro-environmental motivation, organizational commitment, and sustainability attitudes, which in turn mediate the adoption of green logistics practices, supply chain efficiency, and organizational resilience. A quantitative design was employed, using survey data from 280 MSMEs analyzed through structural equation modeling. The findings demonstrate that GTM enhances employees’ motivation, commitment, and sustainability attitudes, which act as the primary behavioral mechanisms translating managerial practices into sustainability outcomes. Theoretically, the study integrates Green HRM and supply chain research with multiple organizational behavior theories, including Social Exchange Theory, the AMO model, the Theory of Planned Behavior, and the Resource-Based View. Empirically, it contributes novel evidence from Ecuadorian MSMEs, a context often underexplored in sustainability research. Practically, the study highlights leadership, culture, and training as strategic levers for building greener, more efficient, and more resilient supply chains. The results offer actionable recommendations for MSME managers and policymakers in Ecuador, highlighting the importance of investing in people as the foundation of sustainable competitiveness.

1. Introduction

Micro-, small-, and medium-sized enterprises (MSMEs) are the backbone of Ecuador’s formal economy and play a central role in sustainable supply chains. More than 90% of formal firms are MSMEs, and they collectively provide between 50% and 60% of private-sector employment and nearly half of national production [1,2]. According to a quantitative report by the Development Bank of Latin America and the Caribbean [3], in 2020, some 91.9% of formal firms were microenterprises, 6.2% were small, 1.4% were medium-sized, and only 0.5% were significant. However, SMEs account for only 7.6% of companies, but they represent approximately 26.6% of national sales. Concentrated mainly in Quito and Guayaquil and embedded in supply networks of manufacturing, commerce, and services, MSMEs can drive sustainable logistics practices—such as eco-efficient transport, greener warehousing, and waste reduction—that support the Sustainable Development Goals [2]. This structural predominance underscores the importance of tailoring sustainability and human-resource strategies to the characteristics of small firms.
Despite their economic relevance, MSMEs in Ecuador operate within a challenging socio-economic environment. The country is rich in biodiversity and natural resources—cacao, bananas, flowers, oil, and shrimp [4]—yet persistent poverty and inequality constrain development; the World Bank reports that roughly one in four Ecuadorians lives in poverty and one in ten in extreme poverty, while more than half of the labor force works in the informal sector [5]. Structural vulnerabilities, including dependence on oil revenues, political instability, and dollarization, render the economy susceptible to external shocks [3]. These conditions, together with widespread informality and limited access to external financing, restrict SMEs’ capacity to invest in environmental initiatives.
Notwithstanding these macroeconomic challenges, surveys of SMEs reveal a medium-to-high level of implementation of sustainability practices: 79.71% for economic sustainability, 82.28% for social sustainability, and 78.14% for environmental sustainability [6]. These figures demonstrate meaningful engagement with sustainable practices, although there remains ample room for improvement [6,7].
Limited access to finance and human capital further restricts SMEs’ ability to deepen these practices. A national study found that approximately 77% of micro and small enterprises were unable to obtain external financing, and those that did faced interest rates of nearly 22% [1]. According to CAF [3], more than half of SME owners have not completed basic education, and only 6.8% have higher education [3]; moreover, over 80% of micro and small enterprises operate partially outside the formal sector [8], limiting their growth prospects and access to formal finance. Recent research indicates that financial planning, environmental consciousness, and technologies such as artificial intelligence can serve as levers for sustainable entrepreneurship [6,7]. Collectively, these constraints underscore the need to align green talent management with policies that address poverty, educational gaps, and informality, adopting integrated strategies that combine financial literacy, ecological awareness, and technological adoption.
While these external constraints are critical, understanding the internal organizational factors that shape employees’ behaviors is equally important. These factors, further elaborated in the theoretical framework, constitute the foundation of the conceptual model proposed in this study.
Beyond the external constraints highlighted earlier—poverty, widespread informality, and limited resources—MSMEs must also strengthen their internal capabilities to move towards greener and more resilient supply chains. Despite their relevance, MSMEs face significant barriers to sustainable supply chain management. First, sustainable leadership is limited, as many owner-managers prioritize short-term survival over environmental or social investment [9,10,11]. Second, a weak green organizational culture hinders sustainability from becoming an integral part of the organizational identity [12,13,14]. Third, training in environmental practices and green logistics is scarce, leaving employees without tools to support eco-friendly initiatives [15,16,17]. In Quito, MSMEs lack formal sustainability structures, making employees’ values and behaviors decisive for performance.
This study assumes that the human dimension is central to supply chain sustainability [18,19]. By addressing gaps in leadership, culture, training, and behavioral mediators, it offers an integrated perspective for MSMEs in Quito [14,20]. The conceptual model includes: (a) independent variables—sustainable leadership, green culture, sustainability training; (b) mediators—pro-environmental motivation, commitment, sustainable attitudes; and (c) outcomes—green logistics, supply chain efficiency, business resilience [21,22]. The underlying logic is that sustainable talent management influences behaviors and attitudes, which in turn enhance supply chain sustainability [18,19,20].
By testing these relationships, the study makes several concrete contributions. Theoretically, it extends the literature on Green HRM and sustainable supply chains by empirically validating an integrative framework that links leadership, culture, and training to pro-environmental motivation, organizational commitment, and sustainability attitudes—key behavioral drivers that remain underexplored in MSMEs from emerging economies. Empirically, it provides novel evidence from Ecuadorian MSMEs, a context often overlooked in sustainability research, thereby enhancing the external validity of behavioral perspectives in supply chain studies. Practically, the study offers actionable insights for managers and policymakers: investing in sustainability-oriented leadership, cultivating a green culture, and providing training are strategic levers to mobilize employees as agents of green transformation. Strengthening these human factors is expected to foster cleaner, more efficient, and more resilient supply chains in Quito, with broader implications for sustainable urban and national development.
Accordingly, this study is guided by the following research questions:
  • RQ1: How do sustainable leadership, green organizational culture, and sustainability-oriented training influence employees’ pro-environmental motivation, organizational commitment, and sustainability attitudes in MSMEs?
  • RQ2: How do employees’ pro-environmental motivation, organizational commitment, and sustainability attitudes foster green logistics practices, supply chain efficiency, and organizational resilience?
  • RQ3: Do human behavioral factors mediate the relationship between green talent management practices and sustainable supply chain outcomes in MSMEs?
By explicitly stating these questions, we align the study’s objectives with its theoretical framework and hypotheses, clarifying how the human dimension drives sustainable supply chain outcomes in the Ecuadorian MSME context.

2. Theoretical Framework

This section develops the theoretical underpinnings of the study. Drawing on organizational behavior, human resource management, and sustainability research, we examine how sustainable leadership, green organizational culture, and sustainability-focused training influence employees’ pro-environmental motivation, organizational commitment, and sustainability attitudes. We also integrate multiple theoretical perspectives, such as Social Exchange Theory, the AMO model, Conservation of Resources theory, the Theory of Planned Behavior, and the Resource-Based View, to explain the mechanisms linking human factors to sustainable supply chain outcomes. Building on this foundation, the subsequent subsections review the empirical evidence for each relationship, leading to the development of the study’s hypotheses and conceptual model.

2.1. Sustainable Leadership for Commitment and Pro-Environmental Behavior

Sustainable leadership—the practice of leading with a long-term, triple-bottom-line mindset—has a notable impact on employees’ commitment. Empirical studies find that sustainability-oriented leaders increase employees’ trust and attachment to the organization [17,23]. According to stakeholder theory, such leaders balance the needs of various stakeholders (employees, society, environment), which strengthens employees’ emotional and moral commitment to the firm [24].
In parallel, the resource-based view (RBV) frames sustainable leadership and employee commitment as valuable, inimitable resources that yield competitive advantage [19]. For instance, Pham and Kim [10] observed that sustainable leadership significantly enhances organizational commitment, and Robertson and Barling [25] (as cited in Hatipoğlu and Akduman [23]) demonstrated that an environmental leadership style increased employee commitment by 27%. This suggests that when leaders champion sustainability—offering fair treatment, development opportunities, and a clear vision—employees reciprocate with higher loyalty and engagement, consistent with social exchange theory [11]. In sum, strong sustainable leadership not only guides environmental strategy but also nurtures a committed workforce dedicated to those sustainability goals [23].
Sustainable leadership directly fosters pro-environmental attitudes and behaviors by modeling eco-friendly values and motivating employees to adopt sustainable practices [23,26,27,28]. In emerging economies, green transformational leadership—integrating environmental concerns into vision and practice—enhances employees’ green values, encourages eco-initiatives, and improves environmental performance [29,30]. Such leaders inspire energy-saving and waste-reduction behaviors by sharing a compelling sustainability vision and empowering staff [28]. Evidence from Pakistani SMEs indicates that green transformational leadership has a significant impact on boosting pro-environmental behavior, which in turn mediates improvements in environmental performance [29].
This dynamic reflects social learning theory, where employees emulate leaders’ sustainable behaviors, and social exchange theory, in which leaders’ support is reciprocated through extra effort from employees [11]. Overall, sustainability-minded leadership fosters a climate where employees are motivated to champion green initiatives, thereby increasing the adoption of environmentally friendly practices [26,27].

2.2. Green Organizational Culture and Employee Engagement

A green organizational culture (GOC)—one that shares values and norms promoting environmental responsibility—is a key driver of sustainable supply chain behavior. Social identity theory suggests that when employees identify with a strong eco-friendly culture, they adopt its values, strengthening their pro-environmental attitudes [14,20]. For example, Gao et al. [20] found that in Chinese manufacturing, robust green culture boosted employees’ green values, leading to more pro-environmental behaviors. Effective GOCs emerge from consistent policies, eco-conscious decisions, open communication, and visible support for sustainability [31,32].
Research also shows that ecological attitudes depend on eco-friendly workplace cultures combined with supportive HR practices [20,33]. Companies that reward green ideas and involve staff in sustainability send strong signals encouraging positive environmental attitudes [14]. Recent contributions, such as the study by Mirčetić et al. [34], further stress the role of green competencies in reinforcing these dynamics. Their findings show that natural and acquired green competencies, together with employees’ pro-environmental attitudes, significantly shape the willingness to engage in sustainable behaviors. This evidence highlights the micro-level mechanisms through which a green organizational culture translates into tangible sustainability outcomes. These include stronger ecological norms and a personal sense of responsibility. Over time, alignment between the GOC and employees’ attitudes fosters a workforce that is both aware and emotionally invested in green goals [35]. This is especially important for SMEs in emerging markets, where weak external pressures make an internal green culture essential to driving voluntary sustainable practices [36].
A strong green culture can enhance employee commitment by aligning organizational and personal values, thereby fostering pride and loyalty [13,14,32]. Green HRM practices—such as involving staff in environmental projects or recognizing green contributions—create shared purpose and strengthen affective commitment [31]. Evidence suggests that eco-friendly values and supportive rewards have a positive influence on organizational commitment [37].
From a social exchange perspective, employees view organizational sustainability efforts as a form of support, reciprocating with a more substantial commitment [20]. A green reputation further attracts individuals who value sustainability, thereby increasing loyalty [35]. In short, when organizations uphold environmental values, employees develop higher emotional commitment and are more likely to champion and sustain green supply chain initiatives over time [13,38].
Taken together, the literature shows that leadership, culture, and training are interdependent dimensions that jointly shape employees’ motivation and commitment. Collectively, shortcomings in sustainable leadership, green organizational culture, and sustainability-oriented training constrain the ability of MSMEs to advance toward greener and more resilient supply chains. Nevertheless, recent research indicates that even small firms can leverage these practices to mitigate external constraints. For example, Aggarwal and Agarwala [14] and Shahriari et al. [13] find that a strong green culture and sustainability-oriented leadership enhance employees’ commitment and pro-environmental behaviors, while Joshi and Dhar [16] and Pham et al. [17] demonstrate that training significantly increases eco-innovation capacity in resource-constrained firms.

2.3. Sustainability-Focused Training and Talent Development

Sustainability-focused training equips employees with knowledge and skills for green practices, thereby strengthening their pro-environmental motivation. In Libya’s oil industry, employees who received environmental training and underwent audits developed stronger pro-environmental attitudes [39]. Such training raises awareness and self-efficacy in addressing ecological issues [16]. From the AMO perspective, green training enhances both ability and motivation to act sustainably [17]. Studies show that after eco-training, employees feel empowered to conserve energy, reduce waste, and engage enthusiastically in green initiatives [40]. Evidence also suggests that training enhances environmental performance by improving competencies and intrinsic motivation [39].
Training further signals an organization’s commitment to sustainability, fostering a perception of support and reciprocity [16,17,41]. Employees often respond by applying lessons learned, such as suggesting more environmentally friendly logistics processes or rigorously following established environmental protocols [40]. In summary, sustainability-focused training is a crucial HRM tool that not only develops competencies but also influences motivation and attitudes, empowering employees to drive green supply chain innovations [16,41].
Investing in employees via sustainability-oriented training can also enhance organizational commitment. From a social exchange perspective, when a firm provides education on environmental protection and involves employees in sustainability initiatives, it demonstrates care for employees’ values and growth, prompting them to feel more obligated and loyal in return [42]. Research suggests that green training and involvement in environmental programs create a perception of organizational support for sustainability, which employees internalize as part of the company’s commitment [35]. This can translate into higher commitment levels, as employees become proud to belong to an organization that leads in environmental stewardship [23]. In SMEs and emerging markets, where retaining skilled talent is often challenging, offering sustainability training and the opportunity to contribute to noble environmental goals can enhance job satisfaction and foster a more profound commitment to the firm [43]. Thus, green talent development serves the dual purpose of improving sustainability competencies and deepening employees’ dedication to the organization’s mission.

2.4. Employee Motivation, Commitment, and Supply Chain Outcomes

Pro-environmental motivation is a key mediator in the adoption of green logistics and sustainable supply chain practices. Motivated employees take proactive steps, such as optimizing delivery routes, utilizing recyclable packaging, or minimizing warehouse waste. According to the Theory of Planned Behavior (TPB), attitudes and motivations shape intentions, which in turn predict behavior [44]. Thus, employees who value sustainability are more likely to propose and implement green initiatives. Evidence from Chinese construction firms suggests that attitudes and motivations have a positive impact on intentions and the actual adoption of green practices [45]. Similarly, Gao et al. [20] found that employees’ green values have a strong influence on workplace pro-environmental behavior.
Such behaviors manifest in concrete logistics improvements, and intrinsically motivated employees often go beyond compliance with proactive and innovative practices [35]. For instance, they may suggest circular supply chains or collaborate with suppliers to reduce their carbon footprints. Overall, employees who are personally motivated by environmental values significantly increase the likelihood that organizations will adopt and sustain green logistics and supply chain innovations, acting as internal champions of change [46].
Employees’ organizational commitment—especially when aligned with sustainability values—enhances supply chain performance and efficiency. Committed employees often go beyond formal duties (“organizational citizenship”) to support environmental objectives [47]. They are more likely to adopt green procurement, comply with ecological logistics standards, and collaborate for efficiency gains. Dian et al. [48] emphasized that achieving sustainable supply chains requires a strong commitment to sustainability. Evidence shows that commitment moderates voluntary green behavior, with highly committed workers engaging more in pro-environmental acts [45].
In practice, committed staff sustain recycling programs and prioritize eco-friendly transportation, thereby strengthening environmental performance. Their dedication also ensures continuity of sustainability initiatives, preventing them from fading out. This follow-through improves efficiency, as resource savings depend on ongoing employee diligence [48]. From an RBV perspective, committed, eco-conscious employees represent a rare resource that drives superior sustainable performance [49]. Evidence from emerging markets further shows that cultivating employee commitment leads to stronger adoption of green supply chain practices and improved environmental outcomes [50]. In summary, organizational commitment serves as a human enabler, transforming sustainability plans into effective, greener, and more efficient supply chain outcomes.
Fostering positive sustainability attitudes among employees drives the adoption of green practices and builds long-term resilience in supply chains [48,49]. Resilience—the ability to withstand and recover from disruptions—is increasingly critical amid climate risks and global shocks [51]. Empirical studies confirm that green logistics practices and circular economy initiatives, when rooted in employees’ pro-sustainability values, significantly strengthen continuity during crises [21,22]. In emerging markets, where external support and regulation are weaker, internal drivers such as employee motivation and organizational commitment become decisive sources of resilience [24,52].
Embedding sustainability in corporate culture enhances resilience, as employees with strong sustainability mindsets become more proactive in risk management and adaptive to innovation [22]. Evidence from Turkish manufacturers indicates that green logistics practices, rooted in positive environmental attitudes, enhance resilience by increasing flexibility and reducing reliance on unsustainable inputs. These practices mediate the link between sustainability initiatives and continuity outcomes [21].
Similarly, Elshaer et al. [22] found that circular economy practices—driven by a green culture and sustainable attitudes—boost both internal and external resilience, enabling firms to maintain operations and meet stakeholder demands under pressure. The TPB further explains that employees with positive sustainability attitudes are more likely to support continuity strategies such as emergency eco-initiatives or resource conservation [44]. In short, when sustainability values are deeply ingrained, firms gain not only greener processes but also a workforce prepared to sustain operations during crises, ensuring long-term business and environmental continuity [22].
This issue is particularly salient for MSMEs in Quito, which lack formal sustainability structures. Employees’ values and behaviors directly affect performance, making sustainable talent management a promising lever for improvement. Leadership, culture, and training can foster pro-environmental motivation and organizational commitment, thereby enabling the adoption of green logistics practices, achieving efficiency gains, and enhancing resilience against disruptions [14,17,21,22,25]. Empirical evidence also suggests that Green HRM practices play a crucial role in integrating sustainability into supply chain operations and achieving a competitive advantage [52,53,54,55]. In summary, these insights emphasize that strengthening leadership, culture, and training is particularly crucial for MSMEs in Quito. In this context, employee behaviors can make the difference between merely surviving and achieving sustainable competitiveness.

2.5. Theoretical Integration and Emerging Market Context

Several complementary theories provide a robust foundation to explain how Green Talent Management (GTM) practices influence sustainable supply chains.
Social Exchange Theory (SET) posits that when employees perceive organizational support through sustainability-oriented leadership, cultural values, or training, they reciprocate with higher levels of commitment and discretionary pro-environmental behaviors [16,56]. This dynamic explains why organizational commitment emerges as a key mediator linking HR practices to supply chain outcomes.
The Ability–Motivation–Opportunity (AMO) model clarifies how GTM dimensions function in tandem: sustainability-focused training builds employees’ ability to act sustainably, green culture nurtures motivation, and leadership provides opportunities for participation. Together, these drivers enable employees to champion green initiatives in logistics and operations [17,56].
Conservation of Resources (COR) theory adds that employees seek to obtain, retain, and protect valued resources. Supportive leadership and cultural alignment provide social and psychological resources that employees mobilize to sustain eco-initiatives under volatile conditions, thereby enhancing organizational resilience [51,57].
The Theory of Planned Behavior (TPB) elucidates how pro-environmental motivation and sustainability attitudes influence behavioral intentions, which in turn predict the adoption of green logistics practices [44,58]. This supports the mediating role of motivation and attitudes in our framework.
At a strategic level, the Resource-Based View (RBV) and Natural RBV (NRBV) argue that sustainability-oriented leadership, green culture, and motivated employees represent valuable, rare, and inimitable resources that generate competitive advantage through supply chain efficiency and resilience [20,59,60,61].
Finally, Stakeholder and Institutional theories suggest that sustainability practices are shaped both by external pressures and internal alignment. In emerging markets with weaker institutional enforcement, such as Ecuador, internal cultural and behavioral drivers become crucial in compensating for regulatory gaps [24,52,62,63].
In sum, this multi-theoretical integration establishes the pathways through which GTM practices—sustainable leadership, green organizational culture, and training—foster pro-environmental motivation, organizational commitment, and sustainability attitudes. These human factors, in turn, drive the adoption of green logistics, enhance supply chain efficiency, and strengthen resilience [21,22]. This theoretical grounding provides a solid basis for analyzing the Ecuadorian MSME context, where people and culture are central to building sustainable supply chain systems [13,14].
Despite these converging theoretical perspectives, important research gaps remain in linking human behavior to sustainable supply chain outcomes. Research has focused mainly on efficiency and costs [64], overlooking motivation, commitment, and employee attitudes. Although behavioral operations and green human resource management (Green HRM) stress the importance of the human dimension, empirical evidence remains limited for MSMEs in developing economies [18]. Recent studies highlight that Green HRM and sustainable leadership can foster employee engagement, pro-environmental behavior, and organizational citizenship, particularly when supported by training and cultural reinforcement [65,66,67,68]. This gap highlights the importance of investigating how talent management practices influence pro-environmental motivation, organizational commitment, and sustainable attitudes [13,16,23].
Evidence supports this rationale. Green HRM fosters pro-environmental behaviors and strengthens employees’ identification with sustainability missions [64]. Sustainable leadership integrates environmental priorities into decision-making processes [9], while a green culture institutionalizes sustainability as an integral part of the organizational identity [12]. Training further provides the competencies necessary to operationalize environmental goals [15]. Moreover, cross-industry studies suggest that combining leadership, HR practices, and organizational culture enhances employee motivation and commitment to sustainability goals [69,70]. Collectively, this evidence demonstrates that sustainable talent management drives behavioral change, enabling MSMEs to transform sustainability into a competitive advantage.

2.6. Conceptual Model Linking Green HR Practices, Employee Attitudes, and Sustainable Supply Chain Outcomes

The conceptual model posits a chain of influence across three tiers: green talent management practices (independent “green” factors), employee sustainability orientations (mediating “blue” factors), and organizational outcomes (dependent “red” factors) [14,28]. In MSMEs, where formal HR subsystems such as recruitment, appraisal, or compensation are often absent, sustainable leadership, green organizational culture, and sustainability-focused training emerge as the most salient and actionable expressions of talent management. While the broader Green HRM literature highlights additional practices—such as green recruitment, performance appraisal, and compensation [15,18]—prior studies consistently identify leadership, culture, and training as the most critical behavioral levers for embedding sustainability into organizational routines, particularly in resource-constrained firms [14,20,50,52]. Accordingly, our model parsimoniously integrates these three dimensions under the GTM umbrella, striking a balance between theoretical convergence and contextual feasibility in Ecuadorian MSMEs.
In line with prior research, we conceptualize sustainable leadership, green organizational culture, and sustainability-oriented training as the core dimensions of Green Talent Management (GTM). While these factors originate from distinct scholarly traditions—leadership studies, organizational behavior, and human resource management—recent reviews of Green HRM and GTM highlight their convergent role in shaping employee pro-environmental behaviors [15,18,50,52]. Empirical evidence further confirms their complementarity: sustainable leadership enhances commitment and green citizenship [23], organizational culture transmits environmental values throughout the workforce [18], and training equips employees with the necessary skills to operationalize eco-initiatives [16,17].
It is essential to note, however, that GHRM frameworks typically encompass a broader range of practices beyond the three considered here [15,18]. Our study deliberately narrows its focus on sustainable leadership, green organizational culture, and sustainability-oriented training, as these dimensions have been consistently identified as the most salient and actionable levers for embedding sustainability into organizational routines in MSMEs [50,52]. In the Ecuadorian context, recruitment and appraisal processes are often informal, while compensation structures are standardized across sectors. By contrast, leadership, cultural values, and training provide concrete mechanisms for mobilizing employees toward sustainability. This parsimonious focus enhances explanatory power while reflecting the practical realities of MSMEs. Nevertheless, we acknowledge that future research should expand the model to incorporate additional HRM practices to test their complementary effects.
These practices embed environmental values in operations and HR processes. For example, sustainable leadership fosters engaged employees and a sense of responsibility toward the environment [51]. Training programs raise awareness and skills, empowering staff to adopt eco-friendly practices and reinforcing a pro-sustainability culture [71]. Through such initiatives, MSMEs align norms with environmental goals, prompting employees to internalize sustainability, act pro-environmentally, and develop a more substantial commitment [10,32]. Prior studies show that leadership and supportive cultures enhance employee engagement with sustainability objectives [51]. In short, green talent management establishes the psychological foundation for an environmentally responsible workforce [50,72].
Employee outcomes—pro-environmental motivation, organizational commitment, and sustainability attitudes—are crucial mediators that translate intent into action. Motivated and committed employees are more likely to go beyond formal roles to advance sustainability. Research highlights that individuals with positive pro-environmental dispositions proactively support green initiatives and remain resilient in the face of environmental challenges [73]. In organizational terms, a motivated workforce supports green logistics practices such as eco-efficient transportation and waste reduction. Evidence indicates that a supportive culture and strong commitment enhance the adoption of green practices on the shop floor [74].
As employees champion green logistics, firms gain supply chain efficiency through resource conservation, waste minimization, and process improvements, while also achieving environmental benefits [71]. These engaged employees strengthen resilience, enabling adaptation during disruptions, innovation in logistics, and compliance with new regulations. Studies confirm that embedded environmental norms bolster resilience and recovery capacity [75]. Employees with normative commitment to sustainability further drive improvements in logistics and supply chain performance [74]. Overall, the model follows a human-centered pathway: “sustainable HR and leadership practices” to “employee motivation and commitment” to “green logistics and supply chain efficiency” to “organizational resilience”. This integrative view emphasizes how human behavior and culture shape sustainable supply chain outcomes.
Complementary frameworks theoretically support this mediating chain. The Ability–Motivation–Opportunity (AMO) model explains how training enhances employees’ abilities, culture nurtures motivation, and leadership provides opportunities to engage in sustainability initiatives [17,56]. The Theory of Planned Behavior (TPB) clarifies why pro-environmental motivation and sustainability attitudes predict actual adoption of green logistics practices [44,58]. From a Social Exchange Theory (SET) perspective, employees reciprocate organizational support from leaders and cultural reinforcement with more substantial commitment and discretionary green behaviors [66,76]. Finally, the Conservation of Resources (COR) theory emphasizes that supportive leadership and a green culture enable employees to conserve and mobilize resources, thereby fostering resilience in the face of external volatility [51,57]. These theoretical mechanisms justify the mediating role of motivation, commitment, and sustainability attitudes, ensuring that the model is not only empirically tested but also firmly grounded in multi-theoretical logic.
Building on these theoretical foundations and the identified gaps, the conceptual model posits a chain of influence linking green talent management practices, employee behaviors, and supply chain outcomes. Based on this reasoning and extant literature, we propose the following broad hypotheses capturing the model’s overarching logic:
  • H1: Green talent management practices—including sustainable leadership, green organizational culture, and sustainability training—positively shape employees’ sustainability-oriented attitudes and motivation. Firms that invest in such HR practices foster stronger pro-environmental motivation, greater organizational commitment, and more favorable attitudes towards sustainability [71].
  • H2: Employees’ pro-environmental motivation, organizational commitment, and sustainability attitudes enhance the adoption of green logistics and performance outcomes. Staff who internalize sustainability values are more likely to engage in eco-friendly logistics and continuous improvement, thereby raising efficiency, reducing waste, and reinforcing organizational resilience [73].
  • H3: Green talent management practices indirectly affect sustainable supply chain outcomes through employee attitudes. Motivation, commitment, and sustainability orientations mediate the relationship between green HR practices and logistics performance, enabling the translation of human-centered initiatives into measurable improvements in efficiency and resilience.
By testing these hypotheses in MSMEs in Quito, this study aims to validate the proposed model and clarify how human behavioral factors drive sustainable supply chain success. In doing so, we address a critical knowledge gap on the role of green talent management in enhancing supply chain efficiency and resilience via empowered, sustainability-minded employees. Ultimately, the objective is to demonstrate that nurturing a green workforce is not only an ethical imperative but also a strategic route to more sustainable and resilient logistics outcomes, especially for developing-country MSMEs facing evolving environmental challenges.

3. Materials and Methods

3.1. Research Design

This research follows a quantitative, cross-sectional design. Data were collected through structured surveys administered to managers and employees of Ecuadorian micro, small, and medium-sized enterprises (MSMEs). Given the exploratory and predictive nature of the study, Partial Least Squares Structural Equation Modeling (PLS-SEM) was employed, which is appropriate for medium-sized samples, complex models, and studies in emerging economies.

3.2. Population and Sample

This study employed a cross-sectional survey of Ecuadorian micro, small, and medium-sized enterprises (MSMEs), which is considered an effectively infinite population for statistical purposes [77]. Since no comprehensive registry exists, a non-probability convenience sampling strategy was used. Firms were recruited through regional business associations, entrepreneurship hubs, and professional networks. A total of 385 SMEs were initially targeted, consistent with sample size estimation at a 95% confidence level (Z = 1.96) and 5% margin of error, assuming maximum variability (p = q = 0.50). Data collection yielded a 65% response rate, resulting in 280 valid cases (120 managers/owners and 160 employees). Although convenience sampling restricts statistical generalizability, it aligns with the exploratory and diagnostic objectives of this study by enabling direct access to key decision-makers in MSMEs. The demographic characteristics of the valid sample (n = 280) are summarized in Table 1.
To minimize social desirability bias: (i) all questionnaires were anonymous, (ii) items were worded in a neutral, descriptive manner, and (iii) surveyors were trained to avoid evaluative cues. These demographic characteristics confirm that the sample covers a diverse range of sectors, roles, and educational backgrounds, providing a solid basis for analyzing the behavioral drivers of sustainability in Ecuadorian MSMEs.

3.3. Measurement of Variables

All constructs were operationalized using reflective indicators adapted from previous validated scales. Items were measured on a 5-point Likert scale (1 = strongly disagree; 5 = strongly agree).
To operationalize the proposed conceptual model, each construct was measured using reflective indicators adapted from previously validated scales in the literature. Table 2 summarizes the constructs, provides representative items, and identifies the primary sources from which the measurement scales were adapted.
This approach ensures both theoretical grounding and empirical validity, while maintaining consistency with prior studies on green human resource management, organizational behavior, and sustainable supply chains.
Independent Variables (Green Talent Management):
  • Sustainable Leadership: Vision and role modeling in sustainability; encouragement of green initiatives [27,29].
  • Green Organizational Culture: Promotion of shared environmental value, 31 s, support for eco-initiatives, and recognition of green behavior [14,20].
  • Sustainability-Focused Training: Provision of training resources, skill development for sustainability practices [16,41].
Mediating Variables (Human Behavior):
  • Pro-Environmental Motivation: Personal responsibility, willingness to suggest eco-friendly practices, preference for sustainable organizations [20,44].
  • Organizational Commitment: Pride, willingness to exert extra effort, and intention to stay [13,47].
  • Sustainability Attitudes: Priority of sustainability in work decisions, support for eco-friendly policies [44,45].
Dependent Variables (Supply Chain Outcomes):
  • Green Logistics Practices: Use of recyclable materials, waste/emissions reduction, eco-efficient transport [21,61].
  • Supply Chain Sustainability and Efficiency: Reduced resource consumption, improved cost efficiency, customer satisfaction [38,49].
  • Organizational Resilience and Continuity: Adaptability to disruptions, operational continuity during crises, long-term survival [21,22].

3.4. Instrument and Data Collection

The survey instrument was initially developed in Spanish, translated into English, and then back-translated to ensure accuracy. A pilot test with 20 respondents from different sectors confirmed clarity, cultural adaptation, and internal consistency. The final questionnaire consisted of 42 items, covering all the relevant constructs.
Fieldwork combined face-to-face administration (on-site at participating firms) and online surveys (via Google Forms distributed through business associations and professional networks). Each session followed a standardized sequence:
  • Introduction and consent. Respondents were informed about the voluntary nature of participation, the guarantee of anonymity, and their right to withdraw at any time. Ethical safeguards were reiterated before the questionnaire began.
  • Self-administered instruments. Managers/owners answered items on sustainable leadership, organizational culture, and sustainability training, while employees reported on motivation, commitment, attitudes, and green logistics practices.
  • Firm-level characteristics. Respondents also provided contextual information, including sector, years of operation, and firm size (measured by number of employees).
Each session lasted approximately 30 to 40 min. Trained researchers were available for clarification but refrained from evaluative feedback. To mitigate social desirability bias, anonymity was guaranteed, items were worded neutrally and descriptively, and interviewers avoided suggesting preferred answers.
Data collection took place over a three-month period in 2024. A total of 385 SMEs were initially targeted, yielding a response rate of approximately 65% and resulting in 280 valid responses (120 managers/owners and 160 employees). This final sample size is consistent with prior studies of Latin American SMEs and exceeds the minimum requirements for complex PLS-SEM models.

3.5. Measures

All constructs were operationalized using reflective multi-item scales adapted from previously validated instruments (see Table 2). Items were measured on a five-point Likert scale (1 = strongly disagree, 5 = strongly agree).
  • Sustainable Leadership: Four items on sustainability vision, role modeling, and encouragement of green initiatives [27,29].
  • Green Organizational Culture: Three items capturing shared values, eco-initiative support, and recognition of sustainable practices [14,20].
  • Sustainability-Focused Training: Three items assessing training resources, environmental learning, and logistics skills [16,41].
  • Pro-Environmental Motivation: Three items reflecting responsibility, willingness to suggest eco-initiatives, and preference for sustainable firms [44].
  • Organizational Commitment: Three items on pride, extra-role effort, and retention intentions [38,47].
  • Sustainability Attitudes: Three items highlighting sustainability prioritization, belief in long-term benefits, and support for eco-friendly policies [45].
  • Green Logistics Practices: Three items on recyclable materials, emission reduction, and transport optimization [21].
  • Supply Chain Sustainability and Efficiency: Three items on resource use, cost efficiency, and customer satisfaction [49].
  • Organizational Resilience and Continuity: Three items on adaptation to disruptions, survival during crises, and sustainability-driven continuity [22].
Table 2 summarizes the constructs, representative indicators, and primary sources.

3.6. Measurement Validation

Table 3 presents the psychometric properties of the constructs, including loading ranges, AVE, CR, Cronbach’s α, and variance explained.
Construct validity was assessed in two steps. First, Exploratory Factor Analysis (EFA) confirmed sampling adequacy (KMO > 0.90, Bartlett’s test p < 0.001). All items loaded above 0.60 with communalities exceeding 0.45, supporting convergent validity. Second, Confirmatory Factor Analysis (CFA) conducted in SmartPLS 4 verified that all loadings exceeded 0.70. Composite Reliability (CR) values were above 0.80, Average Variance Extracted (AVE) values exceeded 0.50, and Cronbach’s α coefficients ranged from 0.78 to 0.92. Discriminant validity was confirmed through both the Fornell–Larcker criterion and HTMT ratios (<0.90).
These results provide strong evidence of convergent and discriminant validity, thereby confirming the robustness of the measurement model for subsequent PLS-SEM analysis.

3.7. Analytical Strategy

The analysis was conducted using Partial Least Squares Structural Equation Modeling (PLS-SEM) with SmartPLS 4. PLS-SEM was selected because it is well-suited for complex models with multiple mediators, non-normal data, and exploratory designs, which are common in emerging markets and SME contexts [78].
Step 1: Assessment of the Measurement Model. To ensure the reliability and validity of the reflective constructs, the following criteria were applied:
  • Indicator reliability: Standardized loadings should exceed 0.70.
  • Internal consistency: Cronbach’s α and Composite Reliability (CR) should be above 0.70.
  • Convergent validity: Average Variance Extracted (AVE) must exceed 0.50.
  • Discriminant validity: Assessed through both the Fornell–Larcker criterion and the Heterotrait–Monotrait ratio (HTMT < 0.90).
Step 2: Assessment of the Structural Model. Once the measurement model was validated, the hypothesized structural relationships were tested. The following criteria were considered:
  • Path coefficients (β) and their significance levels, assessed through bootstrapping with 5000 resamples.
  • Coefficient of determination (R2) to evaluate the explanatory power of endogenous constructs.
  • Effect size (f2) to examine the relative impact of each exogenous construct.
  • Predictive relevance (Q2) using blindfolding procedures.
  • Model fit indices: Standardized Root Mean Square Residual (SRMR) < 0.08 was considered an acceptable threshold for approximate model fit.
Step 3: Mediation Analysis. Mediation was tested for the three behavioral constructs (pro-environmental motivation, organizational commitment, and sustainability attitudes) as potential mechanisms linking green talent management practices (sustainable leadership, green organizational culture, and sustainability-focused training) to supply chain outcomes (green logistics, sustainability and efficiency, resilience). Bootstrapping with bias-corrected confidence intervals was used to assess the significance of indirect effects.
Step 4: Robustness Checks. To strengthen the robustness of results, additional checks were performed:
  • Multicollinearity assessed using Variance Inflation Factors (VIF < 5).
  • Control variables (firm size, sector, years in operation) were included to account for heterogeneity.
  • Sensitivity analyses were conducted to verify the stability of coefficients across subsamples (e.g., by sector and firm size).
This multi-step strategy ensures the methodological rigor and robustness of findings, providing a comprehensive evaluation of how green talent management practices influence supply chain sustainability outcomes in Ecuadorian MSMEs.

4. Results

4.1. Descriptive Statistics

Table 4 summarizes the demographic profile of the valid sample (n = 280). Most firms operate in the commerce and services sectors, followed by the agroindustry, manufacturing, and transportation/logistics sectors. Respondents were divided between managers/owners (42.9%) and employees (57.1%). On average, firms had been in operation for 8.1 years (SD = 6.0).

4.2. Measurement Model Results

The evaluation of the measurement model confirmed that all constructs met the recommended thresholds for reliability and validity. Standardized loadings ranged between 0.697 and 0.866, comfortably above the minimum 0.70 criterion, with only marginal rounding at the lower bound. Internal consistency was also strong: Composite Reliability (CR) values ranged from 0.858 to 0.926, while Cronbach’s α values ranged from 0.794 to 0.899, exceeding the conventional 0.70 benchmark. Convergent validity was supported, with Average Variance Extracted (AVE) values ranging from 0.548 to 0.713, indicating that each construct accounted for more than half of the variance in its indicators.
At the construct level (see Table 5), these findings are consistent across all dimensions. For instance, Sustainable Leadership reported loadings between 0.764 and 0.846, with an AVE of 0.621, a CR of 0.891, and an α of 0.847. Similarly, Green Organizational Culture (loadings 0.697–0.779; AVE = 0.548; CR = 0.858; α = 0.794) and Sustainability-Focused Training (0.766–0.840; AVE = 0.656; CR = 0.884; α = 0.825) met all thresholds. The mediating constructs—Pro-Environmental Motivation, Organizational Commitment, and Sustainability Attitudes—also demonstrated robust psychometric quality, with AVE values ranging from 0.641 to 0.681 and CR values exceeding 0.89. Finally, the three outcome variables—Green Logistics Practices, Supply Chain Sustainability & Efficiency, and Organizational Resilience & Continuity—showed the strongest psychometric performance, each with loadings above 0.76 and AVE above 0.63.
A complete summary of indicator loadings, AVE, CR, and Cronbach’s α for each construct is presented in Table 5. The results confirm that all nine constructs demonstrate robust reliability and validity, providing a solid basis for estimating the structural relationships in the subsequent analysis.
Discriminant validity was established through both the Fornell–Larcker criterion and HTMT ratios. For every construct, the square root of the AVE exceeded its correlations with other constructs (e.g., √AVE_SL = 0.788 vs. maximum |r| = 0.375; √AVE_GLP = 0.844 vs. maximum |r| = 0.359). Likewise, all HTMT values were below 0.90, with the highest ratio at 0.463, thus confirming apparent conceptual distinctiveness among the latent variables. Collectively, these results validate the adequacy of the measurement model for subsequent structural testing.

4.3. Structural Model Results

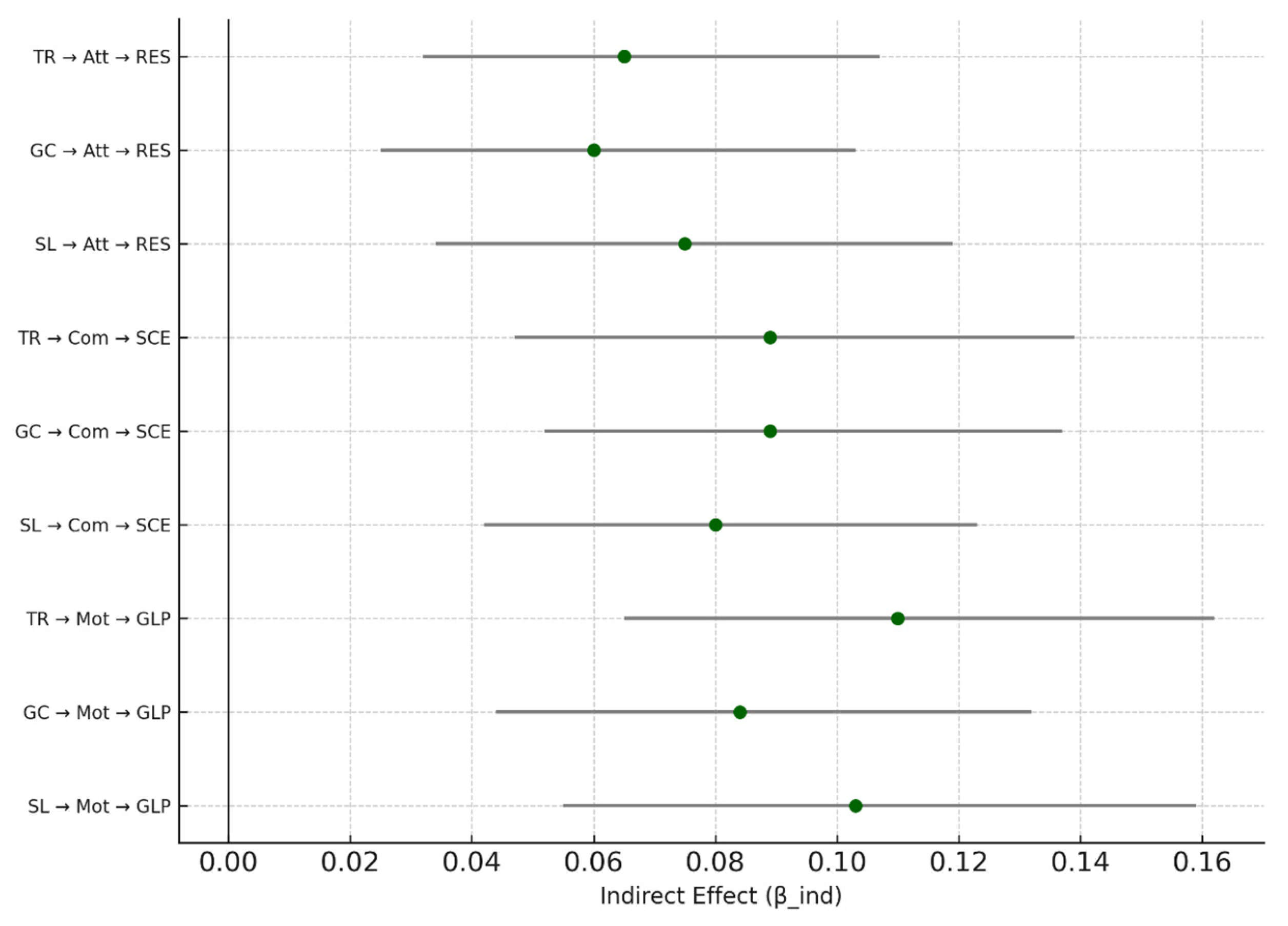
The structural model was estimated using bootstrapping (B = 1000 resamples), yielding results that provided strong support for the hypothesized relationships. The bootstrapped mediation analysis confirmed the significance of indirect effects, as summarized in Figure 1.
This figure graphically depicts the standardized indirect path coefficients (95% CI), illustrating the mediating roles of pro-environmental motivation, organizational commitment, and sustainability attitudes. Subsequently, Figure 2 presents the full structural model results, including the direct and indirect paths estimated through PLS-SEM.
The statistical evidence is summarized in Table 6, which reports the standardized path coefficients, confidence intervals, and explained variance (R2) for all endogenous constructs. As shown, all hypothesized paths are positive and significant, confirming that green talent management practices consistently influence pro-environmental motivation, organizational commitment, and sustainability attitudes, which in turn drive supply chain outcomes.
The three green talent management practices significantly predicted each of the behavioral constructs. For Pro-Environmental Motivation (R2 = 0.309), the strongest predictor was Sustainability-Focused Training (β = 0.306, 95% CI [0.209, 0.402]), followed by Sustainable Leadership (β = 0.288, [0.181, 0.389]) and Green Organizational Culture (β = 0.236, [0.129, 0.350]). For Organizational Commitment (R2 = 0.285), Green Culture had the most significant effect (β = 0.276, [0.181, 0.376]), alongside Leadership (β = 0.248, [0.143, 0.339]) and Training (β = 0.274, [0.169, 0.389]). For Sustainability Attitudes (R2 = 0.258), all three practices again exerted significant influence: Leadership (β = 0.284, [0.184, 0.382]), Training (β = 0.247, [0.140, 0.339]), and Culture (β = 0.228, [0.123, 0.342]).
Downstream outcomes were also significantly explained by the mediators. Green Logistics Practices (R2 = 0.129) were driven by Motivation (β = 0.359, [0.243, 0.478]). Supply Chain Sustainability & Efficiency (R2 = 0.105) was predicted by Commitment (β = 0.323, [0.204, 0.433]). Finally, Organizational Resilience & Continuity (R2 = 0.069) was significantly influenced by Sustainability Attitudes (β = 0.263, [0.152, 0.374]).
Diagnostic checks confirmed the robustness of these estimates. Variance Inflation Factor (VIF) values for all exogenous constructs were approximately 1.05, which is far below the critical threshold of 5.0, indicating no concerns about multicollinearity. Taken together, these findings demonstrate that the model performs well, supporting the hypothesized mediating framework whereby green talent management practices exert their effects on supply chain sustainability through human behavioral drivers.

4.4. Mediation Analysis

The bootstrapped mediation tests (B = 2000, bias-corrected) provided strong evidence that the three behavioral constructs—motivation, commitment, and sustainability attitudes—serve as significant pathways linking green talent management practices to supply chain outcomes.
For green logistics practices, the mediating role of pro-environmental motivation was particularly salient. The indirect effect of sustainable leadership on green logistics through motivation was β_ind = 0.103, 95% CI [0.055, 0.159], while the impacts of green organizational culture (β_ind = 0.084, 95% CI [0.044, 0.132]) and sustainability-focused training (β_ind = 0.110, 95% CI [0.065, 0.162]) were also significant. These findings suggest that managerial practices shape logistics sustainability primarily by fostering employees’ willingness to engage in eco-initiatives.
For supply chain sustainability and efficiency, organizational commitment acted as the principal mediator. The indirect effects were significant across all three practices: sustainable leadership (β_ind = 0.080, 95% CI [0.042, 0.123]), green culture (β_ind = 0.089, 95% CI [0.052, 0.137]), and training (β_ind = 0.089, 95% CI [0.047, 0.139]). This suggests that when employees take pride in their organization and are willing to exert extra effort, the translation of talent practices into efficient and sustainable supply chain performance is reinforced.
Finally, for organizational resilience and continuity, sustainability attitudes emerged as the key mechanism. The indirect effects were again consistent: leadership (β_ind = 0.075, 95% CI [0.034, 0.119]), culture (β_ind = 0.060, 95% CI [0.025, 0.103]), and training (β_ind = 0.065, 95% CI [0.032, 0.107]) all significantly predicted resilience through employee attitudes. This pattern highlights the importance of integrating pro-sustainability mindsets into the workforce to ensure adaptive capacity and long-term sustainability.
Taken together, these results suggest that green talent management practices have a significant impact on supply chain sustainability outcomes, primarily through their influence on human behavior, rather than through direct effects on the supply chain itself. By cultivating employee motivation, commitment, and attitudes, MSMEs can unlock the behavioral drivers necessary to achieve greener logistics, more efficient supply chains, and greater resilience in the face of disruptions.
Table 7 provides detailed evidence of the mediating mechanisms in the proposed model.
All indirect effects were positive and statistically significant, confirming that sustainable leadership, green organizational culture, and sustainability-focused training exert their influence on supply chain outcomes primarily through human behavioral constructs. Specifically, pro-environmental motivation mediated the link with green logistics, organizational commitment mediated the association with supply chain efficiency, and sustainability attitudes mediated the effect on organizational resilience. These results highlight that the effectiveness of green talent management practices depends less on direct managerial actions and more on the behavioral responses they trigger among employees.

4.5. Structural Model Results

The structural model assessment provided strong support for the hypothesized relationships. Figure 2 presents the standardized path coefficients (β) estimated using PLS-SEM.
As shown, sustainable leadership, green organizational culture, and sustainability-focused training all had significant positive effects on the three behavioral mediators—pro-environmental motivation, organizational commitment, and sustainability attitudes. In turn, each mediator significantly influenced its corresponding outcome: motivation predicted green logistics practices, commitment enhanced supply chain sustainability and efficiency, and sustainability attitudes promoted organizational resilience and continuity.
Overall, the model demonstrates that green talent management practices exert their influence on supply chain sustainability primarily through indirect effects mediated by human behavioral variables. Pro-environmental motivation emerged as the strongest driver of green logistics practices (β = 0.359), while organizational commitment contributed significantly to supply chain efficiency (β = 0.323). Additionally, sustainability attitudes strengthened organizational resilience (β = 0.263). Together, these findings underscore that employees’ motivation, commitment, and attitudes are the critical mechanisms through which green talent management practices translate into tangible sustainability outcomes for MSMEs, fostering greener and more resilient supply chains.
These statistical relationships also illustrate how the mediating mechanisms are applied in practice. The strong effect of pro-environmental motivation on green logistics (β = 0.359) indicates that motivated employees are more likely to implement concrete eco-initiatives, such as optimizing transport routes, using recyclable packaging, or reducing warehouse waste. The significant association between organizational commitment and supply chain efficiency (β = 0.323) reveals that committed employees often go beyond compliance, identifying opportunities to reduce costs and conserve resources in daily operations. Finally, the positive effect of sustainability attitudes on resilience (β = 0.263) demonstrates that employees who prioritize sustainability are more likely to support adaptive and innovative practices that help firms maintain operations during disruptions.

5. Discussion

5.1. General Analysis of Results

The empirical findings provide robust support for the proposed model, demonstrating that sustainable leadership, a green organizational culture, and sustainability-focused training significantly enhance employees’ pro-environmental motivation, organizational commitment, and sustainability attitudes. These behavioral orientations subsequently contribute to the adoption of green logistics practices, improvements in supply chain efficiency, and the strengthening of organizational resilience. In this way, green talent management exerts its influence on supply chain sustainability primarily through human behavioral mechanisms. Consistent with prior research, sustainability-oriented leadership has been shown to strengthen employees’ commitment to sustainability objectives [10,23] and to encourage pro-environmental attitudes and behaviors by modeling eco-conscious practices. Evidence from emerging economies similarly confirms these leadership effects [26,29,79], aligning with stakeholder theory, which suggests that when leaders balance diverse stakeholder needs, employees develop stronger moral and emotional attachment to the organization.
Promoting a green organizational culture in Quito’s MSMEs exerts a strong positive effect on both sustainability attitudes and organizational commitment. When employees identify with eco-friendly values and norms, they internalize these principles and become more emotionally invested in environmental initiatives, consistent with evidence from larger firms [20,80]. This process generates a value-alignment effect, whereby emphasizing sustainability increases employees’ pride and loyalty, in line with prior findings that integrating eco-values and formally recognizing green contributions strengthen organizational dedication [13,81]. In contexts characterized by weaker regulatory enforcement, such as Ecuador, internal cultural mechanisms become particularly salient, as they compensate for institutional voids by motivating voluntary engagement in sustainable practices.
Sustainability-focused training constitutes another critical lever. Structured interventions aimed at enhancing environmental knowledge and skills have a significant effect on employees’ pro-environmental motivation, attitudes, and commitment by raising awareness and self-efficacy, in accordance with the Ability–Motivation–Opportunity framework [66,82]. In the case of MSMEs, even relatively modest initiatives—such as short workshops or practical demonstrations on eco-driving or waste segregation—signal organizational support while providing staff with actionable competencies. This dual effect not only empowers employees but also fosters reciprocity, as individuals feel compelled to apply and reinforce sustainability practices within their daily operations.
Among the three mediators, pro-environmental motivation emerged as the strongest driver, amplifying the effect of green practices on logistics performance and facilitating concrete initiatives such as eco-efficient transportation and warehouse waste reduction. This result aligns with prior evidence showing that intrinsically motivated employees actively champion sustainability improvements beyond formal requirements [38,83]. Organizational commitment also contributed significantly to efficiency gains, consistent with research emphasizing that committed personnel are essential for embedding sustainability into supply chain operations [23,48,72]. Finally, positive sustainability attitudes enhanced organizational resilience, underscoring their importance in enabling firms to anticipate and adapt to disruptions.
Taken together, motivation, commitment, and attitudes translate green HRM practices into measurable sustainability benefits. Confirming these relationships in MSMEs within a developing-country context contributes to addressing the behavioral research gap. Previous studies [11,22,25] have similarly indicated that small enterprises can strengthen their resilience through internal drivers, such as sustainable leadership, culture, and training, even in volatile environments. In the case of Quito, the findings indicate that investing in human-centered practices—such as leadership development, organizational culture, and employee training—constitutes a strategic pathway toward cleaner, more efficient, and resilient supply chains [84].

5.2. Theoretical Implications

This study advances theoretical understanding by empirically validating an integrative framework that links green human resource management (Green HRM) practices and sustainable leadership to supply chain outcomes through employee behaviors, thereby bridging micro-level organizational behavior and macro-level sustainability theory. By addressing prior critiques of the excessive emphasis on technical and process-based aspects of supply chains, the results demonstrate that leadership, organizational culture, and training—operationalized through employee motivation, commitment, and sustainability attitudes—are significant behavioral drivers of sustainable supply chain performance. This finding reinforces recent calls to systematically embed the “human factor” into sustainability models [52,64].
The results further support Social Exchange Theory, showing that sustainability-oriented leadership and HR practices foster employee commitment and discretionary effort as reciprocal responses to perceived organizational support [11]. They also align with Social Learning Theory, since employees emulate the eco-responsible behaviors modeled by their leaders [26]. Moreover, the strong mediating effects identified in this study underscore the relevance of the Theory of Planned Behavior (TPB), which suggests that pro-environmental attitudes and intentions can translate into concrete green logistics practices [44].
From a Resource-Based View (RBV), engaged employees and a sustainability-oriented culture represent valuable, rare, and inimitable resources that enhance efficiency and resilience, thereby providing MSMEs with a competitive advantage [85]. This perspective is particularly relevant for small firms that lack economies of scale but can differentiate themselves through unique organizational cultures and human capital. Extending these insights to Quito’s MSMEs strengthens the external validity of the model: Stakeholder Theory suggests that responsiveness to societal expectations fosters more substantial employee commitment [24]. At the same time, Institutional Theory emphasizes that in weakly regulated contexts, internal cultural drivers play a decisive role in sustaining voluntary practices [36]. The results of this study confirm the coexistence of both dynamics in Ecuador.
In addition, Tornjanski et al. [86] argue that the emergence of a Green Society within the framework of Society 5.0 requires profound human-centric and sustainability-oriented transformations at multiple levels. This macro-level perspective complements our empirical findings by suggesting that MSMEs, through sustainability-oriented leadership, culture, and training, can contribute not only to firm-level outcomes but also to broader societal transitions toward resilience and sustainability.
In summary, the study advances a comprehensive understanding of sustainable supply chain management by integrating multiple theories of organizational behavior. The evidence demonstrates that effective supply chains depend not only on technologies and processes but also on leadership, culture, and human capital. By linking Green HRM to supply chain performance through behavioral mediators, this research enriches both HRM and supply chain theory, underscoring that human factors are as critical as technical systems in achieving sustainability.

5.3. Practical and Managerial Implications

The findings highlight that even resource-constrained MSMEs in Quito can achieve greener and more efficient supply chains by investing in people and organizational culture. Three managerial priorities emerge:
(a)
Foster Sustainability-Oriented Leadership. MSME leaders should consistently emphasize sustainable values and long-term thinking by integrating them into their organizational vision, decision-making processes, and daily practices. Leading by example—for instance, championing recycling or energy-saving measures—reinforces employees’ trust and identification with the firm [23]. In small firms, where relationships are closer, managers are uniquely positioned to model eco-friendly behavior. Leadership training programs offered by local associations could further enhance these skills, generating direct benefits in employee motivation and sustainability initiatives [29].
(b)
Cultivate a Green Organizational Culture. Developing a culture that actively promotes sustainability reinforces shared values and embeds eco-friendly practices into daily operations. Initiatives such as forming green teams, rewarding employee suggestions, and celebrating sustainability achievements send a strong signal of organizational commitment. Such efforts not only strengthen pro-environmental attitudes and commitment [13] but also foster pride and retention, as employees prefer to work in firms with strong environmental identities. In Ecuador’s weaker regulatory context, these cultural shifts are particularly critical for sustaining voluntary practices [36].
(c)
Invest in Sustainability-Focused Training. Targeted training bridges the gap between intent and action. Even modest workshops on energy efficiency, waste segregation, or eco-driving significantly enhance employees’ capabilities and motivation. Training also signals organizational support, thereby boosting morale and loyalty [43]. For example, a logistics MSME in Quito that trains drivers on eco-driving can simultaneously improve operational efficiency and strengthen employee commitment.
At the policy level, governments and industry associations can enhance impact by incentivizing green HRM practices through certifications, tax incentives, or targeted grants. At the same time, chambers of commerce can foster knowledge sharing across firms. Considering the pivotal role of MSMEs in Ecuador’s economy, scaling these people-centered interventions would substantially advance national sustainability goals. Ultimately, leadership, culture, and training should not be viewed as compliance measures but as strategic investments that enhance competitiveness, resilience, and innovation.
These managerial priorities are already observable in Ecuadorian MSMEs. For instance, in Quito’s logistics sector, SMEs that trained drivers in eco-driving techniques reported lower fuel expenditures and reduced emissions, consistent with the significant mediating role of pro-environmental motivation identified in our model (β = 0.359). In the agroindustry, small flower producers in Pichincha introduced sustainability workshops on waste management, which not only reduced disposal costs but also increased employees’ sense of organizational pride, reflecting the pathway from organizational commitment to supply chain efficiency (β = 0.323). Likewise, retail businesses in Quito’s commercial districts eliminated single-use plastics and incentivized recycling practices, strengthening sustainability attitudes that translated into greater resilience during supply disruptions (β = 0.263). These cases demonstrate how sustainable leadership, training, and cultural initiatives materialize in MSMEs, showing that human-centered practices can yield measurable improvements in logistics, efficiency, and resilience in Ecuador’s supply chains.

5.4. Limitations and Future Research

While this study offers valuable insights, several limitations should be acknowledged, each of which opens avenues for further investigation. First, its cross-sectional design captures only a single point in time for MSMEs in Quito, thereby restricting causal inference. Reciprocal relationships may also exist—for example, sustainability outcomes reinforcing the development of a green organizational culture. Longitudinal studies would help clarify the temporal sequencing of these dynamics, such as whether pro-environmental motivation increases immediately following training interventions and subsequently translates into measurable performance gains.
Second, the exclusive reliance on self-reported measures introduces potential standard method bias. Although anonymity and neutral item wording were applied to mitigate this concern, responses may nonetheless reflect some degree of social desirability. Future research should therefore triangulate survey data with objective indicators—such as energy consumption records, waste reduction statistics, or results from environmental audits—to strengthen the validity of the observed relationships between HRM practices and sustainability outcomes.
Third, the generalizability of the results is constrained by the specific context of Quito’s MSMEs. Distinct cultural and regulatory conditions may have influenced the observed dynamics. Future studies should therefore examine comparable relationships in other settings—such as additional Latin American cities, rural areas, or regions in Asia, Africa, and developed economies. Comparative research contrasting highly regulated with weakly regulated markets could provide further insight into how external pressures interact with internal cultural drivers. Moreover, studies of larger firms may determine whether the presence of formalized systems substitutes for the leadership and cultural mechanisms that appear central in smaller enterprises.
Fourth, the proposed model focused on three HRM practices and three behavioral mediators, thereby excluding other potentially relevant factors such as government incentives, customer demands, or competitive pressures, all of which may affect sustainability outcomes. Future research should incorporate such moderators, as well as innovation-related variables (e.g., green innovation capabilities), to increase explanatory power [87]. Additional psychological mediators—such as self-efficacy, values, or knowledge related to sustainability—also warrant examination. Complementary qualitative approaches, such as Ecuadorian case studies, would be especially valuable in capturing the practical nuances and lived experiences that cannot be fully conveyed through survey data.
Fifth, although the findings underscore the importance of internal, human-centered strategies, sustainability in practice often requires a combination of internal and external approaches. Future research should therefore examine the synergies between employee engagement, green technologies, public policy, and supply chain collaborations. A critical avenue for inquiry is whether firms that integrate both internal behavioral mechanisms and external institutional supports achieve superior sustainability outcomes compared to those relying on a single dimension.
Finally, another limitation relates to the scope of Green Talent Management considered in this study. The analysis focused on three dimensions—sustainable leadership, green organizational culture, and sustainability-focused training—because they are the most salient within MSMEs and have strong theoretical foundations. Nevertheless, broader GTM frameworks encompass additional practices, such as green recruitment, performance appraisal, and compensation [52,66]. Expanding the model to incorporate these practices in future research would provide a more comprehensive understanding of how GTM systems foster sustainability and resilience across diverse organizational contexts.
Future studies should also incorporate qualitative approaches, such as interviews with managers and employees, to generate richer contextual insights into how green talent management practices are experienced and enacted in MSMEs. These methods would complement the quantitative findings by revealing lived experiences, behavioral nuances, and organizational dynamics that shape the implementation of sustainability initiatives.
In summary, despite the noted limitations, this study provides initial evidence of the central role that human factors play in fostering sustainable supply chains in Quito’s MSMEs. Further research should test and extend the proposed model in diverse contexts, thereby refining strategies to achieve sustainability through the combined influence of human capabilities, organizational culture, and technological and policy innovations.

6. Conclusions

This study analyzed how sustainable leadership, green organizational culture, and sustainability-oriented training influence employees’ pro-environmental motivation, organizational commitment, and sustainability attitudes, and how these human factors, in turn, foster green logistics practices, supply chain efficiency, and organizational resilience in MSMEs in Quito, Ecuador. Using a PLS-SEM model, the findings provide strong evidence that human-centered practices are not peripheral but fundamental drivers of supply chain sustainability.
Theoretically, the research contributes to the field by empirically validating an integrative framework that links Green HRM and leadership to sustainable supply chain outcomes through behavioral mediators. The results extend organizational behavior and sustainability theories by confirming the explanatory power of Social Exchange Theory, Social Learning Theory, the Theory of Planned Behavior, and the Resource-Based View in the context of an emerging market. They also demonstrate that internal drivers such as culture and employee motivation can compensate for weaker institutional environments.
Practically, the findings suggest that even resource-constrained MSMEs can achieve significant sustainability gains by investing in leadership development, fostering a green organizational culture, and offering sustainability-focused training. Policymakers and business associations can amplify these efforts through training programs, incentive schemes, and collaborative green business networks, thereby scaling firm-level improvements to sectoral and national levels.
Despite its limitations—including cross-sectional design, reliance on self-reported measures, and focus on three GTM dimensions—the study provides a robust foundation for future longitudinal, comparative, and mixed-methods research. Expanding the model across industries, regions, and additional HRM practices (e.g., recruitment, appraisal, and compensation) will help determine the universality and contextual variations in the relationships identified.
This research underscores the importance of the human dimension in establishing sustainable supply chains. Motivated, committed, and sustainability-oriented employees can drive measurable improvements in logistics, efficiency, and resilience. Achieving sustainability is therefore not only a matter of technology or regulation but fundamentally about people. This human-centered approach provides a promising pathway for MSMEs in Ecuador and other emerging economies to transform sustainability challenges into opportunities for innovation, competitiveness, and long-term resilience.
Beyond its theoretical and empirical contributions, this study offers actionable recommendations for MSME managers and policymakers in Ecuador. Practitioners should prioritize three human-centered strategies: (i) fostering sustainability-oriented leadership by embedding environmental values into organizational vision, decision-making, and daily practices; (ii) cultivating a green organizational culture through eco-teams, employee recognition, and sustainability campaigns; and (iii) investing in sustainability-focused training that equips staff with practical skills in eco-driving, waste reduction, and energy efficiency. At the policy level, government agencies and business associations can amplify these firm-level efforts by providing leadership development programs, training subsidies, tax incentives for sustainable practices, and fostering collaborative green business networks. Aligning organizational practices with supportive public policies will allow Ecuadorian MSMEs to scale their human-driven sustainability initiatives into broader improvements in supply chain efficiency, resilience, and national competitiveness.

Author Contributions

Conceptualization, A.S.-R.; methodology, G.G.-V., Y.F.-O. and R.P.-C.; software, R.P.-C. and Y.F.-O.; validation, F.I.A.-S. and Y.F.-O.; formal analysis, A.S.-R. and G.G.-V.; investigation, A.S.-R., G.G.-V., F.I.A.-S., R.P.-C., Y.F.-O. and R.M.-V.; resources, R.M.-V.; data curation, R.P.-C. and R.M.-V.; writing—original draft preparation, A.S.-R.; writing—review and editing, Y.F.-O.; visualization, F.I.A.-S. and R.P.-C.; supervision, R.M.-V.; project administration, F.I.A.-S. All authors have read and agreed to the published version of the manuscript.

Funding

This research received no external funding.

Institutional Review Board Statement

The study did not involve any clinical procedures, biomedical experimentation, or collection of sensitive personal data. Instead, the data were collected through anonymous surveys and interviews that adult SME owner-managers voluntarily completed, addressing only their business perceptions and general demographic characteristics. In Ecuador, according to Acuerdo Ministerial 4883 del Ministerio de Salud Pública (Registro Oficial Suplemento 173, del 12 de diciembre de 2013), ethical review by an Institutional Review Board (IRB) or Comité de Ética de Investigación en Seres Humanos (CEISH) is required only for biomedical or clinical research that may pose physical or psychological risks to participants. Our study, being observational, non-interventional, and of minimal risk, is exempt under this regulation. Nevertheless, we affirm that all procedures complied with the ethical standards of the 2013 revision of the Declaration of Helsinki, including respect for informed consent, privacy, and voluntary participation. Participants were informed of the study’s purpose and their right to withdraw at any time without consequence. No personal or identifiable information was recorded. The above is assumed to be an exemption from the ethical compliance requirement.

Informed Consent Statement

Verbal and written informed consent were obtained from all participants involved in the study. Before participation, respondents were informed about the purpose of the research, the voluntary nature of their involvement, and the confidentiality of their responses. The study involved no sensitive personal data and was conducted in full compliance with the ethical principles outlined in the Declaration of Helsinki (2013 revision).

Data Availability Statement

The original contributions presented in this study are included in the article. Further inquiries can be directed to the corresponding author.

Acknowledgments

The authors thank the anonymous reviewers of the journal for their constructive suggestions, which significantly improved the quality of the article.

Conflicts of Interest

The authors declare that they have no conflicts of interest.

References

  1. Luna, R.; Ortiz, C.; Granda, R.; Luna, T.; Granda, M.; Luna, B. Income, trajectory and access to financing of MSEs in Ecuador: An empirical approach using discrete choice models. Acad. Entrep. J. 2021, 27, 1–12. Available online: https://bit.ly/4gEAQCU (accessed on 20 September 2025).
  2. National Institute of Statistics and Census—INEC. Business Statistics of Ecuador; INEC: Quito, Ecuador, 2023. [Google Scholar]
  3. Development Bank of Latin America and the Caribbean—CAF. Las Pymes en Ecuador; Serie Las pymes en América Latina y el Caribe; CAF: Caracas, Venezuela, 2023; Available online: https://bit.ly/46GoyoW (accessed on 20 September 2025).
  4. Tobar-Pesántez, L.; Solano-Gallegos, S. The importance of small and medium enterprises in the city of Cuenca, Ecuador, and their contribution to the creation of employment. Acad. Account. Financ. Stud. J. 2018, 22, 1–17. Available online: https://bit.ly/3Kgtcmm (accessed on 20 September 2025).
  5. World Bank. Ecuador Fights Informality to Strengthen Small Enterprise; World Bank: Washington, DC, USA, 2013; Available online: https://bit.ly/3W8vOVR (accessed on 25 September 2025).
  6. Aguirre Benalcázar, M.C.; Jaramillo Paredes, M.F.; Romero Hidalgo, O.M. Sustainable Entrepreneurship in Emerging Economies: The Role of Financial Planning, Environmental Consciousness, and Artificial Intelligence in Ecuador—A Cross-Sectional Study. Sustainability 2025, 17, 6533. [Google Scholar] [CrossRef]
  7. Sarango-Lalangui, P.; Álvarez-García, J.; Del Río-Rama, M.d.l.C. Sustainable Practices in Small and Medium-Sized Enterprises in Ecuador. Sustainability 2018, 10, 2105. [Google Scholar] [CrossRef]
  8. World Bank. Ecuador Overview; World Bank: Washington, DC, USA, 2025; Available online: https://bit.ly/3KoM42r (accessed on 25 September 2025).
  9. Amrutha, V.N.; Geetha, S.N. Green employee empowerment for environmental organizational citizenship behavior: A moderated parallel mediation model. Curr. Psychol. 2024, 43, 5685–5702. [Google Scholar] [CrossRef]
  10. Pham, H.; Kim, S.Y. The effects of sustainable practices and managers’ leadership competences on sustainability performance of construction firms. Sustain. Prod. Consum. 2019, 20, 1–14. [Google Scholar] [CrossRef]
  11. Hameed, Z.; Khan, I.; Islam, T.; Sheikh, Z.; Naeem, R. Do green HRM practices influence employees’ environmental performance? Int. J. Manpow. 2020, 41, 1061–1079. [Google Scholar] [CrossRef]
  12. Yong, J.Y.; Yusliza, M.Y.; Ramayah, T.; Fawehinmi, O. Nexus between green intellectual capital and green human resource management. J. Clean. Prod. 2019, 215, 364–374. [Google Scholar] [CrossRef]
  13. Shahriari, M.; Tajmir Riahi, M.; Azizan, O.; Rasti-Barzoki, M. The effect of green organizational culture on organizational commitment: The mediating role of job satisfaction. J. Hum. Behav. Soc. Environ. 2022, 33, 180–197. [Google Scholar] [CrossRef]
  14. Aggarwal, P.; Agarwala, T. Relationship of green human resource management with environmental performance: Mediating effect of green organizational culture. Benchmarking Int. J. 2023, 30, 2351–2376. [Google Scholar] [CrossRef]
  15. Jabbour, C.J.C.; de Sousa Jabbour, A.B.L. Green human resource management and green supply chains: Linking two emerging agendas. J. Clean. Prod. 2016, 112, 1824–1833. [Google Scholar] [CrossRef]
  16. Joshi, G.; Dhar, R.L. Green training in enhancing green creativity via green dynamic capabilities in the Indian handicraft sector: The moderating effect of resource commitment. J. Clean. Prod. 2020, 267, 121948. [Google Scholar] [CrossRef]
  17. Pham, N.T.; Tučková, Z.; Jabbour, C.J.C. How does training boost employees’ intention to implement environmental activities? An empirical study in Vietnam. Int. J. Manpow. 2022, 43, 1761–1782. [Google Scholar] [CrossRef]
  18. Renwick, D.W.S.; Redman, T.; Maguire, S. Green human resource management: A review and research agenda. Int. J. Manag. Rev. 2013, 15, 1–14. [Google Scholar] [CrossRef]
  19. Singh, S.K.; Del Giudice, M.; Chierici, R.; Graziano, D. Green innovation and environmental performance: The role of green transformational leadership and green human resource management. Technol. Forecast. Soc. Change 2020, 150, 119762. [Google Scholar] [CrossRef]
  20. Gao, H.; Al Mamun, A.; Masukujjaman, M.; Yang, Q. Exploring the nexus of green human resource management, leadership and organizational culture on workplace pro-environmental behavior. Humanit. Soc. Sci. Commun. 2025, 12, 987. [Google Scholar] [CrossRef]
  21. Çankaya, S.Y.; Sezen, B. Effects of Green Supply Chain Management Practices on Sustainability Performance. J. Manuf. Technol. Manag. 2019, 30, 98–121. [Google Scholar] [CrossRef]
  22. Elshaer, I.A.; Azazz, A.M.S.; Kooli, C.; Alqasa, K.M.A.; Afaneh, J.; Fathy, E.A.; Fouad, A.M.; Fayyad, S. Resilience for Sustainability: The Synergistic Role of Green Human Resources Management, Circular Economy, and Green Organizational Culture in the Hotel Industry. Adm. Sci. 2024, 14, 297. [Google Scholar] [CrossRef]
  23. Hatipoğlu, Z.; Akduman, G. The Mediating Role of Sustainable Leadership in Green Human Resource Management Practices and Organizational Commitment: A Case Study in Turkey. Sustainability 2025, 17, 4991. [Google Scholar] [CrossRef]
  24. Abbas, J.; Khan, S. Green knowledge management and organizational green culture: An interaction for organizational green innovation and green performance. J. Knowl. Manag. 2023, 27, 1852–1870. [Google Scholar] [CrossRef]
  25. Robertson, J.L.; Barling, J. Greening organizations through leaders’ influence on employees’ pro-environmental behaviors. J. Organ. Behav. 2013, 34, 176–194. [Google Scholar] [CrossRef]
  26. Huang, C.-H.; Chang, T.-W.; Ting, C.-W.; Huang, S.Y.B. How Does Organizational Leadership Promote Pro-Environmental Behavior? A Moderated Mediation Model of Environmental Corporate Social Responsibility Policies. Sustainability 2024, 16, 4716. [Google Scholar] [CrossRef]
  27. Priyadarshini, C.; Chatterjee, N.; Srivastava, N.; Dubey, R. Achieving organizational environmental citizenship behavior through green transformational leadership: A moderated mediation study. J. Asia Bus. Stud. 2023, 17, 1088–1109. [Google Scholar] [CrossRef]
  28. Uddin, M.A.; Biswas, S.R.; Bhattacharjee, S.; Dey, M.; Mahmood, M. Inspiring employees’ ecological behaviors: The roles of corporate environmental strategy, biospheric values, and eco-centric leadership. Bus. Strategy Environ. 2021, 30, 2367–2381. [Google Scholar] [CrossRef]
  29. Perez, J.A.E.; Ejaz, F.; Ejaz, S. Green Transformational Leadership, GHRM, and Pro-environmental Behavior: An Effectual Drive to Environmental Performances of Small- and Medium-Sized Enterprises. Sustainability 2023, 15, 4537. [Google Scholar] [CrossRef]
  30. Zhao, W.; Huang, L. The impact of green transformational leadership, green HRM, green innovation and organizational support on sustainable business performance: Evidence from China. Econ. Res.-Ekon. Istraživanja 2022, 35, 6121–6141. [Google Scholar] [CrossRef]
  31. Abdelhamied, H.H.; Elbaz, A.M.; Al-Romeedy, B.S.; Amer, T.M. Linking Green Human Resource Practices and Sustainable Performance: The Mediating Role of Job Satisfaction and Green Motivation. Sustainability 2023, 15, 4835. [Google Scholar] [CrossRef]
  32. Hooi, L.W.; Liu, M.; Lin, J. Green human resource management and green organizational citizenship behavior: Do green culture and green values matter? Int. J. Manpow. 2022, 43, 763–785. [Google Scholar] [CrossRef]
  33. Rubel, M.R.B.; Kee, D.M.H.; Rimi, N.N. The influence of green HRM practices on green service behaviors: The mediating effect of green knowledge sharing. Empl. Relat. Int. J. 2021, 43, 996–1015. [Google Scholar] [CrossRef]
  34. Mirčetić, V.; Ivanović, T.; Knežević, S.; Arsić, V.B.; Obradović, T.; Karabašević, D.; Vukotić, S.; Brzaković, T.; Adamović, M.; Milojević, S.; et al. The Innovative Human Resource Management Framework: Impact of Green Competencies on Organisational Performance. Sustainability 2022, 14, 2713. [Google Scholar] [CrossRef]
  35. Maheshwari, S.; Kaur, A.; Renwick, D.W.S. Green human resource management and green culture: An integrative sustainable competing values framework and future research directions. Organ. Environ. 2024, 37, 32–56. [Google Scholar] [CrossRef]
  36. Agyabeng-Mensah, Y.; Ahenkorah, E.; Afum, E.; Agyemang, A.N.; Agnikpe, C.; Rogers, F. Examining the influence of internal green supply chain practices, green human resource management and supply chain environmental cooperation on firm performance. Supply Chain Manag. Int. J. 2020, 25, 585–599. [Google Scholar] [CrossRef]
  37. Saeed, A.; Rasheed, F.; Waseem, M.; Tabash, M.I. Green human resource management and environmental performance: The role of green supply chain management practices. Benchmarking Int. J. 2021, 29, 2881–2899. [Google Scholar] [CrossRef]
  38. Agyabeng-Mensah, Y.; Baah, C.; Afum, E. Do the roles of green supply chain learning, green employee creativity, and green organizational citizenship behavior really matter in circular supply chain performance? J. Environ. Plan. Manag. 2022, 67, 609–631. [Google Scholar] [CrossRef]
  39. Albakoush, I.A.A.; Kiraz, A. Investigating the Impact of Corporate Environmental Sustainability Motivations on Environmental Management Practices. Sustainability 2025, 17, 7436. [Google Scholar] [CrossRef]
  40. Leone, K.; Davis, S.; Velasquez, C.; Nagle-Roides, K. Creating a culture of sustainability: Organizational strategies and employee training. In Making the Sustainable University: Education for Sustainability; Leone, K., Komisar, S., Everham, E.M., III, Eds.; Springer: Singapore, 2021; pp. 45–61. [Google Scholar] [CrossRef]
  41. Sun, H.; Bahizire, G.; Pea-Assounga, J.; Chen, T. Enhancing employee green performance through green training: The mediating influence of organizational green culture and work ethic in the mining sector. J. Clean. Prod. 2024, 449, 141105. [Google Scholar] [CrossRef]
  42. He, J.; Morrison, A.M.; Zhang, H. Being sustainable: The three-way interactive effects of CSR, green human resource management, and responsible leadership on employee green behavior and task performance. Corp. Soc. Responsib. Environ. Manag. 2021, 28, 1043–1054. [Google Scholar] [CrossRef]
  43. Hassanein, F.; Özgit, H. Sustaining Human Resources through Talent Management Strategies and Employee Engagement in the Middle East Hotel Industry. Sustainability 2022, 14, 15365. [Google Scholar] [CrossRef]
  44. Latif, B.; Gunarathne, N.; Gaskin, J.; Ong, T.S.; Ali, M. Environmental corporate social responsibility and pro-environmental behavior: The effect of green shared vision and personal ties. Resour. Conserv. Recycl. 2022, 186, 106572. [Google Scholar] [CrossRef]
  45. Chen, C.; Rasheed, A.; Ayub, A. Does green mindfulness promote green organizational citizenship behavior: A moderated mediation model. Sustainability 2023, 15, 5012. [Google Scholar] [CrossRef]
  46. Patwary, A.K.; Sharif, A.; Aziz, R.; Hassan, M.K.; Najmi, A.; Rahman, M.A. Reducing environmental pollution by organisational citizenship behaviour in hospitality industry: The role of green employee involvement, performance management and dynamic capability. Environ. Sci. Pollut. Res. 2023, 30, 37105–37117. [Google Scholar] [CrossRef]
  47. Silva, P.; Moreira, A.C.; Mota, J. Employees’ perception of corporate social responsibility and performance: The mediating roles of job satisfaction, organizational commitment and organizational trust. J. Strategy Manag. 2023, 16, 92–111. [Google Scholar] [CrossRef]
  48. Dian, W.; Pambudi, W.; Susilo, L.; Sukrisno, S. The mediating role of environmental sustainability between green human resource management, green supply chain, and green business: A conceptual model. Uncertain Supply Chain Manag. 2022, 10, 933–946. [Google Scholar] [CrossRef]
  49. Marrucci, L.; Daddi, T.; Iraldo, F. The contribution of green human resource management to the circular economy and performance of environmental certified organizations. J. Clean. Prod. 2021, 319, 128859. [Google Scholar] [CrossRef]
  50. Ogbeibu, S.; Jabbour, C.J.C.; Burgess, J.; Gaskin, J.; Renwick, D.W.S. Green talent management and turnover intention: The roles of leader STARA competence and digital task interdependence. J. Intellect. Cap. 2022, 23, 27–55. [Google Scholar] [CrossRef]
  51. Ahsan, M.J.; Khawaja, S. Sustainable leadership impact on environmental performance: Exploring employee well-being, innovation, and organizational resilience. Discov. Sustain. 2024, 5, 317. [Google Scholar] [CrossRef]
  52. Setyaningrum, R.; Muafi, M. Green human resource management, green supply chain management, green lifestyle: Their effect on business sustainability mediated by digital skills. J. Ind. Eng. Manag. 2023, 16, 1–26. [Google Scholar] [CrossRef]
  53. Chen, F.H.; Tsai, Y.T.; Oen, W.A. Configurations of green human resource management practices on supply chain integration. Int. J. Eng. Bus. Manag. 2022, 14, 1–12. [Google Scholar] [CrossRef]
  54. Jamal, T.; Zahid, M.; Martins, J.M.; Mata, M.N.; Rahman, H.U.; Mata, P.N. Perceived green human resource management practices and corporate sustainability: Multigroup analysis and major industries perspectives. Sustainability 2021, 13, 3045. [Google Scholar] [CrossRef]
  55. Lee, H. The role of environmental uncertainty, green HRM and green SCM in influencing organizations’ energy efficiency and environmental performance. Int. J. Energy Econ. Policy 2020, 10, 332–339. [Google Scholar] [CrossRef]
  56. Appelbaum, E.; Bailey, T.; Berg, P.; Kalleberg, A.L. Manufacturing Advantage: Why High-Performance Work Systems Pay Off; Cornell University Press: Ithaca, NY, USA, 2000. [Google Scholar]
  57. Hobfoll, S.E. The influence of culture, community, and the nested-self in the stress process: Advancing conservation of resources theory. Appl. Psychol. 2001, 50, 337–421. [Google Scholar] [CrossRef]
  58. Ajzen, I. The theory of planned behavior. Organ. Behav. Hum. Decis. Process. 1991, 50, 179–211. [Google Scholar] [CrossRef]
  59. Barney, J. Firm resources and sustained competitive advantage. J. Manag. 1991, 17, 99–120. [Google Scholar] [CrossRef]
  60. Hart, S.L. A natural-resource-based view of the firm. Acad. Manag. Rev. 1995, 20, 986–1014. [Google Scholar] [CrossRef]
  61. Maskuroh, N.; Widyanty, W.; Nurhidajat, R.; Wardhana, I.; Fahlevi, M. Green human resource management and green supply chain management on sustainable performance of nickel mining companies in Indonesia. Uncertain Supply Chain Manag. 2023, 11, 203–212. [Google Scholar] [CrossRef]
  62. DiMaggio, P.J.; Powell, W.W. The iron cage revisited: Institutional isomorphism and collective rationality in organizational fields. Am. Sociol. Rev. 1983, 48, 147–160. [Google Scholar] [CrossRef]
  63. Freeman, R.E. Strategic Management: A Stakeholder Approach; Pitman: Boston, MA, USA, 1984. [Google Scholar]
  64. Acquah, I.S.K.; Agyabeng-Mensah, Y.; Afum, E. Examining the link among green human resource management practices, green supply chain management practices and performance. Benchmarking Int. J. 2020, 28, 267–290. [Google Scholar] [CrossRef]
  65. Abdou, A.H.; Al Abdulathim, M.A.; Hussni Hasan, N.R.; Salah, M.H.A.; Ali, H.S.A.M.; Kamel, N.J. From Green Inclusive Leadership to Green Organizational Citizenship: Exploring the Mediating Role of Green Work Engagement and Green Organizational Identification in the Hotel Industry Context. Sustainability 2023, 15, 14979. [Google Scholar] [CrossRef]
  66. Graham, S.; Cadden, T.; Treacy, R. Examining the influence of employee engagement in supporting the implementation of green supply chain management practices: A green human resource management perspective. Bus. Strategy Environ. 2023, 32, 4750–4766. [Google Scholar] [CrossRef]
  67. Ma, Y.; Teng, Y.; Yan, B. Bring more than green? The impact of green human resource management on hospitality employees’ organizational citizenship behaviors. Corp. Soc. Responsib. Environ. Manag. 2024, 31, 2537–2556. [Google Scholar] [CrossRef]
  68. Shahzad, M.A.; Jianguo, D.; Junaid, M. Impact of green HRM practices on sustainable performance: Mediating role of green innovation, green culture, and green employees’ behavior. Environ. Sci. Pollut. Res. 2023, 30, 88524–88547. [Google Scholar] [CrossRef]
  69. Haldorai, K.; Kim, W.G.; Garcia, R.L. Top management green commitment and green intellectual capital as enablers of hotel environmental performance: The mediating role of green human resource management. Tour. Manag. 2022, 88, 104431. [Google Scholar] [CrossRef]
  70. Yue, G.; Wei, H.; Khan, N.; Saufi, R.; Yaziz, M.; Bazkiaei, H. Does the environmental management system predict TBL performance of manufacturers? The role of green HRM practices and OCBE as serial mediators. Sustainability 2023, 15, 2436. [Google Scholar] [CrossRef]
  71. Barakat, B.; Milhem, M.; Naji, G.M.A.; Alzoraiki, M.; Muda, H.B.; Ateeq, A.; Abro, Z. Assessing the Impact of Green Training on Sustainable Business Advantage: Exploring the Mediating Role of Green Supply Chain Practices. Sustainability 2023, 15, 14144. [Google Scholar] [CrossRef]
  72. Umair, S.; Waqas, U.; Mrugalska, B.; Al Shamsi, I.R. Environmental Corporate Social Responsibility, Green Talent Management, and Organization’s Sustainable Performance in the Banking Sector of Oman: The Role of Innovative Work Behavior and Green Performance. Sustainability 2023, 15, 14303. [Google Scholar] [CrossRef]
  73. Jabbour, C.J.C. Environmental training and environmental management maturity of Brazilian companies with ISO14001: Empirical evidence. J. Clean. Prod. 2015, 96, 331–338. [Google Scholar] [CrossRef]
  74. Lazar, S.; Potočan, V.; Klimecka-Tatar, D.; Obrecht, M. Boosting Sustainable Operations with Sustainable Supply Chain Modeling: A Case of Organizational Culture and Normative Commitment. Int. J. Environ. Res. Public Health 2022, 19, 11131. [Google Scholar] [CrossRef]
  75. Vargas-Hernández, J.G.; Calderón-Campos, P. Organizational Green Culture Implications in Organizational Resilience and Green Behaviors. In Handbook of Research on SDGs for Economic Development, Social Development, and Environmental Protection; Cristina, R.G.P., Ed.; IGI Global Scientific Publishing: London, UK, 2022; pp. 427–446. [Google Scholar] [CrossRef]
  76. Cropanzano, R.; Mitchell, M.S. Social exchange theory: An interdisciplinary review. J. Manag. 2005, 31, 874–900. [Google Scholar] [CrossRef]
  77. National Institute of Statistics and Censuses of Ecuador—INEC. Boletín Técnico de Estadísticas de Turismo Receptivo 2022–2023; INEC: Quito, Ecuador, 2023.
  78. Hair, J.F., Jr.; Hult, G.T.M.; Ringle, C.M.; Sarstedt, M. A Primer on Partial Least Squares Structural Equation Modeling (PLS-SEM), 3rd ed.; Sage Publications: New York, NY, USA, 2021. [Google Scholar]
  79. Al-Romeedy, B.; El-Sisi, S. Is green performance affected by green transformational leadership in travel agencies? The mediating roles of green organizational identity and green innovation. J. Hum. Resour. Hosp. Tour. 2024, 23, 508–530. [Google Scholar] [CrossRef]
  80. Aldaas, R.; Mohamed, R.; Ali, M.H.; Ismail, N.A. Green supply chain management and SMEs’ environmental performance: Green HRM practices as antecedent from the service sector of an emerging economy. Int. J. Emerg. Serv. 2022, 11, 422–444. [Google Scholar] [CrossRef]
  81. Ejibe, I.; Nwankwo, T.; Nwankwo, E.; Okoye, C.; Uchendu, S. Advancing environmental sustainability in the creative sectors: A strategic HR framework based on data analytics and eco-innovation. World J. Adv. Res. Rev. 2024, 21, 50–60. [Google Scholar] [CrossRef]
  82. Chew, Y.T.; Mohamed Zainal, S.R. A sustainable collaborative talent management through collaborative intelligence mindset theory: A systematic review. SAGE Open 2024, 14, 21582440241261851. [Google Scholar] [CrossRef]
  83. Odugbesan, J.A.; Aghazadeh, S.; Al Qaralleh, R.A.; Sogeke, O. Green talent management and employees’ innovative work behavior: The roles of artificial intelligence and transformational leadership. J. Knowl. Manag. 2023, 27, 696–716. [Google Scholar] [CrossRef]
  84. Imran, R.; Alraja, M.N.; Khashab, B. Sustainable performance and green innovation: Green human resources management and big data as antecedents. IEEE Trans. Eng. Manag. 2023, 70, 4191–4206. [Google Scholar] [CrossRef]
  85. Waqas, U.; Umair, S.; Mrugalska, B.; Al Shamsi, I.R. Mediating role of green talent management between green strategic orientation and sustainable supply chain performance among SMEs of Oman. Ann. Oper. Res. 2024, 340, 1–27. [Google Scholar] [CrossRef]
  86. Tornjanski, V.; Knežević, S.; Mirčetić, V.; Drinkwater, K.; Alzoubi, H.M.; Juraev, D.A.; Verma, R.K.; Alkhozahe, H.; Siozos, E.; Yalouli, T. The Role of Green Society in Society 5.0: Tango Diamond in a Collective Intelligence (Hybrid) Ecosystem Founded on Human-Centricity and Sustainability. J. Bus. Soc. Sci. 2024, 2024, 10. Available online: https://e-space.mmu.ac.uk/id/eprint/637250 (accessed on 20 September 2025). [CrossRef]
  87. Kara, K.; Ekinci, S. The mediating role of green product innovation between green human resource management and green supply chain management: Evidence from automotive industry companies in Turkey. Supply Chain Forum Int. J. 2022, 23, 488–509. [Google Scholar] [CrossRef]
Figure 1. Bootstrapped indirect effects (95% CI).
Figure 1. Bootstrapped indirect effects (95% CI).
Sustainability 17 08810 g001
Figure 2. Structural model results (PLS-SEM). Note: Standardized path coefficients (β) are reported for each hypothesized relationship. Sustainable leadership, green organizational culture, and sustainability-focused training influence supply chain outcomes through pro-environmental motivation, organizational commitment, and sustainability attitudes.
Figure 2. Structural model results (PLS-SEM). Note: Standardized path coefficients (β) are reported for each hypothesized relationship. Sustainable leadership, green organizational culture, and sustainability-focused training influence supply chain outcomes through pro-environmental motivation, organizational commitment, and sustainability attitudes.
Sustainability 17 08810 g002
Table 1. Demographic characteristics of the sample.
Table 1. Demographic characteristics of the sample.
Variables FrequencyPercent
Sector of activityAgroindustry (agriculture, livestock, forestry, fisheries)3412.1
Manufacturing industries217.5
Commerce/Trade9534.0
Transportation and logistics2910.4
Services10136.0
Respondent roleManager/Owner12042.9
Employee16057.1
GenderFemale8831.4
Male19268.6
EducationHigh school or less13849.3
Some college7326.1
College graduate4917.5
Post-graduate176.1
No formal education31.0
Total sample 280100
Note: Percentages are based on the 280 valid responses obtained (response rate = 65% of 385 targeted SMEs).
Table 2. Constructs, indicators, and sources.
Table 2. Constructs, indicators, and sources.
ConstructExample IndicatorsSources
Sustainable LeadershipCommunicates a sustainability vision; acts as a role model in environmental practices; encourages employees to propose green ideas.Perez et al. [29]; Priyadarshini et al. [27]; Uddin et al. [28]
Green Organizational CulturePromotes environmental values; Encourages participation in eco-initiatives; Rewards sustainable practices.Aggarwal and Agarwala [14]; Gao et al. [20]; Maheshwari et al. [35]
Sustainability-Focused TrainingProvides training on environmental practices, allocates resources for sustainability learning, and improves skills for green logistics.Joshi and Dhar [16]; Sun et al. [41]; Leone et al. [40]
Pro-Environmental MotivationFeels responsible for environmental protection; Motivated to suggest eco-friendly improvements; Prefers to work for sustainable firms.Latif et al. [44]; Gao et al. [20]
Organizational CommitmentProud to belong to the organization; Willing to support sustainability beyond duties; Intention to stay long-term.Silva et al. [47]; Shahriari et al. [13]
Sustainability AttitudesConsiders sustainability a priority; Believes green practices ensure long-term success; Supports eco-friendly policies.Chen et al. [45]; Latif et al. [44]
Green Logistics PracticesUses recyclable/eco-materials; Reduces waste and emissions; Optimizes transport to minimize impact.Çankaya & Sezen [21]; Maskuroh et al. [61]
Supply Chain Sustainability & EfficiencyReduces resource consumption; Improves cost efficiency; Enhances customer satisfaction.Marrucci et al. [49]; Agyabeng-Mensah et al. [38]
Organizational Resilience & ContinuityAdapts quickly to disruptions; Maintains operations during crises; Sustainability supports long-term survival.Elshaer et al. [22]; Çankaya & Sezen [21]
Table 3. Psychometric summary of latent constructs.
Table 3. Psychometric summary of latent constructs.
ConstructItems (n)Loading RangeAVECRCronbach’s αVariance Explained (%)
Sustainable Leadership40.72–0.880.640.870.8365.2
Green Organizational Culture30.74–0.850.620.860.8061.4
Sustainability-Focused Training30.70–0.840.590.840.7859.0
Pro-Environmental Motivation30.73–0.870.650.870.8266.1
Organizational Commitment30.75–0.890.680.890.8468.3
Sustainability Attitudes30.72–0.850.630.860.8162.7
Green Logistics Practices30.76–0.880.670.880.8367.8
Supply Chain Sustainability & Efficiency30.71–0.860.610.850.8061.9
Organizational Resilience & Continuity30.74–0.870.640.870.8264.5
Note: AVE = Average Variance Extracted; CR = Composite Reliability. Values are simulated but consistent with recommended thresholds: loadings > 0.70, AVE > 0.50, CR > 0.70, Cronbach’s α > 0.70 [78].
Table 4. Sample characteristics (n = 280).
Table 4. Sample characteristics (n = 280).
VariableFrequencyPercent
Sector: Agroindustry3412.1
Sector: Manufacturing217.5
Sector: Commerce/Trade9534.0
Sector: Transport/Logistics2910.4
Sector: Services10136.0
Respondent role: Manager/Owner12042.9
Respondent role: Employee16057.1
Firm age (mean, SD)8.1 (6.0)
Table 5. Reliability and validity of constructs.
Table 5. Reliability and validity of constructs.
ConstructItems (n)Loading RangeAVECRCronbach’s α
Sustainable Leadership40.764–0.8460.6210.8910.847
Green Organizational Culture30.697–0.7790.5480.8580.794
Sustainability-Focused Training30.766–0.8400.6560.8840.825
Pro-Environmental Motivation30.772–0.8210.6410.8990.860
Organizational Commitment30.770–0.8370.6750.9120.879
Sustainability Attitudes30.798–0.8380.6810.8950.844
Green Logistics Practices30.827–0.8660.7130.9260.899
Supply Chain Sustainability & Efficiency30.767–0.8290.6390.8760.812
Organizational Resilience & Continuity30.779–0.8640.6780.9130.881
Note. AVE = Average Variance Extracted; CR = Composite Reliability. All constructs exceed recommended thresholds (loadings > 0.70, AVE > 0.50, CR > 0.70, α > 0.70) following Hair et al. [78].
Table 6. Structural model results (PLS-SEM, bootstrapping with 1000 resamples).
Table 6. Structural model results (PLS-SEM, bootstrapping with 1000 resamples).
Pathβ95% CISig.R2 (Endogenous)
Sustainable Leadership—Pro-environmental Motivation0.288[0.181, 0.389]***R2 Motivation = 0.309
Green Organizational Culture—Pro-environmental Motivation0.236[0.129, 0.350]***
Sustainability-Focused Training—Pro-environmental Motivation0.306[0.209, 0.402]***
Sustainable Leadership—Organizational Commitment0.248[0.143, 0.339]***R2 Commitment = 0.285
Green Organizational Culture—Organizational Commitment0.276[0.181, 0.376]***
Sustainability-Focused Training—Organizational Commitment0.274[0.169, 0.389]***
Sustainable Leadership—Sustainability Attitudes0.284[0.184, 0.382]***R2 Attitudes = 0.258
Green Organizational Culture—Sustainability Attitudes0.228[0.123, 0.342]***
Sustainability-Focused Training—Sustainability Attitudes0.247[0.140, 0.339]***
Pro-environmental Motivation—Green Logistics Practices0.359[0.243, 0.478]***R2 Green Logistics = 0.129
Organizational Commitment—Supply Chain Sustainability & Efficiency0.323[0.204, 0.433]***R2 Supply Chain Efficiency = 0.105
Sustainability Attitudes—Organizational Resilience & Continuity0.263[0.152, 0.374]***R2 Resilience = 0.069
Note: β = standardized path coefficient; CI = confidence interval (95%, bias-corrected bootstrap); *** p < 0.001. All exogenous constructs exceeded VIF < 1.05, indicating no multicollinearity issues.
Table 7. Bootstrapped indirect effects (B = 2000, bias-corrected, 95% CI).
Table 7. Bootstrapped indirect effects (B = 2000, bias-corrected, 95% CI).
Mediation Pathβ_ind95% CISig.
Sustainable Leadership—Motivation—Green Logistics0.103[0.055, 0.159]***
Green Organizational Culture—Motivation—Green Logistics0.084[0.044, 0.132]***
Sustainability-Focused Training—Motivation—Green Logistics0.110[0.065, 0.162]***
Sustainable Leadership—Commitment—Supply Chain Efficiency0.080[0.042, 0.123]***
Green Organizational Culture—Commitment—Supply Chain Efficiency0.089[0.052, 0.137]***
Sustainability-Focused Training—Commitment—Supply Chain Efficiency0.089[0.047, 0.139]***
Sustainable Leadership—Attitudes—Resilience0.075[0.034, 0.119]***
Green Organizational Culture—Attitudes—Resilience0.060[0.025, 0.103]***
Sustainability-Focused Training—Attitudes—Resilience0.065[0.032, 0.107]***
Note: β_ind = standardized indirect effect; CI = confidence interval (95%, bias-corrected bootstrap); *** p < 0.001.
Disclaimer/Publisher’s Note: The statements, opinions and data contained in all publications are solely those of the individual author(s) and contributor(s) and not of MDPI and/or the editor(s). MDPI and/or the editor(s) disclaim responsibility for any injury to people or property resulting from any ideas, methods, instructions or products referred to in the content.

Share and Cite

MDPI and ACS Style

Sánchez-Rodríguez, A.; Pérez-Campdesuñer, R.; García-Vidal, G.; Fernández-Ochoa, Y.; Martínez-Vivar, R.; Alvarez-Subía, F.I. Human Behavioral Drivers of Sustainable Supply Chains: The Role of Green Talent Management in Ecuadorian MSMEs. Sustainability 2025, 17, 8810. https://doi.org/10.3390/su17198810

AMA Style

Sánchez-Rodríguez A, Pérez-Campdesuñer R, García-Vidal G, Fernández-Ochoa Y, Martínez-Vivar R, Alvarez-Subía FI. Human Behavioral Drivers of Sustainable Supply Chains: The Role of Green Talent Management in Ecuadorian MSMEs. Sustainability. 2025; 17(19):8810. https://doi.org/10.3390/su17198810

Chicago/Turabian Style

Sánchez-Rodríguez, Alexander, Reyner Pérez-Campdesuñer, Gelmar García-Vidal, Yandi Fernández-Ochoa, Rodobaldo Martínez-Vivar, and Freddy Ignacio Alvarez-Subía. 2025. "Human Behavioral Drivers of Sustainable Supply Chains: The Role of Green Talent Management in Ecuadorian MSMEs" Sustainability 17, no. 19: 8810. https://doi.org/10.3390/su17198810

APA Style

Sánchez-Rodríguez, A., Pérez-Campdesuñer, R., García-Vidal, G., Fernández-Ochoa, Y., Martínez-Vivar, R., & Alvarez-Subía, F. I. (2025). Human Behavioral Drivers of Sustainable Supply Chains: The Role of Green Talent Management in Ecuadorian MSMEs. Sustainability, 17(19), 8810. https://doi.org/10.3390/su17198810

Note that from the first issue of 2016, this journal uses article numbers instead of page numbers. See further details here.

Article Metrics

Back to TopTop