Urban-Scale Quantification of Rainfall Interception Drivers in Tree Communities: Implications for Sponge City Planning
Abstract
1. Introduction
2. Data and Methods
2.1. Study Area
2.2. Research Methods
2.2.1. Data Collection
2.2.2. Calculation Method for Rainfall Interception by Tree Canopies
2.2.3. Driving Factors Calculation
3. Results
3.1. Vegetation Characteristics
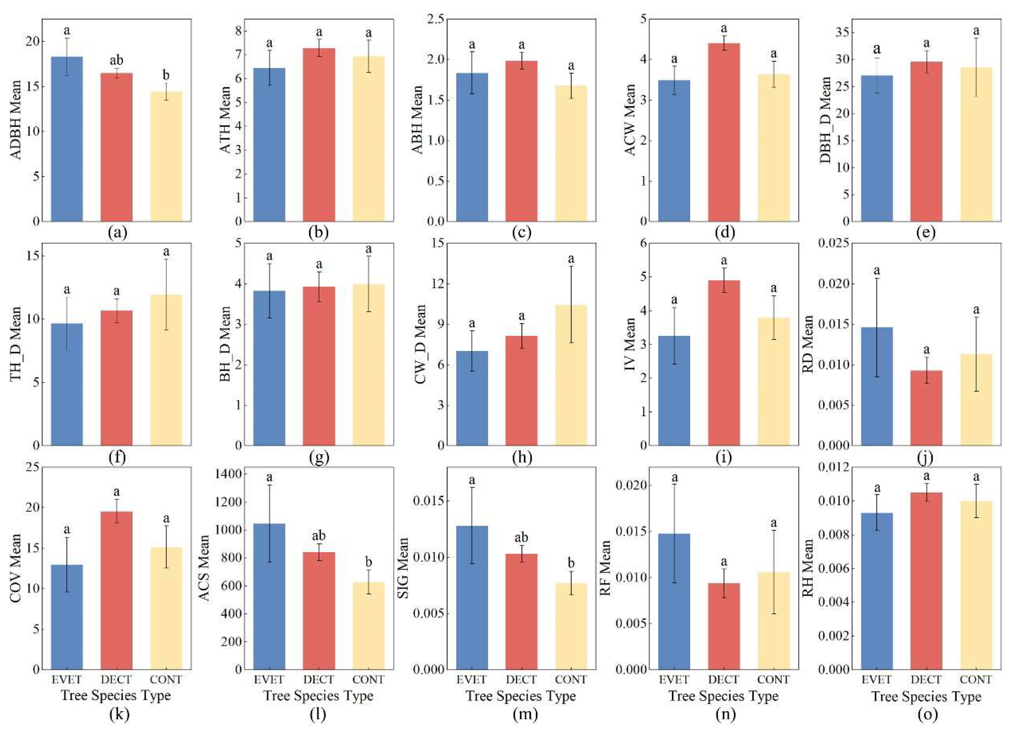
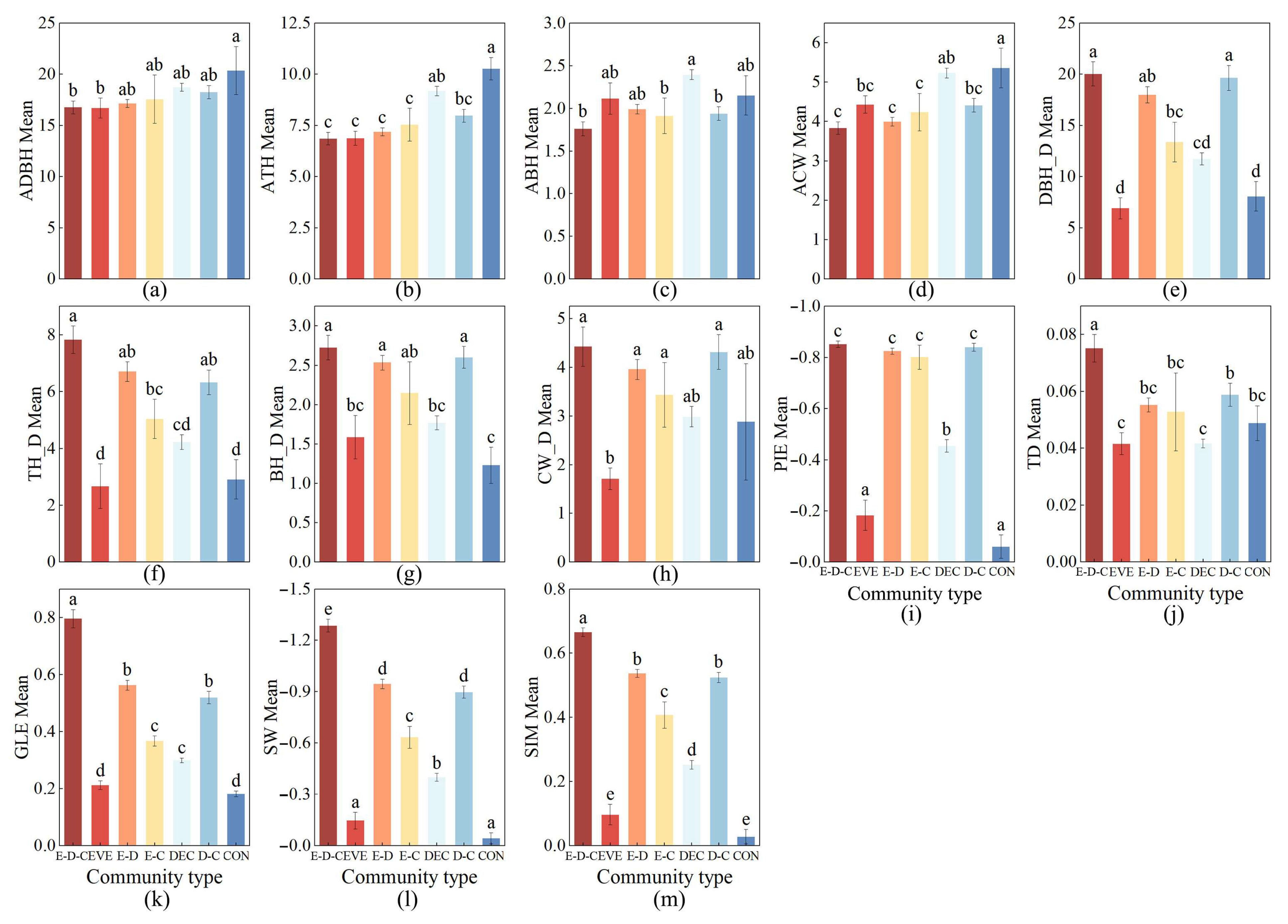
3.1.1. Tree Structural Characteristics
3.1.2. Differentiation of Tree Species and Community Characteristics
3.2. Rainfall Interception Status
3.3. Correlation Between Vegetation Characteristics, Tree Species Types ARI, and RIE of Different Communities
3.4. Analysis of the Factors Influencing Tree and Community Rainfall Interception Capacity
4. Discussion
4.1. The Importance of Rainfall Interception by Urban Trees
4.2. Differences in Rainfall Interception Capacity of Tree Species and Key Influencing Factors
4.3. Differences in Rainfall Interception Capacity of Communities and Key Influencing Factors
4.4. Limitations and Future Outlook
5. Conclusions
Author Contributions
Funding
Informed Consent Statement
Data Availability Statement
Conflicts of Interest
References
- Gao, J.; O’Neill, B.C. Mapping Global Urban Land for the 21st Century with Data-Driven Simulations and Shared Socioeconomic Pathways. Nat. Commun. 2020, 11, 2302. [Google Scholar] [CrossRef]
- United Nations. The Speed of Urbanization around the World|Population Division. Available online: https://www.un.org/development/desa/pd/content/speed-urbanization-around-world (accessed on 31 December 2024).
- Luo, K.; Zhang, X. Increasing Urban Flood Risk in China over Recent 40 Years Induced by LUCC. Landsc. Urban Plan. 2022, 219, 104317. [Google Scholar] [CrossRef]
- Jin, M.; Lancia, M.; Tian, Y.; Viaroli, S.; Andrews, C.; Liu, J.; Zheng, C. The Role of Aquifers in Sustaining the Sponge City Concept in Chinese High-Density Housing. Water 2022, 14, 929. [Google Scholar] [CrossRef]
- Armeanu, D.S.; Joldes, C.C.; Gherghina, S.C.; Andrei, J.V. Understanding the Multidimensional Linkages among Renewable Energy, Pollution, Economic Growth and Urbanization in Contemporary Economies: Quantitative Assessments across Different Income Countries’ Groups. Renew. Sustain. Energy Rev. 2021, 142, 110818. [Google Scholar] [CrossRef]
- Nguyen, T.T.; Ngo, H.H.; Guo, W.; Wang, X.C.; Ren, N.; Li, G.; Ding, J.; Liang, H. Implementation of a Specific Urban Water Management—Sponge City. Sci. Total Environ. 2019, 652, 147–162. [Google Scholar] [CrossRef] [PubMed]
- Liu, J.; Zhang, L.; Zhang, Q.; Zhang, G.; Teng, J. Predicting the Surface Urban Heat Island Intensity of Future Urban Green Space Development Using a Multi-Scenario Simulation. Sustain. Cities Soc. 2021, 66, 102698. [Google Scholar] [CrossRef]
- Ferreira Rodrigues, A.; Rogério De Mello, C.; Nehren, U.; Pedro De Coimbra Ribeiro, J.; Alves Mantovani, V.; Marcio De Mello, J. Modeling Canopy Interception under Drought Conditions: The Relevance of Evaporation and Extra Sources of Energy. J. Environ. Manag. 2021, 292, 112710. [Google Scholar] [CrossRef]
- Alivio, M.B.; Radinja, M.; Šraj, M.; Bezak, N. An Evaluation of the Stormwater Runoff Reduction of Two Distinct Tree Species to Support Urban Greening as Nature-Based Solutions. Urban For. Urban Green. 2025, 107, 128792. [Google Scholar] [CrossRef]
- Zhang, Q.; Lv, X.; Yu, X.; Ni, Y.; Ma, L.; Liu, Z. Species and Spatial Differences in Vegetation Rainfall Interception Capacity: A Synthesis and Meta-Analysis in China. CATENA 2022, 213, 106223. [Google Scholar] [CrossRef]
- Zhang, B.; Xie, G.; Zhang, C.; Zhang, J. The Economic Benefits of Rainwater-Runoff Reduction by Urban Green Spaces: A Case Study in Beijing, China. J. Environ. Manag. 2012, 100, 65–71. [Google Scholar] [CrossRef]
- Grunicke, S.; Queck, R.; Bernhofer, C. Long-Term Investigation of Forest Canopy Rainfall Interception for a Spruce Stand. Agric. For. Meteorol. 2020, 292–293, 108125. [Google Scholar] [CrossRef]
- Ma, M.; Li, Q.; Wang, Y.; Liang, J.; Wang, J.; Liu, J.; Zhang, M. Rainfall Intensities Determine Accuracy of Canopy Interception Simulation Using the Revised Gash Model. Agric. For. Meteorol. 2025, 362, 110389. [Google Scholar] [CrossRef]
- Prasad Ghimire, C.; Adrian Bruijnzeel, L.; Lubczynski, M.W.; Ravelona, M.; Zwartendijk, B.W.; van Meerveld, H.J. Measurement and Modeling of Rainfall Interception by Two Differently Aged Secondary Forests in Upland Eastern Madagascar. J. Hydrol. 2017, 545, 212–225. [Google Scholar] [CrossRef]
- Asadian, Y.; Weiler, M. A New Approach in Measuring Rainfall Interception by Urban Trees in Coastal British Columbia. Water Qual. Res. J. Can. 2009, 44, 16–25. [Google Scholar] [CrossRef]
- Guevara-Escobar, A.; Edwards, W.R.N.; Morton, R.H.; Kemp, P.D.; Mackay, A.D. Tree Water Use and Rainfall Partitioning in a Mature Poplar–Pasture System. Tree Physiol. 2000, 20, 97–106. [Google Scholar] [CrossRef] [PubMed]
- Alves, P.L.; Formiga, K.T.M.; Traldi, M.A.B. Rainfall Interception Capacity of Tree Species Used in Urban Afforestation. Urban Ecosyst. 2018, 21, 697–706. [Google Scholar] [CrossRef]
- Miralles, D.G.; Gash, J.H.; Holmes, T.R.H.; De Jeu, R.A.M.; Dolman, A.J. Global Canopy Interception from Satellite Observations. J. Geophys. Res. 2010, 115, D16122. [Google Scholar] [CrossRef]
- Yue, K.; De Frenne, P.; Fornara, D.A.; Van Meerbeek, K.; Li, W.; Peng, X.; Ni, X.; Peng, Y.; Wu, F.; Yang, Y.; et al. Global Patterns and Drivers of Rainfall Partitioning by Trees and Shrubs. Glob. Change Biol. 2021, 27, 3350–3357. [Google Scholar] [CrossRef]
- Su, L.; Zhao, C.; Xu, W.; Xie, Z. Modelling Interception Loss Using the Revised Gash Model: A Case Study in a Mixed Evergreen and Deciduous Broadleaved Forest in China. Ecohydrology 2016, 9, 1580–1589. [Google Scholar] [CrossRef]
- Schwaab, J.; Davin, E.L.; Bebi, P.; Duguay-Tetzlaff, A.; Waser, L.T.; Haeni, M.; Meier, R. Increasing the Broad-Leaved Tree Fraction in European Forests Mitigates Hot Temperature Extremes. Sci. Rep. 2020, 10, 14153. [Google Scholar] [CrossRef]
- Kirnbauer, M.C.; Baetz, B.W.; Kenney, W.A. Estimating the Stormwater Attenuation Benefits Derived from Planting Four Monoculture Species of Deciduous Trees on Vacant and Underutilized Urban Land Parcels. Urban For. Urban Green. 2013, 12, 401–407. [Google Scholar] [CrossRef]
- Amatya, D.M.; Walega, A.; Callahan, T.J.; Morrison, A.; Vulava, V.; Hitchcock, D.R.; Williams, T.M.; Epps, T. Storm Event Analysis of Four Forested Catchments on the Atlantic Coastal Plain Using a Modified SCS-CN Rainfall-Runoff Model. J. Hydrol. 2022, 608, 127772. [Google Scholar] [CrossRef]
- Panahandeh, T.; Attarod, P.; Sadeghi, S.M.M.; Bayramzadeh, V.; Tang, Q.; Liu, X. The Performance of the Reformulated Gash Rainfall Interception Model in the Hyrcanian Temperate Forests of Northern Iran. J. Hydrol. 2022, 612, 128092. [Google Scholar] [CrossRef]
- Mosyaftiani, A.; Wahyu, A.; Kaswanto, K.; Wiyoga, H.; Syasita, N.; Septa, A.F.; Djauhari, D. Monitoring and Analyzing Tree Diversity Using I-Tree Eco to Strengthen Urban Forest Management. Biodiversitas 2022, 23, 4033–4039. [Google Scholar] [CrossRef]
- Sharma, G.; Morgenroth, J.; Richards, D.R.; Ye, N. Advancing Urban Forest and Ecosystem Service Assessment through the Integration of Remote Sensing and I-Tree Eco: A Systematic Review. Urban For. Urban Green. 2025, 104, 128659. [Google Scholar] [CrossRef]
- Nowak, D.J.; Maco, S.; Binkley, M. I-Tree: Global Tools to Assess Tree Benefits and Risks to Improve Forest Management. Arboric. Consultant 2018, 51, 10–13. [Google Scholar]
- Sjöman, J.D.; Tuhkanen, E.-M.; Mänttäri, M.; Cimburová, Ž.; Stålhammar, S.; Barton, D.N.; Randrup, T.B. Expectations of I-Tree Eco as a Tool for Urban Tree Management in Nordic Cities. Front. Sustain. Cities. 2024, 5, 1325039. [Google Scholar] [CrossRef]
- Tan, X.; Hirabayashi, S.; Shibata, S. Estimation of Ecosystem Services Provided by Street Trees in Kyoto, Japan. Forests 2021, 12, 311. [Google Scholar] [CrossRef]
- Peper, P.J.; McPherson, E.G.; Simpson, J.R.; Gardner, S.L.; Vargas, K.E.; Xiao, Q. New York City, New York Municipal Forest Resource Analysis; USDA Forest Service: Cambridge, MA, USA, 2007; 72p. [Google Scholar]
- Yang, J.; He, Z.; Feng, J.; Lin, P.; Du, J.; Guo, L.; Liu, Y.; Yan, J. Rainfall Interception Measurements and Modeling in a Semiarid Evergreen Spruce (Picea crassifolia) Forest. Agric. For. Meteorol. 2023, 328, 109257. [Google Scholar] [CrossRef]
- Yan, T.; Wang, Z.; Liao, C.; Xu, W.; Wan, L. Effects of the Morphological Characteristics of Plants on Rainfall Interception and Kinetic Energy. J. Hydrol. 2021, 592, 125807. [Google Scholar] [CrossRef]
- Livesley, S.J.; Baudinette, B.; Glover, D. Rainfall Interception and Stem Flow by Eucalypt Street Trees—The Impacts of Canopy Density and Bark Type. Urban For. Urban Green. 2014, 13, 192–197. [Google Scholar] [CrossRef]
- Niu, X.; Fan, J.; Du, M.; Dai, Z.; Luo, R.; Yuan, H.; Zhang, S. Changes of Rainfall Partitioning and Canopy Interception Modeling after Progressive Thinning in Two Shrub Plantations on the Chinese Loess Plateau. J. Hydrol. 2023, 619, 129299. [Google Scholar] [CrossRef]
- Zabret, K.; Rakovec, J.; Šraj, M. Influence of Meteorological Variables on Rainfall Partitioning for Deciduous and Coniferous Tree Species in Urban Area. J. Hydrol. 2018, 558, 29–41. [Google Scholar] [CrossRef]
- Deng, W.; Zheng, X.; Xiao, S.; Chen, Q.; Gao, Y.; Zhang, L.; Huang, J.; Bai, T.; Xie, S.; Liu, Y. Effects of Leaf Type, Litter Mass and Rainfall Characteristics on the Interception Storage Capacity of Leaf Litter Based on Process Simulation. J. Hydrol. 2023, 624, 129943. [Google Scholar] [CrossRef]
- Xiong, P.; Chen, Z.; Jia, Z.; Wang, Z.; Palta, J.A.; Xu, B. Variability in Leaf Wettability and Surface Water Retention of Main Species in Semiarid Loess Plateau of China. Ecohydrology 2018, 11, e2021. [Google Scholar] [CrossRef]
- Yu, Y.; Zhu, J.; Gao, T.; Liu, L.; Yu, F.; Zhang, J.; Wei, X. Evaluating the Influential Variables on Rainfall Interception at Different Rainfall Amount Levels in Temperate Forests. J. Hydrol. 2022, 615, 128572. [Google Scholar] [CrossRef]
- Kuehler, E.; Hathaway, J.; Tirpak, A. Quantifying the Benefits of Urban Forest Systems as a Component of the Green Infrastructure Stormwater Treatment Network. Ecohydrology 2017, 10, e1813. [Google Scholar] [CrossRef]
- Alexander, K.; Hettiarachchi, S.; Ou, Y.; Sharma, A. Can Integrated Green Spaces and Storage Facilities Absorb the Increased Risk of Flooding Due to Climate Change in Developed Urban Environments? J. Hydrol. 2019, 579, 124201. [Google Scholar] [CrossRef]
- Du, C.; Song, P.; Wang, K.; Li, A.; Hu, Y.; Zhang, K.; Jia, X.; Feng, Y.; Wu, M.; Qu, K.; et al. Investigating the Trends and Drivers between Urbanization and the Land Surface Temperature: A Case Study of Zhengzhou, China. Sustainability 2022, 14, 13845. [Google Scholar] [CrossRef]
- Yao, R.; Wang, L.; Huang, X.; Niu, Z.; Liu, F.; Wang, Q. Temporal Trends of Surface Urban Heat Islands and Associated Determinants in Major Chinese Cities. Sci. Total Environ. 2017, 609, 742–754. [Google Scholar] [CrossRef]
- Zhu, Y.; Liu, Y.; Zhu, L.; Liu, M.; Xie, Z.; Chen, J.; Fu, X.; Wang, Q.; Wang, Z.; Du, Q. Natural or Man-Made Disaster? Lessons from the Extreme Rain and Flood Disaster in Zhengzhou, China on “2021.7.20”. Sustain. Cities Soc. 2025, 118, 105999. [Google Scholar] [CrossRef]
- Guo, X.; Cheng, J.; Yin, C.; Li, Q.; Chen, R.; Fang, J. The Extraordinary Zhengzhou Flood of 7/20, 2021: How Extreme Weather and Human Response Compounding to the Disaster. Cities 2023, 134, 104168. [Google Scholar] [CrossRef]
- Tang, J.; Zhao, P.; Gong, Z.; Zhao, H.; Huang, F.; Li, J.; Chen, Z.; Yu, L.; Chen, J. Resilience Patterns of Human Mobility in Response to Extreme Urban Floods. Nat. Sci. Rev. 2023, 10, nwad097. [Google Scholar] [CrossRef]
- Dowtin, A.L.; Cregg, B.C.; Nowak, D.J.; Levia, D.F. Towards Optimized Runoff Reduction by Urban Tree Cover: A Review of Key Physical Tree Traits, Site Conditions, and Management Strategies. Landsc. Urban Plan. 2023, 239, 104849. [Google Scholar] [CrossRef]
- Yao, Y.; Wang, Y.; Ni, Z.; Chen, S.; Xia, B. Improving Air Quality in Guangzhou with Urban Green Infrastructure Planning: An i-Tree Eco Model Study. J. Clean. Prod. 2022, 369, 133372. [Google Scholar] [CrossRef]
- Nowak, D.J.; Greenfield, E.J.; Hoehn, R.E.; Lapoint, E. Carbon Storage and Sequestration by Trees in Urban and Community Areas of the United States. Environ. Pollut. 2013, 178, 229–236. [Google Scholar] [CrossRef]
- McPherson, E.G.; Kotow, L. A Municipal Forest Report Card: Results for California, USA. Urban For. Urban Green. 2013, 12, 134–143. [Google Scholar] [CrossRef]
- Nyelele, C.; Kroll, C.N.; Nowak, D.J. Present and Future Ecosystem Services of Trees in the Bronx, NY. Urban For. Urban Green. 2019, 42, 10–20. [Google Scholar] [CrossRef]
- Ma, J.; Li, X.; Baoquan, J.; Liu, X.; Li, T.; Zhang, W.; Liu, W. Spatial Variation Analysis of Urban Forest Vegetation Carbon Storage and Sequestration in Built-up Areas of Beijing Based on i-Tree Eco and Kriging. Urban For. Urban Green. 2021, 66, 127413. [Google Scholar] [CrossRef]
- Liu, Y.; Wang, F.; Zhang, S.; Ding, W.; Li, R.; Han, J.; Ge, W.; Chen, H.; Shi, S. Analysis of Canopy Interception Characteristics and Influencing Factors in Typical Artificial Forest in the Loess Plateau Semi-Arid Region. J. Environ. Manag. 2024, 370, 122455. [Google Scholar] [CrossRef]
- Zhang, K.; Dang, H.; Tan, S.; Wang, Z.; Zhang, Q. Vegetation Community and Soil Characteristics of Abandoned Agricultural Land and Pine Plantation in the Qinling Mountains, China. For. Ecol. Manag. 2010, 259, 2036–2047. [Google Scholar] [CrossRef]
- Yam, G.; Tripathi, O.P. Tree Diversity and Community Characteristics in Talle Wildlife Sanctuary, Arunachal Pradesh, Eastern Himalaya, India. J. Asia-Pac. Biodivers. 2016, 9, 160–165. [Google Scholar] [CrossRef]
- Qin, Y.; He, X.; Guo, H.; Zhou, C.; Zeng, W.; Chen, X.; Lei, X. National Growth Models for Stand Basal Area, Volume, and Biomass in Chinese Larch Plantations: Integrating Stand Structure and Species Effects. Trees For. People. 2025, 21, 100943. [Google Scholar] [CrossRef]
- Yang, Y.; Ma, J.; Liu, H.; Song, L.; Cao, W.; Ren, Y. Spatial Heterogeneity Analysis of Urban Forest Ecosystem Services in Zhengzhou City. PLoS ONE 2023, 18, e0286800. [Google Scholar] [CrossRef]
- Xiao, Q.; McPherson, E.G. Rainfall Interception by Santa Monica’s Municipal Urban Forest. Urban Ecosyst. 2002, 6, 291–302. [Google Scholar] [CrossRef]
- Song, P.; Kim, G.; Mayer, A.; He, R.; Tian, G. Assessing the Ecosystem Services of Various Types of Urban Green Spaces Based on I-Tree Eco. Sustainability 2020, 12, 1630. [Google Scholar] [CrossRef]
- Shetty, N.H. Estimating Stormwater Infiltration and Canopy Interception for Street Tree Pits in Manhattan, New York. Forests 2023, 14, 216. [Google Scholar] [CrossRef]
- Nooraei Beidokhti, A.; Moore, T.L. The Effects of Precipitation, Tree Phenology, Leaf Area Index, and Bark Characteristics on Throughfall Rates by Urban Trees: A Meta-Data Analysis. Urban For. Urban Green. 2021, 60, 127052. [Google Scholar] [CrossRef]
- Alcorn, P.J.; Pyttel, P.; Bauhus, J.; Smith, R.G.B.; Thomas, D.; James, R.; Nicotra, A. Effects of Initial Planting Density on Branch Development in 4-Year-Old Plantation Grown Eucalyptus Pilularis and Eucalyptus Cloeziana Trees. For. Ecol. Manag. 2007, 252, 41–51. [Google Scholar] [CrossRef]
- Inkiläinen, E.N.M.; McHale, M.R.; Blank, G.B.; James, A.L.; Nikinmaa, E. The Role of the Residential Urban Forest in Regulating Throughfall: A Case Study in Raleigh, North Carolina, USA. Landsc. Urban Plan. 2013, 119, 91–103. [Google Scholar] [CrossRef]
- Martinez-Vilalta, J.; Mangiron, M.; Ogaya, R.; Sauret, M.; Serrano, L.; Penuelas, J.; Pinol, J. Sap Flow of Three Co-Occurring Mediterranean Woody Species under Varying Atmospheric and Soil Water Conditions. Tree Physiol. 2003, 23, 747–758. [Google Scholar] [CrossRef]
- Zeppel, M. Convergence of Tree Water Use and Hydraulic Architecture in Water-limited Regions: A Review and Synthesis. Ecohydrology 2013, 6, 889–900. [Google Scholar] [CrossRef]
- Aloisio, J.M.; Tuininga, A.R.; Lewis, J.D. Crop Species Selection Effects on Stormwater Runoff and Edible Biomass in an Agricultural Green Roof Microcosm. Ecol. Eng. 2016, 88, 20–27. [Google Scholar] [CrossRef]
- Nagase, A.; Dunnett, N. Amount of Water Runoff from Different Vegetation Types on Extensive Green Roofs: Effects of Plant Species, Diversity and Plant Structure. Landsc. Urban Plan. 2012, 104, 356–363. [Google Scholar] [CrossRef]
- Pflug, S.; Voortman, B.R.; Cornelissen, J.H.C.; Witte, J.M. The Effect of Plant Size and Branch Traits on Rainfall Interception of 10 Temperate Tree Species. Ecohydrology 2021, 14, e2349. [Google Scholar] [CrossRef]
- Sadeghi, S.M.M.; Attarod, P.; Van Stan, J.T.; Pypker, T.G. The Importance of Considering Rainfall Partitioning in Afforestation Initiatives in Semiarid Climates: A Comparison of Common Planted Tree Species in Tehran, Iran. Sci. Total Environ. 2016, 568, 845–855. [Google Scholar] [CrossRef]
- Anys, M.; Weiler, M. Rainfall Interception by Urban Trees: Event Characteristics and Tree Morphological Traits. Hydrol. Process. 2024, 38, e15146. [Google Scholar] [CrossRef]
- Rodriguez, H.G.; Maiti, R.; Sarkar, N.C. Phenology of Woody Species: A Review. Int. J. Bioresour. Stress Manag. 2014, 5, 436. [Google Scholar] [CrossRef]
- Kermavnar, J.; Vilhar, U. Canopy Precipitation Interception in Urban Forests in Relation to Stand Structure. Urban Ecosyst. 2017, 20, 1373–1387. [Google Scholar] [CrossRef]
- Xiao, Q.; McPherson, E.G.; Ustin, S.L.; Grismer, M.E. A New Approach to Modeling Tree Rainfall Interception. J. Geophys. Res. 2000, 105, 29173–29188. [Google Scholar] [CrossRef]
- Andreasen, M.; Christiansen, J.R.; Sonnenborg, T.O.; Stisen, S.; Looms, M.C. Seasonal Dynamics of Canopy Interception Loss within a Deciduous and a Coniferous Forest. Hydrol. Process. 2023, 37, e14828. [Google Scholar] [CrossRef]
- Li, X.; Xiao, Q.; Niu, J.; Dymond, S.; Van Doorn, N.S.; Yu, X.; Xie, B.; Lv, X.; Zhang, K.; Li, J. Process-Based Rainfall Interception by Small Trees in Northern China: The Effect of Rainfall Traits and Crown Structure Characteristics. Agric. For. Meteorol. 2016, 218–219, 65–73. [Google Scholar] [CrossRef]
- Ilek, A.; Szostek, M.; Mikołajczyk, A.; Rajtar, M. Does Mixing Tree Species Affect Water Storage Capacity of the Forest Floor? Laboratory Test of Pine-Oak and Fir-Beech Litter Layers. Forests 2021, 12, 1674. [Google Scholar] [CrossRef]
- Dietz, J.; Hölscher, D.; Leuschner, C.; Hendrayanto. Rainfall Partitioning in Relation to Forest Structure in Differently Managed Montane Forest Stands in Central Sulawesi, Indonesia. For. Ecol. Manag. 2006, 237, 170–178. [Google Scholar] [CrossRef]
- Baptista, M.D.; Livesley, S.J.; Parmehr, E.G.; Neave, M.; Amati, M. Variation in Leaf Area Density Drives the Rainfall Storage Capacity of Individual Urban Tree Species. Hydrol. Processes 2018, 32, 3729–3740. [Google Scholar] [CrossRef]
- Watkins, S.L.; Mincey, S.K.; Vogt, J.; Sweeney, S.P. Is Planting Equitable? An Examination of the Spatial Distribution of Nonprofit Urban Tree-Planting Programs by Canopy Cover, Income, Race, and Ethnicity. Environ. Behav. 2017, 49, 452–482. [Google Scholar] [CrossRef]
- Burkhart, H.E.; Tomé, M. Modeling Forest Trees and Stands; Springer Science & Business Media: Cambridge, MA, USA, 2012; ISBN 978-90-481-3170-9. [Google Scholar]
- Jiang, Y.; Zevenbergen, C.; Ma, Y. Urban Pluvial Flooding and Stormwater Management: A Contemporary Review of China’s Challenges and “Sponge Cities” Strategy. Environ. Sci. Policy. 2018, 80, 132–143. [Google Scholar] [CrossRef]
- Siegert, C.M.; Levia, D.F. Seasonal and Meteorological Effects on Differential Stemflow Funneling Ratios for Two Deciduous Tree Species. J. Hydrol. 2014, 519, 446–454. [Google Scholar] [CrossRef]
- Nowak, D.; Crane, D.; Stevens, J.; Hoehn, R.; Walton, J.; Bond, J. A Ground-Based Method of Assessing Urban Forest Structure and Ecosystem Services. AUF 2008, 34, 347–358. [Google Scholar] [CrossRef]
- Xiong, P.; Chen, Z.; Yang, Q.; Zhou, J.; Zhang, H.; Wang, Z.; Xu, B. Surface Water Storage Characteristics of Main Herbaceous Species in Semiarid Loess Plateau of China. Ecohydrology 2019, 12, e2145. [Google Scholar] [CrossRef]
- Jiao, J.; Su, D.; Han, L.; Wang, Y. A Rainfall Interception Model for Alfalfa Canopy under Simulated Sprinkler Irrigation. Water 2016, 8, 585. [Google Scholar] [CrossRef]









| Classification Scale | Type Name | Abbr. | Composition Description |
|---|---|---|---|
| Tree Species | Evergreen Broadleaf Tree Species | EVET | Evergreen and Broadleaf |
| Deciduous Broadleaf Tree Species | DECT | Deciduous and Broadleaf | |
| Coniferous Tree Species | CONT | Evergreen and Coniferous (Note: Deciduous conifers are not considered due to the limited representation by Metasequoia only.) | |
| Tree Community | Pure Evergreen Broadleaf Forest | EVE | Composed exclusively of evergreen broadleaf tree species |
| Pure Deciduous Broadleaf Forest | DEC | Composed exclusively of deciduous broadleaf tree species | |
| Pure Coniferous Forest | CON | Composed exclusively of coniferous tree species | |
| Mixed Evergreen and Deciduous Broadleaf Forest | E-D | Composed of evergreen broadleaf and deciduous broadleaf tree species | |
| Mixed Evergreen Broadleaf and Coniferous Forest | E-C | Composed of evergreen broadleaf and coniferous tree species | |
| Mixed Deciduous Broadleaf and Coniferous Forest | D-C | Composed of deciduous broadleaf and coniferous tree species | |
| Mixed Forest of Evergreen Broadleaf, Deciduous Broadleaf, and Coniferous Species | E-D-C | Composed of evergreen broadleaf, Deciduous broadleaf and Coniferous tree species |
| Categorization | Variable | Abbr. | Units | Description | Formula | |
|---|---|---|---|---|---|---|
| Morphological Traits | Average Diameter at Breast Height | ADBH | cm | The Average of the Sum of Diameters at Breast Height for the Same Tree Species. | (3) | |
| Average Tree Height | ATH | m | The Average of the Sum of Tree Heights for the Same Tree Species. | (4) | ||
| Average Branch Height | ABH | m | The Average of the Sum of Branch Heights for the Same Tree Species. | (5) | ||
| Average Crown Width | ACW | m | The Average of the Sum of Crown Widths for the Same Tree Species. | (6) | ||
| Diameter at Breast Height Disparity | DBH_D | cm | The Difference Between the Maximum and Minimum Diameter at Breast Height for the Same Tree Species. | (7) | ||
| Tree Height Disparity | TH_D | m | The Difference Between the Maximum and Minimum Tree Heights for the Same Tree Species. | (8) | ||
| Branch Height Disparity | BH_D | m | The Difference Between the Maximum and Minimum Branch Heights for the Same Tree Species. | (9) | ||
| Crown Width Disparity | CW_D | m | The Difference Between the Maximum and Minimum Crown Widths for the Same Tree Species. | (10) | ||
| Ecological Characteristics | Importance Value | IV | - | Ecological Importance of Species. | (11) | |
| Relative Density | RD | % | The number of individuals per unit area. | (12) | ||
| Coverage | COV | % | The proportion of the ground area covered by the vertical projection of tree canopies. | (13) | ||
| Average Breast Height Cross-Sectional Area | ACS | m2 | The ratio of the square of tree diameters at breast height (DBH) to the total number of trees in the stand. | (14) | ||
| Significance Value | SIG | - | The Total Basal Area at Breast Height (BA) for a/all Specific Species. | (15) | ||
| Relative Frequency | RF | % | The percentage of sample plots in which a species occurs. | (16) | ||
| Relative Height | RH | % | The height of a specific plant species as a percentage of the total height of all species. | (17) | ||
| Planting Density | TD | trees/m2 | The number of plants per unit area within the green space plant community. | (18) | ||
| Species Diversity Indices | Gleason Richness Index | GLE | - | A measure used to describe the diversity of species within a community. | (19) | |
| Shannon-Wiener Index | SW | - | An indicator describing the disorder and uncertainty in the occurrence of individuals within species. | (20) | ||
| Simpson Dominance Index | SIM | - | Represents the probability that two individuals randomly sampled from a community belong to the same species. | (21) | ||
| Pielou Evenness Index | PIE | - | Used to describe the relative abundance and evenness of different species within an ecosystem or community. | (22) | ||
| Community Composition | Community Type | Total Rainwater Interception Volume (m3∙yr−1) | RIE (mm∙yr−1) |
|---|---|---|---|
| Populus tomentosa | DEC | 219 | 547.5 |
| Salix babylonica + Populus tomentosa | DEC | 199.3 | 498.25 |
| Salix babylonica + Platanus orientalis | DEC | 160.2 | 400.5 |
| Salix babylonica | DEC | 158.9 | 397.25 |
| Platanus orientalis + Ligustrum lucidum + Ginkgo biloba | E-D | 150.5 | 376.25 |
| Zelkova serrata | DEC | 141.7 | 354.25 |
| Populus tomentosa | DEC | 138.1 | 345.25 |
| Cedrus deodara + Ligustrum lucidum | E-C | 134.3 | 335.75 |
| Populus tomentosa +Robinia pseudoacacia + Juglans regia | DEC | 129.9 | 324.75 |
| Cedrus deodara + Bischofia polycarpa | D-C | 127.5 | 318.75 |
| Fraxinus chinensis | DEC | 124 | 310 |
| Platanus orientalis | DEC | 122.3 | 305.75 |
| Ginkgo biloba | DEC | 119.6 | 299 |
| Paulownia fortune + Populus tomentosa + Robinia pseudoacacia Linn. | DEC | 117.7 | 294.25 |
| Platanus orientalis + Salix babylonica | DEC | 114.1 | 285.25 |
| Driving Factor | Influence Mechanism | Optimization Strategy | Applicable Urban Contexts |
|---|---|---|---|
| ATH | Taller trees increase vertical canopy depth and enhance initial interception | Prioritize medium-to-tall tree species; enhance maturity; reduce prevalence of low-stature monocultures | Main park corridors, flood-prone greenspaces, campus cores |
| ACW | Wider crowns provide greater interception surface and delay infiltration | Select native species with broad crowns; space trees to promote lateral crown expansion | Street greenbelts, riverside strips, residential peripheries |
| RH | Multi-layered canopies enhance rainfall redistribution and multi-phase interception | Establish vertical stratification using tall canopy trees and lower understory vegetation | Peri-urban greenbelts, park edges, ecological buffer zones |
| TD | Denser planting increases canopy coverage and retention but may restrict growth | Adjust density by species and function; promote compact arrangements in constrained areas | Flood-prone districts, compact micro-greenspaces |
| CW_D | Variability in crown size fosters spatial heterogeneity and layered interception | Combine species with diverse crown shapes; avoid uniform layouts | Park understories, urban courtyards, multifunctional greenspaces |
| IV | Dominant species contribute significantly to community-level interception | Increase the proportion of high-performance species (e.g., Paulownia, Populus tomentosa, Koelreuteria) | Species transition zones, functional green infrastructure sites |
Disclaimer/Publisher’s Note: The statements, opinions and data contained in all publications are solely those of the individual author(s) and contributor(s) and not of MDPI and/or the editor(s). MDPI and/or the editor(s) disclaim responsibility for any injury to people or property resulting from any ideas, methods, instructions or products referred to in the content. |
© 2025 by the authors. Licensee MDPI, Basel, Switzerland. This article is an open access article distributed under the terms and conditions of the Creative Commons Attribution (CC BY) license (https://creativecommons.org/licenses/by/4.0/).
Share and Cite
Xu, C.; Zhu, X.; Tan, X.; Zhang, R.; Liu, B.; Wang, K.; Xu, E.; Li, A.; Wan, H.Y.; Song, P.; et al. Urban-Scale Quantification of Rainfall Interception Drivers in Tree Communities: Implications for Sponge City Planning. Sustainability 2025, 17, 7793. https://doi.org/10.3390/su17177793
Xu C, Zhu X, Tan X, Zhang R, Liu B, Wang K, Xu E, Li A, Wan HY, Song P, et al. Urban-Scale Quantification of Rainfall Interception Drivers in Tree Communities: Implications for Sponge City Planning. Sustainability. 2025; 17(17):7793. https://doi.org/10.3390/su17177793
Chicago/Turabian StyleXu, Chaonan, Xiya Zhu, Xiaoyang Tan, Runxin Zhang, Baoguo Liu, Kun Wang, Enkai Xu, Ang Li, Ho Yi Wan, Peihao Song, and et al. 2025. "Urban-Scale Quantification of Rainfall Interception Drivers in Tree Communities: Implications for Sponge City Planning" Sustainability 17, no. 17: 7793. https://doi.org/10.3390/su17177793
APA StyleXu, C., Zhu, X., Tan, X., Zhang, R., Liu, B., Wang, K., Xu, E., Li, A., Wan, H. Y., Song, P., & Ge, S. (2025). Urban-Scale Quantification of Rainfall Interception Drivers in Tree Communities: Implications for Sponge City Planning. Sustainability, 17(17), 7793. https://doi.org/10.3390/su17177793

