Recognizing China’s Marine Ecological Redlines as Institutional Other Effective Area-Based Conservation Measures for Advancing the 30 × 30 Global Biodiversity Target
Abstract
1. Introduction
2. Methodology
2.1. Qualitative Analysis of MERLs’ Compliance with the OECM Criteria
2.2. Quantitative Analysis of MERLs’ Compliance with the OECM Criteria
2.2.1. Study Area
2.2.2. Evaluation Indicators
2.2.3. Analytical Methods and Data Analysis
2.3. Method for Identifying Potential Marine OECMs in Non-MERL Areas
2.3.1. Classification-Based Identification
2.3.2. Conformity Assessment
3. Results
3.1. Compliance of MERLs with OECM Criteria
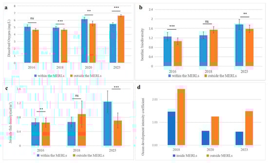
3.2. Comparative Analysis of MERL Protection Effectiveness in the Pearl River Estuary
3.3. Identification Results of Potential Marine OECMs in Non-MERL Areas
4. Discussion
4.1. The Complementary Value of MERLs as Nationally Led Institutional OECMs
4.2. Interpretation of MERL Protection Effectiveness and Limitation Reflection
4.3. Pathways and Challenges in the Recognition of OECMs in Non-MERL Areas
5. Conclusions
Author Contributions
Funding
Data Availability Statement
Conflicts of Interest
References
- CBD Secretariat. Kunming-Montreal Global Biodiversity Framework. Convention on Biological Diversity, Montreal. 2022. Available online: https://www.cbd.int/article/cop15-final-text-kunming-montreal-gbf-221222 (accessed on 20 August 2025).
- Fitzsimons, J.A.; Garrison, K.; Finnegan, B.; Luby, I. The 30 × 30 Protection Target: Attitudes of Residents from Seven Countries. Sustainability 2025, 17, 3444. [Google Scholar] [CrossRef]
- UNEP-WCMC; IUCN. Protected Planet Report 2024; UNEP-WCMC and IUCN: Cambridge, UK, 2024; Available online: https://www.protectedplanet.net/en/resources/global-protected-planet-reports (accessed on 20 August 2025).
- IUCN-WCPA. Recognising and Reporting Other Effective Area-Based Conservation Measures; IUCN-WCPA: Gland, Switzerland, 2019; Available online: https://portals.iucn.org/library/node/48887 (accessed on 20 August 2025).
- Jin, T.; Bu, J.Y.; Ma, J.Z. Other-effective area-based measures of global experiences and implications for post-2020 biodiversity conservation in China. J. West China For. Sci. 2022, 51, 1–8. [Google Scholar] [CrossRef]
- Maxwell, S.L.; Cazalis, V.; Dudley, N.; Hoffmann, M.; Rodrigues, A.S.L.; Stolton, S.; Visconti, P.; Woodley, S.; Kingston, N.; Lewis, E.; et al. Area-based conservation in the twenty-first century. Nature 2020, 586, 217–227. [Google Scholar] [CrossRef] [PubMed]
- Zhao, W.Y.; Wang, W.; Ma, B.R. Advances and prospects in research on Other Effective Area-Based Conservation Measures (OECMs). Biodivers. Sci. 2025, 33, 24525. [Google Scholar] [CrossRef]
- Jonas, H.D.; Barbuto, V.; Jonas, H.C.; Kothari, A.; Nelson, F. New steps of change: Looking beyond protected areas to consider other effective area-based conservation measures. Parks 2014, 20, 111–128. [Google Scholar] [CrossRef]
- Wall, J.; Moola, F.; Lukawiecki, J.; Roth, R. Indigenous-led conservation improves outcomes in protected areas. Nat. Rev. Biodivers. 2025, 1, 411–412. [Google Scholar] [CrossRef]
- Dunshea, G.; Olaussen, K.; Eckbo, N.H. Potential marine Other Effective Area-Based Conservation Measures (OECMs) in Norway: Current compliance status in relation to CBD and IUCN guiding principles, definitions and criteria. NTNU Vitenskapsmuseet Naturhistorisk Rapp. 2024, 3, 1–71. Available online: https://www.ntnu.no/documents/10476/1350233483/2024-3%2BRapport%2BOECM.pdf (accessed on 20 August 2025).
- Estradivari, D.S.; Adhuri, D.S.; Ferse, S.C.A.; Sualia, I.; Andradi-Brown, D.A.; Campbell, S.J.; Ahmadia, G.N. Marine conservation beyond MPAs: Towards the recognition of other effective area-based conservation measures (OECMs) in Indonesia. Mar. Policy 2022, 137, 104939. [Google Scholar] [CrossRef]
- Nancy, L.S.; David, M.K.; Heike, K.T. Challenges of Gauging the Impact of Area-Based Fishery Closures and OECMs: A Case Study Using Long-Standing Canadian Groundfish Closures. Front. Mar. Sci. 2021, 8, 612859. [Google Scholar] [CrossRef]
- Singleton, R.L.; Govan, H.; Jupiter, S.D. Reaching global marine biodiversity conservation goals with area-based fisheries management. Nat. Ecol. Evol. 2022, 6, 1120–1129. [Google Scholar] [CrossRef]
- Perera-Valderrama, S.; Rosique-de la Cruz, L.O.; Caballero-Aragón, H.; Cerdeira-Estrada, S.; Martell-Dubois, R.; Ressl, R. Mexico on Track to Protect 30% of Its Marine Area by 2030. Sustainability 2023, 15, 14101. [Google Scholar] [CrossRef]
- OECD. Biodiversity: Finance and the Economic and Business Case for Action; OECD Publishing: Paris, France, 2019; Available online: https://www.oecd.org/en/publications/biodiversity-finance-and-the-economic-and-business-case-for-action_a3147942-en.html (accessed on 26 August 2025).
- Bai, Y.; Jiang, B.; Wang, M.; Li, H.; Alatalo, J.M.; Huang, S.F. New ecological redline policy (ERP) to secure ecosystem services in China. Land Use Policy 2015, 55, 348–351. [Google Scholar] [CrossRef]
- Gao, J.; Zou, C.; Zhang, K.; Xu, M.; Wang, Y. The establishment of Chinese ecological conservation redline and insights into improving international protected areas. J. Environ. Manag. 2020, 264, 110505. [Google Scholar] [CrossRef]
- Zeng, R.; Xu, Y.; Yang, L.; Ai, Y.Y.; Liu, J.; Liu, C.; Lu, W.H. Adjustment of the marine ecological red lines in China. Sci. Rep. 2024, 14, 19247. [Google Scholar] [CrossRef]
- IUCN-WCPA. Guidance on Other Effective Area-Based Conservation Measures (OECMs). Technical Report No. 36. IUCN. 2023. Available online: https://portals.iucn.org/library/node/51272 (accessed on 26 August 2025).
- Borja, A.; Chust, G.; Muxika, I. Forever young: The successful story of a marine biotic index. Adv. Mar. Biol. 2019, 82, 93–127. [Google Scholar] [CrossRef] [PubMed]
- Lv, W.W.; Zhou, W.Z.; Zhao, Y.L. Effect of freshwater inflow on self-restoration of macrobenthic diversity in seaward intertidal wetlands influenced by reclamation projects in the Yangtze estuary, China. Mar. Pollut. Bull. 2019, 138, 177–186. [Google Scholar] [CrossRef] [PubMed]
- GB/T 42631-2023; Guideline for Marine Ecosystem Health Assessment in Nearshore Area. Standardization Administration of China: Beijing, China, 2023. Available online: https://openstd.samr.gov.cn/bzgk/gb/newGbInfo?hcno=E8345691E682255B0B0AEEBD5094135D (accessed on 26 August 2025).
- The National Development and Reform Commission. Notice on Issuing Technical Methods for Monitoring and Early Warning of Resource and Environmental Carrying Capacity (Trial). 2016. Available online: https://www.gov.cn/govdata/gov/201609/29/390288/article.html (accessed on 26 August 2025).
- The Ministry of Natural Resources; The Ministry of Ecology and Environment; The National Forestry; Grassland Administration. Notice on Strengthening Ecological Protection Red Lines Management. 2022. Available online: https://www.gov.cn/zhengce/zhengceku/2022-08/20/content_5706169.htm (accessed on 26 August 2025).
- The State Council Information Office of the People’s Republic of China. Marine Eco-Environmental Protection in China; Foreign Languages Press: Beijing, China, 2024. Available online: http://www.scio.gov.cn/zfbps/zfbps_2279/202407/t20240711_854815.html (accessed on 26 August 2025).
- The General Office of the Ministry of Natural Resources. Notice on Establishing and Improving the Marine Ecological Early Warning and Monitoring System. 2021. Available online: https://gi.mnr.gov.cn/202108/t20210805_2675229.html (accessed on 26 August 2025).
- China Land Surveying and Planning Institute. Blue Book of China’s Ecological Protection Redlines; China Earth Press: Beijing, China, 2023; pp. 27–28. [Google Scholar]
- Standing Committee of the National People’s Congress. Law of the People’s Republic of China on Marine Environmental Protection (Revised Version). 2023. Available online: http://www.npc.gov.cn/c2/c30834/202310/t20231024_432550.html (accessed on 26 August 2025).
- Wang, X.Q.; Deng, Y. Key issues and advancement strategies for China’s OECMs in alignment with the Kunming-Montreal Global Biodiversity Framework. Biodivers. Sci. 2025, 33, 24569. [Google Scholar] [CrossRef]
- The Ministry of Natural Resources. Notice on Issuing the Measures for the Control of Natural Ecological Space Use (Trial). 2017. Available online: http://www.mnr.gov.cn/gk/tzgg/201704/t20170424_1992172.html (accessed on 26 August 2025).
- The State Council of the Communist Party of China. Opinions of the Central Committee of the Communist Party of China and the State Council on Establishing a Territorial Spatial Planning System and Supervising Its Implementation. 2019. Available online: https://www.gov.cn/zhengce/2019-05/23/content_5394187.htm (accessed on 26 August 2025).
- Li, Y.P.; Liu, D.H.; Jiang, W.; Chi, Y. Insights on key issues of marine space use control from the perspective of territorial space planning. J. Nat. Resour. 2022, 37, 895–909. [Google Scholar] [CrossRef]
- The General Office of the Ministry of Natural Resources. Notice on Issuing the Guidelines for the Compilation of the Overall Planning of Municipal Land and Space (Trial). 2020. Available online: https://gi.mnr.gov.cn/202009/t20200924_2561550.html (accessed on 26 August 2025).
- Yu, J.; Hu, Q.W.; Yuan, H.R.; Tong, F.; Chen, P.M.; Mao, J.M. Effects assessment of summer fishing moratorium in Daya Bay in the Northern South China Sea. J. Geosci. Environ. Prot. 2017, 5, 96–108. [Google Scholar] [CrossRef][Green Version]
- Zou, J.Y.; Jin, X.S.; Shan, X.J.; Ren, Y.P.; Chen, Y.L. Whether the summer fishing moratorium can improve the status of fisheries resources in the Yellow Sea and Bohai Sea. Heliyon 2024, 10, e38100. [Google Scholar] [CrossRef]
- The General Office of the Ministry of Natural Resources. Notice on Strengthening the Standardized Implementation and Supervision Management of National Land Space Ecological Restoration Projects. 2023. Available online: https://gi.mnr.gov.cn/202303/t20230306_2777533.html (accessed on 26 August 2025).
- Fei, X.Y.; Chen, Y.Q.; Kong, X.P. Cultural landscapes recognition and landscape genetic information chain analysis of traditional villages: A case study of Tanka Fishing village in Lingshui Li autonomous county. J. Nat. Resour. 2024, 39, 1760–1779. [Google Scholar] [CrossRef]
- Edvardsson, R.; Hjörleifsson, E.; Ólafsdóttir, Á.G. Synergies between underwater cultural heritage and biodiversity conservation in Iceland: Insights for achieving 30 × 30 targets. Mar. Policy 2025, 180, 106782. [Google Scholar] [CrossRef]
- Graham, J.E.; McCauley, D.J.; Trebilco, R.; Duarte, C.M.; Palumbi, S.R. Global conservation outcomes depend on marine protected areas with five key features. Nature 2014, 506, 216–220. [Google Scholar] [CrossRef]
- Oliver, T.A.; Oleson, K.L.L.; Ratsimbazafy, H.; Raberinary, D.; Benbow, S.; Harris, A. Positive catch & economic benefits of periodic octopus fishery closures: Do effective, narrowly targeted broader management? PLoS ONE 2015, 10, e0129075. [Google Scholar] [CrossRef]
- Dalton, D.T.; Berger, V.; Adams, V.; Botha, J.; Halloy, S.; Kirchmeir, H.; Sovinc, A.; Steinbauer, K.; Svara, V.; Jungmeier, M. A Conceptual Framework for Biodiversity Monitoring Programs in Conservation Areas. Sustainability 2023, 15, 6779. [Google Scholar] [CrossRef]




| Number | Indicators | Polarity | Meaning | Operational Definition | Data Sources | Years |
|---|---|---|---|---|---|---|
| 1 | Dissolved oxygen concentration | + | essential for marine organism survival and ecosystem functioning | Mean of each monitoring station in summer | National Marine Ecological Monitoring Network | 2016, 2018, 2020, 2023 |
| 2 | Macrobenthic diversity () | + | an established benthic habitat indicator given these organisms’ long life cycles and sedentary nature [20] | Pa: of species in total biomass [21] | National Marine Ecological Monitoring Network | 2016, 2018, 2023 |
| 3 | Juvenile fish density | + | represents fishery resource productivity and sustainability [22] | Mean of each monitoring station in summer | National Marine Ecological Monitoring Network | 2016, 2018, 2023 |
| 4 | Marine development intensity | − | calculated as the weighted area ratio of sea use types to total area, indicating anthropogenic pressure | /A Ak: the area of the k-th type of sea use in the MERLs wk: weight coefficients of the k-th type of sea use, indicating the impact intensity of the k-th type of sea use A: Area of the MERLs [23] | Sea Use Dynamic Monitoring System | 2018, 2020, 2023 |
| OECM Criteria | Key Requirement | MERL Compliance | Compatibility |
|---|---|---|---|
| A1. Not a PA | Independence of the legal PA system | 54,600 km2 MERLs outside PA system. | Yes |
| B1. Geographically defined space | Clearly defined spatial boundaries | Legally delineated, integrated into national MSP | Yes |
| B2. Legitimate governance authorities | Legal governance rights | Approved by the State Council, implemented by provinces | Yes |
| B3. Managed | Existence of management systems regime | National policies restrict damaging activities | Yes |
| C1. Effective | Demonstrated biodiversity effectiveness | High habitat coverage, improved wetland protection, quantitative evidence (see Section 3.2) | Yes |
| C2. Long-term impacts | Long-term sustainability | Incorporated into national law and MSP | Yes |
| C3. In situ biodiversity protection | Protects biodiversity in situ | protect areas with high biodiversity maintenance function, coastal protection function, sand loss, and erosion vulnerability | Yes |
| C4. Information and monitoring | Ongoing monitoring and reporting | Ecological early-warning monitoring and human activity monitoring systems | Yes |
| D1. Ecosystem functions and services | Safeguards ecosystem functions | Covers 97% of the high-ecological-importance and vulnerability areas. | Yes |
| D2. Cultural, spiritual, socioeconomic, and other locally relevant values | Recognizes local cultural and socioeconomic value | Blue carbon habitats, fishery spawning grounds and estuaries contribute to carbon goals and fishery resources sustainable development | Yes |
| Area Type | Brief Description and Rationale (With Key References) | OECM Criteria—Fulfilled | OECM Criteria—Not Fulfilled | Potential Level |
|---|---|---|---|---|
| Marine ecological zones | Statutorily defined zones for ecological services (e.g., natural coastlines, spawning grounds) [29], often adjacent to MERLs. Feature strict prohibitions on high-intensity activities and clear regulatory mandates [30,31,32]. | A1, B1, B2, B3, C1, C2, C3, D1, D2 | C4 | High |
| Marine development zones—reserved areas | Areas temporarily withheld from development for future projects. While their current state aids ecosystem recovery, they lack conservation mandates and are highly vulnerable to future conversion [33]. | A1, B1, B2, B3, C1 | C2, C3, C4, D1, D2 | Low |
| Marine development zones—open aquaculture (non-feeding) | Designated zones for ecologically low-impact aquaculture that relies on natural productivity. Avoid eutrophication risks and maintain near-natural trophic structures, but lack long-term ecological monitoring targets. | A1, B1, B2, B3, C1, C3, D2 | C2, C4, D1 | Medium |
| Marine development zones—traditional fishing areas (with limited measures) | Areas subject to seasonal or spatial fishing restrictions to promote stock sustainability. Management provides ecological benefits but is primarily socioeconomic; continuity is subject to policy change [34,35]. | A1, B1, B2, B3, C1, C3, D2 | C2, C4, D1 | Medium |
| Marine development zones—recreational areas (natural landscape) | Zones managed for tourism within ecological carrying capacity to preserve natural seascapes. Controls human disturbance but lacks formal biodiversity targets and monitoring to verify conservation outcomes. | A1, B1, B2, B3, C1, C3, D2 | C2, C4, D1 | Medium |
| Marine ecological restoration areas | Project-based interventions on degraded ecosystems (e.g., mangrove restoration) with defined boundaries, clear ecological targets, and post-project monitoring. Long-term governance stability can be funding-dependent [25,36]. | A1, B1, B2, C1, C3, C4, D1, D2 | B3, C2 | High |
| Ecologically important areas (identified via survey/assessment) | Sites of documented ecological significance (e.g., key habitats, corridors) identified through scientific research. While spatially identifiable, they currently lack any dedicated governance, management, or monitoring framework. | A1, B1, C1, C3, D1 | B2, B3, C2, C4, D2 | Low |
| Marine cultural areas | Areas where traditional community practices impact conserve biodiversity through stable, culturally embedded governance and low-impact resource use [37,38]. | A1, B1, B2, B3, C1, C3, D1, D2 | C2, C4 | High |
Disclaimer/Publisher’s Note: The statements, opinions and data contained in all publications are solely those of the individual author(s) and contributor(s) and not of MDPI and/or the editor(s). MDPI and/or the editor(s) disclaim responsibility for any injury to people or property resulting from any ideas, methods, instructions or products referred to in the content. |
© 2025 by the authors. Licensee MDPI, Basel, Switzerland. This article is an open access article distributed under the terms and conditions of the Creative Commons Attribution (CC BY) license (https://creativecommons.org/licenses/by/4.0/).
Share and Cite
Zeng, R.; Lu, W.; Xu, Y.; Ai, Y.; Liu, J. Recognizing China’s Marine Ecological Redlines as Institutional Other Effective Area-Based Conservation Measures for Advancing the 30 × 30 Global Biodiversity Target. Sustainability 2025, 17, 8323. https://doi.org/10.3390/su17188323
Zeng R, Lu W, Xu Y, Ai Y, Liu J. Recognizing China’s Marine Ecological Redlines as Institutional Other Effective Area-Based Conservation Measures for Advancing the 30 × 30 Global Biodiversity Target. Sustainability. 2025; 17(18):8323. https://doi.org/10.3390/su17188323
Chicago/Turabian StyleZeng, Rong, Wenhai Lu, Yan Xu, Yangyi Ai, and Jie Liu. 2025. "Recognizing China’s Marine Ecological Redlines as Institutional Other Effective Area-Based Conservation Measures for Advancing the 30 × 30 Global Biodiversity Target" Sustainability 17, no. 18: 8323. https://doi.org/10.3390/su17188323
APA StyleZeng, R., Lu, W., Xu, Y., Ai, Y., & Liu, J. (2025). Recognizing China’s Marine Ecological Redlines as Institutional Other Effective Area-Based Conservation Measures for Advancing the 30 × 30 Global Biodiversity Target. Sustainability, 17(18), 8323. https://doi.org/10.3390/su17188323

