Assessment of the Crop Water Stress Index for Green Pepper Cultivation Under Different Irrigation Levels
Abstract
1. Introduction
2. Materials and Methods
2.1. Experimental Area Characteristics
2.2. Experimental Design, Irrigation Treatments, and Crop Management
2.3. Measurements and Observations
2.4. Morphologic and Quality Measurements and Analyses of the Plants and Fruits
2.5. Statistical Analysis
3. Results and Discussion
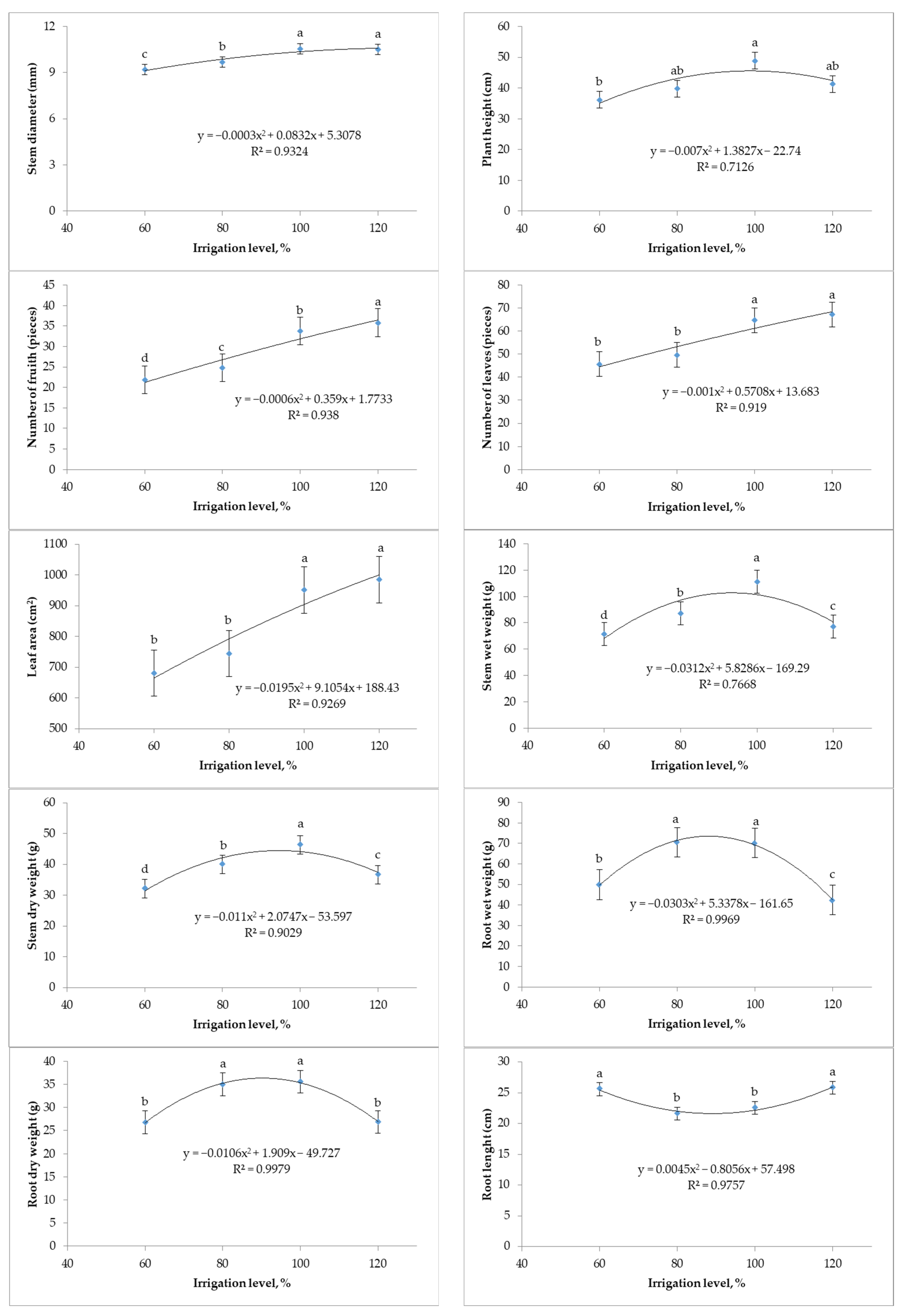
3.1. Determination of the Morphological Characters of the Pepper
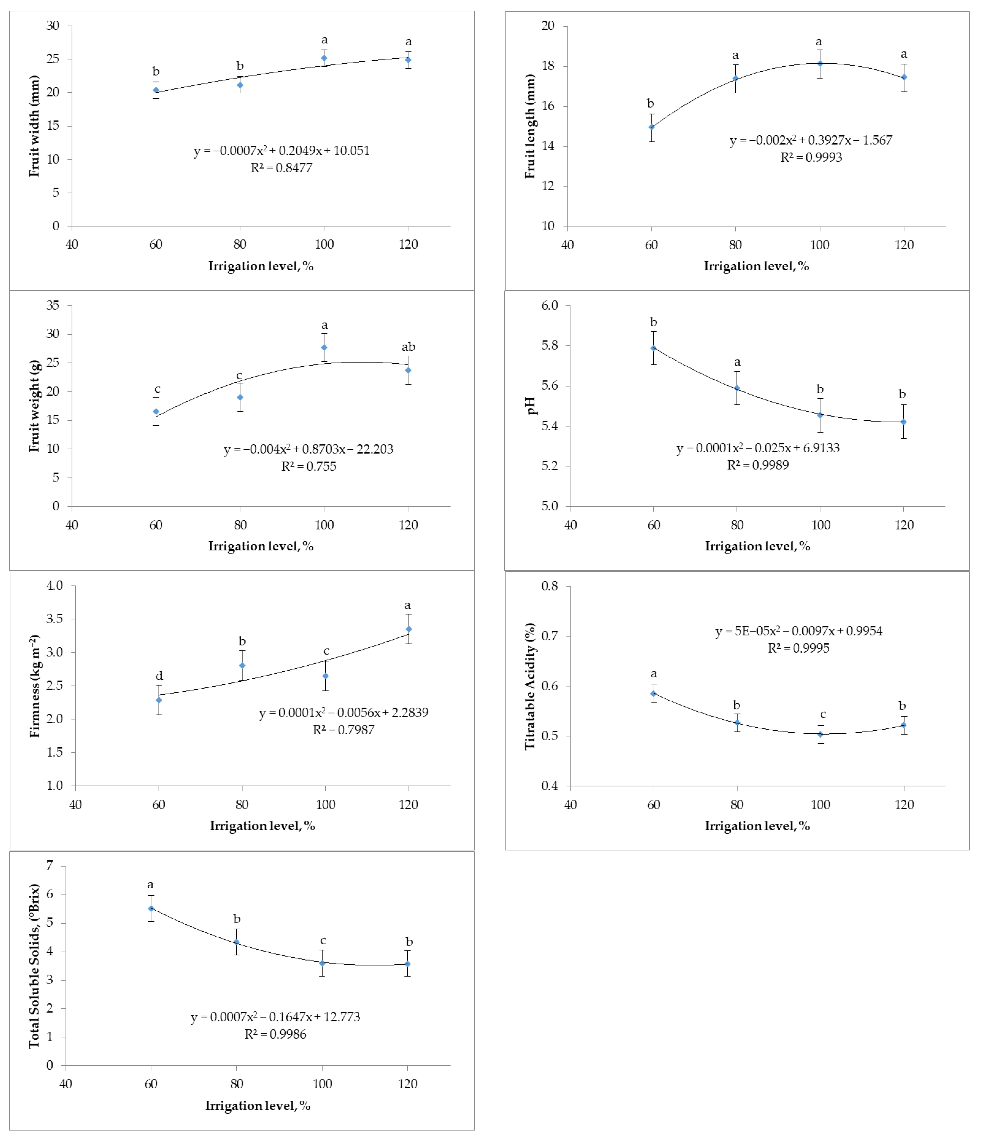
3.2. Determination of the Quality Parameters of the Pepper
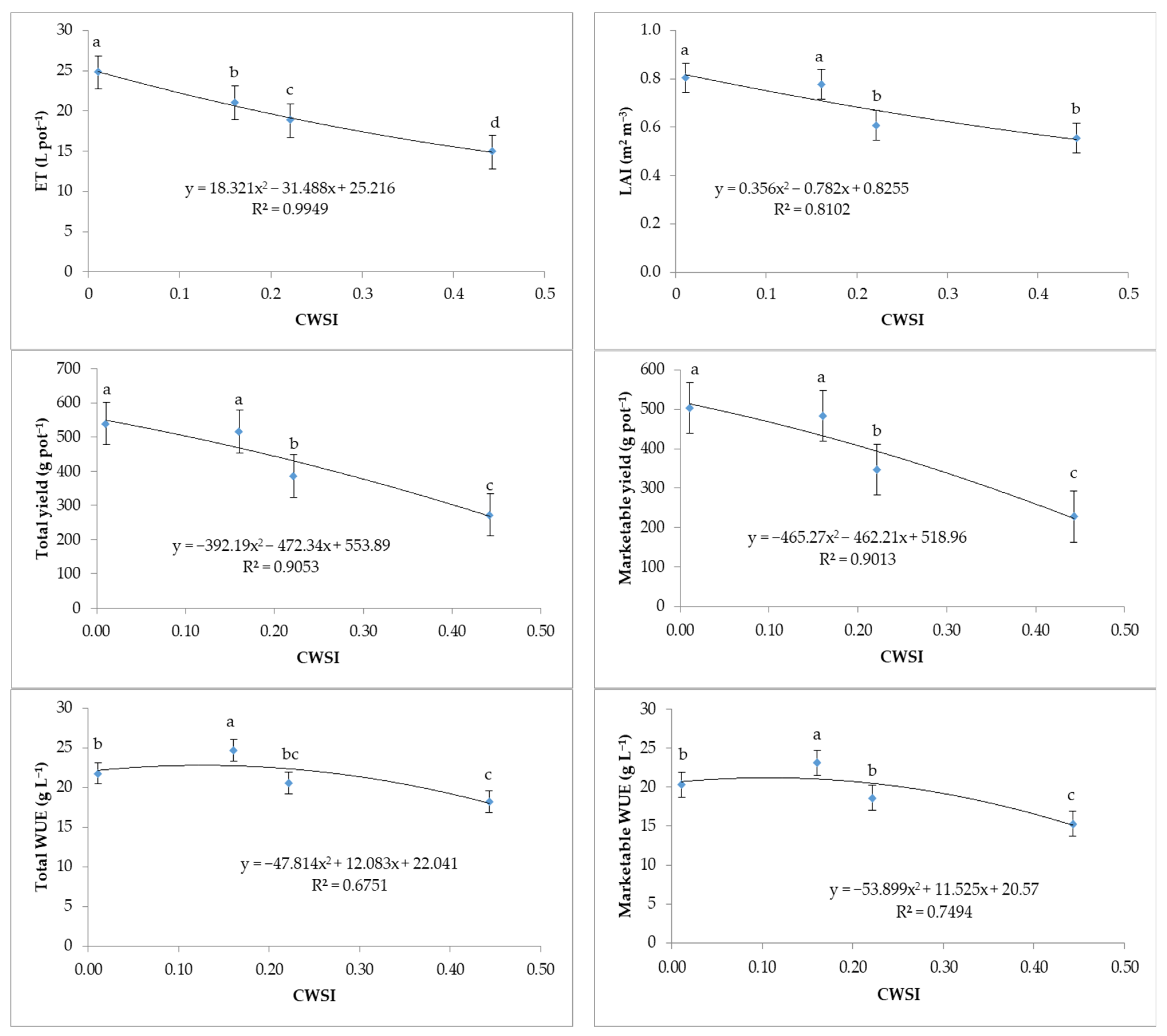
3.3. Determination of the Water Consumption, Crop Yield, and Water Use Efficiency
3.4. Determination of the Yield Response Factor of Pepper
3.5. Determination of the Upper and Lower Limit Equations and Crop Water Stress Index
3.6. Determination of the Relations Between the CWSI and Some Plant Parameters
4. Conclusions
Author Contributions
Funding
Institutional Review Board Statement
Informed Consent Statement
Data Availability Statement
Conflicts of Interest
References
- He, Y.; Chen, F.; Jia, H.; Wang, L.; Bondur, V.G. Different Drought Legacies of Rain-Fed and Irrigated Croplands in a Typical Russian Agricultural Region. Remote Sens. 2020, 12, 1700. [Google Scholar] [CrossRef]
- Copernicus Climate Change Service (C3S) and World Meteorological Organization (WMO), 2025: European State of the Climate 2024. Available online: https://climate.copernicus.eu/ESOTC/2024 (accessed on 25 May 2025).
- Kaman, H.; Çetin, M. Introducing the importance of mass balance works for soil salinity in a large scale irrigation scheme in the eastern mediterranean region of Turkey. Çukurova J. Agric. Food Sci. 2022, 37, 46–52. [Google Scholar] [CrossRef]
- Yazar, A.; Ince Kaya, C. A new crop for salt affected and dry agricultural areas of Turkey: Quinoa (Chenopodium quinoa Wild). Turk. J. Agric. Nat. Sci. Spec. Issue 2014, 2, 1440–1446. [Google Scholar]
- Shammout, M.W.; Qtaishat, T.; Rawabdeh, H.; Shatanawi, M. Improving water use efficiency under deficit ırrigation in the Jordan Valley. Sustainability 2018, 10, 4317. [Google Scholar] [CrossRef]
- Abdelkhalik, A.; Pascual-Seva, N.; Nájera, I.; Domene, M.A.; Baixauli, C.; Pascual, B. Production response and irrigation water use efficiency of pepper (Capsicum annuum L.) to different deficit irrigation regimes. Acta Hortic. 2019, 1253, 147–154. [Google Scholar] [CrossRef]
- Mačkić, K.; Bajić, I.; Pejić, B.; Vlajić, S.; Adamović, B.; Popov, O.; Simić, D. Yield and water use efficiency of drip irrigation of pepper. Water 2023, 15, 2891. [Google Scholar] [CrossRef]
- Boyacı, S.; Kocięcka, J.; Atilgan, A.; Niemiec, M.; Liberacki, D.; Rolbiecki, R. Determination of the Effects of Different Irrigation Levels and Vermicompost Doses on Water Consumption and Yield of Greenhouse-Grown Tomato. Water 2024, 16, 1095. [Google Scholar] [CrossRef]
- Boyacı, S.; Atılgan, A.; Kocięcka, J.; Liberacki, D.; Rolbiecki, R. Use of Rainwater Harvesting from Roofs for Irrigation Purposes in Hydroponic Greenhouse Enterprises. Atmosphere 2024, 15, 884. [Google Scholar] [CrossRef]
- Napierała, M.; Mrozik, K.; Kęsicka, B. Rainwater harvesting on animal farms as a response to the increasing water deficit in agriculture. Econ. Environ. 2024, 90, 903. [Google Scholar] [CrossRef]
- Shao, G.-C.; Zhang, Z.-Y.; Liu, N.; Yu, S.-E.; Xing, W.-G. Comparative effects of deficit irrigation (DI) and partial rootzone drying (PRD) on soil water distribution, water use, growth and yield in greenhouse grown hot pepper. Sci Hortic 2008, 119, 11–16. [Google Scholar] [CrossRef]
- Shao, G.-C.; Liu, N.; Zhang, Z.-Y.; Yu, S.-E.; Chen, C.-r. Growth, yield and water use efficiency response of greenhouse-grown hot pepper under Time-Space deficit irrigation. Sci Hortic 2010, 126, 172–179. [Google Scholar] [CrossRef]
- Kęsicka, B.; Stasik, R.; Kozłowski, M.; Choryński, A. Is Controlled Drainage of Agricultural Land a Common Used Practice?—A Bibliographic Analysis. Land 2023, 12, 1737. [Google Scholar] [CrossRef]
- Kęsicka, B.; Kozłowski, M.; Stasik, R.; Pińskwar, I. Controlled Drainage Effectiveness in Reducing Nutrient Outflow in Light of Climate Changes. Appl. Sci. 2023, 13, 9077. [Google Scholar] [CrossRef]
- Xie, J.; Cardenas, E.S.; Sammis, T.W.; Wall, M.M.; Lindsey, D.L.; Murray, L.W. Effects of irrigation method on chile pepper yield and Phytophthora root rot incidence. Agric. Water Manag. 1999, 42, 127–142. [Google Scholar] [CrossRef]
- Sezen, S.M.; Yazar, A.; Eker, S. Effect of drip irrigation regimes on yield and quality of field grown bell pepper. Agric. Water Manag. 2006, 81, 115–131. [Google Scholar] [CrossRef]
- DeWitt, D.; Bosland, P.W. The Pepper Garden; Ten Speed Press: Berkeley, CA, USA, 1993. [Google Scholar]
- Doorenbos, J.; Kassam, A.H. Yield Response to Water; Irrigation and Drainage Paper 1986, No. 33; FAO: Rome, Italy, 1979; p. 193. [Google Scholar]
- Ferrara, A.; Lovelli, S.; Di Tommaso, T.; Perniola, M. Flowering, growth and fruit setting in greenhouse bell pepper under water stress. J. Agron. 2011, 10, 12–19. [Google Scholar] [CrossRef]
- Gürgülü, H.; Ul, M.A. Different effects of irrigation water salinity and leaching fractions on pepper (Capsicum annuum L.) cultivation in soilless culture. Agriculture 2024, 14, 827. [Google Scholar] [CrossRef]
- Dorji, K.; Behboudian, M.H.; Zegbe, J.; Dominguez, A. Water relations, growth, yield, and fruit quality of hot pepper under deficitirrigation and partial rootzone drying. Sci. Hort. 2005, 104, 137–149. [Google Scholar] [CrossRef]
- Antony, E.; Singandhupe, R.B. Impact of drip and surface irrigation on growth, yield and WUE of capsicum (Capsicum annum L.). Agric. Water Manag. 2004, 65, 121–132. [Google Scholar] [CrossRef]
- Kurunc, A.; Unlukara, A.; Cemek, B. Salinity and drought affect yield response of bell pepper similarly. Acta Agric. Scand. Sect. B Soil Plant Sci. 2011, 61, 514–522. [Google Scholar] [CrossRef]
- Ünlükara, A.; Kurunc, A.; Cemek, B. Green Long Pepper Growth under Different Saline and Water Regime Conditions and Usability of Water Consumption in Plant Salt Tolerance. J. Agric. Sci. 2015, 21, 167–176. [Google Scholar] [CrossRef]
- Costa, L.D.; Gianquinto, G. Water stress and water table depth influence yield, water use efficiency, and nitrogen recovery in bell pepper: Lysimeter studies. Aust. J. Agric. Res. 2002, 53, 201–210. [Google Scholar] [CrossRef]
- Nwosu, N.J.; Oshunsanya, S.O. Irrigation Practices in Moderately Warm Arid Areas of Sub-Sahara Africa. In Handbook of Climate Change Management; Luetz, J.M., Ayal, D., Eds.; Springer: Cham, Switzerland, 2021. [Google Scholar] [CrossRef]
- Abd-Elaty, I.; Fathy, I.; Kuriqi, A.; John, A.P.; Straface, S.; Ramadan, E.M. Impact of Modern Irrigation Methods on Groundwater Storage and Land Subsidence in High-water Stress Regions. Water Resour Manag. 2023, 37, 1827–1840. [Google Scholar] [CrossRef]
- Kayam, Y.; Beyazgül, M.; Yazar, A. Use of infrared thermometer technique in irrigation scheduling of cotton plant. Soil Water Resour. Res. 2000, 1, 312–326. [Google Scholar]
- Erdem, Y.; Erdem, T.; Orta, A.H.; Okursoy, H. Irrigation scheduling for watermelon with crop water stress index (CWSI). J. Cent. Eur. Agric. 2005, 6, 449–460. [Google Scholar]
- Celebi, M. The effects of water stress on yield performance of drip-ırrigated pepper (Capsicum annum L. Cv. Capya var. Yalova yağlık 28) in the Central Anatolian Region of Turkey. Arab. J. Geosci. 2018, 11, 758. [Google Scholar] [CrossRef]
- Yazar, A.; Howell, A.T.; Dusek, D.A.; Copeland, K.S. Evaluation of crop water stress index for LEPA irrigated corn. Irrig. Sci. 1999, 18, 171–180. [Google Scholar] [CrossRef]
- Kanemasu, E.T.; Steiner, J.L.; Biere, A.W.; Woman, F.O.; Stone, J.F. Irrigation in the great plains. Dev. Agric. Manag. For. Ecol. 1983, 7, 157–178. [Google Scholar] [CrossRef]
- William, S.B.; Mack, H.J. The possible use of the crop water stress index as an indicator of evapotranspiration deficits and yield reduıctions in sweet corn. J. Am. Soc. Horticult. Sci. 1989, 114, 542–546. [Google Scholar]
- Sezen, S.M.; Yazar, A.; Daşgan, Y.; Yucel, S.; Akyıldız, A.; Tekin, S.; Akhoundnejad, Y. Evaluation of crop water stress index (CWSI) for red pepper with drip and furrow irrigation under varying irrigation regimes. Agric. Water Manag. 2014, 143, 59–70. [Google Scholar] [CrossRef]
- Bockhold, D.L.; Thompson, A.L.; Sudduth, K.A.; Henggeler, J.C. Irrigation scheduling based on crop canopy temperature for humid environments. Trans. ASABE 2021, 54, 2021–2028. [Google Scholar] [CrossRef]
- Bo, L.; Tieliang, W.; Jian, S. Crop water stress index for off-season greenhouse green peppers in Liaoning, China. Int. J. Agric. Biol. Eng. 2014, 7, 28–35. [Google Scholar] [CrossRef]
- Berni, J.A.J.; Zarco-Tejada, P.J.; Sepulcre-Cantó, G.; Fereres, E.; Villalobos, F. Mapping canopy conductance and CWSI in olive orchards using high resolution thermal remote sensing imagery. Remote Sens. Environ. 2009, 113, 2380–2388. [Google Scholar] [CrossRef]
- Duran, M.; Ramos, F.L.; Alvarado, R.; Altamirano, L. Evaluación del índice de estrés hídrico de cultivos (IEHC) en ají (Capsicum) bajo riego por goteo en las condiciones áridas de la costa norte del Perú. Sci. Agropecu. 2021, 12, 481–489. [Google Scholar] [CrossRef]
- Aladenola, O.; Madramootoo, C. Response of greenhouse-grown bell pepper (Capsicum annuum L.) to variable irrigation. Can. J. Plant Sci. 2014, 94, 303–310. [Google Scholar] [CrossRef]
- Erdem, Y.; Arin, L.; Erdem, T.; Polat, S.; Deveci, M.; Okursoy, H.; Gültas, H. Crop water stress index for assessing irrigation scheduling of drip irrigated broccoli (Brassica oleracea L. var. italica). Agric. Water Manag. 2010, 98, 148–156. [Google Scholar] [CrossRef]
- Kirnak, H.; Irik, H.A.; Unlukara, A. Potential use of crop water stress index (CWSI) in irrigation scheduling of drip-irrigated seed pumpkin plants with different irrigation levels. Sci. Hortic. 2019, 256, 108608. [Google Scholar] [CrossRef]
- Boyaci, S.; Kocięcka, J.; Atilgan, A.; Liberacki, D.; Rolbiecki, R.; Saltuk, B.; Stachowski, P. Evaluation of crop water stress ındex (CWSI) for high tunnel greenhouse tomatoes under different ırrigation levels. Atmosphere 2024, 15, 205. [Google Scholar] [CrossRef]
- Jamshidi, S.; Zand-Parsa, S.; Kamgar-Haghighi, A.A.; Shahsavar, A.R.; Niyogi, D. Evapotranspiration, crop coefficients, and physiological responses of citrus trees in semi-arid climatic conditions. Agric. Water Manag. 2020, 227, 105838. [Google Scholar] [CrossRef]
- Pandian, M.J.; Karthik, D. Crop water stress identification and estimation: A review. In Proceedings of the 2022 3rd International Conference on Electronics and Sustainable Communication Systems (ICESC), Coimbatore, India, 17–19 August 2022; IEEE: New York, NY, USA, 2022; pp. 1376–1379, ISBN 978-1-6654-7971-4. [Google Scholar] [CrossRef]
- Turkish State Meteorological Service. Climate Kırşehir (Turkey). Available online: https://www.mgm.gov.tr/veridegerlendirme/il-ve-ilceler-istatistik.aspx?m=KIRSEHIR (accessed on 1 January 2025).
- Boyacı, S.; Akyuz, A. Determination of the suitability of some local materials as cooling pad in greenhouses. MKU. Tar. Bil. Derg. 2019, 24, 257–268. [Google Scholar]
- Jakubowski, T.; Boyacı, S.; Kocięcka, J.; Atılgan, A. Determination of performance of different pad materials and energy consumption values of direct evaporative cooler. Energies 2024, 17, 2811. [Google Scholar] [CrossRef]
- USSL. Diagnoses and Improvement of Saline and Alkali Soils; Richards, L.A., Ed.; United State Salinity Laboratory Staff, USDA_SCS, Agric. Handbook no. 60; USSL: Washington, DC, USA, 1954; 160p. [Google Scholar]
- Colimba-Limaico, J.E.; Zubelzu-Minguez, S.; Rodríguez-Sinobas, L. Optimal irrigation scheduling for greenhouse tomato crop (Solanum lycopersicum L.) in Ecuador. Agronomy 2022, 12, 1020. [Google Scholar] [CrossRef]
- Idso, S.B.; Jackson, R.D.; Pinter, P.J., Jr.; Reginato, R.J.; Hatfield, J.L. Normalizing the stress-degree-day parameter for environmental variability. Agric. Meteorol. 1981, 24, 45–55. [Google Scholar] [CrossRef]
- TSE. Taze biber türk standardı 1205. ICS 67.080.20; TSE: Ankara, Turkey, 1974; p. 4. [Google Scholar]
- Smittle, D.A.; Dickens, W.L.; Stansell, J.R. Irrigation regimes affect yield and water use by bell pepper. J. Am. Soc. Hortic. Sci. 1994, 119, 936–939. [Google Scholar] [CrossRef]
- Yamin Kabir, M.; Nambeesan, S.U.; Bautista, J.; Díaz-P’erez, J.C. Effect of irrigation level on plant growth, physiology and fruit yield and quality in bell pepper (Capsicum annuum L.). Sci. Hortic. 2021, 281, 109902. [Google Scholar] [CrossRef]
- Hsiao, T.C. Growth and productivity of crops in relation to water stress. Acta Hortic. 1993, 335, 137–148. [Google Scholar] [CrossRef]
- Yıldırım, D. Relationships between water stress index and yield of pepper in greenhouse. Master’s Thesis, Ondokuz Mayıs Üniversitesi, Samsun, Turkey, 2012. [Google Scholar]
- Moreno, M.M.; Ribas, F.; Moreno, A.; Cabello, M.J. Physiological response of a pepper (Capsicum annuum L.) crop to different trickle irrigation rates. Span. J. Agric. Res. 2003, 1, 65–74. [Google Scholar] [CrossRef]
- Cortès, V.; Blasco, J.; Aleixos, N.; Cubero, S.; Talens, P. Monitoring strategies for quality control of agricultural products using visible and near-infrared spectroscopy: A review. Trends Food Sci. Technol. 2019, 85, 138–148. [Google Scholar] [CrossRef]
- de Brito, A.A.; Campos, F.; dos Reis Nascimento, A.; Damiani, C.; da Silva, F.A.; de Almeida Teixeira, G.H.; Cunha Júnior, L.C. Non-destructive determination of color, titratable acidity, and dry matter in intact tomatoes using a portable Vis-NIR spectrometer. J. Food Compos. Anal. 2022, 107, 104288. [Google Scholar] [CrossRef]
- Elhawary, S.M.A.; Ordóñez-Díaz, J.L.; Nicolaie, F.; Montenegro, J.C.; Teliban, G.-C.; Cojocaru, A.; Moreno-Rojas, J.M.; Stoleru, V. Quality responses of sweet pepper varieties under irrigation and fertilization regimes. Horticulturae 2025, 11, 128. [Google Scholar] [CrossRef]
- Yılmaz, S.; Kuşçu, H. Water-yield relationships of green pepper (Capsicum annuum) cultivated at different irrigation levels. J. Agric. Fac. Bursa Uludag Univ. 2024, 38, 163–177. [Google Scholar] [CrossRef]
- Ayas, S. Water-yield relationships of deficit irrigated pepper (Capsicum annuum L. Demre). Turk. J. Agric. Food Sci. Technol. 2019, 7, 1328–1338. [Google Scholar] [CrossRef]
- Batu, A. Determination of acceptable firmness and colour values of tomatoes. J. Food Eng. 2004, 61, 471–475. [Google Scholar] [CrossRef]
- Available online: https://icl-growingsolutions.com/pl-pl/agriculture/crops/peppers/ (accessed on 25 May 2025).
- Demirel, K.; Genç, L.; Saçan, M. Effects of different irrigation levels on pepper (Capsicum annum Cv. Kapija) yield and quality parameters in semi-arid condition. J. Tekirdag Agric. Fac. 2012, 9, 7–14. [Google Scholar]
- Bozkurt Çolak, Y.; Yazar, A.; Yıldız, M.; Tekin, S.; Gönen, E.; Alghawry, A. Assessment of crop water stress index and net benefit for surface- and subsurface-drip irrigated bell pepper to various deficit irrigation strategies. J. Agric. Sci. 2023, 161, 254–271. [Google Scholar] [CrossRef]
- Turhan, A.; Kuşçu, H.; Özmen, N.; Demir, A.O. The Relationships between salinity levels of water used for irrigation with yield and quality parameters in red pepper (Capsicum annum cv. Kapija). Anadolu. J. Agr. Sci. 2014, 29, 186–193. [Google Scholar] [CrossRef]
- Bozkurt Çolak, Y.; Yazar, A.; Çolak, İ.; Akça, H.; Duraktekin, G. Evaluation of crop water stress index (CWSI) for eggplant under varying irrigation regimes using surface and subsurface drip systems. Agric. Agric. Sci. Procedia 2015, 4, 372–382. [Google Scholar] [CrossRef]
- Mardani, S.; Tabatabaei, S.H.; Pessarakli, M.; Zareabyaneh, H. Physiological responses of pepper plant (Capsicum annuum L.) to drought stress. J. Plant Nutr. 2017, 40, 1453–1464. [Google Scholar] [CrossRef]
- Díaz-Pérez, J.C.; Hook, J.E. Plastic-mulched bell pepper (Capsicum annuum L.) plant growth and fruit yield and quality as influenced by irrigation rate and calcium fertilization. HortScience 2017, 52, 774–781. [Google Scholar] [CrossRef]
- Sezen, S.M.; Yazar, A.; Tekin, S.; Eker, S.; Kapur, B. Yield and quality response of drip-irrigated pepper under Mediterranean climatic conditions to various water regimes. Afr. J. Biotechnol. 2011, 10, 1329–1339. [Google Scholar]
- Goodwin, I.; Boland, A.-M. Scheduling Deficit Irrigation of Fruit Trees Deficit Irrigation Practices; Water Reports Publication n. 22; FAO: Rome, Italy, 2002; pp. 67–79. [Google Scholar]
- Saeed, H.; Grove, I.G.; Kettlewell, P.S.; Hall, N.W. Potential of partial rootzone drying as an alternative irrigation technique for potatoes (Solanum tuberosum). Ann. Appl. Biol. 2008, 152, 71–80. [Google Scholar] [CrossRef]
- Costa, J.M.; Ortuno, M.F.; Chaves, M.M. Deficit Irrigation as a Strategy to Save Water: Physiology and Potential Application to Horticulture. J. Integr. Plant Biol. 2007, 49, 1421–1434. [Google Scholar] [CrossRef]
- Geerts, S.; Raes, D. Deficit irrigation as an on-farm strategy to maximize crop water productivity in dry areas. Agric Water Manag. 2009, 96, 1275–1284. [Google Scholar] [CrossRef]
- Galindo, A.; Collado-González, J.; Griñán, I.; Corell, M.; Centeno, A.; Martín-Palomo, M.J.; Girón, I.F.; Rodríguez, P.; Cruz, Z.N.; Memmi, H.; et al. Deficit irrigation and emerging fruit crops as a strategy to save water in Mediterranean semiarid agrosystems. Agric. Water Manag. 2018, 202, 311–324. [Google Scholar] [CrossRef]
- Yao, M.; Gao, M.; Wang, J.; Li, B.; Mao, L.; Zhao, M.; Xu, Z.; Niu, H.; Wang, T.; Sun, L.; et al. Estimating evapotranspiration of greenhouse tomato under different irrigation levels using a modified dual crop coefficient model in Northeast China. Agriculture 2023, 13, 1741. [Google Scholar] [CrossRef]
- Ozbahce, A.; Tari, A.F. Effects of different emitter space and water stress on yield and quality of processing tomato under semi-arid climate conditions. Agric. Water Manag. 2010, 97, 1405–1410. [Google Scholar] [CrossRef]
- Fernandez, M.D.; Gallardo, M.; Bonachwla, S.; Orgaz, F.; Thompson, R.B.; Fereres, F. Water use and production of a greenhouse pepper crop under optimum and limited water supply. J. Hortic. Sci. Biotechnol. 2005, 80, 87–96. [Google Scholar] [CrossRef]
- Gençoğlan, C.; Akıncı, İ.E.; Uçan, K.; Akıncı, S.; Gençoğlan, S. Response of red hot pepper plant (Capsicum annuum L.) to the deficit irrigation. Akdeniz Üniversitesi Ziraat Fakültesi Derg. 2006, 19, 131–138. [Google Scholar]
- Mashonjowa, E.; Ronsse, F.; Mhizha, T.; Milford, J.R.; Lemeur, R.; Pieters, J.G. The effects of whitening and dust accumulation on the microclimate and canopy behaviour of rose plants (Rose hybrida) in a greenhouse in Zimbabwe. Sol. Energy 2010, 84, 10–23. [Google Scholar] [CrossRef]
- Cheng, L.; Huang, C.Y.; Wang, D.W. Correlation between cotton canopy CWSI and photosynthesis characteristics based on infrared thermography. Cotton Sci. 2012, 24, 341–347. [Google Scholar]
- Steduto, P.; Hsiao, T.C.; Fereres, E.; Raes, D. Crop Yield Response to Water; Food and Agriculture Organization of the United Nations Rome: Rome, Italy, 2012; Volume 1028. [Google Scholar]







| pH | EC (dS m−1) | Particle Size Distribution (%) | Texture Class | Bulk Density (g cm−3) | Field Capacity (%) | Wilting Point (%) | ||
|---|---|---|---|---|---|---|---|---|
| Sand | Clay | Silt | ||||||
| 7.38 | 0.14 | 71.0 | 9.0 | 20.0 | Sandy loam | 1.29 | 20.5% | 5.1% |
| pH | EC, dS m−1 | Cations, meq L−1 | Anions, meq L−1 | Sodium Adsorption Ratio (SAR) | ||||||
|---|---|---|---|---|---|---|---|---|---|---|
| Ca2+ | Mg2+ | K+ | Na+ | CO32− | HCO3− | Cl− | SO42− | |||
| 7.68 | 0.65 | 2.9 | 1.23 | 0.06 | 1.6 | 0 | 4.9 | 0.3 | 0.4 | 1.11 |
| Parameters | I60 | I80 | I100 | I120 | Imean |
|---|---|---|---|---|---|
| ET (L) | 14.9 d | 18.8 c | 21.0 b | 24.8 a | 19.8 |
| TY (g pot−1) | 272.4 c | 386.1 b | 516.2 a | 539.5 a | 428.5 |
| MY (g pot−1) | 227.9 c | 347.1 b | 484.0 a | 504.1 a | 390.8 |
| TWUE (g L−1) | 18.2 c | 20.6 b c | 24.7 a | 21.8 b | 21.3 |
| MWUE (g L−1) | 15.3 c | 18.6 b | 23.1 a | 20.3 b | 19.3 |
Disclaimer/Publisher’s Note: The statements, opinions and data contained in all publications are solely those of the individual author(s) and contributor(s) and not of MDPI and/or the editor(s). MDPI and/or the editor(s) disclaim responsibility for any injury to people or property resulting from any ideas, methods, instructions or products referred to in the content. |
© 2025 by the authors. Licensee MDPI, Basel, Switzerland. This article is an open access article distributed under the terms and conditions of the Creative Commons Attribution (CC BY) license (https://creativecommons.org/licenses/by/4.0/).
Share and Cite
Boyacı, S.; Kocięcka, J.; Kęsicka, B.; Atılgan, A.; Liberacki, D. Assessment of the Crop Water Stress Index for Green Pepper Cultivation Under Different Irrigation Levels. Sustainability 2025, 17, 5692. https://doi.org/10.3390/su17135692
Boyacı S, Kocięcka J, Kęsicka B, Atılgan A, Liberacki D. Assessment of the Crop Water Stress Index for Green Pepper Cultivation Under Different Irrigation Levels. Sustainability. 2025; 17(13):5692. https://doi.org/10.3390/su17135692
Chicago/Turabian StyleBoyacı, Sedat, Joanna Kocięcka, Barbara Kęsicka, Atılgan Atılgan, and Daniel Liberacki. 2025. "Assessment of the Crop Water Stress Index for Green Pepper Cultivation Under Different Irrigation Levels" Sustainability 17, no. 13: 5692. https://doi.org/10.3390/su17135692
APA StyleBoyacı, S., Kocięcka, J., Kęsicka, B., Atılgan, A., & Liberacki, D. (2025). Assessment of the Crop Water Stress Index for Green Pepper Cultivation Under Different Irrigation Levels. Sustainability, 17(13), 5692. https://doi.org/10.3390/su17135692

