Integrating Environmental and Nutritional Health Impacts Using Disability-Adjusted Life Years: Study Using the Ajinomoto Group Nutrient Profiling System Toward Healthy and Sustainable Japanese Dishes
Abstract
1. Introduction
2. Materials and Methods
2.1. Data Collection and Preprocessing
2.1.1. Target of Study
2.1.2. Data Preprocessing
2.2. Environmental Health Impact Assessment of Food Production and Consumption
2.2.1. Life Cycle Impact Assessment
2.2.2. Environmental Health Impact Assessment
- Climate change
- Ozone depletion
- Air pollution (fine particulate matter formation)
- Photochemical oxidants
- Water consumption
2.3. Nutritional Health Impact Assessment by Food Intake
2.3.1. Estimation of Recipe-Specific Nutrient Content
2.3.2. Nutritional Health Impact Assessment
2.4. Integrated Health Impact Assessment
2.5. Dish Scoring Based on Nutrient Profiling System
- The contents of four indicators were extracted for each dish.
- Scores for encouragement items were 10 points above the target value, with 1 point deducted for each 10% shortfall thereafter (up to 0 points).
- Scores for limitation items were 10 points below the target value, with 1 point deducted for each 10% excess thereafter (up to 0 points). However, for sodium, for which the deviation between the Japanese standard recipe and the target value was large, points were deducted by 0.5 points per 10% excess to increase the sensitivity.
- The scores for the four indicators were totaled, and the total was converted to an ANPS score of 0–100 by multiplying the full score of 40 by 2.5.
2.6. Statistical Analysis
3. Results
3.1. Comparison of the Health Impact of Environmental Burden and Nutritional Intake by Food Group
3.2. Results of the Quantile Analysis Based on NPS Scores
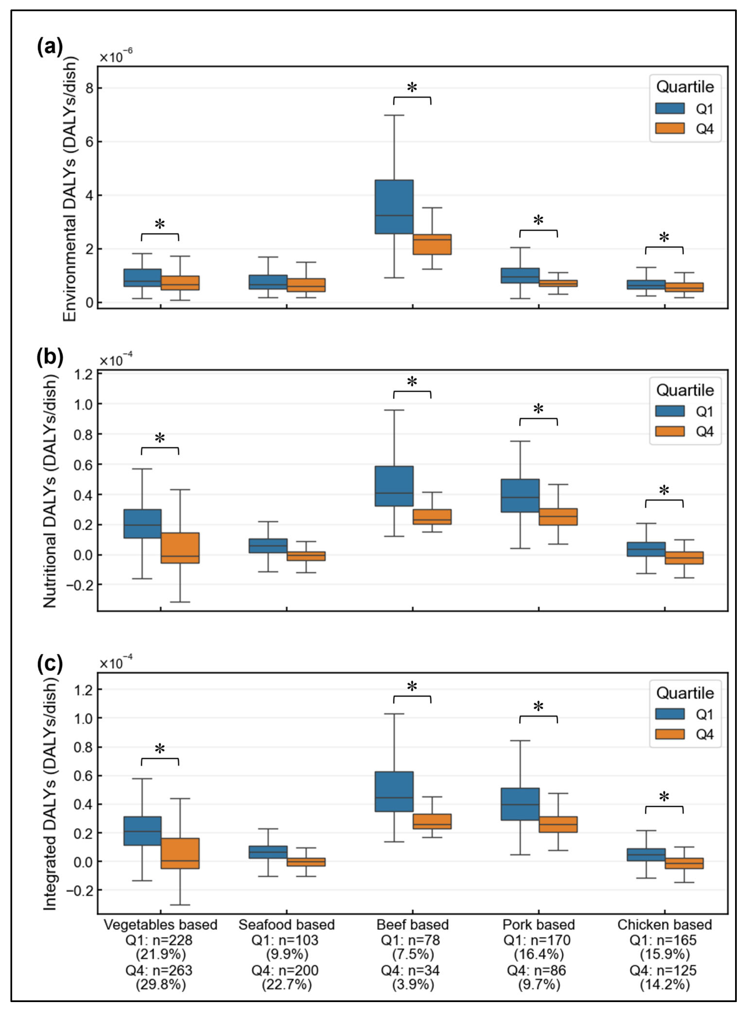
3.3. Comparative Analysis of Q1 and Q4 Groups by Main Ingredient
- (a) Environmental DALYs
- (b) Nutritional DALYs
- (c) Integrated DALYs
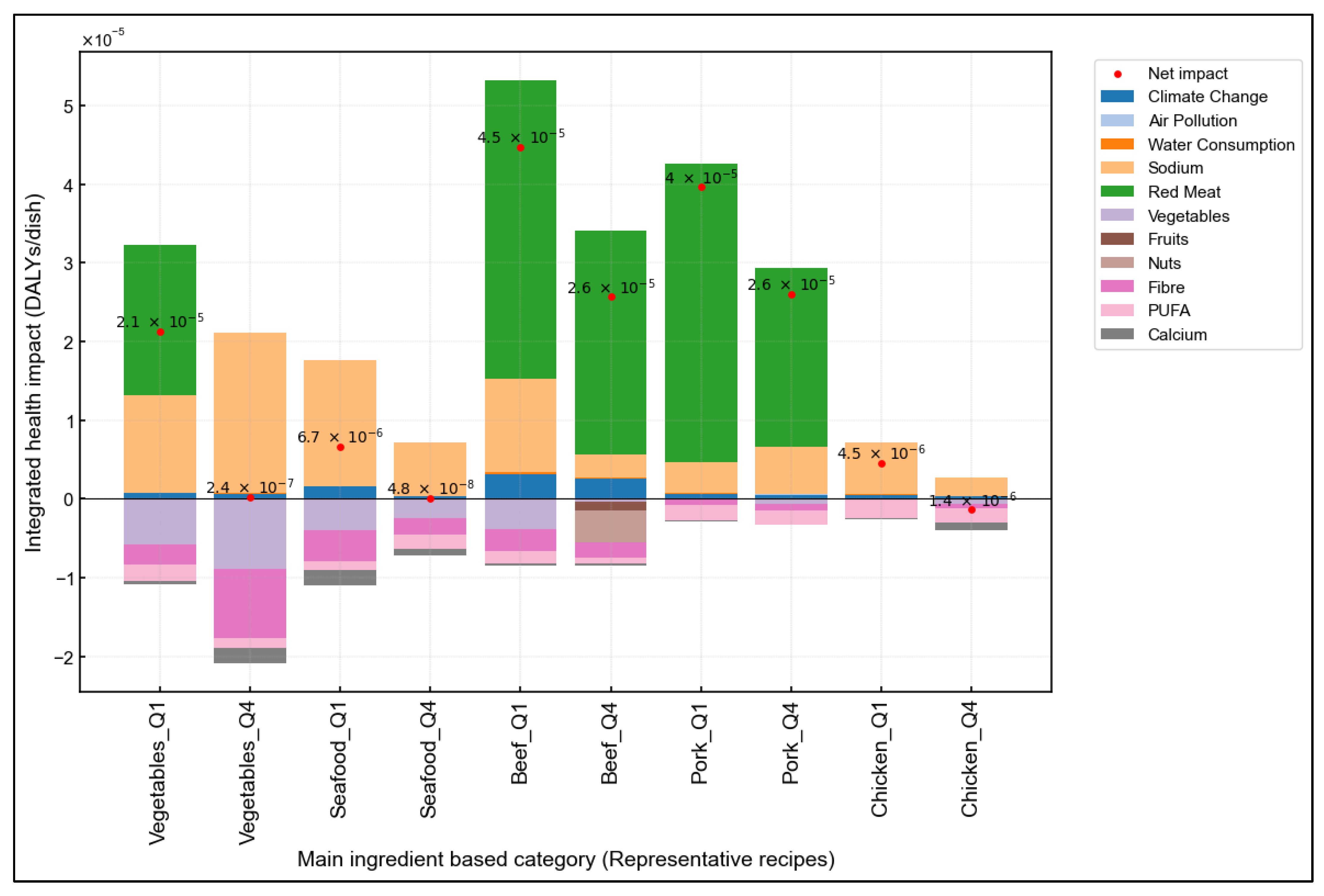
3.4. Feature Analysis of Representative Dishes in Q1 and Q4 Groups by Main Ingredient
4. Discussion
4.1. Sensitivity Analysis Using Different LCIA Methods
4.2. Sensitivity Analysis Using Different NPSs for Quantile Analysis
4.3. Limitations and Future Prospects
5. Conclusions
Author Contributions
Funding
Institutional Review Board Statement
Informed Consent Statement
Data Availability Statement
Conflicts of Interest
Abbreviations
| DALYs | Disability-Adjusted Life Years |
| YLL | Years of Life Lost |
| YLD | Years Lived with Disability |
| GBD | Global Burden of Disease |
| WHO | World Health Organization |
| DRF | Dietary Risk Factor |
| NPS | Nutrient Profiling System |
| LCA | Life Cycle Assessment |
| HSR | Health Star Rating |
| FoP | Front of Package |
| NRF | Nutrient-Rich Food |
| ANPS | Ajinomoto Group Nutrient Profiling System |
| SFAs | Saturated Fatty Acids |
| IDEA | Inventory Database for Environmental Assessment |
| STFC | Standard Tables of Food Composition |
| LIME3 | Life cycle Impact assessment Method based on Endpoint modeling 3 |
| GHG | Greenhouse Gas |
| GLAM | Global Guidance for Life Cycle Impact Assessment Indicators and Methods |
| NHNS | National Health and Nutrition Survey |
| DRI | Dietary Reference Intake |
Appendix A
| Major Category | No. | Medium Category | No. | Minor Category | No. |
|---|---|---|---|---|---|
| Grains | 1 | Rice and processed products | 1 | Rise | 1 |
| Processed rice products | 2 | ||||
| Wheat and processed products | 2 | Wheat flour | 3 | ||
| Bread (excluding sweet bread) | 4 | ||||
| Sweet bread | 5 | ||||
| Udon, Chinese noodles | 6 | ||||
| Instant Chinese noodles | 7 | ||||
| Pasta | 8 | ||||
| Other wheat processed products | 9 | ||||
| Other grains Processed products | 3 | Soba and processed foods | 10 | ||
| Corn and processed products | 11 | ||||
| Other grains | 12 | ||||
| Potatoes and starches | 2 | Potatoes and processed products | 4 | Sweet potatoes and processed products | 13 |
| Potatoes and processed products | 14 | ||||
| Other potatoes and processed products | 15 | ||||
| Starch and processed products | 5 | Starch and processed products | 16 | ||
| Sugar and sweeteners | 3 | Sugar and sweeteners | 6 | Sugar and sweeteners | 17 |
| Beans | 4 | Soybeans and processed products | 7 | Soybeans (whole), processed | 18 |
| Tofu | 19 | ||||
| Fried tofu | 20 | ||||
| Natto (fermented soybeans) | 21 | ||||
| Other processed soybean products | 22 | ||||
| Other beans and processed products | 8 | Other processed bean products | 23 | ||
| Nuts and bolts | 5 | Nuts and bolts | 9 | Nuts and bolts | 24 |
| Vegetables | 6 | Green and yellow vegetables | 10 | Tomato | 25 |
| Carrot | 26 | ||||
| Spinach | 27 | ||||
| Green pepper | 28 | ||||
| Other green and yellow vegetables | 29 | ||||
| Other Vegetables | 11 | Cabbage | 30 | ||
| Cucumber | 31 | ||||
| Japanese radish | 32 | ||||
| Onion | 33 | ||||
| Chinese cabbage | 34 | ||||
| Other light-colored vegetables | 35 | ||||
| Vegetable juice | 12 | Vegetable juice | 36 | ||
| Tsukemono | 13 | Leafy vegetable pickles | 37 | ||
| Yellow pickled radish and other pickled vegetables | 38 | ||||
| Fruits | 7 | Fruit | 14 | Strawberry | 39 |
| Citrus fruits | 40 | ||||
| Banana | 41 | ||||
| Apple | 42 | ||||
| Other fresh fruits | 43 | ||||
| Jam | 15 | Jam | 44 | ||
| Fruit juice and fruit juice beverages | 16 | Fruit juice and fruit juice beverages | 45 | ||
| Mushrooms | 8 | Mushrooms | 17 | Mushrooms | 46 |
| Seaweed | 9 | Seaweed | 18 | Seaweed | 47 |
| Seafood | 10 | Raw or fresh fish | 19 | Aji sardines | 48 |
| Salmon, trout | 49 | ||||
| Sea bream, flounder | 50 | ||||
| Tuna, marlin | 51 | ||||
| Other fishes | 52 | ||||
| Shellfish | 53 | ||||
| Squid, octopus | 54 | ||||
| Shrimps, crabs | 55 | ||||
| Processed Seafood Products | 20 | Seafood (salted, dried) | 56 | ||
| Seafood (canned) | 57 | ||||
| Seafood (tsukudani) | 58 | ||||
| Seafood (fish paste products) | 59 | ||||
| Fish, ham, sausage | 60 | ||||
| Meat | 11 | Animal flesh | 21 | Beef | 61 |
| Pork | 62 | ||||
| Ham, sausages | 63 | ||||
| Other meat | 64 | ||||
| Chicken meat | 22 | Chicken meat | 65 | ||
| Other poultry meat | 66 | ||||
| Meat (offal) | 23 | Meat (offal) | 67 | ||
| Other meats | 24 | Whale meat | 68 | ||
| Other processed meat products | 69 | ||||
| Egg | 12 | Eggs | 25 | Eggs | 70 |
| Milk | 13 | Milk and dairy products | 26 | (Cow’s) milk | 71 |
| Cheese | 72 | ||||
| Fermented milk and lactic acid beverages | 73 | ||||
| Other dairy products | 74 | ||||
| Other dairy products | 27 | Other dairy products | 75 | ||
| Fats and oils | 14 | Fats and oils | 28 | Butter | 76 |
| Margarine | 77 | ||||
| Vegetable fats | 78 | ||||
| Animal fat | 79 | ||||
| Other fats and oils | 80 | ||||
| Confectioneries | 15 | Confectioneries | 29 | Japanese confectioneries | 81 |
| Cakes and pastries | 82 | ||||
| Cookies | 83 | ||||
| Candies | 84 | ||||
| Other confectionery | 85 | ||||
| Luxury beverages | 16 | Alcoholic beverage | 30 | Japanese rice wine | 86 |
| Beer | 87 | ||||
| Western wine and other | 88 | ||||
| Other beverages of choice | 31 | Tea | 89 | ||
| Coffee, cocoa | 90 | ||||
| Other beverages of choice | 91 | ||||
| Seasonings and spices | 17 | Seasoning | 32 | Source | 92 |
| Soy sauce | 93 | ||||
| Salt | 94 | ||||
| Mayonnaise | 95 | ||||
| Miso | 96 | ||||
| Other seasonings | 97 | ||||
| Spices and others | 33 | Spices and others | 98 | ||
| Cooked foods | 18 | Cooked foods | 34 | Cooked foods | 99 |
Appendix B
Appendix B.1. Raw Material Procurement Stage
Appendix B.2. Cooking Stage
- Microwave
- Oven
- Rice cooker
- Simmering
- Boiling
- Steaming
- Grilling
- Stir frying
- Frying
- Specific heat estimation of each ingredient
| Fixed Number | Details | Value | Source |
|---|---|---|---|
| ηm | Conversion efficiency of microwave oven [-] | 0.54 | [51] |
| Ca | Specific heat of air [J/kg/K] | 1006 | [50] |
| ρa | Air density [kg/m3] | 1.292 | [50] |
| Vo | Internal capacity of microwave oven with oven function, microwave oven [m3] | 0.025 | [52] |
| ΔKg | Temperature difference before and after grilling food [K] | 100 | [47] |
| Ecook | Amount of power consumption per cooked rice [kWh] | 0.162 | [53] |
| Ewarm | Amount of power consumption per hour of warming [kWh] | 0.016 | [53] |
| Cw | Specific heat of water [J/g/K] | 4.19 | [50] |
| ΔKb | Temperature difference between room temperature (20 °C) and boiling temperature (100 °C) [K] | 80 | - |
| ηh | Thermal efficiency when heating [-] | 0.367 | [47] |
| V | Water evaporation per unit time and unit area of pot [g/min/cm2] | 0.0621 | [47] |
| Sp | Bottom area of pot [cm2] | 254.5 | [47] |
| Hw | Latent heat of evaporation of water [J/g] | 2250 | [47] |
| ηb | Thermal efficiency at boiling [-] | 0.424 | [47] |
| alpha | Correction factor for frying pan | 0.75 | [48] |
| Co | Specific heat of oil | 1.96 | [50] |
| ΔKo | Temperature difference between room temperature (20 °C) and fried oil temperature (180 °C) [K] | 160 | - |
| ΔKf | Temperature difference before and after frying food [K] | 130 | [47] |
Appendix B.3. Disposal Stage
References
- United Nations. Transforming Our World: The 2030 Agenda for Sustainable Development. 2015. Available online: https://sdgs.un.org/2030agenda (accessed on 11 June 2025).
- Willett, W.; Rockström, J.; Loken, B.; Springmann, M.; Lang, T.; Vermeulen, S.; Garnett, T.; Tilman, D.; DeClerck, F.; Wood, A.; et al. Food in the Anthropocene: The EAT-Lancet Commission on Healthy Diets from Sustainable Food Systems. Lancet 2019, 393, 447–492. [Google Scholar] [CrossRef]
- Ritchie, H.; Rosado, P.; Roser, M. Environmental Impacts of Food Production. Available online: https://ourworldindata.org/environmental-impacts-of-food (accessed on 11 June 2025).
- GBD 2017 Diet Collaborators. Health Effects of Dietary Risks in 195 Countries, 1990–2017: A Systematic Analysis for the Global Burden of Disease Study 2017. Lancet 2019, 393, 1958–1972. [Google Scholar] [CrossRef]
- GBD 2019 Risk Factors Collaborators. Global Burden of 87 Risk Factors in 204 Countries and Territories, 1990-2019: A Systematic Analysis for the Global Burden of Disease Study 2019. Lancet 2020, 396, 1223–1249. [Google Scholar] [CrossRef] [PubMed]
- Ritchie, H. You Want to Reduce the Carbon Footprint of Your Food? Focus on What You Eat, Not Whether Your Food Is Local. Our World in Data. 2020. Available online: https://ourworldindata.org/food-choice-vs-eating-local (accessed on 11 June 2025).
- Ritchie, H. Sector by Sector: Where Do Global Greenhouse Gas Emissions Come From? Our World in Data. 2020. Available online: http://news-infographics-maps.net/co2-emissions-from-aviation.html (accessed on 11 June 2025).
- Murray, C.J. Quantifying the Burden of Disease: The Technical Basis for Disability-Adjusted Life Years. Bull. World Health Organ. 1994, 72, 429–445. [Google Scholar] [PubMed]
- Walker, C.; Gibney, E.R.; Mathers, J.C.; Hellweg, S. Comparing Environmental and Personal Health Impacts of Individual Food Choices. Sci. Total Environ. 2019, 685, 609–620. [Google Scholar] [CrossRef] [PubMed]
- World Health Organization. WHO Global Report on Sodium Intake Reduction; World Health Organization: Geneva, Switzerland, 2023. [Google Scholar]
- Ministry of Health, Labour and Welfare. The National Health and Nutrition Survey in Japan. 2022. Available online: https://www.mhlw.go.jp/content/001461144.pdf (accessed on 25 March 2024).
- Life Cycle Initiative. Global Life Cycle Impact Assessment Method (GLAM) Launched at SETAC Europe 26th LCA Symposium. 2024. Available online: https://www.lifecycleinitiative.org/global-life-cycle-impact-assessment-method-glam-launched-at-setac-europe-26th-lca-symposium/ (accessed on 11 June 2025).
- Green, A.; Nemecek, T.; Mathys, A. A Proposed Framework to Develop Nutrient Profiling Algorithms for Assessments of Sustainable Food: The Metrics and Their Assumptions Matter. Int. J. Life Cycle Assess. 2023, 28, 1326–1347. [Google Scholar] [CrossRef]
- Julià, C.; Hercberg, S. Development of a New Front-of-Pack Nutrition Label in France: The Five-Colour Nutri-Score. Public Health Panor. 2017, 03, 712–725. [Google Scholar]
- Julia, C.; Hercberg, S. Nutri-Score: Evidence of the Effectiveness of the French Front-of-Pack Nutrition Label. Ernahr. Umsch. 2017, 64, 181–187. [Google Scholar]
- Australian Department of Health. Health Star Rating System Calculator and Style Guide; Australian Department of Health: Canberra, Australia, 2023.
- Fulgoni, V.L., 3rd; Keast, D.R.; Drewnowski, A. Development and Validation of the Nutrient-Rich Foods Index: A Tool to Measure Nutritional Quality of Foods. J. Nutr. 2009, 139, 1549–1554. [Google Scholar] [CrossRef]
- Furuta, C.; Jinzu, H.; Cao, L.; Drewnowski, A.; Okabe, Y. Nutrient Profiling of Japanese Dishes: The Development of a Novel Ajinomoto Group Nutrient Profiling System. Front. Nutr. 2022, 9, 912148. [Google Scholar] [CrossRef]
- Ajinomoto Co., Inc. Encyclopedia of Recipes. Available online: https://park.ajinomoto.co.jp/recipe/ (accessed on 7 May 2025).
- Ministry of Education, Culture, Sports, Science and Technology. Standard Tables of Food Composition in Japan-2023-(Eighth Revised Version); Ministry of Education, Culture, Sports, Science and Technology: Tokyo, Japan, 2023. [Google Scholar]
- National Institute of Advanced Industrial Science and Technology (AIST), Research Institute of Science for Safety and Sustainability (RISS), Research Laboratory for IDEA. IDEA, version 3.4.1; AIST Solutions: Tokyo, Japan, 2024.
- Itsubo, N.; Inaba, A. LIME3 Revised and Enlarged Environmental Impact Assessment Methodology for Global-Scale LCA; Maruzen Publishing Co., Ltd.: Tokyo, Japan, 2023; ISBN 9784621308431. [Google Scholar]
- Scherer, L.; Blackstone, N.T.; Conrad, Z.; Fulgoni, V.L., III; Mathers, J.C.; van der Pols, J.C.; Willett, W.; Fantke, P.; Pfister, S.; Stylianou, K.S.; et al. Accounting for Nutrition-Related Health Impacts in Food Life Cycle Assessment: Insights from an Expert Workshop. Int. J. Life Cycle Assess. 2024, 29, 953–966. [Google Scholar] [CrossRef]
- Stylianou, K.S.; Fulgoni, V.L., 3rd; Jolliet, O. Small Targeted Dietary Changes Can Yield Substantial Gains for Human Health and the Environment. Nat. Food 2021, 2, 616–627. [Google Scholar] [CrossRef] [PubMed]
- Ministry of Health, Labour and Welfare. Dietary Reference Intakes for Japanese (2020); Ministry of Health, Labour and Welfare: Tokyo, Japan, 2018. [Google Scholar]
- Poore, J.; Nemecek, T. Reducing Food’s Environmental Impacts Through Producers and Consumers. Science 2018, 360, 987–992. [Google Scholar] [CrossRef]
- Clark, M.; Springmann, M.; Rayner, M.; Scarborough, P.; Hill, J.; Tilman, D.; Macdiarmid, J.I.; Fanzo, J.; Bandy, L.; Harrington, R.A. Estimating the Environmental Impacts of 57,000 Food Products. Proc. Natl. Acad. Sci. USA 2022, 119, e2120584119. [Google Scholar] [CrossRef] [PubMed]
- Gephart, J.A.; Henriksson, P.J.G.; Parker, R.W.R.; Shepon, A.; Gorospe, K.D.; Bergman, K.; Eshel, G.; Golden, C.D.; Halpern, B.S.; Hornborg, S.; et al. Environmental Performance of Blue Foods. Nature 2021, 597, 360–365. [Google Scholar] [CrossRef]
- van Dooren, C.; Douma, A.; Aiking, H.; Vellinga, P. Proposing a Novel Index Reflecting Both Climate Impact and Nutritional Impact of Food Products. Ecol. Econ. 2017, 131, 389–398. [Google Scholar] [CrossRef]
- Luzzani, G. The Sustainability of Diets: Current Understanding and Shortcomings. Curr. Opin. Environ. Sci. Health 2022, 30, 100398. [Google Scholar] [CrossRef]
- Conrad, Z.; Thorne-Lyman, A.L.; Wu, S.; DiStaso, C.; Korol, M.; Love, D.C. Are Healthier Diets More Sustainable? A Cross-Sectional Assessment of 8 Diet Quality Indexes and 7 Sustainability Metrics. Am. J. Clin. Nutr. 2025, 121, 315–323. [Google Scholar] [CrossRef]
- Guo, A.; Bryngelsson, S.; Strid, A.; Bianchi, M.; Winkvist, A.; Hallström, E. Choice of Health Metrics for Combined Health and Environmental Assessment of Foods and Diets: A Systematic Review of Methods. J. Clean. Prod. 2022, 365, 132622. [Google Scholar] [CrossRef]
- Reguant-Closa, A.; Pedolin, D.; Herrmann, M.; Nemecek, T. Review of Diet Quality Indices That Can Be Applied to the Environmental Assessment of Foods and Diets. Curr. Nutr. Rep. 2024, 13, 351–362. [Google Scholar] [CrossRef]
- Nakamura, K.; Itsubo, N. Environmental and Health-Related Lifecycle Impact Assessment of Reduced-Salt Meals in Japan. Sustainability 2022, 14, 8265. [Google Scholar] [CrossRef]
- Inaba, A.; Itsubo, N. Preface. Int. J. Life Cycle Assess. 2018, 23, 2271–2275. [Google Scholar] [CrossRef]
- Huijbregts, M.A.J.; Steinmann, Z.J.N.; Elshout, P.M.F.; Stam, G.; Verones, F.; Vieira, M.; Zijp, M.; Hollander, A.; van Zelm, R. ReCiPe2016: A Harmonised Life Cycle Impact Assessment Method at Midpoint and Endpoint Level. Int. J. Life Cycle Assess. 2017, 22, 138–147. [Google Scholar] [CrossRef]
- Bulle, C.; Margni, M.; Patouillard, L.; Boulay, A.-M.; Bourgault, G.; De Bruille, V.; Cao, V.; Hauschild, M.; Henderson, A.; Humbert, S.; et al. IMPACT World+: A Globally Regionalized Life Cycle Impact Assessment Method. Int. J. Life Cycle Assess. 2019, 24, 1653–1674. [Google Scholar] [CrossRef]
- Barrett, E.M.; Afrin, H.; Rayner, M.; Pettigrew, S.; Gaines, A.; Maganja, D.; Jones, A.; Mozaffarian, D.; Beck, E.J.; Neal, B.; et al. Criterion Validation of Nutrient Profiling Systems: A Systematic Review and Meta-Analysis. Am. J. Clin. Nutr. 2024, 119, 145–163. [Google Scholar] [CrossRef]
- Dréano-Trécant, L.; Egnell, M.; Hercberg, S.; Galan, P.; Soudon, J.; Fialon, M.; Touvier, M.; Kesse-Guyot, E.; Julia, C. Performance of the Front-of-Pack Nutrition Label Nutri-Score to Discriminate the Nutritional Quality of Foods Products: A Comparative Study across 8 European Countries. Nutrients 2020, 12, 1303. [Google Scholar] [CrossRef]
- Dickie, S.; Woods, J.L.; Baker, P.; Elizabeth, L.; Lawrence, M.A. Evaluating Nutrient-Based Indices against Food- and Diet-Based Indices to Assess the Health Potential of Foods: How Does the Australian Health Star Rating System Perform After Five Years? Nutrients 2020, 12, 1463. [Google Scholar] [CrossRef]
- Madlala, S.S.; Hill, J.; Kunneke, E.; Faber, M. Nutrient Density and Cost of Commonly Consumed Foods: A South African Perspective. J. Nutr. Sci. 2023, 12, e10. [Google Scholar] [CrossRef]
- Ministry of Agriculture, Forestry and Fisheries. Food Self-Sufficiency Ratio and Food Self-Sufficiency Index for FY2023; Ministry of Agriculture, Forestry and Fisheries: Tokyo, Japan, 2024. [Google Scholar]
- Owaki, A.; Takatsuka, N.; Kawakami, N.; Shimizu, H. Seasonal Variations of Nutrient Intake Assessed by 24 Hour Recall Method. Jpn. J. Nutr. Diet. 1996, 54, 11–18. [Google Scholar] [CrossRef]
- Anza, M.; Riga, P.; Garbisu, C. Effects of Variety and Growth Season on the Organoleptic and Nutritional Quality of Hydroponically Grown Tomato. J. Food Qual. 2006, 29, 16–37. [Google Scholar] [CrossRef]
- Bordean, D.-M.; Borozan, A.B.; Cojocariu, L.; Moigradean, D.; Cojocariu, A.; Nica, D.V.; Pirvulescu, L.; Alda, S.; Horablaga, M. Seasonal Variation in Nutrient Content of Some Leafy Vegetables from Banat County, Romania. Rev. Agric. Rural. Dev. 2013, 2, 170–174. [Google Scholar]
- Chie, M.; Miwako, Y.; Hideko, K.; Katsuko, Y.; Masako, O.; Yumi, Y.; Mariko, U.; Taketoshi, K.; Takao, A.; Yohoko, S.; et al. Establishment of Consistent Gas Heating Conditions for Boiling. J. Cookery Sci. Jpn. 2002, 35, 275–280. [Google Scholar]
- Inaba, A.; Kazama, R.; Tamari, Y.; Morimoto, R. The estimation method for the CO2 emission of cooking in the household. J. Life Cycle Assess. Jpn. 2014, 10, 155–164. [Google Scholar]
- Long, Y.; Huang, L.; Fujie, R.; He, P.; Chen, Z.; Xu, X.; Yoshida, Y. Carbon Footprint and Embodied Nutrition Evaluation of 388 Recipes. Sci. Data 2023, 10, 794. [Google Scholar] [CrossRef] [PubMed]
- JIS S 2010; Aluminum Cookware. Japanese Industrial Standards Committee: Tokyo, Japan, 2013.
- Japan Society of Thermophysical Properties. Thermophysical Properties Handbook; Yokendo Co., Ltd.: Tokyo, Japan, 2008; ISBN 9784842504261. [Google Scholar]
- Final Report by Microwave Oven Evaluation Standard Subcommittee, Energy Efficiency Standards Subcommittee of the Advisory Committee for Natural Resources and Energy. 2005. Available online: https://www.eccj.or.jp/top_runner/pdf/tr_microwaveoven.pdf (accessed on 30 May 2025).
- Agency for Natural Resources and Energy, Ministry of Economy, Trade and Industry Product Search. Microwave Oven Target Year 2008. Available online: https://seihinjyoho.go.jp/search.html?cat=%E9%9B%BB%E5%AD%90%E3%83%AC%E3%83%B3%E3%82%B8&ty=2008 (accessed on 30 May 2025).
- Agency for Natural Resources and Energy, Ministry of Economy, Trade and Industry Product Search. Rice Cooker Target Year 2008. Available online: https://seihinjyoho.go.jp/search.html?cat=%E3%82%B8%E3%83%A3%E3%83%BC%E7%82%8A%E9%A3%AF%E5%99%A8&ty=2008 (accessed on 30 May 2025).





| Dietary Risk | Definition in Stylianou et al. [24] | Food Group Number and Nutrient Name in NHNS [11] | Associated Health Outcomes (Effect) | Effective Intake [4] | DRFs (DALYs/g-Intake) |
|---|---|---|---|---|---|
| Diet low in vegetables | Fresh, frozen, cooked, canned, or dried vegetables, excluding legumes, salted or pickled vegetables, juices, and starchy vegetables | 25–35, 46, 47 | Hemorrhagic stroke, IHD, IS | <360 g/day | −3.7 × 10−8 |
| Diet low in calcium | Calcium from all sources | Calcium | Colorectal cancer | <1.25 g/day | −1.0 × 10−5 |
| Diet low in fiber | Fiber from all sources | Fiber | IHD, colorectal cancer | <23.5 g/day | −1.4 × 10−6 |
| Diet low in fruits | Fresh, frozen, cooked, canned, or dried, excluding fruit juices and salted or pickled fruits | 39–43, 44 | 10 health outcomes 1 | <250 g/day | −1.5 × 10−7 |
| Diet low in legumes | Fresh, frozen, cooked, canned, or dried legumes | 18, 23 | IHD | <60 g/day | −1.1 × 10−7 |
| Diet low in milk | Milk (including non-fat, low-fat, and full-fat milk) but excluding plant derivatives | 71 | Colorectal cancer | <435 g/day | −1.3 × 10−8 |
| Diet high in processed meat | Meat preserved by smoking, curing, salting, or the addition of chemical preservatives | 63 | T2DM, IHD, colorectal cancer | >2 g/day | 3.4 × 10−7 |
| Diet high in red meat | Beef, pork, lamb, and goat, but excluding poultry, fish, eggs, and all processed meats | 61, 62, 64 | T2DM, colorectal cancer | >22.5 g/day | 3.8 × 10−7 |
| Diet low in nuts | Nut and seed foods | 24 | T2DM, IHD | <20.5 g/day | −1.8 × 10−6 |
| Diet low in PUFA | Omega-6 fatty acids from all sources | n-6 fatty acids | IHD | <11% of total daily energy | −5.9 × 10−7 |
| Diet high in sodium | Dietary sodium from all sources | Sodium | 15 health outcomes 2 | >3.5 g/day | 1.2 × 10−5 |
| Major Dish Group | Subcategory Number | Number of Dishes | Characteristics | Dish Examples |
|---|---|---|---|---|
| Staple dish | 1 | 84 | Staple foods with simple seasonings only, OR energy < 400 kcal, AND protein < 6 g, AND vegetables < 50 g | Plain rice, plain bread |
| 2 | 559 | Energy < 400 kcal AND with other ingredients | Steamed rice (mixed) with red beans, hamburger | |
| 3 | 144 | Energy < 400 kcal AND soup AND with other ingredients | Udon noodles with soup, soba noodles with soup | |
| 4 | 1334 | Energy < 400 kcal AND with other ingredients | Curry rice, chicken-and-egg bowl | |
| 5 | 131 | Energy ≥ 400 kcal AND soup AND with other ingredients | Ramen noodles | |
| Main dish | 6 | 1301 | Total ingredients ≥ 120 g AND protein ≥ 6 g | Grilled fish, beef steak, and grilled chicken |
| 7 | 1901 | Total ingredients ≥ 120 g AND protein ≥ 6 g AND vegetables ≥ 50 g | Vegetable stir fry | |
| 8 | 570 | Total ingredients ≥ 120 g AND soup AND protein ≥ 6 g AND vegetables ≥ 50 g | Japanese hot pot | |
| Soup | 9 | 338 | Soup AND protein < 6 g AND vegetables < 50 g | Tofu miso soup |
| 10 | 285 | Soup AND protein < 6 g AND vegetables ≥ 50 g | Minestrone soup | |
| 11 | 646 | Soup AND protein ≥ 6 g | Pork and vegetable miso soup | |
| Side dish | 12 | 1816 | Dishes that do not fall under category 1–11 AND (protein ≥ 6 g OR vegetables ≥ 50 g OR energy ≥ 100 kcal) | Boiled spinach seasoned with soy sauce |
| 13 | 325 | Dishes that do not fall under category 1–12 | Pickles |
| Q1 | Q2 | Q3 | Q4 | ||||||||||
|---|---|---|---|---|---|---|---|---|---|---|---|---|---|
| (n = 1039) | (n = 855) | (n = 995) | (n = 883) | ||||||||||
| Mean | ± | SD | Mean | ± | SD | Mean | ± | SD | Mean | ± | SD | p for Trend | |
| ANPS score | 52.3 | ± | 8.3 | 69 | ± | 3 | 77.9 | ± | 2.7 | 89.8 | ± | 4.5 | |
| Environmental Impact | |||||||||||||
| Climate Change (kg CO2-eq) | 7.3 × 10−1 | ± | 7.1 × 10−1 | 5.6 × 10−1 | ± | 5.0 × 10−1 | 5.8 × 10−1 | ± | 5.6 × 10−1 | 5.0 × 10−1 | ± | 3.9 × 10−1 | <0.001 |
| Ozone Depletion (kg-CFC-11eq) | 7.8 × 10−8 | ± | 1.2 × 10−7 | 5.3 × 10−8 | ± | 5.7 × 10−8 | 4.7 × 10−8 | ± | 4.9 × 10−8 | 4.2 × 10−8 | ± | 5.1 × 10−8 | <0.001 |
| Air Pollution (kg-SO2eq) | 2.4 × 10−4 | ± | 1.7 × 10−4 | 2.1 × 10−4 | ± | 1.4 × 10−4 | 2.2 × 10−4 | ± | 1.5 × 10−4 | 2.1 × 10−4 | ± | 1.4 × 10−4 | 0.003 |
| Photochemical Oxidants (kg-C2H4eq) | 3.2 × 10−5 | ± | 7.7 × 10−5 | 3.8 × 10−5 | ± | 8.3 × 10−5 | 4.3 × 10−5 | ± | 9.2 × 10−5 | 4.4 × 10−5 | ± | 9.7 × 10−5 | 0.001 |
| Water Consumption (m3) | 1.9 × 10−1 | ± | 1.4 × 10−1 | 1.5 × 10−1 | ± | 1.1 × 10−1 | 1.5 × 10−1 | ± | 1.2 × 10−1 | 1.4 × 10−1 | ± | 9.8 × 10−1 | <0.001 |
| Health Impact (DALYs) | |||||||||||||
| Vegetables | −2.2 × 10−6 | ± | 2.4 × 10−6 | −2.4 × 10−6 | ± | 2.2 × 10−6 | −2.8 × 10−6 | ± | 2.2 × 10−6 | −2.8 × 10−6 | ± | 2.2 × 10−6 | <0.001 |
| Fruits | −2.0 × 10−7 | ± | 1.1 × 10−6 | −2.4 × 10−7 | ± | 1.4 × 10−6 | −1.5 × 10−7 | ± | 9.0 × 10−7 | −1.5 × 10−7 | ± | 7.2 × 10−7 | 0.137 |
| Legumes | −1.0 × 10−7 | ± | 5.8 × 10−7 | −1.5 × 10−7 | ± | 7.4 × 10−7 | −1.9 × 10−7 | ± | 8.7 × 10−7 | −2.6 × 10−7 | ± | 1.2 × 10−6 | <0.001 |
| Milk | −9.0 × 10−7 | ± | 8.0 × 10−7 | −6.6 × 10−7 | ± | 5.2 × 10−7 | −5.1 × 10−7 | ± | 6.0 × 10−7 | −4.9 × 10−7 | ± | 4.5 × 10−7 | |
| Processed Meat | 1.2 × 10−5 | ± | 1.0 × 10−5 | 8.2 × 10−6 | ± | 4.4 × 10−6 | 8.2 × 10−6 | ± | 5.4 × 10−6 | 8.2 × 10−6 | ± | 7.5 × 10−6 | |
| Red Meat | 1.5 × 10−5 | ± | 1.9 × 10−5 | 9.1 × 10−6 | ± | 1.4 × 10−5 | 8.5 × 10−6 | ± | 1.4 × 10−5 | 7.1 × 10−6 | ± | 1.2 × 10−5 | <0.001 |
| Nuts | −8.7 × 10−6 | ± | 1.2 × 10−5 | −1.2 × 10−5 | ± | 1.4 × 10−5 | −8.9 × 10−6 | ± | 1.1 × 10−5 | −9.7 × 10−6 | ± | 1.6 × 10−5 | |
| Calcium | −8.6 × 10−6 | ± | 1.1 × 10−6 | −8.5 × 10−7 | ± | 1.2 × 10−6 | −8.4 × 10−7 | ± | 1.1 × 10−6 | −7.8 × 10−7 | ± | 8.5 × 10−7 | 0.118 |
| Fiber | −4.9 × 10−6 | ± | 6.4 × 10−6 | −4.9 × 10−6 | ± | 5.2 × 10−6 | −5.1 × 10−6 | ± | 5.5 × 10−6 | −4.6 × 10−6 | ± | 4.2 × 10−6 | 0.336 |
| PUFAs | −1.9 × 10−6 | ± | 1.4 × 10−6 | −1.7 × 10−6 | ± | 1.5 × 10−6 | −1.6 × 10−6 | ± | 1.4 × 10−6 | −1.5 × 10−6 | ± | 1.4 × 10−6 | <0.001 |
| Sodium | 1.5 × 10−5 | ± | 4.3 × 10−5 | 1.2 × 10−5 | ± | 7.3 × 10−6 | 1.1 × 10−5 | ± | 9.1 × 10−6 | 7.1 × 10−6 | ± | 5.3 × 10−6 | <0.001 |
| Total Nutritional Health Impact | 2.0 × 10−5 | ± | 4.8 × 10−5 | 9.8 × 10−6 | ± | 1.7 × 10−5 | 8.6 × 10−6 | ± | 1.7 × 10−5 | 3.6 × 10−6 | ± | 1.5 × 10−5 | <0.001 |
| Climate Change | 1.1 × 10−6 | ± | 1.0 × 10−6 | 8.2 × 10−7 | ± | 7.3 × 10−7 | 8.6 × 10−7 | ± | 8.3 × 10−7 | 7.4 × 10−7 | ± | 5.8 × 10−7 | <0.001 |
| Ozone Depletion | 7.2 × 10−11 | ± | 1.1 × 10−10 | 4.9 × 10−11 | ± | 5.3 × 10−11 | 4.4 × 10−11 | ± | 4.5 × 10−11 | 3.8 × 10−11 | ± | 4.7 × 10−11 | <0.001 |
| Air Pollution | 1.6 × 10−8 | ± | 1.2 × 10−8 | 1.4 × 10−8 | ± | 9.8 × 10−9 | 1.5 × 10−8 | ± | 1.0 × 10−8 | 1.4 × 10−8 | ± | 9.7 × 10−9 | 0.003 |
| Photochemical Oxidants | 5.9 × 10−11 | ± | 1.4 × 10−10 | 7.0 × 10−11 | ± | 1.5 × 10−10 | 7.9 × 10−11 | ± | 1.7 × 10−10 | 8.1 × 10−11 | ± | 1.8 × 10−10 | 0.001 |
| Water Consumption | 9.0 × 10−8 | ± | 6.5 × 10−8 | 7.4 × 10−8 | ± | 5.4 × 10−8 | 7.4 × 10−8 | ± | 5.8 × 10−8 | 6.5 × 10−8 | ± | 4.7 × 10−8 | <0.001 |
| Total Environmental Health Impact | 1.2 × 10−6 | ± | 1.1 × 10−6 | 9.1 × 10−7 | ± | 7.8 × 10−7 | 9.5 × 10−7 | ± | 8.8 × 10−7 | 8.2 × 10−7 | ± | 6.1 × 10−7 | <0.001 |
| Integrated Health Impact | 2.1 × 10−5 | ± | 4.8 × 10−5 | 1.1 × 10−5 | ± | 1.8 × 10−5 | 9.6 × 10−6 | ± | 1.8 × 10−5 | 4.5 × 10−6 | ± | 1.6 × 10−5 | <0.001 |
| Q1 | Q2 | Q3 | Q4 | ||||||||||
|---|---|---|---|---|---|---|---|---|---|---|---|---|---|
| (n = 1039) | (n = 855) | (n = 995) | (n = 883) | ||||||||||
| Mean | ± | SD | Mean | ± | SD | Mean | ± | SD | Mean | ± | SD | p for Trend | |
| ANPS score | 52.3 | ± | 8.3 | 69 | ± | 3 | 77.9 | ± | 2.7 | 89.8 | ± | 4.5 | |
| Ingredient Information | |||||||||||||
| Grains (g) * | 3.4 | ± | 12.9 | 4.1 | ± | 17.3 | 4.8 | ± | 19.0 | 3.3 | ± | 13.4 | 0.725 |
| Legumes (g) * | 10.0 | ± | 30.0 | 11.1 | ± | 31.0 | 11.7 | ± | 31.9 | 12.9 | ± | 33.6 | 0.04 |
| Meats (g) | 63.5 | ± | 55.6 | 44.0 | ± | 45.9 | 41.9 | ± | 44.3 | 38.4 | ± | 38.9 | <0.001 |
| Vegetables (g) * | 26.1 | ± | 30.0 | 29.2 | ± | 28.2 | 31.5 | ± | 25.4 | 31.5 | ± | 25.2 | <0.001 |
| Potatoes (g) | 17.3 | ± | 43.9 | 13.0 | ± | 32.1 | 12.7 | ± | 35.5 | 8.0 | ± | 24.2 | <0.001 |
| Eggs (g) | 7.4 | ± | 17.7 | 5.8 | ± | 14.7 | 5.0 | ± | 13.2 | 4.8 | ± | 13.1 | <0.001 |
| Milks (g) * | 7.1 | ± | 23.5 | 3.1 | ± | 14.4 | 2.4 | ± | 12.4 | 2.4 | ± | 11.4 | <0.001 |
| Seafood (g) | 10.2 | ± | 26.2 | 14.8 | ± | 29.0 | 19.4 | ± | 32.9 | 21.7 | ± | 34.2 | <0.001 |
| Mushrooms (g) | 4.5 | ± | 11.0 | 4.2 | ± | 9.9 | 4.3 | ± | 10.3 | 3.8 | ± | 9.4 | 0.202 |
| Fruits (g) * | 1.3 | ± | 7.2 | 1.4 | ± | 8.0 | 0.9 | ± | 5.6 | 1.0 | ± | 4.6 | 0.116 |
| Seaweeds (g) | 0.4 | ± | 3.5 | 0.5 | ± | 4.3 | 0.2 | ± | 2.1 | 0.1 | ± | 1.4 | 0.02 |
| Seeds (g) | 0.3 | ± | 2.0 | 0.5 | ± | 2.8 | 0.3 | ± | 2.0 | 0.4 | ± | 2.9 | 0.631 |
| Sweeteners (g) | 1.4 | ± | 3.4 | 1.2 | ± | 2.9 | 0.8 | ± | 2.1 | 0.4 | ± | 1.5 | <0.001 |
| Vegetables (g) ** | 59.2 | ± | 66.0 | 65.2 | ± | 58.9 | 75.5 | ± | 60.1 | 74.9 | ± | 59.3 | <0.001 |
| Fruits (g) ** | 1.3 | ± | 7.2 | 1.6 | ± | 9.1 | 1.0 | ± | 6.0 | 1.0 | ± | 4.8 | 0.137 |
| Legumes (g) ** | 0.9 | ± | 5.3 | 1.4 | ± | 6.7 | 1.7 | ± | 7.9 | 2.3 | ± | 10.7 | <0.001 |
| Milk (g) ** | 69.6 | ± | 61.5 | 50.8 | ± | 40.0 | 39.2 | ± | 46.5 | 37.4 | ± | 34.5 | |
| Processed Meat (g) | 36.6 | ± | 29.4 | 24.1 | ± | 12.9 | 24.2 | ± | 15.9 | 24.0 | ± | 22.0 | |
| Red Meat (g) | 38.4 | ± | 49.4 | 24.0 | ± | 38.0 | 22.3 | ± | 36.0 | 18.8 | ± | 31.1 | <0.001 |
| Nuts (g) | 4.8 | ± | 6.6 | 6.7 | ± | 7.8 | 4.9 | ± | 6.4 | 5.4 | ± | 8.8 | |
| Nutrient Information | |||||||||||||
| Energy (kcal) | 360.7 | ± | 176.2 | 267.7 | ± | 124.2 | 257.1 | ± | 113.2 | 233.4 | ± | 94.3 | <0.001 |
| Protein (g) | 18.5 | ± | 9.2 | 16.7 | ± | 7.7 | 17.1 | ± | 7.3 | 17.0 | ± | 5.8 | <0.001 |
| Salt (g) | 2.4 | ± | 1.1 | 2.0 | ± | 1.1 | 1.9 | ± | 1.0 | 1.2 | ± | 0.6 | <0.001 |
| Saturated fat (g) | 7.0 | ± | 5.9 | 3.2 | ± | 3.1 | 2.1 | ± | 1.9 | 1.8 | ± | 1.4 | <0.001 |
| Calcium (g) | 0.1 | ± | 0.1 | 0.1 | ± | 0.1 | 0.1 | ± | 0.1 | 0.1 | ± | 0.1 | 0.118 |
| Fiber (g) | 3.5 | ± | 4.6 | 3.5 | ± | 3.7 | 3.6 | ± | 3.9 | 3.3 | ± | 3.0 | 0.336 |
| Polyunsaturated Fatty Acids (PUFAs) (g) | 3.2 | ± | 2.4 | 2.9 | ± | 2.6 | 2.7 | ± | 2.4 | 2.5 | ± | 2.4 | <0.001 |
| Sodium (g) | 1.3 | ± | 3.6 | 1.0 | ± | 0.6 | 0.9 | ± | 0.8 | 0.6 | ± | 0.4 | <0.001 |
| Impact Category (DALYs/Each Midpoint Category Impact) | LIME3 | IMPACT World+ | ReCiPe2016 (I) | ReCiPe2016 (H) | ReCiPe2016 (E) |
|---|---|---|---|---|---|
| Global warming (kg-CO2eq−1) | 1.47 × 10−6 | 8.18 × 10−7 | 8.12 × 10−8 | 9.28 × 10−7 | 1.25 × 10−5 |
| Ozone depletion (kg-CFC11 eq−1 ) | 9.22 × 10−4 | 1.76 × 10−3 | 2.37 × 10−4 | 5.31 × 10−4 | 1.34 × 10−3 |
| Fine particulate matter formation (kg-PM2.5 eq−1) | 5.22 × 10−4 | 1.20 × 10−3 | 6.29 × 10−4 | 6.29 × 10−4 | 6.29 × 10−4 |
| Photochemical ozone formation (kg-NMVOC−1) | 1.85 × 10−6 | 3.90 × 10−8 | 1.64 × 10−7 | 1.64 × 10−7 | 1.64 × 10−7 |
| Water consumption (m3 −1 ) | 4.78 × 10−7 | 6.35 × 10−5 * | 3.10 × 10−6 | 2.22 × 10−6 | 2.22 × 10−6 |
| Ionizing radiation (kBq-Co-60 eq−1) | - | 1.65 × 10−8 | 6.80 × 10−9 | 8.50 × 10−9 | 1.40 × 10−8 |
| Toxicity (cancer) (kg-1,4-DCB emitted to urban air eq−1) | - | 2.08 × 10−6 | 3.32 × 10−6 | 3.32 × 10−6 | 3.32 × 10−6 |
| Toxicity (non-cancer) (kg-1,4-DCB emitted to urban air eq−1) | - | 1.46 × 10−7 | 6.65 × 10−9 | 6.65 × 10−9 | 6.65 × 10−9 |
| NPS | Major Countries of Use/Institutional Positioning | Encouraged Nutrients (Addition Factor) | Limited Nutrients (Reduction Factor) | Standard Unit | Calculation Logic | Output Format/Remarks |
|---|---|---|---|---|---|---|
| ANPS for dishes | Japan/company development | Protein and vegetable intake | Sodium, SFAs | Per dish | Encouraged items: add 10 points to achieve the target value; reduce 1 point for each 10% shortfall. Limited items: reduce 10 points for not achieving the target value; reduce 1 point for each 10% excess (for sodium only, 10% excess = 0.5 point reduction for high sensitivity). For each item, full 40 points × 2.5 = converted to 0–100 points | Consecutive scores on a scale of 0–100 (the higher the better). Conforms to Japanese food form (one soup and three dishes) |
| Nutri-Score | France and other EU countries/ FoP Label | FVNL 1, dietary fiber, protein | Energy, sodium, SFAs, total sugars | Per 100 g or 100 ml | Subtract addition points based on encouraged items (0–15) from reduction points based on limited items (0–40); rating on a 5-point scale (A-E) based on threshold values | 5-color labels for A (dark green) to E (red); reduction-point-dominant design |
| HSR | Australia, New Zealand/ FoP Label | FVNL, dietary fiber, protein | Energy, sodium, SFAs, total sugars | Per 100 g or 100 mL | Subtract modifying points (P, V, F) based on limited items from baseline points based on encouraged items; rating on a 10-point scale with categorical thresholds | 0.5 −5 (0.5 increments). Addition-point-dominant design |
| NRF9.3 | US/research | Protein, dietary fiber, vitamins A/C/E, Ca, Fe, Mg, K | Sodium, SFAs, added sugars | Per 100 kcal | Subtract the sum of the percentages of 3 limited nutrients from %MRV4 from the sum of the percentages of 9 encouraged nutrients from %DV3 (up to 100% of each) | Continuous value (the higher the value, the better the nutrient density) |
Disclaimer/Publisher’s Note: The statements, opinions and data contained in all publications are solely those of the individual author(s) and contributor(s) and not of MDPI and/or the editor(s). MDPI and/or the editor(s) disclaim responsibility for any injury to people or property resulting from any ideas, methods, instructions or products referred to in the content. |
© 2025 by the authors. Licensee MDPI, Basel, Switzerland. This article is an open access article distributed under the terms and conditions of the Creative Commons Attribution (CC BY) license (https://creativecommons.org/licenses/by/4.0/).
Share and Cite
Sugiyama, G.; Onoda, A.; Nii, S.; Furuta, C.; Nakamura, K.; Itsubo, N. Integrating Environmental and Nutritional Health Impacts Using Disability-Adjusted Life Years: Study Using the Ajinomoto Group Nutrient Profiling System Toward Healthy and Sustainable Japanese Dishes. Sustainability 2025, 17, 7977. https://doi.org/10.3390/su17177977
Sugiyama G, Onoda A, Nii S, Furuta C, Nakamura K, Itsubo N. Integrating Environmental and Nutritional Health Impacts Using Disability-Adjusted Life Years: Study Using the Ajinomoto Group Nutrient Profiling System Toward Healthy and Sustainable Japanese Dishes. Sustainability. 2025; 17(17):7977. https://doi.org/10.3390/su17177977
Chicago/Turabian StyleSugiyama, Genta, Akito Onoda, Sachi Nii, Chie Furuta, Keiji Nakamura, and Norihiro Itsubo. 2025. "Integrating Environmental and Nutritional Health Impacts Using Disability-Adjusted Life Years: Study Using the Ajinomoto Group Nutrient Profiling System Toward Healthy and Sustainable Japanese Dishes" Sustainability 17, no. 17: 7977. https://doi.org/10.3390/su17177977
APA StyleSugiyama, G., Onoda, A., Nii, S., Furuta, C., Nakamura, K., & Itsubo, N. (2025). Integrating Environmental and Nutritional Health Impacts Using Disability-Adjusted Life Years: Study Using the Ajinomoto Group Nutrient Profiling System Toward Healthy and Sustainable Japanese Dishes. Sustainability, 17(17), 7977. https://doi.org/10.3390/su17177977

