The Practice of the Construction of China’s Core Concept of Ecological Civilization: The Coordinated Development of the Environment and Economy
Abstract
1. Introduction
2. Materials and Methods
2.1. Index System
2.2. Data Sources and Preprocessing
2.3. Weight Determination
2.4. DEE
3. Results
3.1. National Status
3.1.1. National Comprehensive Evaluation Scores
3.1.2. National Coordinated Development Status
3.2. Regional Status
3.2.1. Regional Comprehensive Evaluation Scores
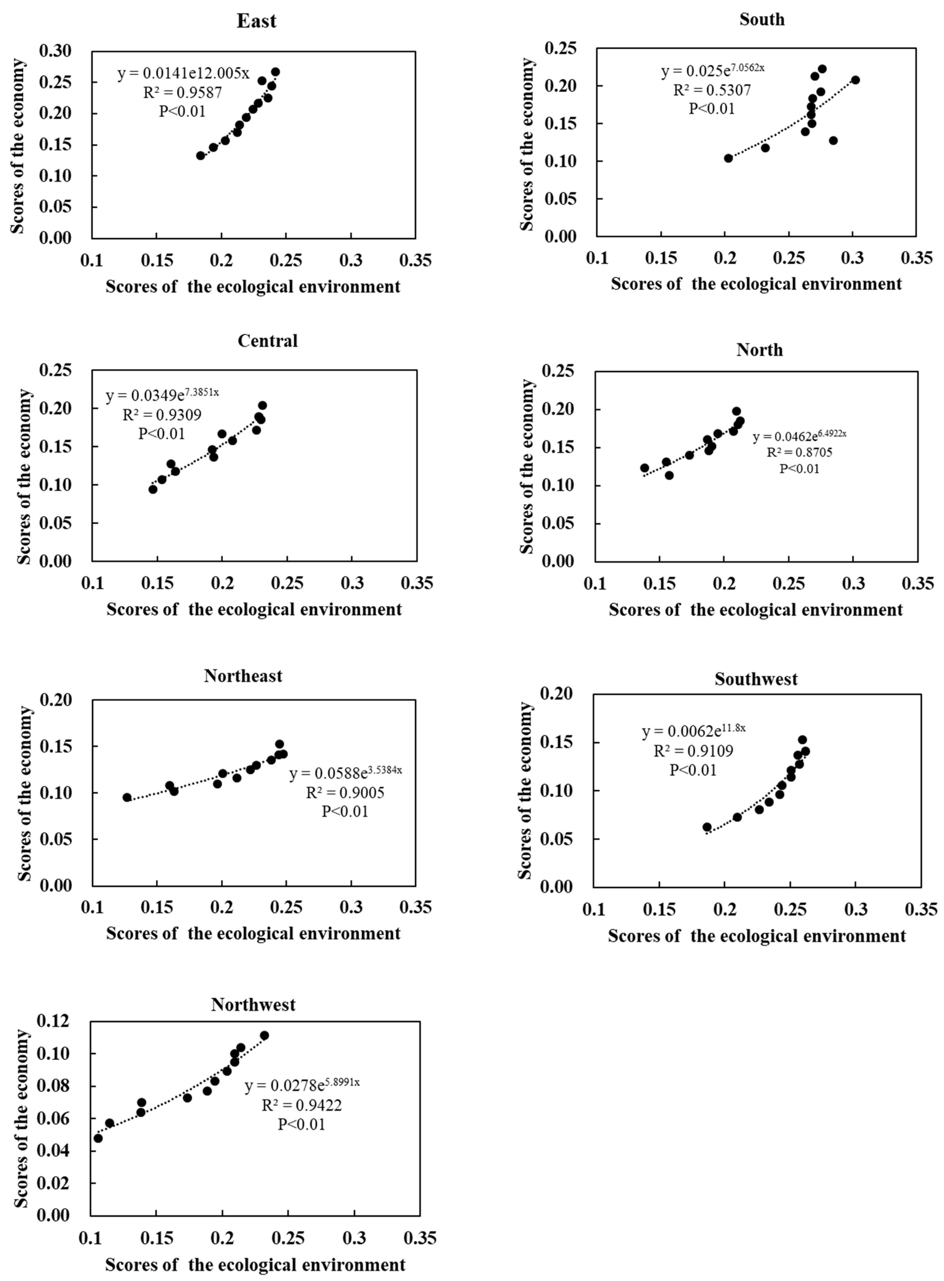
3.2.2. Regional Coordinated Development Status
3.3. Influencing Factors
3.3.1. Effect of Emission Reduction
- (1)
- National level
- (2)
- Regional level
3.3.2. Effect of Resource Conservation
- (1)
- National level
- (2)
- Regional level
4. Discussion
4.1. Development Status
4.2. Coordinated Development Status
4.3. Regional Differences
4.4. Limitations and Future Research Goals
5. Conclusions
5.1. Conclusions
5.2. Recommendations
Author Contributions
Funding
Institutional Review Board Statement
Informed Consent Statement
Data Availability Statement
Conflicts of Interest
References
- Zhang, H.; Geng, C.; Wei, J. Coordinated development between green finance and environmental performance in China: The spatial-temporal difference and driving factors. J. Clean. Prod. 2022, 346, 131150. [Google Scholar] [CrossRef]
- Ge, Y.; Hu, S.; Song, Y.; Zheng, H.; Liu, Y.; Ye, X.; Ma, T.; Liu, M.; Zhou, C. Sustainable poverty reduction models for the coordinated development of the social economy and environment in China. Sci. Bull. 2023, 68, 2236–2246. [Google Scholar] [CrossRef]
- Ye, R.; Wu, H.; Hu, A.; Mi, Z.; Bian, M. High-quality Development and the “Two Mountains” Conversion: Measurement and Spatio-temporal Evolution. Ecol. Econ. 2023, 39, 211–221, (In Chinese with English Abstract). [Google Scholar]
- Chen, Y. A Study on the Measurement and Prediction of the Coupling and Coordination Relationship Between Ecological Environment and High—Quality Economic Development. Master’s Thesis, Hebei University, Baoding, China, 2024. [Google Scholar]
- You, J.; Chen, Q. A Study on the Measurement of the “Two Mountains” Conversion Index and Spatial Distribution Characteristics across China. Guizhou Soc. Sci. 2024, 10, 120–128, (In Chinese with English Abstract). [Google Scholar]
- Dang, D.; Li, X.; Lyu, X.; Liu, S.; Dou, H.; Li, M.; Wang, K.; Cao, W. Changing of the coordination of socioeconomic development and the environment as sustainable development progresses. Geo. Sus 2025, 6, 100245. [Google Scholar] [CrossRef]
- Ni, L.; Liang, Y. Measuring the Effects of the “Two Mountains” Practice and Its Spatio-Temporal Succession in the Yangtze River Economic Belt. Resour. Dev. Mark. 2022, 38, 1451–1460, (In Chinese with English Abstract). [Google Scholar]
- Cheng, J.; Liu, S.; Huang, C.; Wang, L.; Liu, Z.; Peng, C. Impacts of environmental and socioeconomic factors on gross ecosystem product of the Three Gorges reservoir area, China. Land. Degrad. Dev. 2024, 35, 2824–2839. [Google Scholar] [CrossRef]
- Qian, L.; Cheng, Y. A Study on the Spatio-Temporal Evolution of the Synergistic Development of Eco-Environment and High-Quality Economy in the Yangtze River Delta. J. Zhejiang Shuren Univ. 2024, 24, 77–85, (In Chinese with English Abstract). [Google Scholar]
- Huang, Y.; Li, Y.; Sheng, M.; Li, T.; Shao, J.; Zhao, W. Coupling Response of Ecosystem Service Value to Human Activity Intensity in Mountainous Areas: A Case Study of the Three Gorges Reservoir Hinterland, China. Land. Degrad. Dev. 2025, 36, 1356–1370. [Google Scholar] [CrossRef]
- Gao, Z.; Cheng, L.; Zhang, X. Evaluation of the Coupling and Coordinated Development Level of Economy, Ecology and Water Resources in the Yellow River Basin. Stat. Decis. Mak. 2022, 38, 123–127. (In Chinese) [Google Scholar]
- Zhang, X.; Dong, Y. A Study on the Carrying Capacity and Coupling and Coordinated Development of Economy-Resources-Environment System in the Yellow River Basin. Theory Pract. 2023, 10, 22–29, (In Chinese with English Abstract). [Google Scholar]
- Gui, C.; Liu, P.; Chen, Q.; Li, Y. Analysis on the Coupling and Coordinated Development of Resources, Environment and Economy in the Yellow River Basin. J. Chang. Univ. Sci. Technol. (Soc. Sci. Ed.) 2024, 37, 87–93+144. (In Chinese) [Google Scholar]
- Li, J.; Pan, J.; Feng, F.; Xu, P.; Liu, C. Analysis of the Coupling and Coordinated Development and Restrictive Factors of Population-Water Resources-Economy-Ecological Environment Systems in Nine Provinces (Regions) of the Yellow River Basin. J. Water. Resour. Water. Eng. 2024, 35, 47–56, (In Chinese with English Abstract). [Google Scholar]
- National Development and Reform Commission; Ministry of Finance; former Ministry of Land and Resources; former Ministry of Water Resources; former Ministry of Agriculture; former State Forestry Administration. Pilot National Ecological Civilization Demonstration Zone Construction Plan (Trial). Beijing, China. 2013. Available online: https://www.ndrc.gov.cn/xxgk/zcfb/tz/201312/t20131213_963991.html (accessed on 3 June 2025).
- National Development and Reform Commission; National Bureau of Statistics (NBS); former Ministry of Environmental Protection (MEP); Organization Department of the CPC Central Committee. Green Development Index System. Beijing, China. 2016. Available online: https://www.ndrc.gov.cn/fggz/hjyzy/stwmjs/201612/t20161222_1161174_ext.html (accessed on 3 June 2025).
- National Development and Reform Commission, National Bureau of Statistics, former Ministry of Environmental Protection, and Organization Department of the CPC Central Committee, among other departments. Ecological Civilization Construction Assessment Target System. Beijing, China. 2016. Available online: https://www.ndrc.gov.cn/fggz/hjyzy/stwmjs/201612/t20161222_1161174_ext.html (accessed on 3 June 2025).
- National Development and Reform Commission. Beautiful China Construction Assessment Index System. Beijing, China. 2020. Available online: https://www.gov.cn/zhengce/zhengceku/2020-03/07/content_5488275.htm (accessed on 3 June 2025).
- Ministry of Ecology and Environment. National Ecological Civilization Construction Demonstration Zone (City) Construction Index. Beijing, China. 2024. Available online: https://www.mee.gov.cn/xxgk2018/xxgk/xxgk05/202402/t20240218_1066210.html (accessed on 3 June 2025).
- Li, Y.; Li, Y.; Zhou, Y.; Shi, Y.; Zhu, X. Investigation of a coupling model of coordination between urbanization and the environment. J. Environ. Manage. 2012, 98, 127–133. [Google Scholar] [CrossRef] [PubMed]
- Chen, Y.; Zhao, L. Exploring the relation between the industrial structure and the ecoenvironment based on an integrated approach: A case study of Beijing, China. Ecol. Indic. 2019, 103, 83–93. [Google Scholar] [CrossRef]
- Liu, J.; Tian, Y.; Huang, K.; Yi, T. Spatial-temporal differentiation of the coupling coordinated development of regional energy-economy-ecology system: A case study of the Yangtze River Economic Belt. Ecol. Indic. 2021, 124, 107394. [Google Scholar] [CrossRef]
- Liang, L.; Zhang, F.; Wu, F.; Chen, Y.; Qin, K. Coupling coordination degree spatial analysis and driving factor between socio-economic and eco-environment in northern China. Ecol. Indic. 2022, 135, 108555. [Google Scholar]
- Han, D.; Yu, D.; Qiu, J. Assessing coupling interactions in a safe and just operating space for regional sustainability. Nat. Commun. 2023, 14, 1369. [Google Scholar] [CrossRef]
- Wang, J.; Wang, Z.; Li, K.; Li, C.; Wen, F.; Shi, Z. Factors affecting phase change in coupling coordination between population, crop yield, and soil erosion in China’s 281 cities. Land Use Policy 2023, 132, 106761. [Google Scholar] [CrossRef]
- Zhang, Z.; Qi, J.; Wang, Q.; Wang, S.; Hu, F. Analysis and forecast of the coupled development level of socioeconomy ecological environment and tourism in China’s Yellow River Basin. Sci. Rep. 2025, 15, 5446. [Google Scholar] [CrossRef]
- Kong, W.; Ren, L.; Wang, S.; Liu, Y. Spatial and temporal evolution of the ecological environment and economy coordinated development in Hebei Province, China. J. Appl. Ecol. 2016, 27, 2941–2949. [Google Scholar]
- Yang, Y.; Hu, N. The spatial and temporal evolution of coordinated ecological and socioeconomic development in the provinces along the Silk Road Economic Belt in China. Sustain. Cities Soc. 2019, 47, 101466. [Google Scholar] [CrossRef]
- Niu, Y.; Wang, S. Research of the coupling relationship between the vulnerable ecological environment and poverty in Gansu Province. Acta. Eco. Sin. 2017, 37, 6431–6439. [Google Scholar][Green Version]
- Dong, H.; Liu, Y.; Zhao, Z.; Tan, X.; Managi, S. Carbon neutrality commitment for China: From vision to action. Sustain. Sci. 2022, 17, 1741–1755. [Google Scholar] [CrossRef]
- Zhang, X.; Wang, Y.; Qi, Y.; Wu, J.; Liao, W.; Shui, W.; Zhang, Y.; Deng, S.; Peng, H.; Yu, X.; et al. Evaluating the trends of China’s ecological civilization construction using a novel indicator system. J. Clean. Prod. 2016, 133, 910–923. [Google Scholar] [CrossRef]
- Shi, J.; Li, S.; Song, Y.; Zhou, N.; Guo, K.; Bai, J. How socioeconomic factors affect ecosystem service value: Evidence from China. Ecol. Indic. 2022, 145, 109589. [Google Scholar] [CrossRef]
- Wu, X.; Fu, B.; Wang, S.; Song, S.; Li, Y.; Xu, Z.; Wei, Y.; Liu, J. Decoupling of SDGs followed by re-coupling as sustainable development progresses. Nat. Sustain. 2022, 5, 452–459. [Google Scholar] [CrossRef]
- Xu, Z.; Peng, J.; Liu, Y.; Qiu, S.; Zhang, H.; Dong, J. Exploring the combined impact of ecosystem services and urbanization on SDGs realization. Appl. Geogr. 2023, 153, 102907. [Google Scholar] [CrossRef]
- Ling, H. A Study on the Coordinated Development of Environment, Economy, and Social Services in China—Based on 287 Prefecture-Level Cities. Master’s Thesis, Yangzhou University, Hangzhou, China, 2024. [Google Scholar]
- Wang, H.; Lu, X.; Deng, Y.; Sun, Y.; Nielsen, C.P.; Liu, Y.; Zhu, G.; Bu, M.; Bi, J.; McElroy, M.B. China’s CO2 peak before 2030 implied from characteristics and growth of cities. Nat. Sustain. 2019, 2, 748–754. [Google Scholar] [CrossRef]
- Warchold, A.; Pradhan, P.; Kropp, J.P. Variations in sustainable development goal interactions: Population, regional, and income disaggregation. Sustain. Dev. 2021, 29, 285–299. [Google Scholar] [CrossRef]
- Xiao, H.; Bao, S.; Ren, J.; Xu, Z. Transboundary impacts on SDG progress across Chinese cities: A spatial econometric analysis. Sustain. Cities Soc. 2023, 92, 104496. [Google Scholar] [CrossRef]










| Primary Indicators | Secondary Indicators | Tertiary Indicators | Weights | Attributes | Sources |
|---|---|---|---|---|---|
| Lucid Waters and Lush Mountains | Environmental Quality | Proportion of days with good air quality (%) | 0.08196 | Positive | ②④ |
| Proportion of surface water better than Class III (%) | 0.08327 | Positive | ②④ | ||
| Ecological Condition | Forest coverage rate (%) | 0.08269 | Positive | ②④⑤ | |
| Ecological space proportion (%) | 0.08377 | Positive | New | ||
| Living Environment | Per capita park green space area (m2) | 0.08498 | Positive | ①⑤ | |
| Harmless treatment rate of domestic waste (%) | 0.08334 | Positive | ③⑤ | ||
| Valuable Assets | Economic Aggregate | GDP (ten thousand yuan) | 0.08302 | Positive | New |
| Fiscal revenue (ten thousand yuan) | 0.08339 | Positive | New | ||
| Economic Structure | Proportion of added value of the tertiary industry (%) | 0.08375 | Positive | ② | |
| R&D expenditure proportion (%) | 0.08291 | Positive | ②⑤ | ||
| People’s Livelihood | Per capita GDP growth rate (%) | 0.08383 | Positive | ② | |
| Ratio of per capita disposable income between urban and rural areas (%) | 0.08310 | Negative | ② | ||
| Linking Lucid Waters and Lush Mountains with Valuable Assets | Pollution Reduction and Carbon Emission Reduction | Total emissions of major pollutants (chemical oxygen demand, ammonia nitrogen, sulfur dioxide, nitrogen oxides) (ten thousand tons) | / | Negative | ②③ |
| Carbon dioxide emissions per unit of GDP (tons/ten thousand yuan) | / | Negative | ②③ | ||
| Resource Conservation | Energy consumption per unit of GDP (ten thousand tons of standard coal/billion yuan) | / | Negative | ②③ | |
| Water resource productivity (ten thousand yuan/m3) | / | Positive | ②③ |
| D | Coordination Level |
|---|---|
| 0.0 < D ≤ 0.4 | Low |
| 0.4 < D ≤ 0.6 | Medium |
| 0.6 < D ≤ 0.8 | Good |
| 0.8 < D < 1 | High |
| Type | Geographical Region | Provinces |
|---|---|---|
| I | Northeast | Heilongjiang, Jilin, Liaoning |
| II | North | Beijing, Tianjin, Hebei, Shanxi, Inner Mongolia |
| III | Central | Henan, Hubei, Hunan |
| IV | South | Guangdong, Guangxi, Hainan |
| V | East | Shandong, Jiangsu, Anhui, Shanghai, Zhejiang, Jiangxi, Fujian |
| VI | Northwest | Shaanxi, Gansu, Ningxia, Qinghai, Xinjiang |
| VII | Southwest | Sichuan, Chongqing, Guizhou, Yunnan |
Disclaimer/Publisher’s Note: The statements, opinions and data contained in all publications are solely those of the individual author(s) and contributor(s) and not of MDPI and/or the editor(s). MDPI and/or the editor(s) disclaim responsibility for any injury to people or property resulting from any ideas, methods, instructions or products referred to in the content. |
© 2025 by the authors. Licensee MDPI, Basel, Switzerland. This article is an open access article distributed under the terms and conditions of the Creative Commons Attribution (CC BY) license (https://creativecommons.org/licenses/by/4.0/).
Share and Cite
Yu, H.; Geng, R.; Wang, M.; Zhang, M. The Practice of the Construction of China’s Core Concept of Ecological Civilization: The Coordinated Development of the Environment and Economy. Sustainability 2025, 17, 8353. https://doi.org/10.3390/su17188353
Yu H, Geng R, Wang M, Zhang M. The Practice of the Construction of China’s Core Concept of Ecological Civilization: The Coordinated Development of the Environment and Economy. Sustainability. 2025; 17(18):8353. https://doi.org/10.3390/su17188353
Chicago/Turabian StyleYu, Hai, Runzhe Geng, Meng Wang, and Meng Zhang. 2025. "The Practice of the Construction of China’s Core Concept of Ecological Civilization: The Coordinated Development of the Environment and Economy" Sustainability 17, no. 18: 8353. https://doi.org/10.3390/su17188353
APA StyleYu, H., Geng, R., Wang, M., & Zhang, M. (2025). The Practice of the Construction of China’s Core Concept of Ecological Civilization: The Coordinated Development of the Environment and Economy. Sustainability, 17(18), 8353. https://doi.org/10.3390/su17188353
