Apennine Natural Pasture Areas: Soil, Plant, and Livestock Interactions and Ecosystem Characterization
Abstract
1. Introduction
2. Materials and Methods
2.1. Study Area Description

2.2. Sampling Design
2.3. Statistical Analysis
3. Results
3.1. Topographical and Climatic Characterization of Study Areas
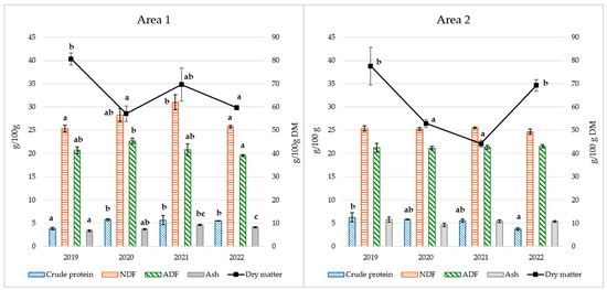
3.2. Plant Community Composition and Forage Characterization
3.3. Soil Characterization of Study Areas
3.4. Grazing Animal and Farm Variations
4. Discussion
5. Conclusions
Author Contributions
Funding
Institutional Review Board Statement
Informed Consent Statement
Data Availability Statement
Conflicts of Interest
References
- Orlandi, S.; Probo, M.; Sitzia, T.; Trentanovi, G.; Garbarino, M.; Lombardi, G.; Lonati, M. Environmental and Land Use Determinants of Grassland Patch Diversity in the Western and Eastern Alps under Agro-Pastoral Abandonment. Biodivers. Conserv. 2016, 25, 275–293. [Google Scholar] [CrossRef]
- Miraglia, N.; Salimei, E.; Fantuz, F. Equine Milk Production and Valorization of Marginal Areas—A Review. Animals 2020, 10, 353. [Google Scholar] [CrossRef] [PubMed]
- Bellini, E.; Martin, R.; Argenti, G.; Staglianò, N.; Costafreda-Aumedes, S.; Dibari, C.; Moriondo, M.; Bellocchi, G. Opportunities for Adaptation to Climate Change of Extensively Grazed Pastures in the Central Apennines (Italy). Land 2023, 12, 351. [Google Scholar] [CrossRef]
- FAO. The Contributions of Livestock Species and Breeds to Ecosystem Services; Food and Agriculture Organization of the United Nation: Rome, Italy, 2016; pp. 2–20. [Google Scholar]
- Pittarello, M.; Probo, M.; Perotti, E.; Lonati, M.; Lombardi, G.; Ravetto Enri, S. Grazing Management Plans Improve Pasture Selection by Cattle and Forage Quality in Sub-Alpine and Alpine Grasslands. J. Mt. Sci. 2019, 16, 2126–2135. [Google Scholar] [CrossRef]
- Zhao, Y.; Liu, Z.; Wu, J. Grassland Ecosystem Services: A Systematic Review of Research Advances and Future Directions. Landsc. Ecol. 2020, 35, 793–814. [Google Scholar] [CrossRef]
- Schils, R.L.M.; Bufe, C.; Rhymer, C.M.; Francksen, R.M.; Klaus, V.H.; Abdalla, M.; Milazzo, F.; Lellei-Kovács, E.; Berge, H.T.; Bertora, C.; et al. Permanent Grasslands in Europe: Land Use Change and Intensification Decrease Their Multifunctionality. Agric. Ecosyst. Environ. 2022, 330, 107891. [Google Scholar] [CrossRef]
- Pauler, C.M.; Homburger, H.; Lüscher, A.; Scherer-Lorenzen, M.; Schneider, M.K. Ecosystem Services in Mountain Pastures: A Complex Network of Site Conditions, Climate and Management. Agric. Ecosyst. Environ. 2025, 377, 109272. [Google Scholar] [CrossRef]
- Milazzo, F.; Francksen, R.M.; Abdalla, M.; Ravetto Enri, S.; Zavattaro, L.; Pittarello, M.; Hejduk, S.; Newell-Price, P.; Schils, R.L.M.; Smith, P.; et al. An Overview of Permanent Grassland Grazing Management Practices and the Impacts on Principal Soil Quality Indicators. Agronomy 2023, 13, 1366. [Google Scholar] [CrossRef]
- Scotti, I.; Ievoli, C.; Bindi, L.; Bispini, S.; Belliggiano, A. Facing Climate Vulnerability in Mountain Areas: The Role of Rural Actors’ Agency and Situated Knowledge Production. Sustainability 2023, 15, 15877. [Google Scholar] [CrossRef]
- Kaltenborn, B.P.; Linnell, J.D.C.; Gómez-Baggethun, E. Can Cultural Ecosystem Services Contribute to Satisfying Basic Human Needs? A Case Study from the Lofoten Archipelago, Northern Norway. Appl. Geogr. 2020, 120, 102229. [Google Scholar] [CrossRef]
- Li, R.; Zheng, H.; Polasky, S.; Hawthorne, P.L.; O’Connor, P.; Wang, L.; Li, R.; Xiao, Y.; Wu, T.; Ouyang, Z. Ecosystem Restoration on Hainan Island: Can We Optimize for Enhancing Regulating Services and Poverty Alleviation? Environ. Res. Lett. 2020, 15, 084039. [Google Scholar] [CrossRef]
- Dillon, P. The Evolution of Grassland in the European Union in Terms of Utilisation, Productivity, Food Security and the Importance of Adoption of Technical Innovations in Increasing Sustainability of Pasture-Based Ruminant Production Systems. In Proceedings of the 27th General Meeting of the European Grassland Federation, Cork, Ireland, 17–21 June 2018; pp. 3–16. [Google Scholar]
- Oates, L.G.; Jackson, R.D. Livestock Management Strategy Affects Net Ecosystem Carbon Balance of Subhumid Pasture. Rangel. Ecol. Manag. 2014, 67, 19–29. [Google Scholar] [CrossRef]
- Vazquez, E.; Teutscherova, N.; Lojka, B.; Arango, J.; Pulleman, M. Pasture Diversification Affects Soil Macrofauna and Soil Biophysical Properties in Tropical (Silvo)Pastoral Systems. Agric. Ecosyst. Environ. 2020, 302, 107083. [Google Scholar] [CrossRef]
- Wróbel, B.; Zielewicz, W.; Staniak, M. Challenges of Pasture Feeding Systems—Opportunities and Constraints. Agriculture 2023, 13, 974. [Google Scholar] [CrossRef]
- Panagos, P.; Borrelli, P.; Poesen, J.; Ballabio, C.; Lugato, E.; Meusburger, K.; Montanarella, L.; Alewell, C. The New Assessment of Soil Loss by Water Erosion in Europe. Environ. Sci. Policy 2015, 54, 438–447. [Google Scholar] [CrossRef]
- Crowther, T.W.; Todd-Brown, K.E.O.; Rowe, C.W.; Wieder, W.R.; Carey, J.C.; Machmuller, M.B.; Snoek, B.L.; Fang, S.; Zhou, G.; Allison, S.D.; et al. Quantifying Global Soil Carbon Losses in Response to Warming. Nature 2016, 540, 104–108. [Google Scholar] [CrossRef]
- Ramesh, T.; Bolan, N.S.; Kirkham, M.B.; Wijesekara, H.; Kanchikerimath, M.; Srinivasa Rao, C.; Sandeep, S.; Rinklebe, J.; Ok, Y.S.; Choudhury, B.U.; et al. Soil Organic Carbon Dynamics: Impact of Land Use Changes and Management Practices: A Review. In Advances in Agronomy; Elsevier: Amsterdam, The Netherlands, 2019; Volume 156, pp. 1–107. ISBN 978-0-12-817598-9. [Google Scholar]
- Bonfante, A.; Basile, A.; Bouma, J. Exploring the Effect of Varying Soil Organic Matter Contents on Current and Future Moisture Supply Capacities of Six Italian Soils. Geoderma 2020, 361, 114079. [Google Scholar] [CrossRef]
- Reichstein, M.; Bahn, M.; Ciais, P.; Frank, D.; Mahecha, M.D.; Seneviratne, S.I.; Zscheischler, J.; Beer, C.; Buchmann, N.; Frank, D.C.; et al. Climate Extremes and the Carbon Cycle. Nature 2013, 500, 287–295. [Google Scholar] [CrossRef]
- Zhou, Z.; Wang, C.; Luo, Y. Meta-Analysis of the Impacts of Global Change Factors on Soil Microbial Diversity and Functionality. Nat. Commun. 2020, 11, 3072. [Google Scholar] [CrossRef]
- De Graaff, M.-A.; Adkins, J.; Kardol, P.; Throop, H.L. A Meta-Analysis of Soil Biodiversity Impacts on the Carbon Cycle. Soil 2015, 1, 257–271. [Google Scholar] [CrossRef]
- Smith, P.; House, J.I.; Bustamante, M.; Sobocká, J.; Harper, R.; Pan, G.; West, P.C.; Clark, J.M.; Adhya, T.; Rumpel, C.; et al. Global Change Pressures on Soils from Land Use and Management. Glob. Change Biol. 2016, 22, 1008–1028. [Google Scholar] [CrossRef] [PubMed]
- Montanarella, L.; Pennock, D.J.; McKenzie, N.; Badraoui, M.; Chude, V.; Baptista, I.; Mamo, T.; Yemefack, M.; Singh Aulakh, M.; Yagi, K.; et al. World’s Soils Are under Threat. Soil 2016, 2, 79–82. [Google Scholar] [CrossRef]
- Wiesmeier, M.; Urbanski, L.; Hobley, E.; Lang, B.; Von Lützow, M.; Marin-Spiotta, E.; Van Wesemael, B.; Rabot, E.; Ließ, M.; Garcia-Franco, N.; et al. Soil Organic Carbon Storage as a Key Function of Soils—A Review of Drivers and Indicators at Various Scales. Geoderma 2019, 333, 149–162. [Google Scholar] [CrossRef]
- Bouma, J. Soil Security as a Roadmap Focusing Soil Contributions on Sustainable Development Agendas. Soil Secur. 2020, 1, 100001. [Google Scholar] [CrossRef]
- Gulaiya, S.; Kumar, M.; Kumar, R.; Kumar, R.; Singh, N.; Yadav, K.; Singh, S.; Kumar, D.; Rajpoot, A.S. Regenerative Agriculture: Integrating Soil Health, Carbon Management and Socio-Ecological Outcomes. Int. J. Environ. Clim. Change 2024, 14, 92–105. [Google Scholar] [CrossRef]
- McBratney, A.B.; Field, D.; Morgan, C.L.S.; Huang, J. On Soil Capability, Capacity, and Condition. Sustainability 2019, 11, 3350. [Google Scholar] [CrossRef]
- Fernández-Habas, J.; García Moreno, A.M.; Hidalgo-Fernández, M.T.; Leal-Murillo, J.R.; Abellanas Oar, B.; Gómez-Giráldez, P.J.; González-Dugo, M.P.; Fernández-Rebollo, P. Investigating the Potential of Sentinel-2 Configuration to Predict the Quality of Mediterranean Permanent Grasslands in Open Woodlands. Sci. Total Environ. 2021, 791, 148101. [Google Scholar] [CrossRef]
- González-Gómez, L.; González-Tokman, D.; García, J.H.; Lira-Noriega, A.; Escobar, F. Influence of Landscape and Livestock Management on Dung Beetle Diversity in Tropical Cattle Pastures. Biodivers. Conserv. 2023, 32, 1687–1707. [Google Scholar] [CrossRef]
- Pulina, G.; Salimei, E.; Masala, G.; Sikosana, J.L.N. A Spreadsheet Model for the Assessment of Sustainable Stocking Rate in Semi-Arid and Sub-Humid Regions of Southern Africa. Livest. Prod. Sci. 1999, 61, 287–299. [Google Scholar] [CrossRef]
- Blum, W.E.H. Soil and Land Resources for Agricultural Production: General Trends and Future Scenarios-A Worldwide Perspective. Int. Soil Water Conserv. Res. 2013, 1, 1–14. [Google Scholar] [CrossRef]
- Di Rocco, A.; Raimondo, P.; Tomaro, A.; Notarangelo, P.; Rossodivita, I.; De Renzis, M.; Iannetta, M.; Litterio, M.; Santopolo, A.; Motti, R.; et al. Inventario Regionale Della Risorsa Pascolo. Rapporto Tecnico Finale. Volume 1 e 2; Regione Molise, Assessorato Agricoltura e Foreste; Associazione Provinciale Allevatori: Campobasso, Italy, 1992; pp. 1–401. [Google Scholar]
- UNESCO Intangible Cultural Heritage 2019. Available online: https://ich.unesco.org/en/RL/transhumance-the-seasonal-droving-of-livestock-01964 (accessed on 23 April 2025).
- Fatica, A. Studies on Sustainable Feedstuffs in Livestock Productions of Inner Areas in Centre-South Italy; University of Molise: Campobasso, Italy, 2021; pp. 1–130. [Google Scholar]
- Natura2000 2023. Available online: https://natura2000.eea.europa.eu/Natura2000/SDF.aspx?site=IT7212126 (accessed on 20 September 2023).
- Google Earth 2023. Available online: https://www.google.it/intl/it/earth/ (accessed on 18 July 2023).
- Dipartimento IV Servizio Di Protezione Civile 2021. Available online: http://www.protezionecivile.molise.it/index.php/photogallery/view/21.html (accessed on 25 January 2023).
- Meteonetwork 2023. Available online: https://meteonetwork.eu/it (accessed on 20 October 2023).
- Bagnouls, F.; Gaussen, H. Les Climats Biologique et Leur Classification. Ann. Géographie 66e Année 1957, 355, 193–220. [Google Scholar] [CrossRef]
- De Martonne, E. Une Nouvelle Function Climatologique: L’indice d’aridité [A New Climatological Function: The Aridity Index]; La Meteorologie Volume 2; Impr. Gauthier-Villars: Paris, France, 1926; pp. 449–458. [Google Scholar]
- Peri, P.L.; Toledo, S.; Gándara, L.; Trinco, F.; Atanasio, M.A.; Calamari, N.C.; Casaubon, E.; Martínez, N.; Ledesma, R.; Gomez, F.; et al. Response of Forage Production to Drought in Silvopastoral Systems in Argentina. Agroforest Syst. 2024, 98, 2109–2123. [Google Scholar] [CrossRef]
- AOAC, Association of Official Analytical Chemist. Official Methods of Analysis, 17th ed.; The Association of Official Analytical Chemists: Gaithersburg, MD, USA, 2000; ISBN 0-935584-67-6. [Google Scholar]
- Pignatti, S. Flora d’Italia; Edagricole: Bologna, Italy, 1982. [Google Scholar]
- Cislaghi, A.; Giupponi, L.; Tamburini, A.; Giorgi, A.; Bischetti, G.B. The Effects of Mountain Grazing Abandonment on Plant Community, Forage Value and Soil Properties: Observations and Field Measurements in an Alpine Area. Catena 2019, 181, 104086. [Google Scholar] [CrossRef]
- IUSS Working Group WRB. World Reference Base for Soil Resources 2014, Update 2015 International Soil Classification System for Naming Soils and Creating Legends for Soil Maps; FAO: Rome, Italy, 2015; pp. 1–192. [Google Scholar]
- Walkey, A.; Black, I.A. An Examination of the Degtjareff Method for Determining Organic Carbon in Soils: Effect of Variations in Digestion Conditions and of Inorganic Soil Constituents. Soil Sci. 1934, 63, 251–263. [Google Scholar] [CrossRef]
- Colombo, C.; Miano, T. Metodi Di Analisi Chimica Del Suolo; Ministero Politiche Agricole Alimentari e Forestali: Modugno, Italy, 2015; pp. 1–470. [Google Scholar]
- ISTAT—Istituto Nazionale Di Statistica 2023. Available online: http://dati-censimentoagricoltura.istat.it/Index.aspx# (accessed on 20 September 2023).
- Peretto, C.; Minelli, A. Preistoria in Molise: Gli Insediamenti Del Territorio Di Isernia. Centro Europeo Di Ricerche Preistoriche; Aracne Editore: Isernia, Italy, 2006; Volume Collana Ricerche, pp. 1–416. ISBN 88-548-0742-7. [Google Scholar]
- Raparelli, E.; Tuccella, P.; Colaiuda, V.; Marzano, F.S. Snow Cover Prediction in the Italian Central Apennines Using Weather Forecast and Land Surface Numerical Models. Cryosphere 2023, 17, 519–538. [Google Scholar] [CrossRef]
- Pesaresi, S.; Biondi, E.; Casavecchia, S. Bioclimates of Italy. J. Maps 2017, 13, 955–960. [Google Scholar] [CrossRef]
- Climate Change Knowledge Portal. Climate Change Overview—Country Summary. 2023. Available online: https://climateknowledgeportal.worldbank.org/country/italy (accessed on 20 July 2023).
- Fatica, A.; Circelli, L.; Di Iorio, E.; Colombo, C.; Crawford, T.W.; Salimei, E. Stresses in Pasture Areas in South-Central Apennines, Italy, and Evolution at Landscape Level. In Handbook of Plant & Crop Stress; CRC Press Taylor and Francis Group: Boca Raton, FL, USA, 2019; pp. 271–291. [Google Scholar]
- Orgiazzi, A.; Panagos, P.; Yigini, Y.; Dunbar, M.B.; Gardi, C.; Montanarella, L.; Ballabio, C. A Knowledge-Based Approach to Estimating the Magnitude and Spatial Patterns of Potential Threats to Soil Biodiversity. Sci. Total Environ. 2016, 545–546, 11–20. [Google Scholar] [CrossRef] [PubMed]
- Gianfagna, A.; Bigazzi, G. Volcanic Ashes from Frosolone (Isernia, Italy): Mineralogical Characterisation and Fission-Track Dating. Geol. Romana 2004, 37, 97–108. [Google Scholar]
- Mileti, F.A.; Vingiani, S.; Manna, P.; Langella, G.; Terribile, F. An Integrated Approach to Studying the Genesis of Andic Soils in Italian Non-Volcanic Mountain Ecosystems. Catena 2017, 159, 35–50. [Google Scholar] [CrossRef]
- Bachmann, J.; Goebel, M.-O.; Krueger, J.; Fleige, H.; Woche, S.K.; Dörner, J.; Horn, R. Aggregate Stability of South Chilean Volcanic Ash Soils—A Combined XPS, Contact Angle, and Surface Charge Analysis. Geoderma 2020, 361, 114022. [Google Scholar] [CrossRef]
- Lal, R. Soil Compaction and Rehabilitation of Subsoil. In Encyclopedia of Soil Science, 3rd ed.; CRC Press: Boca Raton, FL, USA, 2015; pp. 307–316. [Google Scholar]
- Di Iorio, E.; Circelli, L.; Lorenzetti, R.; Costantini, E.A.C.; Egendorf, S.P.; Colombo, C. Estimation of Andic Properties from Vis-NIR Diffuse Reflectance Spectroscopy for Volcanic Soil Classification. Catena 2019, 182, 104109. [Google Scholar] [CrossRef]
- Di Iorio, E.; Circelli, L.; Angelico, R.; Torrent, J.; Tan, W.; Colombo, C. Environmental Implications of Interaction between Humic Substances and Iron Oxide Nanoparticles: A Review. Chemosphere 2022, 303, 135172. [Google Scholar] [CrossRef]
- Colombo, C.; Sellitto, V.M.; Palumbo, G.; Di Iorio, E.; Terribile, F.; Schulze, D.G. Clay Formation and Pedogenetic Processes in Tephra-Derived Soils and Buried Soils from Central-Southern Apennines (Italy). Geoderma 2014, 213, 346–356. [Google Scholar] [CrossRef]
- Colombo, C.; Palumbo, G.; Di Iorio, E.; Russo, F.; Terribile, F.; Jiang, Z.; Liu, Q. Soil Development in a Quaternary Fluvio-Lacustrine Paleosol Sequence in Southern Italy. Quat. Int. 2016, 418, 195–207. [Google Scholar] [CrossRef]
- Masseroli, A.; Bollati, I.M.; Fracasetti, L.; Trombino, L. Soil Trail as a Tool to Promote Cultural and Geoheritage: The Case Study of Mount Cusna Geosite (Northern Italian Apennines). Appl. Sci. 2023, 13, 6420. [Google Scholar] [CrossRef]
- Vittori Antisari, L.; Agnelli, A.; Corti, G.; Falsone, G.; Ferronato, C.; Marinari, S.; Vianello, G. Modern and Ancient Pedogenesis as Revealed by Holocene Fire—Northern Apennines, Italy. Quat. Int. 2018, 467, 264–276. [Google Scholar] [CrossRef]
- Mariani, G.S.; Compostella, C.; Trombino, L. Complex Climate-Induced Changes in Soil Development as Markers for the Little Ice Age in the Northern Apennines (Italy). Catena 2019, 181, 104074. [Google Scholar] [CrossRef]
- Matus, F.; Rumpel, C.; Neculman, R.; Panichini, M.; Mora, M.L. Soil Carbon Storage and Stabilisation in Andic Soils: A Review. Catena 2014, 120, 102–110. [Google Scholar] [CrossRef]
- Kalisz, B.; Urbanowicz, P.; Smólczyński, S.; Orzechowski, M. Impact of Siltation on the Stability of Organic Matter in Drained Peatlands. Ecol. Indic. 2021, 130, 108149. [Google Scholar] [CrossRef]
- Husson, O. Redox Potential (Eh) and pH as Drivers of Soil/Plant/Microorganism Systems: A Transdisciplinary Overview Pointing to Integrative Opportunities for Agronomy. Plant Soil 2013, 362, 389–417. [Google Scholar] [CrossRef]
- Liu, L.; Chen, H.; Tian, J. Varied Response of Carbon Dioxide Emissions to Warming in Oxic, Anoxic and Transitional Soil Layers in a Drained Peatland. Commun. Earth Environ. 2022, 3, 313. [Google Scholar] [CrossRef]
- Niu, W.; Ding, J.; Fu, B.; Zhao, W.; Eldridge, D. Global Effects of Livestock Grazing on Ecosystem Functions Vary with Grazing Management and Environment. Agric. Ecosyst. Environ. 2025, 378, 109296. [Google Scholar] [CrossRef]
- Costantini, E.A.C.; Lorenzetti, R. Soil Degradation Processes in the Italian Agricultural and Forest Ecosystems. Ital. J. Agron. 2013, 8, e28. [Google Scholar] [CrossRef]
- Rosskopf, C.M.; Di Iorio, E.; Circelli, L.; Colombo, C.; Aucelli, P.P.C. Assessing Spatial Variability and Erosion Susceptibility of Soils in Hilly Agricultural Areas in Southern Italy. Int. Soil Water Conserv. Res. 2020, 8, 354–362. [Google Scholar] [CrossRef]
- Salimei, E.; Costantini, M.; Miraglia, N.; Polidori, M.; Pilla, F. Aree Pascolive in Molise: Gestione Del Carico Animale Quale Mezzo Di Difesa Idrogeologica e Di Valorizzazione Delle Risorse Del Territorio. In Proceedings of the Atti X Convegno Interdisciplinare IPSAPA/ISPALEM 2005, Udine, Italy, 3–4 November 2005; pp. 1–6. [Google Scholar]
- Colonna, M.; Rosati, D. Aree Pascolive e Salvaguardia Della Biodiversità Zootecnica Molisana; ARSARP: Campobasso, Italy, 2015; pp. 47–98. [Google Scholar]
- Stanley, P.L.; Wilson, C.; Patterson, E.; Machmuller, M.B.; Cotrufo, M.F. Ruminating on Soil Carbon: Applying Current Understanding to Inform Grazing Management. Glob. Change Biol. 2024, 30, e17223. [Google Scholar] [CrossRef] [PubMed]
- Mazzeo, A.; Rossi, N.; Sorrentino, E.; Tremonte, P.; Sassi, E. Reemerging Bovine Brucellosis and Concomitant Onset of COVID-19 Pandemic Suggest Including Economic Health in the One Health Approach. In Proceedings of the Abstract Book of the 3rd Annual Scientific Meeting of the One Health EJP, Copenhagen, Denmark, 9–11 June 2021; pp. 55–69. [Google Scholar]
- Primi, R.; Viola, P.; Rossi, C.M.; Ripert, S.; Ripa, M.N.; Spina, R.; Ronchi, B. Impacts of Changing Livestock Farming Practices on the Biocultural Heritage and Landscape Configuration of Italian Anti-Apennine. Land 2024, 13, 243. [Google Scholar] [CrossRef]
- Demarchi, L.; Kania, A.; Ciężkowski, W.; Piórkowski, H.; Oświecimska-Piasko, Z.; Chormański, J. Recursive Feature Elimination and Random Forest Classification of Natura 2000 Grasslands in Lowland River Valleys of Poland Based on Airborne Hyperspectral and LiDAR Data Fusion. Remote Sens. 2020, 12, 1842. [Google Scholar] [CrossRef]
- Wang, Z.; Yan, J.; Pawley, M.; Brunton, D.H.; Qu, J.; Grueter, C.C.; He, J.-S.; Ji, W.; Nan, Z. Do Degraded Grasslands Provide a Better Habitat for Plateau Pika? —Testing the Nutritional Hypothesis. Agric. Ecosyst. Environ. 2024, 367, 108993. [Google Scholar] [CrossRef]
- Espunyes, J.; Lurgi, M.; Büntgen, U.; Bartolomé, J.; Calleja, J.A.; Gálvez-Cerón, A.; Peñuelas, J.; Claramunt-López, B.; Serrano, E. Different Effects of Alpine Woody Plant Expansion on Domestic and Wild Ungulates. Glob. Change Biol. 2019, 25, 1808–1819. [Google Scholar] [CrossRef]
- Agnoletti, M.; Piras, F.; Venturi, M.; Santoro, A. Cultural Values and Forest Dynamics: The Italian Forests in the Last 150 Years. For. Ecol. Manag. 2022, 503, 119655. [Google Scholar] [CrossRef]
- Barbero-Palacios, L.; Ferraro, K.M.; Barrio, I.C.; Krumins, J.A.; Bartolomé, J.; Albanell, E.; Jarque-Bascuñana, L.; Lavín, S.; Calleja, J.A.; Carreira, J.A.; et al. Faecal Nutrient Deposition of Domestic and Wild Herbivores in an Alpine Grassland. Sci. Total Environ. 2023, 903, 166616. [Google Scholar] [CrossRef] [PubMed]
- Ruelle, E.; Hennessy, D.; Delaby, L. Development of the Moorepark St Gilles Grass Growth Model (MoSt GG Model): A Predictive Model for Grass Growth for Pasture Based Systems. Eur. J. Agron. 2018, 99, 80–91. [Google Scholar] [CrossRef]
- Marino, S.; Brugiapaglia, E.; Miraglia, N.; Persichilli, C.; De Angelis, M.; Pilla, F.; Di Brita, A. Modelling of the Above-Ground Biomass and Ecological Composition of Semi-Natural Grasslands on the Strenght of Remote Sensing Data and Machine Learning Algorithms. Ecol. Inform. 2024, 82, 102740. [Google Scholar] [CrossRef]
- Arnaez, J.; Lasanta, T.; Errea, M.P.; Ortigosa, L. Land Abandonment, Landscape Evolution, and Soil Erosion in a Spanish Mediterranean Mountain Region: The Case of Camero Viejo. Land Degrad. Dev. 2011, 22, 537–550. [Google Scholar] [CrossRef]
- Pornaro, C.; Basso, E.; Macolino, S. Pasture Botanical Composition and Forage Quality at Farm Scale: A Case Study. Ital. J. Agron. 2019, 14, 1480. [Google Scholar] [CrossRef]
- Gao, W.; Jiang, H.; Zhang, S.; Hai, C.; Liu, B. Vegetation Characteristics and Soil Properties in Grazing Exclusion Areas of the Inner Mongolia Desert Steppe. Int. Soil Water Conserv. Res. 2023, 11, 549–560. [Google Scholar] [CrossRef]
- Frate, L.; Carranza, M.L.; Evangelista, A.; Stinca, A.; Schaminée, J.H.J.; Stanisci, A. Climate and Land Use Change Impacts on Mediterranean High-Mountain Vegetation in the Apennines since the 1950s. Plant Ecol. Divers. 2018, 11, 85–96. [Google Scholar] [CrossRef]
- Lu, X.; Yan, Y.; Sun, J.; Zhang, X.; Chen, Y.; Wang, X.; Cheng, G. Short-Term Grazing Exclusion Has No Impact on Soil Properties and Nutrients of Degraded Alpine Grassland in Tibet, China. Solid Earth 2015, 6, 1195–1205. [Google Scholar] [CrossRef]
- Quaranta, G.; Salvia, R.; Salvati, L.; Paola, V.D.; Coluzzi, R.; Imbrenda, V.; Simoniello, T. Long-term Impacts of Grazing Management on Land Degradation in a Rural Community of Southern Italy: Depopulation Matters. Land Degrad. Dev. 2020, 31, 2379–2394. [Google Scholar] [CrossRef]
- Sollenberger, L.E.; Newman, Y.C.; Macoon, B. Pasture Design and Grazing Management. In Forages: The Science of Grassland Agriculture; John Wiley & Sons Ltd: New York, NY, USA, 2020; pp. 803–814. [Google Scholar]




| 2019 | 2020 | 2021 | 2022 | p Value | |
|---|---|---|---|---|---|
| Forage height, cm | 9.00 (±5.57) | 16.7 (±4.41) | 13.3 (±4.41) | 16.7 (±6.01) | 0.693 | 
| Number of species | 13.7 (±1.33) | 17.7 (±1.45) | 14.0 (±2.08) | 16.7 (±1.67) | 0.308 | 
| Average forage composition, % | |||||
| Gramineae | 63.3 (±4.41) | 56.7 (±6.01) | 58.3 (±1.67) | 58.3 (±3.33) | 0.705 | 
| Leguminosae | 8.33 (±1.67) | 18.3 (±7.26) | 16.7 (±6.01) | 13.3 (±4.41) | 0.578 | 
| Compositae | 8.33 (±3.33) | 11.7 (±1.67) | 15.0 (±2.89) | 15.0 (±2.89) | 0.330 | 
| Labiatae | 8.33 (±3.33) | 6.67 (±1.67) | 6.67 (±1.67) | 6.67 (±1.67) | 0.931 | 
| Other | 11.7 (±1.67) | 6.67 (±1.67) | 6.67 (±1.67) | 6.67 (±1.67) | 0.160 | 
| 2019 | 2020 | 2021 | 2022 | p Value | |
|---|---|---|---|---|---|
| Forage height, cm | 4.00 (±1.00) | 26.7 (±14.8) | 18.3 (±7.26) | 26.7 (±10.9) | 0.382 | 
| Number of species | 9.33 (±0.67) | 17.7 (±1.45) | 14.3 (±2.33) | 15.0 (±2.89) | 0.097 | 
| Average forage composition, % | |||||
| Gramineae | 40.0 (±13.2) | 25.0 (±2.89) | 36.7 (±3.33) | 31.7 (±4.41) | 0.530 | 
| Leguminosae | 23.3 (±6.01) a | 50.0 (±5.77) b | 20.0 (±5.77) a | 30.0 (±0.00) a | 0.012 | 
| Compositae | 15.0 (±7.64) | 10.0 (±2.89) | 16.7 (±3.33) | 15.0 (±2.89) | 0.765 | 
| Labiatae | 6.67 (±1.67) | 5.00 (±0.00) | 10.0 (±0.00) | 6.67 (±1.67) | 0.085 | 
| Other | 15.0 (±7.64) | 10.0 (±5.00) | 16.7 (±6.67) | 16.7 (±6.67) | 0.872 | 
| SITE | HORIZON | DEPTH (CM) | HORIZON BOUNDARIES | COLOR 1 | ROCK FRAGMENTS | STRUCTURE | CONCENTRATIONS | ROOTS | CARBONATES (%) | SOC 2 (%) | 
|---|---|---|---|---|---|---|---|---|---|---|
| AS | A | 0–20 | Gradual smooth | Very dark grayish brown (10YR 3/2) | 5%, Gravel | Crumbly, friable | Absent | Fine, very fine, common | 0 | 7 | 
| C | 20+ | Unknown | Brown (10YR 4/3) | 60% Gravel and stones | Subangular blocky, friable | Absent | Fine, very fine, few | 0 | 4 | |
| CF | A | 0–16 | Clear smooth | Very dark brown (10YR 2/2) | Absent | Crumbly, non-coherent | Absent | Very fine, common | 0 | 6 | 
| Stone line | 16–20 | Clear smooth | 60%, Gravel | 3 | ||||||
| Bw1 | 20–32 | Diffuse smooth | Very dark brown (7.5YR 2.5/2) | 25%, Gravel | Granular, firm | Absent | Very fine, few | 0 | 2 | |
| Bw2 | 32–50 | Gradual wavy | Very dark brown (10YR 2/2) | 5% Gravel and stones | Lumpy | Absent | Very fine, few | 0 | 2 | |
| C | 50+ | Unknown | Black (7.5YR 2.5/1) | 30% Gravel and stones | Absent | Absent | Absent | 0 | 6 | |
| SM | Oi | 0–2 | Abrupt smooth | Black (10YR 2/1) | Absent | Crumbly, non-coherent | Absent | Fine, very fine, common | 0 | 8 | 
| A1 | 2–15 | Clear smooth | Very dark brown (10YR 2/2) | 1%, Gravel | Crumbly, non-coherent | Absent | Fine, very fine, common | 0 | 8 | |
| A2 | 15–30 | Gradual wavy | Very dark brown (10YR2/2) | Absent | Granular, firm | 5%, Charcoal fragments (3–10 mm) | Fine, very fine, common | 0 | 4 | |
| Bw | 30–52 | Abrupt smooth | Very dark brown (10YR 2/2) | Absent | Angular blocky | 5%, Charcoal fragments (3–10 mm) | Fine, very fine, few | 0 | 4 | |
| 2Bw1b fire | 52–77 | Clear smooth | Black (2.5Y 2.5/1) | 5%, Gravel | Lumpy | 15%, Charcoal fragments (3–10 mm) | Absent | 0 | 4 | |
| 2Bw2b | 77+ | Unknown | Dark yellowish brown (10YR 3/4) | Absent | Subangular blocky | Absent | Absent | 0 | 1 | 
| SITE | HORIZON | DEPTH (CM) | HORIZON BOUNDARIES | COLOR 1 | ROCK FRAGMENTS | STRUCTURE | CONCENTRATIONS | ROOTS | CARBONATES (%) | SOC 2 (%) | 
|---|---|---|---|---|---|---|---|---|---|---|
| BP | A | 0–5 | Diffuse smooth | Very dark grayish brown (10YR 3/2) | Absent | Lumpy, fine | Absent | Very fine, common | 12 | 7 | 
| AB | 5–18 | Diffuse smooth | Dark grayish brown (2,5Y 4/2) | <5% tiny | Subangular blocky | Absent | Very fine, common | 19 | 2 | |
| Bw1 | 18–40 | Diffuse smooth | Olive brown (2,5Y 4/3) | Absent | Lumpy, crumbly | Absent | Very fine, few | 27 | 2 | |
| Bw2 | 40–80 | Gradual wavy | Light olive brown (2,5Y 5/3) | Absent | Lumpy, crumbly | Absent | Very fine, few | 27 | 2 | |
| Bwg1 | 80–93 | Clear smooth | Grayish brown (2,5Y 5/2) | Absent | Lumpy, crumbly | Absent | Very fine, few | 22 | 1 | |
| Bwg1 | 93–105 | Clear smooth | Gray (5Y 4/1) | Absent | Lumpy, crumbly | Absent | Very fine, few | 13 | 2 | |
| Ab | 105 + | Unknown | Black (10YR 2/1) | Absent | Lumpy, crumbly | Absent | Very fine, few | 4 | 6 | |
| PP | A | 0–10 | Gradual smooth | Very dark grayish brown (10YR 3/2) | Absent | Crumbly, fine | Absent | Fine, very fine, common | 16 | 7 | 
| Bw | 10–25 | Gradual smooth | Dark gray (10YR 4/1) | Absent | Subangular prismatic, medium | Iron-manganese, very fine nodule | Fine, very fine, few | 21 | 3 | |
| Bwg1 | 25–55 | Gradual smooth | Dark grayish brown (10YR 4/2) | Absent | Subangular prismatic, medium | Iron-manganese, very fine nodule | Fine, very fine, few | 17 | 3 | |
| Bwg2 | 55–70 | Clear smooth | Very dark gray (10YR 3/1) | Absent | Subangular prismatic, fine | Iron-manganese, very fine nodule | Absent | 0 | 5 | |
| Hb | 70+ | Unknown | Black (10YR 2/1) | Absent | Fibrous | Absent | Absent | 0 | 14 | |
| ZI | A | 0–10 | Clear smooth | Very dark grayish brown (10YR 3/2) | Absent | Crumbly, fine | Absent | Fine, very fine, common | 28 | 7 | 
| Bw1 | 10–25 | Gradual smooth | Dark grayish brown (10YR 4/2) | Absent | Subangular prismatic, fine | Iron-manganese, fine, very fine nodule | Fine, very fine, common | 37 | 3 | |
| Bw2 | 25–40 | Gradual smooth | Dark grayish brown (10YR 4/2) | Absent | Subangular prismatic, medium | Iron-manganese, fine, very fine nodule | Fine, very fine, common | 36 | 2 | |
| Bwg1 | 40–55 | Clear smooth | Dark grayish brown (2.5Y 4/2) | Absent | Subangular prismatic, medium | Iron-manganese, very fine nodule | Absent | 20 | 3 | |
| Bwg2 | 55+ | Unknown | Dark grayish brown (2.5Y 4/2) | Absent | Subangular prismatic, medium | Absent | Absent | 2 | 3 | 
| 2019 | 2020 | 2021 | 2022 | |
|---|---|---|---|---|
| Area 1 | ||||
| Total ABU | 1472 | 1447 | 1400 | 1281 | 
| GI, ABU/ha | 1.47 | 1.45 | 1.40 | 1.28 | 
| Area 2 | ||||
| Total ABU | 1318 | 1305 | 1354 | 1303 | 
| GI, head/ha | 1.46 | 1.45 | 1.50 | 1.45 | 
| Disclaimer/Publisher’s Note: The statements, opinions and data contained in all publications are solely those of the individual author(s) and contributor(s) and not of MDPI and/or the editor(s). MDPI and/or the editor(s) disclaim responsibility for any injury to people or property resulting from any ideas, methods, instructions or products referred to in the content. | 
© 2025 by the authors. Licensee MDPI, Basel, Switzerland. This article is an open access article distributed under the terms and conditions of the Creative Commons Attribution (CC BY) license (https://creativecommons.org/licenses/by/4.0/).
Share and Cite
Fatica, A.; Manzo, A.; Di Iorio, E.; Circelli, L.; Fantuz, F.; Todini, L.; Crawford, T.W., Jr.; Colombo, C.; Salimei, E. Apennine Natural Pasture Areas: Soil, Plant, and Livestock Interactions and Ecosystem Characterization. Sustainability 2025, 17, 5238. https://doi.org/10.3390/su17125238
Fatica A, Manzo A, Di Iorio E, Circelli L, Fantuz F, Todini L, Crawford TW Jr., Colombo C, Salimei E. Apennine Natural Pasture Areas: Soil, Plant, and Livestock Interactions and Ecosystem Characterization. Sustainability. 2025; 17(12):5238. https://doi.org/10.3390/su17125238
Chicago/Turabian StyleFatica, Antonella, Alessio Manzo, Erika Di Iorio, Luana Circelli, Francesco Fantuz, Luca Todini, Thomas W. Crawford, Jr., Claudio Colombo, and Elisabetta Salimei. 2025. "Apennine Natural Pasture Areas: Soil, Plant, and Livestock Interactions and Ecosystem Characterization" Sustainability 17, no. 12: 5238. https://doi.org/10.3390/su17125238
APA StyleFatica, A., Manzo, A., Di Iorio, E., Circelli, L., Fantuz, F., Todini, L., Crawford, T. W., Jr., Colombo, C., & Salimei, E. (2025). Apennine Natural Pasture Areas: Soil, Plant, and Livestock Interactions and Ecosystem Characterization. Sustainability, 17(12), 5238. https://doi.org/10.3390/su17125238
 
        



 
       