ESG Carbonwashing: A New Type of ESG-Washing
Abstract
1. Introduction
2. Literature Review
2.1. Definition and Types of Corporate ESG-Washing
2.2. Measurement of Corporate ESG-Washing
3. Data and Methods
3.1. Sample Selection and Data Sources
3.2. Measurement of Corporate ESG Carbonwashing
3.2.1. Measurement Design
3.2.2. The Measurement of Carbon Disclosure Levels Based on Content Analysis Method
| Primary Indicator | Secondary Indicator | Specific Description | Reference Source | 2018 | 2019 | 2020 | 2021 | 2022 | |||||
|---|---|---|---|---|---|---|---|---|---|---|---|---|---|
| N | % | N | % | N | % | N | % | N | % | ||||
| Carbon Emission Reduction Awareness and Strategy | Carbon Reduction Philosophy and Strategy | Incorporating carbon reduction concepts into the firm’s development strategy and establishing a low-carbon management charter to guide carbon reduction efforts. | CDP (2023, C3.2) | 33 | 56 | 33 | 56 | 48 | 81 | 57 | 97 | 57 | 97 |
| Carbon Risks and Opportunities | Identifying, assessing, and responding to carbon-related risks and opportunities. | CDP (2023, C2.1) | 45 | 76 | 49 | 83 | 37 | 63 | 47 | 80 | 48 | 81 | |
| Carbon Reduction Plans and Targets | Develop annual and quarterly carbon emission reduction plans and targets for low-carbon development. | CDP (2023, C4.1) | 33 | 56 | 33 | 56 | 48 | 81 | 57 | 97 | 57 | 97 | |
| Carbon Emission Reduction Management and Incentives | Low Carbon Management System | Establish committees, departments, and positions related to carbon emission reduction management. | CDP (2023, C1.2) | 34 | 58 | 36 | 61 | 35 | 59 | 40 | 68 | 43 | 73 |
| Low-carbon Incentive and Penalty Mechanism | Develop reward, punishment, incentive, and evaluation mechanisms for carbon emissions. | CDP (2023, C1.3) | 2 | 3 | 1 | 2 | 3 | 5 | 6 | 10 | 7 | 12 | |
| Low Carbon Education and Training | Low-carbon education and training conducted for management and employees. | Bui & de Villiers (2017) [39], Pitrakkos & Maroun (2020) [40] | 33 | 56 | 39 | 66 | 27 | 46 | 38 | 64 | 41 | 69 | |
| Carbon Emission Reduction Actions and Performance | Carbon Reduction Actions or Measures | Emission reduction equipment upgrades and purchases, technological research and development, project construction, etc. | CDP (2023, C4.3) | 59 | 100 | 59 | 100 | 59 | 100 | 59 | 100 | 59 | 100 |
| Actual Carbon Emissions | Actual carbon emissions (Scope 1 and Scope 2). | CDP (2023, C6.2) | 38 | 64 | 38 | 64 | 45 | 76 | 51 | 86 | 58 | 98 | |
| Carbon Emission Reduction Status | Explanations regarding the standards and methods for calculating carbon emissions, and other related details. | CDP (2023, 4.1) | 45 | 76 | 46 | 78 | 54 | 92 | 59 | 100 | 59 | 100 | |
| Carbon Emission Verification and Trading | Carbon Emission Accounting Method | Explanations regarding the standards and methods for calculating carbon emissions. | CDP (2023, C5.1) | 7 | 12 | 5 | 8 | 7 | 12 | 14 | 24 | 17 | 29 |
| Carbon Information Audit and Verification | Whether the carbon information has been verified by an independent third-party organization. | CDP (2023, C10.1) | 2 | 3 | 3 | 5 | 6 | 10 | 8 | 14 | 12 | 20 | |
| Carbon emissions trading situation | Carbon emissions trading volume, trading income, expenses, and other related information. | CDP (2023, C11.1) | 12 | 20 | 12 | 20 | 16 | 27 | 19 | 32 | 22 | 37 | |
3.2.3. The Measurement of Carbon Disclosure Levels Based on Text Analysis Method
3.2.4. The Measurement of ESG Performance
4. Results
4.1. Comprehensive Analysis
4.2. Analysis of Temporal Differences
4.3. Analysis of Industry Differences
5. Discussion and Conclusions
Author Contributions
Funding
Institutional Review Board Statement
Informed Consent Statement
Data Availability Statement
Conflicts of Interest
Appendix A
| Stock Code | Stock Name | (1) | (2) | (3) | (4) |
|---|---|---|---|---|---|
| Industry Sector | CD1 | CD2 | ESGP | ||
| 12 | CSG Holding Co., Ltd. | Building Materials | 8.4 | 10 | 64.604 |
| 401 | Tangshan Jidong Cement Co., Ltd. | Building Materials | 7.4 | 6.6 | 71.578 |
| 539 | Guangdong Electric Power Development Co., Ltd. | Electric Power | 10 | 10 | 66.362 |
| 630 | Tongling Nonferrous Metals Group Co., Ltd. | Nonferrous Metals | 8 | 5.8 | 67.77 |
| 672 | Shangfeng Cement Co., Ltd. | Building Materials | 10 | 14.6 | 63.966 |
| 690 | Baotou New Energy Co., Ltd. | Electric Power | 10.8 | 3.6 | 67.476 |
| 807 | Yunnan Aluminium Co., Ltd. | Nonferrous Metals | 11.6 | 21 | 71.058 |
| 815 | Qilianshan Cement Group Co., Ltd. | Paper Manufacturing | 3.6 | 0 | 59.262 |
| 819 | Yueyang Xingchang Petrochemical Co., Ltd. | Petrochemical | 5.2 | 1.6 | 66.326 |
| 881 | CGN Nuclear Technology Development Co., Ltd. | Chemical | 6.6 | 4.4 | 68.968 |
| 933 | Henan Shenhuo Coal & Power Co., Ltd. | Nonferrous Metals | 5.6 | 1.8 | 50.532 |
| 960 | Yunnan Tin Firm Limited | Nonferrous Metals | 10.4 | 17.4 | 68.914 |
| 2067 | Zhejiang Jingxing Paper Joint Stock Co., Ltd. | Paper Manufacturing | 9.6 | 4.2 | 71.11 |
| 2078 | Shandong Sun Paper Industry Joint Stock Co., Ltd. | Paper Manufacturing | 6.8 | 11 | 75.95 |
| 2165 | Hongbaoli Group Co., Ltd. | Chemical | 8.6 | 3.8 | 69.62 |
| 2203 | Hailiang Group Co., Ltd. | Nonferrous Metals | 11.6 | 20 | 71.948 |
| 2233 | Guangdong Tapai Group Co., Ltd. | Building Materials | 9.6 | 11 | 75.054 |
| 2511 | C&S Paper Co., Ltd. | Paper Manufacturing | 6.8 | 0.2 | 62.252 |
| 2601 | Lomon Billions Group Co., Ltd. | Chemical | 9.8 | 19 | 64.106 |
| 600004 | Guangzhou Baiyun International Airport Co., Ltd. | Nonferrous Metals | 5.8 | 1.4 | 64.894 |
| 600010 | Baoshan Iron & Steel Co., Ltd. | Steel | 7.2 | 11 | 60.572 |
| 600019 | Baoshan Iron & Steel Co., Ltd. | Steel | 13.2 | 82.8 | 73.464 |
| 600029 | China Southern Airlines Firm Limited | Nonferrous Metals | 14 | 19.8 | 71.79 |
| 600063 | Anhui Wanwei Updated High-Tech Material Industry Co., Ltd. | Chemical | 8 | 4.8 | 71.018 |
| 600098 | Guangzhou Development Group Incorporated | Electric Power | 11.6 | 26 | 78.832 |
| 600103 | Qingshan Paper Industry Co., Ltd. | Paper Manufacturing | 11.6 | 9.8 | 67.418 |
| 600110 | Nord Investment Co., Ltd. | Nonferrous Metals | 5.6 | 4 | 65.546 |
| 600115 | China Eastern Airlines Corporation Limited | Nonferrous Metals | 13.6 | 27.2 | 73.906 |
| 600160 | Zhejiang Juhua Co., Ltd. | Petrochemical | 12 | 4.2 | 75.472 |
| 600219 | Nanshan Aluminum Co., Ltd. | Nonferrous Metals | 9 | 21.6 | 67.598 |
| 600221 | Hainan Airlines Holding Co., Ltd. | Nonferrous Metals | 9.8 | 6 | 54.99 |
| 600255 | Mengzhou Co., Ltd. | Nonferrous Metals | 4.6 | 1.6 | 55.594 |
| 600273 | Zhejiang Jiahua Energy Chemical Industry Co., Ltd. | Chemical | 10.4 | 4.2 | 67.648 |
| 600307 | Jiuquan Iron & Steel Co., Ltd. | Steel | 7.6 | 10.2 | 63.792 |
| 600308 | Huatai Co., Ltd. | Paper Manufacturing | 7.6 | 0.6 | 62.222 |
| 600309 | Wanhua Chemical Group Co., Ltd. | Petrochemical | 10.6 | 19.2 | 70.66 |
| 600356 | Hengfeng Paper Co., Ltd. | Paper Manufacturing | 7.6 | 7.2 | 70.784 |
| 600362 | Jiangxi Copper Firm Limited | Nonferrous Metals | 10.6 | 19.6 | 81.226 |
| 600409 | Tangshan Sanyou Chemical Industries Co., Ltd. | Chemical | 10.4 | 3.2 | 73.218 |
| 600433 | Guangxi Guiguan Electric Power Co., Ltd. | Paper Manufacturing | 9.6 | 12.6 | 76.644 |
| 600452 | Fuling Electric Power Industrial Co., Ltd. | Electric Power | 5.8 | 8.4 | 57.022 |
| 600490 | Pengxin Resources Co., Ltd. | Nonferrous Metals | 6 | 2.4 | 65.738 |
| 600500 | Sinochem International Corporation | Chemical | 11.6 | 50.2 | 82.086 |
| 600531 | Henan Yuguang Gold & Lead Co., Ltd. | Nonferrous Metals | 10.2 | 3.8 | 64.58 |
| 600585 | Anhui Conch Cement Firm Limited | Building Materials | 9.2 | 6.2 | 81.734 |
| 600618 | Shanghai Chlor-Alkali Chemical Co., Ltd. | Chemical | 10.4 | 2.6 | 70.274 |
| 600623 | Shanghai Huayi Group Corporation Limited | Petrochemical | 8.6 | 2.8 | 69.496 |
| 600660 | Fuyao Glass Industry Group Co., Ltd. | Building Materials | 7.6 | 6.8 | 81.394 |
| 600688 | Sinopec Shanghai Petrochemical Firm Limited | Petrochemical | 13.4 | 5.2 | 66.73 |
| 600801 | Huaxin Cement Co., Ltd. | Building Materials | 11.8 | 36.8 | 76.222 |
| 600802 | Fujian Cement Inc. | Building Materials | 6.2 | 1.4 | 71.876 |
| 600876 | Luoyang Glass Firm Limited | Building Materials | 8.6 | 3.2 | 59.472 |
| 600881 | Yatai Group Co., Ltd. | Building Materials | 8.8 | 0.2 | 66.764 |
| 600886 | SDIC Power Holdings Co., Ltd. | Electric Power | 11.2 | 16.6 | 73.024 |
| 601111 | Air China Limited | Nonferrous Metals | 14.4 | 45.8 | 72.758 |
| 601636 | Kibing Group Co., Ltd. | Building Materials | 6.4 | 3 | 64.436 |
| 601991 | Datang International Power Generation Co., Ltd. | Electric Power | 12 | 15.4 | 66.64 |
| 601992 | BBMG Corporation | Building Materials | 12.4 | 26.8 | 81.558 |
| 603165 | Rongsheng Environmental Protection Paper Co., Ltd. | Paper Manufacturing | 10 | 8.2 | 71.2 |
Appendix B
| Panel A: Descriptive Statistics by Year Distribution | ||||||
|---|---|---|---|---|---|---|
| Year | Sample Size | Mean | Standard Deviation | Minimum Value | Median | Maximum Value |
| 2018 | 59 | 7.508 | 3.245 | 1 | 8 | 15 |
| 2019 | 59 | 7.864 | 3.401 | 1 | 8 | 14 |
| 2020 | 59 | 8.695 | 3.349 | 2 | 9 | 15 |
| 2021 | 59 | 10.373 | 3.216 | 4 | 11 | 17 |
| 2022 | 59 | 11.78 | 2.198 | 6 | 12 | 17 |
| Total | 295 | 9.244 | 3.487 | 1 | 10 | 17 |
| Panel B: Descriptive Statistics by Industry Distribution | ||||||
| Industry | Sample Size | Mean | Standard Deviation | Minimum Value | Median | Maximum Value |
| Chemicals | 35 | 9.343 | 2.999 | 4 | 10 | 14 |
| Building Materials | 60 | 8.867 | 2.873 | 1 | 9 | 14 |
| Non-ferrous Metals | 55 | 8.473 | 3.868 | 3 | 9 | 15 |
| Power | 30 | 10.233 | 3.245 | 1 | 11 | 16 |
| Petrochemical | 30 | 10.033 | 3.146 | 3 | 10.5 | 15 |
| Aviation | 25 | 11.52 | 3.607 | 4 | 13 | 16 |
| Paper Manufacturing | 45 | 8.133 | 3.527 | 2 | 8 | 14 |
| Steel | 15 | 9.333 | 4.203 | 3 | 10 | 17 |
| Total | 295 | 9.244 | 3.487 | 1 | 10 | 17 |
Appendix C
| Panel A: Descriptive Statistics by Year Distribution | ||||||
|---|---|---|---|---|---|---|
| Year | Sample Size | Mean | Standard Deviation | Minimum Value | Median | Maximum Value |
| 2018 | 59 | 2.763 | 3.282 | 0 | 2 | 13 |
| 2019 | 59 | 2.847 | 3.934 | 0 | 2 | 20 |
| 2020 | 59 | 5.898 | 7.768 | 0 | 3 | 37 |
| 2021 | 59 | 21.76 | 28.45 | 0 | 13 | 127 |
| 2022 | 59 | 26.8 | 35.97 | 0 | 14 | 226 |
| Total | 295 | 12.01 | 23.16 | 0 | 4 | 226 |
| Panel B: Descriptive Statistics by Industry Distribution | ||||||
| Industry | Sample Size | Mean | Standard Deviation | Minimum Value | Median | Maximum Value |
| Chemicals | 35 | 12.571 | 24.874 | 0 | 3 | 102 |
| Building Materials | 60 | 10.55 | 17.296 | 0 | 4 | 106 |
| Non-ferrous Metals | 55 | 10.818 | 16.324 | 0 | 3 | 71 |
| Power | 30 | 13.333 | 14.826 | 0 | 4.5 | 51 |
| Petrochemical | 30 | 6.2 | 11.1 | 0 | 3 | 57 |
| Aviation | 25 | 20.04 | 32.639 | 0 | 6 | 114 |
| paper manufacturing | 45 | 5.978 | 9.602 | 0 | 2 | 49 |
| Steel | 15 | 34.667 | 61.451 | 0 | 13 | 226 |
| Total | 295 | 12.014 | 23.164 | 0 | 4 | 226 |
Appendix D
| Panel A: Descriptive Statistics by Year Distribution | ||||||
|---|---|---|---|---|---|---|
| Year | Sample Size | Mean | Standard Deviation | Minimum Value | Median | Maximum Value |
| 2018 | 59 | 74.5 | 10.61 | 47.57 | 74.5 | 97.02 |
| 2019 | 59 | 65.82 | 7.206 | 44.61 | 65.85 | 81.04 |
| 2020 | 59 | 66.91 | 7.646 | 47.06 | 67.29 | 84.37 |
| 2021 | 59 | 67.93 | 7.501 | 50 | 67.52 | 86.69 |
| 2022 | 59 | 69.52 | 9.106 | 50 | 69.11 | 88.32 |
| Total | 295 | 68.94 | 8.983 | 44.61 | 68 | 97.02 |
| Panel B: Descriptive Statistics by Industry Distribution | ||||||
| Industry | Sample Size | Mean | Standard Deviation | Minimum Value | Median | Maximum Value |
| Chemicals | 35 | 71.33 | 8.082 | 60.82 | 70.34 | 89.57 |
| Building Materials | 60 | 71.56 | 9.433 | 50.56 | 70.36 | 90.42 |
| Non-ferrous Metals | 55 | 66.41 | 9.117 | 44.61 | 67.06 | 85.93 |
| Power | 30 | 68.23 | 9.431 | 52.86 | 65.54 | 93.5 |
| Petrochemical | 30 | 69.39 | 6.993 | 47.57 | 68.91 | 92.37 |
| Aviation | 25 | 67.67 | 8.711 | 50 | 69.69 | 78.11 |
| Paper Manufacturing | 45 | 68.54 | 9.438 | 52.09 | 69.1 | 97.02 |
| Steel | 15 | 65.94 | 7.841 | 54.6 | 64.28 | 83.7 |
| Total | 295 | 68.94 | 8.983 | 44.61 | 68 | 97.02 |
Appendix E
| Stock Code | Stock Name | (1) | (2) | (3) | (4) | (5) | (6) | (7) | (8) | (9) | (10) |
|---|---|---|---|---|---|---|---|---|---|---|---|
| 2018 | 2019 | 2020 | 2021 | 2022 | 2018 | 2019 | 2020 | 2021 | 2022 | ||
| 000012 | CSG Holding Co., Ltd. | −1.94 | 0.78 | 1.07 | 0.83 | 1.23 | −1.78 | 1.19 | 0.88 | 0.06 | 0.86 |
| 000401 | Tangshan Jidong Cement Co., Ltd. | −2.57 | 0.10 | −0.22 | −0.07 | 0.13 | −2.30 | −1.06 | −1.38 | 0.25 | 0.37 |
| 000539 | Guangdong Electric Power Development Co., Ltd. | −1.46 | −0.04 | 0.50 | 0.50 | 1.50 | −0.90 | 0.03 | 0.54 | 0.92 | 1.93 |
| 000630 | Tongling Nonferrous Metals Group Co., Ltd. | −0.18 | −0.19 | −0.41 | 0.25 | −0.16 | −1.17 | −1.46 | 0.32 | 1.07 | 0.10 |
| 000672 | Shangfeng Cement Co., Ltd. | 0.67 | 0.24 | 0.03 | 1.23 | 1.14 | 1.36 | 0.51 | 0.31 | 0.92 | 0.74 |
| 000690 | Baotou New Energy Co., Ltd. | −1.73 | 0.35 | 0.21 | 0.09 | 0.07 | −0.88 | 1.20 | 1.06 | 0.99 | 0.68 |
| 000807 | Yunnan Aluminium Co., Ltd. | −1.98 | 0.54 | 0.12 | 0.45 | 1.62 | −1.68 | 0.87 | 0.79 | 0.65 | 1.56 |
| 000815 | Qilianshan Cement Group Co., Ltd. | −1.63 | 1.36 | 1.04 | 0.90 | 1.12 | −2.90 | −0.20 | −0.52 | 0.21 | 0.71 |
| 000819 | Yueyang Xingchang Petrochemical Co., Ltd. | −0.46 | −0.13 | −0.44 | 0.12 | 0.12 | −1.78 | −1.16 | −0.89 | −0.47 | −0.05 |
| 000881 | CGN Nuclear Technology Development Co., Ltd. | −1.88 | −0.29 | −0.17 | 0.25 | 0.43 | −2.86 | −0.42 | −1.16 | −0.55 | 1.18 |
| 000933 | Henan Shenhuo Coal & Power Co., Ltd. | 1.31 | 2.19 | 1.92 | 1.13 | 1.48 | 0.62 | 2.06 | 0.64 | 0.11 | 1.59 |
| 000960 | Yunnan Tin Firm Limited | −1.29 | 0.39 | 0.95 | 0.33 | 0.79 | −1.75 | −0.11 | 2.03 | 0.67 | 0.82 |
| 002067 | Zhejiang Jingxing Paper Joint Stock Co., Ltd. | −1.33 | −0.31 | −0.47 | −0.45 | −0.34 | −1.87 | −0.57 | 0.42 | 0.65 | 0.67 |
| 002078 | Shandong Sun Paper Industry Joint Stock Co., Ltd. | −3.52 | −0.54 | −1.08 | −0.44 | 1.46 | −4.63 | −1.24 | −1.54 | −1.23 | 1.22 |
| 002165 | Hongbaoli Group Co., Ltd. | −2.73 | 0.11 | 0.13 | −0.04 | 0.37 | −2.94 | 1.09 | 0.49 | −0.49 | 0.55 |
| 002203 | Hailiang Group Co., Ltd. | −0.60 | −0.43 | 0.43 | 0.29 | 0.36 | −0.04 | 0.59 | 0.01 | 0.54 | 0.60 |
| 002233 | Guangdong Tapai Group Co., Ltd. | −2.78 | −0.74 | −0.38 | 0.24 | 0.03 | −2.46 | −0.37 | −0.68 | 0.14 | 0.47 |
| 002511 | C&S Paper Co., Ltd. | −0.13 | 0.05 | −0.38 | 0.75 | 0.89 | −1.41 | −0.94 | 0.31 | 0.34 | 1.91 |
| 002601 | Lomon Billions Group Co., Ltd. | 0.48 | 0.27 | 0.43 | 2.32 | 0.69 | −0.06 | 0.88 | −0.03 | 1.83 | 0.86 |
| 600004 | Guangzhou Baiyun International Airport Co., Ltd. | −0.32 | −0.04 | 0.04 | −0.09 | 0.37 | −1.39 | −1.03 | −0.08 | −0.79 | 0.60 |
| 600010 | Baoshan Iron & Steel Co., Ltd. | 1.25 | 0.66 | 0.57 | 1.17 | 0.78 | −0.19 | −0.16 | −0.36 | 0.73 | 1.70 |
| 600019 | Baoshan Iron & Steel Co., Ltd. | −1.60 | 0.37 | 1.14 | 5.09 | 7.76 | −1.43 | 0.24 | 1.24 | 2.36 | 0.75 |
| 600029 | China Southern Airlines Firm Limited | −1.01 | −0.85 | −0.13 | 1.37 | 0.71 | 0.46 | 0.81 | 1.28 | 1.05 | 1.63 |
| 600063 | Anhui Wanwei Updated High-Tech Material Industry Co., Ltd. | −2.26 | 0.11 | −0.33 | −0.18 | −0.05 | −3.09 | −0.76 | −1.03 | 1.07 | 0.87 |
| 600098 | Guangzhou Development Group Incorporated | −2.78 | −0.84 | −0.61 | 1.35 | 0.40 | −1.66 | −0.61 | −0.21 | 0.45 | −0.11 |
| 600103 | Qingshan Paper Industry Co., Ltd. | 0.54 | 0.89 | −0.24 | −0.28 | −0.54 | 0.40 | 2.14 | 0.59 | 0.93 | 0.17 |
| 600110 | Nord Investment Co., Ltd. | −1.03 | 0.13 | 0.18 | 0.40 | 0.48 | −2.06 | −0.66 | −1.02 | −0.56 | 0.96 |
| 600115 | China Eastern Airlines Corporation Limited | −0.27 | −0.86 | −1.14 | 3.33 | −0.55 | 0.91 | 0.52 | 0.77 | 0.93 | 0.34 |
| 600160 | Zhejiang Juhua Co., Ltd. | −2.70 | −0.07 | −0.94 | −0.85 | −0.77 | −1.82 | 1.22 | 0.66 | −0.44 | 0.69 |
| 600219 | Nanshan Aluminum Co., Ltd. | −0.45 | 0.00 | −0.22 | 1.16 | 2.32 | −1.52 | −0.74 | −0.43 | 1.95 | 1.14 |
| 600221 | Hainan Airlines Holding Co., Ltd. | −0.96 | 1.44 | 2.02 | 1.93 | 2.02 | −0.79 | 2.09 | 2.32 | 2.32 | 2.61 |
| 600255 | Mengzhou Co., Ltd. | −0.81 | 1.68 | 1.72 | 1.44 | 1.16 | −1.80 | 0.41 | 0.40 | 0.32 | 1.44 |
| 600273 | Zhejiang Jiahua Energy Chemical Industry Co., Ltd. | −0.92 | −0.13 | −0.21 | −0.16 | 0.45 | −0.19 | −0.01 | 0.69 | 0.16 | 1.73 |
| 600307 | Jiuquan Iron & Steel Co., Ltd. | −0.24 | 0.17 | −0.24 | 1.11 | 1.66 | −0.74 | 0.05 | −0.98 | 0.67 | 1.51 |
| 600308 | Huatai Co., Ltd. | −1.11 | 1.17 | 0.91 | −0.02 | 0.32 | −1.57 | 0.72 | 0.45 | 0.72 | 1.06 |
| 600309 | Wanhua Chemical Group Co., Ltd. | −1.00 | −0.37 | −0.30 | 0.51 | 1.75 | −1.41 | 0.39 | 0.34 | 0.78 | 0.88 |
| 600356 | Hengfeng Paper Co., Ltd. | −0.55 | −0.18 | −0.74 | −0.12 | −0.48 | 0.76 | −1.17 | −1.15 | −1.51 | −0.32 |
| 600362 | Jiangxi Copper Firm Limited | −1.95 | −1.53 | −1.81 | 0.19 | −0.10 | −2.36 | 0.07 | −2.22 | −0.16 | −0.22 |
| 600409 | Tangshan Sanyou Chemical Industries Co., Ltd. | −2.05 | −0.68 | −0.56 | −0.52 | −0.48 | −1.64 | −0.04 | 0.05 | 0.58 | 0.33 |
| 600433 | Guangxi Guiguan Electric Power Co., Ltd. | −1.54 | −0.30 | −0.02 | −0.99 | −1.32 | −2.33 | −0.80 | 1.31 | −0.66 | −1.30 |
| 600452 | Fuling Electric Power Industrial Co., Ltd. | −0.22 | 1.11 | 1.22 | 2.26 | 1.47 | −1.78 | −0.73 | 0.81 | 2.29 | 1.10 |
| 600490 | Pengxin Resources Co., Ltd. | −0.18 | 0.11 | −0.11 | −0.01 | −0.11 | −0.88 | −1.16 | −0.81 | −0.43 | 0.41 |
| 600500 | Sinochem International Corporation | −1.65 | −0.56 | −0.64 | 1.98 | 1.78 | −1.62 | 0.61 | −1.21 | −1.11 | −0.61 |
| 600531 | Henan Yuguang Gold & Lead Co., Ltd. | −0.19 | −0.26 | −0.27 | 0.59 | 0.78 | 0.75 | −0.47 | 0.66 | 1.36 | 1.50 |
| 600585 | Anhui Conch Cement Firm Limited | −1.16 | −1.59 | −1.46 | −1.93 | −2.24 | −1.04 | −1.72 | −1.60 | −1.19 | −1.65 |
| 600618 | Shanghai Chlor-Alkali Chemical Co., Ltd. | −0.93 | −0.75 | −0.59 | −0.04 | −0.47 | −0.48 | −0.30 | 0.35 | 0.90 | 0.45 |
| 600623 | Shanghai Huayi Group Corporation Limited | −2.05 | −0.35 | −0.16 | 0.07 | 0.20 | −1.89 | −0.48 | 0.29 | 0.26 | 0.59 |
| 600660 | Fuyao Glass Industry Group Co., Ltd. | −0.57 | −1.34 | −1.95 | −1.99 | −2.20 | −0.91 | −2.26 | −2.29 | −1.89 | −1.94 |
| 600688 | Sinopec Shanghai Petrochemical Firm Limited | 1.99 | −1.09 | −0.47 | −0.04 | −0.63 | 4.03 | 0.50 | 1.00 | 0.86 | 0.80 |
| 600801 | Huaxin Cement Co., Ltd. | −1.20 | −0.63 | 0.13 | 0.83 | 2.17 | −0.32 | 0.16 | 0.06 | 0.24 | −0.53 |
| 600802 | Fujian Cement Inc. | −1.48 | −0.71 | −0.62 | −0.79 | −0.33 | −3.32 | −1.98 | −1.32 | 0.52 | 0.11 |
| 600876 | Luoyang Glass Firm Limited | 1.61 | 0.62 | 0.50 | 0.19 | 0.44 | 0.83 | 1.27 | 0.05 | 1.08 | 1.12 |
| 600881 | Yatai Group Co., Ltd. | −0.88 | −0.25 | 0.40 | −0.36 | −0.25 | −0.47 | −0.37 | 0.85 | 0.37 | 0.20 |
| 600886 | SDIC Power Holdings Co., Ltd. | −1.84 | 0.23 | 0.03 | 0.75 | −0.45 | −1.68 | 0.35 | 0.26 | 1.15 | 0.46 |
| 601111 | Air China Limited | −0.83 | −0.59 | −0.26 | 4.50 | 2.35 | 0.05 | 1.03 | 1.52 | 1.75 | 0.92 |
| 601636 | Kibing Group Co., Ltd. | −0.93 | 0.59 | 0.48 | 0.51 | −0.09 | −1.67 | −0.44 | −0.55 | 0.24 | 0.85 |
| 601991 | Datang International Power Generation Co., Ltd. | 0.22 | 0.27 | 0.50 | −0.14 | 1.16 | 1.07 | 0.83 | 1.16 | 0.92 | 1.24 |
| 601992 | BBMG Corporation | −1.69 | −1.61 | −1.04 | −0.10 | 0.60 | −1.05 | −1.13 | −0.39 | 0.18 | −0.10 |
| 603165 | Rongsheng Environmental Protection Paper Co., Ltd. | −2.60 | −0.56 | −0.30 | 0.61 | 0.77 | −2.61 | −0.20 | 1.01 | 0.69 | 0.93 |
| Annual Average | −1.02 | −0.05 | −0.04 | 0.53 | 0.57 | −1.12 | −0.05 | 0.07 | 0.44 | 0.66 | |
References
- Stern, N. The Logic, Urgency, and Promise of Tackling Climate Change; The MIT Press: Cambridge, MA, USA, 2015. [Google Scholar]
- Chen, L.; Msigwa, G.; Yang, M.; Osman, A.I.; Fawzy, S.; Rooney, D.W.; Yap, P. Strategies to achieve a carbon neutral society: A review. Environ. Chem. Lett. 2022, 20, 2277–2310. [Google Scholar] [CrossRef] [PubMed]
- Matos, P. ESG and Responsible Institutional Investing Around the World: A Critical Review; CFA Institute Research Foundation: Charlottesville, VA, USA, 2020. [Google Scholar]
- In, S.Y.; Schumacher, K. Carbonwashing: A New Type of Carbon Data-Related ESG Greenwashing. 2021. Available online: https://ssrn.com/abstract=3901278 (accessed on 21 September 2021).
- Kim, E.; Lyon, T.P. Greenwash vs. brownwash: Exaggeration and undue modesty in corporate sustainability disclosure. Organ. Sci. 2015, 26, 705–723. [Google Scholar] [CrossRef]
- Rice, J.T. Rainbow-washing. NEULR 2023, 15, 285. [Google Scholar]
- Ben-Lulu, E. “Casting Our Sins Away”: A Comparative Analysis of Queer Jewish Communities in Israel and in the US. Religions 2022, 13, 845. [Google Scholar] [CrossRef]
- Delmas, M.A.; Burbano, V.C. The drivers of greenwashing. Calif. Manag. Rev. 2011, 54, 64–87. [Google Scholar] [CrossRef]
- Zhang, Z.; Chen, H. Media coverage and impression management in corporate social responsibility reports: Evidence from China. Sustain. Account. Manag. Policy J. 2020, 11, 863–886. [Google Scholar] [CrossRef]
- Marquis, C.; Toffel, M.W.; Zhou, Y. Scrutiny, norms, and selective disclosure: A global study of greenwashing. Organ. Sci. 2016, 27, 483–504. [Google Scholar] [CrossRef]
- Passas, I. The Evolution of ESG: From CSR to ESG 2.0. Encyclopedia 2024, 4, 1711–1720. [Google Scholar] [CrossRef]
- Yu, E.P.; Van Luu, B.; Chen, C.H. Greenwashing in environmental, social and governance disclosures. Res. Int. Bus. Financ. 2020, 52, 101192. [Google Scholar] [CrossRef]
- Eliwa, Y.; Aboud, A.; Saleh, A. Board gender diversity and ESG decoupling: Does religiosity matter? Bus. Strategy Environ. 2023, 32, 4046–4067. [Google Scholar] [CrossRef]
- Tashman, P.; Marano, V.; Kostova, T. Walking the walk or talking the talk? Corporate social responsibility decoupling in emerging market multinationals. J. Int. Bus. Stud. 2019, 50, 153–171. [Google Scholar] [CrossRef]
- Pope, S.; Wæraas, A. CSR-washing is rare: A conceptual framework, literature review, and critique. J. Bus. Ethics 2016, 137, 173–193. [Google Scholar] [CrossRef]
- Schons, L.; Steinmeier, M. Walk the talk? How symbolic and substantive CSR actions affect firm performance depending on stakeholder proximity. Corp. Soc. Responsib. Environ. Manag. 2016, 23, 358–372. [Google Scholar] [CrossRef]
- Ruiz-Blanco, S.; Romero, S.; Fernandez-Feijoo, B. Green, blue or black, but washing–What company characteristics determine greenwashing? Environ. Dev. Sustain. 2022, 24, 4024–4045. [Google Scholar] [CrossRef]
- Walker, K.; Wan, F. The harm of symbolic actions and green-washing: Corporate actions and communications on environmental performance and their financial implications. J. Bus. Ethics 2012, 109, 227–242. [Google Scholar] [CrossRef]
- Hyatt, D.G.; Berente, N. Substantive or symbolic environmental strategies? Effects of external and internal normative stakeholder pressures. Bus. Strategy Environ. 2017, 26, 1212–1234. [Google Scholar] [CrossRef]
- Gull, A.A.; Hussain, N.; Khan, S.A.; Mushtaq, R.; Orij, R. The power of the CEO and environmental decoupling. Bus. Strategy Environ. 2023, 32, 3951–3964. [Google Scholar] [CrossRef]
- Venturelli, V.; Pedrazzoli, A.; Pennetta, D.; Gualandri, E. Pinkwashing in the banking industry: The relevance of board characteristics. Res. Int. Bus. Financ. 2024, 67, 102111. [Google Scholar] [CrossRef]
- Bernini, F.; La Rosa, F. Research in the greenwashing field: Concepts, theories, and potential impacts on economic and social value. J. Manag. Gov. 2024, 28, 405–444. [Google Scholar] [CrossRef]
- Forliano, C.; Battisti, E.; de Bernardi, P.; Kliestik, T. Mapping the greenwashing research landscape: A theoretical and field analysis. Rev. Manag. Sci. 2025. [Google Scholar] [CrossRef]
- Galli, D.; Torelli, R.; Caccialanza, A. Sustainability performance and sustainability reporting in SMEs: A love affair or a fight? J. Manag. Organ. 2024, 30, 574–599. [Google Scholar] [CrossRef]
- Talpur, S.; Nadeem, M.; Roberts, H. Corporate social responsibility decoupling: A systematic literature review and future research agenda. J. Appl. Account. Res. 2024, 25, 878–909. [Google Scholar] [CrossRef]
- Du, X. How the market values greenwashing? Evidence from China. J. Bus. Ethics 2015, 128, 547–574. [Google Scholar] [CrossRef]
- Clarkson, P.M.; Li, Y.; Richardson, G.D.; Vasvari, F.P. Revisiting the relation between environmental performance and environmental disclosure: An empirical analysis. Account. Organ. Soc. 2008, 33, 303–327. [Google Scholar] [CrossRef]
- Hawn, O.; Ioannou, I. Mind the gap: The interplay between external and internal actions in the case of corporate social responsibility. Strateg. Manag. J. 2016, 37, 2569–2588. [Google Scholar] [CrossRef]
- Bothello, J.; Ioannou, I.; Porumb, V.A.; Zengin Karaibrahimoglu, Y. CSR decoupling within business groups and the risk of perceived greenwashing. Strateg. Manag. J. 2023, 44, 3217–3251. [Google Scholar] [CrossRef]
- Hu, X.; Hua, R.; Liu, Q.; Wang, C. The green fog: Environmental rating disagreement and corporate greenwashing. Pac.-Basin Financ. J. 2023, 78, 101952. [Google Scholar] [CrossRef]
- Chatterji, A.K.; Durand, R.; Levine, D.I.; Touboul, S. Do ratings of firms converge? Implications for managers, investors and strategy researchers. Strateg. Manag. J. 2016, 37, 1597–1614. [Google Scholar] [CrossRef]
- Chen, J.Z.; Li, Z.; Mao, T.; Yoon, A. Global versus Local ESG Ratings: Evidence from China. Account. Rev. 2025, 1–32. [Google Scholar] [CrossRef]
- Zhou, Z.; Zhang, T.; Wen, K.; Zeng, H.; Chen, X. Carbon risk, cost of debt financing and the moderation effect of media attention: Evidence from Chinese companies operating in high-carbon industries. Bus. Strategy Environ. 2018, 27, 1131–1144. [Google Scholar] [CrossRef]
- Liao, F.; Sun, Y.; Xu, S. Financial report comment letters and greenwashing in environmental, social and governance disclosures: Evidence from China. Energ. Econ. 2023, 127, 107122. [Google Scholar] [CrossRef]
- Bauer, M.W. Content Analysis. An Introduction to its Methodology—By Klaus Krippendorff From Words to Numbers. Narrative, Data and Social Science—By Roberto Franzosi. Br. J. Sociol. 2007, 58, 329–331. [Google Scholar] [CrossRef]
- Jain, K.; Tripathi, P.S. Mapping the environmental, social and governance literature: A bibliometric and content analysis. J. Strategy Manag. 2023, 16, 397–428. [Google Scholar] [CrossRef]
- Liu, Z.; Cheng, Q. Research on influencing factors of carbon information disclosure quality in China’s power industry. Environ. Sci. Pollut. R. 2023, 30, 20185–20202. [Google Scholar] [CrossRef] [PubMed]
- Luo, L.; Tang, Q. Does voluntary carbon disclosure reflect underlying carbon performance? J. Contemp. Account. Econ. 2014, 10, 191–205. [Google Scholar] [CrossRef]
- Bui, B.; de Villiers, C. Carbon emissions management control systems: Field study evidence. J. Clean. Prod. 2017, 166, 1283–1294. [Google Scholar] [CrossRef]
- Pitrakkos, P.; Maroun, W. Evaluating the quality of carbon disclosures. Sustain. Account. Manag. Policy J. 2020, 11, 553–589. [Google Scholar] [CrossRef]
- Karim, A.E.; Albitar, K.; Elmarzouky, M. A novel measure of corporate carbon emission disclosure, the effect of capital expenditures and corporate governance. J. Environ. Manag. 2021, 290, 112581. [Google Scholar] [CrossRef]
- Baier, P.; Berninger, M.; Kiesel, F. Environmental, social and governance reporting in annual reports: A textual analysis. Financ. Mark. Inst. Instrum. 2020, 29, 93–118. [Google Scholar] [CrossRef]
- Sun, X.; Che, T.; Ma, X. Conforming Behavior in Corporate Carbon Disclosure: Identification, Valuation Loss, and Mechanism. China Ind. Econ. 2023, 132–150. Available online: https://ciejournal.ajcass.com/UploadFile/Issue/201606280001/2023/2//20230213102744WU_FILE_0.pdf (accessed on 17 February 2023).
- Zumente, I.; Lāce, N. ESG Rating—Necessity for the Investor or the Company? Sustainability 2021, 13, 8940. [Google Scholar] [CrossRef]
- Del Giudice, A.; Rigamonti, S. Does audit improve the quality of ESG scores? Evidence from corporate misconduct. Sustainability 2020, 12, 5670. [Google Scholar] [CrossRef]
- Berg, F.; Kölbel, J.F.; Rigobon, R. Aggregate confusion: The divergence of ESG ratings. Rev. Financ. 2022, 26, 1315–1344. [Google Scholar] [CrossRef]
- Escrig-Olmedo, E.; Fernández-Izquierdo, M.Á.; Ferrero-Ferrero, I.; Rivera-Lirio, J.M.; Muñoz-Torres, M.J. Rating the raters: Evaluating how ESG rating agencies integrate sustainability principles. Sustainability 2019, 11, 915. [Google Scholar] [CrossRef]
- He, Y.; Xu, Y.; Pang, Y.; Tian, H.; Wu, R. A regulatory policy to promote renewable energy consumption in China: Review and future evolutionary path. Renew. Energ. 2016, 89, 695–705. [Google Scholar] [CrossRef]
- Luo, L.; Lan, Y.C.; Tang, Q. Corporate incentives to disclose carbon information: Evidence from the CDP Global 500 report. J. Int. Financ. Manag. Account. 2012, 23, 93–120. [Google Scholar] [CrossRef]





| Dimension | Keywords |
|---|---|
| Low-carbon strategy | Carbon neutrality, Carbon peaking, Carbon emission peak, Carbon emissions reaching the peak, Dual carbon (carbon peak and carbon neutrality), Zero carbon, Decarbonization, Carbon-free, Carbon reduction, Carbon sequestration, Low-carbon enterprise, Low-carbon transformation, Low-carbon concept, Low-carbon awareness, Low-carbon promotion, Low-carbon lifestyle, Low-carbon planning, Low-carbon leadership, Low-carbon environmental protection, Clean low-carbon, Green low-carbon, Energy-saving low-carbon, Energy-saving and carbon reduction, Pollution reduction and carbon reduction, Energy-saving, emission reduction, and carbon reduction, Low-carbon development. |
| Low-carbon governance | Low-carbon products, Clean production, Carbon emission management, Low-carbon technologies, Low-carbon science and technology, Low-carbon technological innovation, Low-carbon industry, Carbon emission control, Low-carbon certification, Carbon sinks, Carbon footprint, Greenhouse gas emission targets, Greenhouse gas emission standards, Greenhouse gas reduction, Carbon reduction, Reducing carbon emission intensity, Controlling greenhouse gas emissions, Reducing carbon emissions, Carbon emission compliance, Carbon emission benchmarking. |
| ESG Rating Agency | A-Share Coverage | Indicator System | Selected |
|---|---|---|---|
| Huazheng | All A-shares | Huazheng is based on the aggregation of three factors: Environment (E), Social (S), and Governance (G). It includes 3 primary pillar indicators, 16 secondary theme indicators, 44 tertiary topic indicators, nearly 80 quaternary underlying indicators, and over 300 underlying data indicators, aiming to provide a comprehensive evaluation of a firm’s overall ESG performance. | Yes |
| Wind | All A-shares | The Wind ESG evaluation system consists of management practice assessment and controversy event assessment, aiming to reflect the level of corporate ESG management practices as well as major emergent risks. | No |
| Morgan Stanley Capital International (MSCI) | Primarily covering MSCI index constituent stocks, there were 610 Chinese firms that received MSCI ESG ratings in 2022, of which 485 were A-share firms, accounting for 11.86% of all A-shares. | Limited coverage | No |
| Thomson Reuters (ASSET4) | Large-cap and influential firms, by 2022, covered 971 A-share listed firms, accounting for approximately 18.87% of the total number of A-share firms. | Limited coverage | No |
| Bloomberg | Large-cap and influential firms covered 1367 A-share listed firms in 2022. However, they are typically used to measure the level of corporate ESG information disclosure rather than actual ESG performance. | Limited coverage | No |
| SynTao | Ratings were conducted for the constituent stocks of the CSI 300 Index from 2015 to 2017 and the CSI 800 Index from 2018 to 2022. | Limited coverage | No |
| Variable Name | Sample Size | Mean | Standard Deviation | Minimum Value | Median | Maximum Value |
|---|---|---|---|---|---|---|
| Z_CD1 | 295 | 0 | 1 | −0.519 | −0.346 | 9.238 |
| Z_CD2 | 295 | 0 | 1 | −2.364 | 0.217 | 2.224 |
| Z_ESGP | 295 | 0 | 1 | −2.708 | −0.104 | 3.127 |
| Carbonwashing1 | 295 | 0 | 1.226 | −3.516 | −0.073 | 7.759 |
| Carbonwashing2 | 295 | 0 | 1.203 | −4.631 | 0.239 | 4.029 |
| Panel A: Carbonwashing1 = Z_CD1 − Z_ESGP | |||||||
|---|---|---|---|---|---|---|---|
| Year | Sample Size | Carbonwashing1 | Z_CD1 | Z_ESGP | |||
| Mean | Median | Mean | Median | Mean | Median | ||
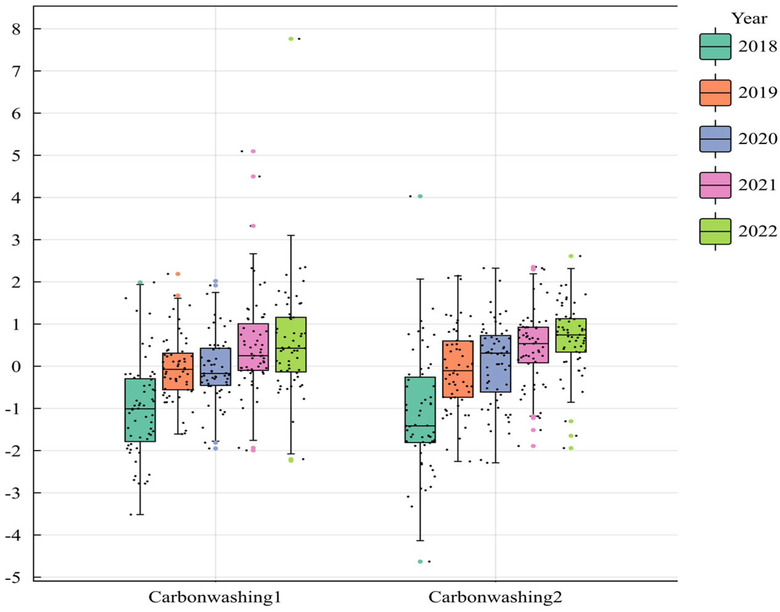
| 2018 | 59 | −1.019 | −1.009 | −0.498 | −2.364 | 0.619 | 0.62 |
| 2019 | 59 | −0.048 | −0.073 | −0.396 | −2.364 | −0.347 | −0.343 |
| 2020 | 59 | −0.038 | −0.171 | −0.157 | −2.078 | −0.226 | −0.183 |
| 2021 | 59 | 0.532 | 0.25 | 0.324 | −1.504 | −0.112 | −0.157 |
| 2022 | 59 | 0.573 | 0.428 | 0.727 | −0.93 | 0.065 | 0.02 |
| Total | 295 | 0 | −0.073 | 0 | −2.364 | 0 | −0.104 |
| Panel B: Carbonwashing2 = Z_CD2 − Z_ESGP | |||||||
| Year | Sample Size | Carbonwashing2 | Z_CD2 | Z_ESGP | |||
| Mean | Median | Mean | Median | Mean | Median | ||
| 2018 | 59 | −1.117 | −1.414 | −0.397 | −0.433 | 0.619 | 0.62 |
| 2019 | 59 | −0.048 | −0.106 | −0.396 | −0.433 | −0.347 | −0.343 |
| 2020 | 59 | 0.068 | 0.31 | −0.265 | −0.39 | −0.226 | −0.183 |
| 2021 | 59 | 0.435 | 0.536 | 0.42 | 0.042 | −0.112 | −0.157 |
| 2022 | 59 | 0.662 | 0.742 | 0.638 | 0.085 | 0.065 | 0.02 |
| Total | 295 | 0 | 0.239 | 0 | −0.347 | 0 | −0.104 |
| Panel A: Carbonwashing1 | ||||||
|---|---|---|---|---|---|---|
| Industry | Sample Size | Mean | Standard Deviation | Minimum Value | Median | Maximum Value |
| Chemicals | 35 | −0.242 | 1.073 | −2.729 | −0.176 | 2.325 |
| Building Materials | 60 | −0.355 | 1.109 | −2.781 | −0.235 | 2.166 |
| Non-ferrous Metals | 55 | 0.23 | 0.977 | −1.979 | 0.178 | 2.321 |
| Power | 30 | 0.136 | 1.087 | −2.778 | 0.227 | 2.264 |
| Petrochemical | 30 | −0.302 | 0.891 | −2.696 | −0.251 | 1.989 |
| Aviation | 25 | 0.488 | 1.496 | −1.14 | −0.092 | 4.498 |
| Paper Manufacturing | 45 | −0.216 | 1.012 | −3.516 | −0.297 | 1.456 |
| Steel | 15 | 1.311 | 2.281 | −1.601 | 0.783 | 7.759 |
| Total | 295 | 0 | 1.226 | −3.516 | −0.073 | 7.759 |
| Panel B: Carbonwashing2 | ||||||
| Industry | Sample Size | Mean | Standard Deviation | Minimum Value | Median | Maximum Value |
| Chemicals | 35 | −0.238 | 1.196 | −3.091 | −0.035 | 1.833 |
| Building Materials | 60 | −0.4 | 1.126 | −3.325 | −0.213 | 1.364 |
| Non-ferrous Metals | 55 | 0.06 | 1.125 | −2.361 | 0.321 | 2.064 |
| Power | 30 | 0.363 | 1.031 | −1.78 | 0.607 | 2.293 |
| Petrochemical | 30 | 0.176 | 1.187 | −1.888 | 0.311 | 4.029 |
| Aviation | 25 | 0.794 | 1.063 | −1.39 | 0.907 | 2.611 |
| Paper Manufacturing | 45 | −0.274 | 1.36 | −4.631 | 0.166 | 2.143 |
| Steel | 15 | 0.359 | 1.058 | −1.427 | 0.241 | 2.355 |
| Total | 295 | 0 | 1.203 | −4.631 | 0.239 | 4.029 |
Disclaimer/Publisher’s Note: The statements, opinions and data contained in all publications are solely those of the individual author(s) and contributor(s) and not of MDPI and/or the editor(s). MDPI and/or the editor(s) disclaim responsibility for any injury to people or property resulting from any ideas, methods, instructions or products referred to in the content. |
© 2025 by the authors. Licensee MDPI, Basel, Switzerland. This article is an open access article distributed under the terms and conditions of the Creative Commons Attribution (CC BY) license (https://creativecommons.org/licenses/by/4.0/).
Share and Cite
Wang, Y.; Niu, Z.; Zhong, W.; Zhong, M. ESG Carbonwashing: A New Type of ESG-Washing. Sustainability 2025, 17, 5744. https://doi.org/10.3390/su17135744
Wang Y, Niu Z, Zhong W, Zhong M. ESG Carbonwashing: A New Type of ESG-Washing. Sustainability. 2025; 17(13):5744. https://doi.org/10.3390/su17135744
Chicago/Turabian StyleWang, Yuting, Zhuangzhuang Niu, Wei Zhong, and Ma Zhong. 2025. "ESG Carbonwashing: A New Type of ESG-Washing" Sustainability 17, no. 13: 5744. https://doi.org/10.3390/su17135744
APA StyleWang, Y., Niu, Z., Zhong, W., & Zhong, M. (2025). ESG Carbonwashing: A New Type of ESG-Washing. Sustainability, 17(13), 5744. https://doi.org/10.3390/su17135744

