Next Article in Journal
Fostering Transformative Change in Vulnerable Settings: How Knowledge Processes Unfold Across Pro-Environmental Initiatives
Previous Article in Journal
Inclusive Green Development in China’s Petroleum and Gas Industry: Regional Disparities and Diagnosis of Drivers
 
 
Font Type:
Arial Georgia Verdana
Font Size:
Aa Aa Aa
Line Spacing:
Column Width:
Background:
Article

How Do Vertical Alliances Form in Agricultural Supply Chains?—An Evolutionary Game Analysis Based on Chinese Experience

College of Economics and Management, Xinjiang Agricultural University, Ürümqi 830052, China
*
Author to whom correspondence should be addressed.
Sustainability 2025, 17(17), 7975; https://doi.org/10.3390/su17177975
Submission received: 8 August 2025 / Revised: 1 September 2025 / Accepted: 2 September 2025 / Published: 4 September 2025

Abstract

Vertical alliances within agricultural supply chains serve as critical institutional vehicles for deepening triple-sector integration (primary–secondary–tertiary) in rural economies, driving agricultural modernization, and advancing rural revitalization. However, sustaining alliance stability constitutes a complex dynamic process wherein inadequate stakeholder engagement and collaborative failures frequently precipitate alliance instability or even dissolution. Existing scholarship exhibits limited systematic examination of the micro-mechanisms and regulatory pathways through which multi-agent strategic interactions affect alliance stability from a dynamic evolutionary perspective. To address this gap, this research focuses on China’s core agricultural innovation vehicle—the Agricultural Industrialization Consortium—and examines the tripartite structure of “Leading Enterprise–Family Farm–Integrated Agricultural Service Providers.” We construct a tripartite evolutionary game model to systematically analyze (1) the influence mechanisms governing cooperative strategy selection, and (2) the regulatory effects of key parameters on consortium stability through strategic stability analysis and multi-scenario simulations. Our key findings are as follows: Four strategic equilibrium scenarios emerge under specific conditions, with synergistic parameter optimization constituting the fundamental driver of alliance stability. Specific mechanisms are as follows: (i) compensation mechanisms effectively mobilize leading enterprises under widespread defection, though excessive penalties erode reciprocity principles; (ii) strategic reductions in benefit sharing ratios coupled with moderate factor value-added coefficients are critical for reversing leading enterprises’ defection; (iii) dual adjustment of cost sharing and benefit sharing coefficients is necessary to resolve bilateral defection dilemmas; and (iv) synchronized optimization of compensation, cost sharing, benefit sharing, and value-added parameters represents the sole pathway to achieving stable (1,1,1) full-cooperation equilibrium. Critical barriers include threshold effects in benefit sharing ratios (defection triggers when shared benefits > cooperative benefits) and the inherent trade-off between penalty intensity and alliance resilience. Consequently, policy interventions must balance immediate constraints with long-term cooperative sustainability. This study extends the application of evolutionary game theory in agricultural organization research by revealing the micro-level mechanisms underlying alliance stability and providing a novel analytical framework for addressing the ‘strategy–equilibrium’ paradox in multi-agent cooperation. Our work not only offers new theoretical perspectives and methodological support for understanding the dynamic stability mechanisms of agricultural vertical alliances but also establishes a substantive theoretical foundation for optimizing consortium governance and promoting long-term alliance stability.

1. Introduction

As global agriculture grapples with multiple systemic challenges—including smallholders’ limited market access, insufficient resilience of supply chains, mounting environmental pressures, and growing consumer demand for quality traceability [1,2]—promoting vertical integration and co-evolution within agricultural supply chains has emerged as a critical pathway to enhancing the competitiveness of agricultural systems and achieving inclusive and sustainable development. Against this backdrop, the stability of agricultural industrialization alliances is vital not only for mitigating “Baumol’s cost disease” in agriculture [3,4] and addressing the structural constraints of “large economy with smallholders” but also for directly advancing multiple sustainable development goals. These include ensuring food security [5], improving farmers’ livelihoods, enhancing supply chain resilience, and promoting the sustainable use of agricultural resources [6].
As a core organizational vehicle for achieving vertical integration, agricultural vertical alliances refer to long-term strategic collaborations formed among actors across different stages of the supply chain through contracts, equity agreements, and relational governance mechanisms [7]. Their essence lies in breaking down traditional fragmentation among agricultural sectors and enabling the vertical integration and synergistic optimization of resources, information, and technology [8].
In the context of Chinese practice, the Agricultural Industrialization Consortium (AIC) has been established as an advanced form of vertical alliance [9]. As a concrete application and refinement of vertical alliance theory within Chinese policy, the AIC is explicitly defined as an integrated agricultural management alliance comprising “leading enterprises, farmer cooperatives, family farms, and other new agricultural entities based on division of labor, scale operation, and interest linkage” (Ministry of Agriculture and Rural Affairs Document [2017] No. 9). Under national policy guidance, AICs have undergone stages of exploration, standardization, and quality enhancement, shouldering the critical mission of connecting smallholder farmers with modern agricultural development [10,11].
From an international perspective, vertical coordination models—whether contract farming, producer organizations, or agribusiness complexes [12,13,14]—have consistently enhanced industrial efficiency yet have also encountered widespread challenges related to instability and sustainability. Similarly, China’s Agricultural Industrialization Consortia (AICs) face governance dilemmas in practice: imperfect profit distribution mechanisms undermine cooperative trust [15,16], contractual incompleteness incentivizes opportunistic behavior [17], external shocks exacerbate systemic vulnerabilities, and divergent goals among heterogeneous actors often lead to strategic misalignment and alliance fragmentation [18]. These practical contradictions reveal a core issue: the rapid, policy-driven expansion in the number of AICs has not automatically translated into high-quality and sustainable alliance governance structures. The root cause lies in the dynamic disequilibrium and absence of evolutionary mechanisms within the strategic interactions among micro-level actors.
Against this empirical and theoretical backdrop, it becomes imperative to systematically address the following questions: (i) How do core actors within AICs—such as leading enterprises, family farms, and integrated agricultural service providers—navigate their strategic interactions to transition from initial cooperative intentions to the formation of a stable alliance? (ii) Under multiple sources of internal and external uncertainty, does a stable equilibrium exist that is resilient to disturbances and capable of sustaining alliance evolution? (iii) If such an equilibrium exists, what are the key thresholds and institutional mechanisms underpinning its formation and maintenance? Addressing these questions is critical for designing more resilient and inclusive agricultural industrial policies that facilitate the effective integration of smallholders into modern agricultural systems. Therefore, investigating the formation mechanisms of alliance stability constitutes a fundamental response to the core issues of economic, social, and environmental sustainability within agricultural supply chains.
The existing literature, primarily grounded in traditional frameworks such as transaction cost theory [19] and the resource-based view [20], has laid a foundation for understanding the logic of formation and effects of vertical alliances [21,22,23]. However, studies focusing on the “formation process” and “evolutionary dynamics” of alliances suffer from notable limitations; much of the literature relies on static or comparative static analysis, failing to capture the full trajectory of alliances from emergence and formation to stabilization or disintegration. There is an emphasis on discussing equilibrium existence while insufficient exploration of critical stability conditions and underlying micro-mechanisms, and limited rationality, adaptive learning, and strategic heterogeneity of agents are often inadequately characterized; methodologically, case studies and static game models struggle to depict the dynamic co-evolution of multi-agent strategies, and systematic modeling integrating sustainability dimensions into evolutionary analysis remains scarce.
In light of this, our study focuses on China’s Agricultural Industrialization Consortium model—structured around “leading enterprises + family farms + integrated agricultural service providers”—and employs evolutionary game theory to develop a dynamic model of tripartite strategic interaction. This research aims to (1) uncover the strategic adjustment pathways and population dynamics during alliance formation and evolution; (2) identify key conditions under which the system converges to a stable equilibrium; and (3) elucidate the intrinsic micro-mechanisms and governance implications for sustaining alliance development, thereby providing a micro-dynamic explanation for the coordinated evolution of agricultural supply chains. The findings will not only enhance the understanding of alliance stability mechanisms but also offer important theoretical support for promoting sustainable development in agricultural supply chains.

2. Literature Review

2.1. Practical Models, Effects, and Sustainability Challenges of Vertical Alliances in the Agricultural Supply Chain

Vertical coordination in global agricultural supply chains exhibits diverse forms, with the core objectives of overcoming market failures, reducing transaction costs, enhancing efficiency and competitiveness, and ultimately driving the sustainable transformation of agricultural systems. Contract farming links production with the market through formal agreements, clarifying the rights and responsibilities of producers and buyers. It not only improves smallholders’ access to high-value chains but also strengthens supply chain stability and sustainability to some extent [21,22,24]. Producer organizations (e.g., cooperatives) enhance smallholders’ bargaining power through collective action, proving effective in stabilizing supplies and securing fair prices, thereby providing institutional support for sustainable rural communities and livelihood resilience [25]. Agribusiness complexes achieve full-process control through vertical integration, significantly improving operational efficiency via economies of scale and internalized transactions. Their potential in resource-intensive utilization and environmental management is also increasingly recognized [12,26]. These models form a spectrum of collaboration ranging from loose market relations to tight ownership-based control, offering a practical basis for understanding the complex relationship between agricultural vertical coordination and sustainability.
In the Chinese context, the Agricultural Industrialization Consortium (AIC) is a highly organized form of vertical alliance widely regarded as an important vehicle for achieving agricultural modernization and sustainable development. Existing studies emphasize its organizational features centered on division of labor, scaled operations, and interest linkage, highlighting the consortium’s positive role in bridging smallholders and markets, facilitating technology diffusion, reducing transaction costs, and enhancing the addition of value to the supply chain [11]. These effects not only improve the economic performance of agricultural systems but also create potential for inclusive growth and sustainable rural development.
However, extensive empirical research also indicates that AICs face significant stability challenges in practice, which directly constrain their sustainability performance. Examples include trust crises triggered by inequitable profit-sharing mechanisms, opportunistic behavior induced by contractual incompleteness, systemic vulnerabilities under external market and environmental shocks, and strategic misalignment or cooperation breakdown due to divergent goals among actors [15,17,18]. A representative case is drawn from China’s dairy alliance: dairy-processing firms (as leading enterprises) often provide contracted farms with breeding cattle, feed, and technical services, while requiring the latter to invest in facility upgrades [10]. However, when international milk prices fluctuate sharply, opportunism readily emerges within the alliance; for instance, processors may raise quality standards to suppress procurement prices, or farms may breach contracts to resell to third parties when spot prices exceed contracted rates. Such speculative behaviors, arising from the inherent inability of contracts to cover all uncertainties, not only lead to economic waste and erosion of social trust but also undermine the willingness and capacity of alliance members to co-invest in long-term environmental initiatives such as emission reduction technologies. Consequently, these dynamics fundamentally impede the enhancement of environmental sustainability in the supply chain [27,28]. Therefore, investigating the stability mechanisms of AICs constitutes a fundamental inquiry into the economic, social, and environmental sustainability of agricultural industrialization.
Although existing studies have extensively discussed the models, effects, and stability challenges of agricultural vertical alliances, most remain confined to static perspectives and ex-post analysis, lacking in-depth dissection of the dynamic process of “how alliances form.” Particularly notable is the failure of the current literature to systematically explain the sustainability dynamics during alliance formation and evolution—for instance, how multiple actors achieve synergies across economic returns, social equity, and environmental outcomes through strategic interaction, and under what governance conditions alliances can be guided toward long-term sustainable pathways. This theoretical gap not only limits the understanding of alliance stability mechanisms but also diminishes the practical relevance of research findings for policy making in sustainable agricultural development.

2.2. Determinants of Alliance Formation and Methodological Limitations

Understanding alliance formation requires analyzing key determinants across three dimensions (Figure 1), detailed as follows. Leading enterprises (LEs): As core drivers, LEs seek stable high-quality inputs, reduced transaction costs, scale/scope economies, market power enhancement, and policy incentives. Their resource endowments, strategic positioning, risk preferences, and commitment to relational contracts critically influence alliance initiation [29].
Family farms (FFs): Smallholders prioritize risk mitigation, stable markets/income, access to technology/capital/services, and overcoming scale/information asymmetries. Participation hinges on trust in partners, perceived contract fairness/safeguards, resource complementarity, capabilities, and opportunity cost assessments.
Integrated agricultural service providers (IASPs): These enablers and cohesion forces (e.g., specialized cooperatives, machinery service firms) seek expanded service markets, scale efficiencies, legitimacy, and resource integration. Service capacity, specialization, relational embeddedness, and contract design efficacy determine their role.
Regarding methodological critiques of extant approaches, case studies offer rich contextual insights but lack generalizability for dynamic patterns and causal quantification. Econometric models identify participation determinants yet reduce complex dynamics to static snapshots, ignoring strategic interactions. Transaction cost economics and the resource-based view provide static theoretical foundations for hybrid governance and value co-creation [15,30,31] but fail to model (i) dynamic formation pathways and (ii) evolution of interest conflicts during resource integration. Core limitations in explaining formation dynamics include (1) dynamic neglect: methods capture static equilibria, not continuous trajectories from initial contact → strategic probing → adaptive learning → coalition formation. Similarly, there is the problem of (2) oversimplified behavior: assumptions of perfect rationality or fixed behavior ignore bounded rationality, agent heterogeneity, and adaptive learning through imitation/experimentation; (3) Inability to model complex interactions means that conventional tools cannot capture multilateral, repeated, interdependent strategic interactions among LEs, FFs, and IASPs or their co-evolutionary outcomes. (4) The absence of formation threshold frameworks means that no generalizable models quantify initial conditions or interaction rules enabling transitions from non-cooperation to stable alliances.

2.3. Applicability of Evolutionary Game Theory and Research Positioning

Evolutionary game theory provides a powerful methodological framework for analyzing multi-agent strategic interactions and the evolution of complex systems. It is particularly well suited to characterizing the dynamic convergence process of group behaviors and the mechanisms underlying equilibrium attainment under conditions of bounded rationality. By incorporating evolutionary mechanisms such as replicator dynamics, this approach can not only identify the existence of systemic equilibria but also reveal the path dependency and critical threshold conditions of strategic evolution. As a result, it has been widely applied to various complex decision making contexts, including industrial coordination, supply chain collaboration, public goods provision, and ecological governance [11,32,33,34].
Existing research in the agricultural sector has predominantly focused on the role of external policy interventions—especially those of the government—in alliance formation, giving rise to a government-dominated research paradigm. For example, Sun et al. (2024) constructed a dual-party game model under government incentives in the context of China’s agricultural digital transformation, analyzing how policy interventions affect the stability of cooperation among agricultural operators [34]. Sun et al. (2023) examined corporate collaborative behaviors within a government reward–punishment framework in the context of tourism destination brand co-creation [32], while Luo et al. (2023) explored the role of subsidy mechanisms in mitigating free-riding behavior in low-carbon agricultural technology collaborations within a tripartite “government–enterprise–university” structure [11]. These studies consistently demonstrate that the government, as an exogenous regulator or motivator, plays a crucial role in facilitating cooperative equilibria. However, they have also inadvertently reinforced a “policy-dependent” cooperation paradigm, failing to uncover how endogenous market dynamics drive the emergence of cooperation in the absence of external interventions and the implications of such dynamics for systemic sustainability.
Against this theoretical backdrop, this study aims to shift the perspective from an “exogenous policy-driven” to an “endogenous market-coordination” approach. By systematically abstracting away government variables, we develop a tripartite evolutionary game model involving leading enterprises, family farms, and specialized service organizations. This model focuses on the self-organizing formation mechanisms of agricultural supply chain alliances and their sustainability implications in the absence of external policy interventions. This modeling approach not only better aligns with the organizational reality of China’s Agricultural Industrialization Consortium (AIC) but also helps address the literature’s underemphasis on market-driven cooperation mechanisms and their link to sustainable development.
The theoretical contributions of this study are threefold. First, conceptually, it moves beyond the traditional “policy cooperation” evolutionary framework by shifting the focus to the evolutionary dynamics of spontaneous market-based collaboration, thereby providing a more endogenous explanation for the formation and stability of agricultural alliances. Second, in terms of model construction, it abandons the conventional assumption of government intervention, instead analyzing the equilibrium paths and convergence conditions of alliance formation within a tripartite “enterprise–farm–service organization” market framework. This allows us to uncover how different cooperative strategy combinations affect systemic sustainability. Third, analytically, it emphasizes the asymptotic stability of full cooperation equilibrium and its threshold conditions, thereby identifying key parameters for sustaining alliance operation and deriving policy implications. This offers a theoretical basis for fostering the long-term robust development of agricultural economic systems.
Although the existing literature has provided valuable insights into the models, effects, stability challenges, and influencing factors of vertical alliances in agricultural supply chains—laying an important foundation for understanding the “existence” and “problem diagnosis” of such alliances—significant research gaps remain regarding the dynamic evolutionary process of “how alliances form.” First, studies on dynamic processes are scarce, with a lack of systematic analysis of the continuous trajectory from initial strategic interactions among heterogeneous actors to final alliance formation. Second, micro-level formation mechanisms remain unclear, with insufficient exploration of the micro-dynamics—such as strategic learning and imitation among actors—that drive alliance formation. Third, theoretical tools are limited; existing methods struggle to capture the complex process of multi-agent strategic co-evolution under bounded rationality, and a universal theoretical framework for analyzing the dynamic process of “alliance formation” is notably absent. Fourth, context-specific research within China is lacking, particularly studies that employ a dynamic evolutionary perspective to explore the self-organizing formation process and stability conditions of the localized, policy-guided “tripartite entity” structure of AICs.
In light of these gaps, this study focuses on the typical AIC model in China, which integrates “leading enterprises + family farms + integrated agricultural service providers.” The core research question is as follows: How does such a vertical alliance self-organize and achieve stability under market conditions? By constructing a tripartite evolutionary game model, this study aims to analyze how multi-agent strategic interactions drive systemic evolution, identify the critical conditions for convergence to a stable equilibrium, and reveal the underlying micro-mechanisms that sustain the alliance. This will not only provide a micro-dynamic explanation for the formation of China’s AICs but also offer theoretical insights and policy implications for optimizing alliance governance and promoting the sustainable and synergistic development of agricultural supply chains.

3. Model Specification

3.1. Fundamental Assumption

Building upon evolutionary game theory and incorporating principles of profit maximization and imperfect competition, we formalize the following research hypotheses with key parameters defined in Table 1.
Hypothesis 1.
Within the tripartite Agricultural Industrialization Consortium (AIC), the leading enterprise (LE), family farms (FFs), and integrated agricultural service provider (IASP) constitute a hierarchical Stackelberg game structure. Reflecting bounded rationality: The LE, as the core decision maker, holds the strategy set F ( x ) : {choosing to Initiate the Consortium (probability x ) or Not Initiate (probability 1 x )}. FFs (strategy set F ( y ) ) and IASP (strategy set F ( z ) ), as subordinate agents, share the strategy space: {Cooperate (probability y , z ), Defect (probability   1 y , 1 z )}.
Hypothesis 2.
When all three parties fail to cooperate, each obtains their baseline returns ( R 1 ,   R 2 ,   R 3 )   from independent operations. If the core enterprise initiates a consortium while a subordinate party (either the family farm or the integrated agricultural service provider) defaults, the breaching party must provide compensation at a rate of s . When a subordinate party chooses to cooperate, it bears a proportion α of the consortium formation cost C incurred by the core enterprise, where α represents the cost sharing coefficient. In return, the core enterprise distributes a portion λ of the cooperative gains to the collaborating party, where λ denotes the profit sharing coefficient.
Hypothesis 3.
Cooperation depth ( b , b 1 , b 2 [ 0 , 1 ] ), with b = 2 b 1 = 2 b 2 , is a core endogenous variable. This assumption captures the leading enterprise’s dominant role and substantial upfront investment in alliance formation. Its decision on cooperation depth effectively constrains the maximum level of cooperation attainable from subordinate partners, reflecting both structural power asymmetry and resource commitment realities in agricultural vertical alliances. Cooperation costs follow ( C b = k × b 2 2 ) where k = cost intensity coefficient. This quadratic functional form captures increasing marginal resource integration difficulties prevalent in agricultural supply chains (Table 1).
Hypothesis 4.
Scale economies activate only under full tripartite cooperation ( x = y = z = 1 ), amplifying system-wide returns to β R 1 + R 2 + R 3 , where β > 1 denotes the total factor productivity multiplier. This mechanism explains the empirical necessity of full-chain participation for consortium viability.
This framework extends beyond conventional dyadic models by introducing cooperation depth parameters, formalizing the scale economies’ trigger condition (full cooperation), and modeling quadratic cooperation costs to reflect real-world integration constraints. The agents’ strategy sets are summarized in Table 2.

3.2. Model Analysis

Based on relevant research [33,34], we define the game’s framework by outlining the players’ binary strategies and key decision parameters (see Assumptions 1–4). We then formalize the tripartite evolutionary game payoff matrix (Table 3). The expected payoffs for the leading enterprise (LE) are defined as follows: we define E a 1 as the expected payoff when LE chooses Initiate and E a 2 for the expected payoff when LE chooses Not Initiate. The population-averaged expected payoff is denoted E a . These payoffs are formally expressed as
E a 1 = y z [ β R 1 1 λ 1 2 1 s α k b 2 ] + z 1 y [ R 1 1 λ 1 2 1 s α k b 2 ] + 1 z y [ R 1 1 λ 1 2 1 s α k b 2 ] + ( 1 y ) ( 1 z ) [ R 1 1 2 1 s k b 2 ] E a 2 = y z [ β R 1 + 1 2 α k b 2 ] + z 1 y ( R 1 + 1 3 α k b 2 ) + y 1 z ( R 1 + 1 3 α k b 2 ) + ( 1 y ) ( 1 z ) R 1 E a = x E a 1 + ( 1 x ) E a 2
The evolutionary trajectory of the leading enterprises (LEs)’ strategies is governed by the replicator dynamics equation:
F x = d x d t = x E a 1 E a = x ( 1 x ) E a 1 E a 2
When E a 1 = E a 2 , the system reaches a state of neutral stability ( F ( x ) 0 ) irrespective of the initial proportion x of initiating LEs. Under payoff asymmetry, the boundary equilibria occur at x = 0   a n d   x = 1 . Stability at these equilibria is determined by the first derivative:
d F x d x = 1 2 x [ y ( 2 z λ R 1 + 1 6 α k b 2 β z λ R 1 1 3 z α k b 2 λ R 1 ) + 1 2 k s b 2 z λ R 1 1 2 k b 2 + 1 6 z α k b 2 ]
When E a 1 > E a 2 , the derivative satisfies d F ( x ) d x x = 1 < 0 and d F ( x ) d x x = 0 > 0 . This establishes x = 1 as an asymptotically stable equilibrium, demonstrating that LEs will evolutionarily converge to initiating consortia. When E a 1 < E a 2 , d F ( x ) d x x = 1 > 0 and d F ( x ) d x x = 0 < 0 hold. Consequently, x = 0 becomes asymptotically stable, indicating systemic convergence toward non-initiation.
For family farms (FFs), the expected payoffs are defined as follows: We define E b 1 and E b 2 as the expected payoffs for adopting the Cooperate and Defect strategies, respectively. The population-averaged expected payoff is denoted E b . These payoffs are formally expressed as
E b 1 = x z [ β ( R 1 + 1 2 λ R 1 ) s + α 4 k b 2 ] + x 1 z ( R 2 + 1 2 λ R 1 1 2 α k b 2 ) + z 1 x β R 2 1 4 α k b 2 + ( 1 x ) ( 1 z ) ( R 2 1 2 α k b 2 ) E b 2 = x z R 2 + 1 2 λ R 1 1 2 s k b 2 + x 1 z R 2 1 4 s k b 2 + 1 x z R 2 + 1 6 α k b 2 + ( 1 x ) ( 1 z ) R 2 E b = y E b 1 + ( 1 y ) E b 2
The evolutionary trajectory of the family farms (FFs)’ strategies is governed by the replicator dynamics equation:
F y = d y d t = y E b 1 E b = y ( 1 y ) E b 1 E b 2
The replicator dynamics governing family farm (FF) strategy evolution satisfy the critical stability condition: When E b 1 = E b 2 , F y 0 for all y, establishing a state of evolutionary neutrality where all strategy distributions are stable. Under payoff asymmetry, the boundary equilibria emerge at y = 0 and y = 0 . Stability at these equilibria is determined by the first derivative:
d F y d y = 1 2 y [ x ( 1 2 λ R 1 z λ R 1 + 1 4 s k b 2 + 1 2 z λ β R 1 + 1 6 z α k b 2 ) + 1 12 z α k b 2 z R 2 1 2 k α b 2 + z β R 2 ]
When E b 1 > E b 2 , it follows that d F ( y ) d y y = 1 < 0 and d F ( y ) d y y = 0 > 0 . This establishes y = 1 as an asymptotically stable equilibrium, demonstrating that family farms will evolutionarily converge to cooperation.
When E b 1 < E b 2 , d F ( y ) d y y = 1 > 0 and d F ( y ) d y y = 0 < 0 hold. Consequently, y = 0 becomes asymptotically stable, indicating systemic convergence toward defection.
For integrated agricultural service providers (IASPs), the expected payoffs are defined as follows: We define E c 1 and E c 2 as the expected payoffs when IASPs adopt the Cooperate and Defect strategies, respectively. The population-averaged expected payoff is denoted by E c . These payoffs are formally expressed as
E c 1 = x y [ β ( R 3 + 1 2 λ R 1 ) s + α 4 k b 2 ] + x 1 y R 3 + 1 2 λ R 1 1 2 α k b 2 + 1 x y β R 3 1 4 α k b 2 + ( 1 x ) ( 1 y ) ( R 3 1 2 α k b 2 ) E c 2 = x y R 3 + 1 2 λ R 1 1 2 s k b 2 + x 1 y R 3 1 4 s k b 2 + y 1 x R 3 + 1 6 α k b 2 + ( 1 x ) ( 1 y ) R 3 E c = z E c 1 + ( 1 z ) E c 2
The evolutionary dynamics of integrated agricultural service providers (IASPs) are governed by
F z = d z d t = z E c 1 E c = z ( 1 z ) E c 1 E c 2
When E c 1 = E c 2 , F z 0 for all z, establishing evolutionary neutrality where all strategy distributions are stable. Under payoff asymmetry, boundary equilibria emerge at z = 0 and z = 1 . The stability determinant is given by
d F z d z = 1 2 z [ x ( 1 2 λ R 1 y λ R 1 + 1 4 s k b 2 + 1 2 y λ β R 1 1 6 y α k b 2 ) + 1 12 y α k b 2 y R 3 1 2 k α b 2 + y β R 3 ]
When E c 1 > E c 2 , it follows that d F ( z ) d z z = 1 < 0 and d F ( z ) d z z = 0 > 0 . This establishes z = 1 as an asymptotically stable equilibrium, demonstrating that CSSSO will evolutionarily converge to cooperation.
When E c 1 < E c 2 , d F ( z ) d z z = 1 > 0 and d F ( z ) d z z = 0 < 0 hold. Consequently, z = 0 becomes asymptotically stable, indicating systemic convergence toward defection.

3.3. Stable Equilibrium Analysis

Per Ritzberger and Weibull (1995), asymptotically stable solutions of multi-population replicator dynamics must constitute strict Nash equilibria, i.e., inherently pure-strategy equilibria [35]. Solving the coupled replicator equations F x = 0 , F y = 0 , F z = 0 yields eight pure-strategy equilibrium points: E 1 ( 0 , 0 , 0 ) , E 2 ( 0 , 1 , 0 ) , E 3 ( 0 , 0 , 1 ) , E 4 ( 0 , 1 , 1 ) , E 5 ( 1 , 0 , 0 ) , E 6 ( 1 , 1 , 0 ) , E 7 ( 1 , 0 , 1 ) , E 8 ( 1 , 1 , 1 ) . Thus, asymptotic stability analysis focuses exclusively on these boundary equilibria.
Following Lyapunov’s first method, we evaluate local stability through linearization. The Jacobian matrix J (Equation (10)) governs stability; if all eigenvalues of J possess negative real parts, the equilibrium is asymptotically stable (or an evolutionarily stable strategy, ESS). If any eigenvalue has a positive real part, the equilibrium is unstable (a saddle point) [36]. Let J denote the Jacobian:
J = J 11 J 12 J 13 J 21 J 22 J 23 J 31 J 32 J 33
The elements of the Jacobian matrix are defined by Equation (11):
J 11 = F x x = d F x d x = 1 2 x [ y ( 2 z λ R 1 + 1 6 α k b 2 β z λ R 1 1 3 z α k b 2 λ R 1 ) + 1 2 k s b 2 z λ R 1 1 2 k b 2 + 1 6 z α k b 2 ] J 12 = F x y = x ( 1 x ) ( 2 z λ R 1 + 1 6 α k b 2 β z λ R 1 1 3 z α k b 2 λ R 1 ) J 13 = F x z = x ( 1 x ) ( 2 y λ R 1 + 1 6 α k b 2 β y λ R 1 1 3 y α k b 2 λ R 1 ) J 21 = F y x = y ( 1 y ) ( 1 2 λ R 1 z λ R 1 + 1 4 s k b 2 + 1 2 z λ β R 1 + 1 6 z α k b 2 ) J 22 = F y y = 1 2 y [ x ( 1 2 λ R 1 z λ R 1 + 1 4 s k b 2 + 1 2 z λ β R 1 + 1 6 z α k b 2 ) + 1 12 z α k b 2 z R 2 1 2 k α b 2 + z β R 2 ] J 23 = F y z = y ( 1 y ) ( x λ R 1 + 1 12 α k b 2 + 1 2 x λ β R 1 + 1 6 x α k b 2 R 2 + β R 2 J 31 = F z x = z ( 1 z ) ( 1 2 λ R 1 y λ R 1 + 1 4 s k b 2 + 1 2 y λ β R 1 1 6 y α k b 2 ) J 32 = F z y = z ( 1 z ) [ x ( λ R 1 + 1 2 λ β R 1 1 6 α k b 2 ) + 1 12 α k b 2 R 3 + β R 3 ] J 33 = F z z = 1 2 z [ x ( 1 2 λ R 1 y λ R 1 + 1 4 s k b 2 + 1 2 y λ β R 1 1 6 y α k b 2 ) + 1 12 y α k b 2 y R 3 1 2 k α b 2 + y β R 3 ]
Each equilibrium point is substituted into Equation (11) to derive its corresponding three eigenvalues (Table 4). Per the Lyapunov stability criterion, all eigenvalues must possess negative real parts for asymptotic stability. Notably, the term 1 2 α k b 2 consistently yields positive values, violating this necessary condition for equilibria E 2 ( 0 , 1 , 0 ) and E 3 ( 0 , 0 , 1 ) . Consequently, we focus on characterizing stability conditions for six candidate equilibria: E 1 ( 0 , 0 , 0 ) , E 4 ( 0 , 1 , 1 ) , E 5 ( 1 , 0 , 0 ) , E 6 ( 1 , 1 , 0 ) , E 7 ( 1 , 0 , 1 ) and E 8 ( 1 , 1 , 1 ) . By identifying critical parameter constellations that satisfy stability conditions, we aim to decipher the micro-foundations driving convergence to distinct equilibria and uncover the institutional mechanisms underlying divergent strategic outcomes. Understanding the stability properties of these equilibria yields actionable governance insights.
Scenario 1.
When 1 2 k s b 2 < 1 2 k b 2 , i.e., when the compensation income is lower than the construction cost, E 1 0 , 0 , 0 is an evolutionarily stable strategy. In this equilibrium, the system remains stable when the leading enterprise chooses Not Initiate, while both family farms and integrated agricultural service providers choose Not Cooperate. This equilibrium arises because the cooperative surplus compensation received by the leading enterprise falls below the threshold required to cover its construction costs. As a result, low compensation fails to curb opportunistic behavior by family farms and integrated agricultural service providers, while negative net profits reduce the leading enterprise’s incentive to invest in infrastructure. The conflict between individual rationality and collective welfare leads to a state of inefficient lock-in. The compensation coefficient serves as a core control parameter of the system. Once it exceeds a critical threshold, the basin of attraction undergoes a phase transition, destabilizing the Not Initiate–Not Cooperate equilibrium and shifting the strategic space toward cooperative equilibria. The following section employs system dynamics simulations to quantify hysteresis effects near strategic tipping points and identify the minimum compensation coefficient required for Pareto optimality.
Scenario 2.
When the conditions 1 2 k s b 2 < β λ R 1 + 1 2 k b 2 , 5 12 α k b 2 + R 2 < β R 2 and R 3 + 5 12 k α b 2 < β R 3 hold (which indicate a systematic breakdown in incentive alignment), E 4 ( 0 , 1 , 1 ) becomes an evolutionarily stable strategy. This reveals a strategic misalignment among the three types of agents: the leading enterprise chooses Not Initiate, while both family farms and integrated agricultural service providers choose Cooperate. This outcome stems from a disconnect in incentive structures. For family farms and integrated agricultural service providers, even considering contract enforcement costs and specialized asset investments, cooperation remains profitable when economies of scale exceed the total cost of cooperation plus the reservation utility of non-cooperation. Market-oriented reforms in factor markets further strengthen scale economies through land intensification and technology diffusion, making cooperation a rational choice. In contrast, if the compensation income received by the leading enterprise is lower than the sum of additional benefits from economies of scale and cooperation costs, the net benefit of Initiate fails to cover alliance construction costs and risk premiums, resulting in strategic suppression. Improvements in factor market maturity and contract enforcement efficiency—specifically, increases in the factor value-added coefficient and the compensation coefficient—raise the probability of strategic shift by the leading enterprise.
Scenario 3.
When 1 2 k b 2 < 1 2 s k b 2 and 1 2 λ R 1 < 1 2 α k b 2 1 4 s k b 2 , i.e., when the cost of cooperation exceeds its benefits, E 5 ( 1 , 0 , 0 ) is an evolutionarily stable strategy. This reflects a strategic asymmetry within the agricultural industrialization consortium: the leading enterprise chooses Initiate, while family farms and integrated agricultural service providers choose Not Cooperate due to unfavorable cost-benefit conditions. For the leading enterprise, even without direct participation from partners, initiating the alliance and obtaining compensation yields higher net benefits than not initiating, thus incentivizing Initiate. For family farms and integrated agricultural service providers, the inequality 1 2 λ R 1 < 1 2 α k b 2 1 4 s k b 2 reveals the core decision making logic: even considering potential shared benefits, expected net returns under cooperation remain lower than the share of costs they would incur under Not Cooperate minus possible compensation from the leading enterprise. Therefore, increasing the profit sharing coefficient, reducing the cooperation cost coefficient, compensation coefficient, and cost sharing coefficient can improve the probability of cooperation by family farms and integrated agricultural service providers.
Scenario 4.
When the conditions R 1 + 1 2 k b 2 < 1 2 k s b 2 + 1 6 k α b 2 , 1 2 α k b 2 < 1 4 k s b 2 + 1 2 λ R 1 and 1 2 λ β R 1 + 1 4 k s b 2 + β R 3 + < R 3 + 7 12 k α b 2 + 1 2 λ R 1 are met (which indicate that parameter values remain below cooperation thresholds), E6 (1,1,0) is an evolutionarily stable strategy. This means the leading enterprise chooses Initiate, family farms choose Cooperate, and integrated agricultural service providers choose Not Cooperate. Inequality analysis shows that increasing the factor value-added coefficient and the leading enterprise’s compensation coefficient does not alter the first two inequalities, but when these coefficients exceed a threshold, the third inequality ceases to hold, prompting integrated agricultural service providers to switch to Cooperate. Moreover, increasing the profit sharing coefficient and reducing the cooperation cost sharing coefficient can also raise the probability of cooperation by integrated agricultural service providers. Their strategic shift, in turn, influences the decisions of the other two agents.
Scenario 5.
When the conditions λ R 1 + 1 2 k b 2 < 1 2 k s b 2 + 1 6 k α b 2 , 1 2 α k b 2 < 1 4 k s b 2 + 1 2 λ R 1 and 1 2 λ β R 1 + 1 4 k s b 2 + β R 2 + < R 2 + 1 4 k α b 2 + 1 2 λ R 1 are satisfied, again indicating sub-threshold parameters, E 7 ( 1 , 0 , 1 ) is an evolutionarily stable strategy. Here, the leading enterprise chooses Initiate, family farms choose Not Cooperate, and integrated agricultural service providers choose Cooperate. The analysis of this case is fully analogous to that of equilibrium point E6 (1,1,0), with the roles and strategies of family farms and integrated agricultural service providers swapped. Therefore, it is not discussed in further detail.
Scenario 6.
When the conditions λ β R 1 + 1 2 k b 2 < 1 2 k s b 2 , 1 4 ( α s ) k b 2 < ( β 1 ) R 2 + 1 2 ( β 1 ) λ R 1 and 7 12 k α b 2 1 4 k s b 2 < 1 2 ( β 1 ) λ R 1 + ( β 1 ) R 3 hold, indicating optimal alignment of benefits and costs for all parties, E 8 ( 1 , 1 , 1 ) is an evolutionarily stable strategy. This represents the ideal cooperative outcome: the leading enterprise chooses Initiate, and both family farms and integrated agricultural service providers choose Cooperate. In this state, the sum of the leading enterprise’s construction costs and shared income is less than its compensation income, while the additional costs of cooperation for family farms and integrated agricultural service providers are lower than their additional benefits, resulting in a stable and efficient cooperative system.

4. Simulation Analysis and System Optimization

In this section, we employ numerical simulations to identify optimal parameter configurations and pathways that drive the system toward a desirable stable state. Our systemic optimization framework aims to enhance cooperative efficiency and achieve long-term equilibrium. Using the controlled variable method, we conduct sensitivity analyses on key parameters to identify critical thresholds and effective ranges, ultimately forming actionable and generalizable strategies for coordinated parameter regulation. This provides a theoretical basis and decision support for the mechanism design of Agricultural Industrialization Consortia (AICs).
Methodologically, we construct a tripartite evolutionary game model based on replicator dynamics and implement simulation programs in MATLAB 2024 to solve the system dynamics equations and visualize agents’ strategic evolution paths. All simulations are conducted under symmetric initial mixed strategy profiles (0.5, 0.5, 0.5). Parameter values are rigorously calibrated according to theoretical assumptions and existing empirical studies to ensure real-world interpretability [11,36]. By simulating evolution processes around various equilibrium points, we dissect the strategic interactions and convergence behaviors of the three agents under diverse parametric conditions.

4.1. Numerical Analysis of Equilibrium (0, 0, 0)

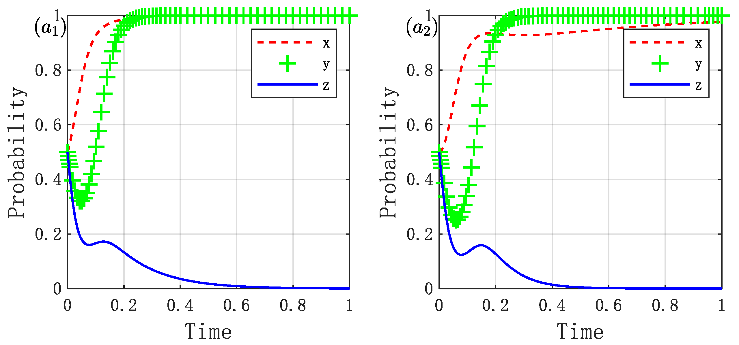
When the condition 1 2 k s b 2 < 1 2 k b 2 holds, the system converges to the evolutionarily stable strategy E 1 ( 0 , 0 , 0 ) . Parameter values are given in Table 5. Simulation results (Figure 2a) show the system stabilizes at this equilibrium: the leading enterprise chooses Not Initiate, while both family farms and integrated agricultural service providers choose Not Cooperate.
As the compensation coefficient s increases from 0.5 to 1 (Figure 2b), the original inequality no longer holds. The probability of the leading enterprise choosing Initiate increases slightly but remains low, indicating that moderate increases in compensation provide some incentive but are insufficient to significantly alter its strategic preference, as the incentive intensity remains below the marginal cost of consortium construction.
When s reaches 1.7 (Figure 2c), pronounced strategic oscillations occur. Higher compensation raises the cost of non-cooperation for family farms and service organizations, strongly constraining their strategies toward cooperation. Dynamics show that when the leading enterprise’s Initiate probability is high, the other two agents tend to cooperate. However, once cooperation is established, the leading enterprise must share benefits. If its compensation is lower than the shared benefits, its motivation to choose Initiate weakens, reducing its probability. As this probability approaches zero, the compensation mechanism fails, reducing the willingness of family farms and integrated agricultural service providers to cooperate and leading them back to Not Cooperate, which in turn reignites the leading enterprise’s incentive to Initiate. This results in a non-convergent oscillatory state, revealing incentive incompatibility in intermediate ranges of s .
When s is drastically increased to 30 (Figure 2d), the system converges to the ideal equilibrium E 8 ( 1 , 1 , 1 ) . An excessively high s creates a “compulsory constraint” effect, effectively prompting the leading enterprise to choose Initiate and suppressing opportunism in the other agents. However, such a high compensation level is impractical in real-world governance as it violates reciprocity in cooperation and may induce moral hazard, undermining alliance stability and sustainability.
These results systematically reveal the nonlinear influence of the compensation coefficient on cooperative structure, demonstrating the existence of critical thresholds and valid intervals. Moderate increases in s can improve incentive efficiency to some extent, but sole reliance on compensation cannot achieve robust cooperation. Extreme values, while theoretically enabling ideal equilibrium, are operationally infeasible. Therefore, institutional optimization should combine compensation with other mechanisms to achieve optimal parameter configuration and long-term stability.

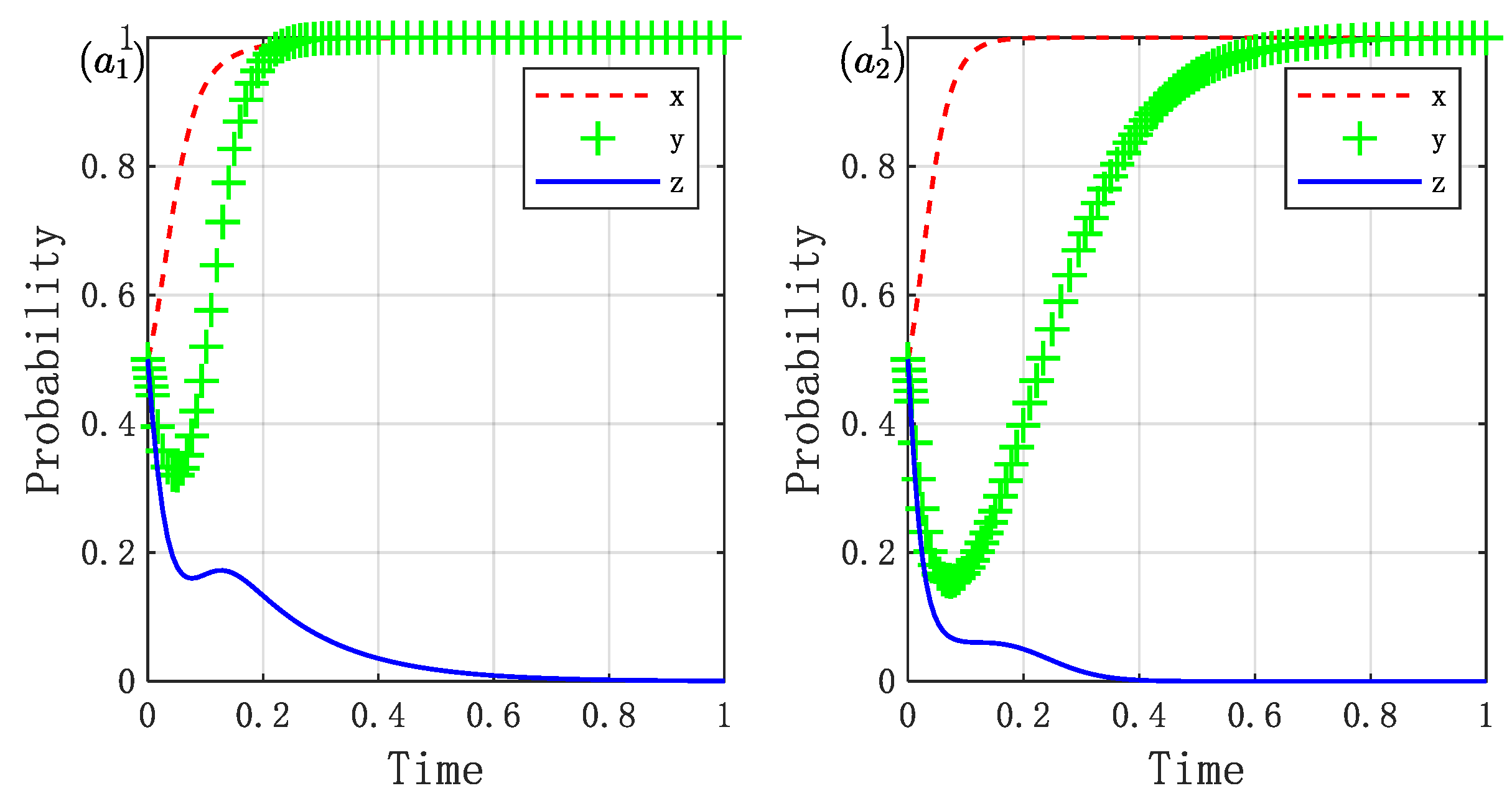
4.2. Numerical Simulation Analysis of Equilibrium Point (0, 1, 1)

When the conditions 1 2 k s b 2 < β λ R 1 + 1 2 k b 2 , 5 12 α k b 2 + R 2 < β R 2 and R 3 + 5 12 k α b 2 < β R 3   are satisfied, equilibrium E 4 ( 0 , 1 , 1 ) is evolutionarily stable (parameters in Table 6). Simulation results (Figure 3(a1)) show that at this equilibrium, the leading enterprise chooses Not Initiate, while both family farms and integrated agricultural service providers choose Cooperate.
When the profit sharing coefficient λ decreases from 0.4 to 0.1 (Figure 3(a2)), the first inequality no longer holds, and the leading enterprise’s probability of choosing Initiate increases significantly. The system evolves from E 4 ( 0 , 1 , 1 ) toward the ideal equilibrium E 8 ( 1 , 1 , 1 ) . This suggests that moderately reducing the share of benefits that the leading enterprise must distribute can strengthen its motivation to initiate the consortium, indicating that retaining more benefits in early or vulnerable stages of cooperation enhances core agents’ participation.
Moreover, when the factor value-added coefficient β decreases from 2.5 to 1 (Figure 3(b2)), the system also converges to E 8 ( 1 , 1 , 1 ) . Although higher β generally improves overall cooperative efficiency, its coupling with the profit sharing mechanism may prevent the leading enterprise from realizing significant net gains despite increased cooperative surplus. Specifically, when β is high, although the leading enterprise gains more from improved efficiency, it must distribute a larger share (governed by λ ), which may reduce its retained earnings below construction and operational costs, thus dampening its willingness to initiate. This finding highlights the need to balance value-added effects and distribution mechanisms to avoid inhibiting the core enterprise’s leadership due to incentive misalignment.
These results underscore that, in promoting AICs, beyond harnessing direct economic benefits, rational institutional interventions—such as appropriately regulating profit sharing ratios and value-added distribution intensity—can optimize incentive structures, safeguard the leading enterprise’s legitimate earnings, and enhance overall systemic stability and cooperative sustainability.

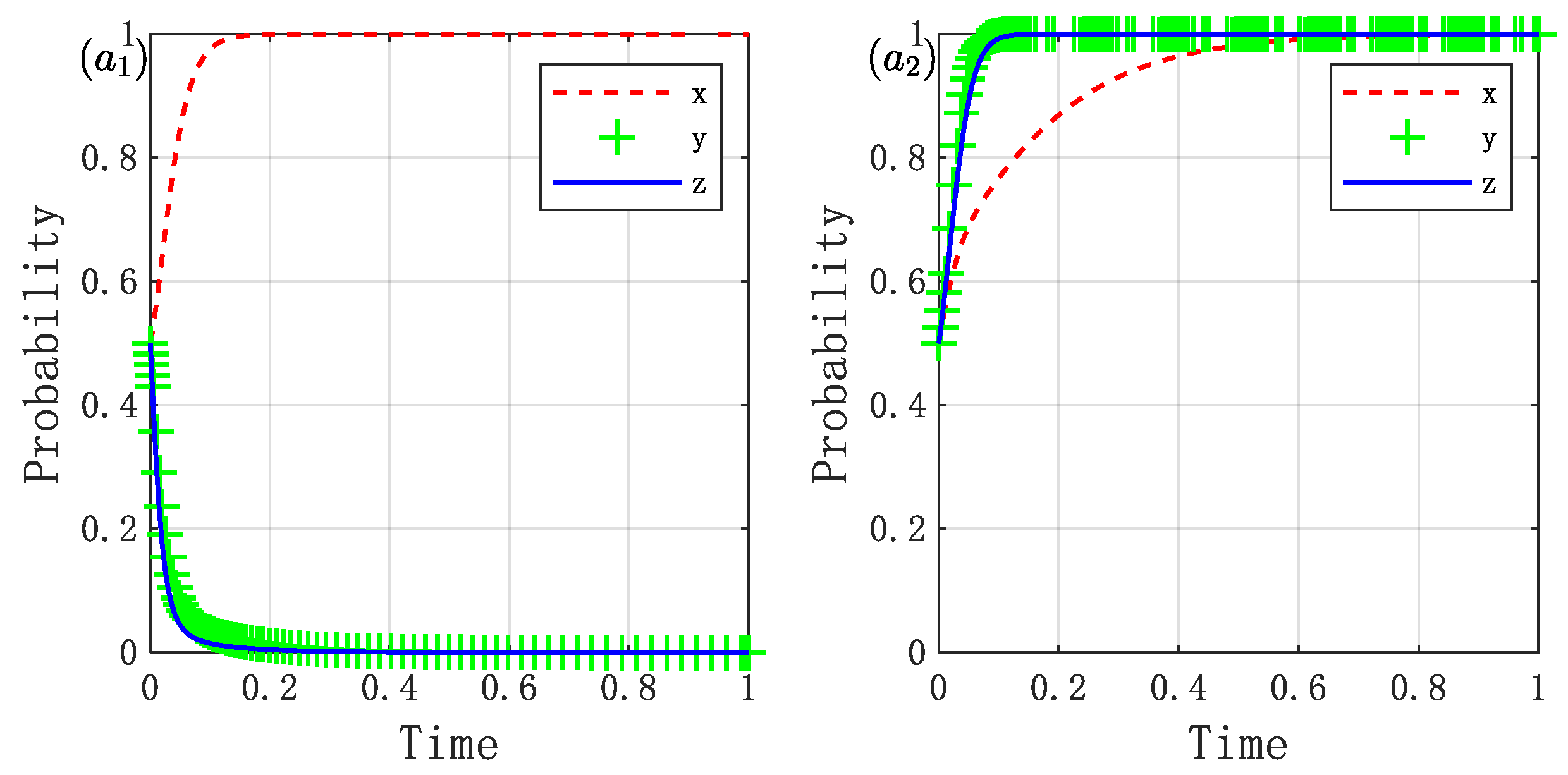
4.3. Numerical Simulation Analysis of Equilibrium Point (1, 0, 0)

When 1 2 k b 2 < 1 2 s k b 2 and 1 2 λ R 1 < 1 2 α k b 2 1 4 s k b 2 , equilibrium E 5 ( 1 , 0 , 0 ) is evolutionarily stable (parameters in Table 7). Simulations show that under these conditions, the system stabilizes with the leading enterprise choosing Initiate and the other two agents choosing Not Cooperate.
When the cost sharing coefficient α decreases from 0.8 to 0.6 (Figure 4(a2)), the second inequality ceases to hold. Family Farms switch to Cooperate, while service organizations’ cooperation probability decreases but does not vanish. If α is further reduced to 0.3, all three agents exhibit significant fluctuations (Figure 4(a3)). At α = 0 , the system converges to E 4 ( 0 , 1 , 1 ) , where the leading enterprise exits initiation, while farms and integrated agricultural service providers tend to cooperate (Figure 4(a4)). This indicates that moderately reducing cost sharing can incentivize farm participation, but excessive reduction undermines stability and may trigger strategic reversal by the leading enterprise.
Changes in the profit sharing coefficient λ also significantly affect evolutionary paths (Figure 5). When λ increases from 0.2 to 0.27, farms’ cooperation probability rises slightly, but impacts on the leading enterprise and integrated agricultural service providers are limited (Figure 5(a2)). At λ = 0.5 , both farms and the leading enterprise exhibit unstable oscillations (Figure 5(a3)). When λ is extreme (e.g., 20), all three agents eventually tend toward Not Cooperate (Figure 5(a4)). Thus, λ has a clear valid range; beyond this, incentives fail and cooperation collapses.
By coordinately optimizing the parameter pair ( α , λ ) from (0.8, 0.2) to (0.2, 0.1), the system stabilizes at the ideal equilibrium E 8 ( 1 , 1 , 1 ) (Figure 6). This highlights that coordinated regulation of cost sharing and profit sharing mechanisms can overcome the limitations of single-parameter incentives and is key to global optimization.
In summary, the cost sharing coefficient α and profit sharing coefficient λ jointly regulate the stability and direction of evolution in AICs. Adjusting either parameter alone rarely achieves robust cooperation and may cause imbalance; coordinated optimization of both parameters within an incentive-compatible mechanism significantly enhances cooperative efficiency and alliance sustainability. This study provides a clear parametric basis for institutional design, emphasizing the need for linked optimization of cost sharing and benefit sharing to promote efficient, stable, and sustainable collaboration.

4.4. Numerical Simulation Analysis of Equilibrium Point (1, 1, 0)

When the conditions λ R 1 + 1 2 k b 2 < 1 2 k s b 2 + 1 6 k α b 2 , 1 2 α k b 2 < 1 4 k s b 2 + 1 2 λ R 1   and 1 2 λ β R 1 + 1 4 k s b 2 + β R 3 + < R 3 + 7 12 k α b 2 + 1 2 λ R 1 are met, equilibrium E 6 ( 1 , 1 , 0 ) is evolutionarily stable (parameters in Table 8). Simulations show that when the factor value-added coefficient β increases from 1.1 to 2.4 (Figure 7(a2)), the system converges to E 4 ( 0 , 1 , 1 ) : Farms and integrated agricultural service providers converge faster, but the leading enterprise’s Initiate probability drops to zero. This indicates that although improving the value-added coefficient promotes upstream cooperation, it may inhibit the leading enterprise’s willingness if it does not adequately compensate for its risks and costs.
When the compensation coefficient s increases from 1.2 to 1.5 (Figure 7(b2)), the system converges more rapidly to E 8 ( 1 , 1 , 1 ) , with enhanced stability in all agents’ strategies, showing that moderate increases in compensation encourage overall cooperation by strengthening incentives for the leading enterprise.
However, increasing the profit sharing coefficient λ from 0.2 to 0.26 does not improve integrated agricultural service providers’ cooperation level; instead, it prolongs farms’ convergence time and reduces the leading enterprise’s cooperation tendency (Figure 8). Similarly, increasing the cost sharing coefficient α from 0.6 to 0.7 accelerates the leading enterprise’s cooperation but suppresses Farms’ willingness, ultimately stabilizing at E 6 ( 1 , 1 , 0 ) (Figure 9).
These results indicate that adjusting a single parameter often leads to local optimization or even an imbalance in incentives, failing to achieve the global optimum. By coordinately optimizing the parameter set ( s , α , λ , β ) from ( 1.2 , 0.6 , 0.2 , 1.1 ) to ( 2 , 0.4 , 0.4 , 1.6 ) , the system successfully converges to E 8 ( 1 , 1 , 1 ) (Figure 10). This underscores that multi-parameter coordination can overcome the limitations of single-parameter incentives, achieving incentive compatibility and global optimum through linked design of compensation, cost sharing, profit sharing, and value-added mechanisms.
This study systematically elucidates the internal mechanisms by which multiple parameters interact to influence cooperative stability within Agricultural Industrialization Consortia (AICs). It is imperative for practitioners to move beyond reliance on single-parameter adjustments and instead adopt integrated, coordinated policy combinations. By conducting context-sensitive refinement of key parameters based on real-world conditions, stakeholders can effectively foster alliance formation, enhance cooperative efficiency, and ensure long-term stability and sustainability.

4.5. Numerical Simulation Analysis of Equilibrium Point (1, 0, 1)

When the conditions R 1 + 1 2 k b 2 < 1 2 k s b 2 + 1 6 k α b 2 , 1 2 α k b 2 < 1 4 k s b 2 + 1 2 λ R 1 and 1 2 λ β R 1 + 1 4 k s b 2 + β R 2 + < R 2 + 1 4 k α b 2 + 1 2 λ R 1 are satisfied, equilibrium E 7 ( 1 , 0 , 1 ) is evolutionarily stable. This scenario is symmetrical to the analysis of E 6 ( 1 , 1 , 0 ) in Section 4.4, with the roles and strategies of family farms and integrated agricultural service providers swapped. Dynamics and conclusions are analogous and are not repeated here.

4.6. Numerical Simulation Analysis of Equilibrium Point (1, 1, 1)

When the conditions λ β R 1 + 1 2 k b 2 < 1 2 k s b 2 , 1 4 ( α s ) k b 2 < ( β 1 ) R 2 + 1 2 ( β 1 ) λ R 1 and 7 12 k α b 2 1 4 k s b 2 < 1 2 ( β 1 ) λ R 1 + ( β 1 ) R 3 hold, the system stabilizes at the rational equilibrium E 8 ( 1 , 1 , 1 ) (parameters in Table 9). Simulation results (Figure 11(a1)) show all three agents converging to cooperation: the leading enterprise chooses Initiate, and both farms and integrated agricultural service providers choose Cooperate.
We further test the robustness and convergence efficiency through multi-scenario parameter optimization. When α , λ decrease from (0.6,0.2) to (0.2, 0.1), convergence speeds increase significantly (Figure 11(a2)). When ( s , β ) increases from (1.4, 1.1) to (2, 1.6), the system also stabilizes faster (Figure 11(a3)). When all four parameters are coordinately adjusted to (0.2, 0.1, 2, 1.6), the system converges to E 8 ( 1 , 1 , 1 ) with the highest efficiency (Figure 11(a4)).
These results demonstrate that coordinated reduction of cost and profit sharing pressures, coupled with increased compensation and value-added efficiency, optimizes dynamic performance, shortens cooperation time, and improves operational efficiency. This not only validates the robustness and theoretical rationality of the cooperation mechanism in leading enterprise-centered AICs but also emphasizes the necessity of multi-parameter coordination for achieving optimal equilibrium.
This study offers profound insights for agricultural supply chain governance: policy makers should abandon isolated parameter interventions and adopt systematic, coordinated policy portfolios that holistically optimize cost sharing, profit sharing, compensation, and factor efficiency based on real-world contexts, thereby promoting efficient, stable, and sustainable cooperative equilibria in agricultural industrialization.

5. Conclusions and Implications

5.1. Conclusions

This study investigates the evolution of cooperative behaviors among leading enterprises, family farms, and comprehensive socialized integrated agricultural service providers within Agricultural Industrialization Consortia (AICs). By employing an evolutionary game model and numerical simulations, we dissect the key factors and mechanisms influencing cooperation, highlighting the critical role of AICs in advancing agricultural modernization, rural revitalization, and common prosperity. The research integrates theoretical modeling with numerical validation, using evolutionary game theory to capture long-term behavioral dynamics.
The results indicate that first, the stability of cooperation within AICs highly depends on the coordinated configuration of four types of parameters: the compensation mechanism, cost sharing, benefit distribution, and factor value-added coefficient. Adjusting a single parameter may provide localized incentives but often triggers systemic oscillations or even strategic reversals, making it difficult to achieve Pareto optimality.
Second, the compensation coefficient ( s ) has a clear feasible range and critical threshold. If it is too low, it fails to incentivize the leading enterprise to initiate the consortium; if it is too high, it can induce moral hazard and undermine sustainable cooperation. Its optimization must be aligned with cost-sharing ( α ) and profit-sharing ( λ ) mechanisms.
Third, a significant coupling effect exists between the profit sharing coefficient ( λ ) and the factor value-added coefficient ( β ) . An excessively high β without reasonable regulation through λ may suppress the leading enterprise’s willingness to cooperate. This implies that “enlarging the pie” must be coupled with “sharing the pie fairly” to achieve incentive compatibility.
Fourth, multi-parameter coordinated optimization is essential for convergence to the ideal equilibrium E 8 ( 1 , 1 , 1 ) . Simulations demonstrate that a policy mix aimed at “reducing costs, adjusting profits, compensating incentives, and enhancing efficiency” can significantly improve cooperation efficiency, shorten convergence time, and strengthen alliance resilience and robustness.
This study not only unveils the complex dynamics of multi-agent strategic interactions within agricultural cooperatives but also offers practical insights for the governance of agricultural supply chains. It provides a systematic parameter adjustment framework and mechanistic design paradigm, contributing actionable theoretical support for developing new and high-quality productive forces in agriculture, promoting rural revitalization, and achieving common prosperity.

5.2. Implications

5.2.1. Fostering a Synergistic Governance Culture Based on Trust and Consensus

All parties within the consortium should transcend short-term interest gaming and focus instead on enhancing the overall value of the supply chain and long-term cooperative surplus. A collaborative culture of “risk sharing and benefit sharing” is essential. We recommend establishing regular joint consultation mechanisms, collaborative training, and information-sharing platforms to strengthen mutual trust, reduce transaction costs, and build social capital for deeper cooperation.

5.2.2. Designing Incentive-Compatible Systemic Mechanisms Instead of Isolated Policies

The government should work with leading enterprises to integrate family farms and integrated agricultural service providers into the consortium. Through intensive production, advanced management, and resource complementarity, a green production structure can be formed, improving overall efficiency. Specifically, they can use the compensation mechanism s to offset initial risks and costs for the leading enterprise and employ the cost sharing coefficient   ( α ) to adjust the participation threshold for family farms and service organizations. They can apply the profit sharing coefficient   ( λ ) to dynamically align contributions with returns and leverage the factor value-added mechanism   ( β ) to enhance total factor productivity continuously. These four elements must be designed synergistically and adjusted dynamically to achieve incentive compatibility and systemic optimization.

5.2.3. Promoting Parameterized and Targeted Policy and Management Practices

AICs should establish a monitoring and evaluation system for key parameters, enabling context-sensitive adjustments. For instance, in the initial stage, they may moderately increase s and decrease α to catalyze cooperation. In stable phases, they can optimize λ   and β to ensure equitable distribution of cooperative surplus and sustained efficiency gains. We further recommend introducing digital management platforms for real-time monitoring of cooperative states, supporting data-driven parameter optimization, and improving the scientific and agile governance of the consortium. Through the above synergistic mechanisms and policy innovations, AICs can enhance systemic stability, operational efficiency, and resilience, ultimately strengthening supply chain robustness, competitiveness, and sustainability.

5.3. Limitations and Future Research

Although this study achieves certain outcomes in theoretical modeling and numerical validation, several limitations remain, which also provide clear directions for future research.
First, the model is built on idealized assumptions such as information symmetry, equal bargaining power, and a deterministic environment. It does not incorporate factors such as information asymmetry, heterogeneous negotiation power among agents, or external stochastic shocks (e.g., pandemics, international market fluctuations, and other systemic risks), which somewhat limits the model’s applicability to real-world complexity.
Second, numerical simulations rely partly on parameters from the literature and localized surveys, which may lack broad sample coverage and timeliness. Future research could employ large-sample empirical surveys, multi-case longitudinal tracking, or big-data methods to enhance parameter robustness and generalizability.
Moving forward, we aim to develop more dynamic and structurally adaptive game frameworks incorporating asymmetric information, stochastic processes, and contract theory to further investigate how internal governance and benefit distribution affect cooperative stability. Furthermore, cross-regional and cross-sector comparative studies will help identify evolutionary patterns and performance variations of cooperation models under different institutional environments and resource constraints, thereby providing deeper theoretical and practical insights for the sustainable development of AICs.

Author Contributions

Conceptualization, W.L. and R.H.; methodology, R.H.; software, R.H.; validation, R.H. and H.F.; formal analysis, R.H.; investigation, R.H. and H.F.; resources, W.L. and R.H.; data curation, R.H. and H.F.; writing—original draft preparation, R.H.; writing—review and editing, R.H. and H.F.; visualization, R.H.; supervision, W.L.; project administration, W.L.; funding acquisi-tion, W.L. All authors have read and agreed to the published version of the manuscript.

Funding

This research was funded by the National Social Science Foundation of China grant number [No. 18BJY166] and the Graduate Scientific Research Innovation Project of Xinjiang Autonomous Region grant number [No. XJ2025G129]. The APC was funded by the National Social Science Foundation of China.

Institutional Review Board Statement

Not applicable.

Informed Consent Statement

Not applicable.

Data Availability Statement

Data is contained within the article.

Conflicts of Interest

The authors declare no conflict of interest.

References

  1. Altieri, M.A.; Nicholls, C.I. Agroecology and the reconstruction of a post-COVID-19 agriculture. J. Peasant. Stud. 2020, 47, 881–898. [Google Scholar] [CrossRef]
  2. Van Der Ploeg, J.D. From biomedical to politico-economic crisis: The food system in times of COVID-19. J. Peasant Stud. 2020, 47, 944–972. [Google Scholar] [CrossRef]
  3. Baumol, W.J. Macroeconomics of unbalanced growth: The anatomy of urban crisis. Am. Econ. Rev. 1967, 57, 415–426. [Google Scholar]
  4. Duarte, J.; Buiatti, C. Europe falling behind: Structural transformation and labor productivity growth differences between europe and the U.S. SSRN 2023. [Google Scholar]
  5. FAO. The State of Food Security and Nutrition in the World 2022; FAO: Rome, Italy, 2022. [Google Scholar]
  6. Cohen, M.; Cui, S.; Doetsch, S.; Ernst, R.; Huchzermeier, A.; Kouvelis, P.; Lee, H.; Matsuo, H.; Tsay, A. Bespoke supply-chain resilience: The gap between theory and practice. J. Oper. Manage. 2022, 68, 515–531. [Google Scholar] [CrossRef]
  7. Mier y Terán Giménez Cacho, M.; Giraldo, O.F.; Aldasoro, M.; Morales, H.; Ferguson, B.G.; Rosset, P.; Khadse, A.; Campos, C. Bringing agroecology to scale: Key drivers and emblematic cases. Agroecol. Sustain. Food Syst. 2018, 42, 637–665. [Google Scholar] [CrossRef]
  8. Trifković, N. Vertical coordination and farm performance: Evidence from the catfish sector in Vietnam. Agric. Econ. 2016, 47, 547–557. [Google Scholar] [CrossRef]
  9. Chen, C.; Gao, J.; Cao, H.; Chen, W. Unpacking the agricultural innovation and diffusion for modernizing the smallholders in rural china: From the perspective of agricultural innovation system and its governance. J. Rural Stud. 2024, 110, 103385. [Google Scholar] [CrossRef]
  10. Ding, H.; Fu, Y.; Zheng, L.; Yan, Z. Determinants of the competitive advantage of dairy supply chains: Evidence from the chinese dairy industry. Int. J. Prod. Econ. 2019, 209, 360–373. [Google Scholar] [CrossRef]
  11. Luo, J.; Hu, M.; Huang, M.; Bai, Y. How does innovation consortium promote low-carbon agricultural technology innovation: An evolutionary game analysis. J. Cleaner Prod. 2023, 384, 135564. [Google Scholar] [CrossRef]
  12. Castellanos-Navarrete, A.; Jansen, K. Why do smallholders plant biofuel crops? The ‘politics of consent’ in Mexico. Geoforum 2017, 87, 15–27. [Google Scholar] [CrossRef]
  13. Candemir, A.; Duvaleix, S.; Latruffe, L. Agricultural cooperatives and farm sustainability—A literature review. J. Econ. Surv. 2021, 35, 1118–1144. [Google Scholar] [CrossRef]
  14. Hoang, V.; Nguyen, V. Determinants of small farmers’ participation in contract farming in developing countries: A study in Vietnam. Agribusiness 2023, 39, 836–853. [Google Scholar] [CrossRef]
  15. Barrett, C.B. Smallholder market participation: Concepts and evidence from eastern and southern Africa. Food Policy 2008, 33, 299–317. [Google Scholar] [CrossRef]
  16. Lacoste, M.; Cook, S.; McNee, M.; Gale, D.; Ingram, J.; Bellon-Maurel, V.; Kindred, D.; Bramley, R.; Tremblay, N.; Hall, A.; et al. On-farm experimentation to transform global agriculture. Nat. Food 2021, 3, 11–18. [Google Scholar] [CrossRef] [PubMed]
  17. Williamson, O.E. The Economic Institutions of Capitalism: Firms, Markets, Relational Contracting; Macmillan: London, UK, 1987. [Google Scholar]
  18. Hu, Z.; Zhang, Q.F.; Donaldson, J. Why do farmers’ cooperatives fail in a market economy? Rediscovering Chayanov with the Chinese experience. J. Peasant Stud. 2023, 50, 2611–2641. [Google Scholar] [CrossRef]
  19. Williamson, O.E. The vertical integration of production: Market failure considerations. Am. Econ. Rev. 1971, 61, 112–123. [Google Scholar]
  20. Miyata, S.; Minot, N.; Hu, D. Impact of contract farming on income: Linking small farmers, packers, and supermarkets in China. World Dev. 2009, 37, 1781–1790. [Google Scholar] [CrossRef]
  21. Kirsten, J.; Sartorius, K. Linking agribusiness and small-scale farmers in developing countries: Is there a new role for contract farming? Dev. South. Afr. 2002, 19, 503–529. [Google Scholar] [CrossRef]
  22. Michelson, H.C. Small farmers, NGOs, and a walmart world: Welfare effects of supermarkets operating in Nicaragua. Am. J. Agric. Econ. 2013, 95, 628–649. [Google Scholar] [CrossRef]
  23. Trifković, N. Certified standards and vertical coordination in aquaculture: The case of pangasius from Vietnam. Aquaculture 2014, 433, 235–246. [Google Scholar] [CrossRef]
  24. Ruml, A.; Ragasa, C.; Qaim, M. Contract farming, contract design and smallholder livelihoods. Aust. J. Agric. Resour. Econ. 2022, 66, 24–43. [Google Scholar] [CrossRef]
  25. Oliveira Junior, O.D.P.; Wander, A.E. Factors for the success of agricultural cooperatives in Brazil. J. Agric. Rural. Dev. Trop. Subtrop. (JARTS) 2021, 122, 27–42. [Google Scholar]
  26. Nedeljković, M. Criteria for sustainable supplier selection in agro-industrial complex. West. Balk. J. Agric. Econ. Rural Dev. 2022, 4, 49–64. [Google Scholar] [CrossRef]
  27. Zhong, Z.; Zhang, C.; Jia, F.; Bijman, J. Vertical coordination and cooperative member benefits: Case studies of four dairy farmers’ cooperatives in China. J. Cleaner Prod. 2018, 172, 2266–2277. [Google Scholar] [CrossRef]
  28. Khan, H.H.; Malik, M.N.; Konečná, Z.; Chofreh, A.G.; Goni, F.A.; Klemeš, J.J. Blockchain technology for agricultural supply chains during the COVID-19 pandemic: Benefits and cleaner solutions. J. Cleaner Prod. 2022, 347, 131268. [Google Scholar] [CrossRef]
  29. Wang, T.; Ma, Y.; Luo, S. Spatial pattern and influencing factors of agricultural leading enterprises in heilongjiang province, china. Agriculture 2023, 13, 2061. [Google Scholar] [CrossRef]
  30. Fischer, E.; Qaim, M. Linking Smallholders to Markets: Determinants and Impacts of Farmer Collective Action in Kenya. World Dev. 2012, 40, 1255–1268. [Google Scholar] [CrossRef]
  31. Wossen, T.; Abdoulaye, T.; Alene, A.; Haile, M.G.; Feleke, S.; Olanrewaju, A.; Manyong, V. Impacts of extension access and cooperative membership on technology adoption and household welfare. J. Rural Stud. 2017, 54, 223–233. [Google Scholar] [CrossRef]
  32. Sun, Y.; Wang, Y.; Liu, B.; Sun, Z. Evolutionary game of destination brand co-construction with government involvement. Manag. Decis. Econ. 2023, 44, 2125–2136. [Google Scholar] [CrossRef]
  33. Xing, X.-H.; Hu, Z.-H.; Luo, W.-P. Using evolutionary game theory to study governments and logistics companies' strategies for avoiding broken cold chains. Ann. Oper. Res. 2023, 329, 127–155. [Google Scholar] [CrossRef]
  34. Sun, Y.; Miao, Y.; Xie, Z.; Wu, R. Drivers and barriers to digital transformation in agriculture: An evolutionary game analysis based on the experience of China. Agric. Syst. 2024, 221, 104136. [Google Scholar] [CrossRef]
  35. Ritzberger, K.; Weibull, J.W. Evolutionary selection in normal-form games. Econometrica 1995, 63, 1371–1399. [Google Scholar] [CrossRef]
  36. Sun, Y.; Sun, Z.; Zhang, Y.; Qiao, Q. How can governments and fishermen collaborate to participate in a fishing ban for ecological restoration? J. Environ. Manage. 2024, 360, 120958. [Google Scholar] [CrossRef] [PubMed]
Figure 1. Governance structure of agricultural vertical alliances.
Figure 1. Governance structure of agricultural vertical alliances.
Sustainability 17 07975 g001
Figure 2. Evolutionary paths of the tripartite game under different compensation coefficients ( s ). (a) Stable state when s is 0.5; (b) Path convergence observed as s increases from 0.4 to 1; (c) Shift in evolutionary path when s reaches 1.7; (d) Path divergence under a drastic increase of s to 30.
Figure 2. Evolutionary paths of the tripartite game under different compensation coefficients ( s ). (a) Stable state when s is 0.5; (b) Path convergence observed as s increases from 0.4 to 1; (c) Shift in evolutionary path when s reaches 1.7; (d) Path divergence under a drastic increase of s to 30.
Sustainability 17 07975 g002
Figure 3. Impacts of profit sharing and value-added mechanisms on tripartite evolutionary stability. (a1) Stable state when the profit sharing coefficient λ is 0.4; (a2) Evolutionary path when the profit sharing coefficient λ decreases from 0.4 to 0.1; (b1) Stable state when the value-added coefficient β is 2.5; (b2) Evolutionary path when the value-added coefficient β decreases from 2.5 to 1.
Figure 3. Impacts of profit sharing and value-added mechanisms on tripartite evolutionary stability. (a1) Stable state when the profit sharing coefficient λ is 0.4; (a2) Evolutionary path when the profit sharing coefficient λ decreases from 0.4 to 0.1; (b1) Stable state when the value-added coefficient β is 2.5; (b2) Evolutionary path when the value-added coefficient β decreases from 2.5 to 1.
Sustainability 17 07975 g003
Figure 4. Impacts of cost sharing coefficient on tripartite evolutionary dynamics and stability. (a1) Stable state at α=0.8; (a2) Path evolution for α decreasing from 0.8 to 0.6; (a3) Fluctuations at α = 0.3; (a4) Convergence to E4(0,1,1) at α = 0.
Figure 4. Impacts of cost sharing coefficient on tripartite evolutionary dynamics and stability. (a1) Stable state at α=0.8; (a2) Path evolution for α decreasing from 0.8 to 0.6; (a3) Fluctuations at α = 0.3; (a4) Convergence to E4(0,1,1) at α = 0.
Sustainability 17 07975 g004
Figure 5. Impact of profit sharing coefficient (λ) on tripartite evolutionary dynamics. (a1) Stable state at initial λ value; (a2) Path evolution as λ increases from 0.2 to 0.27; (a3) Unstable oscillations at λ = 0.5; (a4) Convergence to non-cooperation at extreme λ (λ = 20).
Figure 5. Impact of profit sharing coefficient (λ) on tripartite evolutionary dynamics. (a1) Stable state at initial λ value; (a2) Path evolution as λ increases from 0.2 to 0.27; (a3) Unstable oscillations at λ = 0.5; (a4) Convergence to non-cooperation at extreme λ (λ = 20).
Sustainability 17 07975 g005
Figure 6. Synergistic effects of dual-parameter adjustment on evolutionary stability. (a1) Parameters at (α, λ) = (0.8, 0.2); (a2) Convergence to E8(1,1,1) at (α, λ) = (0.2, 0.1).
Figure 6. Synergistic effects of dual-parameter adjustment on evolutionary stability. (a1) Parameters at (α, λ) = (0.8, 0.2); (a2) Convergence to E8(1,1,1) at (α, λ) = (0.2, 0.1).
Sustainability 17 07975 g006
Figure 7. Differential effects of value-added and compensation mechanisms on evolutionary outcomes. (a1) Stable state at initial factor value-added coefficient β; (a2) Evolutionary path as β increases from 1.1 to 2.4; (b1) Stable state at initial compensation coefficient s ; (b2) Evolutionary path as s increases from 1.2 to 1.5.
Figure 7. Differential effects of value-added and compensation mechanisms on evolutionary outcomes. (a1) Stable state at initial factor value-added coefficient β; (a2) Evolutionary path as β increases from 1.1 to 2.4; (b1) Stable state at initial compensation coefficient s ; (b2) Evolutionary path as s increases from 1.2 to 1.5.
Sustainability 17 07975 g007
Figure 8. Impact of profit sharing coefficient adjustment on the dynamics of cooperative evolution. (a1) System state under initial profit sharing coefficient; (a2) Reduced cooperation with λ increase (0.2→0.26).
Figure 8. Impact of profit sharing coefficient adjustment on the dynamics of cooperative evolution. (a1) System state under initial profit sharing coefficient; (a2) Reduced cooperation with λ increase (0.2→0.26).
Sustainability 17 07975 g008
Figure 9. Impact of cost sharing mechanism on tripartite cooperative stability. (a1) Initial state at cost-sharing coefficient α = 0.6; (a2) Stabilizes at E6(1,1,0) with α = 0.7.
Figure 9. Impact of cost sharing mechanism on tripartite cooperative stability. (a1) Initial state at cost-sharing coefficient α = 0.6; (a2) Stabilizes at E6(1,1,0) with α = 0.7.
Sustainability 17 07975 g009
Figure 10. Parameter coordinated regulation’s impact on tripartite evolutionary game system equilibrium. (a1) Initial state at (s,α,λ,β) = (1.2,0.6,0.2,1.1); (a2) Global optimum achieved at E8(1,1,1) with coordinated parameters (2,0.4,0.4,1.6).
Figure 10. Parameter coordinated regulation’s impact on tripartite evolutionary game system equilibrium. (a1) Initial state at (s,α,λ,β) = (1.2,0.6,0.2,1.1); (a2) Global optimum achieved at E8(1,1,1) with coordinated parameters (2,0.4,0.4,1.6).
Sustainability 17 07975 g010
Figure 11. Optimization of dynamic performance and convergence speed through coordinated parameter adjustment. (a1) Full cooperation achieved with all three agents converging to E8(1,1,1); (a2) Faster convergence with (α,λ) decreased to (0.2,0.1); (a3) Accelerated stabilization with (s,β) increased to (2,1.6); (a4) Optimal efficiency with full parameter set (0.2,0.1,2,1.6).
Figure 11. Optimization of dynamic performance and convergence speed through coordinated parameter adjustment. (a1) Full cooperation achieved with all three agents converging to E8(1,1,1); (a2) Faster convergence with (α,λ) decreased to (0.2,0.1); (a3) Accelerated stabilization with (s,β) increased to (2,1.6); (a4) Optimal efficiency with full parameter set (0.2,0.1,2,1.6).
Sustainability 17 07975 g011
Table 1. Description of model parameters.
Table 1. Description of model parameters.
ParameterDescription
R 1 Basic income when leading enterprises do not establish agricultural industrialization joint ventures.
R 2 Basic income when family farms do not cooperate with leading enterprises.
R 3 Basic income when integrated agricultural service providers do not cooperate.
b Degree of cooperation by the leading enterprise in constructing the alliance, with a value range of [0, 1].
b 1 Degree of cooperative input by family farms, with a value range of [0, 1].
b 2 Degree of cooperative input by integrated agricultural service providers, with a value range of [0, 1].
C Costs of building agricultural industrialization joint ventures by leading enterprises, C b = ( k × b 2 ) / 2 .
k Cooperation cost coefficient > 0.
s Compensation coefficient for breach of contract by leading enterprises, i.e., the compensation coefficient for breach of contract by leading enterprises when family farms or integrated agricultural service providers choose not to cooperate with them.
α Cost sharing coefficient of cooperation, i.e., the coefficient of cost sharing for cooperation among non-cooperating entities in the industry chain, with a value range of [0, 1].
λ Revenue sharing coefficient, i.e., the coefficient for the distribution of cooperative benefits among the entities in the industry chain, with a value range of [0, 1].
β Factor value-added coefficient: Compared with traditional contracts, orders, and other cooperation models, the joint venture accelerates the optimization and integration of resources (such as funds, technology, data, and talent) towards more reasonable and efficient segments, improving the quality and efficiency of industrial development. The coefficient value is greater than 1.
Table 2. Strategy sets of each entity.
Table 2. Strategy sets of each entity.
Leading EnterpriseIntegrated Agricultural Service Provider (z)Integrated Agricultural Service Provider (1 − z)
Family Farm Cooperates (y)Family Farm Does Not Cooperate (1 − y)FFC (y)FFDNC (1 − y)
Constructs (x) ( A 1 , B 1 , C 1 ) ( A 2 , B 2 , C 2 ) ( A 3 , B 3 , C 3 ) ( A 4 , B 4 , C 4 )
DNC (1 − x) ( A 5 , B 5 , C 5 ) ( A 6 , B 6 , C 6 ) ( A 7 , B 7 , C 7 ) ( A 8 , B 8 , C 8 )
Table 3. Payoff matrix.
Table 3. Payoff matrix.
StrategiesLeading EnterpriseFamily FarmIntegrated Agricultural Service Provider
( A 1 , B 1 , C 1 ) β R 1 1 λ 1 2 1 s α k b 2 β ( R 1 + 1 2 λ R 1 ) s + α 4 k b 2 β R 3 + 1 2 λ R 1 s + α 4 k b 2
( A 2 , B 2 , C 2 ) R 1 1 λ 1 2 1 s α k b 2 R 2 + 1 2 λ R 1 1 2 s k b 2 R 3 + 1 2 λ R 1 1 2 α k b 2
( A 3 , B 3 , C 3 ) R 1 1 λ 1 2 1 s α k b 2 R 2 + 1 2 λ R 1 1 2 α k b 2 R 3 + 1 2 λ R 1 1 2 s k b 2
( A 4 , B 4 , C 4 ) R 1 1 2 1 s k b 2 R 2 1 4 s k b 2 R 3 1 4 s k b 2
( A 5 , B 5 , C 5 ) β R 1 + 1 2 α k b 2 β R 2 1 4 α k b 2 β R 3 1 4 α k b 2
( A 6 , B 6 , C 6 ) R 1 + 1 3 α k b 2 R 2 + 1 6 α k b 2 R 3 1 2 α k b 2
( A 7 , B 7 , C 7 ) R 1 + 1 3 α k b 2 R 2 1 2 α k b 2 R 3 + 1 6 α k b 2
( A 8 , B 8 , C 8 ) R 1 R 2 R 3
Table 4. Eigenvalues of each equilibrium point.
Table 4. Eigenvalues of each equilibrium point.
Equilibrium PointEigenvalue 1Eigenvalue 2Eigenvalue 3
( 0 , 0 , 0 ) 1 2 ( s 1 ) k b 2 1 2 α k b 2 1 2 α k b 2
( 0 , 1 , 0 ) ( 1 6 α + 1 2 s 1 2 ) k b 2 λ R 1 1 2 α k b 2 5 12 α k b 2 + ( β 1 ) R 3
( 0 , 0 , 1 ) ( 1 6 α + 1 2 s 1 2 ) k b 2 λ R 1 5 12 α k b 2 + ( β 1 ) R 2 1 2 α k b 2
( 0 , 1 , 1 ) ( 1 2 s 1 2 ) k b 2 β λ R 1 5 12 α k b 2 + ( 1 β ) R 2 5 12 α k b 2 + ( 1 β ) R 3
( 1 , 0 , 0 ) 1 2 ( 1 s ) k b 2 ( 1 4 s 1 2 α ) k b 2 + 1 2 λ R 1 ( 1 4 s 1 2 α ) k b 2 + 1 2 λ R 1
( 1 , 1 , 0 ) 1 2 1 6 α 1 2 s k b 2 + λ R 1 1 2 α 1 4 s k b 2 1 2 λ R 1 1 4 s 7 12 α k b 2 1 2 β 1 λ R 1 + ( β 1 ) R 3
( 1 , 0 , 1 ) 1 2 1 6 α 1 2 s k b 2 + λ R 1 β 1 1 2 λ R 1 + 1 4 s α k b 2 + ( β 1 ) R 2 [ ( 1 4 s 1 2 α ) k b 2 + 1 2 λ R 1 ]
( 1 , 1 , 1 ) 1 2 1 2 s k b 2 + β λ R 1 [ β 1 1 2 λ R 1 + 1 4 s α k b 2 + β 1 R 2 ] [ 1 4 s 7 12 α k b 2 1 2 β 1 λ R 1 + ( β 1 ) R 3 ]
Table 5. Parameter assignments.
Table 5. Parameter assignments.
Parameters R 1 R 2 R 3 b κ s α λ β
Value30010010021000.50.60.41.5
Table 6. Parameter assignments.
Table 6. Parameter assignments.
Parameters R 1 R 2 R 3 b κ s α λ β
Value300100100210020.60.42.5
Table 7. Parameter assignments.
Table 7. Parameter assignments.
Parameters R 1 R 2 R 3 b κ s α λ β
Value30010010021001.20.80.21.1
Table 8. Parameter assignments.
Table 8. Parameter assignments.
Parameters R 1 R 2 R 3 b κ s α λ β
Value30010010021001.20.60.21.1
Table 9. Parameter assignments.
Table 9. Parameter assignments.
Parameters R 1 R 2 R 3 b k s α λ β
Value30010010021001.40.60.21.1
Disclaimer/Publisher’s Note: The statements, opinions and data contained in all publications are solely those of the individual author(s) and contributor(s) and not of MDPI and/or the editor(s). MDPI and/or the editor(s) disclaim responsibility for any injury to people or property resulting from any ideas, methods, instructions or products referred to in the content.

Share and Cite

MDPI and ACS Style

Hu, R.; Fang, H.; Liu, W. How Do Vertical Alliances Form in Agricultural Supply Chains?—An Evolutionary Game Analysis Based on Chinese Experience. Sustainability 2025, 17, 7975. https://doi.org/10.3390/su17177975

AMA Style

Hu R, Fang H, Liu W. How Do Vertical Alliances Form in Agricultural Supply Chains?—An Evolutionary Game Analysis Based on Chinese Experience. Sustainability. 2025; 17(17):7975. https://doi.org/10.3390/su17177975

Chicago/Turabian Style

Hu, Ranran, Hongwei Fang, and Weizhong Liu. 2025. "How Do Vertical Alliances Form in Agricultural Supply Chains?—An Evolutionary Game Analysis Based on Chinese Experience" Sustainability 17, no. 17: 7975. https://doi.org/10.3390/su17177975

APA Style

Hu, R., Fang, H., & Liu, W. (2025). How Do Vertical Alliances Form in Agricultural Supply Chains?—An Evolutionary Game Analysis Based on Chinese Experience. Sustainability, 17(17), 7975. https://doi.org/10.3390/su17177975

Note that from the first issue of 2016, this journal uses article numbers instead of page numbers. See further details here.

Article Metrics

Back to TopTop