Quantifying Spatiotemporal Evolution of Sandy Shorelines in Northern China Using DSAS: A Case Study from Dalian World Peace Park
Abstract
1. Introduction
2. Study Area
3. Data and Methods
3.1. Data Source
3.1.1. Remote Sensing Image Data
3.1.2. Auxiliary Data
3.1.3. Field Sampling Data
3.2. Data Processing and Analysis Methods
3.2.1. Shoreline Extraction Method
3.2.2. Shoreline Change Analysis Methods
- (1)
- WLR
- (2)
- EPR
- (3)
- NSM
3.2.3. Method for Analyzing Sediment Particle Size
3.3. Error Analysis and Uncertainty Assessment
4. Results and Discussion
4.1. Characterization of Beach Shoreline Changes at Long-Term Scales
4.2. Characteristics of Beach Shoreline Evolution Under Human Influence
4.2.1. The Impact of Land Reclamation Projects on the Evolution of Beach Coastlines
4.2.2. Impacts of Ecological Restoration Projects on Beach Shoreline Evolution
4.3. Characterization of Shoreline Evolution Under the Influence of Natural Disasters
5. Conclusions
Author Contributions
Funding
Data Availability Statement
Acknowledgments
Conflicts of Interest
Correction Statement
Appendix A




| Data Name | Description | Source |
|---|---|---|
| Landsat 5/7/8/9 images | Multispectral remote sensing images with 30 m spatial resolution, spanning 2000–2024, used for coastal monitoring | Google Earth Engine (GEE) platform, with TOA atmospheric correction |
| Sentinel-2 series images | Multispectral remote sensing images with 10 m spatial resolution, spanning 2000–2024, used for coastal monitoring | Google Earth Engine (GEE) platform, with TOA atmospheric correction |
| Tidal data | Used for tidal correction in remote sensing-based coastline extraction to generate instantaneous tidal heights | DHI MIKE Global Tide model |
| Topographic data | Used to determine average beach slope and elevation, facilitating spatial translation for shoreline positioning | Obtained via RTK-GPS measurements |
| Meteorological data | Includes typhoon trajectories, wind velocity, and precipitation records; typhoon data (Haitang and Noru) used to assess extreme climate impacts | Dalian Meteorological Observatory; coastal monitoring station of National Marine Environmental Monitoring Center |
| Field sediment samples | Collected in 2017 from 4 north–south transects (250 m apart) at high, middle, and low tide zones (500 g each) | Dalian World Peace Park beach, geotagged via handheld GPS |
| UAV on-site records | Used for on-site documentation with high-precision positioning to support sediment analysis and shoreline verification | DJI Mavic 2 drone equipped with RTK |
| Tool Name | Description | Source |
|---|---|---|
| CoastSat toolkit | Used on GEE for shoreline extraction, integrating and Otsu algorithm to improve accuracy | Google Earth Engine (GEE) platform |
| Digital Shoreline Analysis System (DSAS v5.0) | Open-source GIS extension for calculating WLR, EPR, NSM to quantify spatiotemporal shoreline evolution | U.S. Geological Survey (USGS) |
| ArcGIS 10.8 | Used for topological consistency processing, buffer generation, baseline establishment, and transect correction of multi-source coastal datasets | Commercial GIS software 10.8 |
| Beckman Coulter LS13 320 laser particle size analyzer | Analyzes fine particles (0.4–2000 m) with relative error < 5% | Malvern Instruments, UK |
| Sieving equipment | Analyzes coarse particles (>2000 m) with error , following marine survey standards | Compliant with GB/T 12763.8-2007 |
| Station | Grain Size Fractions | Gravel (G) | Sand (S) | Silt (T) | Clay (Y) | |||||||||||
|---|---|---|---|---|---|---|---|---|---|---|---|---|---|---|---|---|
|
Coarse
Classification | Fine Gravel | Coarse Sand | Middle Sand | Fine Sand | Coarse Silt | Coarse Classification | Fine Gravel | Coarse Sand | ||||||||
|
Fine
Classification | Fine Gravel |
Very
Coarse Sand |
Coarse
Sand |
Middle
Sand |
Fine
Sand |
Fine
Classification |
Fine
Gravel |
Very
Coarse Sand |
Coarse
Sand |
Middle
Sand |
Fine
Sand |
Fine
Classification | Fine Gravel | |||
| Abbreviations | FG | VCS | CS | MS | FS | VFS | CT | MT | FT | VFT | CY | FY |
Primary and
Secondary Components | |||
| μm | >2000 | 2000∼1000 | 1000∼500 | 500∼250 | 250∼125 | 125∼63 | 63∼32 | 32∼16 | 16∼8 | 8∼4 | 4∼2 | 2∼1 | <1 | (Participation ≥20%) | ||
| <−1 | −1∼0 | 0∼1 | 1∼2 | 2∼3 | 3∼4 | 4∼5 | 5∼6 | 6∼7 | 7∼8 | 8∼9 | 9∼10 | 10∼11 | ||||
| P01 | 1 (High tide level) | Volume Ratio (%) | 100.00 | 0.00 | 0.00 | 0.00 | 0.00 | 0.00 | 0.00 | 0.00 | 0.00 | 0.00 | 0.00 | 0.00 | 0.00 | G |
| Grain Size Classes (%) | 100.00 | 0.00 | 0.00 | 0.00 | ||||||||||||
| 2 (Mid tide level) | Volume Ratio (%) | 0.00 | 0.00 | 0.50 | 1.62 | 78.73 | 15.77 | 0.92 | 0.48 | 0.52 | 0.48 | 0.35 | 0.36 | 0.27 | S | |
| Grain Size Classes (%) | 0.00 | 96.62 | 2.40 | 0.98 | ||||||||||||
| 3 (Low tide level) | Volume Ratio (%) | 0.00 | 0.00 | 0.00 | 0.25 | 83.48 | 10.63 | 0.96 | 0.80 | 1.24 | 1.12 | 0.66 | 0.44 | 0.42 | S | |
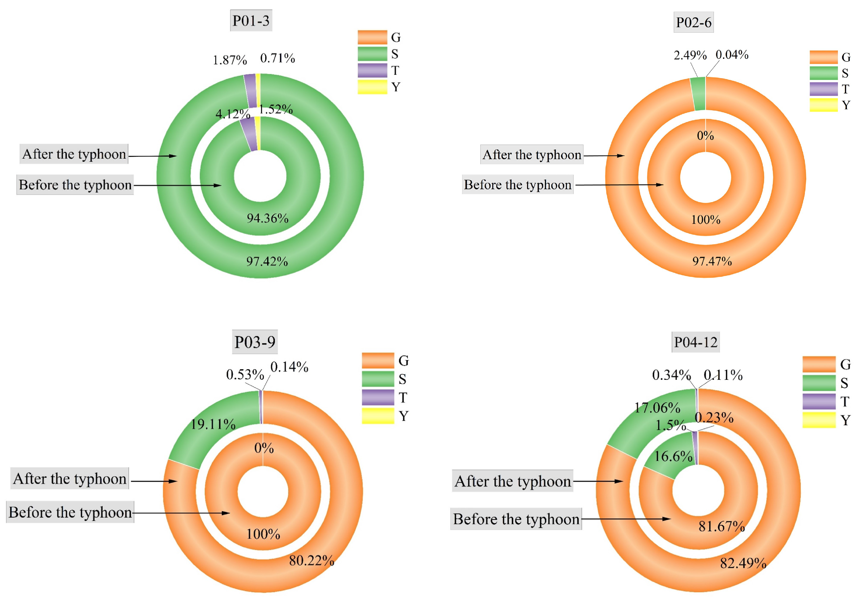
| Grain Size Classes (%) | 0.00 | 94.36 | 4.12 | 1.52 | ||||||||||||
| P02 | 4 (High tide level) | Volume Ratio (%) | 100.00 | 0.00 | 0.00 | 0.00 | 0.00 | 0.00 | 0.00 | 0.00 | 0.00 | 0.00 | 0.00 | 0.00 | 0.00 | G |
| Grain Size Classes (%) | 100.00 | 0.00 | 0.00 | 0.00 | ||||||||||||
| 5 (Mid tide level) | Volume Ratio (%) | 100.00 | 0.00 | 0.00 | 0.00 | 0.00 | 0.00 | 0.00 | 0.00 | 0.00 | 0.00 | 0.00 | 0.00 | 0.00 | G | |
| Grain Size Classes (%) | 100.00 | 0.00 | 0.00 | 0.00 | ||||||||||||
| 6 (Low tide level) | Volume Ratio (%) | 100.00 | 0.00 | 0.00 | 0.00 | 0.00 | 0.00 | 0.00 | 0.00 | 0.00 | 0.00 | 0.00 | 0.00 | 0.00 | G | |
| Grain Size Classes (%) | 100.00 | 0.00 | 0.00 | 0.00 | ||||||||||||
| Station | Grain Size Fractions | Gravel (G) | Sand (S) | Silt (T) | Clay (Y) | |||||||||||
|---|---|---|---|---|---|---|---|---|---|---|---|---|---|---|---|---|
|
Coarse
Classification | Fine Gravel | Coarse Sand | Middle Sand | Fine Sand | Coarse Silt | Coarse Classification | Fine Gravel | Coarse Sand | ||||||||
|
Fine
Classification | Fine Gravel |
Very
Coarse Sand |
Coarse
Sand |
Middle
Sand |
Fine
Sand |
Fine
Classification |
Fine
Gravel |
Very
Coarse Sand |
Coarse
Sand |
Middle
Sand |
Fine
Sand |
Fine
Classification | Fine Gravel | |||
| Abbreviations | FG | VCS | CS | MS | FS | VFS | CT | MT | FT | VFT | CY | FY |
Primary and
Secondary Components | |||
| μm | >2000 | 2000∼1000 | 1000∼500 | 500∼250 | 250∼125 | 125∼63 | 63∼32 | 32∼16 | 16∼8 | 8∼4 | 4∼2 | 2∼1 | <1 | (Participation ≥20%) | ||
| <−1 | −1∼0 | 0∼1 | 1∼2 | 2∼3 | 3∼4 | 4∼5 | 5∼6 | 6∼7 | 7∼8 | 8∼9 | 9∼10 | 10∼11 | ||||
| P03 | 7 (High tide level) | Volume Ratio (%) | 100.00 | 0.00 | 0.00 | 0.00 | 0.00 | 0.00 | 0.00 | 0.00 | 0.00 | 0.00 | 0.00 | 0.00 | 0.00 | G |
| Grain Size Classes (%) | 100.00 | 0.00 | 0.00 | 0.00 | ||||||||||||
| 8 (Mid tide level) | Volume Ratio (%) | 86.25 | 0.89 | 5.49 | 5.46 | 1.50 | 0.14 | 0.06 | 0.06 | 0.04 | 0.04 | 0.03 | 0.02 | 0.02 | G | |
| Grain Size Classes (%) | 86.25 | 13.48 | 0.20 | 0.07 | ||||||||||||
| P03 | 9 (Low tide level) | Volume Ratio (%) | 100.00 | 0.00 | 0.00 | 0.00 | 0.00 | 0.00 | 0.00 | 0.00 | 0.00 | 0.00 | 0.00 | 0.00 | 0.00 | G |
| Grain Size Classes (%) | 100.00 | 0.00 | 0.00 | 0.00 | ||||||||||||
| P04 | 10 (High tide level) | Volume Ratio (%) | 100.00 | 0.00 | 0.00 | 0.00 | 0.00 | 0.00 | 0.00 | 0.00 | 0.00 | 0.00 | 0.00 | 0.00 | 0.00 | G |
| Grain Size Classes (%) | 100.00 | 0.00 | 0.00 | 0.00 | ||||||||||||
| 11 (Mid tide level) | Volume Ratio (%) | 98.26 | 1.21 | 0.36 | 0.05 | 0.04 | 0.02 | 0.01 | 0.02 | 0.01 | 0.01 | 0.01 | 0.00 | 0.00 | G | |
| Grain Size Classes (%) | 98.26 | 1.68 | 0.05 | 0.01 | ||||||||||||
| 12 (Low tide level) | Volume Ratio (%) | 81.67 | 3.21 | 5.16 | 3.26 | 3.63 | 1.34 | 0.62 | 0.42 | 0.27 | 0.19 | 0.12 | 0.06 | 0.05 | G | |
| Grain Size Classes (%) | 81.67 | 16.60 | 1.50 | 0.23 | ||||||||||||
| Station | Grain Size Fractions | Gravel (G) | Sand (S) | Silt (T) | Clay (Y) | |||||||||||
|---|---|---|---|---|---|---|---|---|---|---|---|---|---|---|---|---|
|
Coarse
Classification | Fine Gravel | Coarse Sand | Middle Sand | Fine Sand | Coarse Silt | Coarse Classification | Fine Gravel | Coarse Sand | ||||||||
|
Fine
Classification | Fine Gravel |
Very
Coarse Sand |
Coarse
Sand |
Middle
Sand |
Fine
Sand |
Fine
Classification |
Fine
Gravel |
Very
Coarse Sand |
Coarse
Sand |
Middle
Sand |
Fine
Sand |
Fine
Classification | Fine Gravel | |||
| Abbreviations | FG | VCS | CS | MS | FS | VFS | CT | MT | FT | VFT | CY | FY |
Primary and
Secondary Components | |||
| μm | >2000 | 2000∼1000 | 1000∼500 | 500∼250 | 250∼125 | 125∼63 | 63∼32 | 32∼16 | 16∼8 | 8∼4 | 4∼2 | 2∼1 | <1 | (Participation ≥20%) | ||
| <−1 | −1∼0 | 0∼1 | 1∼2 | 2∼3 | 3∼4 | 4∼5 | 5∼6 | 6∼7 | 7∼8 | 8∼9 | 9∼10 | 10∼11 | ||||
| P01 | 1 (High tide level) | Volume Ratio (%) | 100.00 | 0.00 | 0.00 | 0.00 | 0.00 | 0.00 | 0.00 | 0.00 | 0.00 | 0.00 | 0.00 | 0.00 | 0.00 | G |
| Grain Size Classes (%) | 100.00 | 0.00 | 0.00 | 0.00 | ||||||||||||
| 2 (Mid tide level) | Volume Ratio (%) | 0.00 | 0.00 | 0.00 | 10.13 | 78.98 | 15.75 | 1.20 | 1.12 | 0.99 | 0.80 | 0.53 | 0.42 | 0.30 | S | |
| Grain Size Classes (%) | 0.00 | 94.64 | 4.11 | 1.25 | ||||||||||||
| 3 (Low tide level) | Volume Ratio (%) | 0.00 | 0.00 | 0.00 | 0.13 | 87.54 | 17.76 | 1.06 | 0.39 | 0.24 | 0.18 | 0.19 | 0.30 | 0.22 | S | |
| Grain Size Classes (%) | 0.00 | 97.42 | 1.87 | 0.71 | ||||||||||||
| P02 | 4 (High tide level) | Volume Ratio (%) | 100.00 | 0.00 | 0.00 | 0.00 | 0.00 | 0.00 | 0.00 | 0.00 | 0.00 | 0.00 | 0.00 | 0.00 | 0.00 | G |
| Grain Size Classes (%) | 100.00 | 0.00 | 0.00 | 0.00 | ||||||||||||
| 5 (Mid tide level) | Volume Ratio (%) | 78.46 | 2.59 | 2.99 | 2.83 | 11.93 | 0.94 | 0.11 | 0.04 | 0.02 | 0.01 | 0.02 | 0.05 | 0.01 | G | |
| Grain Size Classes (%) | 78.46 | 21.28 | 0.18 | 0.08 | ||||||||||||
| 6 (Low tide level) | Volume Ratio (%) | 97.47 | 1.75 | 0.36 | 0.04 | 0.24 | 0.10 | 0.01 | 0.01 | 0.01 | 0.01 | 0.00 | 0.00 | 0.00 | G | |
| Grain Size Classes (%) | 97.47 | 2.49 | 0.04 | 0.00 | ||||||||||||
| Station | Grain Size Fractions | Gravel (G) | Sand (S) | Silt (T) | Clay (Y) | |||||||||||
|---|---|---|---|---|---|---|---|---|---|---|---|---|---|---|---|---|
|
Coarse
Classification | Fine Gravel | Coarse Sand | Middle Sand | Fine Sand | Coarse Silt | Coarse Classification | Fine Gravel | Coarse Sand | ||||||||
|
Fine
Classification | Fine Gravel |
Very
Coarse Sand |
Coarse
Sand |
Middle
Sand |
Fine
Sand |
Fine
Classification |
Fine
Gravel |
Very
Coarse Sand |
Coarse
Sand |
Middle
Sand |
Fine
Sand |
Fine
Classification | Fine Gravel | |||
| Abbreviations | FG | VCS | CS | MS | FS | VFS | CT | MT | FT | VFT | CY | FY |
Primary and
Secondary Components | |||
| μm | >2000 | 2000∼1000 | 1000∼500 | 500∼250 | 250∼125 | 125∼63 | 63∼32 | 32∼16 | 16∼8 | 8∼4 | 4∼2 | 2∼1 | <1 | (Participation ≥20%) | ||
| <−1 | −1∼0 | 0∼1 | 1∼2 | 2∼3 | 3∼4 | 4∼5 | 5∼6 | 6∼7 | 7∼8 | 8∼9 | 9∼10 | 10∼11 | ||||
| P03 | 7 (High tide level) | Volume Ratio (%) | 91.53 | 1.33 | 1.68 | 2.29 | 2.85 | 0.22 | 0.05 | 0.01 | 0.01 | 0.01 | 0.01 | 0.01 | 0.01 | G |
| Grain Size Classes (%) | 91.53 | 8.36 | 0.08 | 0.03 | ||||||||||||
| 8 (Mid tide level) | Volume Ratio (%) | 91.53 | 1.33 | 1.68 | 2.29 | 2.85 | 0.22 | 0.05 | 0.01 | 0.01 | 0.01 | 0.01 | 0.01 | 0.01 | G | |
| Grain Size Classes (%) | 91.53 | 8.36 | 0.08 | 0.03 | ||||||||||||
| 9 (Low tide level) | Volume Ratio (%) | 80.22 | 1.34 | 1.95 | 4.44 | 9.95 | 1.43 | 0.26 | 0.12 | 0.08 | 0.07 | 0.05 | 0.05 | 0.04 | G | |
| Grain Size Classes (%) | 80.22 | 19.11 | 0.53 | 0.14 | ||||||||||||
| P04 | 10 (High tide level) | Volume Ratio (%) | 100.00 | 0.00 | 0.00 | 0.00 | 0.00 | 0.00 | 0.00 | 0.00 | 0.00 | 0.00 | 0.00 | 0.00 | 0.00 | G |
| Grain Size Classes (%) | 100.00 | 0.00 | 0.00 | 0.00 | ||||||||||||
| 11 (Mid tide level) | Volume Ratio (%) | 65.16 | 13.68 | 14.78 | 5.22 | 1.09 | 0.07 | 0.00 | 0.00 | 0.00 | 0.00 | 0.00 | 0.00 | 0.00 | SG | |
| Grain Size Classes (%) | 65.16 | 34.84 | 0.00 | 0.00 | ||||||||||||
| 12 (Low tide level) | Volume Ratio (%) | 82.49 | 2.52 | 3.95 | 2.64 | 7.07 | 0.87 | 0.10 | 0.09 | 0.08 | 0.07 | 0.05 | 0.05 | 0.01 | G | |
| Grain Size Classes (%) | 82.49 | 17.06 | 0.34 | 0.11 | ||||||||||||
References
- Luijendijk, A.; Hagenaars, G.; Ranasinghe, R.; Baart, F.; Donchyts, G.; Aarninkhof, S. The state of the world’s beaches. Sci. Rep. 2018, 8, 6641. [Google Scholar] [CrossRef]
- Qiu, Y.; Gopalakrishnan, S. Shoreline defense against climate change and capitalized impact of beach nourishment. J. Environ. Econ. Manag. 2018, 92, 134–147. [Google Scholar] [CrossRef]
- Pang, T.; Wang, X.; Nawaz, R.A.; Keefe, G.; Adekanmbi, T. Coastal erosion and climate change: A review on coastal-change process and modeling. Ambio 2023, 52, 2034–2052. [Google Scholar] [CrossRef]
- Bird, E.C. Coastal Geomorphology: An Introduction; John Wiley & Sons: Hoboken, NJ, USA, 2008. [Google Scholar]
- Cai, H.; Li, C.; Luan, X.; Ai, B.; Yan, L.; Wen, Z. Analysis of the spatiotemporal evolution of the coastline of Jiaozhou Bay and its driving factors. Ocean. Coast. Manag. 2022, 226, 106246. [Google Scholar] [CrossRef]
- Cai, F.; Su, X.; Liu, J.; Li, B.; Lei, G. Coastal erosion in China under the condition of global climate change and measures for its prevention. Prog. Nat. Sci. 2009, 19, 415–426. [Google Scholar] [CrossRef]
- Hu, X.; Wang, Y. Monitoring coastline variations in the Pearl River Estuary from 1978 to 2018 by integrating Canny edge detection and Otsu methods using long time series Landsat dataset. CATENA 2022, 209, 105840. [Google Scholar] [CrossRef]
- Boak, E.H.; Turner, I.L. Shoreline definition and detection: A review. J. Coast. Res. 2005, 21, 688–703. [Google Scholar] [CrossRef]
- Xiong, H.; Zong, Y.; Huang, G.; Fu, S. Human drivers accelerated the advance of Pearl River deltaic shoreline in the past 7500 years. Quat. Sci. Rev. 2020, 246, 106545. [Google Scholar] [CrossRef]
- Davenport, J.; Davenport, J.L. The impact of tourism and personal leisure transport on coastal environments: A review. Estuarine Coast. Shelf Sci. 2006, 67, 280–292. [Google Scholar] [CrossRef]
- Cabezas-Rabadán, C.; Pardo-Pascual, J.E.; Palomar-Vázquez, J.; Fernández-Sarría, A. Characterizing beach changes using high-frequency Sentinel-2 derived shorelines on the Valencian coast (Spanish Mediterranean). Sci. Total Environ. 2019, 691, 216–231. [Google Scholar] [CrossRef] [PubMed]
- Chen, W.W.; Chang, H.K. Estimation of shoreline position and change from satellite images considering tidal variation. Estuarine Coast. Shelf Sci. 2009, 84, 54–60. [Google Scholar] [CrossRef]
- Sahaa, D.; Rahmanb, M.A. Simulation of Longshore Sediment Transport and Coastline Changing Along Kuakata Beach by Mathematical Modeling. IOSR J. Mech. Civ. Eng. 2022, 19, 15–31. [Google Scholar] [CrossRef]
- Pardo-Pascual, J.E.; Almonacid-Caballer, J.; Ruiz, L.A.; Palomar-Vázquez, J. Automatic extraction of shorelines from Landsat TM and ETM+ multi-temporal images with subpixel precision. Remote Sens. Environ. 2012, 123, 1–11. [Google Scholar] [CrossRef]
- Dai, C.; Howat, I.M.; Larour, E.; Husby, E. Coastline extraction from repeat high resolution satellite imagery. Remote Sens. Environ. 2019, 229, 260–270. [Google Scholar] [CrossRef]
- Xu, G.S. Sub-pixel edge detection based on curve fitting. In Proceedings of the 2009 Second International Conference on Information and Computing Science, Manchester, UK, 21–22 May 2009; IEEE: Piscataway, NJ, USA, 2009; Volume 2, pp. 373–375. [Google Scholar]
- Zhang, Z.; Wang, Z.; Liang, B.; Leng, X.; Yang, B.; Shi, L. Shoreline change analysis in the estuarine area of Rizhao based on remote sensing images and numerical simulation. Front. Mar. Sci. 2024, 11, 1488577. [Google Scholar] [CrossRef]
- Symonds, A.; Vijverberg, T.; Post, S.; van der Spek, B.; Henrotte, J.; Sokolewicz, M. Comparison between MIKE 21 FM, Delft3D and Delft3D FM flow models of Western Port Bay, Australia. Coast. Eng. Proc. 2017. [Google Scholar] [CrossRef]
- Vos, K.; Splinter, K.D.; Harley, M.D.; Simmons, J.A.; Turner, I.L. CoastSat: A Google Earth Engine-enabled Python toolkit to extract shorelines from publicly available satellite imagery. Environ. Model. Softw. 2019, 122, 104528. [Google Scholar] [CrossRef]
- Santra, M.; Dwivedi, C.S.; Pandey, A.C. Quantifying shoreline dynamics in the Indian Sundarban delta with Google Earth Engine (GEE)-based automatic extraction approach. Trop. Ecol. 2024, 65, 426–442. [Google Scholar] [CrossRef]
- Liaoning Provincial Bureau of Statistics. Liaoning Statistical Yearbook 2023; Liaoning Provincial Bureau of Statistics: Shenyang, China, 2023.
- The Editors of Encyclopaedia Britannica. Liaodong Peninsula. Encyclopedia Britannica. 2023. Available online: https://www.britannica.com/place/Liaodong-Peninsula (accessed on 7 August 2025).
- Liu, C.; Shi, Z.; Zheng, X.; Wang, R.; Cao, G. Numerical Simulation Study of Waves in Lvshun New Port Tourism and Leisure Area. J. Waterw. Harb. 2017, 38, 351–356. [Google Scholar]
- Tang, L.; Bi, L. Basic Characteristics of Tides and Waves in Beihuangcheng. Mar. Forecast. 1994, 11, 42–46. [Google Scholar]
- Song, J.; Guo, J.; Li, J.; Mu, L.; Liu, Y.; Wang, G.; Li, Y.; Li, H. Definition of water exchange zone between the Bohai Sea and Yellow Sea and the effect of winter gale on it. Acta Oceanol. Sin. 2017, 36, 17–25. [Google Scholar] [CrossRef]
- Alvarez-Cuesta, M.; Toimil, A.; Losada, I. Modelling long-term shoreline evolution in highly anthropized coastal areas. Part 1: Model description and validation. Coast. Eng. 2021, 169, 103960. [Google Scholar] [CrossRef]
- Portz, L.C.; Villate-Daza, D.; Bolívar-Anillo, H.J.; Fontán-Bouzas, Á.; Alcántara-Carrió, J.; Manzolli, R.P. Impacts of Anthropogenic Structures in Long- and Short-Term Shoreline Evolution of Santa Marta Bay (Colombian Caribbean). Geo-Mar. Lett. 2024, 44, 4. [Google Scholar] [CrossRef]
- Li, L. Mechanism of Intensity Changes of Noru (2017) Under the Interaction of Dual Typhoons in the Monsoon Trough. Ph.D. Thesis, Nanjing University of Information Science and Technology, Nanjing, China, 2020. [Google Scholar] [CrossRef]
- Muskananfola, M.R.; Febrianto, S. Spatio-temporal analysis of shoreline change along the coast of Sayung Demak, Indonesia using Digital Shoreline Analysis System. Reg. Stud. Mar. Sci. 2020, 34, 101060. [Google Scholar] [CrossRef]
- Szabó, S.; Gácsi, Z.; Balázs, B. Specific features of NDVI, NDWI and MNDWI as reflected in land cover categories. Landsc. Environ. 2016, 10, 194–202. [Google Scholar] [CrossRef]
- Goh, T.Y.; Basah, S.N.; Yazid, H.; Safar, M.J.A.; Saad, F.S.A. Performance analysis of image thresholding: Otsu technique. Measurement 2018, 114, 298–307. [Google Scholar] [CrossRef]
- Himmelstoss, E.A.; Thieler, E.R.; Danforth, W.W. Digital Shoreline Analysis System (DSAS) Version 5.0 User Guide; Technical Report Open-File Report 2018–1179; U.S. Geological Survey: Reston, VA, USA, 2018. [CrossRef]
- Anfuso, G.; Pranzini, E.; Vitale, G. An integrated approach to coastal erosion problems in northern Tuscany (Italy): Littoral morphological evolution and cell distribution. Geomorphology 2011, 129, 204–214. [Google Scholar] [CrossRef]
- Gopinath, G.; Thodi, M.F.C.; Surendran, U.P.; Prem, P.; Parambil, J.N.; Alataway, A.; Al-Othman, A.A.; Dewidar, A.Z.; Mattar, M.A. Long-term shoreline and islands change detection with digital shoreline analysis using RS data and GIS. Water 2023, 15, 244. [Google Scholar] [CrossRef]
- Anfuso, G.; Bowman, D.; Danese, C.; Pranzini, E. Transect based analysis versus area based analysis to quantify shoreline displacement: Spatial resolution issues. Environ. Monit. Assess. 2016, 188, 568. [Google Scholar] [CrossRef]
- Öztürk, D.; Uzun, S. Kızılırmak Deltası Kıyı Çizgisinin EPR ve LRR Yöntemleriyle 1984–2022 Periyodunda Değişim Analizi ve 2030 Yılı Tahmini. Coğrafi Bilim. Derg. 2023, 21, 306–339. [Google Scholar] [CrossRef]
- GB/T 12763.8-2007; Specifications for Oceanographic Survey-Part 8: Marine Geology and Geophysics Survey. Standardization Administration of China: Beijing, China, 2007.
- Abuodha, J. Grain size distribution and composition of modern dune and beach sediments, Malindi Bay coast, Kenya. J. Afr. Earth Sci. 2003, 36, 41–54. [Google Scholar] [CrossRef]
- Swan, D.; Clague, J.; Luternauer, J. Grain-size statistics I: Evaluation of the Folk and Ward graphic measures. J. Sediment. Res. 1978, 48, 863–878. [Google Scholar] [CrossRef]
- Hanson, H.; Kraus, N.C. GENESIS: Generalized Model for Simulating Shoreline Change. Report 1. Technical Reference; Defense Technical Information Center: Fort Belvoir, VA, USA, 1989.
- Lim, C.; Lee, J.; Lee, J.L. Simulation of bay-shaped shorelines after the construction of large-scale structures by using a parabolic bay shape equation. J. Mar. Sci. Eng. 2021, 9, 43. [Google Scholar] [CrossRef]
- Daoudi, M.; Niang, A.J. Detection of shoreline changes along the coast of Jeddah and its impact on the geomorphological system using GIS techniques and remote sensing data (1951–2018). Arab. J. Geosci. 2021, 14, 1265. [Google Scholar] [CrossRef]
- McLean, R.; Thom, B.; Shen, J.; Oliver, T. 50 years of beach–foredune change on the southeastern coast of Australia: Bengello Beach, Moruya, NSW, 1972–2022. Geomorphology 2023, 439, 108850. [Google Scholar] [CrossRef]
- Lim, C.; Lim, T.M.; Lee, J.L. Catastrophic beach erosion induced by littoral drift on nearby beach after Samcheok LNG’s massive coastal reclamation project. Nat. Hazards Earth Syst. Sci. Discuss. 2025, 2025, 1–26. [Google Scholar]
- Young, R.S.; Pilkey, O.H.; Bush, D.M.; Thieler, E.R. A discussion of the generalized model for simulating shoreline change (GENESIS). J. Coast. Res. 1995, 11, 875–886. [Google Scholar]
- Zhong, Y.; Du, J.; Wang, Y.; Li, P.; Xu, G.; Miu, H.; Zhang, P.; Jiang, S.; Gao, W. Modeling the Impacts of Land Reclamation on Sediment Dynamics in a Semi-Enclosed Bay. J. Mar. Sci. Eng. 2024, 12, 1633. [Google Scholar] [CrossRef]
- Dean, R.G.; Dalrymple, R.A. Coastal Processes with Engineering Applications; Cambridge University Press: Cambridge, UK, 2004. [Google Scholar]
- Splinter, K. Coastal Engineering: Processes, Theory, and Design Practice; CRC Press: Boca Raton, FL, USA, 2020. [Google Scholar]
- Li, Y.; Wang, J. Effects of porosity of dry and saturated sandstone on the energy dissipation of stress wave. Adv. Civ. Eng. 2019, 2019, 9183969. [Google Scholar] [CrossRef]
- Rajganapathi, V.; Jitheshkumar, N.; Sundararajan, M.; Bhat, K.; Velusamy, S. Grain size analysis and characterization of sedimentary environment along Thiruchendur coast, Tamilnadu, India. Arab. J. Geosci. 2013, 6, 4717–4728. [Google Scholar] [CrossRef]
- Edwards, A.C. Grain size and sorting in modern beach sands. J. Coast. Res. 2001, 17, 38–52. [Google Scholar]
- Wang, S.; Pan, C.; Xie, D.; Xu, M.; Yan, Y.; Li, X. Grain size characteristics of surface sediment and its response to the dynamic sedimentary environment in Qiantang Estuary, China. Int. J. Sediment Res. 2022, 37, 457–468. [Google Scholar] [CrossRef]
- Ping, Y.; Houjie, W.; Wu, X.; Bi, N. Grain-Size Distribution of Surface Sediments in the Bohai Sea and the Northern Yellow Sea: Sediment Supply and Hydrodynamics. J. Ocean. Univ. China 2020, 19, 12. [Google Scholar]
- Almar, R.; Marchesiello, P.; Almeida, L.P.; Thuan, D.H.; Tanaka, H.; Viet, N.T. Shoreline response to a sequence of typhoon and monsoon events. Water 2017, 9, 364. [Google Scholar] [CrossRef]
- Paine, J.G.; Caudle, T.L.; Andrews, J. Shoreline, Beach, and Dune Morphodynamics, Texas Gulf Coast; The University of Texas at Austin: Austin, TX, USA, 2013. [Google Scholar]
- Martínez, C.; Rojas, D.; Quezada, M.; Quezada, J.; Oliva, R. Post-earthquake coastal evolution and recovery of an embayed beach in central-southern Chile. Geomorphology 2015, 250, 321–333. [Google Scholar] [CrossRef]
- Rusdin, A.; Setiyawan, S.; Herman, R.; Dollu, A.; Estiana, E.; Yuningsi, F.; Musbudi, F.; Laskaria, A. Shoreline Change Prediction of Talise Beach after Palu Earthquake and Tsunami 2018. In Proceedings of the 3rd International Conference on Science in Engineering and Technology (ICOSIET 2024), Palu, Indonesia, 24–25 October 2024; Atlantis Press: Dordrecht, The Netherlands, 2025; pp. 359–368. [Google Scholar]











Disclaimer/Publisher’s Note: The statements, opinions and data contained in all publications are solely those of the individual author(s) and contributor(s) and not of MDPI and/or the editor(s). MDPI and/or the editor(s) disclaim responsibility for any injury to people or property resulting from any ideas, methods, instructions or products referred to in the content. |
© 2025 by the authors. Licensee MDPI, Basel, Switzerland. This article is an open access article distributed under the terms and conditions of the Creative Commons Attribution (CC BY) license (https://creativecommons.org/licenses/by/4.0/).
Share and Cite
Lin, P.; Wei, X.; Zhang, Y.; Lv, P.; Liu, M.; Yang, Y.; Dong, X. Quantifying Spatiotemporal Evolution of Sandy Shorelines in Northern China Using DSAS: A Case Study from Dalian World Peace Park. Sustainability 2025, 17, 7591. https://doi.org/10.3390/su17177591
Lin P, Wei X, Zhang Y, Lv P, Liu M, Yang Y, Dong X. Quantifying Spatiotemporal Evolution of Sandy Shorelines in Northern China Using DSAS: A Case Study from Dalian World Peace Park. Sustainability. 2025; 17(17):7591. https://doi.org/10.3390/su17177591
Chicago/Turabian StyleLin, Panqing, Xiangxu Wei, Yaxuan Zhang, Pengfei Lv, Ming Liu, Yi Yang, and Xiangke Dong. 2025. "Quantifying Spatiotemporal Evolution of Sandy Shorelines in Northern China Using DSAS: A Case Study from Dalian World Peace Park" Sustainability 17, no. 17: 7591. https://doi.org/10.3390/su17177591
APA StyleLin, P., Wei, X., Zhang, Y., Lv, P., Liu, M., Yang, Y., & Dong, X. (2025). Quantifying Spatiotemporal Evolution of Sandy Shorelines in Northern China Using DSAS: A Case Study from Dalian World Peace Park. Sustainability, 17(17), 7591. https://doi.org/10.3390/su17177591

