Correlation Between Packing Voids and Fatigue Performance in Sludge Gasification Slag-Cement-Stabilized Macadam
Abstract
1. Introduction
2. Materials and Methods
2.1. Preparation of ASS
2.2. Preparation and Performance Analysis of CSM
3. Results and Analyses
3.1. Cementitious Properties of ASS
3.2. Packing State of CSM
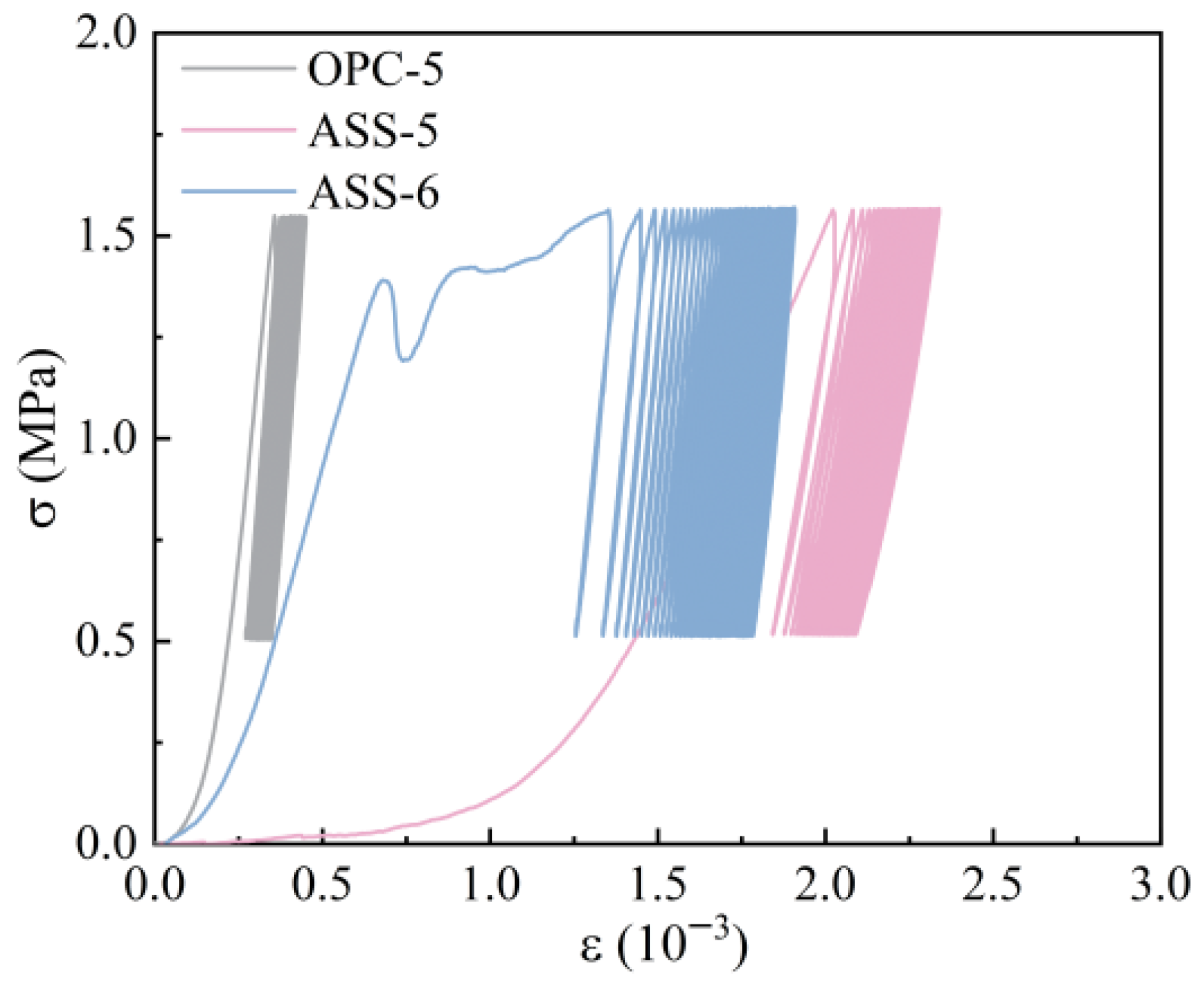
3.3. Mechanical Properties of CSM
3.4. Cost and Carbon Emissions of ASS
4. Discussion
5. Conclusions
- 1.
- ASS demonstrates excellent cementitious reactivity and long-term strength development, making it a viable alternative to ordinary Portland cement (OPC). The compressive strengths of ASS at 3 and 28 days reached 71.4 MPa and 99.8 MPa, respectively, which were 63% and 15.45% higher than those of OPC. This improvement is attributed to the continued formation of highly polymerized C-A-S-H and C-S-H gels and the sustained activation of silico-aluminate components, resulting in a denser microstructure and superior mechanical performance.
- 2.
- The use of image-based analysis revealed a clear correlation between reduced porosity and improved fatigue resistance, confirming the effectiveness of pore structure optimization. At 6% binder content, the void ratio of the ASS system was 3% lower than that of OPC. This improvement is attributed to the formation of dense C-A-S-H/C-S-H gels that fill inter-aggregate voids, reducing stress concentration zones and enhancing energy dissipation capacity. As a result, crack initiation and propagation under cyclic loading are effectively delayed—demonstrating a clear pore structure–energy dissipation–fatigue life linkage consistent with both image and energy response data.
- 3.
- The ASS system offers significant sustainability benefits, with a lower cost and carbon emissions than OPC. The material cost of ASS was 249.52 CNY/t, 10.9% lower than OPC, and the carbon emission was only 174.51 kg CO2 e/t—representing a 76.2% reduction. In addition to its enhanced mechanical and fatigue performance, the ASS-based CSM satisfies technical requirements for heavy-duty pavements while demonstrating considerable environmental and economic advantages, indicating strong potential for practical application.
Author Contributions
Funding
Institutional Review Board Statement
Informed Consent Statement
Data Availability Statement
Acknowledgments
Conflicts of Interest
References
- Deng, C.; Jiang, Y.; Lin, H.; Ji, X. Mechanical-strength-growth law and predictive model for cement-stabilized macadam. Constr. Build. Mater. 2019, 215, 582–594. [Google Scholar] [CrossRef]
- Lv, S.; Yuan, J.; Liu, C.; Wang, J.; Li, J.; Zheng, J. Investigation of the fatigue modulus decay in cement stabilized base material by considering the difference between compressive and tensile modulus. Constr. Build. Mater. 2019, 223, 491–502. [Google Scholar] [CrossRef]
- Ji, X.; Zheng, N.; Niu, S.; Meng, S.; Xu, Q. Development of a rutting prediction model for asphalt pavements with the use of an accelerated loading facility. Road Mater. Pavement Des. 2016, 17, 15–31. [Google Scholar] [CrossRef]
- Ji, X.; Zheng, N.; Hou, Y.; Niu, S. Application of asphalt mixture shear strength to evaluate pavement rutting with accelerated loading facility (ALF). Constr. Build. Mater. 2013, 41, 1–8. [Google Scholar] [CrossRef]
- Xuan, D.X.; Houben, L.J.M.; Molenaar, A.A.A.; Shui, Z.H. Mechanical properties of cement-treated aggregate material–a review. Mater. Des. 2012, 33, 496–502. [Google Scholar] [CrossRef]
- Song, L.; Song, Z.; Wang, C.; Wang, X.; Yu, G. Arch expansion characteristics of highway cement-stabilized macadam base in Anjiang, China. Constr. Build. Mater. 2019, 215, 264–274. [Google Scholar] [CrossRef]
- Dong, Q.; Yan, S.; Chen, X.; Dong, S.; Zhao, X.; Polaczyk, P. Review on the mesoscale characterization of cement-stabilized macadam materials. J. Road Eng. 2023, 3, 71–86. [Google Scholar] [CrossRef]
- Fu, T.; Liang, J.; Rong, H.; Li, Y.; Lin, Y. Modelling of physical and mechanical properties and adiabatic temperature rise of cement-stabilized macadam. Innov. Infrastruct. Solut. 2023, 8, 332. [Google Scholar] [CrossRef]
- Yuan, Y.; Hu, X.; Wang, K.; Liu, Z.; Zhong, M.; Meng, K. Study on Mechanical Properties of Road Cement-Stabilized Macadam Base Material Prepared with Construction Waste Recycled Aggregate. Buildings 2024, 14, 2605. [Google Scholar] [CrossRef]
- Tao, R.; Cheng, X.; Jin, Y.; Qiao, J.; Zhang, X.; Kim, D.; Liu, J. Mechanical properties of double-solid waste cement stabilized Macadam. Sci. Rep. 2025, 15, 4425. [Google Scholar] [CrossRef]
- Ismail, A.; Baghini, M.S.; Karim, M.R.; Shokri, F.; Al-Mansob, R.A.; Firoozi, A.A.; Firoozi, A. A Laboratory investigation on the strength characteristics of cement-treated base. Appl. Mech. Mater. 2014, 507, 353–360. [Google Scholar] [CrossRef]
- Hernando, D.; Del Val, M.A. Guidelines for the design of semi-rigid long-life pavements. Int. J. Pavement Res. Technol. 2016, 9, 121–127. [Google Scholar] [CrossRef]
- Zhao, K.; Zhao, L.; Hou, J.; Feng, Z.; Jiang, W. Impact of mixing methods and cement dosage on unconfined compressive strength of cement-stabilized macadam. Int. J. Concr. Struct. Mater. 2022, 16, 16. [Google Scholar] [CrossRef]
- Wang, S.; Lv, S.; Pan, Q.; Wang, P.; Deng, W.; Zhang, B.; Lei, D. Investigation on strength and fatigue performance of cement-stabilized macadam under three-dimensional stress state at different ages and cement dosages. Constr. Build. Mater. 2024, 435, 136686. [Google Scholar] [CrossRef]
- Zhang, J.; Bai, J.; Wang, S. Fatigue damage evolution rule of cement stabilized macadam used in pavement’s base course at different curing time. Constr. Build. Mater. 2022, 325, 126827. [Google Scholar] [CrossRef]
- Provis, J.L. Alkali-activated materials. Cem. Concr. Res. 2018, 114, 40–48. [Google Scholar] [CrossRef]
- Sun, J.; Hou, S.; Guo, Y.; He, W.; Cui, Y.; Zhang, P. Effects of high-temperature curing on hydration and microstructure of alkali-activated typical steel slag cementitious material. Dev. Built Environ. 2024, 17, 100314. [Google Scholar] [CrossRef]
- Wang, M.; Xu, J.; Zhang, X.; Tan, L.; Mei, Y. Mechanical Performance Optimization and Microstructural Mechanism Study of Alkali-Activated Steel Slag–Slag Cementitious Materials. Buildings 2024, 14, 1204. [Google Scholar] [CrossRef]
- Lv, T.; Zhang, J.; Tao, R.; Hou, D.; Long, W.J.; Dong, B. Performance of acid-alkali activated dredged sludge as a supplementary cementitious material. Constr. Build. Mater. 2025, 458, 139569. [Google Scholar] [CrossRef]
- He, S.; Huang, X.; Yu, P.; Zhou, Y.; Luo, Y. Mechanical properties and durability of alkali-activated fly ash-municipal sludge concrete. Constr. Build. Mater. 2024, 419, 135515. [Google Scholar] [CrossRef]
- Yan, F.; Luo, K.; Ye, J.; Zhang, W.; Chen, J.; Ren, X.; Li, J. Effect of pore structure characteristics on the properties of red mud-based alkali-activated cementitious materials. J. Sustain. Cem. Based Mater. 2024, 13, 1753–1769. [Google Scholar] [CrossRef]
- Dai, Z.; Li, J.; Yi, W.; Chen, H.; Liang, X. Preparation and performance assessment of calcium carbide slag alkali-activated red mud-based cementitious material. Mater. Today Commun. 2024, 41, 110848. [Google Scholar] [CrossRef]
- Li, Y.; Luo, Y.; Zhou, H.; Zhong, X.; Zhou, Z.; Li, J.; Hou, H. Preparation of environmental-friendly cementitious material from red mud and waste glass sludge by mechanical activation. Constr. Build. Mater. 2024, 423, 135861. [Google Scholar] [CrossRef]
- Xie, G.; Zhang, W.; Liu, J.; Liang, Z.; Xing, F. Recovery potential of municipal solid waste incineration bottom ash graded by particle size in an alkali-activated cementitious material system: Curing properties and environmental leaching risk. Constr. Build. Mater. 2024, 448, 138237. [Google Scholar] [CrossRef]
- Jamalimoghadam, M.; Vakili, A.H.; Keskin, I.; Totonchi, A.; Bahmyari, H. Solidification and utilization of municipal solid waste incineration ashes: Advancements in alkali-activated materials and stabilization techniques: A review. J. Environ. Manag. 2024, 367, 122014. [Google Scholar] [CrossRef] [PubMed]
- Lan, J.; Dong, Y.; Kai, M.F.; Hou, H.; Dai, J.G. Investigation of waste alkali-activated cementing material using municipal solid waste incineration fly ash and dravite as precursors: Mechanisms, performance, and on-site application. J. Hazard. Mater. 2024, 465, 133416. [Google Scholar] [CrossRef] [PubMed]
- Yu, Z.; Wang, B.; Li, T.; Wang, W. Toughness study of polyacrylamide-modified slag/fly ash-based alkali-activated cementitious materials. Constr. Build. Mater. 2024, 450, 138622. [Google Scholar] [CrossRef]
- ISO 14001:2015; Environmental Management Systems—Requirements with Guidance for Use. International Organization for Standardization: Geneva, Switzerland, 2015.
- JTG 3441-2024; Test Code for Inorganic Binder Stabilized Materials in Highway Engineering. Ministry of Transport of the People’s Republic of China: Beijing, China, 2024.
- Zhang, X.; Li, H.; Wang, H.; Yan, P.; Shan, L.; Hua, S. Properties of RCA stabilized with alkali-activated steel slag based materials in pavement base: Laboratory tests, field application and carbon emissions. Constr. Build. Mater. 2024, 411, 134547. [Google Scholar] [CrossRef]
- Fort, J.; Mildner, M.; Keppert, M.; Cerny, R. Recycling of Aluminosilicate-Based Solid Wastes through Alkali-Activation: Preparation Characterization Challenges. J. Build. Eng. 2022, 54, 15. [Google Scholar] [CrossRef]
- Weng, L.; Sagoe-Crentsil, K. Dissolution processes, hydrolysis and condensation reactions during geopolymer synthesis: Part I-Low Si/Al ratio systems. J. Mater. Sci. 2007, 42, 2997–3006. [Google Scholar] [CrossRef]
- Van Deventer, J.S.; Provis, J.L.; Duxson, P.; Lukey, G.C. Reaction mechanisms in the geopolymeric conversion of inorganic waste to useful products. J. Hazard. Mater. 2006, 139, 506–513. [Google Scholar] [CrossRef] [PubMed]
- Jiang, H.; Ke, G.; Li, Z. Synergistic activation mechanism and long-term properties of a solid waste cementitious materials based on red mud and calcium carbide slag. Constr. Build. Mater. 2024, 438, 137313. [Google Scholar] [CrossRef]
- Gong, P.; Mei, K.; Zhang, L.; Xue, Q.; Wang, X.; Wei, T.; Zhang, C.; Cheng, X. Hydration and carbonation reaction dynamics in CO2-rich environment for tricalcium silicate (C3S) and dicalcium silicate (C2S). Powder Technol. 2025, 452, 120535. [Google Scholar] [CrossRef]
- Rafeet, A.; Vinai, R.; Soutsos, M.; Sha, W. Effects of slag substitution on physical and mechanical properties of fly ash-based alkali activated binders (AABs). Cem. Concr. Res. 2019, 122, 118–135. [Google Scholar] [CrossRef]
- Guo, W.; Wang, S.; Xu, Z.; Zhang, Z.; Zhang, C.; Bai, Y.; Zhao, Q. Mechanical performance and microstructure improvement of soda residue-carbide slag-ground granulated blast furnace slag binder by optimizing its preparation process and curing method. Constr. Build. Mater. 2021, 302, 124403. [Google Scholar] [CrossRef]
- Liu, W.; Du, R.; Zhang, R.; Zhao, Z.; Zhang, L.; Li, H. Optimal design performance of eco-friendly materials stabilized with inorganic binder based on fluidized bed coal combustion fly ash regenerated brick powder. J. Build. Eng. 2023, 65, 105800. [Google Scholar] [CrossRef]
- Yan, K.; Gao, F.; Sun, H.; Ge, D.; Yang, S. Effects of municipal solid waste incineration fly ash on the characterization of cement-stabilized macadam. Constr. Build. Mater. 2019, 207, 181–189. [Google Scholar] [CrossRef]
- Hou, D.S.; Li, Z.J.; Zhao, T.J. Reactive force field simulation on polymerization and hydrolytic reactions in calcium aluminate silicate hydrate (C-A-S-H) gel: Structure, dynamics and mechanical properties. RSC Adv. 2015, 5, 448–461. [Google Scholar] [CrossRef]
- Tu, W.L.; Zhang, M.Z. Multiscale microstructure and micromechanical properties of alkali-activated concrete: A critical review. Cem. Concr. Compos. 2024, 152, 105664. [Google Scholar] [CrossRef]
- Liu, M.Y.; Lu, J.; Jiang, W.H.; Ming, P. Study on fatigue damage and fatigue crack propagation of rubber concrete. J. Build. Eng. 2023, 65, 105718. [Google Scholar] [CrossRef]
- Xu, Y.; Yang, R.; Chen, P.; Ge, J.; Liu, J.; Xie, H. Experimental study on energy and failure characteristics of rubber-cement composite short-column under cyclic loading. Case Stud. Constr. Mater. 2022, 16, e00885. [Google Scholar] [CrossRef]












| Project | Apparent Density (g/cm3) | Specific Surface Area (m2/kg) | Loss on Ignition (%) | Setting Time (min) | Compressive Strength (MPa) | Flexural Strength (MPa) | |||
|---|---|---|---|---|---|---|---|---|---|
| Initial | Final | 3 Days | 28 Days | 3 Days | 28 Days | ||||
| Standard Value | 2.8–3.1 | ≥300 | ≤5.0 | ≥45 | ≤600 | ≥17 | ≥42.5 | ≥3.5 | ≥6.5 |
| Measured Value | 3.05 | 373 | 2.58 | 191 | 252 | 30.3 | 58.2 | 5.9 | 9.5 |
| Materials | SiO2 | Al2O3 | Fe2O3 | CaO | MgO | TiO2 | Na2O | K2O | SO3 | P2O5 | Loss |
|---|---|---|---|---|---|---|---|---|---|---|---|
| GSGS | 47.99 | 18.02 | 7.64 | 6.80 | 2.59 | 0.62 | 1.66 | 2.10 | 0.24 | 11.86 | 0.48 |
| GGBS | 29.83 | 12.38 | 0.47 | 46.39 | 6.25 | 0.93 | 0.37 | 0.60 | 1.86 | - | 0.92 |
| OPC | 23.49 | 4.06 | 2.36 | 60.13 | 3.34 | - | 0.20 | - | 3.14 | - | 3.28 |
| Heavy Metal | Regulatory Limit (mg/L) | Content in sGSGS (mg/L) | Assessment |
|---|---|---|---|
| Chromium (Cr) | 15 | 0.00326014 | Compliant |
| Arsenic (As) | 5 | 0.080414883 | Compliant |
| Cadmium (Cd) | 1 | 0.00008819 | Compliant |
| Lead (Pb) | 5 | 0.00182935 | Compliant |
| CMs | OPC (%) | GSGS (%) | BBGS (%) | Water Glass Modulus | Water Glass Dosage (%) | Water-to-Binder Ratio |
|---|---|---|---|---|---|---|
| OPC | 100 | - | - | - | - | 0.36 |
| ASS | - | 40 | 60 | 1.4 | 14 | 0.36 |
| Aggregates | Grain Size (mm) | Apparent Density (kg/m3) | Bulk Density (kg/m3) | Water Content (%) |
|---|---|---|---|---|
| River sand | 0–5 | 2583 | 1512 | 0.04 |
| Gravel | 5–10 | 2713 | 1521 | 0.14 |
| CMs | Sample | CM (%) | Gravel (%) | River Sand (%) |
|---|---|---|---|---|
| OPC | OPC-4 | 4 | 60 | 40 |
| OPC-5 | 5 | 60 | 40 | |
| OPC-6 | 6 | 60 | 40 | |
| ASS | ASS-4 | 4 | 60 | 40 |
| ASS-5 | 5 | 60 | 40 | |
| S AS-6 | 6 | 60 | 40 |
Disclaimer/Publisher’s Note: The statements, opinions and data contained in all publications are solely those of the individual author(s) and contributor(s) and not of MDPI and/or the editor(s). MDPI and/or the editor(s) disclaim responsibility for any injury to people or property resulting from any ideas, methods, instructions or products referred to in the content. |
© 2025 by the authors. Licensee MDPI, Basel, Switzerland. This article is an open access article distributed under the terms and conditions of the Creative Commons Attribution (CC BY) license (https://creativecommons.org/licenses/by/4.0/).
Share and Cite
Tan, Y.; Wang, X.; Zheng, H.; Liu, Y.; Ma, J.; Zhao, S. Correlation Between Packing Voids and Fatigue Performance in Sludge Gasification Slag-Cement-Stabilized Macadam. Sustainability 2025, 17, 6587. https://doi.org/10.3390/su17146587
Tan Y, Wang X, Zheng H, Liu Y, Ma J, Zhao S. Correlation Between Packing Voids and Fatigue Performance in Sludge Gasification Slag-Cement-Stabilized Macadam. Sustainability. 2025; 17(14):6587. https://doi.org/10.3390/su17146587
Chicago/Turabian StyleTan, Yunfei, Xiaoqi Wang, Hao Zheng, Yingxu Liu, Juntao Ma, and Shunbo Zhao. 2025. "Correlation Between Packing Voids and Fatigue Performance in Sludge Gasification Slag-Cement-Stabilized Macadam" Sustainability 17, no. 14: 6587. https://doi.org/10.3390/su17146587
APA StyleTan, Y., Wang, X., Zheng, H., Liu, Y., Ma, J., & Zhao, S. (2025). Correlation Between Packing Voids and Fatigue Performance in Sludge Gasification Slag-Cement-Stabilized Macadam. Sustainability, 17(14), 6587. https://doi.org/10.3390/su17146587

