Valorizing Date Seeds into Biochar for Pesticide Removal: A Sustainable Approach to Agro-Waste-Based Wastewater Treatment
Abstract
1. Introduction
2. Materials and Methods
2.1. Chemicals
2.2. Preparation of DSBC
2.3. Determination of Point of Zero Charge (pHpzc)
2.4. Characterization of DSBC
2.5. Pesticide Adsorption Experiments
2.6. Reusability and Regeneration Performance
3. Results and Discussion
3.1. Characterization of Adsorbent
3.2. Surface Area and Porosity Analysis
- Feedstock Composition: Date seeds are rich in lignin and hemicellulose, which decompose during pyrolysis to produce a more porous carbon matrix. However, the density and uniformity of pores vary based on the intrinsic structure of the biomass.
- Pyrolysis Temperature and Time: The DSBC was pyrolyzed at 550 °C for 30 min, an optimized condition that promotes high surface area without collapsing pore walls. Higher temperatures (>700 °C) often lead to further carbonization but can reduce surface area due to pore shrinkage or collapse.
- Activation Method: The DSBC used in this study was chemically activated using H3PO4, which contributes to the selective etching of carbon and the development of mesoporosity.
- Ash and Mineral Content: High inorganic content can block pores or fill internal voids, reducing effective surface area. The ash content of DSBC was low (2.3%), minimizing pore blockage and preserving SSA.
- Therefore, the surface area data were standardized using the BET method and aligned with comparable studies, while the observed differences were rationalized based on feedstock properties, pyrolysis conditions, and activation processes.
3.3. Adsorption Mechanism Based on Multi-Technique Characterization
3.4. Control Experiments to Verify Adsorption Specificity
3.5. Effect of Solution pH on Pesticide Removal
3.6. Effect of DSBC Dose on Pesticide Removal
3.7. Effect of Initial Concentration on Pesticide Removal
3.8. Effect of Wastewater Composition on Pesticide Removal
- In agricultural runoff, the removal efficiency was 88.2%, likely due to moderate levels of dissolved organic matter (DOM) that may have competed for adsorption sites.
- In landfill leachate, the efficiency dropped to 76.5%, attributable to higher COD, humic substances, and the presence of multiple interfering ions.
- In municipal wastewater effluent, DSBC achieved a removal efficiency of 82.3%, indicating its robustness even in chemically complex matrices.
3.9. Modeling of Adsorption Isotherms
3.10. Effect of Contact Time on Pesticide Removal
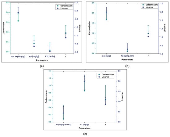
3.11. Adsorption Kinetics
3.12. Effect of Temperature on Pesticide Removal
3.13. Regeneration and Reusability
3.14. Preliminary Cost Analysis
3.15. DSBC Sustainability Process Assessment
3.15.1. Technological Dimension
3.15.2. Environmental Dimension
3.15.3. Level of Circularity of Biochar and Future Directions in Context of 10Rs Approach
- R1 (Refuse) and R2 (Rethink) are met by utilizing agricultural waste (date seeds) and replacing conventional activated carbon with a multi-functional, low-cost, and low-emission material;
- R3 (Reduce) is achieved by decreasing landfill input and enabling post-adsorption reuse of spent biochar;
- R4 (Reuse) is demonstrated through DSBC’s maintained efficiency (>80%) over three regeneration cycles;
- R6 (Refurbish) and R7 (Remanufacture) are supported by integrating DSBC into fluidized bed systems or identifying value-added recovery of embedded elements (e.g., bioenergy stock) [27];
- R8 (Repurpose) is exemplified by combining DSBC with photocatalysts for synergistic removal of a broader spectrum of pollutants, reducing regeneration frequency and increasing material longevity [76];
- R9 (Recycle) encourages incorporating spent DSBC into construction materials to reduce carbon-intensive waste [50];
- R10 (Recover) supports thermal valorization of exhausted DSBC as an energy source, closing the loop in its life-cycle.
4. Future Perspectives
5. Conclusions
Supplementary Materials
Author Contributions
Funding
Institutional Review Board Statement
Informed Consent Statement
Data Availability Statement
Acknowledgments
Conflicts of Interest
Abbreviations
| DSBC | Date Seed Biochar |
| BET | Brunauer–Emmett–Teller |
| FT-IR | Fourier-Transform Infrared Spectroscopy |
| AOPs | Advanced Oxidation Processes |
| SDGs | Sustainable Development Goals |
| pHpzc | Point of zero charge |
| SWOT | Strengths, Weaknesses, Opportunities, and Threats |
| LCA | Life-Cycle Assessment |
| EDCs | Endocrine-Disrupting Compounds |
| GHG | Green House Gas |
| IWRM | Integrated Water Resource Management |
| CE | Circular Economy |
References
- Zhang, E.; Jiang, F.; Ou, J. Global pesticide consumption and pollution: With China as a focus. Proc. Int. Acad. Ecol. Environ. Sci. 2001, 1, 125–144. [Google Scholar]
- Sivarajasekar, N.; Balasubramani, K.; Mohanraj, N.; Prakash Maran, J.; Sivamani, S.; Ajmal Koya, P.; Karthik, V. Fixed-bed adsorption of atrazine onto microwave irradiated Aegle marmelos Correa fruit shell: Statistical optimization, process design and breakthrough modeling. J. Mol. Liq. 2017, 241, 823–830. [Google Scholar] [CrossRef]
- Gonzalez, M.; Miglioranza, K.S.B.; Grondona, S.I.; Barni, F.S.M.; Martinez, D.E.; Pena, A. Organic pollutant levels in an agricultural watershed: The importance of analyzing multiple matrices for assessing stream water pollution. Environ. Sci. Process. Impacts 2013, 43, 739–750. [Google Scholar] [CrossRef] [PubMed]
- Mekonen, S.; Argaw, R.; Simanesew, A.; Houbraken, M.; Senaeve, D.; Ambelu, A.; Spanoghe, P. Pesticide residues in drinking water and associated risk to consumers in Ethiopia. Chemosphere 2016, 162, 252–260. [Google Scholar] [CrossRef]
- Pourreza, N.; Rastegarzadeh, S.; Larki, A. Determination of fungicide carbendazim in water and soil samples using dispersive liquid-liquid microextraction and microvolume UV-Vis spectrophotometry. Talanta 2015, 134, 24–29. [Google Scholar] [CrossRef]
- Qiu, X.; Zeng, W.; Yu, W.; Xue, Y.; Pang, Y.; Li, X.; Li, Y. Alkyl Chain Cross-Linked Sulfobutylated Lignosulfonate: A Highly Efficient Dispersant for Carbendazim Suspension Concentrate. ACS Sustain. Chem. Eng. 2015, 3, 1551–1557. [Google Scholar] [CrossRef]
- Moser, T.; Van Gestel, C.A.M.; Jones, S.E.; Koolhaas, J.E.; Rodrigues, J.M.L.; Römbke, J. Ring-Testing and Field-Validation of a Terrestrial Model Ecosystem (TME)—An Instrument for Testing Potentially Harmful Substances: Effects of Carbendazim on Enchytraeids. Ecotoxicology 2004, 13, 89–103. [Google Scholar] [CrossRef]
- Bollmann, U.E.; Tang, C.; Eriksson, E.; Jönsson, K.; Vollertsen, J.; Bester, K. Biocides in urban wastewater treatment plant influent at dry and wet weather: Concentrations, mass flows and possible sources. Water Res. 2014, 60, 64–74. [Google Scholar] [CrossRef]
- Merel, S.; Benzing, S.; Gleiser, C.; Di Napoli-Davis, G.; Zwiener, C. Occurrence and overlooked sources of the biocide carbendazim in wastewater and surface water. Environ. Pollut. 2018, 239, 512–521. [Google Scholar] [CrossRef]
- Antić, N.; Radišić, M.; Radović, T.; Vasiljević, T.; Grujić, S.; Petković, A.; Dimkić, M.; Laušević, M. Pesticide Residues in the Danube River Basin in Serbia—A Survey During 2009–2011. Clean-Soil Air Water 2015, 43, 197–204. [Google Scholar] [CrossRef]
- Barco-Bonilla, N.; Romero-González, R.; Plaza-Bolaños, P.; Martínez Vidal, J.L.; Garrido Frenich, A. Systematic study of the contamination of wastewater treatment plant effluents by organic priority compounds in Almeria province (SE Spain). Sci. Total Environ. 2013, 447, 381–389. [Google Scholar] [CrossRef] [PubMed]
- Mahalakshmi, M.; Arabindoo, B.; Palanichamy, M.; Murugesan, V. Photocatalytic degradation of carbofuran using semiconductor oxides. J. Hazard. Mater. 2007, 143, 240–245. [Google Scholar] [CrossRef] [PubMed]
- Saritha, P.; Aparna, C.; Himabindu, V.; Anjaneyulu, Y. Comparison of various advanced oxidation processes for the degradation of 4-chloro-2 nitrophenol. J. Hazard. Mater. 2007, 149, 609–614. [Google Scholar] [CrossRef]
- Maldonado, M.I.; Malato, S.; Pérez-Estrada, L.A.; Gernjak, W.; Oller, I.; Doménech, X.; Peral, J. Partial degradation of five pesticides and an industrial pollutant by ozonation in a pilot-plant scale reactor. J. Hazard. Mater. 2006, 138, 363–369. [Google Scholar] [CrossRef] [PubMed]
- Jia, Z.; Li, Y.; Lu, S.; Peng, H.; Ge, J.; Chen, S. Treatment of organophosphate-contaminated wastewater by acidic hydrolysis and precipitation. J. Hazard. Mater. 2006, 129, 234–238. [Google Scholar] [CrossRef]
- Ballesteros Martín, M.M.; Sánchez Pérez, J.A.; García Sánchez, J.L.; Montes de Oca, L.; Casas López, J.L.; Oller, I.; Rodríguez Malato, S. Degradation of alachlor and pyrimethanil by combined photo-Fenton and biological oxidation. J. Hazard. Mater. 2008, 155, 342–349. [Google Scholar] [CrossRef]
- Dąbrowski, A. Adsorption-From theory to practice. Adv. Colloid Interface Sci. 2001, 93, 135–224. [Google Scholar] [CrossRef]
- Ali, I.; Gupta, V.K. Advances in water treatment by adsorption technology. Nat. Protoc. 2007, 1, 2661–2667. [Google Scholar] [CrossRef]
- Patil, C.S.; Gunjal, D.B.; Naik, V.M.; Harale, N.S.; Jagadale, S.D.; Kadam, A.N.; Patil, P.S.; Kolekar, G.B.; Gore, A.H. Waste tea residue as a low cost adsorbent for removal of hydralazine hydrochloride pharmaceutical pollutant from aqueous media: An environmental remediation. J. Clean. Prod. 2019, 206, 407–418. [Google Scholar] [CrossRef]
- Murthy, H.M.R.; Manonmani, H.K. Aerobic degradation of technical hexachlorocyclohexane by a defined microbial consortium. J. Hazard. Mater. 2007, 149, 18–25. [Google Scholar] [CrossRef]
- Ahmad, A.L.; Tan, L.S.; Shukor, S.R.A. Dimethoate and atrazine retention from aqueous solution by nanofiltration membranes. J. Hazard. Mater. 2008, 151, 71–77. [Google Scholar] [CrossRef] [PubMed]
- Wang, T.; Ai, S.; Zhou, Y.; Luo, Z.; Dai, C.; Yang, Y.; Zhang, J.; Huang, H.; Luo, S.; Luo, L. Adsorption of agricultural wastewater contaminated with antibiotics, pesticides and toxic metals by functionalized magnetic nanoparticles. J. Environ. Chem. Eng. 2018, 6, 6468–6478. [Google Scholar] [CrossRef]
- Kuloglija, S.; Ahmed, A.E.G.; Jordan, C.; Golda, M.; Ipsmiller, W.; Steinacher, N.; Winter, F.; Meitner, D.; Luckeneder, A.; Harasek, M. Sustainable Activated Carbon Production from Sunflower Seeds via Chemical Activation. Sustainability 2025, 17, 2568. [Google Scholar] [CrossRef]
- Muedi, K.L.; Tendenedzai, J.T.; Masindi, V.; Haneklaus, N.H.; Brink, H.G. Facile Recovery of Polycationic Metals from Acid Mine Drainage and Their Subsequent Valorisation for the Treatment of Municipal Wastewater. Sustainability 2025, 17, 2701. [Google Scholar] [CrossRef]
- Kalhor, M.M.; Rafati, A.A.; Rafati, L.; Rafati, A.A. Synthesis, characterization and adsorption studies of amino functionalized silica nano hollow sphere as an efficient adsorbent for removal of imidacloprid pesticide. J. Mol. Liq. 2018, 266, 453–459. [Google Scholar] [CrossRef]
- Pamidimukkala, P.S.; Soni, H. Efficient removal of organic pollutants with activated carbon derived from palm shell: Spectroscopic characterisation and experimental optimisation. J. Environ. Chem. Eng. 2018, 6, 3135–3149. [Google Scholar] [CrossRef]
- Wainaina, S.; Awasthi, M.K.; Sarsaiya, S.; Chen, H.; Singh, E.; Kumar, A.; Ravindran, B.; Awasthi, S.K.; Liu, T.; Duan, Y.; et al. Resource recovery and circular economy from organic solid waste using aerobic and anaerobic digestion technologies. Bioresour. Technol. 2020, 301, 122778. [Google Scholar] [CrossRef]
- Al-Omari, S.A.B. Experimental investigation on combustion and heat transfer characteristics in a furnace fueled with unconventional biomass fuels (date stones and palm stalks). Energy Convers. Manag. 2006, 47, 778–790. [Google Scholar] [CrossRef]
- Bouchenafa-Saïb, N.; Grange, P.; Verhasselt, P.; Addoun, F.; Dubois, V. Effect of oxidant treatment of date pit active carbons used as Pd supports in catalytic hydrogenation of nitrobenzene. Appl. Catal. A Gen. 2005, 286, 167–174. [Google Scholar] [CrossRef]
- Merzougui, Z.; Addoun, F. Effect of oxidant treatment of date pit activated carbons application to the treatment of waters. Desalination 2008, 222, 394–403. [Google Scholar] [CrossRef]
- Alhamed, Y. Activated Carbon from Dates Stone by ZnCl2 Activation. J. King Abdulaziz Univ. Sci. 2006, 17, 75–98. [Google Scholar] [CrossRef]
- Mor, S.; Chhoden, K.; Ravindra, K. Application of agro-waste rice husk ash for the removal of phosphate from the wastewater. J. Clean. Prod. 2016, 129, 673–680. [Google Scholar] [CrossRef]
- Wang, T.; Zhang, Z.; Zhang, H.; Zhong, X.; Liu, Y.; Liao, S.; Yue, X.; Zhou, G. Sorption of carbendazim on activated carbons derived from rape straw and its mechanism. RSC Adv. 2019, 9, 41745–41754. [Google Scholar] [CrossRef] [PubMed]
- Ly, H.; Nguyen, N.B.; Tran, N.H.; Hang Hoang, T.T.H.; Joo, S.W.; Vasseghian, Y.; Kamyab, H.; Chelliapan, S.; Klemeš, J.J. Metal-organic framework nanopesticide carrier for accurate pesticide delivery and decrement of groundwater pollution. J. Clean. Prod. 2023, 402, 136809. [Google Scholar] [CrossRef]
- Yang, J.; Sun, H.; Liu, Y.; Wang, X.; Valizadeh, K. The sorption of Tebuconazole and Linuron from an Aqueous Environment with a Modified Sludge-Based Biochar: Effect, Mechanisms, and Its Persistent Free Radicals Study. J. Chem. 2021, 2021, 2912054. [Google Scholar] [CrossRef]
- Kunwar, P.J.; Luukkonen, T.; Haapasalo, H.; Majava, J. Addressing adsorbent materials commercialization challenges for water treatment in European markets through productization. Cogent Eng. 2024, 11, 2320952. [Google Scholar] [CrossRef]
- Aouada, F.A.; Pan, Z.; Orts, W.J.; Mattoso, L.H.C. Removal of Paraquat Pesticide from Aqueous Solutions Using a Novel Adsorbent Material Based on Polyacrylamide and Methylcellulose Hydrogels. J. Appl. Polym. Sci. 2009, 114, 2139–2148. [Google Scholar] [CrossRef]
- Chatterjee, S.; Das, S.K.; Chakravarty, R.; Chakrabarti, A.; Ghosh, S.; Guha, A.K. Interaction of malathion, an organophos-phorus pesticide with Rhizopus oryzae biomass. J. Hazard. Mater. 2010, 174, 47–53. [Google Scholar] [CrossRef]
- Al-Ghouti, M.A.; Hawari, A.; Khraisheh, M. A solid-phase extractant based on microemulsion modified date pits for toxic pollutants. J. Environ. Manag. 2013, 130, 80–89. [Google Scholar] [CrossRef]
- Gupta, M.; Gupta, H.; Kharat, D.S. Adsorption of Cu (II) by low cost adsorbents and the cost analysis. Environ. Technol. Innov. 2018, 10, 91–101. [Google Scholar] [CrossRef]
- Ibrahim, A.; Azimah Ismaila, A.; Juahir, H.; Ihsan, Y.N.; Sudianto, S.; Mark Ovinis, M.; Kassim, A.M.; Hanapi, N.H.M.; Ahmad Danial Hafizi, D.A. Preparation and characterization of activated carbon obtained from Melaleuca cajuputi leaves. Carbon Trends 2023, 3, 100301. [Google Scholar] [CrossRef]
- Cusioli, L.F.; Mantovani, D.; Bergamasco, R.; Tusset, A.M.; Lenzi, G.G. Preparation of a New Adsorbent Material from Agro-Industrial Waste and Comparison with Commercial Adsorbent for Emerging Contaminant Removal. Processes 2023, 11, 2478. [Google Scholar] [CrossRef]
- Alsulaili, A.D.; Refaie, A.A.; Garcia, H.A. Adsorption capacity of activated carbon derived from date seeds: Characterization, optimization, kinetic and equilibrium studies. Chemosphere 2023, 313, 137554. [Google Scholar] [CrossRef] [PubMed]
- Chang, C.F.; Chang, C.Y.; Hsu, K.E.; Lee, S.C.; Höll, W. Adsorptive removal of the pesticide methomyl using hyper crosslinked polymers. J. Hazard. Mater. 2008, 155, 295–304. [Google Scholar] [CrossRef]
- Kyriakopoulos, G.; Doulia, D.; Anagnostopoulos, E. Adsorption of pesticides on porous polymeric adsorbents. Chem. Eng. Sci. 2005, 60, 1177–1186. [Google Scholar] [CrossRef]
- Ghosh, S.; Das, S.K.; Guha, A.K.; Sanyal, A.K. Adsorption behavior of lindane on Rhizopus oryzae biomass: Physico-chemical studies. J. Hazard. Mater. 2009, 172, 485–490. [Google Scholar] [CrossRef] [PubMed]
- Lladó, J.; Gil, R.R.; Lao-Luque, C.; Solé-Sardans, M.; Fuente, E.; Ruiz, B. Highly microporous activated carbons derived from biocollagenic wastes of the leather industry as adsorbents of aromatic organic pollutants in water. J. Environ. Chem. Eng. 2017, 5, 2090–2100. [Google Scholar] [CrossRef]
- Alavanja, M.C.; Hoppin, J.A.; Kamel, F. Health effects of chronic pesticide exposure: Cancer and neurotoxicity. Annu. Rev. Public Health 2013, 25, 155–197. [Google Scholar] [CrossRef]
- Pal, A.; Gin, K.Y.H.; Lin, A.Y.C.; Reinhard, M. Impacts of emerging organic contaminants on freshwater resources: Review of recent occurrences, sources, fate and effects. Sci. Total Environ. 2010, 408, 6062–6069. [Google Scholar] [CrossRef]
- Baskar, A.V.; Bolan, N.I.; Hoang, S.A.; Sooriyakumar, P.I.; Kumar, M.; Singh, L.; Jasemizad, T.; Padhye, L.P.; Singh, G.; Vinu, A.; et al. Recovery, regeneration and sustainable management of spent adsorbents from wastewater treatment streams: A review. Sci. Total Environ. 2022, 822, 153555. [Google Scholar] [CrossRef]
- Bagotia, N. Regeneration strategies for exhausted adsorbents used in water treatment—A critical review. J. Water Process Eng. 2025, 69, 106560. [Google Scholar] [CrossRef]
- Yedla, S.; Dikshit, A.K. Removal of endosulfan from water using wood charcoal-Adsorption and desorption. J. Environ. Eng. 2008, 134, 102–109. [Google Scholar] [CrossRef]
- Hameed, B.H. Spent tea leaves: A new non-conventional and low-cost adsorbent for removal of basic dye from aqueous solutions. J. Hazard. Mater. 2009, 161, 753–759. [Google Scholar] [CrossRef] [PubMed]
- Kalderis, D.; Tsuchiya, S.; Phillipou, K.; Paschalidou, P.; Pashalidis, I.; Tashima, D.; Tsubota, T. Utilization of pine tree biochar produced by flame-curtain pyrolysis in two non-agricultural applications. Bioresour. Technol. Rep. 2020, 9, 100384. [Google Scholar] [CrossRef]
- Saleem, J.; Shahid, U.; Hijab, M.; Mackey, H.; McKay, G. Production and applications of activated carbons as adsorbents from olive stones. Biomass Conv. Bioref. 2018, 9, 775–802. [Google Scholar] [CrossRef]
- Ajien, A.; Idris, J.; Md Sofwan, N.; Husen, R.; Seli, H. Coconut shell and husk biochar: A review of production and activation technology, economic, financial aspect and application. Waste Manag. Res. 2022, 41, 37–51. [Google Scholar] [CrossRef]
- Cai, J.; Niu, B.; Xie, Q.; Lu, N.; Huang, S.; Zhao, G.; Zhao, J. Accurate removal of toxic organic pollutants from complex water matrices. Environ. Sci. Technol. 2022, 56, 2917–2935. [Google Scholar] [CrossRef]
- Hgeig, A.; Novaković, M.; Mihajlović, I. Sorption of carbendazim and linuron from aqueous solutions with activated carbon produced from spent coffee grounds: Equilibrium, kinetic and thermodynamic approach. J. Environ. Sci. Health B 2019, 54, 226–236. [Google Scholar] [CrossRef]
- Li, G.; Li, J.; Tan, W.; Yang, M.; Wang, H.; Wang, X. Effectiveness and mechanisms of the adsorption of carbendazim from wastewater onto commercial activated carbon. Chemosphere 2022, 304, 135231. [Google Scholar] [CrossRef]
- Baigorria, E.; Fraceto, L.F. Novel nanostructured materials based on polymer/organic-clay composite networks for the removal of carbendazim from waters. J. Clean. Prod. 2022, 331, 129867. [Google Scholar] [CrossRef]
- Rasool, S.; Rasool, T.; Gani, K.M. Removal of carbendazim by sorption onto a continuous fixed bed hybrid filter of calcined clay and waste derived biochar. J. Water Process Eng. 2024, 68, 106348. [Google Scholar] [CrossRef]
- Ighalo, J.O.; Omoarukhe, F.O.; Ojukwu, V.E.; Iwuozor, K.O.; Adaobi Igwegbe, C. Cost of adsorbent preparation and usage in wastewater treatment: A review. Clean. Chem. Eng. 2022, 3, 100042. [Google Scholar] [CrossRef]
- Satyam, S.; Patra, S. Innovations and challenges in adsorption-based wastewater remediation: A comprehensive review. Heliyon 2024, 10, e29573. [Google Scholar] [CrossRef] [PubMed]
- Wang, S.; Lu, W.; Esakkimuthu, S.; Chen, H.; Yang, J.; Mu, M.; Gong, X. Life cycle assessment of carbon-based adsorbent preparation from algal biomass. J. Clean. Prod. 2023, 427, 139269. [Google Scholar] [CrossRef]
- Ahmed, M.B.; Zhou, J.L.; Hao Ngo, H.; Guo, W. Insight into biochar properties and its cost analysis. Biomass Bioenergy 2016, 84, 76–86. [Google Scholar] [CrossRef]
- Fabregat, V.; Pagán, J.M. Technical–Economic Feasibility of a New Method of Absorbent Materials and Advanced Oxidation Techniques to Remove Emerging Pollutants in Treated Wastewater. Water 2024, 16, 814. [Google Scholar] [CrossRef]
- Robbins, C.A.; Du, X.; Bradley, T.H.; Quinn, J.C.; Bandhauer, T.M.; Conrad, S.A.; Carlson, K.H.; Tong, T. Beyond treatment technology: Understanding motivations and barriers for wastewater treatment and reuse in unconventional energy production. Resour. Conserv. Recycl. 2022, 177, 106011. [Google Scholar] [CrossRef]
- Kashif Aziz, B.M.; Prasad, B.; Ravi, R.; Shah, M.P.; Dos Santos Lins, V.; Meili, L.; Suranjit Prasad, K.S. The multifaceted power of biochar: A review on its role in pollution control, sustainable agriculture, and circular economy. Environ. Chem. Ecotoxicol. 2025, 7, 286–304. [Google Scholar] [CrossRef]
- Al-Farsi, M.; Alasalvar, C.; Al-Abid, M.; Al-Shoaily, K.; Al-Amry, M. Characteristics of Dates, Syrups, and Their By-Products. Food Chem. 2007, 104, 943–947. [Google Scholar] [CrossRef]
- Won Jung, K.; Kim, K.; Jeong, T.U.; Ahn, K.H. Influence of pyrolysis temperature on characteristics and phosphate adsorption capability of biochar derived from waste-marine macroalgae (Undaria pinnatifida roots). Bioresour. Technol. 2016, 200, 1024–1028. [Google Scholar] [CrossRef]
- Woolf, D.; Amonette, J.; Street-Perrott, F.; Lehmann, J.; Joseph, S. Sustainable biochar to mitigate global climate change. Nat. Commun. 2010, 1, 56. [Google Scholar] [CrossRef] [PubMed]
- Ekener, E.; Hansson, J.; Larsson, A.; Peck, P. Developing Life Cycle Sustainability Assessment methodology by applying values-based sustainability weighting-Tested on biomass based and fossil transportation fuels. J. Clean. Prod. 2018, 181, 337–351. [Google Scholar] [CrossRef]
- Inyang, M.; Dickenson, E. The potential role of biochar in the removal of organic and microbial contaminants from potable and reuse water: A review. Chemosphere 2015, 134, 232–240. [Google Scholar] [CrossRef] [PubMed]
- Ahmad, M.; Upamali Rajapaksham, A.; Eun Lim, J.; Zhang, M.; Bolan, N.; Mohan, D.; Vithanage, M.; Soo Lee, S.; Sik Ok, Y. Biochar as a sorbent for contaminant management in soil and water: A review. Chemosphere 2013, 99, 19–33. [Google Scholar] [CrossRef]
- Tan, X.; Liu, S.; Liu, Y.-G.; Gu, Y.; Zeng, G.-M.; Hu, X.; Wang, X.; Liu, S.; Jiang, L. Biochar as potential sustainable precursors for activated carbon production: Multiple applications in environmental remediation and energy storage. Bioresour. Technol. 2017, 227, 359–372. [Google Scholar] [CrossRef]
- Subramaniam, M.N.; Wu, Z.; Goh, P.S.; Zhou, S. The state-of-the-art development of biochar based photocatalyst for removal of various organic pollutants in wastewater. J. Clean. Prod. 2023, 429, 139487. [Google Scholar] [CrossRef]
- European Commission. Circular Economy Action Plan. 2020. Available online: https://eur-lex.europa.eu/legal-content/EN/TXT/HTML/?uri=CELEX:52020DC0098 (accessed on 20 May 2025).
- Ippolito, J.A.; Cui, L.; Kammann, C.; Wrage-Mönnig, N.; Estavillo, J.M.; Fuertes-Mendizabal, T.; Luz Cayuela, M.; Sigua, G.; Novak, J.; Spokas, K.; et al. Feedstock choice, pyrolysis temperature and type influence biochar characteristics: A comprehensive meta-data analysis review. Biochar 2020, 2, 421–438. [Google Scholar] [CrossRef]
- Leong, K.Y.; Loo, S.L.; Bashir, M.J.K.; Oh, W.D.; Rao, P.V.; Wei Lim, J. Bioregeneration of spent activated carbon: Review of key factors and recent mathematical models of kinetics. Chin. J. Chem. Eng. 2018, 26, 893–902. [Google Scholar] [CrossRef]
- Zhang, T.; Zuo, S. Drying enables multiple reuses of activated carbon without regeneration. Environ. Sci. Pollut. Res. 2023, 30, 45097–45111. [Google Scholar] [CrossRef]











| Cost Component | Unit Cost (USD) | Consumption per kg DSBC | Total Cost (USD) |
|---|---|---|---|
| Raw date seeds (waste, collection) | 0.00 (waste valorization) | – | 0.00 |
| Washing (water use) | 0.002/L | 5 L | 0.01 |
| Drying (60 °C and 110 °C for 24 h) | 0.10/kWh | 2.5 kWh | 0.25 |
| Grinding/Milling | 0.10/kWh | 0.5 kWh | 0.05 |
| Pyrolysis (550 °C, 2 h) | 0.10/kWh | 4.0 kWh | 0.40 |
| Equipment depreciation and maintenance | – | – | 0.10 |
| Labor (semi-automated process) | – | – | 0.30 |
| Packaging and storage | – | – | 0.05 |
| Total Estimated Cost per kg | 1.16 USD |
| Challenges | Sub-Factor | Significance Level (Low, Medium and High) |
|---|---|---|
| Technological issues | T1. Transfer efficiency of innovative solutions from research to industry (research and development) | Medium |
| T2. The possibility of integrating engineering solutions into the original WWTPs | High | |
| T3. Timely response of advanced treatments due to sudden changes in work | Medium | |
| T4. Hybrid combination with photocatalysis or biodegradation | Medium | |
| T5. Stability and efficiency process during variation of water composition | High | |
| T6. Monitoring of saturated biochar | Medium | |
| T7. Automatization and control process | Low | |
| T8. Competence with other wastewater treatment | Medium | |
| T9. Low carbon footprint | Medium | |
| Environmental issues | En1. Carbon footprint reduction (GHG emission) | Medium |
| En2. Water quality improvement | High | |
| En3. Food Waste as biochar resource | Low | |
| En4. Removal of contaminants of emerging concerns (CECs) | High | |
| En5. Fulfilments of the Sustainable Development Goals (SDGs) | High | |
| En6. Soil and groundwater pollution | Medium | |
| En7. Climate change contribution | Medium | |
| En8. Reclaimed wastewater | Low | |
| En9. Hazardous sludge generation due regeneration process and disposal issue | High |
| Strengths | Description | References |
| Abundant Feedstock | Date seeds are an agricultural waste with negligible commercial value, making them an abundant and low-cost raw material. | [69] |
| High Surface Area and Porosity | Pyrolysis at optimized temperatures yields biochar with favorable textural properties, enhancing adsorption capacity. | [70] |
| Environmentally Friendly | Valorization of agro-waste reduces landfill burden and supports circular economy initiatives. | [73] |
| Renewable and Carbon-Negative | Biochar production can sequester carbon, offering climate mitigation co-benefits. | [71] |
| Weaknesses | Description | References |
| Lower Selectivity Without Functionalization | Untreated DSBC may exhibit limited selectivity toward specific pollutants compared to chemically modified adsorbents. | [75] |
| Batch Variability | The physicochemical properties of DSBC may vary with seasonal and regional feedstock sources, affecting consistency. | [72] |
| Limited Regeneration Efficiency | Adsorption performance slightly decreases after several regeneration cycles, necessitating further enhancement. | Present Study |
| Opportunities | Description | References |
| Scale-Up for Rural and Industrial Applications | DSBC can be incorporated into decentralized treatment systems for pesticide-contaminated wastewater in agricultural zones. | [22] |
| Integration with Green Technologies | DSBC can be used in hybrid systems (e.g., biochar-photocatalyst composites) to improve removal efficiency. | [76] |
| Policy and Market Incentives | Circular economy and sustainable development policies globally favor the adoption of low-cost, bio-based adsorbents. | [77] |
| Threats | Description | References |
| Competition with Advanced Materials | Emerging nanomaterials and synthetic resins may outperform DSBC in terms of specificity and regeneration. | [22] |
| Lack of Standardization | Absence of standardized protocols for biochar preparation and quality control may limit industrial adoption. | [78] |
| Feedstock Supply Chain Logistics | Dependence on post-harvest date seed availability may impact continuous production without proper sourcing mechanisms. | [69] Present Study; |
Disclaimer/Publisher’s Note: The statements, opinions and data contained in all publications are solely those of the individual author(s) and contributor(s) and not of MDPI and/or the editor(s). MDPI and/or the editor(s) disclaim responsibility for any injury to people or property resulting from any ideas, methods, instructions or products referred to in the content. |
© 2025 by the authors. Licensee MDPI, Basel, Switzerland. This article is an open access article distributed under the terms and conditions of the Creative Commons Attribution (CC BY) license (https://creativecommons.org/licenses/by/4.0/).
Share and Cite
Mihajlović, I.; Hgeig, A.; Novaković, M.; Gvoić, V.; Ubavin, D.; Petrović, M.; Kurniawan, T.A. Valorizing Date Seeds into Biochar for Pesticide Removal: A Sustainable Approach to Agro-Waste-Based Wastewater Treatment. Sustainability 2025, 17, 5129. https://doi.org/10.3390/su17115129
Mihajlović I, Hgeig A, Novaković M, Gvoić V, Ubavin D, Petrović M, Kurniawan TA. Valorizing Date Seeds into Biochar for Pesticide Removal: A Sustainable Approach to Agro-Waste-Based Wastewater Treatment. Sustainability. 2025; 17(11):5129. https://doi.org/10.3390/su17115129
Chicago/Turabian StyleMihajlović, Ivana, Ali Hgeig, Mladenka Novaković, Vesna Gvoić, Dejan Ubavin, Maja Petrović, and Tonni Agustiono Kurniawan. 2025. "Valorizing Date Seeds into Biochar for Pesticide Removal: A Sustainable Approach to Agro-Waste-Based Wastewater Treatment" Sustainability 17, no. 11: 5129. https://doi.org/10.3390/su17115129
APA StyleMihajlović, I., Hgeig, A., Novaković, M., Gvoić, V., Ubavin, D., Petrović, M., & Kurniawan, T. A. (2025). Valorizing Date Seeds into Biochar for Pesticide Removal: A Sustainable Approach to Agro-Waste-Based Wastewater Treatment. Sustainability, 17(11), 5129. https://doi.org/10.3390/su17115129

