Next Article in Journal
Multi-Dimensional Analysis of Carbon Dioxide Sequestration Technologies in China in the Context of Carbon Neutrality: Current Status, Development Potential, and Costs
Next Article in Special Issue
Is the Energy Quota Trading Policy a Solution to the Decarbonization of Energy Consumption in China?
Previous Article in Journal
Developing a Deep Learning-Based Sentiment Analysis System of Hotel Customer Reviews for Sustainable Tourism
Previous Article in Special Issue
Techno-Economic Factors Impacting the Intrinsic Value of Behind-the-Meter Distributed Storage
 
 
Due to scheduled maintenance work on our servers, there may be short service disruptions on this website between 11:00 and 12:00 CEST on March 28th.
Font Type:
Arial Georgia Verdana
Font Size:
Aa Aa Aa
Line Spacing:
Column Width:
Background:
Article

Do Pilot Zones for Green Finance Reform and Innovation Policy Enhance China’s Energy Resilience?

School of Humanities and Social Sciences, Jiangsu University of Science and Technology, Zhenjiang 212000, China
*
Author to whom correspondence should be addressed.
Sustainability 2025, 17(13), 5757; https://doi.org/10.3390/su17135757
Submission received: 8 May 2025 / Revised: 12 June 2025 / Accepted: 18 June 2025 / Published: 23 June 2025

Abstract

The escalation of international geopolitical conflicts has triggered shocks in the global energy supply and demand pattern. The importance of increasing the resilience of energy systems to risk has become increasingly prominent. At the same time, energy demand has shown substantial growth, driven by the continuous expansion of economic scales. Improving utilization efficiency to enhance energy resilience while achieving coordinated development between economic growth and environmental protection has become a critical priority. This study takes pilot zones for green finance reform and innovations as a quasi-natural experiment and selects panel data from 30 provinces in China from 2013 to 2022 as the research sample. The empirical analysis constructs a staggered difference-in-differences (DID) model to investigate the impact of pilot zones for green finance reform and innovations on energy resilience, while exploring their heterogeneity and mechanism of action. The research shows that: ① The policy of pilot zones for green finance reform and innovations has significantly enhanced China’s energy resilience capacity. This conclusion still holds after a series of robustness tests. ② Mechanism analysis shows that the pilot zones for green finance reform and innovation policy enhance energy resilience by elevating green innovation capacity and optimizing industrial structure. ③ Heterogeneity analysis reveals that policy effects exhibit significant regional disparities. The enhancement effect of pilot zones for green finance reform and innovation policy on energy resilience is more pronounced in the eastern region compared to the central and western regions. This research provides empirical evidence and theoretical support for local governments to refine green finance policy systems and explore novel pathways for optimizing energy resilience.

1. Introduction

Energy is the lifeblood of the stable development of economies and societies. It plays an indispensable role as an important dynamic domain in the construction of national security systems and energy modernization processes [1]. Most nations worldwide have elevated energy development to a national strategy. As the foundation of the advancement of human civilization, energy is closely related not only to the survival and development of human beings, but also to national welfare, people’s livelihoods, and national security. In addition, it plays a crucial role in promoting socio-economic development and enhancing public welfare. In the face of internal energy supply and demand conflicts, external environmental uncertainty and the sustainability of energy development, enhancing energy resilience has emerged as an urgent requirement for the secure evolution of the energy system.
In recent years, the international energy market has been recurrently subjected to non-traditional security threats, where the convergence of diverse disruptive incidents and geopolitical rivalries has precipitated the progressive politicization and weaponization of energy resources. The Russia–Ukraine conflict, initiated in February 2022, has resulted in critical energy supply deficits across European nations. This has directly triggered an acute surge in societal operational costs throughout Europe, with natural gas prices surging by 40% in three months, exposing the systemic vulnerability of the energy supply chain [2]. The U.S. government’s 2022 key strategic documents, including the National Security Strategy, National Defense Strategy, and National Intelligence Strategy, have systematically emphasized the imperative to “enhance resilience” through recurrent policy articulations. This reflects an unprecedented prioritization of resilience-building, explicitly mandating the integration of energy resilience across economic, energy, food, space, and technological sectors [3]. This strategic approach aims to reinforce resilience and stability within global energy markets through systemic policy coordination. A new study by Swiss Re reveals that extreme weather events caused over USD 260 billion in losses to energy infrastructure in 2023. According to the World Meteorological Organization (WMO), the global average CO2 concentration reached 402.0 ppm during the decade spanning 2011 to 2020. Against this backdrop, the reinforcement of energy system resilience has garnered increasing attention from nations worldwide. This approach is expected to mitigate external threats, advance energy security, and facilitate sustainable energy transitions.

1.1. Why China?

As a major energy-consuming nation, China’s energy security is a key concern for its progress in governance, which also serves as a critical metric for assessing policy implementation effectiveness across relevant sectors [4]. As the economy continues to recover and improve, energy demand is growing steadily. However, China’s pursuit of high-quality energy development still faces persistent challenges stemming from its heavy reliance on coal in the energy mix and the dominance of energy-intensive industries in its economic structure. In 2023, China’s total primary energy consumption stood at 5.72 billion tons of standard coal equivalent, accounting for approximately 27.4% of global energy consumption. Constrained by limited domestic fossil energy reserves, China’s elevated external dependency rate on oil and gas has exacerbated structural tensions in energy supply configurations [5]. These issues have posed substantial challenges to China’s energy security, underscoring the heightened significance and urgency of accelerating energy resilience enhancement [6]. Against the backdrop of the increasing complexity of energy governance, accelerating energy transitions and strengthening energy resilience have gained widespread recognition. Over the past decade, China’s National Energy Administration has released a series of policy documents. This reflects China’s strategic focus on promoting clean energy development while placing greater emphasis on strengthening the foundation of energy security [7].

1.2. Research Objectives

The implementation and evolution of green finance have exerted a significant impact on the energy sector. Meanwhile, the policy of pilot zones for green finance reform and innovations, as a crucial green finance initiative in China, serves as a key approach to exploring a green finance development path with Chinese characteristics. In 2017, the State Council of China approved the establishment of pilot zones for green finance reform and innovations in selected areas of Zhejiang, Guangdong, Guizhou, Jiangxi, and the Xinjiang Uygur Autonomous Region to explore localized pathways for green finance development. In 2019 and 2022, respectively, Gansu Province and Chongqing Municipality were additionally designated as pilot zones for green finance reform and innovations. The implementation of policy in pilot zones for green finance reform and innovations, through innovative instruments like green financing, facilitates the transition toward cleaner energy structures and enhances energy efficiency [8,9]. This is not only conducive to enhancing energy resilience but also provides pathways for exploring sustainable models that achieve environmental-economic synergies, thereby propelling the deeper development of China’s green finance reforms. Consequently, green finance policy demonstrates effectiveness in optimizing the risk resistance capacity of energy systems and reinforcing energy resilience from this perspective. However, only a few scholars have conducted empirical investigations examining the impact of green finance on energy resilience. The existing literature predominantly focuses on dimensions such as emission reduction effects and energy efficiency optimization induced by green finance. Research on energy resilience remains in its nascent stage, still possessing substantial unexplored academic potential. There is a dearth of research on the impact of green finance policy on energy resilience. In this regard, this study employs a staggered DID approach to investigate the correlation between green finance policy and energy resilience, building upon existing research foundations. The research deepens the theoretical framework of green finance policy and energy resilience.

1.3. Novelty and Contributions

The incremental contributions of this study are mainly manifested across the following areas. First, this study systematically evaluates China’s energy resilience through an integrated framework encompassing economic, engineering, resource, and ecological dimensions. By adopting multidimensional analytical perspectives, this research achieves a more comprehensive and accurate assessment of China’s energy resilience status and operational patterns, accompanied by comparative analyses between regions. Second, distinct from prior studies, this research utilizes panel data from 30 provinces over the period 2013 to 2022, covering two subsequently established pilot zones for green finance reform and innovations. Compared to previous experiments, the study subjects and scope have been expanded. Furthermore, the innovative construction of a staggered DID model precisely identifies the effects of green finance policy on energy resilience. Third, this study explores the impact mechanism of green finance impacts from two different perspectives: industrial structure upgrading and green technology innovation. Fourth, the study conducts a heterogeneity analysis to systematically compare and analyze the varying magnitudes of green finance policy impacts on energy resilience across different regions. This study provides theoretical insights for future research and offers actionable references for policymakers to formulate more targeted strategies.
The rest of the paper is organized as follows. The second section constitutes the literature review. The third section contains research hypotheses. The fourth section presents the model specification, data sources, and variable definitions. The fifth section reports baseline regression results, robustness tests, and heterogeneity analysis outcomes. The sixth section investigates the specific mechanisms underlying the policy effects. The seventh section concludes the study and proposes policy recommendations. The final section reflects on the research limitations and outlines future research directions. The analysis diagram is shown in Figure 1.

2. Literature Review

2.1. Evolution and Characteristics of Energy Resilience Concept

The term “resilience” originates from the Latin term resilire. It expresses the capacity of a system or individual to recover and rebound from shocks or disturbances [10,11]. With the advancement of interdisciplinary research, resilience studies have been progressively incorporated into ecological, engineering, economic, and societal domains. This integration has driven continuous expansion in both conceptual connotation and practical applications of resilience. Consequently, the resilience concept has undergone conceptual evolution from engineering resilience, through ecological resilience, to evolutionary resilience. Originally applied in physics, resilience denoted a system’s capacity to restore its original state under stress, termed “engineering resilience”. In the 1970s, Canadian ecologist Holling pioneered the systemic ecological definition of resilience [12]. This emphasized systems’ capability to transcend the “elasticity threshold” when subjected to disturbances and shocks, thereby facilitating transitions from one equilibrium to another [13]. Evolutionary resilience, initially conceptualized in behavioral psychology, was subsequently introduced to regional economics and progressively extended to energy system risk resistance capacity [14].
In terms of the research content of energy resilience, the existing related research mainly focuses on three characteristics: ① Engineering characteristics: engineering attributes focus on energy systems’ capacity to rapidly recover their original states after disruption, quantified through recovery speed, extent, and functional integrity [15]. This forms a standardized four-phase progression encompassing avoidance, resistance, adaptation, and recovery, thereby advancing the investigation into dynamic response mechanisms of energy systems under external shocks. ② Ecological characteristics: This dimension emphasizes not only post-shock phenomena but also ability of the energy system to absorb disturbances before they occur. When subjected to multiple perturbations, the system demonstrates capacities to mitigate shocks, resist damage, restore equilibrium, and self-adapt. It further necessitates synergistic development with ecological and societal systems [4]. ③ Managerial characteristics: This dimension prioritizes the state of energy resilience over hedging processes, while demonstrating inherent diversity and sustainability characteristics [16,17]. Furthermore, similar to energy security frameworks, it encompasses multiple dimensions beyond engineering and ecological resilience, including energy economic resilience, energy social resilience, and energy resource resilience aspects.
Current research has established a diverse array of assessment frameworks for the quantification and evaluation of energy systems. Gatto and Drago posit that energy resilience constitutes the energy system’s capacity to withstand, respond to, overcome, and transcend disruptions caused by shocks across environmental, social, economic, and institutional domains. This capability is fundamentally achieved through adaptive transformations and the acquisition of knowledge from systemic transitions [18]. In response to contemporary risk challenges, resilience theory has gradually evolved into a new concept to guide the optimal design of energy systems. Existing scholarship has achieved relative maturity in constructing urban resilience assessment frameworks and investigating their determinants. Briguglio et al. developed a comprehensive urban resilience index system encompassing economic governance, socio-economic development, micro-market efficiency, and macroeconomic stability [19]. Ribeiro and Pena Jardim Gonçalves constructed an extensive resilience assessment framework based on a synthesis of the literature, incorporating four foundational pillars, five analytical dimensions, and multiple attributes for resilient cities [20]. Comparatively, current academic research on energy resilience remains in the theoretical exploration phase. The quantitative assessment system of energy resilience has not yet been unified. Dong et al. employed the entropy method to conduct a multidimensional evaluation of energy resilience across 107 countries in 2016, developing 27 indicators spanning energy efficiency, renewable energy adoption, and energy accessibility dimensions [21]. Afgan et al. define energy resilience as the capacity to withstand perturbations from climatic, economic, technological, and social factors, while achieving restoration and adaptive enhancement after the fact. They subsequently assessed energy resilience according to this definition [22]. Gatto and Drago constructed an interval-based composite indicator model to holistically evaluate energy resilience. Both approaches employed identical datasets for measuring global energy resilience [18].

2.2. Green Finance and Energy Resilience: Theoretical Link

Regarding the impact of green finance policy on energy resilience, the extant literature has generally demonstrated the pivotal role of green finance in advancing energy initiatives. Extensive empirical studies have documented its substantial effects in facilitating the transition to clean energy systems. Against the backdrop of globalization, there is an increasing emphasis on green development within the European Union and international markets. This trend has consequently led to the imposition of more stringent requirements for enterprises. This is quite challenging for companies. If they cannot adapt to green development trends, their market competitiveness will be severely undermined [23]. On the one hand, the implementation of green finance policy has significantly changed corporate financing scales [24]. Policy orientation has steered financial resources towards environmental enterprises, with green industries experiencing financing expansion while high-pollution, high-energy-consumption industries face constrained capital access. On the other hand, green finance policy affects the cost of financing for enterprises. While low-carbon enterprises benefit from reduced capital costs, polluting industries face escalating financing expenditures, intensifying operational pressures [25,26]. Furthermore, the advancement of green finance policy can accelerate the transformation and upgrading of traditional energy structures. This is achieved by progressively reducing the proportion of conventional fuels in energy consumption and improving the fossil fuel-dominated energy mix [27]. Through the systematic review of the relevant literature, current research has achieved notable progress in evaluating energy resilience and demonstrating green finance policy’s positive impacts on energy systems. Notably, comprehensive investigations into the correlation between green finance and energy resilience remain underexplored. This establishes a clear academic justification for this research.

3. Research Hypotheses

The instrumental role of green finance policy in advancing sustainable energy system development and facilitating the deepened implementation of energy initiatives has become increasingly prominent. Therefore, a growing body of scholarship has focused on investigating the impact of green finance policy on energy structure optimization and risk resilience enhancement. The implementation of green finance policy is recognized as a critical pathway for achieving renewable energy financing. Extensive empirical research has validated its effectiveness in accelerating energy system transitions toward clean energy sources [28]. Additional empirical studies examining causal relationships among green energy projects, green finance, and energy efficiency have demonstrated that policies such as green bonds have a significant impact on promoting investment in green energy projects. Such policies facilitate the development of green enterprises by reallocating financial resources, thereby improving the energy environment. The advancement of green energy promotes the structural optimization of energy systems, which mitigates overdependence on traditional fossil fuels. This transition bolsters national resilience against crises induced by energy price volatility and supply shortages.
Furthermore, the implementation of green finance policy plays a pivotal role in enhancing energy utilization efficiency. As a set of financial instruments within the domain of environmental protection, green finance leverages its inherent financial attributes to propel improvements in economic efficiency, thereby advancing energy efficiency optimization. With the progressive development of green finance, these policies provide loan facilities for corporate technological upgrading, creating favorable conditions for industrial equipment modernization and energy efficiency enhancement. Concurrently, the introduction of energy conservation and emission reduction policies necessitates substantial corporate investments in production facility retrofits, which require robust financial backing. The expansion of green credit scales enables industrial enterprises to access funding from financial institutions for necessary technological upgrades. This enables enterprises to realize their own business and social value in the process of green technology innovation and industrial structure advancement. The implementation of green finance policy enables a more efficient allocation of regional resources, phases out high-energy-consumption and low-output industries, and optimizes local energy efficiency. Furthermore, empirical studies have indicated that green finance can enhance energy efficiency by promoting green technological innovation [29]. This generates significant positive impacts in terms of reducing reliance on inefficient energy supplies and extending energy sustainability [30]. In conclusion, this paper proposes:
Hypothesis 1.
Pilot zones for green finance reform and innovation policy can effectively enhance energy resilience.
Empirical studies have demonstrated that green finance drives industrial restructuring and upgrading by suppressing high-pollution and energy-intensive industries while promoting the development of green energy sectors. On the one hand, the advancement of green finance exerts a discernible crowding-out effect on industries characterized by high pollution, high energy consumption, and overcapacity. Such enterprises typically exhibit an excessive reliance on fossil fuels, failing to advance sustainable resource utilization while generating adverse ecological impacts. Green finance policy can suppress the environmentally detrimental practices of such enterprises at the origin. Furthermore, policy implementation elevates loan thresholds and increases financing costs, compelling enterprises to pursue green transformation and facilitating low-carbon restructuring of industrial systems. On the other hand, green finance redirects resource flows toward eco-friendly industries while leveraging relevant policy instruments to promote the reallocation of resources, thereby diminishing support for high-pollution and overcapacity industries [31]. Supported by green finance, green enterprises can adopt clean and low-carbon production technologies to advance green R&D initiatives, significantly enhancing clean energy utilization efficiency. As economies of scale materialize in green industries, production and financing costs for green resources progressively decline, establishing robust economies of scale. The resultant competitive advantages catalyze green transition within industrial structures. Furthermore, relevant studies have shown that green finance has had a significant and far-reaching impact on the development of the service industry, effectively promoting the process of industrial restructuring [31]. In addition, the operational efficiency of industrial frameworks directly affects energy consumption patterns, which in turn influences overall energy efficiency [32]. This structural transformation shifts energy systems from resource-dependent paradigms to innovation-driven models, fostering more flexible and diversified energy architectures that fundamentally strengthen systemic resilience. In conclusion, this paper proposes:
Hypothesis 2.
The implementation of pilot zones for green finance reform and innovation policy indirectly enhances energy resilience by optimizing industrial structure.
Th existing literature indicates that the implementation of green finance policies has a significant impact on innovation and development in green technology [33]. Green technological innovation is characterized by long development cycles, delayed outcome realization, and substantial cost commitments. These phenomena deter enterprises from investing in green technology innovation initiatives. The development of green finance can stimulate corporate engagement in green technology innovation endeavors. Firstly, green finance leverages its financial attributes through credit instruments like green bonds and ESG funds, providing more diversified funding channels for green technology innovation. Traditional financial systems struggle to meet the financing demands of enterprises engaged in green technology innovation, thereby constraining enterprises’ momentum for innovation. Green finance policy addresses these deficiencies by offering enhanced financial services and adequate capital support to enterprises. The intervention of this policy has to a certain extent alleviated the difficulties faced by enterprises in obtaining financial support, and significantly reduced the negative effects of financing constraints on green innovation and development [34]. It increases research investment of green enterprises, improves corporate motivation for green project development, and enhances engagement in relevant technological innovations. Concurrently, green finance policy constrains funding sources for energy-intensive industries. Survival pressures stemming from capital shortages compel these industries to initiate green transitions, thereby facilitating corporate green technological innovation. Some scholars have pointed out that green innovation may become an important transmission mechanism for green finance to influence energy efficiency [35]. Secondly, green finance establishes targeted risk protection and management mechanisms. Enterprises face substantially increased production costs and operational risks due to inherent uncertainties in green technological innovation processes. Products such as green insurance included in green finance can effectively alleviate and distribute such corporate risks. Furthermore, enterprises tend to opt for low-risk green innovation projects to circumvent the uncertainty risks inherent in technological innovation. This tendency poses constraints on achieving breakthrough innovations in green technology development. Green finance mobilizes capital for major green innovation projects through instruments like green investments. It can also spread the risk of technological development across the securities market through investment properties. This provides effective risk mitigation channels, thereby enhancing corporate capabilities and efficiency in green technology research. Meanwhile, green technological innovation propels advancements across multiple energy sectors, including renewable energy and energy storage modalities. These technological refinements effectively reduce dependence on conventional energy sources within modern consumption patterns, while establishing diversified energy supply options that significantly strengthen systemic resilience. In conclusion, this paper proposes:
Hypothesis 3.
The implementation of pilot zones for green finance reform and innovation policy indirectly enhances energy resilience by promoting green technology innovation.

4. Model Setting and Indicator Description

4.1. Econometric Modeling

This study employs a staggered DID approach to estimate the impact of pilot zones for green finance reform and innovation policy on energy resilience. The staggered DID model constructs dual-dimensional differentials across the sample individuals and the temporal phases by setting up an experimental group, a control group, and different policy implementation time points. The model incorporates individual and time-fixed effects to eliminate unobservable factors that vary exclusively across time or individuals, thereby identifying the net policy effect. This study utilizes panel data covering 30 provinces from 2013 to 2022. Adopting the research method of Guo et al. [36], the study constructs the DID model by introducing time dummy variables (Time) and city dummy variables (Treat) as follows:
E R I i t = α + β D I D i t + γ C o n t r o l s i t + μ i + γ t + ε i t
where subscripts i and t denote province and year respectively. E R I i t represents the explained variable, representing provincial energy resilience intensity. D I D i t is the explanatory variable for the policy of pilot zones for green finance reform and innovations, which takes the value of 1 for the experimental group implementing the policy and 0 for the control group. C o n t r o l s i t denotes control variables that affect energy resilience and varies with i and t. μ i represents time-fixed effects and region-fixed effects, controlling for factors that affect the strength of energy resilience but do not vary over time. γ t denotes time-fixed effects, controlling for temporal factors that have an impact over time. ε i t represents the random error term. β represents core regression coefficients, reflecting the net policy effect of the establishment of pilot zones on energy resilience.

4.2. Sample Selection and Data

This study defines the experimental group as five provinces (Zhejiang, Guangdong, Xinjiang Uygur Autonomous Region, Guizhou, and Jiangxi) included in the 2017 pilot batch, and Gansu Province added in 2019, with other provinces constituting the control group. The pilot zone established in Chongqing in 2022 was excluded from the experimental group owing to the brief duration of the pilot policy’s implementation and the absence of discernible policy impacts. To ensure data accessibility and reliability, this study utilizes provincial-level statistical data from Chinese administrative divisions spanning 2013 to 2022. Specific datasets are derived from the China Statistical Yearbook, China City Statistical Yearbook, China Social Statistical Yearbook, Statistical Communiqué of the People’s Republic of China National Economic and Social Development, China Energy Statistical Yearbook, and China National Intellectual Property Administration. Missing data are addressed through linear interpolation, while provinces with substantial data gaps (e.g., Tibet Autonomous Region, Hong Kong, Macao, Taiwan) are excluded. Finally, panel data are obtained for 30 provincial administrations from 2013 to 2022. The descriptive statistics of the main variables are presented in Table 1.

4.3. Variables’ Selection

The explained variable [37] in this study represents provincial energy resilience indices. Given the nascent stage of energy resilience research, no standardized metric currently exists to quantify resilience intensity. In this paper, the characteristics of the energy system and the perturbation factors are considered. We construct a comprehensive evaluation system with 15 indicators across economic, social, resource, and environmental dimensions, building on Gatto et al. and Nepal et al.’s frameworks [37,38]. Utilizing the entropy method, we calculate four sub-indices: economic energy resilience; social energy resilience; environmental energy resilience; and energy endowment resilience. This allows for a multidimensional analysis of green finance policy impacts.
The complete indicator system is detailed in Table 2.
Economic resilience represents the financial support for energy system operations, denoting the capacity of economic systems to revert to equilibrium states following perturbations induced by energy system transformations. The operational quality of economic systems significantly affects energy construction and energy costs. Economic structure reflects regional economic development levels. Economic potential facilitates technological advancement in the energy sector and strengthens energy system adaptability. Economic potential facilitates technological advancement in the energy sector and strengthens energy system adaptability. The decoupling effect between economic growth and energy consumption reflects the quality of economic growth, signaling that the structure of energy demand is moving towards diversification and greening. The triad of superior economic performance, optimized structural configuration, and enhanced economic potential collectively reinforce energy systems’ resistance to perturbations.
Social resilience refers to infrastructural support for energy resistance capabilities across production, transportation, and communication domains. It ensures engineering safeguards for energy systems to restore stability under external shocks, and is operationalized through two dimensions: supply and transportation infrastructure and information transmission. Effective management and control of energy transport systems are critical for building resilient multi-energy supply systems. This capability also enhances the system’s ability to address diverse challenges [39]. Insufficient energy supply capacity can readily trigger energy crises. Therefore, assessment frameworks for energy resilience must also incorporate a nation’s practical capacity to maintain the stability and reliability of its energy supply. Investment in energy supply provides security safeguards for energy infrastructure. Investment in technologies such as information transmission fosters innovation and facilitates the integrated optimization of energy by balancing environmental, economic, and social benefits [40]. Supply and transportation infrastructure incorporates indicators such as total electricity generation and total length of gas supply pipelines. The dimension of information transmission dimension systems encompasses metrics like internet broadband access ports and mobile phone penetration rates.
Resource resilience is the material foundation for energy adaptability. It represents the contribution of each province’s own resource endowment to the restoration of a steady state when the local energy system is subject to fluctuations. This resilience manifests through two dimensions: energy endowment and energy consumption. Structural shifts in energy consumption indirectly reflect diversification levels of energy utilization types. Substantial resource reserves, diversified energy types, and multi-channel supply systems mitigate the risks associated with energy source concentration, thereby effectively resisting external disruptions. At the energy endowment level, the indicator is represented by the sum of per capita natural gas production and per capita electricity generation. Energy consumption encompasses per capita energy consumption and the ratio of the combined output of natural gas and electricity to total energy consumption.
Environmental resilience is the material basis for energy resilience. It reflects provincial ecosystems’ capacity to regain stability after energy system fluctuations under safe carbon reduction constraints. This resilience encompasses two dimensions: ecological security and environmental pollution. While ecosystems provide essential resources for human survival, anthropogenic activities exert discernible stress on ecological systems. Environmental pollution mirrors ecosystem degradation induced by energy consumption patterns. Environmental pollution reflects the destruction of ecosystems by energy consumption. The magnitude of ecological damage positively correlates with disaster risk probability. Ecological security can reduce environmental pollution and increase the resilience of energy systems to natural disasters. Increasing forest cover rate contributes to reducing atmospheric greenhouse gas concentrations, thereby advancing the achievement of carbon neutrality [41]. Simultaneously, forests perform multiple functions, including biodiversity conservation and the provision of diverse ecosystem services. Forests can mitigate natural disasters and influence ecosystems, consequently affecting energy resilience. Furthermore, pollutant emissions constitute a critical component that cannot be overlooked in the assessment of energy resilience [42].
Explanatory variable. The core explanatory variable DID is the interaction term between regional dummy variables and time dummy variables. The regional dummy variable is coded as 1 for provinces designated as pilot zones for green finance reform and innovations, and 0 otherwise. The temporal dummy variable is coded as 1 from the policy implementation year onwards, and 0 prior to implementation.
Control variables. To mitigate estimation bias from other variables, this paper draws from the research conducted by Zhang et al. [43], Xu et al. [44], Lin and Zhou [45], and Nepal et al. [38]. The following control variables were selected: ① Economic situation (PGDP) is measured by GDP per capita. ② Environmental regulation (ER) is expressed by local government expenditure on environmental protection. ③ Urbanization rate (UR) is calculated as urban population proportion of total resident population. ④ Financial development [13] is quantified by the ratio of total deposits and loans of financial institutions to GDP at year-end. ⑤ The degree of industrial agglomeration [19] is expressed as the ratio of provincial industrial value added to the total industrial value added.
Mediator variables. In examining the link between energy resilience and green finance, this study designed a mechanism test based on a theoretical model. The following two intermediate variables were used in the empirical process to further explore the mediating effects of industrial structure transformation and green technology innovation in the relationship. Industrial structure (IS) is expressed as the proportion of regional tertiary industry output value to GDP [36]. Green technology innovation (GTI) is quantified by the annual count of green patent applications at the provincial level [46]. Details on the definition and source of data can be found in Table 3.

5. Empirical Analysis

5.1. Spatial Distribution of China’s Energy Resilience Index

To further investigate the spatiotemporal distribution characteristics of digital economic development, this study employed the natural breaks classification method in ArcGIS 10.8.2 software to visualize the spatial distribution of the energy resilience index across 30 Chinese provinces. This is used to explore the spatial characteristics and evolutionary trends of energy resilience levels across China’s provinces. We selected data from the years 2013, 2016, 2019, and 2022 for analysis. The results are shown in Figure 2.
From a spatial perspective, China’s energy resilience index shows significant regional differences. During the period 2013–2022, distinct characteristics in energy resilience emerged between the eastern coastal regions and the central-western regions. The eastern areas, particularly economically developed provinces such as Jiangsu, Zhejiang and Guangdong, demonstrated relatively higher energy resilience indices. These regions benefit from vibrant economies, substantial energy demand, and advantages in energy infrastructure construction, energy technology innovation, and the improvement of energy market mechanisms. In contrast, certain parts of the central-western regions exhibited lower energy resilience indices. This can be attributed to factors such as relatively lagging economic development, weaker energy infrastructure, and higher dependence on conventional energy sources in some provinces.
From a temporal perspective, China’s overall energy resilience index demonstrates an upward trend over time, while significant variations exist in the dynamic changes across different regions. Between 2013 and 2016, the energy resilience index remained relatively stable in most regions across the country, but regional disparities began to emerge. From 2016 to 2019, driven by the national promotion of clean energy and deepening energy system reforms, the energy resilience index was significantly improved in most regions. This was particularly evident in central-western regions with abundant solar and wind resources, which intensified their development of new energy sources. This has led to a gradual diversification of the energy mix and enhanced energy resilience. Due to factors such as global energy market volatility and the COVID-19 pandemic, changes in the energy resilience index in different regions between 2019 and 2022 have exhibited new characteristics. Some regions effectively countered external shocks by strengthening energy emergency response capabilities and optimizing energy supply chain management, resulting in stable or even increased resilience indices. Conversely, other regions, characterized by energy industries with weaker risk resilience, experienced declines in their energy resilience indices when confronted with complex and volatile market conditions and external shocks.

5.2. Baseline Regression Result

This study employs a two-way fixed effects model for regression analysis to assess the aggregate impact of green finance policy on energy resilience. The baseline regression results are presented in Table 4. The results in Table 4 indicate that coefficients for green finance pilot policy variables are significantly negative, demonstrating pronounced policy effects. Column (1) displays estimates controlling solely for time and provincial effects. The estimated coefficient of the core explanatory variables is 0.074 when control variables are not considered and is significant at the 1% level. Columns (2) to (6) sequentially introduce control variables. After controlling for other types of influences, the core explanatory variable exhibits consistently positive coefficients with 1% statistical significance across specifications. Equation (1) reflects the fact that green finance policy implementation has significantly enhanced energy resilience in pilot provinces. Hypothesis 1 is supported by the findings.

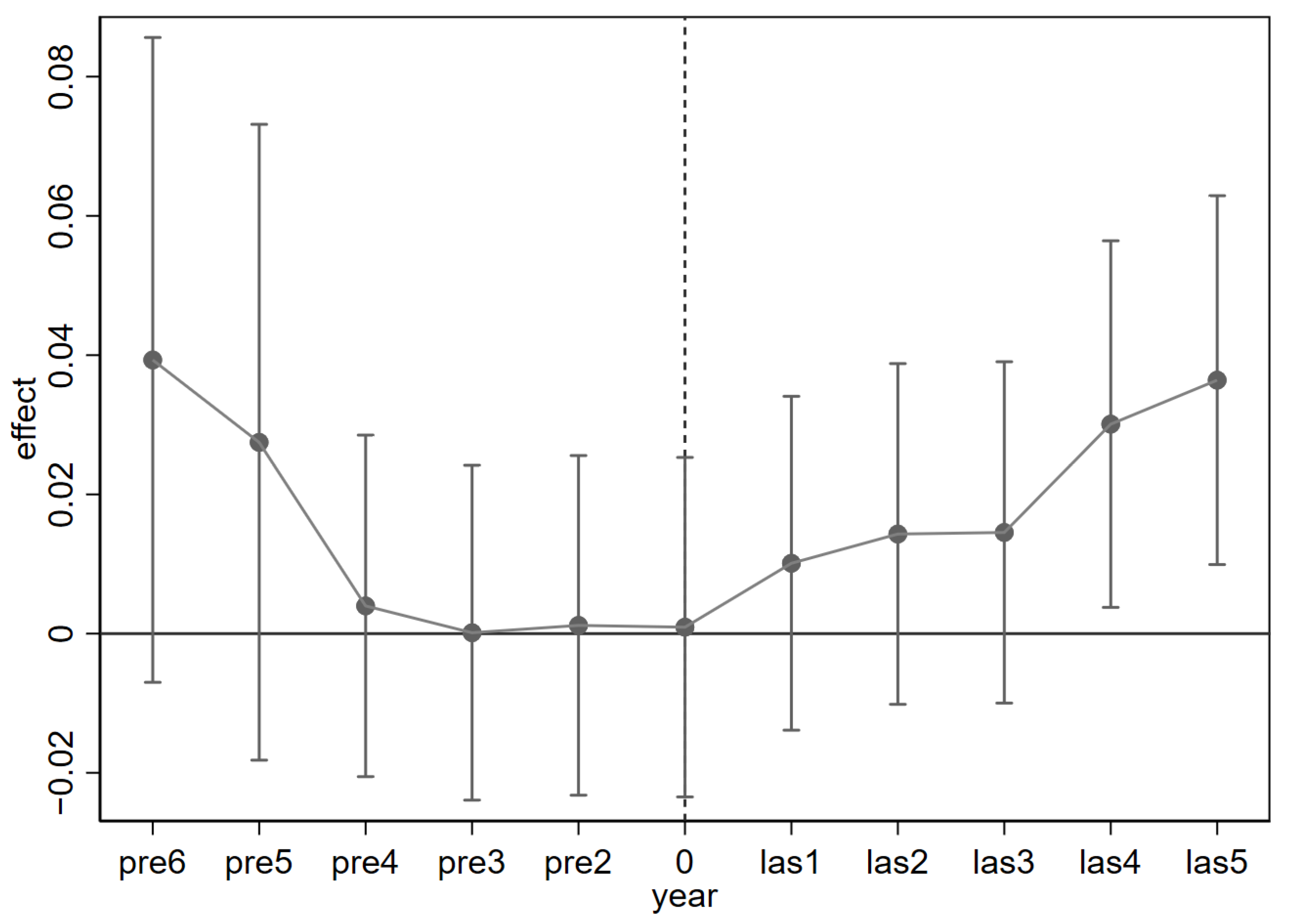
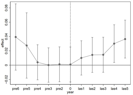
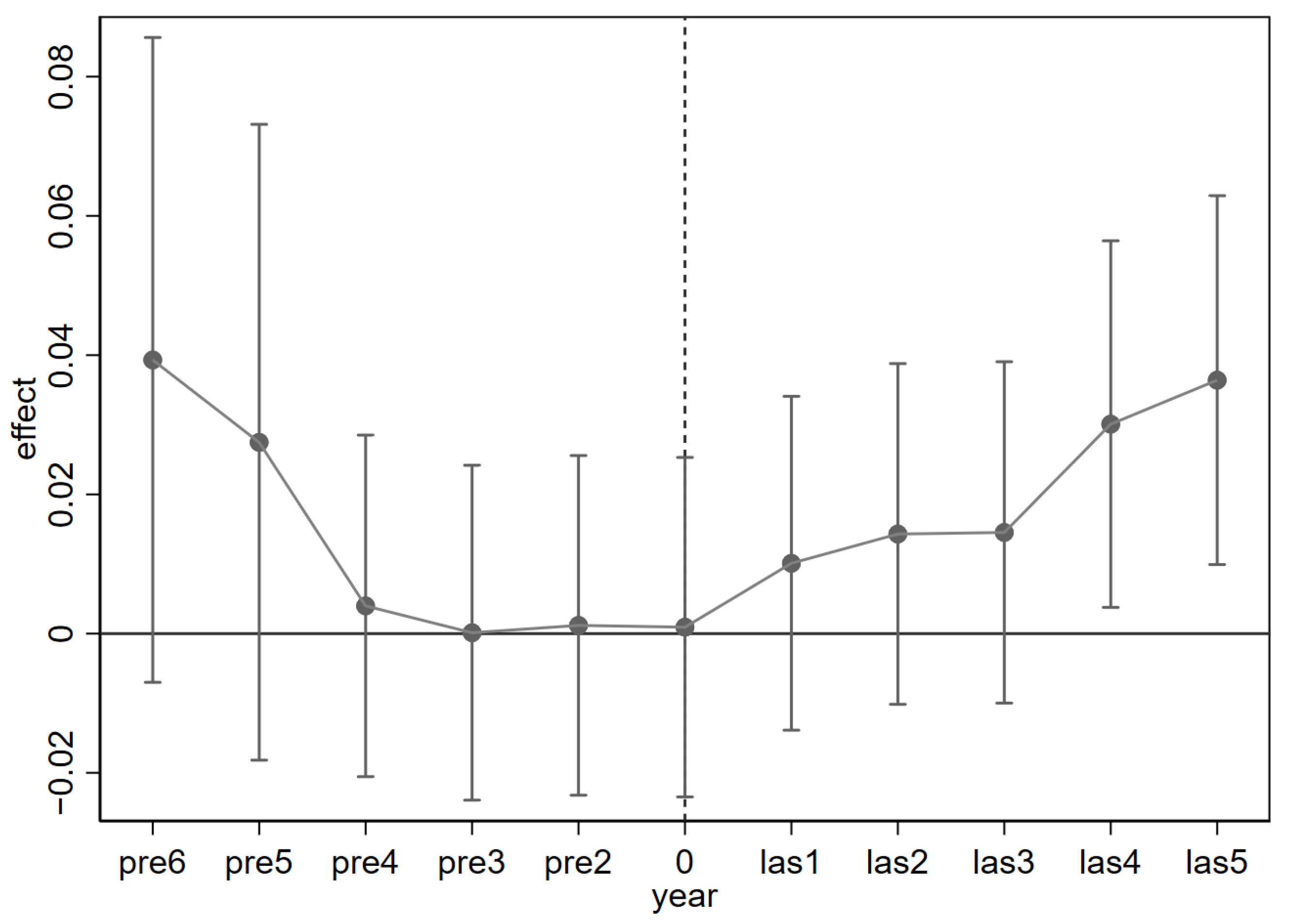
5.3. Parallel Trend Test

The parallel trends assumption is fundamental to the validity of staggered DID designs, as it ensures that untreated groups did not show any significant trends prior to policy adoption. The hypothesis stipulates that before the implementation of the green finance policy, there should be no significant difference between pilot and non-pilot provinces that maintain a similar trend of change. The implementation of green finance policy is expected to induce a significant divergence in trends between treatment and control groups after intervention. The energy resilience evolution in pilot zones must show a significant difference from other provinces that have not implemented the policy.
As illustrated in Figure 3, the dotted line indicates the position of the base period. The estimated coefficients for pre-policy implementation years are statistically insignificant, and gradually converge to significance after implementation. This pattern suggests that, despite the hysteresis in policy effects, the implementation substantively enhances energy resilience levels. The above analysis shows that the parallel trend test of the staggered DID model used in this study passes and further analyses can be carried out.

5.4. Robustness Tests

5.4.1. Placebo Test

Drawing on the existing literature, this study generates virtual policy interaction items by randomly selecting treatment and control groups. The coefficients on the impact of green finance policy on energy resilience were then estimated using a baseline regression model for estimation and repeating the above process 500 times for a placebo test. As depicted in Figure 4, the red dotted line represents the actual estimated coefficient value in the baseline regression, and the black dotted line represents the P-value, which is set to 0.1. The kernel density distribution of placebo coefficients and corresponding p-values show that the regression coefficients are normally distributed around 0, and most p-values deviate significantly from zero. These findings demonstrate the statistical insignificance of most placebo coefficients, confirming that the policy effects are not driven by unobserved confounding factors. Thus, the placebo test confirms the robustness of the previous conclusions.

5.4.2. PSM-DID

To address potential endogenous selection bias in the sample, this study refers to Guo et al. and employs propensity score matching (PSM) for robustness verification [47]. Specifically, we first construct a logit model using control variables as covariates, followed by 1:1 nearest-neighbor matching to perform propensity score matching on the sample data. The matched samples are then estimated with the baseline regression model. The results are presented in Table 5. The estimated coefficient of green financial policies in column (1) is 0.060 and is significant at the 10 per cent level. These findings confirm that after mitigating endogenous selection bias through PSM, green finance policy can still enhance energy resilience in pilot zones, corroborating the robustness of baseline results.

5.4.3. Different Control Group

According to statistics, in the first half of 2017, in addition to the five provinces that implemented the pilot policy, five other provinces, including Fujian, Jiangsu, Inner Mongolia, Qinghai and Shaanxi, promulgated policies related to green finance. To mitigate potential estimation bias from concurrent policies, these five provinces are excluded from the control group to form Control Group (2). As shown in Table 5, the estimated coefficient on green financial policy in column (2) is 0.022 and is significant at the 1% level. This demonstrates that green finance policy continues to exert positive effects on energy resilience enhancement even after accounting for parallel policy interventions. The results of the robustness tests are generally consistent with the previous results, thereby reinforcing the robustness of the above conclusions.

5.4.4. Endogeneity Analysis

Although the DID approach can avoid the endogeneity problem to some extent, it fails to address sample selection bias. Therefore, this study employs an instrumental variable (IV) approach to further alleviate potential endogeneity. We adopted Cao et al.’s methodology by constructing the instrumental variable through the multiplication of time-invariant historical variables and temporal trend variables [48]. Specifically, we utilized spherical distances from each Chinese province to Beijing as the instrumental variable, implementing two-stage least squares (2SLS) estimation for validation. The theoretical rationale for this IV selection is as follows: ① In terms of relevance, the choice of policy pilots in China tends to be driven by considerations of regional representativeness and strategic layout. Governments may consider a balance of geographical coverage when selecting pilot areas. They tend to select pilot areas at varying distances and orientations from the capital to evaluate policy efficacy across diverse regional contexts. ② In terms of exogeneity, the physical distance between each province and Beijing is a geographical attribute that was fixed before the implementation of the pilot zone policy. Distance to the capital does not directly influence provincial energy system resilience. Table 6 reports the regression results. Column (1) shows a significantly positive coefficient for the instrumental variable, confirming its strong relevance to the endogenous regressor. Column (2) demonstrates that the coefficient for green finance policies’ impact on energy resilience remains significantly positive at the 1% level.

5.5. Heterogeneity Analysis

The preceding analysis demonstrates that green finance policy significantly enhances energy resilience. Figure 2 illustrates the evolving trend of energy resilience across Chinese provinces during the 2013–2022 period. The figure demonstrates a marked improvement in energy resilience over the decade. Furthermore, substantial provincial disparities in energy resilience levels are evident nationwide. Building on geographical location and Chen et al.’s methodology [49], we conducted subgroup regressions by categorizing 30 provinces into eastern, central, and western regions. The eastern region comprises Beijing, Tianjin, Shanghai, Liaoning, Shandong, Hebei, Jiangsu, Fujian, Zhejiang, Guangdong, and Hainan. The central region includes Heilongjiang, Jilin, Hubei, Hunan, Henan, Anhui, Jiangxi, and Shanxi. The western region encompasses Guangxi, Guizhou, Sichuan, Chongqing, Shaanxi, Gansu, Ningxia, Xinjiang, Inner Mongolia, Qinghai, and Yunnan. The regression results are presented in Table 7. Column (1) shows a statistically significant coefficient of 0.062 for green finance policy at the 1% level. The significantly positive results in the eastern region indicate effective enhancement of energy resilience through green finance policy implementation. This phenomenon can be attributed to the eastern region’s advanced economic development level, where optimized economic environments and industrial structure upgrading have catalyzed green finance development, subsequently improving energy resilience. Columns (2) and (3) reveal statistically insignificant policy coefficients. This suggests that the contribution of green finance policy to energy resilience has not yet been fully realized in central and western regions compared to the east. Possible reasons for this phenomenon include the relative backwardness of economic development in the central and western regions, a strong dependence on traditional energy sources, and a severe brain drain. Therefore, enhanced support for green finance development in the central and western regions is imperative. The implementation strategy should be designated according to local conditions to effectively utilize the policy’s positive contribution to energy resilience.

6. Analysis of the Mechanisms

This study investigates the pathways through which green finance policy enhances energy resilience by analyzing industrial structure optimization and green technological innovation. Building on existing research and prior theoretical discussions of their impacts on energy resilience, we conducted empirical analysis of these mechanisms. The results presented in Table 8 demonstrate that the coefficient for green finance policy’s impact on industrial structure optimization in Column (1) is statistically significant and positive. This suggests that green finance policy facilitates industrial restructuring, improves energy consumption patterns, and consequently strengthens energy resilience. Column (2) reveals a significantly positive coefficient for green finance policy’s effect on green technology innovation levels. These findings indicate that green finance policy substantially drives green technological advancements. The empirical results align with theoretical hypotheses, confirming that green finance policy effectively enhances energy resilience through industrial restructuring and technological innovation. Hypotheses 2 and 3 are supported by the findings.

7. Conclusions and Discussion

7.1. Research Conclusions

In the process of socio-economic development and operation, the stable supply and efficient use of energy—as one of the driving force sources of economic development—is particularly important. Energy resilience constitutes the foundation for ensuring national energy security. Enhancing energy resilience is not only essential for high-quality economic development, but also a crucial responsibility for ecological preservation and human welfare. Leveraging China’s green finance reform pilot zones as a quasi-natural experiment, this study employed a staggered DID design to estimate the causal effect of green finance policy on energy resilience. The analysis utilized panel data from 30 provincial-level regions in China from 2013 to 2022 and fully considered the differences in policy effects between pilot areas. The study has found that the implementation of pilot zones for green finance reform and innovation policy significantly enhances energy resilience. This conclusion remains robust after undergoing placebo tests, PSM-DID analyses, endogeneity analysis, and alternative control groups. Mechanism tests reveal that green finance policy strengthens energy resilience through industrial structure optimization and green technological innovation. Heterogeneity analysis demonstrates more pronounced energy resilience enhancement effects of green finance policy in the eastern region. The effects of the policy in the central and western regions have not been fully exploited due to regional conditions.

7.2. Policy Recommendations

To further enhance the impact of pilot zones for green finance reform and innovation policy on energy resilience, this study proposes the following policy recommendations based on the aforementioned findings: ① Strengthen the significant role of pilot zones for green finance reform and innovation policy in enhancing energy resilience; provide targeted green financial services to different sectors; expand service coverage; broaden the policy influence of pilot zones; accelerate green finance development; and establish a long-term mechanism to support sustainable green finance development while improving relevant policy frameworks. ② Strongly support green technology innovation and build an institutionalized incentive system. It is necessary to provide substantive support and assistance for technological innovation through increased R&D funding, higher tax deduction ratios, and other measures to accelerate the synergistic evolution of innovative elements. Simultaneously, it is crucial to promote industrial transformation toward specialization, concentration, and high-tech development while maintaining balanced industrial structure growth. This will enhance energy use efficiency and reduce reliance on traditional energy sources. An emphasis should be placed on the role of green finance policy in advancing green innovation and optimizing industrial structure. In this way, green finance can significantly improve energy resilience while achieving high-quality economic development. ③ Formulate region-specific policies tailored to local development conditions. In the process of implementing policies for green finance reform and innovation pilot zones, it is essential to pay attention to the differences in the development of each province, emphasize the strengths and shortcomings of different regions, and target the implementation of policies suitable for different areas. At the same time, there is a need to establish robust interregional energy cooperation and coordinated development mechanisms to reduce geographical disparities in policy outcomes and effectively enhance energy resilience across provinces.

8. Research Shortcomings and Prospects

This study innovatively constructs a staggered DID model to empirically examine the impact of pilot zones for green finance reform and innovations policy on energy resilience. While providing valuable insights for future research and policy formulation, several limitations warrant improvement. First, the provincial panel dataset covering 30 Chinese regions constitutes a relatively small sample size. Subsequent studies could employ municipal-level data to enable a more granular analysis of energy resilience. Second, future research should incorporate advanced econometric models beyond the DID methodology to expand the analytical scope and depth, thereby uncovering novel pathways for energy resilience enhancement.

Author Contributions

Writing—original draft preparation, L.L.; methodology, B.G. All authors have read and agreed to the published version of the manuscript.

Funding

This research received no external funding.

Institutional Review Board Statement

Not applicable.

Informed Consent Statement

Not applicable.

Data Availability Statement

Data will be made available on request.

Conflicts of Interest

The authors declare no conflict of interest.

References

  1. Wang, C.; Sun, F.; Xu, Y.; Jiang, X. Changes in Global Energy Landscape and New Developments in Energy Science and Technology amid Ukraine Crisis. Bull. Chin. Acad. Sci. 2023, 38, 875–886. [Google Scholar] [CrossRef]
  2. Xin, B.; Zhang, M. Evolutionary game on international energy trade under the Russia-Ukraine conflict. Energy Econ. 2023, 125, 106827. [Google Scholar] [CrossRef]
  3. Feng, Y.; Pan, Y.; Lu, S.; Shi, J. Identifying the multiple nexus between geopolitical risk, energy resilience, and carbon emissions: Evidence from global data. Technol. Forecast. Soc. Change 2024, 208, 123661. [Google Scholar] [CrossRef]
  4. Wang, Z.; Hao, Y. Can smart cities improve energy resilience? Evidence from 229 cities in China. Sustain. Cities Soc. 2024, 117, 105971. [Google Scholar] [CrossRef]
  5. Ang, B.W.; Choong, W.L.; Ng, T.S. Energy security: Definitions, dimensions and indexes. Renew. Sustain. Energy Rev. 2015, 42, 1077–1093. [Google Scholar] [CrossRef]
  6. Fan, W.; Lv, W.; Wang, Z. How to measure and enhance the resilience of energy systems? Sustain. Prod. Consum. 2023, 39, 191–202. [Google Scholar] [CrossRef]
  7. Liu, Q.; Lei, Q.; Xu, H.; Yuan, J. China’s energy revolution strategy into 2030. Resour. Conserv. Recycl. 2018, 128, 78–89. [Google Scholar] [CrossRef]
  8. Du, J.; Shen, Z.; Song, M.; Vardanyan, M. The role of green financing in facilitating renewable energy transition in China: Perspectives from energy governance, environmental regulation, and market reforms. Energy Econ. 2023, 120, 106595. [Google Scholar] [CrossRef]
  9. Liu, H.; Yao, P.; Latif, S.; Aslam, S.; Iqbal, N. Impact of Green financing, FinTech, and financial inclusion on energy efficiency. Environ. Sci. Pollut. Res. 2022, 29, 18955–18966. [Google Scholar] [CrossRef]
  10. Reggiani, A. Network resilience for transport security: Some methodological considerations. Transp. Policy 2013, 28, 63–68. [Google Scholar] [CrossRef]
  11. Rose, A. Economic resilience to natural and man-made disasters: Multidisciplinary origins and contextual dimensions. Environ. Hazards 2007, 7, 383–398. [Google Scholar] [CrossRef]
  12. Holling, C.S. Resilience and Stability of Ecological Systems. In Foundations of Socio-Environmental Research: Legacy Readings with Commentaries; Cambridge University Press: Cambridge, UK, 1973; Volume 4, pp. 460–482. [Google Scholar] [CrossRef]
  13. Fingleton, B.; Garretsen, H.; Martin, R. Recessionary shocks and regional employment: Evidence on the resilience of UK regions. J. Reg. Sci. 2012, 52, 109–133. [Google Scholar] [CrossRef]
  14. LI, L.; Zhang, P.; Tan, J.; Guan, H. Review on the evolution of resilience concept and research progress on regional economic resilience. Hum. Geogr. 2019, 34, 1–7+151. [Google Scholar] [CrossRef]
  15. Zhang, Y.; Hu, W.; Tao, Y.; Zhang, B. How does smart artificial intelligence influence energy system resilience? Evidence from energy vulnerability assessments in G20 countries. Energy 2025, 314, 134290. [Google Scholar] [CrossRef]
  16. Sato, M.; Kharrazi, A.; Nakayama, H.; Kraines, S.; Yarime, M. Quantifying the supplier-portfolio diversity of embodied energy: Strategic implications for strengthening energy resilience. Energy Policy 2017, 105, 41–52. [Google Scholar] [CrossRef]
  17. Schlör, H.; Venghaus, S.; Märker, C.; Hake, J.-F. Managing the resilience space of the German energy system—A vector analysis. J. Environ. Manag. 2018, 218, 527–539. [Google Scholar] [CrossRef]
  18. Gatto, A.; Drago, C. Measuring and modeling energy resilience. Ecol. Econ. 2020, 172, 106527. [Google Scholar] [CrossRef]
  19. Briguglio, L.; Gordon, C.; Nadia, F.; Vella, S. Economic Vulnerability and Resilience: Concepts and Measurements. Oxf. Dev. Stud. 2009, 37, 229–247. [Google Scholar] [CrossRef]
  20. Ribeiro, P.J.G.; Pena Jardim Gonçalves, L.A. Urban resilience: A conceptual framework. Sustain. Cities Soc. 2019, 50, 101625. [Google Scholar] [CrossRef]
  21. Dong, K.; Dong, X.; Jiang, Q.; Zhao, J. Assessing energy resilience and its greenhouse effect: A global perspective. Energy Econ. 2021, 104, 105659. [Google Scholar] [CrossRef]
  22. Afgan, N.; Veziroglu, A. Sustainable resilience of hydrogen energy system. Int. J. Hydrog. Energy 2012, 37, 5461–5467. [Google Scholar] [CrossRef]
  23. Yan, M.R.; Yan, H.; Chen, Y.R.; Zhang, Y.; Yan, X.; Zhao, Y. Integrated green supply chain system development with digital transformation. Int. J. Logist. Res. Appl. 2025, 1–22. [Google Scholar] [CrossRef]
  24. Lv, L.; Guo, B. Can green finance policy reduce energy consumption: Quasi-natural experimental evidence from green finance reform and innovations pilot zone. Front. Environ. Sci. 2025, 13, 1511837. [Google Scholar] [CrossRef]
  25. He, Y.; Liu, R. The impact of the level of green finance development on corporate debt financing capacity. Financ. Res. Lett. 2023, 52, 103552. [Google Scholar] [CrossRef]
  26. Wen, H.; Lee, C.C.; Zhou, F.J.E.E. Green credit policy, credit allocation efficiency and upgrade of energy-intensive enterprises. Energy Econ. 2021, 94, 105099. [Google Scholar] [CrossRef]
  27. Liu, Q.; Tang, L. Research on the accelerating effect of green finance on the transformation of energy consumption in China. Res. Int. Bus. Financ. 2022, 63, 101771. [Google Scholar] [CrossRef]
  28. Sampene, A.K.; Li, C.; Wiredu, J. An outlook at the switch to renewable energy in emerging economies: The beneficial effect of technological innovation and green finance. Energy Policy 2024, 187, 114025. [Google Scholar] [CrossRef]
  29. Zhang, Y.; Xia, F.; Zhenyu, Y.; Yuchen, S.; Wang, Q. Green Finance, Technological Innovation, and Energy Efficiency Improvements: Evidence from China’s Green Finance Reform Pilot Zone. Emerg. Mark. Financ. Trade 2023, 59, 3531–3549. [Google Scholar] [CrossRef]
  30. Liu, Y.; Han, L.; Pei, Z.; Jiang, Y. Evolution of the coupling coordination between the marine economy and urban resilience of major coastal cities in China. Mar. Policy 2023, 148, 105456. [Google Scholar] [CrossRef]
  31. Wang, X.; Wang, Q. Research on the impact of green finance on the upgrading of China’s regional industrial structure from the perspective of sustainable development. Resour. Policy 2021, 74, 102436. [Google Scholar] [CrossRef]
  32. Xiong, S.; Ma, X.; Ji, J. The impact of industrial structure efficiency on provincial industrial energy efficiency in China. J. Clean. Prod. 2019, 215, 952–962. [Google Scholar] [CrossRef]
  33. Fu, Q.; Gong, Q.; Zhao, X.-X.; Chang, C.-P. The effects of international sanctions on green innovations. Technol. Econ. Dev. Econ. 2023, 29, 141–164. [Google Scholar] [CrossRef]
  34. Yu, C.-H.; Wu, X.; Zhang, D.; Chen, S.; Zhao, J. Demand for green finance: Resolving financing constraints on green innovation in China. Energy Policy 2021, 153, 112255. [Google Scholar] [CrossRef]
  35. Sun, H.; Edziah, B.K.; Sun, C.; Kporsu, A.K. Institutional quality, green innovation and energy efficiency. Energy Policy 2019, 135, 111002. [Google Scholar] [CrossRef]
  36. Wang, W.; Liu, S.; Guo, B. Impact of national health city campaign on public health in China [Original Research]. Front. Public Health 2025, 13, 1594104. [Google Scholar] [CrossRef]
  37. Gatto, A.; Drago, C.; Panarello, D.; Aldieri, L. Energy transition in China: Assessing progress in sustainable development and resilience directions. Int. Econ. 2023, 176, 100450. [Google Scholar] [CrossRef]
  38. Nepal, R.; Zhao, X.; Liu, Y.; Dong, K. Can green finance strengthen energy resilience? The case of China. Technol. Forecast. Soc. Change 2024, 202, 123302. [Google Scholar] [CrossRef]
  39. Li, B.; Li, J.; Jian, B. Improve multi-energy supply microgrid resilience using mobile hydrogen trucks based on transportation network. eTransportation 2023, 18, 100265. [Google Scholar] [CrossRef]
  40. Zhang, W.; Valencia, A.; Gu, L.; Zheng, Q.P.; Chang, N.-B. Integrating emerging and existing renewable energy technologies into a community-scale microgrid in an energy-water nexus for resilience improvement. Appl. Energy 2020, 279, 115716. [Google Scholar] [CrossRef]
  41. Ke, S.; Zhang, Z.; Wang, Y. China’s forest carbon sinks and mitigation potential from carbon sequestration trading perspective. Ecol. Indic. 2023, 148, 110054. [Google Scholar] [CrossRef]
  42. Jie, H.; Khan, I.; Alharthi, M.; Zafar, M.W.; Saeed, A. Sustainable energy policy, socio-economic development, and ecological footprint: The economic significance of natural resources, population growth, and industrial development. Util. Policy 2023, 81, 101490. [Google Scholar] [CrossRef]
  43. Zhang, M.; Yan, T.; Gao, W.; Xie, W.; Yu, Z. How does environmental regulation affect real green technology innovation and strategic green technology innovation? Sci. Total Environ. 2023, 872, 162221. [Google Scholar] [CrossRef]
  44. Xu, H.; Liu, B.; Lin, K.; Zhang, Y.; Liu, B.; Xie, M. Towards Carbon Neutrality: Carbon Emission Performance of Science and Technology Finance Policy. Int. J. Environ. Res. Public Health 2022, 19, 16811. [Google Scholar] [CrossRef]
  45. Lin, B.; Zhou, Y. Understanding the institutional logic of urban environmental pollution in China: Evidence from fiscal autonomy. Process Saf. Environ. Prot. 2022, 164, 57–66. [Google Scholar] [CrossRef]
  46. Guo, B.; Qian, Y.; Guo, X.; Zhang, H. Impact of Zero-Waste City Pilot Policies on Urban Energy Consumption Intensity: Causal Inference Based on Double Machine Learning. Sustainability 2025, 17, 5039. [Google Scholar] [CrossRef]
  47. Guo, B.; Wang, Y.; Feng, Y.; Liang, C.; Tang, L.; Yao, X.; Hu, F. The effects of environmental tax reform on urban air pollution: A quasi-natural experiment based on the Environmental Protection Tax Law [Original Research]. Front. Public Health 2022, 10, 967524. [Google Scholar] [CrossRef]
  48. Cao, X.; Deng, M.; Li, H. How does e-commerce city pilot improve green total factor productivity? Evidence from 230 cities in China. J. Environ. Manag. 2021, 289, 112520. [Google Scholar] [CrossRef]
  49. Chen, Y.; Kong, X.; Wen, X.; Fu, Y. Analysis of the spatial spillover effect of electricity generation from renewable energy on carbon emissions: Based on empirical evidence from Chinese provinces and cities. J. Environ. Plan. Manag. 2025, 68, 1449–1471. [Google Scholar] [CrossRef]
Figure 1. Research flow chart.
Figure 1. Research flow chart.
Sustainability 17 05757 g001
Figure 2. Spatial distribution of China’s energy resilience index.
Figure 2. Spatial distribution of China’s energy resilience index.
Sustainability 17 05757 g002
Figure 3. Parallel trend test.
Figure 3. Parallel trend test.
Sustainability 17 05757 g003
Figure 4. Placebo test.
Figure 4. Placebo test.
Sustainability 17 05757 g004
Table 1. Descriptive statistics of the main variables.
Table 1. Descriptive statistics of the main variables.
Variables(1)(2)(3)(4)(5)
NMeansdMinMax
ERI3000.2400.0920.0810.726
DID3000.0930.29101
PGDP3006.4543.0922.31519.03
FIN3003.5211.0841.9127.605
DIA3000.9430.2070.3141.501
UR3000.6070.1140.3780.896
ER3004.9410.6003.1436.617
Table 2. Energy resilience assessment indicator system.
Table 2. Energy resilience assessment indicator system.
MetricFirst TierSecond TierThird TierAttributes
Energy resilienceEconomic resilienceEconomic operationProducer price index for industrial products+
Total energy consumption/GDP
Economic structureIndustrial value added/GDP+
Total import and export trade/GDP+
Economic potentialNumber of patent applications+
Social resilienceSupply and transportation infrastructurePower generation+
Total length of gas supply pipelines+
Information transmissionInternet broadband access ports+
Mobile phone penetration rate+
Resource resilienceEnergy endowment(Natural gas production + power generation)/Total population+
Energy consumption(Natural gas production + power generation)/Total energy consumption+
Energy consumption/Total population
Environmental resilienceEcological securityForest coverage rate+
Environmental pollutionSulfur dioxide emissions/Total population
Economic losses from natural disasters
Table 3. Data definitions and sources.
Table 3. Data definitions and sources.
Indicator NameVariable NameMethods of MeasurementData Source
Economic situationPGDPGDP/Year-end total populationChina Social Statistical Yearbook
Environmental regulationERLocal government environmental protection expenditureChina Statistical Yearbook
Urbanization rateURUrban population/Total resident PopulationStatistical Communiqué of the People’s Republic of China National Economic and Social Development
Financial developmentFINFinancial institutions deposit-loan balance/GDP China City Statistical Yearbook
The degree of industrial agglomerationDIAProvincial industrial added value/Total industrial added valueStatistical Communiqué of the People’s Republic of China National Economic and Social Development
Industrial structureISRegional tertiary industry output value/GDP China Statistical Yearbook
Green technology innovationGTIAnnual number of green patent applications per provinceChina National Intellectual Property Administration
Table 4. Baseline regression result.
Table 4. Baseline regression result.
Variables(1)(2)(3)(4)(5)(6)
ERIERIERIERIERIERI
DID0.026 ***0.026 ***0.026 ***0.024 ***0.023 ***0.017 ***
(4.346)(4.337)(4.202)(3.876)(3.670)(2.823)
PGDP 0.0000.0000.0010.001−0.000
(0.237)(0.167)(0.746)(0.856)(−0.016)
ER 0.002−0.001−0.001−0.007
(0.275)(−0.100)(−0.138)(−1.148)
UR 0.155 *0.181 *0.173 *
(1.655)(1.871)(1.855)
FIN 0.0060.015 **
(1.056)(2.549)
DIA 0.085 ***
(4.651)
Constant0.238 ***0.236 ***0.227 ***0.139 **0.1020.038
(181.386)(24.331)(7.378)(2.259)(1.440)(0.547)
Observations300300300300300300
R-squared0.9560.9560.9560.9570.9570.960
Id FEYESYESYESYESYESYES
Year FEYESYESYESYESYESYES
Note: T-statistics in parentheses, *** p < 0.01, ** p < 0.05, * p < 0.1.
Table 5. Robustness tests.
Table 5. Robustness tests.
VariablesPSMDifferent Control Group
(1)(2)
DID0.060 *0.022 ***
(1.825)(3.538)
PGDP0.001−0.002
(0.095)(−0.988)
ER0.094 **0.001
(2.373)(0.194)
UR0.5290.134
(1.274)(1.431)
FIN−0.0290.007
(−1.508)(1.064)
DIA0.1120.051 ***
(1.004)(2.607)
Constant−0.537 *0.084
(−1.799)(1.148)
Observations75250
R-squared0.7190.961
Id FEYESYES
Year FEYESYES
Note: T-statistics in parentheses, *** p < 0.01, ** p < 0.05, * p < 0.1.
Table 6. Endogeneity analysis.
Table 6. Endogeneity analysis.
VariablesInstrumental Variable Method
(1)(2)
IV0.007 **
(2.407)
DID 0.289 ***
(6.471)
PGDP0.0090.009 ***
(0.779)(2.888)
ER0.0690.047 ***
(1.154)(5.434)
UR2.207 **0.3307 ***
(2.582)(3.993)
FIN0.193 ***−0.045 ***
(3.848)(−7.562)
DIA0.582 ***−0.025
(3.470)(−1.049)
Observations300300
R-squared0.5920.117
Id FEYesYes
Year FEYesYes
Kleibergen-Paap rk Wald F21.483
Kleibergen-Paap rk LM23.775 ***
Note: T-statistics in parentheses, *** p < 0.01, ** p < 0.05, * p < 0.1.
Table 7. Heterogeneity analysis.
Table 7. Heterogeneity analysis.
Variables(1)(2)(3)
ERIERIERI
DID0.062 ***−0.004−0.004
(5.303)(−0.854)(−0.449)
PGDP−0.0030.008 ***0.002
(−1.499)(4.580)(0.469)
ER−0.016 *0.009 *−0.005
(−1.693)(1.828)(−0.305)
UR0.565 ***−0.260 ***−0.121
(3.614)(−2.777)(−0.425)
FIN0.021 **−0.028 ***0.004
(2.098)(−3.812)(0.433)
DIA0.110 **0.0120.067 **
(2.118)(1.199)(2.534)
Constant−0.1880.336 ***0.213
(−1.580)(4.536)(1.512)
Observations11080110
R-squared0.9760.9850.917
Id FEYESYESYES
Year FEYESYESYES
Note: T-statistics in parentheses, *** p < 0.01, ** p < 0.05, * p < 0.1.
Table 8. Analysis of the mechanisms.
Table 8. Analysis of the mechanisms.
Variables(1)(2)
ISGTI
DID0.052 ***0.674 ***
(4.328)(5.136)
Constant0.490 ***7.634 ***
(169.616)(242.968)
Observations300300
R-squared0.7700.932
Id FEYESYES
Year FEYESYES
Note: T-statistics in parentheses, *** p < 0.01, ** p < 0.05, * p < 0.1.
Disclaimer/Publisher’s Note: The statements, opinions and data contained in all publications are solely those of the individual author(s) and contributor(s) and not of MDPI and/or the editor(s). MDPI and/or the editor(s) disclaim responsibility for any injury to people or property resulting from any ideas, methods, instructions or products referred to in the content.

Share and Cite

MDPI and ACS Style

Lv, L.; Guo, B. Do Pilot Zones for Green Finance Reform and Innovation Policy Enhance China’s Energy Resilience? Sustainability 2025, 17, 5757. https://doi.org/10.3390/su17135757

AMA Style

Lv L, Guo B. Do Pilot Zones for Green Finance Reform and Innovation Policy Enhance China’s Energy Resilience? Sustainability. 2025; 17(13):5757. https://doi.org/10.3390/su17135757

Chicago/Turabian Style

Lv, Lu, and Bingnan Guo. 2025. "Do Pilot Zones for Green Finance Reform and Innovation Policy Enhance China’s Energy Resilience?" Sustainability 17, no. 13: 5757. https://doi.org/10.3390/su17135757

APA Style

Lv, L., & Guo, B. (2025). Do Pilot Zones for Green Finance Reform and Innovation Policy Enhance China’s Energy Resilience? Sustainability, 17(13), 5757. https://doi.org/10.3390/su17135757

Note that from the first issue of 2016, this journal uses article numbers instead of page numbers. See further details here.

Article Metrics

Back to TopTop