Next Article in Journal
Accessing Geological Heritage in Slovakia: Between Politics and Law
Next Article in Special Issue
Assessment and Enhancement of Indoor Environmental Quality in a School Building
Previous Article in Journal
Optimization of Energy Efficiency with a Predictive Dynamic Window Approach for Mobile Robot Navigation
Previous Article in Special Issue
Concentrations and Source Apportionment of Tetrachloroethylene (PCE) in Aircraft Cabins
 
 
Font Type:
Arial Georgia Verdana
Font Size:
Aa Aa Aa
Line Spacing:
Column Width:
Background:
Article

Theoretical Modeling and Analysis of Energy Recovery Efficiency and Influencing Factors of Energy Recovery Ventilators Under Dynamic Thermal Environments

by
Huanyu Wang
1,2,
Jinzhe Nie
1,2,*,
Ying Sheng
3,
Hanlong Li
4,
Wen Zhang
5 and
Honghao Huang
1,2
1
Beijing Key Laboratory of Heating, Gas Supply, Ventilating and Air Conditioning Engineering, Beijing 100044, China
2
School of Environmental and Energy Engineering, Beijing University of Civil Engineering and Architecture, Beijing 100044, China
3
School of Environmental Science and Engineering, Tianjin University, Tianjin 300350, China
4
CBMI Construction Co., Ltd., Beijing 100176, China
5
BYD Automobile Industry Co., Ltd., Shenzhen 518118, China
*
Author to whom correspondence should be addressed.
Sustainability 2025, 17(10), 4509; https://doi.org/10.3390/su17104509
Submission received: 1 April 2025 / Revised: 27 April 2025 / Accepted: 13 May 2025 / Published: 15 May 2025
(This article belongs to the Special Issue New Insights into Indoor Air Quality in Sustainable Buildings)

Abstract

Energy recovery ventilators are essential for reducing building energy consumption, with the dynamic variation in their efficiency being a significant area of current research. To quickly analyze the parameters affecting the dynamic changes in energy recovery efficiency, this study develops a mathematical model for heat and moisture transfer. The model was validated through computational fluid dynamics (CFD) simulations and experimental data. The validation results showed that the discrepancies between the model’s sensible heat and enthalpy efficiencies and the experimental data were approximately 4%, while the error range for sensible heat efficiency compared to CFD simulations was between 3% and 7%. This model was used to evaluate various factors affecting energy recovery efficiency. The findings show that outdoor temperature and relative humidity have little effect on sensible heat efficiency, whereas latent heat efficiency increases with rising outdoor temperature and humidity. Both sensible and latent heat efficiency improve as airflow decreases, with latent heat efficiency being more sensitive to changes in airflow. Additionally, due to the very thin heat exchanger membrane, the mass diffusion coefficient has a more significant effect on efficiency than the thermal conductivity coefficient. In conclusion, energy recovery efficiency is dynamic, and the proposed model provides rapid predictions of how influencing factors affect the efficiency.

Graphical Abstract

1. Introduction

The building sector accounts for approximately 36% of global final energy use and nearly 39% of energy and process-related CO2 emissions, making it a critical focus area for achieving sustainable development goals [1]. In the process of promoting building sustainability, reducing operational energy consumption is particularly critical. Ventilation, as a fundamental means of maintaining indoor air quality and thermal comfort, is closely linked to building energy performance. While appropriate ventilation effectively reduces indoor pollutant concentrations and improves occupant health [2,3], it also significantly increases the energy demand of HVAC systems [4]. Energy recovery ventilators (ERVs) systems offer a promising and sustainable solution by recovering heat from exhaust air and reducing the energy required to condition outdoor air, thereby balancing indoor comfort and energy efficiency [5,6]. As an important means of promoting building decarbonization [7], ERV systems play an increasingly prominent role in sustainable architecture. However, current research on their performance under dynamic operating conditions remains insufficient.
The heat recovery efficiency of energy recovery ventilators is influenced by several factors, including physical structure, the materials used for heat and mass transfer mediums, and the thermal conditions of airflow. Su et al. [8] evaluated the impact of outdoor air thermal conditions on the performance of membrane-based energy recovery ventilators. The results indicated that, under both hot and cold outdoor conditions, outdoor air temperature and humidity have a minimal effect on sensible effectiveness, whereas latent effectiveness is significantly influenced by outdoor humidity. Li et al. [9] further examined the effects of configuration features, including flow arrangement, channel shape, and obstacles within the membrane channel, on the efficiency of energy recovery ventilators. The study indicated that counterflow arrangements yield the highest efficiency, triangular channels offer optimal thermal and hydraulic performance, and curved channel shapes demonstrate superior performance. Additionally, variations in airflow significantly impact efficiency. Numerous studies have shown that both the sensible and latent effectiveness of energy recovery ventilators decrease as airflow rates increase, and the influence of different channel shapes can vary significantly [10]. Yaïci et al. [11] conducted a computational fluid dynamics (CFD) simulation to analyze the performance of energy recovery devices, revealing that as wind speed increases, the sensible and latent efficiencies of counterflow energy recovery devices decline more significantly than those of parallel flow devices. The thermal and moisture transfer capabilities of different medium materials also exhibit considerable variation [12]. Yang et al. [13] investigated a composite silica gel material for use in the core components of solid desiccant fresh air units. Performance testing revealed that the composite silica gel coating provided higher dehumidification efficiency than traditional silica gel coatings, with an average 15% increase in dehumidification capacity. Similarly, Cho et al. [14] employed hollow fiber membranes as the latent heat exchange core material and developed operational strategies tailored to local outdoor conditions. Their study demonstrated improved sensible and latent heat recovery compared to existing ERV products, achieving latent effectiveness of up to 74.9% during summer operation and sensible effectiveness of up to 80.1% during winter operation. Additionally, Li et al. [9] discovered that the moisture resistance and thermal resistance of the membrane are related to outdoor air conditions and are influenced by outdoor air humidity and temperature.
The heat and moisture transfer processes in heat exchangers are complex [15,16]. To quickly predict and analyze the transfer processes, efforts have been taken by researchers to establish appropriate mathematical and numerical models. Gao and Han [17] proposed a method to predict the efficiency of membrane-based energy recovery ventilator (MERV) cores with a limited set of experimental data. Experimental data validation showed that the relative error of predicted sensible heat efficiency and enthalpy efficiency can be controlled within ±7.0%, and the relative error of predicted latent heat efficiency can be controlled within ±8.0%. This method is applicable under both winter and summer operating conditions and does not require the characteristics of the membrane material. Gao et al. [18] developed a physics-based model to explain the basic heat and mass transfer occurring between the moist air on the intake side and the flow on the membrane permeation side. This model can simulate the performance of dehumidifiers and energy recovery ventilators in parallel, cross-flow, and counterflow configurations and evaluate the effects of membrane microstructure parameters and surface deviation factors on the performance of energy recovery exchangers.
To enhance the recovery performance of energy recovery ventilators, numerous researchers have developed innovative heat exchanger models by advancing medium materials [19] and flow channel structures. Zhang et al. [20,21] introduced a quasi-counterflow parallel-plate total heat exchanger. Through FLUENT simulations, they demonstrated that this type of exchanger improves sensible and latent heat efficiency by 5% compared to the cross-flow configuration. Liu et al. [22] developed a new type of quasi-counterflow membrane energy exchanger (MEE), and the relationship between heat transfer coefficient and friction factor is fitted with the Reynolds number to predict the heat and moisture transfer processes. Zhang et al. [23] compared three different plate materials and proposed a heat and moisture transfer model for enthalpy exchangers, designed to evaluate the impact of various operating conditions and material properties on sensible and latent effectiveness. Chan et al. [24] developed an improved heat exchange core by adding holes to the sides of the triangular channel of the original plate-fin heat exchange core. Based on the improved heat exchange core model, extensive three-dimensional numerical simulations were conducted. The simulations demonstrated that the number of holes (N), angle (θ), and corrugation period (λ) significantly affect both the pressure loss and heat transfer performance of the heat exchange core.
In summary, the performance of energy recovery ventilators, including sensible efficiency, latent efficiency, and enthalpy efficiency, is demonstrated by dynamic values that vary with multiple influencing factors. These factors mainly include air thermal conditions, physical structures, and the thermal conductivity and mass diffusivity of core materials. Currently, heat exchange efficiency predictions primarily rely on numerical simulations or a certain amount of experimental data, both of which are complex and time-consuming processes. This study aims to develop a mathematical model for energy recovery ventilators that can quickly and accurately predict efficiency based on known physical structures, environmental conditions, and material properties. Additionally, by validating the model’s accuracy with experimental results, it will be used to analyze the dynamic impacts of factors such as thermal humidity conditions, airflow, and material properties on the heat exchange efficiency. This approach will uncover the dynamic variation patterns of efficiency with respect to these factors and offer valuable insights for optimizing the operational performance of energy recovery ventilation systems. From a sustainable development perspective, improving the dynamic thermal performance of ERVs under actual operating conditions will not only help reduce HVAC energy loads but also contribute to achieving broader goals, such as low-carbon development, green building certification, and long-term indoor environmental quality improvement.

2. Mathematical Model of Heat and Mass Transfer

2.1. Physical Model

Based on the internal structure and heat exchange principles, energy recovery ventilators can be divided into several types, including heat pipe, rotary wheel, and plate-fin types [25]. Rotary wheel heat exchangers are typically used in high airflow rate ventilation systems, which consequently require large spaces and carry the risk of cross-contamination [26]. Although heat pipe heat exchangers do not have the risk of cross-contamination, their widespread adoption is limited by high cost, space constraints, and lower efficiency [27]. In contrast, numerous studies [20,22,28,29] have shown that plate-fin exchangers offer several advantages, including a compact structure, no moving parts, the ability to recover both sensible and latent heat, high efficiency, low cost, ease of maintenance, and resistance to frost [7,10,30]. Therefore, plate-fin exchangers are currently the most widely used type of heat exchanger in civil buildings [31].
This study focuses on the energy recovery ventilator that uses a plate-fin heat exchanger as the core. A typical plate heat exchanger is formed by stacking thin plates together to create airflow channels. These plates can be smooth or corrugated. The airflow arrangement mainly includes counterflow, parallel flow, and cross-flow [32]. Figure 1 shows the structure of the energy recovery ventilator and the total heat exchanger where outdoor air and indoor exhaust air enter the structure through air inlets on each side and are separated by the heat exchange core. Figure 1 also illustrates the internal structure of the vertical cross-flow plate-fin heat exchanger, where the airflow channel structure is a triangular corrugated structure. Triangular corrugated channels can significantly enhance heat and mass transfer on the membrane surface by enhancing the turbulence effect and they are widely used in plate heat exchangers [21,33]. Sensible heat exchange occurs when airflows at different temperatures pass on either side of the medium, with heat transferred through conduction and convection. Humidity exchange, on the other hand, takes place through two mechanisms: the first is driven by the difference in water vapor pressure between both sides of the medium, while the second involves water vapor being absorbed by the plate materials on the high-humidity side and subsequently released to the low-humidity side through the capillary action of paper fibers.
The calculation of heat and moisture transfer requires key physical dimensions, including the equivalent diameter of the flow channel D e , the heat exchange area A , the flow channel cross-sectional area, and the air velocity v . The calculation equations are as follows:
D e = 4 S U
A = 1 2 H L
v = q v 3600 A = q v 1800 H L
where D e is the equivalent diameter of the flow channel, m. S is the cross-sectional area of the flow channel, m2. U is the wetted perimeter of the flow channel, m. A is the area of the core, m2. H and L are the height and width of the heat exchanger, m. v is the cross-sectional wind speed of the fluid, m/s. q v is the airflow through the core, m3/h.

2.2. Ventilator Core Thermal Performance Analysis

The sensible heat efficiency η t , latent heat efficiency η d , and enthalpy heat efficiency η h are the key indicators for evaluating the thermal performance of energy recovery ventilators, as shown in Equations (4)–(6).
η t = t x j t x c t x j t p j
η d = d x j d x c d x j d p j
η h = h x j h x c h x j h p j
where t x j is the outdoor air inlet temperature, °C. t x c is the supply air (the outdoor air thermally conditioned by an energy recovery ventilator) temperature, °C. t p j is the indoor air inlet temperature, °C. d x j is the outdoor air inlet humidity, kg/kg. d x c is the supply humidity, kg/kg. d p j is the indoor air inlet humidity, kg/kg. h x j is the outdoor air inlet enthalpy, kJ/kg. h x c is the supply air enthalpy, kJ/kg. h p j is the indoor air inlet enthalpy, kJ/kg.
In addition, fouling resistance is another factor that may influence the accuracy of energy recovery ventilators. Fouling refers to the accumulation of dust or condensate on the surface of heat exchangers, which can degrade performance by increasing airflow resistance, disrupting mass transfer, and reducing the heat transfer coefficient [34]. However, modern energy recovery ventilators are typically equipped with filters, ensuring that the incoming air is relatively clean [35]. Moreover, experimental studies by Engarnevis et al. [36] demonstrated that even after several years of exposure to heavy particulate pollution, coarse dust loading had minimal impact on the performance of the energy recovery core. Finally, energy recovery ventilators are usually equipped with qualified external insulation, and the airflow has difficulty exchanging heat with the surrounding environment. Therefore, under steady-state or short-term dynamic conditions, the effects of fouling resistance and environmental heat dissipation on heat transfer can be ignored.

2.3. Heat Transfer Model

The heat transfer within the plate-fin total heat exchanger can be regarded as a typical convective heat transfer process. First, heat is transferred from the hot fluid side to the plates via convective heat transfer. Then, the heat is conducted through the plates to the opposite side of the heat exchanger. Finally, the heat is transferred to the cold fluid through convective heat transfer. The airflow on both sides of the membrane in the plate heat exchanger is in a perpendicular cross-counterflow heat exchange configuration. Neglecting the thermal resistance due to fouling inside the heat exchanger core and the heat dissipation to the surrounding environment, the heat transfer amount Q of the heat exchanger core can be calculated as:
Q 1 = C P · M · T
Q 2 = K · A · T m
where C P is the specific heat of air, J/(kg·K). M is the mass flow rate in the channel, kg/s. T is the temperature difference between the inlet and outlet of the outdoor supply air or the indoor exhaust air, °C. K is the heat transfer coefficient, W/(m2·K). A is the convective heat transfer area, m2. T m is the logarithmic mean temperature difference, °C.
Q 2 is the calculation result using the logarithmic mean temperature difference method. Equation (9) describes the calculation process of the logarithmic mean temperature difference T m .
T m = T 1 T 2 l n T 1 T 2
where T 1 is the temperature difference between the outdoor air inlet and the exhaust air outlet, °C. T 2 is the temperature difference between the supply air outlet and the indoor air inlet, °C.
Assuming that the heat transfer process is a steady-state process, the physical parameters of the heat exchanger membrane can be regarded as constants. The total heat transfer coefficient K of the heat exchanger is expressed as follows:
K = 1 1 h 1 + δ λ + 1 h 2
where h 1 is the convective heat transfer coefficient on the outdoor supply air side, W/(m2·K). h 2 is the convective heat transfer coefficient on the indoor exhaust air side, W/(m2·K). δ is the thickness of the core material, m. λ is the thermal conductivity of the core material, W/(m·K).
In the heat exchanging process, only the outdoor air temperature t x j and the indoor air temperature t p j are known among the four inlet and outlet temperatures. To accurately calculate the sensible heat efficiency, this study employs an iterative calculation method to find the most accurate results. Equation (8) represents the heat gained/lost by the fluid on the outdoor supply side or the indoor exhaust side of the core, while Equation (9) represents the heat exchange amount through the heat transfer membrane, with both results being equal. By combing Equation (8) with Equation (9), the amount of heat transferred could be obtained.
When employing the logarithmic mean temperature difference method for calculations, it is essential to input the overall heat transfer coefficient K . The overall heat transfer coefficient K can be roughly divided into two components: heat conduction and convection. The conductive heat resistance is mainly affected by the material properties and can be considered a constant. However, the convective heat transfer coefficient h is a dynamic value that changes with the fluid temperature and airflow rate. The convective heat transfer coefficient could be calculated as follows:
h = N u λ a D e
where λ a is the thermal conductivity of air, W/(m·K). N u is the Nusselt number.
For most energy recovery ventilation, the airflow can be considered a fully developed laminar flow under actual operating conditions. When the value of P r R e D e / L is less than or equal to 100, the Hausen correlation [37] can be used to calculate the N u :
N u = 3.658 + 0.085 R e P r D e l 1 + 0.047 R e P r D e l 0.67 μ b μ w 0.14
where μ b and μ w are the dynamic viscosities of the air in the channel at the bulk temperature and the surface temperature of the exchange membrane. R e is the Reynolds number, R e = ρ v d / μ . P r is the Prandtl number. Equation (9) is also applicable for triangular channels.
In summary, by using the empirical Equation (12) to determine the Nusselt number (Nu) under the corresponding conditions, the convective heat transfer coefficient (h) can be obtained using Equation (11). The overall heat transfer coefficient K can then be obtained by combining the convective heat transfer coefficients of the hot and cold fluids with the thermal conductivity of the heat exchanger material. This overall heat transfer coefficient is subsequently applied in the logarithmic mean temperature difference (LMTD) method for heat transfer calculations.

2.4. Mass Transfer Model

When the outdoor supply air and indoor exhaust air pass through the plate heat exchanger core in a counterflow arrangement, a water vapor pressure difference exists between the airflows on both sides. Due to the concentration gradient, moisture moves from the high-humidity side to the low-humidity side, a process known as mass transfer. Similar to heat transfer, mass transfer consists of two main components: mass diffusion through the core material and convective mass transfer between the air and the membrane. The total mass transfer M can be calculated as:
M 1 = K D · A · d e d s
M 2 = m · d
where d e is the specific humidity of the outdoor supply air, g/kg. d s is the specific humidity of the indoor exhaust air side, g/kg. d is the difference in specific humidity between the inlet and outlet of the fresh air side or return air side, g/kg. m is the mass flow rate, kg/s. Equation (15) represents the calculation method for the mass transfer coefficient K D :
K D = 1 1 h m e ρ a + γ m + 1 h m s ρ a
where h m e and h m s are the convective mass transfer coefficients between the air and the membrane surface, kg/(m2·s). γ m is the moisture diffusion resistance of the heat exchange membrane, which is calculated by Equation (16), (m2·s)/kg.
γ m = δ D w p · ρ p · ψ
where D w p is the diffusion rate of water vapor through the membrane, m2/s. δ is the thickness of the board, m. ρ p is the density of the heat exchange membrane, kg/m3. D w m is the water diffusion rate in the membrane, m2/s. ψ is the moisture resistance coefficient, m3/kg.
The moisture resistance coefficient ψ is a dimensionless parameter, known as the Coefficient of Mass Diffusion Resistance (CMDR). It is determined by the adsorption curve and temperature of the material. A steeper adsorption curve results in a smaller ψ , indicating stronger mass transfer performance [38]. The expression for the moisture resistance coefficient is:
ψ = 10 6 e 5294 T θ = 10 6 1 C + C 2 2 e 5294 T W m a x C
where W m a x is the maximum moisture absorption capacity of the heat and mass exchange material, kg/kg; C is the constant in the material adsorption curve. When the adsorbent material is silica gel, C = 1; when the adsorbent material is molecular sieve, C = 0.1; when the adsorbent material is polymer material, C = 10 [38]; is the relative humidity.
In the process of convective heat transfer, the heat transfer coefficient h is expected to depend on the properties of the fluid ( k , c p , ρ , and μ ), fluid velocity μ , length dimension L, and surface geometry. However, by employing the dimensionless form of the convective transfer equation, this relationship can be simplified and expressed as:
T * = f 1 x * , y * , R e L , P r , d p * d x *
From the previous definition of the convective heat transfer coefficient, a relationship exists between the Nusselt number and the convective heat transfer coefficient.
N u = h · L c k f = T * y * y * = 0
For a given geometric shape, Equations (16) and (17) could be combined as:
N u = f 2 x * , R e L , P r
The Nusselt number is equivalent to the dimensionless temperature gradient at the surface. By utilizing the calculated Nu value, the convective heat transfer coefficient h can be determined.
Similarly, it can be demonstrated that for the mass transfer process, the convective mass transfer coefficient h m is related to feature size D a , density ρ and dynamic viscosity μ , velocity μ , and characteristic length L . The dimensionless concentration can be expressed as:
c A * = f 3 x * , y * , R e L , S c , d p * d x *
According to the definition of convective mass transfer coefficient, the following equation is:
h m = D A B L C A * y * y * = 0
For the expression of mass transfer capacity, the dimensionless Sherwood number is generally used, which is equivalent to the concentration gradient on the surface. Its expression is:
S h = h m · L D A B = C A * y * y * = 0
By combing Equations (19) and (21), for a given geometric shape, the Sherwood number can be obtained as following:
S h = f 4 x * , R e L , S c
Both the heat and mass transfer equations consist of convection and diffusion terms in a similar form. These equations depend on R e and the velocity field, while the P r and S c numbers play analogous roles. This similarity indicates that the dimensionless relationships determining the properties of the thermal boundary layer are the same as those determining the concentration boundary layer. Consequently, the dimensionless temperature and concentration gradients at the surface, represented by Nu and S h values, are analogous. When the heat transfer process for a specific geometry is experimentally validated, the result also applies to the mass transfer process on that geometric surface, with the substitution of N u and P r for S h and S c .
Therefore, for the similarity of heat exchange and moisture exchange processes in air, it is usually assumed that their standard values are equal:
N u = S h
Based on boundary layer analogy theory and the Lewis relation, the convective mass transfer coefficient can be calculated. By rearranging Equation (23), the calculation equation for convective mass transfer h m can be derived as follows:
h m = h ρ p a c a L e 2 3
where h is the convective heat transfer coefficient, W/(m2·K). ρ a is the air density, kg/m3. c p a is the constant pressure specific heat capacity of air, J/(kg·k). L e is the Lewis number. Equation (27) shows that the Lewis number L e is a dimensionless number that is the ratio of the thermal diffusion coefficient to the mass diffusion coefficient.
L e = α D = S c P r
where S c is the Schmidt number. For energy recovery ventilation with air as the fluid, the Lewis number can usually be considered equal to 1.
The calculated convective mass transfer coefficient and diffusion coefficient can be used to determine the overall mass transfer coefficient K D for the mass transfer process. By substituting into Equation (13), the total mass transferred through the convective mass transfer process can be derived. Subsequently, using Equation (14), the outlet air humidity ratios on both sides can be calculated.
In summary, heat and mass transfer models are closely interrelated. The process, illustrated in Figure 2, begins by assuming an outlet temperature, from which the heat transfer amount Q is calculated, enabling the determination of four inlet and outlet temperatures. To verify the accuracy of the preset temperature, the logarithmic mean temperature difference (LMTD) method is used to calculate the heat transfer amount. The results are then compared to ensure consistency between the two heat transfer values. During this process, iterative adjustments are made to the outlet temperature assumption until the value most closely matches the actual conditions. It is essential that the basic parameters of the heat exchanger core, such as structural dimensions and material properties, are known prior to these calculations to ensure accurate determination of the convective heat transfer coefficient h and the overall heat transfer coefficient K . Finally, using similarity theory, the convective heat transfer coefficient h is converted to the convective mass transfer coefficient h m , and the inlet and outlet moisture content are determined using the mass transfer equation. The sensible and latent heat efficiencies are then calculated once the temperatures and humidity levels of the ERV inlet and outlet air are known.

3. Mathematical Model Verification

Before using the mathematical model, its accuracy and reliability were verified by comparing its calculation results with Computational Fluid Dynamics (CFD) simulation results and experimental measurements.

3.1. CFD Simulation

During the CFD simulation, aluminum corrugated plates were used to validate the reliability of the mathematical model in terms of the sensible heat exchange efficiency. The model consists of a quadrilateral, four-layer, cross-flow plate heat exchanger, with each layer separated by corrugated structures. The upper and lower separator plates and the corrugated fin form triangular flow channels. Figure 3 shows a schematic diagram of the heat exchanger and its flow channel structure. The physical dimensions of the heat exchanger and the cross-sectional dimensions of the flow channels are detailed in Table 1. The model was created using the software SOLIDWORKS 2024 SP0.1, and meshing and simulation were performed with the software ANSYS FLUENT 2024 R1. Figure 4 shows the model and meshing of the heat exchanger in the CFD simulation. The model employs a nonlinear mesh that effectively adapts to irregular shapes and curved boundaries within the complex solution domain, offering strong features such as triangular elements.
Symmetric boundary conditions are applied, with the aluminum foil plates at the top and bottom assumed to be insulated. However, due to the large number of layers in the actual heat exchanger, the proportion of channels on both sides is minimal and unrepresentative of the overall system. Consequently, in this study, the heat transfer results from the middle two layers of channels are selected to represent the performance of the entire multi-channel structure.
The boundary conditions for the outdoor supply air inlet and indoor exhaust air inlet are defined as velocity inlet conditions (‘mass flow-inlet’) in the software. The boundary conditions for the outdoor supply air outlet and indoor exhaust air outlet are set as pressure outlet conditions (‘pressure-outlet’). Air is selected as the fluid medium, with a density of ρ = 1.2 kg/m3, specific heat capacity of c p = 1006 J/(kg·K), and atmospheric pressure set to standard atmospheric pressure.

3.2. Experimental Research

During the experiment validation, results from the published literature were used as comparison objects [23]. The experimental objects reported in the literature are membrane-based plate heat exchangers, which align well with the focus of the mathematical model in this study.
The heat exchanger dimensions were 0.185 m × 0.185 m × 0.46 m, with a single layer height of 2 mm. The thickness of the moisture-permeable membrane δ p was 0.055 mm, and the thermal conductivity λ p was 0.44 W/(m·°C). The mass diffusion coefficient D w p was 6.08 × 10−12 m2/s, and the membrane density ρ was 876 kg/m3. The calculation airflow on each side was 150 m3/h. The experimental setup was constructed in an indoor environment with constant temperature and humidity, allowing for precise control and maintenance of the inlet air conditions. Insulation layers were applied to the ductwork and heat exchanger casing to minimize heat loss to the surroundings. The duct and shell materials were highly hydrophobic and capable of adsorbing little moisture; therefore, the moisture dissipation from the airflow to the surrounding environment was considered negligible. The sensors used in the experiment mainly include a PT-100 temperature sensor, a chilled-mirror dew-point meter, a digital pressure differential gauge (for measuring pressure drop), and hot-wire anemometers. Tests confirmed that the system’s heat loss was below 0.5%, and moisture loss was less than 0.1%. Air leakage between the two airstreams was effectively controlled within 5%.
Experimental conditions: The outdoor air inlet was maintained at 35 °C with a relative humidity (RH) of 59%, while the indoor air inlet was set at 27 °C with an RH of 54%. During the experiments, equal airflow rates were maintained in both ducts. However, variable-speed blowers allowed for adjustment to different airflow rates as needed. Temperature and humidity sensors were calibrated before and after testing, with calibration offsets controlled within a 1% limit. Under these conditions, the measurement uncertainties were as follows: temperature ± 0.1 °C, humidity ± 2%, volumetric flow rate ± 1%, and pressure drop ± 1%. The overall uncertainty in the calculated sensible and latent effectiveness was ± 4.5%. Additionally, the discrepancy in heat and mass balance between the outdoor supply and indoor exhaust airflows was maintained below 0.1%. These measures indicate that the experimental results reported in this study are reliable and credible.
The experiments evaluated sensible and latent effectiveness under varying outdoor air temperatures, airflow rates, and relative humidity levels, providing a basis for validating the proposed mathematical model. The model was developed and calculated strictly according to the thermal conditions, equipment specifications, and airflow rates used in the experiments. In accordance with GB/T20187-2020 “Energy recovery ventilators for outdoor air handling” [39], the indoor air temperature and humidity were set as listed in Table 2. The outdoor air temperature, relative humidity, and airflow were set equal to the standard values as listed in Table 2 or among the possible practical ranges.

3.3. Validation Results

In the CFD simulation used to validate the mathematical model, the indoor temperature was kept at standard conditions, as listed in Table 2. The outdoor air temperature varied from 30 °C to 42 °C in the summer case and from −20 °C to 0 °C in the winter case. Additionally, under the designed thermal conditions of the indoor and outdoor temperatures, the airflow rates were set to vary to verify the changes in the heat exchange efficiency. The verification results are shown in Figure 5 and Figure 6.
Figure 5 shows the sensible effectiveness calculated by the mathematical model and CFD simulation. The CFD simulation results indicate a sensible effectiveness of 53% and 60%, while the mathematical model predicts approximately 61% in summer and around 55% in winter. Figure 6 shows the sensible effectiveness variation with airflow rates. Both the mathematical model and CFD simulation show a decline in sensible effectiveness as airflow rates increase. The results from the CFD simulation are 8–8.2% lower than those from the mathematical model. This discrepancy may be attributed to the mesh quality in the CFD simulation and the fact that the mathematical model neglects certain factors influencing heat transfer resistance.
The experiments primarily aimed to verify the impact of airflow rate, temperature, and relative humidity changes on the efficiency of the heat exchanger. In the airflow rate validation experiment, the indoor and outdoor temperature and humidity were maintained at standard conditions, while the supply and exhaust airflow varied from 100 m3/h to 200 m3/h. During the temperature and relative humidity validation experiments, the indoor temperature and humidity were kept at standard conditions while the outdoor temperature and relative humidity varied.
Figure 7 and Figure 8 show the efficiency results from both the mathematical model and experimental research under different conditions of outdoor temperature, relative humidity, and airflow rate volume. Figure 7 shows a decreasing trend in both sensible and latent effectiveness as the airflow rate increases. The sensible effectiveness predicted by the mathematical model ranges from 60% to 80%, closely matching the range of the sensible effectiveness observed in the experimental data. As the airflow rate increases from 100 m3/h to 200 m3/h, the sensible effectiveness calculated by the mathematical model decreases from 74% to 64%, while the experimental results show a decrease from 78% to 70%. Similarly, latent effectiveness, as predicted by the model and measured experimentally, ranges between 50% and 30%, showing reductions of 13% and 17%, respectively, with increasing airflow rates. Overall, the discrepancy between the two methods in terms of results and trends is minimal.
Since the heat exchanger plate is very thin, almost all sensible heat resistance occurs during the convection heat transfer process. As shown in Figure 7, using a membrane as the heat transfer medium can still achieve high sensible heat performance, so the focus will shift to the changes in latent heat efficiency [23]. Figure 8a shows the variation in latent heat efficiency at different outdoor temperatures, with relative humidity held constant. As the outdoor temperature increases from 30 °C to 42 °C, the latent heat efficiency predicted by the mathematical model increases from 28% to 47.6%, while the experimental measuring results increase from 25% to 45%, indicating a minimal error between the two. Figure 8b presents the results of latent heat efficiency under different outdoor relative humidity conditions while maintaining a constant outdoor temperature. As the outdoor relative humidity varies between 40% and 70%, the mathematical model calculates an increase in latent heat efficiency from 6.4% to 41.5%, and the experimental results show an increase from 5% to 40%. These findings indicate that the results from the mathematical model are generally consistent with the experimental data.
In summary, the comparison of mathematical model calculations with CFD simulations and experimental results reveals little discrepancy. This discrepancy may be due to the neglect of factors such as condensation and frost resistance in the calculation process. Overall, the discrepancy remains small, and the general trend aligns with both research and experimental findings. The mathematical model was further refined based on validation results. Therefore, the modified model can serve as a theoretical basis for rapidly predicting and analyzing the relationship between the heat exchange efficiency of heat exchangers and influencing factors.

4. Influencing Factors Analysis

Based on the theoretical modeling and validation, the mathematical model is then used to analyze various factors influencing the heat exchange efficiency of an energy recovery ventilator. In this study, the main factors include heat exchanger parameters, such as the heat–moisture transfer medium, and air parameters, such as temperatures, relative humidity, and airflow rates. The model calculated is a cross-flow plate-fin heat exchanger with a membrane as heat–moisture transfer medium, which is normally used in civil buildings. According to the literature [23,40], the moisture diffusivity and thermal conductivity of the membrane are set as 6.08 × 10-12 m2/s and 0.44 W/(m·K) in the analysis. The specific structure dimensions and core material parameters of the heat exchanger are shown in Table 3.

4.1. Material Thermal Conductivity and Mass Diffusion Coefficient

The crucial factors affecting the efficiency of the heat exchanger are the thermal conductivity and mass diffusion coefficient of the core material. Therefore, this paper will change the size of factors to separately calculate their impacts on sensible and latent effectiveness. As shown in Figure 9a, changes in thermal conductivity have little effect on sensible effectiveness across different temperatures. This is because the thickness of the core membrane is only 55 μm, making conductive resistance negligible compared to the convective heat transfer resistance, thus having an insignificant effect on the overall heat transfer efficiency. In contrast, a change in the mass diffusion coefficient has a very noticeable impact on the improvement of latent effectiveness. As shown in Figure 9b, latent effectiveness increases by about 16% with an increase in the mass diffusion coefficient. These results suggest that mass diffusivity through the membrane constitutes a large portion. On the other side, due to the thin membrane, thermal conduction resistance accounts for a relatively small proportion of the total thermal resistance.

4.2. Effect of Outdoor Air Temperature on Efficiency

Keeping indoor air at standard temperature and humidity conditions listed in Table 2 and maintaining the outdoor air relative humidity at 60%, the dry bulb temperature of the outdoor air was set to vary to calculate the thermal and moisture efficiency. Figure 10 shows the changes in sensible effectiveness, latent heat effectiveness, and enthalpy effectiveness of the heat exchanger under different outdoor air temperatures, with constant airflow rate and relative humidity. In winter, sensible effectiveness slightly increases as the outdoor air temperature rises, increasing from 38.95% to 50.64%. However, latent effectiveness shows a significant increase, rising by 15% as the outdoor air temperature increases from 0 °C to 8 °C. In summer, sensible effectiveness remains almost unchanged at approximately 80%, while latent effectiveness increases from 47.9% to 62.9% as the outdoor air temperature rises from 29 °C to 37 °C.
Regardless of the season (winter or summer), the change in sensible effectiveness with temperature is minimal, increasing by 1.69% and 1%, respectively. However, the variation in latent effectiveness is significant. This is because the thermal and moisture efficiency through the core material is partly determined by the thermal and moisture resistance of the material. As outdoor air temperature changes, the thermal and moisture characteristics of the material also shift. Nonetheless, since thermal conduction resistance represents only a small portion of the total thermal resistance, thermal resistance changes do not significantly affect sensible effectiveness. In contrast, the proportion of mass transfer resistance in the total mass transfer resistance is large. Thus, with the increase in temperature, the reduction in moisture resistance leads to a significant increase in latent effectiveness.

4.3. Effect of Relative Humidity on Efficiency

Keeping indoor air temperature and humidity at standard conditions, the outdoor temperature is set to either 35 °C or 2 °C, and the outdoor relative humidity gradually increases from 30% to 70%. Figure 11 shows the efficiency results of the heat exchanger in both winter and summer with varying outdoor air relative humidity. The results show that sensible effectiveness is almost unaffected by changes in outdoor relative humidity, staying at 72% in winter and 77% in summer. In contrast, latent effectiveness significantly increases with rising outdoor relative humidity, showing an increase of 32.4% in winter and 26.1% in summer.
Similar to the effect of temperature on the material, varying relative humidity causes changes in the moisture resistance coefficient. The higher the relative humidity, the smaller the moisture resistance coefficient, resulting in a more significant change in latent heat efficiency. In contrast, changes in relative humidity have minimal impact on thermal resistance, meaning that sensible heat exchange efficiency remains largely unaffected. Additionally, as shown in Figure 11a, the enthalpy efficiency initially decreases and then increases in summer, indicating that at high temperatures and lower humidity levels, sensible heat transfer predominates over latent heat transfer, while the subsequent rise is due to the increasing effectiveness of latent heat transfer at higher humidity levels.

4.4. Effect of Simultaneous Changes in Temperature and Relative Humidity on Efficiency

In actual operating conditions, both outdoor temperature and relative humidity will certainly change simultaneously. Therefore, it is necessary to analyze the changes in heat exchanger efficiency under these conditions. For summer, the temperature ranges from 29 °C to 37 °C, with relative humidity increasing from 45% to 70%. For winter, the temperature ranges from 0 °C to 8 °C, while relative humidity varies from 15% to 65%. Finally, with temperature as the X-axis, relative humidity as the Y-axis, and efficiency as the Z-axis, surface plots of sensible and latent effectiveness changes are obtained. As shown in Figure 12, sensible effectiveness is largely unaffected by changes in temperature and relative humidity, staying around 79% in summer and 76% in winter. In contrast, latent heat efficiency varies significantly in both seasons, increasing from a minimum of 17.2% to 71.5% in winter and from 26% to 70% in summer.
As illustrated in Figure 12, when temperature and relative humidity vary simultaneously, their combined effect on latent effectiveness becomes more evident, particularly in the curvature of the surface plots. While sensible effectiveness remains largely constant across the tested ranges, indicating low sensitivity to thermal and humidity variations, the latent effectiveness shows a clear upward trend with increasing relative humidity, and this trend becomes steeper as temperature increases. This indicates a synergistic interaction: higher temperatures enhance the moisture-carrying capacity of air, which, when coupled with elevated relative humidity, leads to a significantly greater driving force for moisture transfer across the membrane.
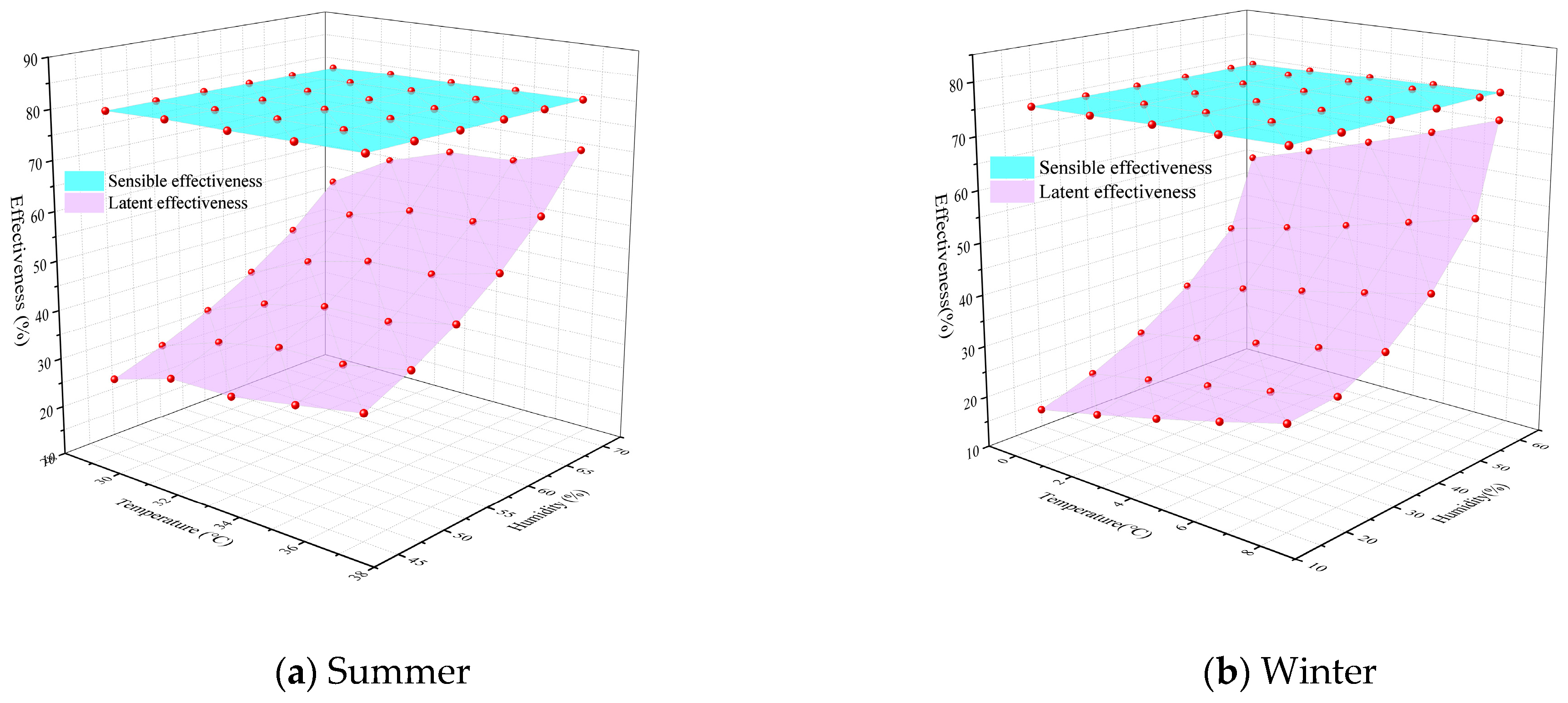
Such interaction effects are especially pronounced in summer conditions, where the latent effectiveness curve demonstrates a more rapid rise in response to simultaneous increases in both temperature and humidity. In contrast, under winter conditions, although the baseline latent effectiveness is lower due to reduced moisture content in the air, the same interaction trend persists, demonstrating the fundamental role of combined thermal and moisture gradients in influencing diffusion-driven heat and mass exchange processes.

4.5. Effect of Airflow Rate on Efficiency

Indoor and outdoor air thermal conditions were maintained at standard cases listed in Table 2, while the airflow rate of the heat exchanger varied incrementally at 100 m3/h, 200 m3/h, 300 m3/h, 400 m3/h, and 500 m3/h. Figure 13 shows the results of the heat exchanger efficiency under different airflow rates. In both winter and summer, sensible and latent effectiveness show a significant decreasing trend as the airflow rate increases. Latent effectiveness is more significantly affected by airflow rate compared to sensible effectiveness. When the airflow rate increases from 100 m3/h to 500 m3/h, sensible effectiveness decreases by 21.4% in winter and 20.6% in summer, while latent effectiveness decreases by 37.9% in winter and 45.6% in summer. Table 4 shows the quantitative results of heat and mass transfer coefficients and air residence time under varying flow rates.
Based on the results presented in Figure 13 and Table 4, changes in airflow rate directly affect the intensity of both convective heat transfer and convective mass transfer. As the airflow rate increases, the air velocity within the core channels rises, leading to higher convective heat transfer and convective mass transfer coefficients, which initially enhances heat and moisture transfer efficiency. Furthermore, the increased flow velocity may induce the onset of turbulence, promoting enhanced mixing and further improving the convective transfer rates. However, the increased air velocity also shortens the residence time of the fluid medium within the channels, limiting the overall effectiveness of heat and mass transfer processes. As a result, with the calculation range, an increase in airflow rate reduces heat exchange efficiency, indicating that the impact on the heat–moisture transfer coefficient is weaker than its effect on heat–moisture transfer time. Finally, due to the different heat and mass transfer characteristics of the exchange materials, the reduction rates of heat transfer resistance and mass transfer resistance within the core also vary [38]. Consequently, the decrease in latent effectiveness is more pronounced than the decrease in sensible effectiveness.

5. Conclusions

With the advancement of sustainability goals, the building sector has become a key area in achieving sustainable development. As a sustainable technology, energy recovery ventilators play an important role in reducing building energy consumption. To rapidly analyze the dynamic variation parameters of the energy recovery efficiency, this paper establishes a mathematical model for the cross-flow plate-fin total heat exchanger and conducts a systematic theoretical analysis on the heat and mass transfer processes. The accuracy of the mathematical model results was validated through CFD simulations and experimental measurements. Subsequently, the mathematical model was used to analyze the impact of factors such as outdoor temperature, relative humidity, air volume, and material thermal and moisture conductivity on the efficiency of the heat exchanger. The research findings of this study regarding the application of the model and the analysis of the dynamic variation in efficiency are presented as follows:
  • Before using the model, it is essential to fully understand the physical structure of the heat exchange core (channel dimensions), the parameters of the fluid passing through (temperature, relative humidity, and velocity), and the material properties of the core (thermal conductivity, moisture permeability, density, and mass diffusion coefficient) to ensure the accuracy of the calculations.
  • As the thermal resistance constitutes a small proportion of the total resistance, the thermal conductivity of the heat transfer medium has little effect on the sensible effectiveness. In contrast, changes in the mass diffusion coefficient significantly affect the latent effectiveness, showing a clear upward trend as the mass diffusion coefficient increases. Consequently, mass diffusion resistance accounts for a large proportion of the total mass transfer resistance.
  • The sensible effectiveness of the plate-fin heat exchanger is almost unaffected by outdoor air temperature differences and relative humidity. In contrast, latent effectiveness increases significantly with rising outdoor air temperature and relative humidity. This is because the changes in air temperature and humidity affect the heat and mass transfer capability, with mass diffusivity having a more significant impact.
  • Both sensible and latent effectiveness are significantly influenced by the airflow rate. As the airflow rate increases around the design case, both efficiencies show a decreasing trend, with the impact on latent heat efficiency being more significant than that on sensible heat efficiency.

Author Contributions

Conceptualization, H.W. and J.N.; methodology, J.N.; software, H.W.; validation, H.W., Y.S. and J.N.; formal analysis, H.W.; investigation, H.W., W.Z. and H.L.; resources, J.N.; data curation, H.W.; writing—original draft preparation, H.W. and H.H.; writing—review and editing, H.W. and J.N.; visualization, H.W.; supervision, J.N.; project administration, J.N.; funding acquisition, J.N. All authors have read and agreed to the published version of the manuscript.

Funding

This research was funded by the National Natural Science Foundation of China (No. 51708013), Pyramid talent training project of the Beijing University of Civil Engineering and Architecture (No. JDJQ20200303).

Institutional Review Board Statement

Not applicable.

Informed Consent Statement

Not applicable.

Data Availability Statement

The original contributions presented in this study are included in the article. Further inquiries can be directed to the corresponding author.

Acknowledgments

The authors would like to express gratitude to Beijing University of Civil Engineering and Architecture for its educational support, to the researchers and colleagues involved in the discussions of this study, and to the grant projects and relevant local institutions for their financial contributions.

Conflicts of Interest

Hanlong Li was employed by the company CBMI Construction Co., Ltd. Wen Zhang was employed by the company BYD Automobile Industry Co., Ltd., and other authors declare no conflicts of interest.

References

  1. United Nations Environment Programme. Not Just Another Brick in the Wall: The Solutions Exist—Scaling Them Will Build on Progress and Cut Emissions Fast. In Global Status Report for Buildings and Construction 2024/2025; United Nations Environment Programme: Nairobi, Kenya, 2025. [Google Scholar]
  2. Qiu, S.; Li, S.; Wang, F.; Wen, Y.; Li, Z.; Li, Z.; Guo, J. An Energy Exchange Efficiency Prediction Approach Based on Multivariate Polynomial Regression for Membrane-Based Air-to-Air Energy Recovery Ventilator Core. Build. Environ. 2019, 149, 490–500. [Google Scholar] [CrossRef]
  3. Xu, Q.; Riffat, S.; Zhang, S. Review of Heat Recovery Technologies for Building Applications. Energies 2019, 12, 1285. [Google Scholar] [CrossRef]
  4. Pandey, P.; Deng, Z.; Dong, B. Assessment of Indoor Air Quality and Ventilation Rate in Residential Dorms After Net-Zero Retrofit: 18th International Conference on Indoor Air Quality and Climate. In Proceedings of the 18th Conference of the International Society of Indoor Air Quality and Climate, INDOOR AIR 2024—Conference Program and Proceedings, Honolulu, HI, USA, 7–11 June 2024. [Google Scholar]
  5. Ma, X.; Zhang, Y.; Han, Z.; Zang, N.; Liu, Z. Performance Modelling on a Thermoelectric Air Conditioning System Using High Power Heat Sinks and Promoting Waste Heat Utilization. Energy 2023, 268, 126612. [Google Scholar] [CrossRef]
  6. Jouhara, H.; Khordehgah, N.; Almahmoud, S.; Delpech, B.; Chauhan, A.; Tassou, S.A. Waste Heat Recovery Technologies and Applications. Therm. Sci. Eng. Prog. 2018, 6, 268–289. [Google Scholar] [CrossRef]
  7. O’Connor, D.; Calautit, J.K.S.; Hughes, B.R. A Review of Heat Recovery Technology for Passive Ventilation Applications. Renew. Sustain. Energy Rev. 2016, 54, 1481–1493. [Google Scholar] [CrossRef]
  8. Min, J.; Su, M. Performance Analysis of a Membrane-Based Energy Recovery Ventilator: Effects of Outdoor Air State. Appl. Therm. Eng. 2011, 31, 4036–4043. [Google Scholar] [CrossRef]
  9. Li, J.; Shao, S.; Wang, Z.; Xie, G.; Wang, Q.; Xu, Z.; Han, L.; Gou, X. A Review of Air-to-Air Membrane Energy Recovery Technology for Building Ventilation. Energy Build. 2022, 265, 112097. [Google Scholar] [CrossRef]
  10. Zeng, C.; Liu, S.; Shukla, A. A Review on the Air-to-Air Heat and Mass Exchanger Technologies for Building Applications. Renew. Sustain. Energy Rev. 2017, 75, 753–774. [Google Scholar] [CrossRef]
  11. Yaïci, W.; Ghorab, M.; Entchev, E. Numerical Analysis of Heat and Energy Recovery Ventilators Performance Based on CFD for Detailed Design. Appl. Therm. Eng. 2013, 51, 770–780. [Google Scholar] [CrossRef]
  12. Lekshminarayanan, G.; Croal, M.; Maisonneuve, J. Recovering Latent and Sensible Energy from Building Exhaust with Membrane-Based Energy Recovery Ventilation. Sci. Technol. Built Environ. 2020, 26, 1000–1012. [Google Scholar] [CrossRef]
  13. Yang, T.; Guo, D.; Ge, T. Solid Desiccant Heat Pump Fresh Air Unit Using Composite Silica Gel. J. Therm. Sci. 2024, 33, 1286–1300. [Google Scholar] [CrossRef]
  14. Cho, H.-J.; Cheon, S.-Y.; Jeong, J.-W. Experimental Analysis on Energy Recovery Ventilator with Latent Heat Exchanger Using Hollow Fiber Membrane. Energy Convers. Manag. 2023, 278, 116706. [Google Scholar] [CrossRef]
  15. Armatis, P.D.; Fronk, B.M. Evaluation of Governing Heat and Mass Transfer Resistance in Membrane-Based Energy Recovery Ventilators with Internal Support Structures. Sci. Technol. Built Environ. 2017, 23, 912–922. [Google Scholar] [CrossRef]
  16. Song, H.-E.; Kang, Y.-H.; Yang, S.-K.; Ahn, Y. Prediction of Pressure Drop from Multivariate Polynomial Regression for Membrane-Based Air-to-Air Energy Recovery Ventilator Cores. Sci. Technol. Built Environ. 2023, 29, 339–346. [Google Scholar] [CrossRef]
  17. Gao, H.; Li, Z.; Qiu, S.; Yang, B.; Li, S.; Wen, Y. Energy Exchange Efficiency Prediction from Non-Linear Regression for Membrane-Based Energy-Recovery Ventilator Cores. Appl. Therm. Eng. 2021, 197, 117353. [Google Scholar] [CrossRef]
  18. Gao, Z.; Rendall, J.; Nawaz, K.; Abuheiba, A.; Abdelaziz, O. Innovative Modeling and Simulation of Membrane-Based Dehumidification and Energy Recovery Equipment. Case Stud. Therm. Eng. 2023, 43, 102783. [Google Scholar] [CrossRef]
  19. Zhang, C.; Xu, J.; Ge, T.; Dai, Y.; Wang, R. A Study on Enthalpy Exchanger with Modified Functional Layers Based on Chloride. Sci. Technol. Built Environ. 2017, 23, 72–80. [Google Scholar] [CrossRef]
  20. Zhang, L.-Z. Heat and Mass Transfer in a Quasi-Counter Flow Membrane-Based Total Heat Exchanger. Int. J. Heat Mass Transf. 2010, 53, 5478–5486. [Google Scholar] [CrossRef]
  21. Zhang, L.; Chen, Z. Convective Heat Transfer in Cross-Corrugated Triangular Ducts under Uniform Heat Flux Boundary Conditions. Int. J. Heat Mass Transf. 2011, 54, 597–605. [Google Scholar] [CrossRef]
  22. Liu, P.; Alonso, M.J.; Mathisen, H.M.; Simonson, C. Performance of a Quasi-Counter-Flow Air-to-Air Membrane Energy Exchanger in Cold Climates. Energy Build. 2016, 119, 129–142. [Google Scholar] [CrossRef]
  23. Zhang, L.-Z.; Liang, C.-H.; Pei, L.-X. Heat and Moisture Transfer in Application Scale Parallel-Plates Enthalpy Exchangers with Novel Membrane Materials. J. Membr. Sci. 2008, 325, 672–682. [Google Scholar] [CrossRef]
  24. Jeong, C.H.; Kim, H.R.; Ha, M.Y.; Son, S.W.; Lee, J.S.; Kim, P.Y. Numerical Investigation of Thermal Enhancement of Plate Fin Type Heat Exchanger with Creases and Holes in Construction Machinery. Appl. Therm. Eng. 2014, 62, 529–544. [Google Scholar] [CrossRef]
  25. Cuce, P.M.; Riffat, S. A Comprehensive Review of Heat Recovery Systems for Building Applications. Renew. Sustain. Energy Rev. 2015, 47, 665–682. [Google Scholar] [CrossRef]
  26. Mardiana-Idayu, A.; Riffat, S.B. Review on Heat Recovery Technologies for Building Applications. Renew. Sustain. Energy Rev. 2012, 16, 1241–1255. [Google Scholar] [CrossRef]
  27. Chaudhry, H.N.; Hughes, B.R.; Ghani, S.A. A Review of Heat Pipe Systems for Heat Recovery and Renewable Energy Applications. Renew. Sustain. Energy Rev. 2012, 16, 2249–2259. [Google Scholar] [CrossRef]
  28. Al-Waked, R.; Nasif, M.S.; Morrison, G.; Behnia, M. CFD Simulation of Air to Air Enthalpy Heat Exchanger. Energy Convers. Manag. 2013, 74, 377–385. [Google Scholar] [CrossRef]
  29. Nasif, M.; AL-Waked, R.; Morrison, G.; Behnia, M. Membrane Heat Exchanger in HVAC Energy Recovery Systems, Systems Energy Analysis. Energy Build. 2010, 42, 1833–1840. [Google Scholar] [CrossRef]
  30. Liu, Z.; Li, W.; Chen, Y.; Luo, Y.; Zhang, L. Review of Energy Conservation Technologies for Fresh Air Supply in Zero Energy Buildings. Appl. Therm. Eng. 2019, 148, 544–556. [Google Scholar] [CrossRef]
  31. Zender–Świercz, E. A Review of Heat Recovery in Ventilation. Energies 2021, 14, 1759. [Google Scholar] [CrossRef]
  32. Saleh, K.; Aute, V.; Radermacher, R.; Azarm, S. Chevron Plate Heat Exchanger Optimization Using Efficient Approximation-Assisted Multi-Objective Optimization Techniques. HVACR Res. 2013, 19, 788–799. [Google Scholar] [CrossRef]
  33. Liang, C.; Tong, X.; Lei, T.; Li, Z.; Wu, G. Optimal Design of an Air-to-Air Heat Exchanger with Cross-Corrugated Triangular Ducts by Using a Particle Swarm Optimization Algorithm. Appl. Sci. 2017, 7, 554. [Google Scholar] [CrossRef]
  34. American Society of Heating, Refrigerating and Air-Conditioning Engineers, Inc. 2024 ASHRAE Handbook: Heating, Ventilating, and Air-Conditioning Systems and Equipment, Inch-Pound Edition; ASHRAE: Atlanta, GA, USA, 2024; ISBN 978-1-5231-3507-3. [Google Scholar]
  35. Charles, N.T.; Johnson, D.W. The Occurrence and Characterization of Fouling during Membrane Evaporative Cooling. J. Membr. Sci. 2008, 319, 44–53. [Google Scholar] [CrossRef]
  36. Engarnevis, A.; Huizing, R.; Green, S.; Rogak, S. Particulate Fouling Assessment in Membrane Based Air-to-Air Energy Exchangers. Energy Build. 2017, 150, 477–487. [Google Scholar] [CrossRef]
  37. Karlsson, H.O.E.; Trägårdh, G. Heat Transfer in Pervaporation. J. Membr. Sci. 1996, 119, 295–306. [Google Scholar] [CrossRef]
  38. Niu, J.L.; Zhang, L.Z. Membrane-Based Enthalpy Exchanger: Material Considerations and Clarification of Moisture Resistance. J. Membr. Sci. 2001, 189, 179–191. [Google Scholar] [CrossRef]
  39. Standardization Administration of China. GB/T 20187-2020; Energy Recovery Ventilators for Outdoor Air Handling. SAC: Beijing, China, 2020.
  40. Zhang, L.-Z. Heat and Mass Transfer in Plate-Fin Enthalpy Exchangers with Different Plate and Fin Materials. Int. J. Heat Mass Transf. 2009, 52, 2704–2713. [Google Scholar] [CrossRef]
Figure 1. A schematic diagram of the total heat exchanger and its core flow channel. (L and H represent the core’s width and height, respectively; a and b denote the profile dimensions of the triangular corrugated channel).
Figure 1. A schematic diagram of the total heat exchanger and its core flow channel. (L and H represent the core’s width and height, respectively; a and b denote the profile dimensions of the triangular corrugated channel).
Sustainability 17 04509 g001
Figure 2. The heat and mass transfer model calculation flow chart.
Figure 2. The heat and mass transfer model calculation flow chart.
Sustainability 17 04509 g002
Figure 3. A simplified physical model diagram of the plate heat exchanger.
Figure 3. A simplified physical model diagram of the plate heat exchanger.
Sustainability 17 04509 g003
Figure 4. The FLUENT model and meshing of the plate heat exchanger.
Figure 4. The FLUENT model and meshing of the plate heat exchanger.
Sustainability 17 04509 g004
Figure 5. The verification of the impact of temperature difference on sensible heat efficiency under 200 m3/h airflow.
Figure 5. The verification of the impact of temperature difference on sensible heat efficiency under 200 m3/h airflow.
Sustainability 17 04509 g005
Figure 6. The verification of the impact of airflow rate on sensible effectiveness (35 °C and 59% outdoor air, 27 °C and 50% indoor air).
Figure 6. The verification of the impact of airflow rate on sensible effectiveness (35 °C and 59% outdoor air, 27 °C and 50% indoor air).
Sustainability 17 04509 g006
Figure 7. The verification of the impact of the air volume on heat and moisture exchange efficiency.
Figure 7. The verification of the impact of the air volume on heat and moisture exchange efficiency.
Sustainability 17 04509 g007
Figure 8. The verification of the impact of outdoor temperature and relative humidity on latent effectiveness.
Figure 8. The verification of the impact of outdoor temperature and relative humidity on latent effectiveness.
Sustainability 17 04509 g008
Figure 9. The effect of thermal conductivity (a) and mass diffusion coefficient (b) on efficiency.
Figure 9. The effect of thermal conductivity (a) and mass diffusion coefficient (b) on efficiency.
Sustainability 17 04509 g009
Figure 10. The effect of outdoor temperature change on efficiency.
Figure 10. The effect of outdoor temperature change on efficiency.
Sustainability 17 04509 g010
Figure 11. The effect of outdoor relative humidity changes on efficiency when the outdoor temperature remains unchanged.
Figure 11. The effect of outdoor relative humidity changes on efficiency when the outdoor temperature remains unchanged.
Sustainability 17 04509 g011
Figure 12. The effect of outdoor temperature and humidity on efficiency in winter and summer (The red dots represent the calculated effectiveness at the corresponding temperature (X-axis) and relative humidity (Y-axis) values).
Figure 12. The effect of outdoor temperature and humidity on efficiency in winter and summer (The red dots represent the calculated effectiveness at the corresponding temperature (X-axis) and relative humidity (Y-axis) values).
Sustainability 17 04509 g012
Figure 13. The effect of outdoor airflow rate changes on efficiency.
Figure 13. The effect of outdoor airflow rate changes on efficiency.
Sustainability 17 04509 g013
Table 1. Core structure parameters.
Table 1. Core structure parameters.
ItemSymbol (Unit)Value
Channel lengthA (mm)140
Core heightH (mm)70
Channel heightH (mm)5
Membrane thicknessΔ (mm)0.05
Triangle base lengthA (mm)0.8
Table 2. Indoor dry and wet bulb temperatures in winter and summer under standard operating conditions.
Table 2. Indoor dry and wet bulb temperatures in winter and summer under standard operating conditions.
ConditionsIndoor Air InletFresh Air Inlet
Dry Bulb TemperatureWet Bulb TemperatureDry Bulb TemperatureWet Bulb Temperature
Summer
Winter
27
21
19.5
13
35
2
28
1
Table 3. Heat exchanger structure and core material properties.
Table 3. Heat exchanger structure and core material properties.
Heat Exchanger Structural ParametersCore Material Parameters
StructureUnitValueItemsUnitValue
Channel lengthm0.18Maximum moisture absorptionWmax (kg/kg)0.92
Channel heightmm5Adsorption curve constant——6
Core heightm0.7DiffusivityDw (m2/s)6.08 × 10−12
Diffusion coefficientm2/s2.82 × 10−5Thicknessδ (μm)55
Outdoor air°C35/2Densityρ (kg/m3)876
Indoor air°C27/21Thermal conductivityλ (Wm−1 K−1)0.44
Table 4. The effect of airflow rate on heat and mass transfer coefficients and air residence time.
Table 4. The effect of airflow rate on heat and mass transfer coefficients and air residence time.
ParametersAirflow RatesHeat Transfer CoefficientsMass Transfer CoefficientsResidence Time
m3/hW/ (m2·K)kg/ (m2·s)S
Summer10023.252.75 × 10–30.41
20028.062.81 × 10–30.20
30031.962.84 × 10–30.14
40035.282.87 × 10–30.10
50038.202.89 × 10–30.08
Winter 10022.043.52 × 10–30.41
20026.883.63 × 10–30.20
30030.733.69 × 10–30.14
40033.993.74 × 10–30.10
50036.843.77 × 10–30.08
Disclaimer/Publisher’s Note: The statements, opinions and data contained in all publications are solely those of the individual author(s) and contributor(s) and not of MDPI and/or the editor(s). MDPI and/or the editor(s) disclaim responsibility for any injury to people or property resulting from any ideas, methods, instructions or products referred to in the content.

Share and Cite

MDPI and ACS Style

Wang, H.; Nie, J.; Sheng, Y.; Li, H.; Zhang, W.; Huang, H. Theoretical Modeling and Analysis of Energy Recovery Efficiency and Influencing Factors of Energy Recovery Ventilators Under Dynamic Thermal Environments. Sustainability 2025, 17, 4509. https://doi.org/10.3390/su17104509

AMA Style

Wang H, Nie J, Sheng Y, Li H, Zhang W, Huang H. Theoretical Modeling and Analysis of Energy Recovery Efficiency and Influencing Factors of Energy Recovery Ventilators Under Dynamic Thermal Environments. Sustainability. 2025; 17(10):4509. https://doi.org/10.3390/su17104509

Chicago/Turabian Style

Wang, Huanyu, Jinzhe Nie, Ying Sheng, Hanlong Li, Wen Zhang, and Honghao Huang. 2025. "Theoretical Modeling and Analysis of Energy Recovery Efficiency and Influencing Factors of Energy Recovery Ventilators Under Dynamic Thermal Environments" Sustainability 17, no. 10: 4509. https://doi.org/10.3390/su17104509

APA Style

Wang, H., Nie, J., Sheng, Y., Li, H., Zhang, W., & Huang, H. (2025). Theoretical Modeling and Analysis of Energy Recovery Efficiency and Influencing Factors of Energy Recovery Ventilators Under Dynamic Thermal Environments. Sustainability, 17(10), 4509. https://doi.org/10.3390/su17104509

Note that from the first issue of 2016, this journal uses article numbers instead of page numbers. See further details here.

Article Metrics

Back to TopTop