You are currently viewing a new version of our website. To view the old version click .
Sustainability
  • Article
  • Open Access

20 August 2025

Optimization Study of Regional Digital Innovation Capability Driven by the Synergy of Information Ecology and Digital Transformation: Dynamic QCA Analysis Based on Provincial Panel Data

,
and
1
School of Economics and Management, Harbin Normal University, Harbin 150025, China
2
School of Aerospace, Harbin Institute of Technology, Harbin 150001, China
*
Author to whom correspondence should be addressed.

Abstract

Digital transformation is gradually emerging as a core driver of high-quality economic development and the achievement of sustainable development goals. As the core engine of the digitalization process, digital innovation is becoming a key supporting force for activating the value of digital elements and fostering a new development pattern. Based on panel data from 31 provincial-level administrative regions in China spanning from 2019 to 2023, we undertook an in-depth exploration of how information ecosystems and digital transformation drivers synergistically enhance regional digital innovation capabilities and their substitutive relationships. The results show the following: Firstly, technological, subject, information, and environmental conditions cannot individually constitute the necessary conditions for a high level of regional digital innovation capacity. Secondly, three types of conditional configurations, namely technology–environment-driven, subject–environment-driven, and balance-driven, are its main driving paths, with significant substitution effects among these conditions. This study provides theoretical and empirical evidence for formulating region-specific strategies to optimize digital innovation capacity and helps formulate differentiated digital development strategies based on regional resource endowments and institutional characteristics, ultimately promoting the construction of a more balanced and resilient digital innovation ecosystem.

1. Introduction

In the context of China’s digital power strategy, digital factors have emerged as a key driver of economic growth. Through the combination of information, computing, communication, and connection technologies, they trigger improvements in the attributes of entities to achieve digital transformation, which has become a necessary condition for promoting economic development and sustainable development [1,2,3]. The new generation of information and communication technologies, represented by big data, cloud computing, blockchain, and artificial intelligence, has triggered a global wave of digitalization [4]. In the digital era, data serves as both a core production factor and a critical asset, with its embedded informational energy reshaping industrial structures and societal frameworks [5]. Information quality acts as a pivotal intermediary, linking data collection, processing, and application efficacy, thereby influencing the depth of data value extraction and the effectiveness of decision-making support [6]. Data resources not only enable precise user information provision but also function as a catalyst for societal advancement, fostering innovation through the integration of informational value and the stimulation of developmental mechanisms [7,8]. At the enterprise level, digital transformation can drive disruptive innovation, improve performance, and create competitive advantages [9,10]. At the regional government level, the focus is on building a collaborative digital ecosystem, enhancing economic vitality, optimizing innovation resources, and constructing a balanced and collaborative digital ecosystem to achieve sustainable development. However, regional governmental data governance faces significant challenges, including multi-stakeholder coordination, technical complexity, and security–privacy trade-offs, which hinder data integration, analysis, and utilization [11]. Meanwhile, rising public expectations necessitate that governments enhance their strategic deployment of digital technologies and innovate digital public services [12,13]. To address the challenges of “fragmentation” and “digital divide” in digital governance, this study explores how information ecosystems and digital transformation can jointly shape regional digital innovation capabilities through the coordinated configuration of multidimensional elements in the context of heterogeneous regional development. This study is based on panel data from 31 provincial-level administrative regions from 2019 to 2023. By forming an organic network through the flow of various elements, it constructs an indicator system covering seven dimensions, including digital infrastructure, digital application capabilities, and satisfaction with public welfare needs, balancing economic performance and public value. By assessing synergistic effectiveness and examining conditional pathways for regional digital innovation, we identify substitution effects and propose differentiated optimization strategies. Our findings provide theoretical and empirical support for fostering a balanced, synergistic, and resilient digital innovation ecosystem.

2. Literature Review

In recent years, scholars across disciplines have sought to construct a theoretical framework for regional digital innovation capacity. The concept of digital innovation was first introduced by Yoo et al. (2010), who defined it as the process of integrating digital and physical components to generate novel products, services, and business models [14]. Developing a digital innovation strategy and cultivating core competencies in digital environments are critical for fostering high-quality growth in the digital economy [15]. Due to its transformative potential, digital innovation has emerged as a key driver of energy efficiency improvements and sustainable development [16]. Zhang et al. (2024) examined the symbiotic relationship between digital innovation ecosystems (DIE) and the technology–organization–environment (TOE) framework, identifying multiple elasticity configurations and underscoring the importance of strategic resource allocation in research and development (R&D) [17]. Perdal (2016) demonstrated that socioeconomic development significantly influences governmental capacity to deliver internet-based services [18].
Meanwhile, from a practical perspective, Chenok, D. proposed a four-phase model (“Digital Government 1.0 to 4.0”) to conceptualize public sector digital transformation, grounded in a “citizen-as-user” paradigm [19]. Organizations leading digital transformation prioritize external networks and expertise [20], whereas citizens and businesses emphasize higher-order value creation, and governments focus on long-term strategic planning [21]. To effectively advance digitalization, governments must align core operational elements with adaptive strategies, enabling agile responses to dynamic demands [22]. Leveraging data resource advantages, governments play dual roles as suppliers and demand-side actors in data markets, enhancing societal benefits by optimizing supply–demand cycles [23].
In summary, scholars have extensively examined digital innovation through its conceptual foundations, evolutionary processes, and mechanistic roles, establishing a robust theoretical framework for subsequent research. However, several limitations persist: First, traditional linear regression analyses predominantly focus on single-factor effects, resulting in oversimplified frameworks for assessing governmental digital innovation capacity. Second, while scholars increasingly employ fsQCA (fuzzy-set Qualitative Comparative Analysis) to examine multi-factor configurations, most studies rely on static cross-sectional data, which cannot capture dynamic evolutionary patterns. Consequently, further research is needed to explore the temporal dynamics of regional digital innovation capacity. To address these issues, this study innovatively proposes combining digital transformation with information ecology theory. By developing a refined indicator system that captures the cyclical interactions among technology, actors, information, and the environment, we enable more precise assessments of digital innovation capability. Our approach overcomes traditional QCA limitations in analyzing multi-factor linkage mechanisms by adopting dynamic QCA methodologies. This allows us to reveal how information ecology and digital transformation collectively shape regional innovation capacity across spatial and temporal dimensions. Ultimately, this research aims to advance regional digital innovation while fostering a more inclusive and forward-looking analytical framework.

3. Theoretical Basis and Framework Analysis

3.1. Information Ecosystem Theory

Since Kaprow first introduced the concept of “information ecology” in 1989, numerous scholars have expanded upon this foundation, generating substantial theoretical developments. The information ecology framework comprises fundamental concepts including information ecosystems and information ecological factors, with the former constituting its core theoretical component. These ecological factors interact through information flows, forming information chains and ecological relationship networks that give rise to niche concepts. Through these interactions, the system develops operational mechanisms that maintain dynamic equilibrium [24]. A key characteristic of information ecology is its capacity to reduce uncertainty regarding phenomena and their transformations. This reduction in uncertainty enhances decision making by enabling subjects to identify optimal strategic matches [25,26]. Information ecosystems exhibit holistic and self-organizing properties, with their primary function being information production, management, circulation, and utilization. In public management contexts, these systems serve as public service mechanisms that simultaneously generate information value and productive capacity [27]. Contemporary applications of information ecosystem theory have expanded beyond information-centric discussions to encompass broader management, service, and governance domains. Notably, the theoretical foundations and operational logic of information ecosystems align closely with government data ecosystem frameworks. When government data ecosystems achieve efficient operation, they establish the necessary conditions for regional digital innovation. Conversely, thriving regional digital innovation accelerates societal digital transformation. The synergy between information ecology and digital innovation stems from their shared focus on information flow and integration. Both emphasize systemic elements coordination and optimized information resource allocation to drive organizational and regional innovation, thereby facilitating societal digital transformation.

3.2. Framework Analysis

The research framework combines information ecosystem theory with digital transformation. The key elements affecting regional digital innovation capacity are decomposed into four dimensions: technology (including digital infrastructure and application skills), subjects (including satisfaction with people’s demands and organizational safeguard system), information (including transparency of information dissemination and level of data openness), and environment (characterized by digital economy development). The necessity test of individual conditions and the sufficiency analysis of multi-conditional grouping of these seven indicators are used to explore the driving paths of different combinations of factors affecting the digital innovation capacity of high/low-level regions. The framework diagram is shown in Figure 1.
Figure 1. Research framework diagram.

3.2.1. Technical

A solid technical foundation is essential for realizing the government’s digital innovation capabilities [28]. The key supporting role of technology in enhancing the effectiveness of regional digital innovation ecosystems is highlighted through the systematic integration of technological frameworks to optimize digital and investment decisions [29]. Technology mainly contains digital infrastructure, and its application skills in the development of government digital innovation to protect the infrastructure of big data, cloud computing, and other technology applications are the main method for participation in the technical guarantee of open data activities throughout the entire process of digital innovation. With certain digital technology, organizations can effectively participate in digital innovation, as technology has become the core driving force to promote digital innovation.

3.2.2. Subjects

As an important entity, the government plays a central role in various configurations that promote high regional digital innovation [30,31]. These subjects consist of stakeholders in the process of open government data, covering individuals and organizations that can influence or be influenced by open government data, i.e., social subjects that process data and participate in the open process, and are the core force that actually participates in data processing and promote the open process. Social subjects such as government officials and citizens, whose practical activities are generated by data demand, make them naturally an important part of the participating subjects and also serve as key ecological factors influencing data innovation [32].

3.2.3. Information

The value of information in government data innovation is crucial [33]. From the perspective of ecosystem theory, information is regarded as a part of environmental elements, regardless of traditional ecosystem theory or information ecosystem theory. Digital government is a dynamic system based on information transparency and an open platform, which integrates information elements in a multi-dimensional way to enhance governance effectiveness while stimulating innovation [34]. Information is considered an important component of organizational innovation [35]. At the same time, the proposal of “green information” emphasizes that through the configuration and application of information, it can support the organization’s sustainable development decision making while achieving more efficient development [36]. Information flows efficiently when it matches and takes into account the needs of users [37].

3.2.4. Environmental

An open environment is a prerequisite for the development of activities, and data innovation activities cannot be carried out in isolation from the environment. The environmental setting in this paper refers to the external environment, which is outside the ecosystem and mainly contains economic development factors, and a vibrant economic environment provides material resources for openness. The environment not only affects the subject’s participation in activities, but its comprehensive composition affects the regional data innovation environment [38]. The environment and other factors are interconnected and profoundly affect the regional digital innovation capacity, which is the key content that must be analyzed when exploring the optimization path.

4. Research Design

4.1. Research Methodology

Qualitative comparative analysis (QCA) views a single case as an organic whole composed of prerequisites [39] and has two common forms: fsQCA and dynamic QCA. fsQCA focuses on the relationship between static combinations of conditions and the outcome and analyzes the effect of the set of condition variables on the outcome variables at a given point in time. Dynamic QCA, on the other hand, breaks through the static limitations and emphasizes the importance of temporal analysis, capturing the changes in condition combinations at different time periods and their dynamic effects on the outcome. This consideration of the time dimension is more in line with the dynamic nature of the real world. Dynamic QCA focuses on exploring the co-existence of multiple conditions, and the dynamic perspective has been used to understand the evolutionary changes of complex systems, with the help of analyzing multiple cases to uncover the equivalent effects of different combinations of antecedent variables on the outcome variables [40]. Advancing group theorizing and dynamic QCA methods, as an emerging research paradigm, can better analyze multifactor concurrent causal complexity problems [41]. More and more scholars have started to call for the use of dynamic QCA methods to reveal the possible differential effects of multiple trajectories formed by multiple conditions at different time periods and to promote the development of dynamic group theory [42]. In this paper, we try to introduce the dynamic QCA method into the research system of regional digital innovation capability, which theoretically enriches the research on the group theory of longitudinal sets, is more sensitive to the problem of finite diversity, and is of great significance in promoting the development of dynamic group theory. In this paper, panel data analysis of QCA is realized with the help of R studio software (2025.05.0) and R language (4.5.3).

4.2. Data Sources and Indicator Design

The evaluation of the government’s digital innovation capacity is based on the “Evaluation Report of China’s Regional Innovation Capacity” (2019 to 2023) [43] compiled by the China Science and Technology Development Strategy Research Group and the China Innovation and Entrepreneurship Management Research Center of the University of Chinese Academy of Sciences, which mainly evaluates the level of digital innovation capacity of China’s 31 provincial governments and aims to serve the national digital innovation strategy, which can comprehensively reflect the government’s comprehensive development in digital innovation. The report can comprehensively reflect the development of governments in digital innovation and provide a quantitative basis for researching the influence of information ecology theory on regional digital innovation capacity. The indicator system is shown in Table 1.
Table 1. Indicator system and source of figures.
The design of the secondary indicators in this paper is based on the integration of existing relevant research results and the design of the indicator system of the survey report, and the addition of specific indicators reflecting the current situation of the information factor is enriched and improved, specifically including the following:
Digital infrastructure is measured by the internet penetration rate, internet broadband access ports, the number of internet domain names, and the number of IPv4 addresses. As digital infrastructure can break down spatial barriers and bring about network spillover effects, these indicators comprehensively show the basic condition of digital infrastructure, which is the network underlying support element of government digital construction [44]. The data comes from “China Science and Technology Statistical Yearbook” (2019–2024).
Digital application capacity is assessed in four aspects: digital application, digital competence, digital foundation, and digital manpower. Digital application reflects the practical application of digital technology in various fields; digital capacity involves the ability of personnel to operate, apply, and innovate digital technology; digital foundation covers basic conditions such as digital infrastructure and data resources; and digital manpower emphasizes the number and quality of personnel engaged in digital-related work. These dimensions comprehensively reflect the level of digital application capability, which is the key capacity embodied in the transformation and application of technology in the process of the government’s promotion of digital construction. The data is derived from the “Digital Ecology Index published by the National Engineering Laboratory of Big Data Analytics and Application Technology of Peking University” (2019–2023) [45].
Satisfaction with people’s demands is measured by the number of mobile internet users, the effectiveness of online services, the maturity of online processing, the completeness of service methods, the coverage of service matters, and the accuracy of office guides. The government leads the digital transformation and needs public demand to drive the development of digital cities [46]. The data comes from the “Survey and Assessment Report on the Capacity of Provincial Governments and Key Cities in Integrated Government Services” (2019–2022).
The organizational guarantee system is assessed from three dimensions: organizational structure, governance capacity, and governance effectiveness. The overall effectiveness of the government’s digital level can be enhanced by strengthening interdepartmental collaboration to promote cross-domain data flow and sharing [47]. It is thus clear that the role of internal government organizations is crucial [48]. The data is derived from the “Digital Government Development Index Report published by the Data Governance Research Center of Tsinghua University” (2019–2024) [49].
Transparency of information dissemination is measured in three aspects: media publicity, information dissemination, and transparency, and Matheus R et al. found that government organizations should enhance digital transparency through technological means [50]. Media publicity was measured by manually searching the CNKI Newspaper Database, WeChat, and the public numbers of provincial governments and retrieving the number of reports using the keywords “digitalization”, “digital innovation”, and “digital transformation”. The total number of information releases was manually collected from the provincial government’s official website, reflecting the number and frequency of government-initiated public information; transparency was measured using the “Chinese Government Online Transparency Index Assessment Report” published by Zhejiang University (2019–2024) [51].
The level of data openness is assessed at the organizational readiness, platform, data and utilization levels. Data openness focuses on the platform, which is more generative due to the government organization, and the platform technology system has an impact on citizen satisfaction through complementary innovations, and its driving mechanism involves the collective sharing of assets, generating a positive and negative double effect on the creation of system value [52,53]. Organizational readiness reflects the government’s readiness for open data in terms of organizational structure and staffing. The data refer to the “China Local Government Data Openness Report China Open Digital Forest Readiness Index” published by Fudan University (2019–2023) [54].
The development of the digital economy is measured in terms of local financial general public budget revenue, local financial general public service expenditure, and software business revenue, with data from the China Statistical Yearbook (2020–2024).

4.3. Data Processing

The study used the classic entropy method. Entropy weight method is an index to measure the amount of information and uncertainty of things; the smaller the entropy, the smaller the uncertainty of things, the more information it contains, and the greater the weight. In this study, based on the entropy weight method, the weight of each index was obtained by using SPSSPRO online data analysis platform. According to the obtained weight coefficients, all indicators were weighted, and finally, each secondary indicator was obtained. Since the data was collected from different data sources, linear interpolation of some of the missing data first required the original data to be normalized for deviation [55]. The standardized formula is shown in Equation (1):
X = x i m i n { x i } ( m a x { x i } m i n { x i } i = 1 , 2 , , m , X 0 , 1
Xi is the original data series, and X is the normalized new series mapped in the interval [0,1].
Second, the jth indicator under the ith province was subsequently calculated to account for the proportion pij under the indicator in order to form the normalized matrix Y = {Pij}m × n. The specific expression is shown in Equation (2):
p i j = y i j i = 1 m y i j , p i j ( 0 , 1 ]
Third, the information entropy ej of indicator j can be calculated as shown in Equation (3):
e j = 1 l n n i = 1 n p i j l n p i j
Fourth, the information entropy redundancy dj can be calculated as shown in Equation (4):
d j = 1 e j
Fifth, the final weight of indicator j can be calculated based on the information entropy redundancy, where m denotes the number of indicators, as shown in Equation (5):
w j = d j j = 1 m d j
Sixth, the secondary index can be synthesized according to the linear weighting method and the final score of each observation expressed as scorei, as shown in Equation (6):
s c o r e i = j = 1 m w j X ^ i j
The index was synthesized according to the steps described above, and the score of each secondary indicator was calculated. This study systematically collected data related to government digital innovation from 2019 to 2023, and in view of the space limitation and the typicality of the data in 2023 in reflecting the latest achievements and dynamics, some key data of that year were selected for highlighting. The changes in values at each stage are shown in Table 2:
Table 2. Indicator data-processing processes (localized).

4.4. Variable Calibration

In this study, all data were calibrated using the R language program to assign a pooled affiliation to each variable, and in this paper, the method of Guedes M J et al. was used for direct calibration [56]. Based on the distribution of the variables in the sample aggregate, 95%, 50%, and 5% of the sample were set as calibration anchors for full affiliation, crossover point, and no affiliation at all, respectively, which is widely used in academia [57,58]. All the data was calibrated to a fuzzy set between 0 and 1 according to the preset anchor points. In order to avoid cases not being included in the analysis when the fuzzy set affiliation was exactly 0.5, the 0.5 affiliation was replaced with 0.501 [42]. The calibration information for each variable is shown in Table 3.
Table 3. Fuzzy-set calibrations.

5. Empirical Analysis

5.1. Univariate Necessity Analysis

According to the QCA theory, the judgment criterion of necessity analysis is that when the consistency level of a condition variable exceeds the threshold value of 0.9, the condition variable can be regarded as a necessity condition for the outcome variable. This theory is also applicable in the dynamic QCA method based on panel data. In the correlation analysis of high-level regional digital innovation capacity, the aggregated consistency of digital application skills (X2) is greater than 0.9, which indicates that this condition is a necessary condition for constituting high-level regional digital innovation capacity, whereas the aggregated consistency of the other condition variables is lower than the judgment criterion of 0.9, and thus, they do not constitute a necessary condition. In the analysis of low-level regional digital innovation capacity, the aggregated consistency of low digital application skills (~X2) and low digital economy development (~X7) are both greater than 0.9, so these two factors are necessary conditions that lead to a low level of regional innovation capacity. It should be noted that the terms “high level” and “low level” in this study are not mutually exclusive in the absolute sense. For details of the necessity analysis, see Table 4.
Table 4. Analysis of necessary conditions.
Studies have shown that when the adjustment distance is not higher than 0.1, the aggregated consistency (POCONS) has a high measurement accuracy and can be used as a reliable basis for judgment [59]. Based on this, this study selected 31 provincial-level administrative regions in China from 2019 to 2023 as case study subjects. Due to the significant differences among provinces in terms of policy environment, economic development level, and different resources, in the process of various types of resources acting on the government’s digital innovation, different provinces are affected by the differentiation of their own internal and external conditions (e.g., economic foundation, technological reserves, institutional perfection, etc.), which leads to large fluctuations in the adjustment distance of intra-group consistency.
Table 5 demonstrates that for the situations where the between-group consistency-adjusted distance and the within-group consistency-adjusted distance are greater than 0.1, first, the between-group consistency levels in situations 1, 3, and 5–7 are all less than 0.9 and therefore do not have a necessity relationship; and second, although the consistency of situation 2 is greater than 0.9, and the coverage is greater than 0.5 for the years 2022 to 2023, it is found with the help of the X-Y scatter plot test that they are all concentrated on the right y-axis and failed the necessary conditions test [60], as shown in Figure 2a–d. By plotting the scatterplot for situation 4 in 2022 to 2023, it was found that the conditioning variables also failed the necessity test.
Table 5. Results of between-group analyses with consistency-adjusted distances greater than 0.1.
Figure 2. Scatterplot grouping for the necessity condition test. (a) Situation 2: Sample Scatterplot for 2023. (b) Situation 2: Sample Scatterplot for 2022. (c) Situation 4: Sample Scatterplot for 2023. (d) Situation 4: Sample Scatterplot for 2022.
Finally, by carefully analyzing the changes in the level of intergroup consistency for Case 2 and Cases 4–7 in Figure 3, it can be found that under the accelerated iterative updating of digital technology and the vigorous and continuous development of the digital economy, the attention to digital innovation has been increasing in all provinces and regions, and the degree of necessity for digital innovation has also shown a significant upward trend. This phenomenon is not accidental, and it deeply reflects that the position of digital innovation is more and more critical in promoting regional development and also strongly confirms the important viewpoints put forward in the previous research: the enhancement of the satisfaction of people’s livelihood, the improvement of the organization and guarantee system, as well as the enhancement of the transparency of the dissemination of information play an indispensable and important role in empowering the enhancement of the capacity of digital innovation and also provide multi-dimensional support for digital innovation to be promoted.
Figure 3. Intergroup Consistency Change Charts for Five Situations.

5.2. Sufficiency Analysis of Conditional Grouping

As the core link of QCA method, the core objective of group analysis is to explore the impact of different combinations of antecedent conditions on the results, and the key criterion for judgment is the consistency level of adequacy. Schneider and Wagemann proposed in a related study that the consistency level should not be lower than 0.75 [60]. Combining the results of previous research with the specific practical situation of this study, the consistency threshold finally selected in this paper is 0.9, the frequency threshold is 1, the PRI threshold is 0.75 [61], and a total of 155 cases are covered under this setting. From the data in Table 6, it can be clearly seen that the consistency of the overall solution of high-level regional innovation capacity is 0.961, and the consistency of the overall solution of low-level regional innovation capacity is 0.948, and both values are much higher than the standard value of 0.75; at the same time, the overall coverage of the two reaches 74% and 85.6%, which both satisfy the judgment criteria and fully indicates that the overall path has a high explanatory power. The groupings of high- and low-level regional innovation capacity are further classified and analyzed and can be categorized into five models.
Table 6. Grouping analysis of regional digital innovation capabilities.

5.2.1. Analysis of Aggregated Results

The M1 model is shown in Figure 4a,b. The model was able to explain about 69% of the high-level website building performance cases, of which about 7.7% could only be explained by the model. The model is useful for provincial governments that face both high levels of satisfaction with people’s demands and organizational security systems and which will also have high levels of digital innovation capabilities if they can achieve faster economic development, digital infrastructure, and digital application capabilities invested in the topic of government digital innovation. Among them, digital infrastructure and digital application skills (technical), satisfaction of people’s demands (subjects), and digital economy development (environmenal) are the core conditions, and the organizational safeguard system (subjects) is the supplementary condition. Since the driving path is mainly composed of two types of conditions, technical and environmental, it is named the technical–environmental-driven type, which can explain the cases including Jiangsu, Sichuan, Henan, and other provinces. Sichuan Province, as a representative province, focuses on communication network and arithmetic support, builds a “cloud, network, end” digital base, forms ecological channels for data elements flow, supports the data circulation and computing needs of the whole region’s intelligence industry, takes the release of data elements value as the core, builds a data trading market, and focuses on electronic information and other industries to create “5G+ intelligent agricultural machinery” and other scenarios. The digital economy core industry has anadded value of 137 billion yuan, opening up the path of digital industry innovation.
Figure 4. Scatterplot of high-level regional cases. (a) M1: technology–environmen- driven. (b) M1: case diagram. (c) M2: subject–environment-driven. (d) M2: case diagram. (e) M3: balance-driven. (f) M3: case diagram.
The M2 model is shown in Figure 4c,d. The model was able of explaining about 64.7% of the high-level website building performance cases, of which about 3.5% could only be explained by the model. The model is useful for provincial governments with a high level of digital application capacity and transparency of information dissemination, which will also have a high level of digital innovation capacity if they can invest in higher economic development, satisfaction with people’s livelihood demands, and an organizational safeguard system for government digital innovation. Among them, the satisfaction of people’s demands, organizational safeguard systems (subjects), and digital economy development (environmenal) are the core conditions, and digital application skills (technical) and transparency in information dissemination (information) are the complementary conditions. Since the driving path consists of two types of conditions, subject conditions and environmental conditions, it is called the subject–environment-driven type. Explanatory cases include Zhejiang, Chongqing, Hunan, and other provinces. Zhejiang Province, as a representative province, represents digital economy innovation and quality as the “No. 1 development project”, with eight major actions to promote digital change around cloud computing and other cutting-edge fields to build a mechanism of collaboration between industry, academia, and research. Relying on the “1 + 8 + 11” policy system, it has built a policy framework for strategic planning, industrial promotion, and factor guarantee synergy, and through the institutional design of the main body of the policy, it has introduced policies to strengthen the status of enterprise innovation’s main body and transformed the economic resources into digital innovation kinetic energy, forming a new pattern of digital innovation development.
The M3 model is shown in Figure 4e,f. The model was able to explain about 55.5% of the high-level website building performance cases, of which about 1.5% could only be explained by the model. The provinces with perfect technical facilities and a high level of information in this model will also have a high level of digital innovation capability if they can improve the satisfaction of people’s livelihood demands and high-quality economic development. Among them, digital application skills (technical), satisfaction with people’s demands (subjects), transparency in information dissemination (information), and digital economy development (environmenal) are the core conditions, while digital infrastructure (technical) and the level of data openness (information) are the complementary conditions. In this driving path, since the realization of high-level digital innovation capability still requires the synergistic and concurrent effects of technology, subject, information, and environment, it is called the balanced driving type, which can explain cases including Guangdong Province and Shandong Province. As a representative province, Guangdong Province has integrated the internet and overall development thinking into the digital transformation of the government, and based on the Guangdong Province “Digital Government” Reform and Construction Master Plan (2018 to 2020), it has clarified eight construction concepts and created the “1 + 3 + N” model, utilizing the mobile phone and the internet to create a “1 + 3 + N” model. The N” model, the use of mobile technology, and artificial intelligence identification technology contribute to the formation of synergistic demand. This has resulted in an intelligent cloud platform for government data across the province, implementation of a standardization project for government services, the breakdown of departmental barriers, and achievemetn of a coordinated flow of data.
The M4 model mainly includes NH1a, NH1b, and NH1c, which can explain 72.8%, 59.5%, and 21.2% of the sample cases, respectively. In this model, a digital facility base, digital application skills (technical), satisfaction with people’s demands, and organizational safeguard system (subjects) are the core missing conditions, indicating that when the level of digital technology is low, and the main body is poorly organized, the other conditional variables do not have a significant effect on the improvement of innovation capability. Since the driving path consists of two types of conditions, namely technology conditions and subject conditions, it is called the technology–subject restriction type. The M5 model mainly consists of NH2a and NH2b, which can explain 30% and 26.3% of the sample cases, respectively. In this model, transparency in information dissemination and the level of data openness (information) and digital economy development (environmental) are the core missing conditions, indicating that when information dissemination and openness are low, and economic development is poor, the other conditional variables do not have a significant effect on the improvement of innovation capacity. Since the driving path consists of both information and environmental conditions, it is called information–environment restriction. The sample cases of low-level regional innovation capacity are mainly concentrated in the western and northeastern regions, and digital infrastructure development remains weak in some areas, with incomplete support systems and insufficient momentum for digital economic development. The application of digital technology and core capabilities also need to be improved, but the development environment is being optimized under the strong impetus of the national “one chain, one policy” and other major strategic initiatives. Low-level regions need to grasp the opportunities of the country’s digital development, transform the region’s natural resource advantages into scientific and technological development momentum, and continue to narrow the development gap with advanced regions. Gansu Province takes digital innovation as an opportunity for industrial upgrading and social development and makes every effort to promote e-commerce. By strengthening top-level design and optimizing industrial layout, it has created e-commerce industry clusters, promoted the integration of e-commerce and the real economy, and built a characteristic digital ecology. Guizhou Province focuses on the data industry by expanding the scale of arithmetic power; participating in the construction of the national integrated arithmetic power network; cultivating digital productivity with the core of industry, application, arithmetic power, and data linkage; improving the effectiveness of “one network”; promoting the digital transformation of the industry; and creating a digital development innovation zone. Liaoning Province coordinates and promotes the construction of digital infrastructure, stimulates the potential of data elements, promotes digital industrialization and industrial digitization, creates cluster industries, improves the digitalization level of grassroots governance, and contributes to the development of regional digital innovation.
By analyzing the patterns of high- and low-level regional innovation capacity, it can be seen that the development of digital economy as a core condition in realizing the grouping of high-level regional innovation capacity and the role played by people’s livelihood and participating subjects is becoming more and more significant. The high-level regional innovation capacity in the central and western regions is mainly driven by technology, while the eastern coastal region is mainly driven by the synergistic concurrency of the linkage and adaptation of different variables in the four dimensions of technology, subject, information, and environment. The low-level grouping significantly highlights the constraining effect of insufficient digital innovation capacity. When the province does not meet the conditions of specific dimensions, the structural adjustment and functional substitution of factor combinations can break through the limitation of a single missing condition and then build a synergistic innovation grouping of multiple paths to provide feasible solutions for realizing a high level of regional innovation capacity.

5.2.2. Analysis of Results Between Groups

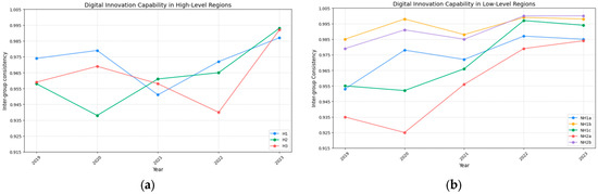
As can be seen from the results in Figure 5a,b, the intergroup consistency of the eight generated groupings breaks through the 0.90 threshold, far exceeding the conventional consistency judgment standard of 0.75 and indicating that the groupings constructed in the study have good stability and reliability. Further focusing on the time dimension and analyzing the dynamic changes of each grouping pattern from 2019 to 2023, it was found that the consistency level of all groupings fluctuates within the interval of 0.93~1.00. With 2021 set as a key milestone, the high-level H1 showed a significant downward trend between 2019 and 2021. Exploring the causes in depth, it is very likely that the strike of the COVID-19 epidemic forced the governmental information flow to shift to epidemic prevention and control, and the external perturbation led to the transient impact of the government information system’s homeostasis, which in turn caused a transient impact on the regional innovation environment. The consistency of the group state rebounded after 2021 through 2023, indicating that the system achieved a new equilibrium through self-organized regulation, which is exactly the evolution process of ecosystem resilience captured by dynamic QCA, providing a solid theoretical basis for the subsequent related research and policy formulation.
Figure 5. Plot of changes in the level of intergroup consistency of regional innovation capacity groupings at the high (low) level. (a) Digital innovation capability in high-level regions. (b) Digital innovation capability in low-level regions.

5.2.3. Analysis of Results Within the Group

From the results of the data analysis, the adjusted distance for within-group consistency, like the adjusted distance for between-group consistency, did not exceed 0.1, which indicates that the explanatory validity of each conditional grouping did not differ significantly across provinces [59]. Intra-group consistency focuses on the province level and is mainly used to assess the degree of adequacy of each conditional grouping pattern for the results in each province over the sample period. Through an in-depth comparison of high-level and low-level regional innovation cases, the imbalance between the eastern and western development of China’s regional innovation capacity is clearly visible. In terms of investment in innovation resources, the eastern region has a significant advantage, with Beijing, Zhejiang, Guangdong, and other provinces and cities ranking at the forefront of the country in terms of the intensity of investment in scientific research, with Beijing, for example, investing more than 6% of its GDP in R&D annually and bringing together top research institutions such as Tsinghua University and Peking University and many national laboratories; meanwhile, the central and western regions of China, such as Shanxi and Tibet, as well as part of the three northeastern provinces are constrained by their weak economic foundations and seriously underinvested in scientific research, with high-end scientific research talent being severely underinvested. The investment in scientific research is seriously insufficient, and the phenomenon of outflow of high-end scientific research talents is serious. In terms of transformation of achievements, the developed regions in the east rely on a perfect industrial chain and market-oriented mechanism, and the transformation rate of scientific and technological achievements is high; for example, Zhejiang’s digital economy can be seen as an engine, giving birth to Alibaba and many other innovative enterprises, to promote the rapid application of new technologies; on the contrary, the low level of the region as shown by the transformation of scientific and technological achievements is not a smooth channel, and the conversion rate of patents is insufficient and has not been effectively transformed into real productivity. At the level of industrial support, the eastern region has formed an innovation-driven industrial system dominated by high-tech industries and strategic emerging industries, with Guangdong’s electronic information and new energy automobile industries booming, while the central and western and northeastern regions are still dominated by traditional resource-based and labor-intensive industries, and emerging industries are small in scale, weak in competitiveness, and lack momentum for industrial innovation and development. For regions with lower innovation capacity, we will strive to break the shackles of regional innovation development and gradually narrow the gap with high-level regions by setting up special funds to integrate regional innovation resources, introducing tax incentives and talent introduction policies, focusing on building digital innovation incubation platforms, and accelerating the construction of digital innovation ecosystems for the in-depth integration of industry, academia, and research in an effort to narrow the gap of regional innovation development.

5.3. The Robustness Text

In this study, consistent with the method proposed by Zhang Ming and Du Yunzhou, two methods were used for robustness testing [42]. First, the case frequency threshold was increased from 1 to 2. Second, the sample data calibration anchor points for the conditional variables and results were modified to the 75th, 50th, and 25th percentiles. The results of the robustness testing are shown in Table 7.
Table 7. The robustness test results.
After testing according to the robustness assessment criteria (Table 7), it was found that the new results generated by increasing the case frequency threshold were basically consistent with the original results. The overall consistency slightly decreased from 0.961 to 0.959, and the overall coverage rate slightly decreased from 0.740 to 0.706. From the perspective of changes to the calibration anchor points, the overall consistency of the results decreased slightly from 0.961 to 0.943, and the overall coverage rate decreased slightly from 0.740 to 0.723. Despite these adjustments, the test results remained highly consistent with the original configuration, further highlighting the robustness of the research conclusions.

5.4. Analysis of Substitution Relationships

By comparing the similarities and differences of groupings 1~4 [62], we can further identify potential substitution relationships among technologies, subjects, information, and environmental conditions. First, by comparing H1 and H2, we find that digital infrastructure (technical) and transparency in information dissemination (information) substitute each other to promote the government’s digital innovation capability when they are jointly faced with higher digital economic development, as shown in Figure 6. That is, when the digital infrastructure is not good enough, if the information dissemination transparency is high, it can promote the government’s digital innovation capability to some extent; on the contrary, when the digital infrastructure is good, and the information dissemination transparency is a little bit weak, the two guarantee the advancement of digital innovation through complementary substitution.
Figure 6. Replacement relationship between technology and information.
Second, the comparison of H1 and H3 shows that the combination of the organizational safeguard system (subjects) and the transparency in information dissemination and the level of data openness (information) can and do substitute each other for the province that invests more application capacity in the government’s digital innovation and at the same time possesses a high-level economic environment, as shown in Figure 7. That is, when the organizational security system is imperfect, information dissemination transparency and a high level of data openness can enhance the value effectiveness of government digital innovation; conversely, a strong organizational security system and a slightly weaker information dimension can also achieve the innovation value objective.
Figure 7. Replacement relationship between subject with “technology + information”.
Finally, a comparison of H2 and H3 reveals that for provinces with high levels of satisfaction with people’s demands (subjects), the organizational safeguard system (subjects) can be substituted for each other with the combination of digital infrastructure (technical) and data openness level when they are jointly faced with high levels of economic development (environmental), as shown in Figure 8. That is, when the organizational security system is slightly lacking in construction effectiveness, relying on the advantages of the combination of technology and information dimension can also promote the government’s digital innovation work; on the contrary, a well-constructed organizational security system, even if there are deficiencies in the digital infrastructure and information dimensions, can also help promote the government’s digital innovation.
Figure 8. Substitution of subjects with “technology + information”.
In summary, this study used configuration analysis to reveal the core role of the information ecosystem in shaping regional digital innovation capabilities. The dynamic equilibrium characteristics of the information ecosystem manifest as multiple substitution relationships among technological, subject, information, and environmental elements: when digital infrastructure (technical) is weak, high information transparency (information) can compensate for functional deficiencies by enhancing data liquidity; when organizational support (subjects) is insufficient, the synergy between data openness levels (information) and digital application capabilities (technical) can maintain the system’s innovative efficacy. These findings confirm that the information ecosystem establishes a resilient mechanism characterized by “element substitution–functional compensation–sustainable efficacy”, enabling regions with different endowments to identify suitable innovation pathways.

6. Conclusions and Contributions

6.1. Conclusions and Discussion

This study aims to address the issue of how information ecosystems and digital transformation jointly shape regional digital innovation capabilities through the coordinated allocation of multi-dimensional factors in heterogeneous regional development contexts. It systematically examines the configurational effects of information ecosystems and digital transformation in jointly driving regional digital innovation capabilities, providing a new theoretical perspective for understanding digital innovation mechanisms in heterogeneous regional development contexts. Based on the panel data of 31 provincial-level administrative regions from 2019 to 2023, using the dynamic QCA method, this study explored the driving factors that influence regional digital innovation capabilities, including technology, entities, information, and environmental conditions. It was found that, first, technology, subject, information, and environmental conditions cannot individually constitute the necessary conditions for high-level regional digital innovation capability. Instead, three types of condition groupings constitute the driving path of high-level regional digital innovation capability. The technology–subject type is composed of digital infrastructure, digital application capacity, people’s demand satisfaction, an organization guarantee system, and digital economy development, and the subject–environment type is composed of digital application capacity, people’s demand satisfaction, an organization guarantee system, information dissemination transparency, and digital economy development. The subject–environment type and the balanced type emphasize digital infrastructure, digital application capacity, people’s satisfaction with their demands, transparency of information dissemination, openness of data, and development of the digital economy. Second, the information ecosystem provides differentiated paths for enhancing digital innovation capabilities in regions with different endowments through dynamic substitution and functional compensation mechanisms among the elements of “technology–subject–information–environment”.

6.2. Research Contribution

The research contribution of this thesis is mainly reflected in the following aspects: It is a breakthrough in the application of methods, constructing the framework of “dynamic QCA + information ecology”, realizing a multi-condition combination test, and identifying high- and low-level innovation driving paths and a condition substitution relationship. It also contributes the expansion of index system by using the entropy value method to calculate the measurement indexes, constructing a seven-dimension index system, and refining the second-level indexes to make up for the defects of the existing research that is insufficient to pay attention to the information factor and dynamic synergies.

6.3. Suggestion

First, the foundation for innovation should be strengthened. The regionally balanced layout of digital infrastructure should be strengthened, especially by increasing the investment of core resources in central and western provinces and by narrowing the gap in the allocation of technological resources. A livelihood technology linkage mechanism should be established, promoting the transformation of digital technology through the opening up of governmental affairs scenarios, such as intelligent examination and approval, and enhancing the practical and innovative capabilities of governmental subjects on digital tools. Second, ecological effectiveness shoud be optimized. Considering information dissemination transparency, the thematic construction of the government’s official website and social media should be improved by regularly publishing data opening dynamics and typical cases, enhancing public participation, and activating the vitality of data utilization by social subjects. Third, a differentiation strategy should be implemented. Based on the types of grouping identified by the dynamic QCA, a dynamic classification list of provincial digital innovation capacity should be established, customizing the adaptation path for different regions and regularly tracking and periodically revising the policy portfolio to ensure that the strategy evolves in tandem with the development of digital innovation in the region to avoid “one-size-fits-all” interventions.

6.4. Research Limitations and Prospects

This study has certain limitations. First, although the indicator system covers seven dimensions, the consideration of some sub-divisions is not yet sufficient, which may affect the comprehensive portrayal of the complex ecosystem; second, although the dynamic QCA method can capture time-series changes, the analysis of the long-term evolution path is still insufficient due to the limitation of the panel data length, and the transient impact of policy shocks on the grouping is not explored in depth; third, the study focuses on the macro-analysis at the provincial level and lacks the micro-case nesting of local municipalities or specific industries, making it difficult to accurately reveal the differentiated logic of digital innovation at the grassroots level.
Future research can be expanded in two ways. The first is to improve the indicator system, incorporate emerging dimensions such as data security and digital inclusion and building a more inclusive assessment framework; the second is to extend the data observation cycle, carry out event studies in conjunction with major policy nodes, and deepen the analysis of dynamic mechanisms. The third is to nest micro cases of cities and regions so as to accurately identify the differences in the driving paths of digital innovation at different levels through the linkage analysis of “macro pattern + micro mechanism” and to provide more refined theoretical support for the collaborative development of the region.

Author Contributions

Conceptualization, S.G. and L.L.; methodology, S.G. and L.L.; software, L.L. and B.Q.; validation, S.G., L.L. and B.Q.; formal analysis, S.G., L.L. and B.Q.; investigation, S.G. and L.L.; resources, B.Q.; data curation, L.L.; writing—original draft preparation, S.G. and L.L.; writing—review and editing, S.G., L.L. and B.Q.; visualization, S.G. and L.L.; supervision, S.G. and B.Q.; project administration, S.G. and L.L.; funding acquisition, S.G. and L.L. All authors have read and agreed to the published version of the manuscript.

Funding

This research was funded by the Philosophy and Social Science Planning Project of Heilongjiang Province (22GLE386); and the Postgraduate Innovation Project of Harbin Normal University, funded by (HSDSSCX2025-43).

Institutional Review Board Statement

Not applicable.

Data Availability Statement

The original contributions presented in this study are included in the article. Further inquiries can be directed to the corresponding author.

Conflicts of Interest

The authors declare no conflicts of interest.

References

  1. Hao, X.; Wang, X.; Wu, H.; Hao, Y. Path to sustainable development: Does digital economy matter in manufacturing green total factor productivity? Sustain. Dev. 2023, 31, 360–378. [Google Scholar] [CrossRef]
  2. Yan, C.; Wang, D.D. Digitalization and green innovation: A fuzzyset qualitative comparative analysis based on 30 provinces in China. Chin. Manag. Stud. 2025. [Google Scholar] [CrossRef]
  3. Bai, X.; Shen, Q. Exploring impact of digital economy on sustainable urban development by panel data of 30 underdeveloped cities in China. Sci. Rep. 2025, 15, 13325. [Google Scholar] [CrossRef]
  4. Wang, S.; Sun, X.; Zhong, S. Exploring the multiple paths to improve the construction level of digital government: Qualitative comparative analysis based on the WSR framework. Sustainability 2023, 15, 9891. [Google Scholar] [CrossRef]
  5. Aydin, A.A. A comparative perspective on technologies of big data value chain. IEEE Access 2023, 11, 112133–112146. [Google Scholar] [CrossRef]
  6. Ashrafi, A.; Ravasan, A.Z.; Trkman, P.; Afshari, S. The role of business analytics capabilities in bolstering firms’ agility and performance. Int. J. Inf. Manag. 2019, 47, 1–15. [Google Scholar] [CrossRef]
  7. Kang, H.; Guo, D. Value evaluation of data resources based on artificial neural network in digital economy. Soft Comput. 2023, 1–10. [Google Scholar] [CrossRef]
  8. Wang, P. Connecting the parts with the whole: Toward an information ecology theory of digital innovation ecosystems. MIS Q. 2021, 45, 397–422. [Google Scholar] [CrossRef]
  9. Fan, Y.; Gao, Y.; Assimakopoulos, D.G.; Carayannis, E.G. Regional Digitalization, Digital Innovation Capabilities, and Manufacturing Sector Innovation. IEEE Trans. Eng. Manag. 2025. [Google Scholar] [CrossRef]
  10. Saeedikiya, M.; Salunke, S.; Kowalkiewicz, M. Toward a dynamic capability perspective of digital transformation in SMEs: A study of the mobility sector. J. Clean. Prod. 2024, 439, 140718. [Google Scholar] [CrossRef]
  11. Benfeldt, O.; Persson, J.S.; Madsen, S. Data governance as a collective action problem. Inf. Syst. Front. 2020, 22, 299–313. [Google Scholar] [CrossRef]
  12. Eom, S.J.; Lee, J. Digital government transformation in turbulent times: Responses, challenges, and future direction. Gov. Inf. Q. 2022, 39, 101690. [Google Scholar] [CrossRef]
  13. Yuan, Y.-P.; Dwivedi, Y.K.; Tan, G.W.-H.; Cham, T.-H.; Ooi, K.-B.; Aw, E.C.-X.; Currie, W. Government digital transformation: Understanding the role of government social media. Gov. Inf. Q. 2023, 40, 101775. [Google Scholar] [CrossRef]
  14. Yoo, Y.; Henfridsson, O.; Lyytinen, K. Research commentary—The new organizing logic of digital innovation: An agenda for information systems research. Inf. Syst. Res. 2010, 21, 724–735. [Google Scholar] [CrossRef]
  15. Song, Q.; Chen, X.; Gu, H. How technological, organizational, and environmental factors drive enterprise digital innovation: Analysis based on the dynamic fsQCA approach. Sustainability 2023, 15, 12248. [Google Scholar] [CrossRef]
  16. Pang, Q.; Zheng, H.; Zhang, L.; Chiu, Y.-H. How does the regional digital innovation ecosystem lead to high energy efficiency? An exploratory study based on fsQCA. Renew. Energy 2025, 253, 123602. [Google Scholar] [CrossRef]
  17. Zhang, M.; Cheng, R.; Fei, J.; Khanal, R. Enhancing digital innovation ecosystem resilience through the interplay of organizational, technological, and environmental factors: A study of 31 provinces in China using NCA and fsQCA. Sustainability 2024, 16, 1946. [Google Scholar] [CrossRef]
  18. Perdal, R. Factors of local e-government development in Poland: The case of the Poznań Agglomeration. Quaest. Geogr. 2016, 35, 115–129. [Google Scholar] [CrossRef]
  19. Chenok, D. How the Digital Revolution Is Trans forming Government. Gov. Exec. 2018. [Google Scholar]
  20. Liu, Y.; Li, M. Intelligent development of high-end equipment sub-industries: Digital innovation ecosystem analysis. Manag. Decis. 2025. ahead of print. [Google Scholar] [CrossRef]
  21. Wilson, C.; Mergel, I. Overcoming barriers to digital government: Mapping the strategies of digital champions. Gov. Inf. Q. 2022, 39, 101681. [Google Scholar] [CrossRef]
  22. Gong, Y.; Yang, J.; Shi, X. Towards a comprehensive understanding of digital transformation in government: Analysis of flexibility and enterprise architecture. Gov. Inf. Q. 2020, 37, 101487. [Google Scholar] [CrossRef]
  23. Jones, C.I.; Tonetti, C. Nonrivalry and the Economics of Data. Am. Econ. Rev. 2020, 110, 2819–2858. [Google Scholar] [CrossRef]
  24. Alexopoulos, C.; Loukis, E.; Charalabidis, Y. A methodology for determining the value generation mechanism and the improvement priorities of open government data systems. Comput. Sci. Inf. Syst. 2016, 13, 237–258. [Google Scholar] [CrossRef]
  25. Schmidt, K.A.; Dall, S.R.X.; Van Gils, J.A. The ecology of information: An overview on the ecological significance of making informed decisions. Oikos 2010, 119, 304–316. [Google Scholar] [CrossRef]
  26. Bingham, G.; Bishop, R.; Brody, M.; Bromley, D.; Clark, E.; Cooper, W.; Costanza, R.; Hale, T.; Hayden, G.; Kellert, S.; et al. Issues in ecosystem valuation: Improving information for decision making. Ecol. Econ. 1995, 14, 73–90. [Google Scholar] [CrossRef]
  27. Capurro, R.; Hjørland, B. The concept of information. Annu. Rev. Inf. Sci. Technol. 2003, 37, 343–411. [Google Scholar] [CrossRef]
  28. Shang, M.; Jia, C.; Zhong, L.; Cao, J. What determines the performance of digital transformation in manufacturing enterprises? A study on the linkage effects based on fs/QCA method. J. Clean. Prod. 2024, 450, 141856. [Google Scholar] [CrossRef]
  29. Gill, A.Q.; Hansnata, M. Digital Government Ecosystem: Adaptive Architecture for Digital and ICT Investment Decision Making. In Proceedings of the 25th Annual International Conference on Digital Government Research, Taipei, Taiwan, 11–14 June 2024; pp. 555–564. [Google Scholar]
  30. Xu, D.; Yu, B. How can regional innovation ecosystem affect innovation level? an Fs QCA analysis. Technol. Anal. Strateg. Manag. 2023, 36, 4067–4083. [Google Scholar] [CrossRef]
  31. Zou, B.; Sun, X.; Zou, Y.; Tang, Y. Analysis of Driving County Innovation Capability Enhancement: Based on fsQCA. Pol. J. Environ. Stud. 2024. [Google Scholar] [CrossRef]
  32. Huang, Y.; Li, S.; Xiang, X.; Bu, Y.; Guo, Y. How can the combination of entrepreneurship policies activate regional innovation capability? A comparative study of Chinese provinces based on fsQCA. J. Innov. Knowl. 2022, 7, 100227. [Google Scholar] [CrossRef]
  33. Allen, J.; Howland, B.; Mobius, M.; Rothschild, D.; Watts, D.J. Evaluating the fake news problem at the scale of the information ecosystem. Sci. Adv. 2020, 6, eaay3539. [Google Scholar] [CrossRef] [PubMed]
  34. Gil-Garcia, J.R.; Dawes, S.S.; Pardo, T.A. Digital government and public management research: Finding the crossroads. Public Manag. Rev. 2018, 20, 633–646. [Google Scholar] [CrossRef]
  35. Mamonov, S.; Peterson, R. The role of IT in organizational innovation—A systematic literature review. J. Strateg. Inf. Syst. 2021, 30, 101696. [Google Scholar] [CrossRef]
  36. Kotlarsky, J.; Oshri, I.; Sekulic, N. Digital sustainability in information systems research: Conceptual foundations and future directions. J. Assoc. Inf. Syst. 2023, 24, 936–952. [Google Scholar] [CrossRef]
  37. Van Wyk, E.; Roux, D.J.; Drackner, M.; McCool, S.F. The impact of scientific information on ecosystem management: Making sense of the contextual gap between information providers and decision makers. Environ. Manag. 2008, 41, 779–791. [Google Scholar] [CrossRef]
  38. Li, H.; Wang, H.; Yang, Z.; Guo, C. Cross-level interaction mechanism for high growth among digital start–ups: An fsQCA analysis. Chin. Manag. Stud. 2025. [Google Scholar] [CrossRef]
  39. Ragin, C.C. Set relations in social research: Evaluating their consistency and coverage. Political Anal. 2006, 14, 291–310. [Google Scholar] [CrossRef]
  40. Fiss, P.C. A set-theoretic approach to organizational configurations. Acad. Manag. Rev. 2007, 32, 1180–1198. [Google Scholar] [CrossRef]
  41. Chae, B.K. A General framework for studying the evolution of the digital innovation ecosystem: The case of big data. Int. J. Inf. Manag. 2019, 45, 83–94. [Google Scholar] [CrossRef]
  42. Zhang, M.; Du, Y.Z. Qualitative comparative analysis (QCA)in management and organization research: Position, tactics, and directions. Chin. J. Manag. 2019, 16, 1312–1323. [Google Scholar]
  43. Research Center for China Innovation and Entrepreneurship Management, University of Chinese Academy of Sciences. China’s Regional Innovation Capability Evaluation Report. Available online: http://www.casted.org.cn/channel/index/wid/83 (accessed on 10 July 2025).
  44. Tang, C.; Xu, Y.; Hao, Y.; Wu, H.; Xue, Y. What is the role of telecommunications infrastructure construction in green technology innovation? A firm-level analysis for China. Energy Econ. 2021, 103, 105576. [Google Scholar] [CrossRef]
  45. National Engineering Laboratory of Big Data Analysis and Application Technology. Digital Eco Index (2019–2023). Available online: https://bda.pku.edu.cn/szstyszzl/xgyjcgxz.htm (accessed on 10 July 2025).
  46. Zhao, J.; Han, L.; Zhang, H. Exploring driving factors of digital transformation among local governments: Foundations for smart city construction in China. Sustainability 2022, 14, 14980. [Google Scholar] [CrossRef]
  47. Che, Z.; Zhao, Z.; Kong, L.; Yan, Z.; Li, Q. Blockchain based Mechanism for Cross-departmental Workflow Collaboration. Int. J. Inf. Technol. 2018, 24, 1. [Google Scholar]
  48. Gasco-Hernandez, M.; Nasi, G.; Cucciniello, M.; Hiedemann, A.M. The role of organizational capacity to foster digital transformation in local governments: The case of three European smart cities. Urban Gov. 2022, 2, 236–246. [Google Scholar] [CrossRef]
  49. Tsinghua University Data Governance Research Center. China Digital Government Development Index Report (2019–2024). Available online: http://thucdg.com/index (accessed on 10 July 2025).
  50. Matheus, R.; Janssen, M.; Janowski, T. Design principles for creating digital transparency in government. Gov. Inf. Q. 2021, 38, 101550. [Google Scholar] [CrossRef]
  51. Zhejiang Provincial Public Policy Research Institute. China Government Network Transparency Index Assessment Report (2019–2024). Available online: http://www.ggzc.zju.edu.cn/main.htm (accessed on 10 July 2025).
  52. Cennamo, C.; Santaló, J. Generativity tension and value creation in platform ecosystems. Organ. Sci. 2019, 30, 617–641. [Google Scholar] [CrossRef]
  53. Fürstenau, D.; Rothe, H.; Schulte-Althoff, M.; Baiyere, A.; Masak, D.; Schewina, K.; Anisimova, D. Growth, complexity, and generativity of digital platforms: The case of Otto. de. In Proceedings of the International Conference on Information Systems (ICIS), Munich, Germany, 15–18 December 2019. [Google Scholar]
  54. Digital and Mobile Governance Laboratory of Fudan University. China Local Government Data Open Report (2019–2023). Available online: http://ifopendata.fudan.edu.cn/report (accessed on 10 July 2025).
  55. Zhang, M.; Li, B. How to improve regional innovation quality from the perspective of green development? Findings from entropy weight method and fuzzy-set qualitative comparative analysis. IEEE Access 2020, 8, 32575–32586. [Google Scholar] [CrossRef]
  56. Guedes, M.J.; da Conceição Gonçalves, V.; Soares, N.; Valente, M. UK evidence for the determinants of R&D intensity from a panel fsQCA. J. Bus. Res. 2016, 69, 5431–5436. [Google Scholar] [CrossRef]
  57. Yan, H.; Zhang, H. External Resource Dependence and Implementation Efficiency of Education for Sustainable Development (ESD): A Hybrid Design Based on Data Envelopment Analysis (DEA) and Dynamic Qualitative Comparative Analysis (QCA). Sustainability 2025, 17, 3809. [Google Scholar] [CrossRef]
  58. Zeng, F.; Chen, Y.; Wei, B.; Wang, P.; Yang, S. Exploring the multiple paths of digital government development: A dynamic QCA analysis based on organizational transformation. IEEE Access 2024, 12, 18451–18472. [Google Scholar] [CrossRef]
  59. Schneider, C.Q.; Wagemann, C. Set-Theoretic Methods for the Social Sciences: A Guide to Qualitative Comparative Analysis; Cambridge University Press: Cambridge, UK, 2012. [Google Scholar]
  60. Roberto, G.-C.; Ariño, M.A. A general approach to panel data set-theoretic research. J. Adv. Manag. Sci. Inf. Syst. 2016, 2, 526. [Google Scholar] [CrossRef]
  61. Du, Y.Z.; Jia, L.D. Configuration perspective and qualitative comparative analysis (QCA): A new way of management research. J. Manag. World 2017, 33, 155–167. [Google Scholar]
  62. Tan, H.B.; Fan, Z.T.; Du, Y.Z. Technology management capacity, attention allocation and local government website construction: A configuration analysis based on TOE framework. J. Manag. World 2019, 35, 81–94. [Google Scholar]
Disclaimer/Publisher’s Note: The statements, opinions and data contained in all publications are solely those of the individual author(s) and contributor(s) and not of MDPI and/or the editor(s). MDPI and/or the editor(s) disclaim responsibility for any injury to people or property resulting from any ideas, methods, instructions or products referred to in the content.

Article Metrics

Citations

Article Access Statistics

Multiple requests from the same IP address are counted as one view.