Does the New-Type Urbanization Policy Help Reduce PM2.5 Pollution? Evidence from Chinese Counties
Abstract
1. Introduction
2. Policy Background and Research Hypotheses
2.1. Policy Background
2.2. Research Hypotheses
3. Research Design
3.1. Model
3.1.1. MDID Model
3.1.2. Mediation Analysis Model
3.2. Variables and Data Sources
3.2.1. Dependent Variable
3.2.2. Independent Variable
3.2.3. Control Variables
3.2.4. Sample Selection and Data Sources
4. Empirical Results
4.1. Multicollinearity Test
4.2. Baseline Regression Results
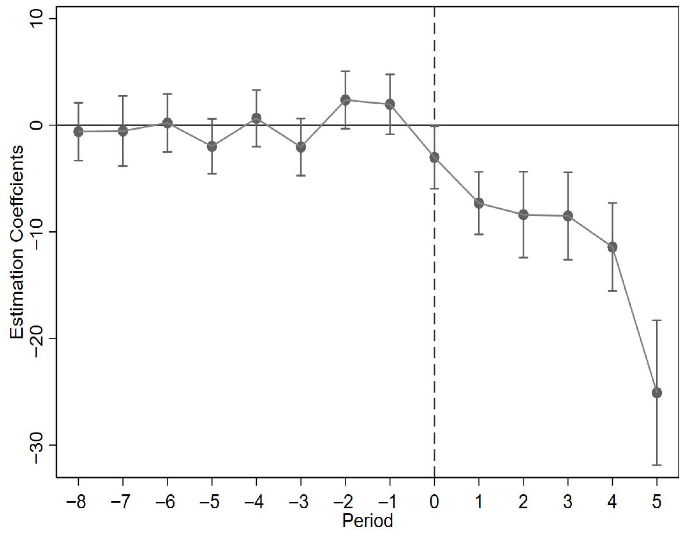
4.3. Parallel Trends Test
4.4. Robustness Test
4.4.1. Variable Replacement Test
4.4.2. Changing the Clustering of Standard Errors
4.4.3. Winsorization
4.4.4. Alternative Policy Implementation Timing
4.4.5. Sample Space Replacement
4.4.6. Excluding Concurrent Policies
4.4.7. PSM-DID
4.5. Placebo Test
5. Further Analysis
5.1. Mechanism Test
5.1.1. Land Use Effciency
5.1.2. Innovation Efficiency
5.2. Heterogeneity by City Level
5.3. Heterogeneity by Industrial Base
5.4. Heterogeneity of Industrial Structure
6. Discussion and Conclusions
6.1. Discussion
6.2. Limitations
6.3. Conclusions
6.4. Policy Recommendations
6.4.1. Reducing PM2.5 Concentrations to Advance Air Pollution Mitigation
6.4.2. Establishing Standards and Regulations for Land Use Management
6.4.3. Formulating Customized New-Type Urbanization Policies
Author Contributions
Funding
Institutional Review Board Statement
Informed Consent Statement
Data Availability Statement
Conflicts of Interest
Abbreviations
| NTUP | New-Type Urbanization Policy |
| PM2.5 | Particulate Matter 2.5 |
| LUE | Land Use Efficiency |
References
- Feng, Y.; Castro, E.; Wei, Y.; Jin, T.; Qiu, X.; Dominici, F.; Schwartz, J. Long-Term Exposure to Ambient PM2.5, Particulate Constituents and Hospital Admissions from Non-Respiratory Infection. Nat. Commun. 2024, 15, 1518. [Google Scholar] [CrossRef]
- Hill, W.; Lim, E.L.; Weeden, C.E.; Lee, C.; Augustine, M.; Chen, K.; Kuan, F.-C.; Marongiu, F.; Evans, E.J.; Moore, D.A.; et al. Lung Adenocarcinoma Promotion by Air Pollutants. Nature 2023, 616, 159–167. [Google Scholar] [CrossRef]
- Li, G.; Fang, C.; Wang, S.; Sun, S. The Effect of Economic Growth, Urbanization, and Industrialization on Fine Particulate Matter (PM2.5) Concentrations in China. Environ. Sci. Technol. 2016, 50, 11452–11459. [Google Scholar] [CrossRef] [PubMed]
- Dong, F.; Li, J.; Zhang, X.; Zhu, J. Decoupling Relationship between Haze Pollution and Economic Growth: A New Decoupling Index. Ecol. Indic. 2021, 129, 107859. [Google Scholar] [CrossRef]
- Fang, D.; Yu, B. Driving Mechanism and Decoupling Effect of PM2.5 Emissions: Empirical Evidence from China’s Industrial Sector. Energy Policy 2021, 149, 112017. [Google Scholar] [CrossRef]
- Feng, T.; Du, H.; Lin, Z.; Zuo, J. Spatial Spillover Effects of Environmental Regulations on Air Pollution: Evidence from Urban Agglomerations in China. J. Environ. Manag. 2020, 272, 110998. [Google Scholar] [CrossRef]
- Gupta, M.; Saini, S.; Sahoo, M. Determinants of Ecological Footprint and PM2.5: Role of Urbanization, Natural Resources and Technological Innovation. Environ. Chall. 2022, 7, 100467. [Google Scholar] [CrossRef]
- Zhang, M.; Tan, S.; Pan, Z.; Hao, D.; Zhang, X.; Chen, Z. The Spatial Spillover Effect and Nonlinear Relationship Analysis between Land Resource Misallocation and Environmental Pollution: Evidence from China. J. Environ. Manag. 2022, 321, 115873. [Google Scholar] [CrossRef]
- Wang, Y.; Yuan, Y.; Wang, Q.; Liu, C.; Zhi, Q.; Cao, J. Changes in Air Quality Related to the Control of Coronavirus in China: Implications for Traffic and Industrial Emissions. Sci. Total Environ. 2020, 731, 139133. [Google Scholar] [CrossRef]
- Shisong, C.; Wenji, Z.; Hongliang, G.; Deyong, H.; You, M.; Wenhui, Z.; Shanshan, L. Comparison of Remotely Sensed PM2.5 Concentrations between Developed and Developing Countries: Results from the US, Europe, China, and India. J. Clean. Prod. 2018, 182, 672–681. [Google Scholar] [CrossRef]
- Shi, Y.; Bilal, M.; Ho, H.C.; Omar, A. Urbanization and Regional Air Pollution across South Asian Developing Countries—A Nationwide Land Use Regression for Ambient PM2.5 Assessment in Pakistan. Environ. Pollut. 2020, 266, 115145. [Google Scholar] [CrossRef] [PubMed]
- Li, C.; Sampene, A.K.; Agyeman, F.O.; Brenya, R.; Wiredu, J. The Role of Green Finance and Energy Innovation in Neutralizing Environmental Pollution: Empirical Evidence from the MINT Economies. J. Environ. Manag. 2022, 317, 115500. [Google Scholar] [CrossRef] [PubMed]
- Zhang, X.; Geng, Y.; Shao, S.; Wilson, J.; Song, X.; You, W. China’s Non-Fossil Energy Development and Its 2030 CO2 Reduction Targets: The Role of Urbanization. Appl. Energy 2020, 261, 114353. [Google Scholar] [CrossRef]
- Sun, B.; Fang, C.; Liao, X.; Guo, X.; Liu, Z. The Relationship between Urbanization and Air Pollution Affected by Intercity Factor Mobility: A Case of the Yangtze River Delta Region. Environ. Impact Assess. Rev. 2023, 100, 107092. [Google Scholar] [CrossRef]
- Xu, B.; Lin, B. What Cause Large Regional Differences in PM2.5 Pollutions in China? Evidence from Quantile Regression Model. J. Clean. Prod. 2018, 174, 447–461. [Google Scholar] [CrossRef]
- Zhu, L.; Hao, Y.; Lu, Z.-N.; Wu, H.; Ran, Q. Do Economic Activities Cause Air Pollution? Evidence from China’s Major Cities. Sustain. Cities Soc. 2019, 49, 101593. [Google Scholar] [CrossRef]
- Cárdenas Rodríguez, M.; Dupont-Courtade, L.; Oueslati, W. Air Pollution and Urban Structure Linkages: Evidence from European Cities. Renew. Sustain. Energy Rev. 2016, 53, 1–9. [Google Scholar] [CrossRef]
- Gaigné, C.; Riou, S.; Thisse, J.-F. Are Compact Cities Environmentally Friendly? J. Urban Econ. 2012, 72, 123–136. [Google Scholar] [CrossRef]
- Gao, K.; Yuan, Y. The Effect of Innovation-Driven Development on Pollution Reduction: Empirical Evidence from a Quasi-Natural Experiment in China. Technol. Forecast. Soc. Change 2021, 172, 121047. [Google Scholar] [CrossRef]
- Chu, Z.; Cheng, M.; Yu, N.N. A Smart City Is a Less Polluted City. Technol. Forecast. Soc. Change 2021, 172, 121037. [Google Scholar] [CrossRef]
- Dong, F.; Li, Y.; Qin, C.; Zhang, X.; Chen, Y.; Zhao, X.; Wang, C. Information Infrastructure and Greenhouse Gas Emission Performance in Urban China: A Difference-in-Differences Analysis. J. Environ. Manage. 2022, 316, 115252. [Google Scholar] [CrossRef]
- Yu, B. Ecological Effects of New-Type Urbanization in China. Renew. Sustain. Energy Rev. 2021, 135, 110239. [Google Scholar] [CrossRef]
- Zhao, C.; Wang, B. How Does New-Type Urbanization Affect Air Pollution? Empirical Evidence Based on Spatial Spillover Effect and Spatial Durbin Model. Environ. Int. 2022, 165, 107304. [Google Scholar] [CrossRef] [PubMed]
- Lin, H.; Zhu, J.; Jiang, P.; Cai, Z.; Yang, X.; Yang, X.; Zhou, Z.; Wei, J. Assessing Drivers of Coordinated Control of Ozone and Fine Particulate Pollution: Evidence from Yangtze River Delta in China. Environ. Impact Assess. Rev. 2022, 96, 106840. [Google Scholar] [CrossRef]
- Dong, G.; Ge, Y.; Liu, J.; Kong, X.; Zhai, R. Evaluation of Coupling Relationship between Urbanization and Air Quality Based on Improved Coupling Coordination Degree Model in Shandong Province, China. Ecol. Indic. 2023, 154, 110578. [Google Scholar] [CrossRef]
- Wang, Z.; Sun, Y.; Wang, B. How Does the New-Type Urbanisation Affect CO2 Emissions in China? An Empirical Analysis from the Perspective of Technological Progress. Energy Econ. 2019, 80, 917–927. [Google Scholar] [CrossRef]
- Mitchell, C.; Connor, P. Renewable Energy Policy in the UK 1990–2003. Energy Policy 2004, 32, 1935–1947. [Google Scholar] [CrossRef]
- Hao, Y.; Zheng, S.; Zhao, M.; Wu, H.; Guo, Y.; Li, Y. Reexamining the Relationships among Urbanization, Industrial Structure, and Environmental Pollution in China—New Evidence Using the Dynamic Threshold Panel Model. Energy Rep. 2020, 6, 28–39. [Google Scholar] [CrossRef]
- Chuang, M.-T.; Ooi, M.C.G.; Lin, N.-H.; Fu, J.S.; Lee, C.-T.; Wang, S.-H.; Yen, M.-C.; Kong, S.S.-K.; Huang, W.-S. Study on the Impact of Three Asian Industrial Regions on PM2.5 in Taiwan and the Process Analysis during Transport. Atmos. Chem. Phys. 2020, 20, 14947–14967. [Google Scholar] [CrossRef]
- Xie, D.; Gou, Z.; Gui, X. How Electric Vehicles Benefit Urban Air Quality Improvement: A Study in Wuhan. Sci. Total Environ. 2024, 906, 167584. [Google Scholar] [CrossRef]
- Cheng, Z.; Li, X.; Zhang, Q. Can New-Type Urbanization Promote the Green Intensive Use of Land? J. Environ. Manag. 2023, 342, 118150. [Google Scholar] [CrossRef] [PubMed]
- Fan, J.; Wang, J.; Qiu, J.; Li, N. Stage Effects of Energy Consumption and Carbon Emissions in the Process of Urbanization: Evidence from 30 Provinces in China. Energy 2023, 276, 127655. [Google Scholar] [CrossRef]
- Rabito, F.A.; Werthmann, D.W.; Straubing, R.; Adamkiewicz, G.; Reponen, T.; Ashley, P.J.; Chew, G.L. A Multi-City Study of Indoor Air Quality in Green vs. Non-Green Low-Income Housing. Environ. Res. 2024, 240, 117576. [Google Scholar] [CrossRef]
- Choy, L.H.T.; Lai, Y.; Lok, W. Economic Performance of Industrial Development on Collective Land in the Urbanization Process in China: Empirical Evidence from Shenzhen. Habitat Int. 2013, 40, 184–193. [Google Scholar] [CrossRef]
- Wu, Y.; Zhang, X.; Shen, L. The Impact of Urbanization Policy on Land Use Change: A Scenario Analysis. Cities 2011, 28, 147–159. [Google Scholar] [CrossRef]
- Liu, X.; Wang, Y.; Li, Y.; Liu, F.; Shen, J.; Wang, J.; Xiao, R.; Wu, J. Changes in Arable Land in Response to Township Urbanization in a Chinese Low Hilly Region: Scale Effects and Spatial Interactions. Appl. Geogr. 2017, 88, 24–37. [Google Scholar] [CrossRef]
- Li, W.; Wang, D.; Li, H.; Wang, J.; Zhu, Y.; Yang, Y. Quantifying the Spatial Arrangement of Underutilized Land in a Rapidly Urbanized Rust Belt City: The Case of Changchun City. Land Use Policy 2019, 83, 113–123. [Google Scholar] [CrossRef]
- Zhang, J.; Zhang, D.; Huang, L.; Wen, H.; Zhao, G.; Zhan, D. Spatial Distribution and Influential Factors of Industrial Land Productivity in China’s Rapid Urbanization. J. Clean. Prod. 2019, 234, 1287–1295. [Google Scholar] [CrossRef]
- Zhu, F.; Zhang, F.; Ke, X. Rural Industrial Restructuring in China’s Metropolitan Suburbs: Evidence from the Land Use Transition of Rural Enterprises in Suburban Beijing. Land Use Policy 2018, 74, 121–129. [Google Scholar] [CrossRef]
- Li, Q.; Wang, Y.; Chen, W.; Li, M.; Fang, X. Does Improvement of Industrial Land Use Efficiency Reduce PM2.5 Pollution? Evidence from a Spatiotemporal Analysis of China. Ecol. Indic. 2021, 132, 108333. [Google Scholar] [CrossRef]
- Yang, D.; Meng, F.; Liu, Y.; Dong, G.; Lu, D. Scale Effects and Regional Disparities of Land Use in Influencing PM2.5 Concentrations: A Case Study in the Zhengzhou Metropolitan Area, China. Land 2022, 11, 1538. [Google Scholar] [CrossRef]
- Qi, X.; Chen, J.; Wang, J.; Liu, H.; Ding, B. The Impact of Urbanization on the Alleviation of Energy Poverty: Evidence from China. Cities 2024, 151, 105130. [Google Scholar] [CrossRef]
- Zhang, H. How Does Agglomeration Promote the Product Innovation of Chinese Firms? China Econ. Rev. 2015, 35, 105–120. [Google Scholar] [CrossRef]
- Brunt, L.; García-Peñalosa, C. Urbanisation and the Onset of Modern Economic Growth. Econ. J. 2022, 132, 512–545. [Google Scholar] [CrossRef]
- Liu, X.; Zhang, X. Industrial Agglomeration, Technological Innovation and Carbon Productivity: Evidence from China. Resour. Conserv. Recycl. 2021, 166, 105330. [Google Scholar] [CrossRef]
- Ouyang, X.; Li, Q.; Du, K. How Does Environmental Regulation Promote Technological Innovations in the Industrial Sector? Evidence from Chinese Provincial Panel Data. Energy Policy 2020, 139, 111310. [Google Scholar] [CrossRef]
- Chen, J.; Wang, S.; Zhou, C.; Li, M. Does the Path of Technological Progress Matter in Mitigating China’s PM2.5 Concentrations? Evidence from Three Urban Agglomerations in China. Environ. Pollut. 2019, 254, 113012. [Google Scholar] [CrossRef] [PubMed]
- Wang, H.; Wang, M. Effects of Technological Innovation on Energy Efficiency in China: Evidence from Dynamic Panel of 284 Cities. Sci. Total Environ. 2020, 709, 136172. [Google Scholar] [CrossRef]
- Miao, Z.; Baležentis, T.; Shao, S.; Chang, D. Energy Use, Industrial Soot and Vehicle Exhaust Pollution—China’s Regional Air Pollution Recognition, Performance Decomposition and Governance. Energy Econ. 2019, 83, 501–514. [Google Scholar] [CrossRef]
- Shen, Y.; Zhang, X. Intelligent Manufacturing, Green Technological Innovation and Environmental Pollution. J. Innov. Knowl. 2023, 8, 100384. [Google Scholar] [CrossRef]
- Card, D.; Krueger, A.B. Minimum Wages and Employment: A Case Study of the Fast-Food Industry in New Jersey and Pennsylvania: Reply. Am. Econ. Rev. 2000, 90, 1397–1420. [Google Scholar] [CrossRef]
- Baker, A.C.; Larcker, D.F.; Wang, C.C.Y. How Much Should We Trust Staggered Difference-in-Differences Estimates? J. Financ. Econ. 2022, 144, 370–395. [Google Scholar] [CrossRef]
- Callaway, B.; Sant’Anna, P.H.C. Difference-in-Differences with Multiple Time Periods. J. Econom. 2021, 225, 200–230. [Google Scholar] [CrossRef]
- Baron, R.M.; Kenny, D.A. The Moderator–Mediator Variable Distinction in Social Psychological Research: Conceptual, Strategic, and Statistical Considerations. J. Pers. Soc. Psychol. 1986, 51, 1173–1182. [Google Scholar] [CrossRef]
- Van Donkelaar, A.; Hammer, M.S.; Bindle, L.; Brauer, M.; Brook, J.R.; Garay, M.J.; Hsu, N.C.; Kalashnikova, O.V.; Kahn, R.A.; Lee, C.; et al. Monthly Global Estimates of Fine Particulate Matter and Their Uncertainty. Environ. Sci. Technol. 2021, 55, 15287–15300. [Google Scholar] [CrossRef]
- Shen, S.; Li, C.; Van Donkelaar, A.; Jacobs, N.; Wang, C.; Martin, R.V. Enhancing Global Estimation of Fine Particulate Matter Concentrations by Including Geophysical a Priori Information in Deep Learning. ACS EST Air 2024, 1, 332–345. [Google Scholar] [CrossRef] [PubMed]
- Zhong, S.; Zhou, Z.; Zhang, X.; Jin, D. Green Fiscal Interventions and Air Quality Improvement: Empirical Insights on PM2.5 Reduction from Chinese Counties. Clean Technol. Environ. Policy 2025. [Google Scholar] [CrossRef]
- Han, D.; Attipoe, S.G.; Han, D.; Cao, J. Does Transportation Infrastructure Construction Promote Population Agglomeration? Evidence from 1838 Chinese County-Level Administrative Units. Cities 2023, 140, 104409. [Google Scholar] [CrossRef]
- Tian, Z.; Hu, A.; Yang, Z.; Lin, Y. Highway Networks and Regional Poverty: Evidence from Chinese Counties. Struct. Change Econ. Dyn. 2024, 69, 224–231. [Google Scholar] [CrossRef]
- Qin, Q.; Guo, H.; Shi, X.; Chen, K. Rural E-commerce and County Economic Development in China. China World Econ. 2023, 31, 26–60. [Google Scholar] [CrossRef]
- Chen, M.; Liu, X.; Xiong, X.; Wu, J. Has the Opening of High-Speed Rail Narrowed the Inter-County Economic Gap? The Perspective of China’s State-Designated Poor Counties. Int. Rev. Econ. Financ. 2023, 88, 1–13. [Google Scholar] [CrossRef]
- Rambachan, A.; Roth, J. A More Credible Approach to Parallel Trends. Rev. Econom. Stud. 2023, 90, 2555–2591. [Google Scholar] [CrossRef]
- What’s Trending in Difference-in-Differences? A Synthesis of the Recent Econometrics Literature. J. Econom. 2023, 235, 2218–2244. [CrossRef]
- He, G.; Pan, Y.; Tanaka, T. The Short-Term Impacts of COVID-19 Lockdown on Urban Air Pollution in China. Nat. Sustain. 2020, 3, 1005–1011. [Google Scholar] [CrossRef]
- Lyu, C.; Xie, Z.; Li, Z. Market Supervision, Innovation Offsets and Energy Efficiency: Evidence from Environmental Pollution Liability Insurance in China. Energy Policy 2022, 171, 113267. [Google Scholar] [CrossRef]
- Heckman, J.J.; Ichimura, H.; Todd, P. Matching as an Econometric Evaluation Estimator. Rev. Econom. Stud. 1998, 65, 261–294. [Google Scholar] [CrossRef]
- Autor, D.H. Outsourcing at Will: The Contribution of Unjust Dismissal Doctrine to the Growth of Employment Outsourcing. SSRN Electron J. 2001. [Google Scholar] [CrossRef]
- Bertrand, M.; Duflo, E.; Mullainathan, S. How Much Should We Trust Differences-in-Differences Estimates? SSRN Electron. J. 2001. [Google Scholar] [CrossRef]
- Galiani, S.; Gertler, P.; Schargrodsky, E. Water for Life: The Impact of the Privatization of Water Services on Child Mortality. J. Polit. Econ. 2005, 113, 83–120. [Google Scholar] [CrossRef]
- Lyu, Y.; Xiao, X.; Zhang, J. Does the Digital Economy Enhance Green Total Factor Productivity in China? The Evidence from a National Big Data Comprehensive Pilot Zone. Struct. Change Econ. Dyn. 2024, 69, 183–196. [Google Scholar] [CrossRef]
- La Ferrara, E.; Chong, A.; Duryea, S. Soap Operas and Fertility: Evidence from Brazil. Am. Econ. J. Appl. Econ. 2012, 4, 1–31. [Google Scholar] [CrossRef]
- Chetty, R.; Looney, A.; Kroft, K. Salience and Taxation: Theory and Evidence. Am. Econ. Rev. 2009, 99, 1145–1177. [Google Scholar] [CrossRef]
- He, S.; Yu, S.; Li, G.; Zhang, J. Exploring the Influence of Urban Form on Land-Use Efficiency from a Spatiotemporal Heterogeneity Perspective: Evidence from 336 Chinese Cities. Land Use Policy 2020, 95, 104576. [Google Scholar] [CrossRef]
- Elliott, R.J.R.; Kuai, W.; Maddison, D.; Ozgen, C. Eco-Innovation and (Green) Employment: A Task-Based Approach to Measuring the Composition of Work in Firms. J. Environ. Econ. Manag. 2024, 127, 103015. [Google Scholar] [CrossRef]
- Li, J.; Li, F.; Li, J. Does New-Type Urbanization Help Reduce Haze Pollution Damage? Evidence from China’s County-Level Panel Data. Environ. Sci. Pollut. Res. 2022, 29, 47123–47136. [Google Scholar] [CrossRef] [PubMed]
- Crippa, M.; Janssens-Maenhout, G.; Dentener, F.; Guizzardi, D.; Sindelarova, K.; Muntean, M.; Van Dingenen, R.; Granier, C. Forty Years of Improvements in European Air Quality: Regional Policy-Industry Interactions with Global Impacts. Atmos. Chem. Phys. 2016, 16, 3825–3841. [Google Scholar] [CrossRef]
- Shapiro, J.S.; Walker, R. Why Is Pollution from US Manufacturing Declining? The Roles of Environmental Regulation, Productivity, and Trade. Am. Econ. Rev. 2018, 108, 3814–3854. [Google Scholar] [CrossRef]
- Niu, B.; Ge, D.; Yan, R.; Ma, Y.; Sun, D.; Lu, M.; Lu, Y. The Evolution of the Interactive Relationship between Urbanization and Land-Use Transition: A Case Study of the Yangtze River Delta. Land 2021, 10, 804. [Google Scholar] [CrossRef]
- Wen, H.; Wu, Y.; Zhou, Z.; Zhong, S. The Impact of Land Use Efficiency on County-Level PM2.5: Evidence from 1125 Counties in China. Sustainability 2025, 17, 2682. [Google Scholar] [CrossRef]









| Variable | Abbreviation | Definition | Data Source | |
|---|---|---|---|---|
| Dependent Variable | PM2.5 | PM2.5 | Average PM2.5 Concentration | NASA GES DISC |
| Independent Variable | New-Type Urbanization Policy | NTUP | Whether the City Implements the New-Type Urbanization Policy | List of National Comprehensive Pilot Regions for the New-Type Urbanization Policy |
| Control Variables | Fiscal budget level | budget | The proportion of local general budget revenue and expenditure to regional GDP | China County Statistical Yearbook |
| Household savings level | sav | The proportion of urban and rural household savings deposits to regional GDP | ||
| Welfare provision | welfare | The ratio of beds in social welfare and adoption institutions to the registered population | ||
| Educational attainment | student | Share of secondary school students in total population | ||
| Healthcare capacity | hos | Number of hospital beds per registered capita | ||
| Industrial development level | ind | Number of above-scale industrial enterprises per registered capita | ||
| Industrial productivity | iva | Industrial value added per registered capita (divided by 100) | ||
| Mechanism Variable | Land use efficiency | LUE | Combined output of secondary and tertiary industries per unit of administrative land area | |
| Invention patents | ip | Number of invention patents | China National Intellectual Property Administration | |
| Green patents | gp | Number of green patents |
| Variable | N | Mean | SD | Min | Max |
|---|---|---|---|---|---|
| PM2.5 | 13,082 | 45.72 | 19.35 | 1.273 | 139.3 |
| NTUP | 13,148 | 0.0490 | 0.216 | 0 | 1 |
| budget | 13,148 | 0.316 | 0.250 | 0.0450 | 3.099 |
| sav | 13,148 | 0.652 | 0.319 | 0.00500 | 3.142 |
| welfare | 13,148 | 0.266 | 0.254 | 0 | 4.776 |
| student | 13,148 | 0.515 | 0.159 | 0.0220 | 2.036 |
| hos | 13,148 | 0.311 | 0.180 | 0.00600 | 3.248 |
| ind | 13,148 | 0.0250 | 0.0320 | 0 | 0.345 |
| iva | 13,148 | 135.0 | 225.7 | −9.224 | 3682 |
| Variable | NTUP | Budget | Sav | Welfare | Student | Hos | Ind | Iva | Mean VIF |
|---|---|---|---|---|---|---|---|---|---|
| VIF | 1.090 | 1.240 | 1.260 | 1.250 | 1.070 | 1.340 | 1.610 | 1.820 | 1.330 |
| 1/VIF | 0.920 | 0.809 | 0.792 | 0.801 | 0.933 | 0.747 | 0.622 | 0.551 |
| (1) | (2) | (3) | (4) | (5) | (6) | (7) | (8) | |
|---|---|---|---|---|---|---|---|---|
| PM2.5 | PM2.5 | PM2.5 | PM2.5 | PM2.5 | PM2.5 | PM2.5 | PM2.5 | |
| NTUP | −1.317 *** | −1.265 *** | −1.254 *** | −1.246 *** | −1.218 *** | −1.189 *** | −1.227 *** | −1.188 *** |
| (−6.508) | (−6.271) | (−6.228) | (−6.199) | (−6.013) | (−5.873) | (−6.074) | (−5.868) | |
| budget | 1.917 *** | 1.749 *** | 1.745 *** | 1.709 *** | 1.646 *** | 1.690 *** | 1.527 *** | |
| (5.529) | (4.615) | (4.605) | (4.486) | (4.374) | (4.478) | (4.087) | ||
| sav | 0.354 | 0.348 | 0.370 | 0.383 | 0.536 * | 0.309 | ||
| (1.148) | (1.127) | (1.196) | (1.243) | (1.736) | (0.985) | |||
| welfare | −0.187 | −0.187 | −0.145 | −0.109 | −0.030 | |||
| (−0.736) | (−0.737) | (−0.576) | (−0.435) | (−0.119) | ||||
| student | 0.548 | 0.749 * | 0.814 * | 0.863 * | ||||
| (1.216) | (1.648) | (1.789) | (1.900) | |||||
| hos | −2.129 *** | −2.184 *** | −2.089 *** | |||||
| (−3.477) | (−3.552) | (−3.423) | ||||||
| ind | 22.517 *** | 24.004 *** | ||||||
| (5.854) | (6.280) | |||||||
| iva | −0.001 *** | |||||||
| (−3.855) | ||||||||
| _cons | 45.741 *** | 45.132 *** | 44.954 *** | 45.009 *** | 44.723 *** | 45.281 *** | 44.589 *** | 44.873 *** |
| County | YES | YES | YES | YES | YES | YES | YES | YES |
| Year | YES | YES | YES | YES | YES | YES | YES | YES |
| N | 12,990 | 12,990 | 12,990 | 12,990 | 12,990 | 12,990 | 12,990 | 12,990 |
| R2 | 0.966 | 0.966 | 0.966 | 0.966 | 0.966 | 0.966 | 0.967 | 0.967 |
| (1) | (2) | (3) | (4) | (5) | |
|---|---|---|---|---|---|
| PM2.5MIN | PM2.5MAX | PM2.5 | PM2.5 | PM2.5 | |
| NTUP | −1.053 *** | −1.116 *** | −1.257 *** | −1.257 *** | |
| (−5.660) | (−4.746) | (−3.783) | (−6.358) | ||
| L.NTUP | −0.965 *** | ||||
| (−4.213) | |||||
| budget | 1.761 *** | 1.878 *** | 2.045 *** | 2.045 *** | 2.251 *** |
| (4.253) | (3.094) | (3.507) | (4.374) | (3.752) | |
| sav | 0.194 | 0.348 | 0.134 | 0.134 | 0.094 |
| (0.595) | (0.804) | (0.283) | (0.405) | (0.205) | |
| welfare | −0.593 ** | −0.241 | −0.403 | −0.403 | 0.430 |
| (−2.121) | (−0.636) | (−1.034) | (−1.391) | (1.118) | |
| student | 1.073 *** | 0.782 | 1.228 ** | 1.228 *** | 0.786 |
| (2.634) | (1.358) | (2.155) | (2.832) | (1.341) | |
| hos | −3.012 *** | −3.396 *** | −2.743 *** | −2.743 *** | −3.138 *** |
| (−5.411) | (−3.645) | (−3.147) | (−4.202) | (−3.585) | |
| ind | 18.988 *** | 34.213 *** | 25.433 *** | 25.433 *** | 23.957 *** |
| (4.730) | (5.908) | (4.419) | (5.705) | (4.085) | |
| iva | −0.003 *** | −0.002 * | −0.002 ** | −0.002 *** | −0.003 *** |
| (−4.624) | (−1.956) | (−2.097) | (−3.540) | (−3.647) | |
| _cons | 38.001 *** | 52.965 *** | 44.948 *** | 44.948 *** | 44.346 *** |
| (103.047) | (96.151) | (84.488) | (112.984) | (85.852) | |
| County | YES | YES | YES | YES | YES |
| Year | YES | YES | YES | YES | YES |
| N | 12,990 | 12,990 | 12,990 | 12,990 | 7801 |
| R2 | 0.970 | 0.961 | 0.970 | 0.970 | 0.971 |
| (1) | (2) | (3) | (4) | (5) | |
|---|---|---|---|---|---|
| PM2.5 |
PM2.5
(NIC) |
PM2.5
(Smart) |
PM2.5
(BBC) | PM2.5 | |
| NTUP | −1.055 *** | −1.303 *** | −1.224 *** | −0.966 *** | −1.050 *** |
| (−5.073) | (−5.547) | (−5.089) | (−3.767) | (−5.154) | |
| budget | 1.856 *** | 1.673 *** | 1.125 *** | 1.288 *** | 1.601 *** |
| (4.820) | (4.449) | (2.716) | (3.116) | (3.253) | |
| sav | 0.203 | 0.019 | −0.656 * | −0.143 | 0.127 |
| (0.598) | (0.060) | (−1.851) | (−0.402) | (0.382) | |
| welfare | 0.322 | 0.196 | −0.627 ** | 0.499 * | −0.113 |
| (1.252) | (0.748) | (−2.017) | (1.740) | (−0.372) | |
| student | 0.674 | 0.398 | 1.448 *** | 0.317 | 0.481 |
| (1.428) | (0.838) | (2.696) | (0.581) | (0.927) | |
| hos | −1.731 *** | −1.598 *** | −1.022 | −2.901 *** | −2.073 *** |
| (−2.699) | (−2.595) | (−1.572) | (−3.674) | (−3.299) | |
| ind | 23.590 *** | 24.641 *** | 18.291 *** | 12.598 *** | 22.255 *** |
| (6.552) | (5.476) | (4.065) | (2.578) | (5.911) | |
| iva | −0.001 *** | −0.001 ** | −0.002 *** | −0.001 | −0.001 *** |
| (−3.528) | (−2.564) | (−3.597) | (−1.038) | (−3.601) | |
| _cons | 45.717 *** | 44.226 *** | 44.084 *** | 44.918 *** | 45.245 *** |
| (116.327) | (112.223) | (102.662) | (99.577) | (113.048) | |
| County | YES | YES | YES | YES | YES |
| Year | YES | YES | YES | YES | YES |
| N | 12,285 | 11,604 | 8629 | 9220 | 12,571 |
| R2 | 0.967 | 0.968 | 0.969 | 0.968 | 0.967 |
| (1) | (2) | (3) | (4) | (5) | (6) | |
|---|---|---|---|---|---|---|
| LUE | PM2.5 | gp | PM2.5 | ip | PM2.5 | |
| NTUP | 10.361 *** | −0.746 *** | 54.597 *** | −0.673 *** | 2.996 *** | −0.827 *** |
| (13.210) | (−3.625) | (9.581) | (−3.331) | (5.810) | (−4.112) | |
| LUE | −0.043 *** | |||||
| (−7.964) | ||||||
| gp | −0.007 *** | |||||
| (−10.085) | ||||||
| ip | −0.073 *** | |||||
| (−10.851) | ||||||
| budget | −0.872 | 1.484 *** | 6.530 | 1.648 *** | −0.991 ** | 1.530 *** |
| (−1.378) | (4.025) | (1.378) | (3.357) | (−2.499) | (3.133) | |
| sav | −7.189 *** | 0.012 | −20.086 *** | −0.009 | −0.550 | 0.088 |
| (−7.404) | (0.039) | (−3.539) | (−0.028) | (−1.140) | (0.266) | |
| welfare | 4.434 *** | 0.161 | 28.387 *** | 0.080 | 2.700 *** | 0.082 |
| (6.334) | (0.652) | (4.991) | (0.265) | (4.734) | (0.272) | |
| student | 2.280 | 0.970 ** | 7.767 | 0.532 | −0.125 | 0.470 |
| (1.504) | (2.137) | (1.071) | (1.032) | (−0.184) | (0.911) | |
| hos | 5.448 *** | −1.796 *** | 51.256 *** | −1.723 *** | 2.188 *** | −1.908 *** |
| (3.619) | (−3.016) | (6.138) | (−2.759) | (3.110) | (−3.063) | |
| ind | −109.727 *** | 18.885 *** | −958.851 *** | 15.709 *** | −83.966 *** | 15.992 *** |
| (−5.330) | (4.942) | (−5.773) | (4.441) | (−5.419) | (4.400) | |
| iva | 0.026 *** | −0.000 | 0.081 *** | −0.001 ** | 0.008 *** | −0.001 ** |
| (7.561) | (−0.977) | (6.997) | (−2.236) | (6.107) | (−2.135) | |
| Sobel Z | 10.53 *** | −6.882 *** | −5.61 *** | |||
| Number of Bootstrap Replications | 1000 | 1000 | 1000 | |||
| Ind_eff | 1.597 *** | −0.293 *** | −0.544 *** | |||
| (5.743) | (−3.686) | (−4.972) | ||||
| _cons | 9.659 *** | 45.206 *** | 8.397 | 45.301 *** | 2.807 *** | 45.452 *** |
| (6.574) | (118.827) | (0.991) | (115.312) | (3.184) | (114.703) | |
| County | YES | YES | YES | YES | YES | YES |
| Year | YES | YES | YES | YES | YES | YES |
| N | 13,012 | 12,946 | 12,637 | 12,571 | 12,637 | 12,571 |
| R2 | 0.903 | 0.967 | 0.572 | 0.967 | 0.761 | 0.967 |
| (1) | (2) | (3) | (4) | (5) | (6) | |
|---|---|---|---|---|---|---|
| PM2.5 (HC) | PM2.5 (GC) | PM2.5 (CL ×NTUP) | PM2.5 (OIB) | PM2.5 (NOIB) | PM2.5 (IB ×NTUP) | |
| NTUP | −1.638 | −1.418 *** | −0.755 *** | −0.531 | −1.209 *** | −0.986 *** |
| (−1.602) | (−7.409) | (−3.946) | (−1.095) | (−5.313) | (−4.395) | |
| budget | 5.742 ** | 1.557 *** | 1.659 *** | 1.843 | 1.484 *** | 1.521 *** |
| (2.540) | (4.225) | (3.367) | (1.616) | (3.780) | (4.071) | |
| sav | 5.449 *** | −0.669 ** | 0.032 | 1.064 | 0.216 | 0.327 |
| (4.316) | (−2.190) | (0.097) | (1.158) | (0.657) | (1.041) | |
| welfare | 1.420 | −0.083 | −0.101 | 1.650 ** | −0.567 ** | −0.025 |
| (1.514) | (−0.324) | (−0.333) | (2.186) | (−2.224) | (−0.100) | |
| student | 2.678 | 0.311 | 0.494 | −1.480 | 1.257 ** | 0.796 * |
| (1.528) | (0.681) | (0.954) | (−1.362) | (2.526) | (1.748) | |
| hos | −9.674 *** | −1.292 ** | −2.153 *** | −3.206 * | −2.039 *** | −2.127 *** |
| (−4.879) | (−2.174) | (−3.427) | (−1.732) | (−3.202) | (−3.471) | |
| ind | 5.230 | 23.748 *** | 21.912 *** | 1.547 | 22.414 *** | 24.140 *** |
| (0.635) | (5.714) | (5.920) | (0.122) | (5.588) | (6.308) | |
| iva | 0.003 * | −0.002 *** | −0.001 *** | −0.006 *** | −0.001 *** | −0.001 *** |
| (1.909) | (−4.273) | (−3.690) | (−4.160) | (−2.903) | (−3.866) | |
| CL ×NTUP | −3.779 *** | |||||
| (−3.475) | ||||||
| IB ×NTUP | −0.929 ** | |||||
| (−2.399) | ||||||
| _cons | 45.929 *** | 44.993 *** | 45.316 *** | 56.212 *** | 41.896 *** | 44.906 *** |
| (31.358) | (118.479) | (113.893) | (51.915) | (102.263) | (117.286) | |
| County | YES | YES | YES | YES | YES | YES |
| Year | YES | YES | YES | YES | YES | YES |
| N | 1488 | 11,502 | 12,990 | 2955 | 10,035 | 12,990 |
| R2 | 0.961 | 0.969 | 0.967 | 0.965 | 0.965 | 0.967 |
| (5) | (6) | (7) | |
|---|---|---|---|
|
PM2.5
(AD) |
PM2.5
(ID) |
PM2.5
(SID) | |
| NTUP | −0.181 | −0.122 | −0.694 * |
| (−0.209) | (−0.583) | (−1.867) | |
| budget | 3.244 *** | 3.066 *** | 0.303 |
| (2.899) | (6.583) | (1.451) | |
| sav | −2.883 *** | −5.029 *** | −1.926 *** |
| (−4.091) | (−10.187) | (−6.387) | |
| welfare | 2.164 *** | 2.257 *** | 1.086 *** |
| (3.013) | (7.329) | (3.317) | |
| student | −0.619 | −0.853 * | −1.817 *** |
| (−0.525) | (−1.770) | (−3.068) | |
| hos | −3.354 ** | −3.844 *** | −2.092 *** |
| (−2.488) | (−6.438) | (−4.370) | |
| ind | −0.037 | 0.377 *** | 0.601 *** |
| (−0.150) | (3.836) | (10.439) | |
| iva | −0.007 | −0.000 | 0.001 |
| (−1.175) | (−0.750) | (0.567) | |
| _cons | 40.051 *** | 51.152 *** | 39.217 *** |
| (45.210) | (112.382) | (79.518) | |
| County | YES | YES | YES |
| Year | YES | YES | YES |
| N | 2658 | 16,782 | 10,594 |
| R2 | 0.971 | 0.954 | 0.945 |
Disclaimer/Publisher’s Note: The statements, opinions and data contained in all publications are solely those of the individual author(s) and contributor(s) and not of MDPI and/or the editor(s). MDPI and/or the editor(s) disclaim responsibility for any injury to people or property resulting from any ideas, methods, instructions or products referred to in the content. |
© 2025 by the authors. Licensee MDPI, Basel, Switzerland. This article is an open access article distributed under the terms and conditions of the Creative Commons Attribution (CC BY) license (https://creativecommons.org/licenses/by/4.0/).
Share and Cite
Wang, Y.; Chen, S.; Zhou, Z.; Zhong, S. Does the New-Type Urbanization Policy Help Reduce PM2.5 Pollution? Evidence from Chinese Counties. Sustainability 2025, 17, 7585. https://doi.org/10.3390/su17177585
Wang Y, Chen S, Zhou Z, Zhong S. Does the New-Type Urbanization Policy Help Reduce PM2.5 Pollution? Evidence from Chinese Counties. Sustainability. 2025; 17(17):7585. https://doi.org/10.3390/su17177585
Chicago/Turabian StyleWang, Yue, Sihan Chen, Zhicheng Zhou, and Shen Zhong. 2025. "Does the New-Type Urbanization Policy Help Reduce PM2.5 Pollution? Evidence from Chinese Counties" Sustainability 17, no. 17: 7585. https://doi.org/10.3390/su17177585
APA StyleWang, Y., Chen, S., Zhou, Z., & Zhong, S. (2025). Does the New-Type Urbanization Policy Help Reduce PM2.5 Pollution? Evidence from Chinese Counties. Sustainability, 17(17), 7585. https://doi.org/10.3390/su17177585
