Research on Synergy Measurement and Digital Finance Driving Mechanism of Enterprise Digital Transformation and Greening Upgrade: An Empirical Analysis Based on the Complex System Coordination Degree Model
Abstract
1. Introduction
2. Literature Review
2.1. The Impact of Digital Finance on the Digitalization or Greening of a Single Transformation to Carry Out Research
2.2. Study on the Synergistic Development of Digitalization and Greening
3. Theoretical Analysis and Research Hypothesis
3.1. Direct Effect: Digital Finance’s Fundamental Enabling of the Synergistic Development of Digitalization and Greening
3.2. Indirect Effect: Theoretical Extensions of Resource Allocation Mechanisms
3.3. Moderating Effect: The Capacity-Enhancing Role of Entrepreneurship
3.4. Threshold Effect: The Law of Evolution of Capacities in the Institutional Environment
3.5. Logical Framework
4. Research Design
4.1. Sample Selection and Data Sources
4.2. Main Variables
4.2.1. Explained Variable
- (1)
- Standardized Treatment of Indicators.
- (2)
- Calculation of the Composite Development Index.
- (3)
- Coupling Coordination Degree Model.
4.2.2. Explanatory Variable
4.2.3. Mediating Variables
- Financing constraints (): This paper uses the index to measure the degree of corporate financing constraints [41]. The index is calculated as ( is the natural logarithm of the enterprise’s total asset size; is the enterprise’s operating year. The index calculated by this method is negative, and its absolute value is ; the larger the absolute value of the index, the more serious the financing constraints of enterprises):
- Information constraint (): Asymmetry of information with the outside world is the main reason why enterprises face information constraints. Analysts, as intermediaries for mining and transferring information, collect corporate information through the comprehensive use of research, interviews, and other means, and prepare detailed research reports accordingly. In this way, they serve as a bridge for information dissemination to enhance corporate information transparency, thus alleviating the information asymmetry between corporations and the outside world. Therefore, the natural logarithm of the number of analysts tracked by a firm for the year plus one is taken to measure the degree of information constraints of that firm. The higher the number of analysts a firm has, the lower its information constraints and the stronger its information transparency [42].
4.2.4. Moderating Variable
4.2.5. Control Variables
4.3. Modeling
4.3.1. Panel Regression Model
4.3.2. Mediating Effect Model 1
4.3.3. Mediating Effect Model 2
4.3.4. Moderating Effects Model
4.3.5. Threshold Effect Model
5. Empirical Analysis
5.1. Spatial and Temporal Characteristics of the Coupled Synergistic Development of Enterprise Digitalization and Greening
5.2. Descriptive Statistics
5.3. Benchmark Regression Analysis
5.4. Robustness Tests
5.4.1. Variable Lagging
5.4.2. Higher-Order Joint Fixed-Effects Model
5.5. Endogeneity Test
5.5.1. Instrumental Variables Approach
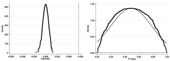
5.5.2. Placebo Test
5.6. Analysis of Mediating Effects
5.7. Analysis of Moderating Effects
5.8. Heterogeneity Analysis
5.9. Analysis of Threshold Effects
6. Research Conclusions and Policy Recommendations
6.1. Conclusions of the Study
6.2. Policy Recommendations
6.2.1. Optimizing the Allocation of Digital Financial Resources and Promoting Regional Synergistic Development
6.2.2. Dynamic Monitoring of Threshold Effects and Adjustment of Policy Gradients
6.2.3. Implementing Categorized Guidance to Enhance Policy Precision
6.2.4. Stimulating Entrepreneurship and Releasing Endogenous Power for Transformation
6.3. Research Limitations and Perspectives
Author Contributions
Funding
Institutional Review Board Statement
Informed Consent Statement
Data Availability Statement
Conflicts of Interest
References
- She, Q.; Qian, J.; He, L. Research on the relationship of coupling coordination between digitalization and green development. Sci. Rep. 2024, 14, 19569. [Google Scholar] [CrossRef] [PubMed]
- Tian, Q.; Shen, W.; Wang, Y.; Liu, L. Mechanism and evolution trend of digital green fusion in China’s regional advanced manufacturing industry. J. Clean. Prod. 2023, 427, 139264. [Google Scholar] [CrossRef]
- Ye, F.; Zheng, J.; Li, Y.; Li, L.; Linghu, D. Exploring the fusion of greening and digitalization for sustainability. J. Clean. Prod. 2024, 442, 141085. [Google Scholar] [CrossRef]
- Collevecchio, F.; Cappa, F.; Peruffo, E.; Oriani, R. When do M&As with Fintech Firms Benefit Traditional Banks? Br. J. Manag. 2023, 35, 192–209. [Google Scholar] [CrossRef]
- Razzaq, A.; Yang, X. Digital finance and green growth in China: Appraising inclusive digital finance using web crawler technology and big data. Technol. Forecast. Soc. Change 2023, 188, 122262. [Google Scholar] [CrossRef]
- Li, Q.; Gupta, P. Research on the Impact Mechanism and Application of Financial Digitalization and Optimization on Small- and Medium-Sized Enterprises. Sci. Program. 2021, 2021, 9534976. [Google Scholar] [CrossRef]
- Fu, Z.; Zhou, Y.; Li, W.; Zhong, K. Impact of digital finance on energy efficiency: Empirical findings from China. Environ. Sci. Pollut. Res. Int. 2023, 30, 2813–2835. [Google Scholar] [CrossRef]
- Barroso, M.; Laborda, J. Digital transformation and the emergence of the Fintech sector: Systematic literature review. Digit. Bus. 2022, 2, 100028. [Google Scholar] [CrossRef]
- Daud, I.; Mohyi, A.; Ambarwati, T.; Cahyono, Y.; Haryoko, A.E.; Handoko, A.L.; Putra, R.S.; Wijoyo, H.; Ari-yanto, A.; Jihadi, M. The effect of digital marketing, digital finance and digital payment on finance performance of Indonesian SMEs. Int. J. Data Netw. Sci. 2022, 6, 37–44. [Google Scholar] [CrossRef]
- Hossain, M.S.; Sultana, M. Digitalization of corporate finance and firm performance: Global evidence and analysis. J. Financ. Econ. Policy 2024, 16, 501–539. [Google Scholar] [CrossRef]
- Kurnia Rahayu, S.; Budiarti, I.; Waluya Firdauas, D.; Onegina, V. Digitalization and informal MSME: Digital financial inclusion for MSME development in the formal economy. J. East. Eur. Cent. Asian Res. 2023, 10, 9–19. [Google Scholar] [CrossRef]
- Hossain, M.R.; Rao, A.; Sharma, G.D.; Dev, D.; Kharbanda, A. Empowering energy transition: Green innovation, digital finance, and the path to sustainable prosperity through green finance initiatives. Energy Econ. 2024, 136, 107736. [Google Scholar] [CrossRef]
- Nsisong Louis, E.-U.; Mercy Odochi, A.; Ekene Cynthia, O.; Aumbur Kwaghter, S.; Chima, A. Advances in green finance solutions for combating climate change and ensuring sustainability. Gulf J. Adv. Bus. Res. 2024, 2, 338–375. [Google Scholar] [CrossRef]
- Lee, C.-C.; Wang, F. How does digital inclusive finance affect carbon intensity? Econ. Anal. Policy 2022, 75, 174–190. [Google Scholar] [CrossRef]
- Ahsan Iqbal, M.; Shaheen, W.A.; Shabir, S.; Ullah, U.; Ionel-Alin, I.; Mihut, M.-I.; Raposo, A.; Han, H. Towards a green economy: Investigating the impact of sustainable finance, green technologies, and environmental policies on environmental degradation. J. Environ. Manag. 2025, 374, 124047. [Google Scholar] [CrossRef]
- Alabdali, M.A.; Yaqub, M.Z.; Agarwal, R.; Alofaysan, H.; Mohapatra, A.K. Unveiling green digital transformational leadership: Nexus between green digital culture, green digital mindset, and green digital transformation. J. Clean. Prod. 2024, 450, 141670. [Google Scholar] [CrossRef]
- Shen, Y.; Yang, Z. Chasing Green: The Synergistic Effect of Industrial Intelligence on Pollution Control and Carbon Reduction and Its Mechanisms. Sustainability 2023, 15, 6401. [Google Scholar] [CrossRef]
- Sarkis, J.; Kouhizadeh, M.; Zhu, Q.S. Digitalization and the greening of supply chains. Ind. Manag. Data Syst. 2020, 121, 65–85. [Google Scholar] [CrossRef]
- Cardinali, P.G.; De Giovanni, P. Responsible digitalization through digital technologies and green practices. Corp. Soc. Responsib. Environ. Manag. 2022, 29, 984–995. [Google Scholar] [CrossRef]
- Lerman, L.V.; Benitez, G.B.; Müller, J.M.; de Sousa, P.R.; Frank, A.G. Smart green supply chain management: A configurational approach to enhance green performance through digital transformation. Supply Chain Manag. Int. J. 2022, 27, 147–176. [Google Scholar] [CrossRef]
- Al Halbusi, H.; Popa, S.; Alshibani, S.M.; Soto-Acosta, P. Greening the future: Analyzing green entrepreneurial orientation, green knowledge management and digital transformation for sustainable innovation and circular economy. Eur. J. Innov. Manag. 2024, 27, 1–27. [Google Scholar] [CrossRef]
- Teece, D.J. Explicating dynamic capabilities: The nature and microfoundations of (sustainable) enterprise performance. Strateg. Manag. J. 2007, 28, 1319–1350. [Google Scholar] [CrossRef]
- Luo, S.; Chen, M. Digital Finance Development and the Digital Transformation of Enterprises: Based on the Perspective of Financing Constraint and Innovation Drive. J. Math. 2022, 2022, 1607020. [Google Scholar] [CrossRef]
- Xiao, Y.; Lin, M.; Wang, L. Impact of green digital finance on sustainable development: Evidence from China’s pilot zones. Financ. Innov. 2024, 10, 10. [Google Scholar] [CrossRef]
- Chen, J.; Guo, Z.; Lei, Z. Research on the mechanisms of the digital transformation of manufacturing enterprises for carbon emissions reduction. J. Clean. Prod. 2024, 449, 141817. [Google Scholar] [CrossRef]
- Wu, Y.; Ivashkovskaya, I.; Besstremyannaya, G.; Liu, C. Unlocking Green Innovation Potential Amidst Digital Transformation Challenges—The Evidence from ESG Transformation in China. Sustainability 2025, 17, 309. [Google Scholar] [CrossRef]
- Lin, B.; Ma, R. How does digital finance influence green technology innovation in China? Evidence from the financing constraints perspective. J. Environ. Manag. 2022, 320, 115833. [Google Scholar] [CrossRef]
- Li, G.; Wu, H.; Jiang, J.; Zong, Q. Digital finance and the low-carbon energy transition (LCET) from the perspective of capital-biased technical progress. Energy Econ. 2023, 120, 106623. [Google Scholar] [CrossRef]
- Zhao, R.; Wu, J.; Sun, J. Does digital finance drive the green level of transportation companies? Coordination effects of governmental digital preference. J. Manag. Sci. Eng. 2024, 9, 376–389. [Google Scholar] [CrossRef]
- Jiang, X.; Wang, L.; Cao, B.; Fan, X. Benefit distribution and stability analysis of enterprises’ technological innovation cooperation alliance. Comput. Ind. Eng. 2021, 161, 107637. [Google Scholar] [CrossRef]
- Li, C.; Wang, Y.; Zhou, Z.; Wang, Z.; Mardani, A. Digital finance and enterprise financing constraints: Structural characteristics and mechanism identification. J. Bus. Res. 2023, 165, 114074. [Google Scholar] [CrossRef]
- Huang, X.; Meng, F. Digital finance mitigation of ‘resource curse’ effect: Evidence from resource-based cities in China. Resour. Policy 2023, 83, 103711. [Google Scholar] [CrossRef]
- Xin, J.; Du, K.; Xia, Y. The Impact of Enterprise Digital Transformation on Audit Fees—An Intermediary Role Based on Information Asymmetry. Sustainability 2024, 16, 9970. [Google Scholar] [CrossRef]
- Lin, M.S.; Sharma, A.; Pan, B.; Quadri-Felitti, D. Information asymmetry in the innovation adoption decision of tourism and hospitality SMEs in emerging markets: A mixed-method analysis. Tour. Manag. 2023, 99, 104793. [Google Scholar] [CrossRef]
- Han, L.; Zhang, Z. Impact of digital finance on enterprise green innovation: From the perspective of information asymmetry, consumer demand and factor market distortions. PLoS ONE 2023, 18, e0295809. [Google Scholar] [CrossRef] [PubMed]
- Feng, J.; Wang, Y. Does digital inclusive finance promote agricultural development?A test based on threshold and spillover effects. Financ. Res. Lett. 2024, 69, 106104. [Google Scholar] [CrossRef]
- Lin, B.; Zhang, A. Digital finance, regional innovation environment and renewable energy technology innovation: Threshold effects. Renew. Energy 2024, 223, 120036. [Google Scholar] [CrossRef]
- Tomal, M. Evaluation of coupling coordination degree and convergence behaviour of local development: A spatiotemporal analysis of all Polish municipalities over the period 2003–2019. Sustain. Cities Soc. 2021, 71, 102992. [Google Scholar] [CrossRef]
- Dong, G.; Ge, Y.; Liu, J.; Kong, X.; Zhai, R. Evaluation of coupling relationship between urbanization and air quality based on improved coupling coordination degree model in Shandong Province, China. Ecol. Indic. 2023, 154, 110578. [Google Scholar] [CrossRef]
- Xing, L.; Xue, M.; Hu, M. Dynamic simulation and assessment of the coupling coordination degree of the economy-resource-environment system: Case of Wuhan City in China. J. Environ. Manag. 2019, 230, 474–487. [Google Scholar] [CrossRef]
- Xu, G.; Li, G.; Sun, P.; Peng, D. Inefficient investment and digital transformation: What is the role of financing constraints? Financ. Res. Lett. 2023, 51, 103429. [Google Scholar] [CrossRef]
- Ahmad, M.M.; Hunjra, A.I.; Taskin, D. Do asymmetric information and leverage affect investment decisions? Q. Rev. Econ. Financ. 2023, 87, 337–345. [Google Scholar] [CrossRef]
- Ratten, V. Entrepreneurship: Definitions, opportunities, challenges, and future directions. Glob. Bus. Organ. Excell. 2023, 42, 79–90. [Google Scholar] [CrossRef]
- Mu, W.; Liu, K.; Tao, Y.; Ye, Y. Digital finance and corporate ESG. Financ. Res. Lett. 2023, 51, 103426. [Google Scholar] [CrossRef]
- Wang, Q.; Yang, J.; Chiu, Y.h.; Lin, T.Y. The impact of digital finance on financial efficiency. Manag. Decis. Econ. 2020, 41, 1225–1236. [Google Scholar] [CrossRef]
- Li, J.; Wu, Y.; Xiao, J.J. The impact of digital finance on household consumption: Evidence from China. Econ. Model. 2020, 86, 317–326. [Google Scholar] [CrossRef]
- Thurik, A.R.; Audretsch, D.B.; Block, J.H.; Burke, A.; Carree, M.A.; Dejardin, M.; Rietveld, C.A.; Sanders, M.; Stephan, U.; Wiklund, J. The impact of entrepreneurship research on other academic fields. Small Bus. Econ. 2023, 62, 727–751. [Google Scholar] [CrossRef]
- Atteneder, H.; Rodriguez-Amat, J.R. Ideologies in Geospatial Futurism: A Computational and Critical Discourse Inquiry Into the ArcGIS and ESRI-Blogs. Media Commun. 2024, 12, 1–19. [Google Scholar] [CrossRef]
- Cornaggia, J.; Mao, Y.; Tian, X.; Wolfe, B. Does banking competition affect innovation? J. Financ. Econ. 2015, 115, 189–209. [Google Scholar] [CrossRef]
- De Moraes, C.O.; Antunes, J.A.P.; Rodrigues, A. Financial intermediation analysis from financial flows. J. Econ. Stud. 2019, 46, 727–747. [Google Scholar] [CrossRef]
- Treiblmaier, H.; Garaus, M. Using blockchain to signal quality in the food supply chain: The impact on consumer purchase intentions and the moderating effect of brand familiarity. Int. J. Inf. Manag. 2023, 68, 102514. [Google Scholar] [CrossRef]
- Xue, Q.; Liu, X. Can digital finance boost corporate green innovation. Financ. Res. Lett. 2024, 62, 105224. [Google Scholar] [CrossRef]
- Ding, R.; Shi, F.; Hao, S. Digital Inclusive Finance, Environmental Regulation, and Regional Economic Growth: An Empirical Study Based on Spatial Spillover Effect and Panel Threshold Effect. Sustainability 2022, 14, 4340. [Google Scholar] [CrossRef]
- Hansen, B.E. Threshold effects in non-dynamic panels: Estimation, testing, and inference. J. Econom. 1999, 93, 345–368. [Google Scholar] [CrossRef]





| System Type | Level 1 Indicators | Calculation Method |
|---|---|---|
| Digital System | Total digital assets | Construct a ‘digital’ thesaurus, screen out the accounts matching the ‘digital’ thesaurus from the listed company’s R&D expenditure schedule, construction in progress schedule, and intangible assets schedule, and calculate the sum of the amounts of these accounts |
| Operating revenue growth rate | (Operating income for the current period–operating income for the same period last year)/(operating income for the same period last year) | |
| Number of R&D staff as a percentage | Number of R&D personnel/number of employees | |
| Labor productivity per capita | Operating Income/Number of Employees | |
| Green System | ESG | The CSI ESG rating system consists of 9 levels from AAA to C, which are assigned a score of 9 to 1 in this paper in descending order. Given that the ratings are updated quarterly and the timeframe of this paper is based on a yearly basis, the average of the four quarterly ratings in a year is used as the rating score for that year. |
| Green Patents | The sum of the number of green inventions independently applied for by listed companies in the year, the number of green utility models independently applied for in the year, the number of green inventions jointly applied for in the year and the number of green utility models jointly applied for in the year | |
| Carbon Emission | Sum of carbon emissions from combustion and fugitive emissions, carbon emissions from production processes, carbon emissions from waste, and carbon emissions caused by land use change (forest to industrial land) of listed companies |
| Coupled Synergy Intervals | Degree of Coupling Synergy | Coupled Synergy Intervals | Degree of Coupling Synergy |
|---|---|---|---|
| [0.0~0.1) | Extreme Disorder | [0.5~0.6) | Barely coordinated |
| [0.1~0.2) | Severe disorder | [0.6~0.7) | Elementary coordination |
| [0.2~0.3) | Moderate disorder | [0.7~0.8) | Intermediate coordination |
| [0.3~0.4) | Mildly dysfunctional | [0.8~0.9) | Good coordination |
| [0.4~0.5) | Dysfunctions on the verge of becoming dysfunctional | [0.9~1.0] | Quality coordination |
| Variable Name | Variable Symbol | Metrics |
|---|---|---|
| The degree of coupled synergy between enterprise digitalization and greening | See previous section for specific measures | |
| Total Digital Finance Index | See previous section for specific measures | |
| Breadth of coverage | See previous section for specific measurements | |
| Depth of use | See previous section for specific measurements | |
| Degree of digitalization | See previous section for specific measures | |
| Financing constraints | Absolute value of Index | |
| Information constraints | Number of analysts tracked by the firm in the year + 1 taking the natural logarithm | |
| Entrepreneurship | See previous section for specific measurements | |
| Age of the firm | (current year–year of incorporation + 1) in natural logarithms | |
| Gearing ratio | Total Liabilities/Total Assets | |
| Return on Net Assets | Net Profit/Average Equity Balance | |
| Tobin’s Q | (Market value of outstanding shares + number of non-outstanding shares × net assets per share + book value of liabilities)/Total assets | |
| Independent Director Ratio | Independent directors divided by the number of directors | |
| Board Size | The number of board of directors takes the natural logarithm |
| Variant | (1) | (2) | (3) | (4) | (5) | (6) | (7) | (8) |
|---|---|---|---|---|---|---|---|---|
| 0.007 *** | 0.009 *** | |||||||
| (0.001) | (0.001) | |||||||
| 0.008 *** | 0.008 *** | |||||||
| (0.001) | (0.001) | |||||||
| 0.005 *** | 0.006 *** | |||||||
| (0.001) | (0.001) | |||||||
| 0.013 *** | 0.014 *** | |||||||
| (0.003) | (0.002) | |||||||
| NO | NO | NO | NO | YES | YES | YES | YES | |
| 0.228 *** | 0.228 *** | 0.237 *** | 0.203 *** | −0.143 *** | −0.141 *** | −0.135 *** | −0.168 *** | |
| (0.005) | (0.005) | (0.003) | (0.010) | (0.013) | (0.013) | (0.012) | (0.015) | |
| YES | YES | YES | YES | YES | YES | YES | YES | |
| YES | YES | YES | YES | YES | YES | YES | YES | |
| 11,112.000 | 11,112.000 | 11,112.000 | 11,112.000 | 11,112.000 | 11,112.000 | 11,112.000 | 11,112.000 | |
| 0.167 | 0.167 | 0.166 | 0.166 | 0.305 | 0.304 | 0.305 | 0.304 |
| Variant | (1) | (2) | (3) | (4) |
|---|---|---|---|---|
| 0.007 *** | ||||
| (0.001) | ||||
| 0.007 *** | ||||
| (0.001) | ||||
| 0.005 *** | ||||
| (0.001) | ||||
| 0.011 *** | ||||
| (0.002) | ||||
| YES | YES | YES | YES | |
| −0.153 *** | −0.151 *** | −0.148 *** | −0.172 *** | |
| (0.014) | (0.014) | (0.014) | (0.016) | |
| YES | YES | YES | YES | |
| YES | YES | YES | YES | |
| 9260.000 | 9260.000 | 9260.000 | 9260.000 | |
| 0.318 | 0.318 | 0.318 | 0.317 |
| Variant | (1) | (2) | (3) | (4) |
|---|---|---|---|---|
| 0.009 *** | ||||
| (0.001) | ||||
| 0.009 *** | ||||
| (0.001) | ||||
| 0.006 *** | ||||
| (0.001) | ||||
| 0.015 *** | ||||
| (0.002) | ||||
| YES | YES | YES | YES | |
| −0.144 *** | −0.141 *** | −0.136 *** | −0.171 *** | |
| (0.013) | (0.013) | (0.013) | (0.015) | |
| YES | YES | YES | YES | |
| YES | YES | YES | YES | |
| YES | YES | YES | YES | |
| 11,082.000 | 11,082.000 | 11,082.000 | 11,082.000 | |
| 0.299 | 0.298 | 0.299 | 0.298 |
| Variant | (1) | (2) | (3) | (4) | (5) | (6) | (7) | (8) |
|---|---|---|---|---|---|---|---|---|
| Phase 1 | Phase 2 | Phase 1 | Phase 2 | Phase 1 | Phase 2 | Phase 1 | Phase 2 | |
| 0.012 *** | ||||||||
| (0.003) | ||||||||
| 0.012 *** | ||||||||
| (0.003) | ||||||||
| 0.009 *** | ||||||||
| (0.002) | ||||||||
| 0.034 *** | ||||||||
| (0.010) | ||||||||
| 2.048 *** | 2.067 *** | 2.762 *** | 0.692 *** | |||||
| (0.132) | (0.111) | (0.201) | (0.085) | |||||
| YES | YES | YES | YES | YES | YES | YES | YES | |
| 1.833 *** | −0.189 *** | 1.472 *** | −0.185 *** | 1.940 *** | −0.184 *** | 2.807 *** | −0.264 *** | |
| (0.144) | (0.046) | (0.138) | (0.046) | (0.205) | (0.046) | (0.079) | (0.049) | |
| YES | YES | YES | YES | YES | YES | YES | YES | |
| YES | YES | YES | YES | YES | YES | YES | YES | |
| 11,112 | 11,112 | 11,112 | 11,112 | 11,112 | 11,112 | 11,112 | 11,112 | |
| 0.319 | 0.168 | 0.361 | 0.168 | 0.275 | 0.168 | 0.120 | 0.161 | |
| K-P rk LM | 15.423 | 15.225 | 15.518 | 15.149 | ||||
| [0.000] | [0.000] | [0.000] | [0.000] | |||||
| K-P rk Wald F | 240.302 | 344.660 | 189.466 | 65.865 | ||||
| {16.38} | {16.38} | {16.38} | {16.38} | |||||
| Variant | (1) | (2) | (3) | (4) | (5) | (6) | (7) | (8) |
|---|---|---|---|---|---|---|---|---|
| −0.051 *** | 0.007 *** | |||||||
| (0.007) | (0.001) | |||||||
| −0.055 *** | 0.007 *** | |||||||
| (0.007) | (0.001) | |||||||
| −0.033 *** | 0.005 *** | |||||||
| (0.005) | (0.001) | |||||||
| −0.068 *** | 0.012 *** | |||||||
| (0.012) | (0.002) | |||||||
| −0.028 *** | −0.028 *** | −0.028 *** | −0.028 *** | |||||
| (0.002) | (0.002) | (0.002) | (0.002) | |||||
| YES | YES | YES | YES | YES | YES | YES | YES | |
| 4.580 *** | −0.015 | 4.581 *** | −0.013 | 4.524 *** | −0.009 | 4.666 *** | −0.037 ** | |
| (0.075) | (0.013) | (0.074) | (0.013) | (0.072) | (0.013) | (0.087) | (0.016) | |
| YES | YES | YES | YES | YES | YES | YES | YES | |
| YES | YES | YES | YES | YES | YES | YES | YES | |
| 11,112.000 | 11,112.000 | 11,112.000 | 11,112.000 | 11,112.000 | 11,112.000 | 11,112.000 | 11,112.000 | |
| 0.156 | 0.322 | 0.156 | 0.322 | 0.155 | 0.323 | 0.154 | 0.322 |
| Variant | (1) | (2) | (3) | (4) | (5) | (6) | (7) | (8) |
|---|---|---|---|---|---|---|---|---|
| 0.240 *** | 0.008 *** | |||||||
| (0.027) | (0.001) | |||||||
| 0.229 *** | 0.007 *** | |||||||
| (0.029) | (0.001) | |||||||
| 0.174 *** | 0.005 *** | |||||||
| (0.019) | (0.001) | |||||||
| 0.412 *** | 0.012 *** | |||||||
| (0.051) | (0.002) | |||||||
| 0.004 *** | 0.004 *** | 0.004 *** | 0.004 *** | |||||
| (0.000) | (0.000) | (0.000) | (0.000) | |||||
| YES | YES | YES | YES | YES | YES | YES | YES | |
| −13.898 *** | −0.083 *** | −13.793 *** | −0.081 *** | −13.701 *** | −0.076 *** | −14.683 *** | −0.104 *** | |
| (0.254) | (0.014) | (0.253) | (0.014) | (0.244) | (0.014) | (0.312) | (0.017) | |
| YES | YES | YES | YES | YES | YES | YES | YES | |
| YES | YES | YES | YES | YES | YES | YES | YES | |
| 11,112.000 | 11,112.000 | 11,112.000 | 11,112.000 | 11,112.000 | 11,112.000 | 11,112.000 | 11,112.000 | |
| 0.509 | 0.312 | 0.509 | 0.312 | 0.510 | 0.312 | 0.509 | 0.311 |
| Variant | (1) | (2) | (3) | (4) |
|---|---|---|---|---|
| 0.007 *** | ||||
| (0.001) | ||||
| 0.007 *** | ||||
| (0.001) | ||||
| 0.005 *** | ||||
| (0.001) | ||||
| 0.011 *** | ||||
| (0.002) | ||||
| 0.017 *** | 0.017 *** | 0.017 *** | 0.017 *** | |
| (0.001) | (0.001) | (0.001) | (0.001) | |
| 0.003 *** | ||||
| (0.001) | ||||
| 0.002 *** | ||||
| (0.001) | ||||
| 0.002 *** | ||||
| (0.001) | ||||
| 0.004 *** | ||||
| (0.001) | ||||
| YES | YES | YES | YES | |
| −0.276 *** | −0.273 *** | −0.270 *** | −0.295 *** | |
| (0.012) | (0.012) | (0.011) | (0.014) | |
| YES | YES | YES | YES | |
| YES | YES | YES | YES | |
| 11,112.000 | 11,112.000 | 11,112.000 | 11,112.000 | |
| 0.346 | 0.345 | 0.346 | 0.345 |
| Variant | (1) | (2) | (3) | (4) | (5) | (6) | (7) | (8) |
|---|---|---|---|---|---|---|---|---|
| Non-SOEs | SOEs | Non-SOEs | SOEs | Non-SOEs | SOEs | Non-SOEs | SOEs | |
| 0.007 *** | 0.013 *** | |||||||
| (0.001) | (0.002) | |||||||
| 0.007 *** | 0.012 *** | |||||||
| (0.001) | (0.002) | |||||||
| 0.004 *** | 0.009 *** | |||||||
| (0.001) | (0.002) | |||||||
| 0.010 *** | 0.024 *** | |||||||
| (0.003) | (0.004) | |||||||
| YES | YES | YES | YES | YES | YES | YES | YES | |
| −0.052 *** | −0.266 *** | −0.052 *** | −0.260 *** | −0.044 *** | −0.256 *** | −0.066 *** | −0.319 *** | |
| (0.016) | (0.022) | (0.016) | (0.023) | (0.016) | (0.022) | (0.018) | (0.026) | |
| YES | YES | YES | YES | YES | YES | YES | YES | |
| YES | YES | YES | YES | YES | YES | YES | YES | |
| 8024.000 | 3088.000 | 8024.000 | 3088.000 | 8024.000 | 3088.000 | 8024.000 | 3088.000 | |
| 0.258 | 0.418 | 0.258 | 0.416 | 0.258 | 0.419 | 0.257 | 0.418 | |
| Tests for differences between groups: p | 0.000 | 0.000 | 0.000 | 0.000 | ||||
| Explanatory Variable | Threshold Inspection | Threshold Value | |||
|---|---|---|---|---|---|
| Single Threshold | 3.4110 | 0.0003 | 0.0000 | 2.8528 | |
| Double Threshold | 3.4073 | 0.0003 | 0.0733 | 3.7883 | |
| Triple Threshold | 3.4057 | 0.0003 | 0.5633 | 3.8068 |
| Variant | Ratio | Standard Error | ||
|---|---|---|---|---|
| < 2.8528) | 0.00233 ** | 0.00118 | 1.98 | 0.048 |
| (2.8528 ≤ < 3.7883) | 0.00442 *** | 0.00096 | 4.61 | 0.000 |
| ≥ 3.7883) | 0.00381 *** | 0.00082 | 4.65 | 0.000 |
| YES | ||||
Disclaimer/Publisher’s Note: The statements, opinions and data contained in all publications are solely those of the individual author(s) and contributor(s) and not of MDPI and/or the editor(s). MDPI and/or the editor(s) disclaim responsibility for any injury to people or property resulting from any ideas, methods, instructions or products referred to in the content. |
© 2025 by the authors. Licensee MDPI, Basel, Switzerland. This article is an open access article distributed under the terms and conditions of the Creative Commons Attribution (CC BY) license (https://creativecommons.org/licenses/by/4.0/).
Share and Cite
Li, Y.; Xie, H.; Liu, C. Research on Synergy Measurement and Digital Finance Driving Mechanism of Enterprise Digital Transformation and Greening Upgrade: An Empirical Analysis Based on the Complex System Coordination Degree Model. Sustainability 2025, 17, 4886. https://doi.org/10.3390/su17114886
Li Y, Xie H, Liu C. Research on Synergy Measurement and Digital Finance Driving Mechanism of Enterprise Digital Transformation and Greening Upgrade: An Empirical Analysis Based on the Complex System Coordination Degree Model. Sustainability. 2025; 17(11):4886. https://doi.org/10.3390/su17114886
Chicago/Turabian StyleLi, Yonghong, Haoyue Xie, and Chang Liu. 2025. "Research on Synergy Measurement and Digital Finance Driving Mechanism of Enterprise Digital Transformation and Greening Upgrade: An Empirical Analysis Based on the Complex System Coordination Degree Model" Sustainability 17, no. 11: 4886. https://doi.org/10.3390/su17114886
APA StyleLi, Y., Xie, H., & Liu, C. (2025). Research on Synergy Measurement and Digital Finance Driving Mechanism of Enterprise Digital Transformation and Greening Upgrade: An Empirical Analysis Based on the Complex System Coordination Degree Model. Sustainability, 17(11), 4886. https://doi.org/10.3390/su17114886
