The Synergistic Evolution and Coordination of the Water–Energy–Food Nexus in Northeast China: An Integrated Multi-Method Assessment
Abstract
1. Introduction
1.1. Background
1.2. Literature Review
1.3. Novelty
2. Materials and Methods
2.1. Study Area
2.2. WEF Indicator System
2.3. Coupling Coordination Evaluation Method
2.3.1. Indicator Normalization
2.3.2. Comprehensive Weighting Method
2.3.3. Coupling Coordination Degree
- (1)
- Coupling Degree (C)
- (2)
- Comprehensive Development Index (T)
- (3)
- Coordination Degree (CCD)
2.4. Obstacle Degree and Grey Relational Models
2.4.1. Obstacle Degree Model
2.4.2. Grey Relational Analysis Method
- (1)
- Construction of the Reference and Comparison Sequences
- (2)
- Calculation of the Grey Relational Coefficient
- (3)
- Calculation of the Grey Relational Degree
2.5. Co-Evolutionary Model
2.5.1. Model Construction
2.5.2. Stability Analysis of the Co-Evolution Model
2.5.3. Optimization Objective and Parameter Estimation
2.5.4. Equilibrium Point
3. Results
3.1. Evolutionary Analysis of the CCD of the WEF System in Northeast China
3.1.1. Evolutionary Analysis of the CCD in the WEF Subsystems
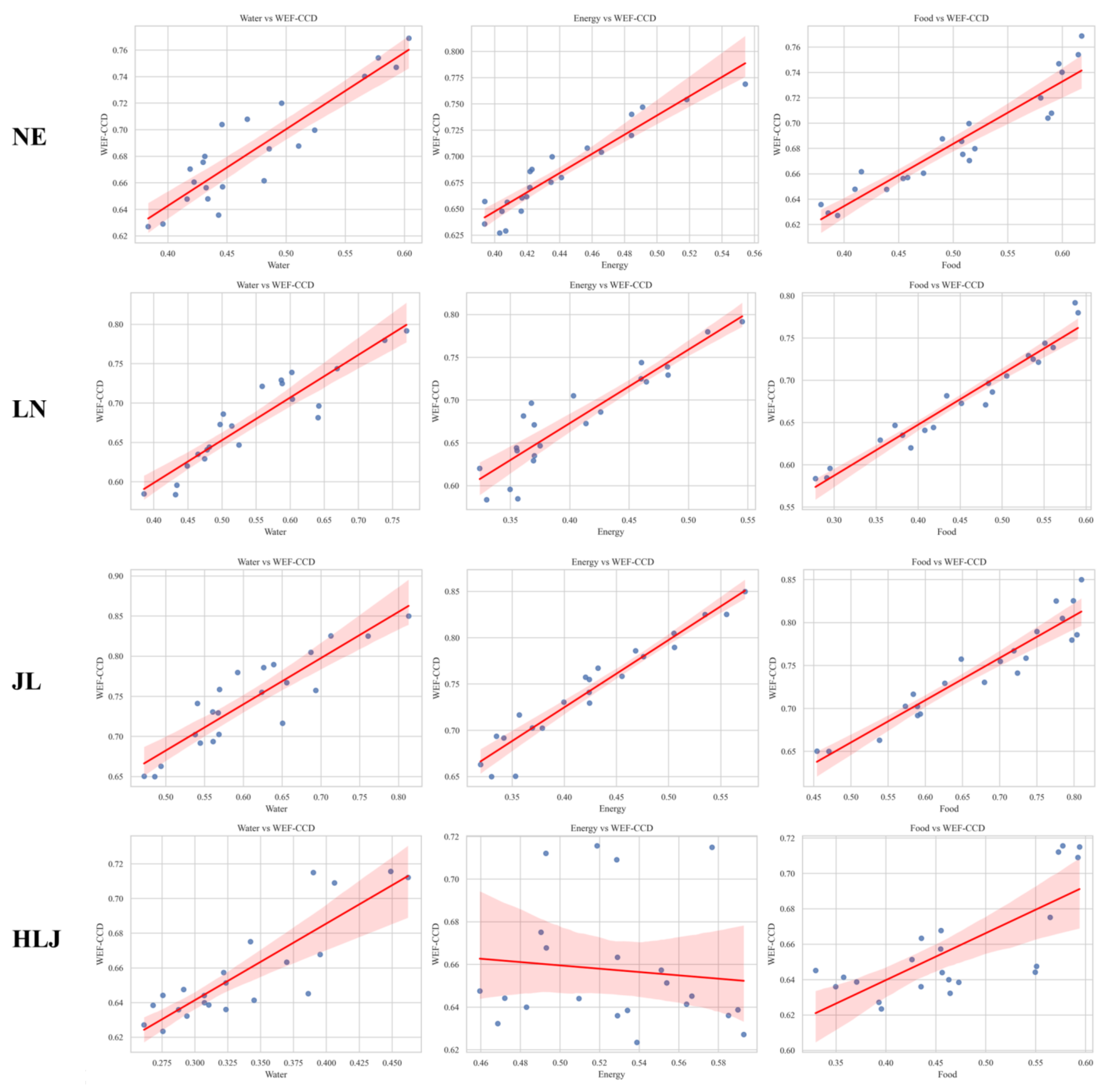
3.1.2. Evolutionary Analysis of the WEF-CCD at the Provincial Level
3.2. Obstacle Degree and Grey Relational Analysis
3.2.1. Obstacle Degree Analysis
3.2.2. Grey Relational Analysis
3.3. Co-Evolution Results of the WEF System in Northeast China
3.3.1. Analysis of Competition and Cooperation Among WEF Subsystems
3.3.2. Analysis of Competition and Cooperation Among Three Northeastern Provinces
4. Discussion
4.1. Relationship Between WEF Subsystems and WEF-CCD
4.2. Policy Recommendations
4.3. Limitations
5. Conclusions
Author Contributions
Funding
Data Availability Statement
Acknowledgments
Conflicts of Interest
Appendix A
Appendix A.1. Determination of the Stability of Equilibrium Points
Appendix A.2. Data Sources and Calculation Methods for WEF Indicators
| Code | Acquisition Method | Data Source or Calculation Formula |
|---|---|---|
| W1 | Statistical Data | 1 Liaoning, Jilin, Heilongjiang Water Resources Bulletin; 2 China Water Resources Statistical Yearbook; 3 Songliao River Basin Water Resources Bulletin |
| W2 | Statistical Data | |
| W3 | Statistical Data | |
| W4 | Statistical Data | |
| W5 | Calculated | Groundwater supply/Total water supply; Sources: 1, 2, 3 |
| W6 | Calculated | Ecological water use/Total water use; Sources: 1, 2, 3 |
| W7 | Calculated | Total water use/Total population; Sources: 1, 2, 3, 4, 5 |
| W8 | Calculated | Total water resources/Total population; Sources: 1, 2, 3, 4, 5 |
| W9 | Calculated | Total water use/GDP (CNY 10,000); Sources: 1, 2, 3, 4, 5 |
| W10 | Calculated | Total water resources/Total water use; Sources: 1, 2, 3 |
| E1 | Statistical Data | 4 Liaoning, Jilin, Heilongjiang Statistical Yearbook; |
| E2 | Statistical Data | 5 China Statistical Yearbook; |
| E3 | Statistical Data | 6 China Energy Statistical Yearbook |
| E4 | Calculated | Coal consumption/Total energy consumption; Sources: 4, 5, 6 |
| E5 | Calculated | Clean energy generation/Total electricity generation; Sources: 4, 5, 6 |
| E6 | Calculated | Average growth rate of energy production/Average growth rate of GDP; Sources: 4, 5, 6 |
| E7 | Calculated | Average growth rate of energy consumption/Average growth rate of GDP; Sources: 4, 5, 6 |
| E8 | Calculated | Energy consumption/GDP (10,000 CNY); Sources: 4, 5, 6 |
| E9 | Calculated | Energy consumption/Total population; Sources: 4, 5, 6 |
| E10 | Calculated | Energy production/Energy consumption; Sources: 4, 5, 6 |
| F1 | Statistical Data | 1 Liaoning, Jilin, Heilongjiang Water Resources Bulletin; |
| F2 | Statistical Data | 4 Liaoning, Jilin, Heilongjiang Statistical Yearbook; |
| F3 | Statistical Data | 5 China Statistical Yearbook; |
| F4 | Statistical Data | 7 China Rural Statistical Yearbook; |
| F5 | Calculated | Food production/Agricultural water use; Sources: 1, 4, 5 |
| F6 | Calculated | Food production/Sown area; Sources: 4, 5 |
| F7 | Calculated | Agricultural water use/Total water use; Sources: 1, 2, 3 |
| F8 | Calculated | Sown area/Cultivated land area; Sources: 4, 5 |
| F9 | Calculated | Agricultural water use/Primary industry GDP (10,000 CNY); Sources: 1, 2, 3, 4, 5, 7 |
| F10 | Calculated | Food production/Food consumption; Sources: 4, 5, 7 |
References
- Keairns, D.L.; Darton, R.C.; Irabien, A. The energy-water-food nexus. Annu. Rev. Chem. Biomol. Eng. 2016, 7, 239–262. [Google Scholar] [CrossRef] [PubMed]
- Elmqvist, T.; Andersson, E.; Frantzeskaki, N.; McPhearson, T.; Olsson, P.; Gaffney, O.; Folke, C. Sustainability and resilience for transformation in the urban century. Nat. Sustain. 2019, 2, 267–273. [Google Scholar] [CrossRef]
- Thacker, S.; Adshead, D.; Fay, M.; Hallegatte, S.; Harvey, M.; Meller, H.; Hall, J.W. Infrastructure for sustainable development. Nat. Sustain. 2019, 2, 324–331. [Google Scholar] [CrossRef]
- Jalilov, S.M.; Keskinen, M.; Varis, O.; Amer, S.; Ward, F.A. Managing the water–energy–food nexus: Gains and losses from new water development in Amu Darya River Basin. J. Hydrol. 2016, 539, 648–661. [Google Scholar] [CrossRef]
- Hao, L.; Wang, P.; Yu, J.; Ruan, H. An integrative analytical framework of water-energy-food security for sustainable development at the country scale: A case study of five Central Asian countries. J. Hydrol. 2022, 607, 127530. [Google Scholar] [CrossRef]
- Al-Saidi, M.; Elagib, N.A. Towards understanding the integrative approach of the water, energy and food nexus. Sci. Total Environ. 2017, 574, 1131–1139. [Google Scholar] [CrossRef] [PubMed]
- White, D.J.; Hubacek, K.; Feng, K.; Sun, L.; Meng, B. The Water-Energy-Food Nexus in East Asia: A tele-connected value chain analysis using inter-regional input-output analysis. Appl. Energy 2018, 210, 550–567. [Google Scholar] [CrossRef]
- Karabulut, A.; Egoh, B.N.; Lanzanova, D.; Grizzetti, B.; Bidoglio, G.; Pagliero, L.; Mubareka, S. Mapping water provisioning services to support the ecosystem–water–food–energy nexus in the Danube river basin. Ecosyst. Serv. 2016, 17, 278–292. [Google Scholar] [CrossRef]
- Wa’el, A.H.; Memon, F.A.; Savic, D.A. A risk-based assessment of the household water-energy-food nexus under the impact of seasonal variability. J. Clean. Prod. 2018, 171, 1275–1289. [Google Scholar]
- Scanlon, B.R.; Ruddell, B.L.; Reed, P.M.; Hook, R.I.; Zheng, C.; Tidwell, V.C.; Siebert, S. The food-energy-water nexus: Transforming science for society. Water Resour. Res. 2017, 53, 3550–3556. [Google Scholar] [CrossRef]
- D’Odorico, P.; Davis, K.F.; Rosa, L.; Carr, J.A.; Chiarelli, D.; Dell’Angelo, J.; Rulli, M.C. The global food-energy-water nexus. Rev. Geophys. 2018, 56, 456–531. [Google Scholar] [CrossRef]
- Ju, K.; Wang, J.; Wei, X.; Li, H.; Xu, S. A comprehensive evaluation of the security of the water-energy-food systems in China. Sustain. Prod. Consum. 2023, 39, 145–161. [Google Scholar] [CrossRef]
- Zheng, D.; An, Z.; Yan, C.; Wu, R. Spatial-temporal characteristics and influencing factors of food production efficiency based on WEF nexus in China. J. Clean. Prod. 2022, 330, 129921. [Google Scholar] [CrossRef]
- Samadi-Foroushani, M.; Keyhanpour, M.J.; Musavi-Jahromi, S.H.; Ebrahimi, H. Integrated water resources management based on water governance and water-food-energy nexus through system dynamics and social network analyzing approaches. Water Resour. Manag. 2022, 36, 6093–6113. [Google Scholar] [CrossRef]
- Wang, X.; Dong, Z.; Sušnik, J. System dynamics modelling to simulate regional water-energy-food nexus combined with the society-economy-environment system in Hunan Province, China. Sci. Total Environ. 2023, 863, 160993. [Google Scholar] [CrossRef] [PubMed]
- Xia, Q.; Tian, G.; Zhao, D.; Zhao, Q.; Varis, O. Effects of new-type urbanization on resource pressure: Evidence from a water-energy-food system perspective in China. Sustain. Cities Soc. 2024, 107, 105411. [Google Scholar] [CrossRef]
- Tabatabaie, S.M.H.; Murthy, G.S. Development of an input-output model for food-energy-water nexus in the pacific northwest, USA. Resour. Conserv. Recycl. 2021, 168, 105267. [Google Scholar] [CrossRef]
- Saray, M.H.; Baubekova, A.; Gohari, A.; Eslamian, S.S.; Klove, B.; Haghighi, A.T. Optimization of Water-Energy-Food Nexus considering CO2 emissions from cropland: A case study in northwest Iran. Appl. Energy 2022, 307, 118236. [Google Scholar] [CrossRef]
- Armengot, L.; Beltrán, M.J.; Schneider, M.; Simón, X.; Pérez-Neira, D. Food-energy-water nexus of different cacao production systems from a LCA approach. J. Clean. Prod. 2021, 304, 126941. [Google Scholar] [CrossRef]
- Del Borghi, A.; Tacchino, V.; Moreschi, L.; Matarazzo, A.; Gallo, M.; Vazquez, D.A. Environmental assessment of vegetable crops towards the water-energy-food nexus: A combination of precision agriculture and life cycle assessment. Ecol. Indic. 2022, 140, 109015. [Google Scholar] [CrossRef]
- Li, J.; Yu, Y.; Wang, X.; Zhou, Z. System dynamic relationship between service water and food: Case study at Jinghe River Basin. J. Clean. Prod. 2022, 330, 129794. [Google Scholar] [CrossRef]
- Li, X.; Zhang, L.; Hao, Y.; Zhang, P.; Xiong, X.; Shi, Z. System dynamics modeling of food-energy-water resource security in a megacity of China: Insights from the case of Beijing. J. Clean. Prod. 2022, 355, 131773. [Google Scholar] [CrossRef]
- Ravar, Z.; Zahraie, B.; Sharifinejad, A.; Gozini, H.; Jafari, S. System dynamics modeling for assessment of water–food–energy resources security and nexus in Gavkhuni basin in Iran. Ecol. Indic. 2020, 108, 105682. [Google Scholar] [CrossRef]
- Sušnik, J.; Masia, S.; Indriksone, D.; Brēmere, I.; Vamvakeridou-Lydroudia, L. System dynamics modelling to explore the impacts of policies on the water-energy-food-land-climate nexus in Latvia. Sci. Total Environ. 2021, 775, 145827. [Google Scholar] [CrossRef] [PubMed]
- Barati, A.A.; Pour, M.D.; Sardooei, M.A. Water crisis in Iran: A system dynamics approach on water, energy, food, land and climate (WEFLC) nexus. Sci. Total Environ. 2023, 882, 163549. [Google Scholar] [CrossRef] [PubMed]
- Wu, L.; Elshorbagy, A.; Pande, S.; Zhuo, L. Trade-offs and synergies in the water-energy-food nexus: The case of Saskatchewan, Canada. Resour. Conserv. Recycl. 2021, 164, 105192. [Google Scholar] [CrossRef]
- Ghani, H.U.; Silalertruksa, T.; Gheewala, S.H. Water-energy-food nexus of bioethanol in Pakistan: A life cycle approach evaluating footprint indicators and energy performance. Sci. Total Environ. 2019, 687, 867–876. [Google Scholar] [CrossRef] [PubMed]
- Wang, C.; Chen, Y.; Sun, M.; Wu, J. Potential of technological innovation to reduce the carbon footprint of urban facility agriculture: A food–energy–water–waste nexus perspective. J. Environ. Manag. 2023, 339, 117806. [Google Scholar] [CrossRef] [PubMed]
- Qi, Y.; Farnoosh, A.; Lin, L.; Liu, H. Coupling coordination analysis of China’s provincial water-energy-food nexus. Environ. Sci. Pollut. Res. 2022, 29, 1–11. [Google Scholar]
- Song, S.; Chen, X.; Liu, T.; Zan, C.; Hu, Z.; Huang, S.; Sun, Y. Indicator-based assessments of the coupling coordination degree and correlations of water-energy-food-ecology nexus in Uzbekistan. J. Environ. Manag. 2023, 345, 118674. [Google Scholar] [CrossRef] [PubMed]
- Wang, S.; Yang, J.; Wang, A.; Liu, T.; Du, S.; Liang, S. Coordinated analysis and evaluation of water–energy–food coupling: A case study of the Yellow River basin in Shandong Province, China. Ecol. Indic. 2023, 148, 110138. [Google Scholar] [CrossRef]
- Fu, N.; Liu, D.; Liu, H.; Pan, B.; Ming, G.; Huang, Q. Evaluation of the coupled coordination of the water–energy–food–ecology system based on the sustainable development goals in the upper Han River of China. Agronomy 2024, 14, 706. [Google Scholar] [CrossRef]
- Lv, Y.; Li, Y.; Zhang, Z.; Luo, S.; Feng, X.; Chen, X. Spatio-temporal evolution pattern and obstacle factors of water-energy-food nexus coupling coordination in the Yangtze river economic belt. J. Clean. Prod. 2024, 444, 141229. [Google Scholar] [CrossRef]
- Hu, Y.; Duan, W.; Zou, S.; Chen, Y.; De Maeyer, P.; Van de Voorde, T.; Goethals, P.L. Coupling coordination analysis of the water-food-energy-carbon nexus for crop production in Central Asia. Appl. Energy 2024, 369, 123584. [Google Scholar] [CrossRef]
- Wa’el, A.H.; Memon, F.A.; Savic, D.A. An integrated model to evaluate water-energy-food nexus at a household scale. Environ. Model. Softw. 2017, 93, 366–380. [Google Scholar]
- Li, M.; Fu, Q.; Singh, V.P.; Ji, Y.; Liu, D.; Zhang, C.; Li, T. An optimal modelling approach for managing agricultural water-energy-food nexus under uncertainty. Sci. Total Environ. 2019, 651, 1416–1434. [Google Scholar] [CrossRef] [PubMed]
- Zhang, X.; Vesselinov, V.V. Integrated modeling approach for optimal management of water, energy and food security nexus. Adv. Water Resour. 2017, 101, 1–10. [Google Scholar] [CrossRef]
- Bellezoni, R.A.; Sharma, D.; Villela, A.A.; Junior, A.O.P. Water-energy-food nexus of sugarcane ethanol production in the state of Goiás, Brazil: An analysis with regional input-output matrix. Biomass Bioenergy 2018, 115, 108–119. [Google Scholar] [CrossRef]
- Sánchez-Zarco, X.G.; Ponce-Ortega, J.M. Water-energy-food-ecosystem nexus: An optimization approach incorporating life cycle, security and sustainability assessment. J. Clean. Prod. 2023, 414, 137534. [Google Scholar] [CrossRef]
- Wen, C.; Dong, W.; Zhang, Q.; He, N.; Li, T. A system dynamics model to simulate the water-energy-food nexus of resource-based regions: A case study in Daqing City, China. Sci. Total Environ. 2022, 806, 150497. [Google Scholar] [CrossRef] [PubMed]
- Du, S.; Liu, G.; Li, H.; Zhang, W.; Santagata, R. System dynamic analysis of urban household food-energy-water nexus in Melbourne (Australia). J. Clean. Prod. 2022, 379, 134675. [Google Scholar] [CrossRef]
- Yue, Q.; Guo, P. Managing agricultural water-energy-food-environment nexus considering water footprint and carbon footprint under uncertainty. Agric. Water Manag. 2021, 252, 106899. [Google Scholar] [CrossRef]
- Mondal, K.; Chatterjee, C.; Singh, R. Examining the coupling and coordination of water-energy-food nexus at a sub-national scale in India–Insights from the perspective of Sustainable Development Goals. Sustain. Prod. Consum. 2023, 43, 140–154. [Google Scholar] [CrossRef]
- Wang, Y.; Song, J.; Zhang, X.; Sun, H.; Bai, H. Coupling coordination evaluation of water-energy-food and poverty in the Yellow River Basin, China. J. Hydrol. 2022, 614, 128461. [Google Scholar] [CrossRef]
- Cheng, Y.; Wang, J.; Shu, K. The coupling and coordination assessment of food-water-energy systems in China based on sustainable development goals. Sustain. Prod. Consum. 2023, 35, 338–348. [Google Scholar] [CrossRef]
- Qin, Q.; He, W.; Yuan, L.; Degefu, D.M.; Ramsey, T.S. Coupled and coordinated development of water-energy-food-ecology-land system in the Yangtze River Delta, China. npj Clean Water 2025, 8, 1–12. [Google Scholar] [CrossRef]
- Marouani, I.E.; Khomsi, K.; Mohtar, R.; Khalis, M. The WEF HEALTH NEXUS: Assessment of Strategies & Co-Benefits in the Eastern Mediterranean Region. ISEE Conf. Abstr. 2023, 2023. [Google Scholar] [CrossRef]
- Devlin, L.; Goralnik, M.; Ross, W.G., Jr.; Tart, K.T. Climate Change and Public Health in North Carolina: A Unique State Offers a Unique Perspective. Environ. Health Perspect. 2014, 122, A146–A147. [Google Scholar] [CrossRef] [PubMed]
- Di Giuseppe, A.; Gambelli, A.M.; Rossi, F.; Nicolini, A.; Ceccarelli, N.; Palliotti, A. Insulating Organic Material as a Protection System against Late Frost Damages on the Vine Shoots. Sustainability 2020, 12, 6279. [Google Scholar] [CrossRef]
- Yao, Q.; Cao, H.; Zhang, R. Water–Energy–Land–Food Nexus Performance and Regional Inequality Toward Low-Carbon Transition in China. Land 2025, 14, 1343. [Google Scholar] [CrossRef]
- Chang, H.; Zhao, Y.; Cao, Y.; Ren, H.; Yao, J.; Liu, R.; Li, W. Evaluating Coupling Security and Joint Risks in Northeast China Agricultural Systems Based on Copula Functions and the Rel–Cor–Res Framework. Agriculture 2025, 15, 1338. [Google Scholar] [CrossRef]
- Herrera-Franco, G.; Bollmann, H.A.; Lofhagen, J.C.P.; Bravo-Montero, L.; Carrión-Mero, P. Approach on Water-Energy-Food (WEF) Nexus and Climate Change: A Tool in Decision-Making Processes. Environ. Dev. 2023, 46, 100858. [Google Scholar] [CrossRef]
- Sun, C.Z.; Hao, S. Research on the Competitive and Synergistic Evolution of the Water–Energy–Food System in China. J. Clean. Prod. 2022, 365, 132680. [Google Scholar] [CrossRef]
- Chang, H.; Cao, Y.; Zhao, Y.; He, G.; Wang, Q.; Yao, J.; Ren, H.; Yang, H.; Hong, Z. Competitive and synergic evolution of the water–food–ecology system: A case study of the Beijing–Tianjin–Hebei region, China. Sci. Total Environ. 2024, 923, 171509. [Google Scholar] [CrossRef] [PubMed]
- Chang, H.; Zhao, Y.; Cao, Y.; He, G.; Wang, Q.; Liu, R.; Li, W. Evaluating Sustainability of Water–Energy–Food–Ecosystems Nexus in Water-Scarce Regions via Coupled Simulation Model. Agriculture 2025, 15, 1271. [Google Scholar] [CrossRef]
- Li, W.; Jiang, S.; Zhao, Y.; Li, H.; Zhu, Y.; He, G.; Xu, Y.; Shang, Y. A copula-based security risk evaluation and probability calculation for water–energy–food nexus. Sci. Total Environ. 2023, 856, 159236. [Google Scholar] [CrossRef] [PubMed]
- Chang, H.; Zhang, B.; Han, J.; Zhao, Y.; Cao, Y.; Yao, J.; Shi, L. Evaluation of the coupling coordination and sustainable development of water–energy–land–food system on a 40-year scale: A case study of Hebei, China. Land 2024, 13, 1089. [Google Scholar] [CrossRef]
- Zhao, Z. The Coupling Mechanism of “Water Resources–Water Environment–Social Economy” Complex System and Industrial Structure Regulation Strategy in the Yangtze River Economic Belt. Ph.D. Thesis, Beijing Normal University, Beijing, China, 2021. (In Chinese). [Google Scholar]













| Target Layer | Criterion Layer | Indicator | Dimensions | Unit | Attribute | Code | Weight |
|---|---|---|---|---|---|---|---|
| WEF-CCD | Water-CCD | Precipitation | Resources | mm | + | W1 | 0.071 |
| Total Water Resources | Resources | 108 m3 | + | W2 | 0.084 | ||
| Reservoir Capacity | Resources | 108 m3 | + | W3 | 0.116 | ||
| Total Water Use | Resources | 108 m3 | − | W4 | 0.104 | ||
| Proportion of Groundwater Supply | Efficiency | % | − | W5 | 0.069 | ||
| Proportion of Ecological Water Use | Efficiency | % | + | W6 | 0.117 | ||
| Per Capita Water Use | Efficiency | m3/person | − | W7 | 0.156 | ||
| Per Capita Water Resources | Efficiency | m3/person | + | W8 | 0.089 | ||
| Water Use per CNY 10,000 of GDP | Efficiency | m3/CNY 10,000 | − | W9 | 0.124 | ||
| Water Self-Sufficiency Rate | Efficiency | % | + | W10 | 0.071 | ||
| Energy-CCD | Primary Energy Production | Resources | 104 tce (tons of coal equivalent) | + | E1 | 0.095 | |
| Total Energy Consumption | Resources | 104 tce | − | E2 | 0.149 | ||
| Electricity Generation | Resources | 108 kWh | + | E3 | 0.138 | ||
| Proportion of Coal in Energy Consumption | Efficiency | % | − | E4 | 0.103 | ||
| Proportion of Clean Energy in Power Generation | Efficiency | % | + | E5 | 0.117 | ||
| Energy Production Elasticity Coefficient | Efficiency | % | + | E6 | 0.02 | ||
| Energy Consumption Elasticity Coefficient | Efficiency | % | − | E7 | 0.026 | ||
| Energy Consumption per CNY 10,000 of GDP | Efficiency | 104 tce/CNY 10,000 | − | E8 | 0.111 | ||
| Per Capita Energy Consumption | Efficiency | tce/person | − | E9 | 0.086 | ||
| Energy Self-Sufficiency Rate | Efficiency | % | + | E10 | 0.156 | ||
| Food-CCD | Food Production | Resources | 104 tons | + | F1 | 0.078 | |
| Food Sown Area | Resources | 103 ha | + | F2 | 0.093 | ||
| Effectively Irrigated Area | Resources | 103 ha | + | F3 | 0.069 | ||
| Agricultural Fertilizer Application | Resources | 104 tons | + | F4 | 0.096 | ||
| Food Production Water Efficiency | Efficiency | kg/m3 | + | F5 | 0.111 | ||
| Food Yield per Sown Area | Efficiency | kg/ha | + | F6 | 0.077 | ||
| Proportion of Agricultural Water Use | Efficiency | % | − | F7 | 0.119 | ||
| Multiple Cropping Index | Efficiency | % | + | F8 | 0.101 | ||
| Water Use per CNY 10,000 of Primary Industry GDP | Efficiency | m3/CNY 10,000 | − | F9 | 0.135 | ||
| Food Self-Sufficiency Rate | Efficiency | % | + | F10 | 0.12 |
| Coupling Coordination Degree | [0, 0.4) | [0.4, 0.5) | [0.5, 0.6) | [0.6, 0.7) | [0.7, 0.8) | [0.8, 0.9) | [0.9, 1] |
|---|---|---|---|---|---|---|---|
| Coordination Level | Severe Discoordination | Near Discoordination | Limited Coordination | Primary Coordination | Intermediate Coordination | Good Coordination | High-Quality Coordination |
| Equilibrium Point | p | q | r |
|---|---|---|---|
| E1(0,0,0) | 0.1086 | 0.0000 | −0.0039 |
| E2(0,0,1) | −0.0047 | 0.0000 | 0.0013 |
| E3(0,1,0) | 0.0675 | −0.0001 | 0.0010 |
| E4(1,0,0) | 0.0701 | −0.0001 | 0.0008 |
| E5(x1,x2,x3) | −0.2318 | −0.0001 | −0.0109 |
| Equilibrium Point | p | q | r |
|---|---|---|---|
| E1(0,0,0) | 0.0415 | 0.0000 | −0.0006 |
| E2(0,0,1) | 0.0338 | 0.0000 | 0.0004 |
| E3(0,1,0) | 0.0198 | 0.0000 | 0.0000 |
| E4(1,0,0) | 0.0194 | 0.0000 | 0.0002 |
| E5(x1,x2,x3) | −0.1405 | −0.0000 | −0.0053 |
Disclaimer/Publisher’s Note: The statements, opinions and data contained in all publications are solely those of the individual author(s) and contributor(s) and not of MDPI and/or the editor(s). MDPI and/or the editor(s) disclaim responsibility for any injury to people or property resulting from any ideas, methods, instructions or products referred to in the content. |
© 2025 by the authors. Licensee MDPI, Basel, Switzerland. This article is an open access article distributed under the terms and conditions of the Creative Commons Attribution (CC BY) license (https://creativecommons.org/licenses/by/4.0/).
Share and Cite
Chang, H.; Cao, Y.; Yao, J.; Ren, H.; Hong, Z.; Fang, N. The Synergistic Evolution and Coordination of the Water–Energy–Food Nexus in Northeast China: An Integrated Multi-Method Assessment. Sustainability 2025, 17, 6745. https://doi.org/10.3390/su17156745
Chang H, Cao Y, Yao J, Ren H, Hong Z, Fang N. The Synergistic Evolution and Coordination of the Water–Energy–Food Nexus in Northeast China: An Integrated Multi-Method Assessment. Sustainability. 2025; 17(15):6745. https://doi.org/10.3390/su17156745
Chicago/Turabian StyleChang, Huanyu, Yongqiang Cao, Jiaqi Yao, He Ren, Zhen Hong, and Naren Fang. 2025. "The Synergistic Evolution and Coordination of the Water–Energy–Food Nexus in Northeast China: An Integrated Multi-Method Assessment" Sustainability 17, no. 15: 6745. https://doi.org/10.3390/su17156745
APA StyleChang, H., Cao, Y., Yao, J., Ren, H., Hong, Z., & Fang, N. (2025). The Synergistic Evolution and Coordination of the Water–Energy–Food Nexus in Northeast China: An Integrated Multi-Method Assessment. Sustainability, 17(15), 6745. https://doi.org/10.3390/su17156745

