Spatial and Temporal Distribution of Conversational and Emerging Pollutants in Fecal Sludge from Rural Toilets, China
Abstract
1. Introduction
2. Materials and Methods
2.1. Sample Collecting and Locations of Study Area
2.2. Physicochemical Analysis
2.3. Determination of Heavy Metals in Fecal Matter
2.4. Analysis of Pathogenic Microorganism (PM) and Antibiotic Resistance Genes (ARGs)
3. Results and Discussions
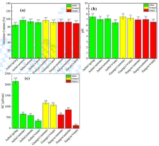
3.1. Physicochemical Characteristics of Rural Toilet Feces
3.2. Nutrient Elements and Calcium (Ca)
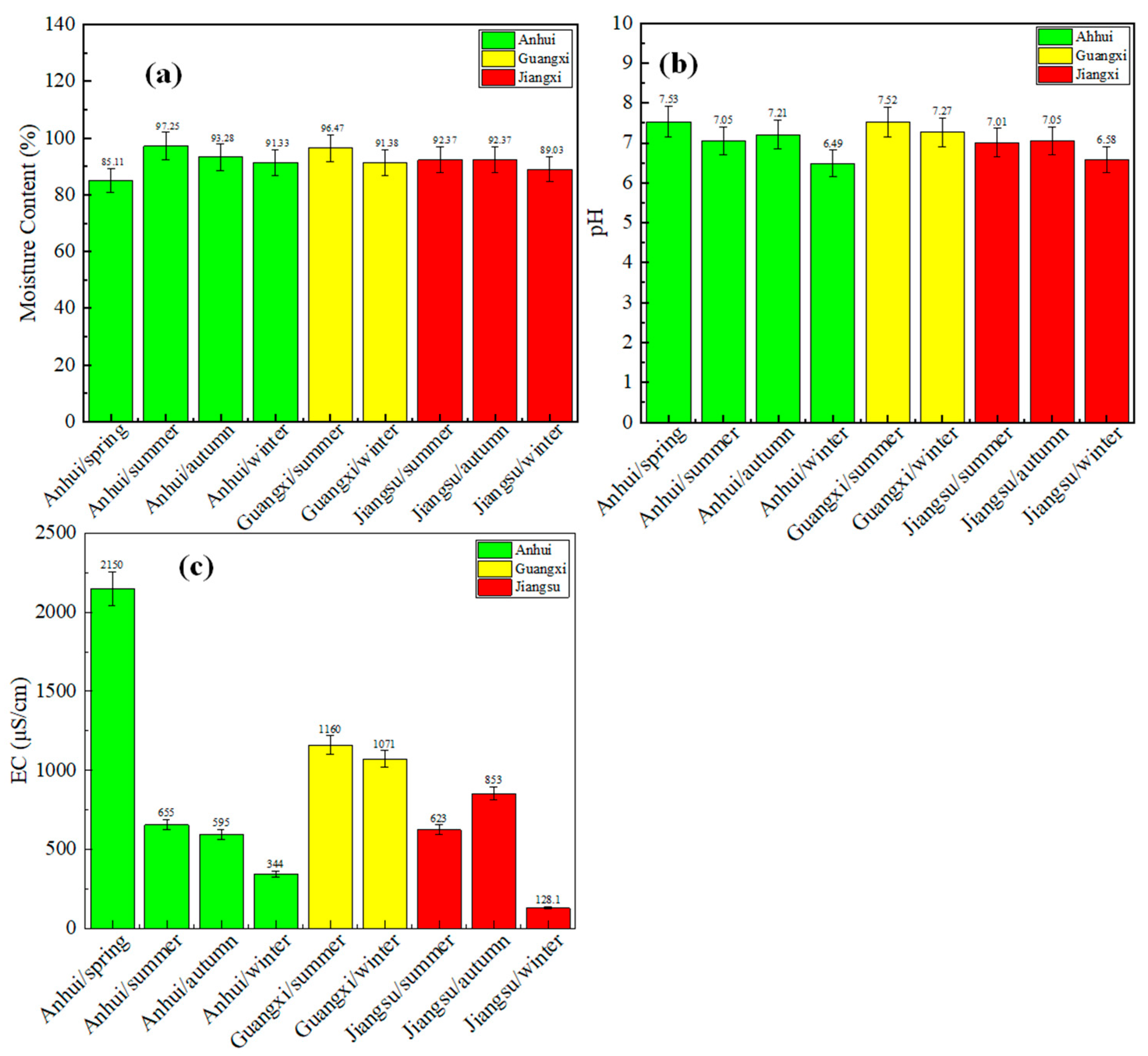
3.2.1. Nutrient Elements
3.2.2. Calcium (Ca)
3.3. Heavy Metal Elements
3.3.1. Chromium (Cr)
3.3.2. Copper (Cu)
3.3.3. Zinc (Zn)
3.4. Microbiological Contaminants
3.4.1. Pathogenic Microorganisms (PMs)
3.4.2. ARGs (Emerging Biological Pollutants)
3.5. The Limitation of Study
4. Conclusions
Author Contributions
Funding
Institutional Review Board Statement
Informed Consent Statement
Data Availability Statement
Conflicts of Interest
References
- United Nations Human Settlements Programme (UN-Habitat); World Health Organization (WHO). Progress on the Proportion of Domestic and Industrial Wastewater Flows Safely Treated—Mid-Term Status of SDG Indicator 6.3.1 and Acceleration Needs, with a Special Focus on Climate Change, Wastewater Reuse and Health; United Nations Human Settlements Programme (UN-Habitat): Nairobi, Kenya; World Health Organization (WHO): Geneva, Switzerland, 2024. [Google Scholar]
- Vinti, G.; Vaccari, M. Solid waste management in rural communities of developing countries: An overview of challenges and opportunities. Clean Technol. 2022, 4, 1138–1151. [Google Scholar] [CrossRef]
- Kour, D.; Khan, S.; Ramniwas, S.; Kumar, S.; Rai, A.; Rustagi, S.; Chaubey, K.; Singh, S.; Ahluwalia, A. Beneficial fungal communities for sustainable development: Present scenario and future challenges. J. Appl. Biol. Biotechnol. 2024, 12, 1–9. [Google Scholar] [CrossRef]
- Shayo, G.M.; Elimbinzi, E.; Shao, G.N.; Fabian, C. Severity of waterborne diseases in developing countries and the effectiveness of ceramic filters for improving water quality. Bull. Nat. Res. Centre 2023, 47, 113. [Google Scholar] [CrossRef]
- Dila, D.; Corsi, S.; Lenaker, P.; Baldwin, A.; Bootsma, M.; McLellan, S. Patterns of host-associated fecal indicators driven by hydrology, precipitation, and land use attributes in great lakes watersheds. Environ. Sci. Technol. 2018, 52, 11500–11509. [Google Scholar] [CrossRef]
- Sindua, N.J.; Kaihatu, J.E. Community respond to waste treatment base on 3R (reduce, reuse and recycle) in the settlement environment of moronge village, moronge district, Talaud Islam regency. In E3S Web of Conferences, Proceedings of the International Conference on Science and Technology (ICST 2021), Ternate, Indonesia, 27–28 October 2021; EDP Sciences: Paris, France, 2021; Volume 328, p. 08019. [Google Scholar] [CrossRef]
- Custodio, M.; Orellana, E.; Peñaloza, R.; De la Cruz Solano, H.; Bulege Gutiérrez, W. Heavy metal accumulation in sediment and removal efficiency in the stabilization ponds with the hydrocotyle ranunculoides filter. J. Ecol. Eng. 2020, 21, 72–79. [Google Scholar] [CrossRef]
- Atkinson, K.; Journal, T.I. An epidemiological survey of non-municipal drinking water supplies among rural communities in the Blue and John Crow Mountain ranges. Texila Int. J. Public Health 2022, 10, 22. [Google Scholar] [CrossRef]
- Albou, E.; Abdellaoui, M.; Abdaoui, A.; Ait Boughrous, A. Agricultural Practices and their Impact on Aquatic Ecosystems—A Mini-Review. Ecol. Eng. Environ. Technol. 2024, 25, 321–331. [Google Scholar] [CrossRef]
- Cissé, G. Foodborne and waterborne diseases under climate change in low- and middle-income countries: Further efforts needed for reducing environmental health exposure risks. Acta Trop. 2019, 194, 181–188. [Google Scholar] [CrossRef]
- Genter, F.; Willetts, J.; Foster, T. Faecal contamination of groundwater self-supply in low- and middle income countries: Systematic review and meta-analysis. Water Res. 2021, 201, 117350. [Google Scholar] [CrossRef]
- Nandi, A.; Megiddo, I.; Ashok, A.; Verma, A.; Laxminarayan, R. Reduced burden of childhood diarrheal diseases through increased access to water and sanitation in India: A modeling analysis. Soc. Sci. Med. 2017, 180, 181–192. [Google Scholar] [CrossRef]
- Shang, X.; Huang, H.; Mei, K.; Xia, F.; Chen, Z.; Yang, Y.; Dahlgren, R.A.; Zhang, M.; Ji, X. Riverine nitrate source apportionment using dual stable isotopes in a drinking water source watershed of southeast China. Sci. Total Environ. 2020, 724, 137975. [Google Scholar] [CrossRef] [PubMed]
- Tong, Y.; Li, J.; Qi, M.; Zhang, X.; Wang, M.; Liu, X.; Zhang, W.; Wang, X.; Lu, Y.; Lin, Y. Impacts of water residence time on nitrogen budget of lakes and reservoirs. Sci. Total Environ. 2019, 646, 75–83. [Google Scholar] [CrossRef] [PubMed]
- Al-Shammary, A.A.G.; Al-Shihmani, L.S.S.; Fernández-Gálvez, J.; Caballero-Calvo, A. Optimizing sustainable agriculture: A comprehensive review of agronomic practices and their impacts on soil attributes. J. Environ. Manag. 2024, 364, 121487. [Google Scholar] [CrossRef] [PubMed]
- Krishnani, K.K.; Boddu, V.M.; Singh, R.D.; Chakraborty, P.; Verma, A.K.; Brooks, L.; Pathak, H. Plants, animals, and fisheries waste-mediated bioremediation of contaminants of environmental and emerging concern (CEECs)—A circular bioresource utilization approach. Environ. Sci. Pollut. Res. 2023, 30, 84999–85045. [Google Scholar] [CrossRef]
- Anand, U.; Adelodun, B.; Cabreros, C.; Kumar, P.; Suresh, S.; Dey, A.; Ballesteros, F., Jr.; Bontempi, E. Occurrence, transformation, bioaccumulation, risk and analysis of pharmaceutical and personal care products from wastewater: A review. Environ. Chem. Lett. 2022, 20, 3883–3904. [Google Scholar] [CrossRef]
- Gao, Y.; Li, H.; Yang, B.; Wei, X.; Zhang, C.; Xu, Y.; Zheng, X. The preliminary evaluation of differential characteristics and factor evaluation of the microbial structure of rural household toilet excrement in China. Environ. Sci. Pollut. Res. 2021, 28, 43842–43852. [Google Scholar] [CrossRef]
- Guo, K.; Cao, Y.; Wang, Z.; Li, Z. Urban and industrial environmental pollution control in China: An analysis of capital input, efficiency and influencing factors. J. Environ. Manag. 2022, 316, 115198. [Google Scholar] [CrossRef]
- Fan, S.; Wang, H.; Ding, J.; Jia, Y.; Shen, Y.; Cheng, H.; Zhou, Y.; Li, D. Technical investigation and evaluation of rural sanitary dry toilets in cold and arid regions of China. Trans. Chin. Soc. Agric. Eng. Trans. CSAE 2022, 38, 225–233. [Google Scholar] [CrossRef]
- Li, X.; Wang, X.; Pan, X.; Zhu, P.; Zhang, Q.; Huang, X.; Deng, X.; Wang, Z.; Ding, Y.; Liu, X. Potential hormetic effects of cimetidine on aerobic composting of human feces from rural China. Sustainability 2022, 14, 14454. [Google Scholar] [CrossRef]
- Lin, L.; Yang, X.; Shen, Y.; Zhu, P.; Niu, S.; Alghashm, S.; Ding, G.; Wu, D.; Li, X. Inhibition of odor generation during the composting process of fecal sludge from rural toilets by decomposed compost backfilling. Bioresour. Technol. Rep. 2025, 29, 102065. [Google Scholar] [CrossRef]
- Miko, A.S.; Ibrahim, S. Assessment of heavy metal contamination in irrigated farmland and associated health risks in Kano State, Nigeria: A review. UMYU Sci. 2024, 3, 86–93. [Google Scholar] [CrossRef]
- Mian, H.R.; Hu, G.; Hewage, K.; Rodriguez, M.J.; Sadiq, R. Drinking water management strategies for distribution networks: An integrated performance assessment framework. J. Environ. Manag. 2023, 325, 116537. [Google Scholar] [CrossRef]
- Mishra, R.K.; Mentha, S.S.; Misra, Y.; Dwivedi, N. Emerging pollutants of severe environmental concern in water and wastewater: A comprehensive review on current developments and future research. Water Energy Nexus 2023, 6, 74–95. [Google Scholar] [CrossRef]
- Zhang, X.; Zhi, X.; Chen, L.; Shen, Z. Spatiotemporal variability and key influencing factors of river fecal coliform within a typical complex watershed. Water Res. 2020, 178, 115835. [Google Scholar] [CrossRef]
- Zhai, Q.-Z. Determination of phosphorus by phosphorus molybdenum blue spectrophotometry by bismuth antimony sensitization. Bull Chem. Soc. Ethiopia 2023, 37, 1307–1313. [Google Scholar] [CrossRef]
- Method 3051A (SW-846); Microwave Assisted Acid Digestion of Sediments, Sludges, and Oils. Revision 1. U.S. Environmental Protection Agency: Washington, DC, USA, 2007.
- Liu, B.; Pop, M. ARDB—Antibiotic resistance genes database. Nucleic Acids Res. 2009, 37, D443–D447. [Google Scholar] [CrossRef] [PubMed]
- Zou, S.; Hu, R.; Liang, S.; Lu, T.; Kang, D.; Li, D. Assessment of health risk of antibiotics resistance genes from human disturbed habitat to wild animals: Metagenomic insights into availability and functional changes of gut microbiome. Ecotox Environ. Safe 2024, 285, 117117. [Google Scholar] [CrossRef] [PubMed]
- Lepane, V.; Depret, L.; Väli, A.-L.; Suursööt, K. Impact of seasonal climate change on optical and molecular properties of river water dissolved organic matter by HPLC-SEC and UV-vis spectroscopy. Chem. Biol. Technol. AG 2015, 2, 14. [Google Scholar] [CrossRef]
- Annadurai, P.; Kutralingam, K.; Thiyagarajan, C.; Priya, R.; Doraiswamy, U.; Lourdusamy, K. Agronomic biofortification of calcium in cabbage (Brassica Oleracea var capitata) applied with different sources of liming in Ca deficient acidic soil of Coonoor, The Nilgiris (Typic Dystropept). J. Appl. Nat. Sci. 2022, 14, 1286–1296. [Google Scholar] [CrossRef]
- Li, L.; Mao, K.; Ippolito, J.A.; Xing, W.; Chen, X.; Zhu, W.; Cheng, Y. Calcium amendments affect heavy metal bioavailability in acidic and calcareous soils. Inter. J. Environ. Sci. Technol. 2022, 19, 10067–10076. [Google Scholar] [CrossRef]
- Deng, Y.; Wang, M.; Tian, T.; Lin, S.; Xu, P.; Zhou, L.; Dai, C.; Hao, Q.; Wu, Y.; Zhai, Z.; et al. The Effect of Hexavalent Chromium on the Incidence and Mortality of Human Cancers: A Meta-Analysis Based on Published Epidemiological Cohort Studies. Front. Oncol. 2019, 9, 24. [Google Scholar] [CrossRef]
- Bakshi, A.; Panigrahi, A.K. Chromium Contamination in Soil and Its Bioremediation: An Overview. In Advances in Bioremediation and Phytoremediation for Sustainable Soil Management: Principles, Monitoring and Remediation; Malik, J.A., Ed.; Springer International Publishing: Cham, Switzerland, 2022; pp. 229–248. [Google Scholar]
- Wang, Y.; Su, H.; Gu, Y.; Song, X.; Zhao, J. Carcinogenicity of chromium and chemoprevention: A brief update. Onco Targets Ther. 2017, 10, 4065–4079. [Google Scholar] [CrossRef] [PubMed]
- Alam, S.; Velayudhan, S.M.; Bateki, C.A.; Malik, P.K.; Bhatta, R.; Buerkert, A.; König, S.; Schlecht, E. Seasonal variation in heavy metal intake and excretion by dairy cattle in an Indian megacity. Lives Sci. 2024, 286, 105520. [Google Scholar] [CrossRef]
- Mir, A.R.; Pichtel, J.; Hayat, S. Copper: Uptake, toxicity and tolerance in plants and management of Cu-contaminated soil. BioMetals 2021, 34, 737–759. [Google Scholar] [CrossRef] [PubMed]
- Sammons, S.; Brady, D.; Vahdat, L.; Salama, A. Copper suppression as cancer therapy: The rationale for copper chelating agents in BRAF mutated melanoma. Melanoma Manag. 2016, 3, 207–216. [Google Scholar] [CrossRef]
- Wenting, E.; Siepel, H.; Jansen, P.A. Variability of the ionome of wild boar (Sus scrofa) and red deer (Cervus elaphus) in a Dutch national park, with implications for biomonitoring. Biol. Trace Elem. Res. 2024, 202, 2518–2546. [Google Scholar] [CrossRef]
- Cai, L.-M.; Wang, Q.-S.; Luo, J.; Chen, L.-G.; Zhu, R.-L.; Wang, S.; Tang, C.-H. Heavy metal contamination and health risk assessment for children near a large Cu-smelter in central China. Sci. Total Environ. 2019, 650, 725–733. [Google Scholar] [CrossRef]
- Pan, J.; Zheng, N.; An, Q.; Li, Y.; Sun, S.; Wang, S.; Ji, Y.; Li, N. The effects of cadmium-copper stress on the accumulation of antibiotic-resistance genes in soil and pakchoi leaves. Soil. Biol. Biochem. 2024, 191, 109362. [Google Scholar] [CrossRef]
- Liu, H.; Yu, Z.; Wu, Z.; Xu, X. Characterization of red mud-based curing agent for curing high concentration copper contaminated soil. Int. J. Energy 2024, 4, 22–26. [Google Scholar] [CrossRef]
- Huang, Y.; Chen, Q.; Deng, M.; Japenga, J.; Li, T.; Yang, X.; He, Z. Heavy metal pollution and health risk assessment of agricultural soils in a typical peri-urban area in southeast China. J. Environ. Manag. 2018, 207, 159–168. [Google Scholar] [CrossRef]
- Schoofs, H.; Schmit, J.; Rink, L. Zinc Toxicity: Understanding the Limits. Molecules 2024, 29, 3130. [Google Scholar] [CrossRef]
- Hacisalihoglu, G. Zinc (Zn): The last nutrient in the alphabet and shedding light on Zn efficiency for the future of crop production under suboptimal Zn. Plants 2020, 9, 1471. [Google Scholar] [CrossRef] [PubMed]
- Sun, T.; Sun, J.; Liu, Y.; Ren, Y.; Li, Y.; Shi, C.; Nasr, A.; Tang, Z.; Abozeid, A. Metabolome and transcriptome analyses provide new insights into the mechanisms underlying the enhancement of medicinal component content in the roots of Acanthopanax senticosus (Rupr. et Maxim.) Harms through foliar application of zinc fertilizer. Front. Genet. 2023, 14, 1259674. [Google Scholar] [CrossRef] [PubMed]
- Shinde, D.; Mahajan, D.; Pawar, A.; Kale, M.; Chakane, S. Trace Metal Accumulation in Water, Soil and Crop Plants along the Basin of Ujjani Reservoir, India. Adv. Zool. Bot. 2020, 8, 453–460. [Google Scholar] [CrossRef]
- Li, X.; Zhou, Y.; Zhang, J. Status and associated human health risk of zinc accumulation in agricultural soils across China. Process Saf. Environ. 2021, 146, 867–876. [Google Scholar] [CrossRef]
- Reimann, C.; Fabian, K.; Flem, B.; Englmaier, P. The large-scale distribution of Cu and Zn in sub- and topsoil: Separating topsoil bioaccumulation and natural matrix effects from diffuse and regional contamination. Sci. Total Environ. 2019, 655, 730–740. [Google Scholar] [CrossRef]
- Kaur, H.; Garg, N. Zinc toxicity in plants: A review. Planta 2021, 253, 129. [Google Scholar] [CrossRef]
- Mai, X.; Tang, J.; Tang, J.; Zhu, X.; Yang, Z.; Liu, X.; Zhuang, X.; Feng, G.; Tang, L. Research progress on the environmental risk assessment and remediation technologies of heavy metal pollution in agricultural soil. J. Environ. Sci. 2025, 149, 1–20. [Google Scholar] [CrossRef]
- Azhar, U.; Ahmad, H.; Shafqat, H.; Babar, M.; Shahzad Munir, H.M.; Sagir, M.; Arif, M.; Hassan, A.; Rachmadona, N.; Rajendran, S.; et al. Remediation techniques for elimination of heavy metal pollutants from soil: A review. Environ. Res. 2022, 214, 113918. [Google Scholar] [CrossRef]
- Odirile, P.T.; Obuseng, V.C.; Moshoeshoe, M.; Tshenyego, L.; Mbongwe, B. Assessment of faecal sludge quality, heavy metal contamination, and ecological risk: Implications for sustainable agriculture. Environ. Monit. Assess. 2024, 196, 1270. [Google Scholar] [CrossRef]
- Peng, S.; Zhang, H.; Song, D.; Chen, H.; Lin, X.; Wang, Y.; Ji, L. Distribution of antibiotic, heavy metals and antibiotic resistance genes in livestock and poultry feces from different scale of farms in Ningxia, China. J. Hazard Mater. 2022, 440, 129719. [Google Scholar] [CrossRef]
- Huang, J.; Wang, Z.; Chen, Z.; Liang, H.; Li, X.; Li, B. Occurrence and removal of antibiotic resistance in nationwide hospital wastewater deciphered by metagenomics approach—China, 2018-2022. China CDC Wkly. 2023, 5, 1023–1028. [Google Scholar] [CrossRef]
- Wang, F.Q. Quantitative Methods and Applications in GIS, 1st ed.; CRC Press: Boca Raton, FL, USA, 2006. [Google Scholar] [CrossRef]
- Pei, R.; Kim, S.C.; Carlson, K.H.; Pruden, A. Effect of river landscape on the sediment concentrations of antibiotics and corresponding antibiotic resistance genes (ARG). Water Res. 2006, 40, 2427–2435. [Google Scholar] [CrossRef]
- Zhao, W.; Wang, B.; Yu, G. Antibiotic resistance genes in China: Occurrence, risk, and correlation among different parameters. Environ. Sci. Pollut. Res. 2018, 25, 21467–21482. [Google Scholar] [CrossRef] [PubMed]
- Cedeño-Muñoz, J.S.; Aransiola, S.A.; Reddy, K.V.; Ranjit, P.; Victor-Ekwebelem, M.O.; Oyedele, O.J.; Pérez-Almeida, I.B.; Maddela, N.R.; Rodríguez-Díaz, J.M. Antibiotic resistant bacteria and antibiotic resistance genes as contaminants of emerging concern: Occurrences, impacts, mitigations and future guidelines. Sci. Total Environ. 2024, 952, 175906. [Google Scholar] [CrossRef] [PubMed]
- An, X.-L.; Su, J.-Q.; Li, B.; Ouyang, W.-Y.; Zhao, Y.; Chen, Q.-L.; Cui, L.; Chen, H.; Gillings, M.R.; Zhang, T.; et al. Tracking antibiotic resistome during wastewater treatment using high throughput quantitative PCR. Environ. Int. 2018, 117, 146–153. [Google Scholar] [CrossRef] [PubMed]
- Hubeny, J.; Harnisz, M.; Korzeniewska, E.; Buta, M.; Zieliński, W.; Rolbiecki, D.; Giebułtowicz, J.; Nałęcz-Jawecki, G.; Płaza, G. Industrialization as a source of heavy metals and antibiotics which can enhance the antibiotic resistance in wastewater, sewage sludge and river water. PLoS ONE 2021, 16, e0252691. [Google Scholar] [CrossRef]
- Li, H.; Tan, L.; Zhang, C.; Wei, X.; Wang, Q.; Li, Q.; Zheng, X.; Xu, Y. Spatial distribution of bacterial resistance towards antibiotics of rural sanitation system in China and its potential link with diseases incidence. J. Environ. Sci. 2023, 127, 361–374. [Google Scholar] [CrossRef]










| Place | Spring March | Summer August | Autumn October | Winter January | Economic Activity | Mean Summer Temp. (°C) | Mean Winter Temp. (°C) |
|---|---|---|---|---|---|---|---|
| Wuhu, Anhui Province | ① (2019) | ② (2019) | ③ (2019) | - | Manufacturing | 32 | 2 |
| Fuyang, Anhui Province | - | - | - | ④ (2020) | Agriculture | 33 | 1 |
| Nanning, Guangxi Province | - | ⑤ (2020) | - | ⑥ (2019) | Trading | 34 | 10 |
| Nanjing, Jiangsu Province | - | ⑦ (2020) | ⑧ (2020) | ⑨ (2020) | Technology | 32 | 0 |
Disclaimer/Publisher’s Note: The statements, opinions and data contained in all publications are solely those of the individual author(s) and contributor(s) and not of MDPI and/or the editor(s). MDPI and/or the editor(s) disclaim responsibility for any injury to people or property resulting from any ideas, methods, instructions or products referred to in the content. |
© 2025 by the authors. Licensee MDPI, Basel, Switzerland. This article is an open access article distributed under the terms and conditions of the Creative Commons Attribution (CC BY) license (https://creativecommons.org/licenses/by/4.0/).
Share and Cite
Lin, L.; Shen, Y.; Ding, G.; Alghashm, S.; Aye, S.L.; Li, X. Spatial and Temporal Distribution of Conversational and Emerging Pollutants in Fecal Sludge from Rural Toilets, China. Sustainability 2025, 17, 7088. https://doi.org/10.3390/su17157088
Lin L, Shen Y, Ding G, Alghashm S, Aye SL, Li X. Spatial and Temporal Distribution of Conversational and Emerging Pollutants in Fecal Sludge from Rural Toilets, China. Sustainability. 2025; 17(15):7088. https://doi.org/10.3390/su17157088
Chicago/Turabian StyleLin, Lin, Yilin Shen, Guoji Ding, Shakib Alghashm, Seinn Lei Aye, and Xiaowei Li. 2025. "Spatial and Temporal Distribution of Conversational and Emerging Pollutants in Fecal Sludge from Rural Toilets, China" Sustainability 17, no. 15: 7088. https://doi.org/10.3390/su17157088
APA StyleLin, L., Shen, Y., Ding, G., Alghashm, S., Aye, S. L., & Li, X. (2025). Spatial and Temporal Distribution of Conversational and Emerging Pollutants in Fecal Sludge from Rural Toilets, China. Sustainability, 17(15), 7088. https://doi.org/10.3390/su17157088

