Next Article in Journal
The Impact of Environmental Regulation on Farmland Non-Point Source Pollution: Evidence from the Dongting Lake Plain, China
Next Article in Special Issue
Towards More Efficient PEM Fuel Cells Through Advanced Thermal Management: From Mechanisms to Applications
Previous Article in Journal
Green Skills Are Not Enough: Three Levels of Competences from an Applied Perspective
Previous Article in Special Issue
Reserve Technique in Integrating Large Sustainable Energy Sources: A Case Study of the Tunisian Grid
 
 
Font Type:
Arial Georgia Verdana
Font Size:
Aa Aa Aa
Line Spacing:
Column Width:
Background:
Article

Boosting Solar Sustainability: Performance Assessment of Roof-Mounted PV Arrays Under Snow Considering Various Module Interconnection Schemes

1
Electric Power Engineers LLC, Austin, TX 78735, USA
2
Department of Electrical and Computer Engineering, Western University, London, ON N6A 3K7, Canada
*
Author to whom correspondence should be addressed.
Sustainability 2025, 17(1), 329; https://doi.org/10.3390/su17010329
Submission received: 11 November 2024 / Revised: 20 December 2024 / Accepted: 25 December 2024 / Published: 4 January 2025

Abstract

The transition to renewable energy sources is vital for achieving sustainability, and photovoltaic (PV) systems play a key role in this shift. However, their performance can be significantly affected in snowy conditions, where the irradiation and energy production are limited. This study addresses a critical gap in the literature by developing a MATLAB/Simulink model that considers the impacts of snow layering and removal on roof-mounted photovoltaic arrays. This study investigates various module interconnection schemes—including Series, Series-Parallel, Total-Cross-Tied, Bridge-Linked, and Honey-Comb—to determine their impact on energy efficiency in snowy environments. Based on the results, when the modules are fully covered by uniform snow, the power losses can increase from 38.9% to 93.2% for all interconnection schemes by increasing the accumulated snow from 1 cm to 5 cm. When the modules are covered by nonuniform snow and the snow removal is considered the TCT scheme has the minimum power losses and the maximum efficiency, depending on the accumulated snow pattern. For the worst scenario, the power loss is 70.1% for TCT, 71.7% for SP, 72% for HC, 72.3% for BL, and 76.7% for series interconnection. For the other scenarios, almost a similar trend can be observed where the TCT interconnection has the maximum efficiency, and the series interconnection has the minimum efficiency.

1. Introduction

The penetration level of photovoltaic (PV) systems in power grids is on the rise due to their benefits. PV systems are environmentally friendly, required low-maintenance, and unlike diesel generators or wind turbines, they lack rotating parts that generate noise. These systems can be utilized for both off-grid [1] and grid-connected applications [2]. By the close of 2023, the global installed capacity of solar PV surpassed 1.6 TWp, with over 420 GWp added that year alone [3]. Despite the numerous merits of using PV systems, their performance and resulting output are influenced by environmental factors, such as solar irradiance and ambient temperature. Furthermore, the efficiency of PV systems can be significantly impacted by conditions like snowfall and partial shading.
PV installations in colder regions, like Canada, encounter unique challenges from ice and snow accumulation on PV modules. Snow cover reduces the irradiance reaching PV cells or obstructs parts of the cells, causing shading. Full or partial shading due to snow and ice can lead to a disproportionate drop in electricity production relative to the shaded area [4].
In snowy climates, the power loss in PV systems is affected by snowmelt behavior and the extent of snow accumulation [5]. Snow accumulation itself is influenced by factors such as the tilt angle of the modules, ambient temperature, wind speed, and surface characteristics [6]. According to data from [7], power losses due to snow can exceed 15% for modules installed at lower tilt angles. A study in Germany found that annual energy losses from snow can range from 0.3–2.7% for modules positioned at a 28° tilt angle [8].
The influence of snow-ground interaction on PV system performance was analyzed in [9]. This study found that annual snow-related energy losses vary from 5% to 12% for elevated, unobstructed modules, and from 29% to 34% for modules tilted similarly but closer to the ground. The authors of [10] reviewed prior studies on PV system losses in snowy conditions across various regions, considering tilt angle, annual snowfall, and snow sliding. This review highlights how PV efficiency can be impacted in snowy conditions, underscoring the importance of performance analysis to devise strategies that maximize solar energy utilization.
Previous research has largely focused on estimating daily, monthly, and annual energy losses from snow on PV modules, either by comparing projected energy output with observed PV system data or using models based on meteorological and field data [11]. These studies often ignored the irradiation level that penetrates accumulated snow on PV surfaces. Furthermore, most studies use offline methods that are incompatible with real-time power electronics and control frameworks for assessing PV system performance in snowy conditions. In [11,12], a model capable of predicting the effectiveness of modules with uniform snow coverage was introduced. This model applies the Lambert- Bouguer principle and the Giddings and LaChapelle approach to estimate the insolation reaching snow-covered module surfaces. However, these studies assumed uniform snow coverage on PV modules, an unlikely scenario, and did not account for snow sliding or removal from the modules.
Snow shedding and removal have been explored in several studies [6,13,14,15]. In [6], snow melting and sliding were identified as key snow removal mechanisms. A numerical model in [13] predicted thermal snow removal, including snow melting and sliding from horizontal and inclined modules. In [14], the sliding of snow was treated as the primary process of removing snow, with formulations based on module tilt angles, ambient temperature, and irradiance level. This model has been incorporated into the System Advisor Model (SAM) software by the National Renewable Energy Laboratory (NREL), CO, USA [15]. This model, however, assumes that a module’s power output is zero if it is even partially covered in snow, regardless of snow depth—a premise that does not always hold, as PV modules can still generate power, albeit at reduced levels, under snow cover [11,12]. Thus, the development of a model that includes snow coverage and removal processes is crucial for PV system studies.
Snow coverage and removal can induce full or partial shading on modules in a PV array, significantly lowering efficiency under partial shading conditions. Different strategies have been proposed to enhance the performance of partially shaded PV systems, categorized into four primary groups [16]. Partial shading conditions often introduce multiple maximum power points (MPPs), and conventional maximum power point tracking (MPPT) methods may only track local rather than global MPPs. The first group of methods includes modified MPPT techniques that more effectively identify the global MPP, often using meta-heuristic algorithms like particle swarm optimization (PSO) [17], search and rescue algorithm [18], swarm intelligence [19], ant colony optimization [20], perturb and observe algorithm and learning automata [21], artificial bee colony [22], and reinforcement learning [23].
The second group focuses on reconfiguring PV modules within arrays [24,25]. Common PV array configurations include Series (S), Series-Parallel (SP), Total-Cross-Tied (TCT), Bridge-Linked (BL), Honeycomb (HC) [26,27,28], M2, Su-Do-Ku algorithms [29,30], shadow dispersion schemes [25,31], skyscraper arrangement [32], odd-even prime pattern [33], and fuzzy logic or recursive least squares-based reconfiguration [34]. Static and dynamic reconfiguration [35], socio-inspired democratic political algorithms [36], prime numbers-based PV array reconfiguration [37], and asymmetric puzzle reconfiguration [38] have also been proposed to improve PV system performance under partial shading.
In some studies, optimization methods like the butterfly optimization algorithm [39], two-step genetic algorithm [40], and swarm reinforcement learning [41] have been used for PV reconfiguration. The third group involves different PV system architectures, including series-connected microconverters, parallel-connected microconverters, and microinverters. The last group explores various converter topologies, such as multilevel converters, voltage injection circuits, generation control circuits, module-integrated converters, and multiple-input converters.
The previous studies have modeled the photovoltaic systems in snowy condition, but they have not studied the effect of different module interconnection schemes in snowy conditions. This paper aims to bridge this gap by using a model that incorporates snow accumulation and snow clearing. The primary contribution of this paper includes modeling of PV arrays in snowy conditions considering the snow accumulation and removal process on PV modules. In addition, this paper investigates the impact of different interconnection schemes such as Series, SP, TCT, BL, and HC on the efficiency of the PV systems. The rest of the paper is as follows:
Section 2 discusses PV system modeling in snowy conditions. Section 3 describes various array interconnections. Section 4 presents simulation results and discussions, and Section 5 offers concluding remarks.

2. Modeling of Photovoltaic Modules in Snowy Conditions

2.1. Modeling of PV Systems

A photovoltaic (PV) cell, the smallest unit of a PV system, is a P-N junction that produces electricity when exposed to sunlight. However, as individual cells generate very low power, multiple PV cells are connected in series or parallel to increase electricity output in the form of PV modules. To achieve even greater capacity, PV arrays are constructed by connecting multiple PV modules in various configurations. This hierarchical approach is similarly applied in modeling PV cells, modules, and arrays. A PV cell’s mathematical model, which transforms the ambient temperature and solar irradiance into power, is typically employed to analyze the overall performance of a PV system.
Two widely applied models for studying the performance of photovoltaic systems are the single-diode and two-diode models [42]. Both models can accurately produce the characteristic curves of a PV system, such as the power-voltage (P-V) and current-voltage (I-V) curves. In this study, the single-diode model is selected for its simplicity and lower computational demands [12]. Figure 1 illustrates the equivalent circuit of a single-diode PV model, in which the photovoltaic cell is represented by a current source, a diode, along with series and parallel resistances. Using this equivalent circuit, the current-voltage (I-V) behavior of the PV cell are expressed as follows [43]:
I P V = I p h I d I R s h
I P V = I p h I s e V P V + R s I P V α V t 1 V P V + R s I P V R s h
where Iph and IS represent the photocurrent and the diode’s reverse saturation current, respectively; α denotes the diode ideality factor; Rs and Rsh are the series and shunt resistances, respectively. The semiconductor junction’s thermal voltage is given by V t = N s k T q , where q, k, and T are the electron charge, Boltzmann constant, and cell temperature, respectively. Ns indicates the number of cells in series. The diode’s saturation current can be expressed as follows [43]:
I s = I s c , S T C + K i T T S T C exp V o c , S T C + K v T T S T C α V t 1
where Isc,STC is the short-circuit current under standard test conditions (STC) (i.e., TSTC = 25 °C and G = 1000 W/m2, Voc,STC and TSTC are the open-circuit voltage and temperature at STC, respectively. Kv and Ki are the temperature coefficients associated with the voltage and current characteristics of the PV cell. The photocurrent, which depends on solar irradiance and temperature, can be calculated as follows [43]:
I p h = K s f ( I p h , S T C + K i T T S T C ) G G S T C
where Ksf accounts for the impact of aging and dirt on the derating of photovoltaic cells, with a value of 1 for new modules. GSTC and Iph,STC are the irradiation level and the photocurrent at STC, respectively, and G is irradiation on the surface of PV cell.

2.2. Impact of Snow Layering on Photovoltaic Modules and Snow Clearing Mechanism

In this study, the modeling approach introduced in [11] is applied to simulate snow-covered PV modules. This model has been experimentally validated for accuracy; however, it did not originally account for snow removal. For the present work, an enhanced snow removal process, as proposed in [14,15], is incorporated. This model was previously implemented in the SAM software developed by NREL. In [14,15], sliding of the snow is recognized as the primary snow clearing mechanism, and snow-covered modules were assumed not to produce power. Nonetheless, this presumption is revised here according to the findings of [11], indicating that snow-covered modules can still produce power. Additionally, the snow sliding model developed and validated in [15] is utilized in this work.
Snow sliding is not the only mechanism for snow removal on PV modules; other factors such as wind velocity and snow melt also influence the snow clearance and residual snow on the modules. Therefore, in this study, alongside the snow sliding patterns derived from the proposed model, additional patterns for residual snow are included based on findings in the literature [10]. The system performance is analyzed under these conditions with various module interconnection configurations. A common approach for evaluating PV system performance under partial shading is to consider different shading patterns, as extensively discussed in multiple studies [29,44,45,46]. This concept is applied here to snow-covered modules, with the modeling of snow-covered PV systems in snowy conditions addressed in the subsequent section.
A photovoltaic model was introduced in [11] to assess the behavior of PV modules under consistent snow coverage, where solar irradiation penetrates the snow layers depending on the snow’s properties. In this model, the Lambert-Bouguer principle was employed to approximate the insolation reaching the surface of uniformly snow-covered modules. The transmission of sunlight through snow or ice can be represented as follows [47,48]:
G h = G 0 exp ( k e x t h )
where G(0) represents the intensity of solar insolation on the snow-covered surface, h refers to the snow cover depth, G(h) is the insolation intensity at a depth h under the snow surface. The extinction coefficient, denoted by kext, which depends on the properties of the snow, determines the amount of absorbed or scattered irradiation [49,50]:
k e x t = 3 ρ 2 ρ i r e f
where ρ stands for snow intensity, ρi represents ice density (917 kgm−3), and ref denotes the effective grain radius. The value of kext can vary between 10 m−1 and 55 m−1 for soft new and hard powder snows [1].
For investigation of the PV modules’ performance in snowy conditions, G(h) is calculated according to Equations (5) and (6). Parameter G in Equation (4) is then substituted by the computed G(h) so that the final equation for calculating Iph is as follows:
I p h = K s f ( I p h , S T C + K i T T n ) G ( h ) G S T C
It is important to note that models commonly developed in the literature, including those used in SAM 2020.11.29 software, assume that snow-covered modules receive no irradiation. In these models, G(h) is set to zero, resulting in Iph being zero as well, and therefore, the modules are considered unable to generate power. However, in the model applied in this paper, snow-covered modules can indeed generate power, which depends on factors such as snow depth, snow characteristics, and snow removal processes.
Under typical conditions, temperature has a predominant effect on the output voltage, while irradiance has a lesser impact. In snowy conditions, where irradiance levels are low, both temperature and irradiance levels significantly influence the open-circuit voltage of a PV system. The open-circuit voltage under snowy conditions can be calculated as follows, taking into account G(h) as determined in (5):
V O C = V O C , S T C + V t l n ( G h × K s f G S T C + K V T T S T C )
where VOC,STC is the open circuit voltage at STC, and KV is the temperature coefficient of the open circuit voltage; these values are available in manufacturer datasheet. By obtaining VOC from (8), the saturation current of diode (Is) can be calculated as follows, considering the effect of temperature and irradiance:
I s = ( I p h V O C R s h ) / ( exp ( V O C α V t 1 ) )
The voltage and current at the maximum power point can be calculated as follows:
V M P P = V M P P , n + V t ln G h G S T C × K s f + K V ( T T S T C
I M P P = G h G S T C × K s f I M P P , n + K I T T S T C
where VMPP,n and IMPP,n are voltage and current at the MPP considering the standard test conditions.
In [11], snow removal processes were not addressed; however, this paper adopts the modified snow removal model presented in [14]. This model primarily considers snow sliding to be the main mechanism for snow clearance, thereby excluding snow melting and wind-driven snow removal. At the start of each day, the model verifies if snowfall has occurred. If snowfall is detected, it assumes the PV module being simulated is completely covered in snow. If no additional snowfall is recorded, the quantity of snow on the photovoltaic modules is set to remain at the level observed at the previous day’s end. Throughout each hour of a day, the PV array stays snow-covered unless the ambient temperature and the irradiance on the plane of the array (solar radiation received by the surface of the PV array) meet certain conditions, enabling snow sliding from the modules. The model assumes that snow uniformly slides off the PV modules. According to this model, snow sliding will occur if the following condition is satisfied [14,48]:
T > G m
where T stands the ambient temperature, G refers to the irradiance on the plane of the array, and m represents the value of -80 W/(m2°C), empirically defined by Marion [14]. If snow slides off the PV modules, the snow accumulation on the photovoltaic array will decrease by a factor A. The row height is segmented into ten parts by the model, so the snow shifts downward in steps of one-tenth of the row’s side length [14].
A = 0.1 ( 1.97 s i n β )
where β refers to the modules’ tilt angle.

3. Modules Configuration in a PV Array

A PV array consists of several PV modules that are connected to each other. The configurations that the modules are connected to form a PV array are different. Various configurations for connecting PV modules in an array have been proposed in the literature, each designed to optimize the performance under different environmental conditions. These configurations can be categorized into the following schemes: Series, Series-Parallel, Total Cross Tied (TCT), Bridge Linked (BL), and Honey-Comb (HC) [18]. The efficiency of a PV array is similar for all interconnections schemes under uniform irradiation on all modules of a PV array. However, under partial shading conditions or snowy conditions, the efficiency of a PV array can be different considering different interconnection shchemes.
In the present study, the performance of a 5 × 5 roof-mounted PV system with these interconnection schemes is examined under snowy conditions. The schematic of the PV array and the different array interconnections are presented in Figure 2.
In the series connection configuration, all modules are connected in series, as depicted in Figure 2b. In this setup, the array current is the same as the current of a single module, while the voltage of the array is the sum of the voltages of all modules.
In the Series-Parallel (SP) configuration, modules are first connected in series to form strings with the desired voltage. These strings are then connected in parallel to achieve the desired current, as shown in Figure 2c [19].
To create the Total Cross Tied (TCT) configuration, all modules are initially connected in parallel to form rows. Then, these rows are connected in series, as illustrated in Figure 2d.
In the Honey-Comb (HC) configuration, the modules are arranged in a pattern similar to the hexagonal structure of a honeycomb, as shown in Figure 2e [44].
In the Bridge Linked (BL) configuration, all modules in the array are connected using a bridge rectifier architecture, as shown in Figure 2f. This configuration helps improve the system’s reliability and power distribution.
For this study, a 5 × 5 roof-installed photovoltaic array is analyzed. The array is constructed using commercially available cadmium telluride FS-275 PV modules. Each module has a capacity of 75 W and consists of 116 cells connected in series, excluding bypass diodes. The voltage and current at the maximum power point (MPP) are 68.2 V and 1.10 A, respectively, while the open-circuit voltage (VOC) and short-circuit current (ISC) are 89.6 V and 1.23 A, respectively.
To reduce the risk of hot spotting under partial shading scenarios, bypass diodes are utilized. In such conditions, shaded cells may become reverse biased and act as loads, dissipating power and potentially causing hot spots [51]. To mitigate this risk, each module is equipped with a bypass diode connected in parallel, totaling 25 bypass diodes for the whole array. The specifications for this module are provided on the manufacturer’s website [52].
Different indices are used to study and evaluate the performance of the system including mismatch power loss due to snow and a global maximum power point (GMPP). The mismatching power loss (ΔPL (%)) can be calculated as [2]
Δ P L % = P M P P , S T C P P S C P M P P , S T C × 100
where PMPP,STC is the maximum power generated by a PV array at standard test conditions, and PPSC is the maximum power generated by PV array in partial shading condition.
It is important to note that snow coverage functions as a form of shading condition, which decreases the amount of irradiance received on the PV modules’ surface. In this study, PPSC refers to the maximum power generated by the PV array under snowy conditions. This power is impacted by factors such as snow depth, snow removal processes, and the resulting reduction in irradiance.

4. Simulation Results and Discussion

4.1. Simulations Results

The photovoltaic array mentioned earlier is employed to evaluate its performance in the presence of the snow, considering various scenarios. Under standard test conditions (STC), the array outputs the following parameters: PMPP,STC = 1875 W, VMPP,STC = 347 V, IMPP,STC = 5.4 A, ISC,STC = 6.06 A, VOC,STC = 460 V. This study considers the following conditions for all scenarios: module tilt angle= 30°, G(0) = 1000 W/m2, T = 25 °C. A tilt angle of 30° was selected based on a review of the literature, especially [12]. The work presented in this paper is valid for any tilt angle that is selected.
This section examines different scenarios to analyze the characteristic curves of the PV array, power losses, and other performance metrics under snowy conditions. These scenarios account for the impacts of snow coverage and snow sliding, which are modeled using the proposed method. Additionally, since factors like wind velocity and snow melt can influence snow clearing and the residual snow on the photovoltaic modules, other snow patterns are also considered. The performance of the system is evaluated by incorporating various module interconnection schemes.
Investigating the impact of different partial shading patterns is a common approach for assessing the performance of PV systems, as noted in several studies [19,20,22,25]. In this paper, a similar approach is applied to snow-covered modules to analyze the performance of a PV system under snowy conditions.
Scenario 1: This scenario investigates the impact of snow on the performance of the PV array when it is completely covered by consistent snow at various depths (h = 0 cm or STC for no snow, h = 1 cm, h = 2 cm, h = 3 cm, h = 4 cm, and h = 5 cm). This scenario is chosen because snow can accumulate on the modules to varying depths depending on the snowfall. Snow sliding is excluded from consideration in this test.
Figure 3 displays the characteristic curves (P-V and I-V) of the photovoltaic array. It is important to note that the P-V curves and the performance of the PV array for the SP, TCT, BL, and HC interconnection schemes are similar due to the uniform snow coverage. For the series interconnection, power losses and the maximum power point (GMPP) are similar to those of the other interconnections. However, the open circuit voltage (VOC) is five times higher than that of the other interconnections, and the short circuit current (ISC) is five times smaller.
As the snow accumulation on PV modules increases, the amount of irradiation decreases, causing the P-V and I-V curves to shift downward, indicating a decrease in the power output of the array.
In Scenario 1, the power losses and the impacts of varying snow depths on the performance of the PV array are summarized in Table 1. The indices ΔP (%), GMPP, open circuit voltage (VOC), and short circuit current (ISC) for different snow depths are provided.
Based on the results, the power loss increases significantly with the snow depth. Specifically, the power loss is 38.9% when the PV array is coated with 1 cm of snow and 93% when the depth is 5 cm. As the snow depth increases, both the VOC and ISC are reduced. Given that the snow coverage is evenly distributed across the whole PV array in this scenario, the bypass diodes remain deactive, meaning that the power losses are purely due to the shading caused by the snow coverage.
If the method described in [15] were used instead, the generated power of the PV array would be zero at any snow depth (h = 1 cm, h = 2 cm, h = 3 cm, h = 4 cm, and h = 5 cm), as the model assumes that snow completely prevents power generation.
In Scenario 2, the study investigates the impacts of snow shedding on a 1 cm snow depth coverage over the PV array, under the assumption that there is no wind. The snow evenly slides down the modules, which is common in real-world conditions.
Key operating conditions for the array are:
  • Module tilt angle = 30°
  • Ambient temperature (T) = 25 °C
  • Irradiance (G(0)) = 1000 W/m2
According to Equation (6), snow sliding occurs under these conditions, and based on Equation (7), the snow slides down by 0.1 of the array’s length per hour. Therefore, over a two-hour period, the snow sliding distance would be about 0.2 of the array length, equivalent to the length of single module in the study array (which is 5 × 5).
In this scenario, the snow coverage and snow sliding are depicted in Figure 4, for cases where the snow sliding is zero (A = 0) and when it slides by 0.2 (A = 0.2).
The study also considers other snow sliding levels (i.e., A = 0.4, A = 0.6, A = 0.8, and A = 1) for further analysis.
This scenario aims to simulate the real-world behavior of snow sliding on PV modules, providing insight into how varying snow sliding levels affect the array’s performance.
In Scenario 2, the P-V and I-V characteristic curves of various levels of snow sliding are presented in Figure 5, with various snow sliding stages:
  • A = 0: No snow sliding occurs, and the array is completely covered with uniform snow.
  • A = 0.2: After two hours of snow sliding.
  • A = 0.4: After four hours of snow sliding.
  • A = 0.6: After six hours of snow sliding.
  • A = 0.8: After eight hours of snow sliding.
  • A = 1: After ten hours, the array is completely clean, with no snow left.
As the snow moves down the modules, the clean areas receive more irradiance, while the remaining snow-covered areas receive less. This causes two maximum power points (MPP) to appear in the P-V curves for some snow sliding levels (A = 0.2, 0.4, 0.6, 0.8). The presence of two MPPs occurs because as snow slides down, the irradiance distribution across the array becomes non-uniform, creating both a local maximum power point (local MPP) and a global maximum power point (global MPP).
When snow slides, the clean modules (exposed to more irradiance) begin to generate power, and as a result, the bypass diodes become activated. This prevents reverse biasing of shaded cells and reduces the likelihood of damage due to hot spotting.
This scenario highlights how snow sliding improves the PV array’s performance by gradually reducing the snow coverage, allowing more modules to generate power and optimizing overall system efficiency.
As the snow slides down the PV array, the bypass diodes are activated at higher voltages, and this results in different maximum power points (MPP) occurring at varying voltage levels. This is especially evident in Scenario 2, where snow sliding affects the performance of the array.
For the SP, TCT, BL, and HC module interconnections, the P-V curves and performance are similar since the snow coverage and snow sliding level are uniform, and each module has a bypass diode in parallel. However, for the series interconnection scheme, the open circuit voltage (VOC) is 5 times higher than that of the other interconnection schemes, and the short circuit current (ISC) is 1/5 of the ISC in the other schemes. Despite these differences, the power losses and the global maximum power point (GMPP) remain similar to those of the other interconnection types.
The key performance indices, including ΔP (%), GMPP, VOC, and ISC, are summarized in Table 2 for various snow sliding levels:
  • Maximum power loss is observed at about 38.9% when the array is fully snow-covered (A = 0).
  • The lowest power loss occurs at 20%, which is associated with snow sliding level A = 0.8, where four rows of the array are clear and only one row remains fully covered with snow.
  • For A = 0 and A = 1, the P-V curves exhibit only single power point because the irradiance is uniform across modules, and no bypass diodes are triggered.
In summary, the snow sliding process leads to gradual improvement in the PV array’s performance by reducing power losses, increasing GMPP, and ensuring the array generates more power as snow slides off the modules. This improvement is reflected in the reduction of power losses from 38.9% at A = 0 (full snow coverage) to 20% at A = 0.8 (partial snow sliding).
Table 3 compares the Global Maximum Power Point (GMPP) of the PV array for different snow sliding levels when using the proposed model (the method presented in your study) and the model presented in [15]. Using the proposed method results in the PV array generating more power at each snow sliding level compared to the model in [15], where the power of the snow-covered modules is neglected. This highlights the advantage of the proposed model, as it more accurately reflects the real-world PV array in snow-covered conditions by considering partial power generation from snow-covered modules.
Scenario 3: In this scenario, different snow depths are applied to the individual rows of the PV array, reflecting the real-world conditions where snow accumulation varies across the modules due to the slope of the roof and other environmental factors such as wind. The detail of this scenario is as follows:
  • The study array consists of 5 rows with 5 modules per row.
  • The snow coverage is assumed to be uniform within each row, but different snow depths are considered for each row based on their position in the array. Upper rows (near the top of the array) accumulate less snow, while lower rows (towards the bottom) accumulate more snow due to the tilt of the array. The first upper row (modules #11 to #15) is covered with 1 cm of snow (as shown in Figure 6a), while the snow depth increases for the lower rows. This scenario is based on the observation that snow accumulation on tilted roofs can vary vertically. Additionally, the wind’s vertical component can influence the snow distribution across the array.
The results demonstrate how the snow coverage variation across different rows influences the array’s overall power generation, including the activation of bypass diodes and shifts in maximum power points.
In Scenario 3, the snow coverage varies across the rows of the 5 × 5 PV array, with the snow depth increasing as we move from the upper to the lower rows: h = 1 cm for the first row (#11 to #15), h = 2 cm for the second row (#21 to #25), h = 3 cm for the third row (#31 to #35), h = 4 cm for the fourth row (#41 to #45), and h = 5 cm for the fifth row (#51 to #55), as shown in Figure 6a. Snow sliding, as modeled in Scenario 2, is also considered in this scenario, with simulations performed every two hours to assess the array’s performance under different snow sliding levels (A = 0, A = 0.2, A = 0.4, A = 0.6, A = 0.8, A = 1). The P-V and I-V characteristic curves for these levels are shown in Figure 7, illustrating how snow sliding affects the performance of the array with varying snow depths across the rows.
In this scenario, the snow sliding trend for levels A = 0.4, A = 0.6, A = 0.8, and A = 1 follows a similar pattern to that observed for A = 0.2 in Figure 6b. For A = 0, where the array is fully covered in snow, the PV array generates the minimum power (284.7 W), and the P-V curve exhibits five maximum power points. These five points correspond to the activation of five bypass diodes, one for each row, due to the varying snow depths in each row. This pattern persists for A = 0.2, where five distinct levels of irradiation are received by the rows, as shown in Figure 6b. As snow slides down and the snow depth decreases, the number of maximum power points in the P-V curve decreases, with four points observed for A = 0.4 and continuing with fewer points as snow sliding increases.
The results from Scenario 3 show that the maximum power losses decrease significantly as snow slides down, from 84.8% for a fully snow-covered array (A = 0) to 20% for A = 0.8. As snow slides off, the open-circuit voltage (VOC) increases due to the higher irradiation received by the modules. This scenario demonstrates how power losses and the number of maximum power points in the P-V curve change during snow sliding on a non-uniformly snow-covered array. Similar trends are observed across different array interconnection schemes. Table 4 provides the detailed values for the global maximum power point (GMPP), power losses, VOC, and ISC at different snow sliding levels. Table 5 compares the GMPP for various snow sliding levels, showing that the proposed model allows the PV array to generate more power than the method presented in [15].
In Scenario 4, the snow depth on the modules of each row is different, but the same snow coverage pattern is applied to all five rows, as shown in Figure 8a. This scenario simulates the effect of non-uniform snow coverage in a roof-mounted PV array due to the horizontal component of wind, which can cause variations in snow depth within a row. For this scenario, uniform snow sliding is assumed, with conditions set as T = 25 °C, G = 1000 W/m2, and a tilt angle of 30°. Simulations are performed every two hours, corresponding to the snow sliding level of one complete row.
The PV array characteristic curves for SP, TCT, BL, and HC interconnections at different snow sliding levels (A = 0, A = 0.2, A = 0.4, A = 0.6, A = 0.8) are shown in Figure 9 and Figure 10.
At various snow sliding levels, two irradiation levels are observed at each column due to the location of bypass diodes and the module connection. Consequently, by adjusting the voltage of the array, only one bypass diode is activated, leading to two maximum power points on the P-V curve. As shown in Table 6, the power losses are 73% when the array is fully covered by snow (A = 0), but they decrease as the snow slides off, reaching 20.2% for A = 0.8. Initially, as snow begins to slide down, the global maximum power point corresponds to the second point on the P-V curve.
As snow sliding continues, the first maximum power point becomes the global one, causing a significant change in the voltage at which the maximum power point occurs. The results for all four interconnections (SP, TCT, BL, and HC) are very similar, with only minor differences observed. However, these differences are not significant, as they do not occur at the global maximum power points. This indicates that the interconnection scheme has a minimal impact on the global performance of the PV array under snow sliding conditions.
For the series interconnection scheme, the P-V and I-V curves, as shown in Figure 11, exhibit different characteristics compared to the other interconnection schemes, including a varying number of maximum power points. This behavior is attributed to the activation of bypass diodes and the specific module configuration within the array. The presence of multiple local maximum power points increases the difficulty in identifying the global maximum power point.
As shown in Table 7, when compared to other interconnections, the series interconnection results in higher power losses. These losses decrease from 84.8% when the array is fully snow-covered (A = 0) to 20.3% when A = 0.8, indicating improved performance as snow slides off the modules.
Table 8 compares the GMPP of the PV array for different snow sliding levels, when the proposed model and the method presented in [3] are used. It is observed that by using the proposed method, the PV array can generate more power in different snow sliding levels.
In Scenario 5, snow removal from PV modules is not solely reliant on sliding, as various factors influence the process, such as ambient temperature, wind speed, snow thickness, the type of snow, and the surface material of the modules. Based on these factors, different snow accumulation patterns are considered in Scenarios 5, 6, and 7 to investigate the array’s performance. These patterns take into account how snow may accumulate differently on modules, potentially leading to variations in power generation. The impact of these varying snow coverage conditions on the PV array’s performance is explored in detail for different configurations in these scenarios.
In Scenario 5, two distinct snow accumulation patterns are analyzed on the PV array, as shown in Figure 12. Pattern 1 involves the first column being clear, while the remaining columns are non-uniformly covered by snow. Pattern 2 has the first two columns clear, with the other columns covered non-uniformly by snow. These patterns occur when snow icing happens on the modules, particularly in shaded areas of the roof, leading to uneven snow coverage.
The resulting P-V and I-V characteristic curves for these two patterns, across different interconnection schemes (SP, TCT, BL, and HL), are presented in Figure 13 and Figure 14, respectively. For the series configuration, the characteristic curves are shown in Figure 15. In both patterns, regardless of the configuration, the P-V curves exhibit five maximum power points, though these points vary across different interconnection configurations.
In Pattern 1, the global maximum power points (GMPP) for the different interconnection configurations are as follows: 551.9 W for TCT, 530.3 W for SP, 519.7 W for BL, 523 W for HC, and 435.7 W for the series (S) configuration. It is evident that the TCT configuration achieves the highest GMPP, while the series configuration results in the lowest GMPP. In Pattern 2, a similar trend is observed, but due to the presence of two clean columns, the P-V and I-V curves are smoother compared to Pattern 1. The performance indices for this scenario are given in Table 9 and Table 10.
In Pattern 2, the minimum and maximum power losses are 60.7% and 50.9%, corresponding to the series (S) and TCT configurations, respectively. For all module interconnection schemes, VOC and ISC are the same, except for the series interconnection, where VOC is higher and ISC is lower. The results suggest that the TCT configuration performs the best, achieving the lowest power losses. Table 11 and Table 12 compare the global maximum power points (GMPP) of the PV array for different module interconnections in Scenario 5, using both the proposed model and the method from [15]. It is found that the GMPP is higher when the proposed model is used, as it allows the snow-covered modules to generate power depending on the snow depth on them.
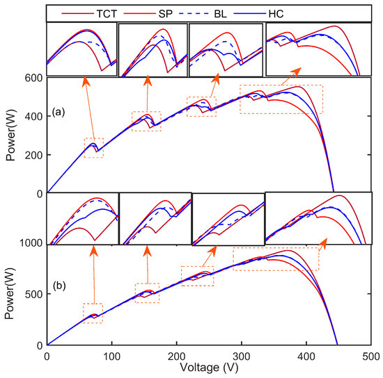
In Scenario 6, part of the PV array is non-uniformly covered by snow, as depicted in Figure 16. This pattern occurs when snow removal is inconsistent across the modules, with some parts of the array retaining snow longer due to factors like wind, icing, or shading. The performance of the roof-mounted PV array under this scenario was analyzed for all configurations, and the P-V and I-V curves are presented in Figure 17 and Figure 18. In this scenario, the P-V curves exhibit 3 or 4 maximum power points, caused by the activation of bypass diodes due to varying levels of irradiance on the modules. The global maximum power points (GMPP) for the different interconnection schemes are 1064 W for TCT, 987 W for SP, 960 W for BL, 923 W for HC, and 894 W for the series (S) interconnection scheme.
In this scenario, the VOC, ISC, and power losses for different interconnection configurations are provided in Table 13. The TCT configuration exhibits the lowest power losses, approximately 43.3%, while the SP and BL configurations follow with slightly higher losses. The series (S) configuration, however, experiences the highest power losses, around 52.3%. This trend highlights the superior performance of the TCT configuration in minimizing power losses when compared to the other interconnection schemes.
Table 14 compares the GMPP of the PV array for different module interconnections in Scenario 6, when the proposed model and the method presented in [3] are used.
In Scenario 7, a random snow coverage pattern, similar to the one used for partial shading in [44], is considered. This pattern results from non-uniform snow accumulation, snow melting, or snow removal on the modules, and may also be influenced by wind gusts. The snow coverage on the modules is illustrated in Figure 19. The system’s P-V and I-V curves for various interconnection configurations are shown in Figure 20 and Figure 21. In this scenario, the power losses for the different configurations are 59.1%, 65.7%, 63.3%, 66%, and 64.8% for the TCT, SP, BL, HC, and S configurations, respectively. It is observed that the TCT configuration achieves the best performance with the highest efficiency, generating about 767 W of power.
The maximum generated power, VOC, and ISC for all configurations in Scenario 7 are provided in Table 15. The HC configuration experiences the highest power losses in this scenario. Table 16 compares the GMPP of the PV array for different module interconnections in Scenario 7, using both the proposed model and the method presented in [15]. The results from all the studied scenarios demonstrate that the efficiency of a PV array can be significantly reduced under snowy conditions. However, the degree of this reduction depends on the snow accumulation and removal patterns. Additionally, the module interconnection scheme plays a critical role in determining system efficiency. Across all scenarios, the TCT configuration consistently exhibited the highest efficiency and the lowest system losses under snowy conditions.

4.2. Discussion

The simulation results of the proposed method show that by increasing the accumulated snow on the PV modules, the system efficiency is reduced. If the snow coverage on the modules is uniform and the snow sliding is not considered, the PV array with different interconnection schemes experience a similar efficiency. However, when a nonuniform snow coverage is considered and the snow removal is taken into consideration, the PV array with different interconnection schemes experience various efficiencies. The TCT interconnection has the maximum efficiency, and the series interconnections scheme has the minimum efficiency in most scenarios.
The efficiency of the snow-covered PV array considering different interconnection schemes can be calculated using the proposed model, based on the environmental factors. Then, a trade-off can be considered to select the most efficient interconnection scheme considering efficiency, structural complexity, and existing space of the planned site.

5. Conclusions

In this paper, the performance of a roof-mounted PV array under snowy conditions was modeled and analyzed. The model accounted for snow accumulation and removal on the modules. Various module interconnection schemes—Total Cross Tied (TCT), Series-Parallel (SP), Honey-Comb (HC), Series (S), and Bridge Linked (BL)—were studied to understand their impact on array efficiency under different snow accumulation and removal patterns. The findings indicate that while snowy conditions can reduce PV array efficiency, the extent of this reduction depends on the snow distribution and removal processes on the modules. Additionally, the interconnection configuration of the modules plays a significant role in the overall system performance. Based on the results, when the modules are fully covered by uniform snow, the power losses can increase from 38.9% to 93.2% for all interconnection schemes by increasing the accumulated snow from 1 cm to 5 cm. When the modules are covered by nonuniform snow and the snow removal is considered the TCT scheme has the minimum power losses and the maximum efficiency, depending on the accumulated snow pattern. For the worst scenario, the power loss is 70.1% for TCT, 71.7% for SP, 72% for HC, 72.3% for BL, and 76.7% for series interconnection. For the other scenarios, almost a similar trend can be observed where the TCT interconnection has the maximum efficiency, and the series interconnection has the minimum efficiency.

Author Contributions

Conceptualization, E.M. and G.M.; methodology, E.M. and A.C.; software, E.M.; validation, E.M., A.C. and G.M.; formal analysis, E.M. and G.M.; investigation, E.M. and G.M.; resources, E.M.; data curation, E.M. and A.C.; writing—original draft preparation, E.M.; writing—review and editing, G.M.; visualization, E.M. and A.C.; supervision, G.M.; project administration, E.M.; funding acquisition, G.M. All authors have read and agreed to the published version of the manuscript.

Funding

This research received no external funding.

Institutional Review Board Statement

Not applicable.

Informed Consent Statement

Not applicable.

Data Availability Statement

Data is unavailable due to privacy or ethical restrictions.

Conflicts of Interest

Authors E.M. and A.C. was employed by the company Electric Power Engineers LLC, The remaining authors declare that the research was conducted in the absence of any commercial or financial relationships that could be construed as a potential conflict of interest.

List of Symbols and Abbreviations

PVPhotovoltaic
SAMSystem Advisor Model
NRELNational Renewable Energy Laboratory
MPPTMaximum Power Point Tracking
STCStandard Test Conditions
SPSeries-Parallel
TCTTotal Cross Tied
BLBridge Linked
HCHoney-Comb
VOCOpen Circuit Voltage
ISCShort Circuit Current
ΔPPower losses
GMPPGlobal Maximum Power Point
IphPhotocurrent
ISDiode’s reverse saturation current,
AThe diode ideality factor
RsSeries resistance
RshShunt resistance
Isc,STCShort-circuit current under standard test conditions (STC)
Voc,STCOpen-circuit voltage at STC
TSTCTemperature at STC
Kv and KiThe temperature coefficients associated with the voltage and current characteristics of the PV cell
KsfThe impact of aging and dirt on the derating of photovoltaic cells
GSTCIrradiation level at STC
Iph,STCPhotocurrent at STC
GIrradiation on the surface of PV cell
G(0)The intensity of solar insolation on the snow-covered surface
hSnow cover depth
G(h)Insolation intensity at a depth h under the snow surface
KextThe extinction coefficient which depends on the properties of the snow
TAmbient temperature
ßModules’ tilt angle.

References

  1. Grisales-Noreña, L.F.; Ocampo-Toro, J.A.; Rosales-Muñoz, A.A.; Cortes-Caicedo, B.; Montoya, O.D. An Energy Management System for PV Sources in Standalone and Connected DC Networks Considering Economic, Technical, and Environmental Indices. Sustainability 2022, 14, 16429. [Google Scholar] [CrossRef]
  2. Mogrovejo-Narvaez, M.; Barragán-Escandón, A.; Zalamea-León, E.; Serrano-Guerrero, X. Barriers to the Implementation of On-Grid Photovoltaic Systems in Ecuador. Sustainability 2024, 16, 9466. [Google Scholar] [CrossRef]
  3. Jäger-Waldau, A. Snapshot of photovoltaics—February 2024. EPJ Photovolt. 2024, 15, 21. [Google Scholar] [CrossRef]
  4. Deline, C. Partially shaded operation of a grid-tied PV system. In Proceedings of the Conference Record of the IEEE Photovoltaic Specialists Conference, Philadelphia, PA, USA, 7–12 June 2009; pp. 001268–001273. [Google Scholar] [CrossRef]
  5. Namrata, S. Effect Of Snow On Solar Photovoltaic Systems In Alberta. Master’s Thesis, University of Calgary, Calgary, Alberta, 2016. [Google Scholar]
  6. Andrews, R.W.; Pollard, A.; Pearce, J.M. The effects of snowfall on solar photovoltaic performance. Sol. Energy 2013, 92, 84–97. [Google Scholar] [CrossRef]
  7. Powers, L.; Newmiller, J.; Townsend, T. Measuring and modeling the effect of snow on photovoltaic system performance. In Proceedings of the Conference Record of the IEEE Photovoltaic Specialists Conference, Honolulu, HI, USA, 20–25 June 2010; pp. 973–978. [Google Scholar] [CrossRef]
  8. Becker, G.E.; Schiebelserger, B.; Weber, W.A.; Schumacher, J.Ü.; Zehner, M.I.; Wortuba, G.; Vodermayer, C.H. Energy Yields of PV Systems-Comparison of Simulation and Reality. In Proceedings of the 23rd European Photovoltaic Solar Energy Conference and Exhibition, Valencia, Spain, 1–5 September 2008; pp. 3184–3186. [Google Scholar]
  9. Heidari, N.; Gwamuri, J.; Townsend, T.; Pearce, J.M. Impact of Snow and Ground Interference on Photovoltaic Electric System Performance. IEEE J. Photovolt. 2015, 5, 1680–1685. [Google Scholar] [CrossRef]
  10. Pawluk, R.E.; Chen, Y.; She, Y. Photovoltaic electricity generation loss due to snow—A literature review on influence factors, estimation, and mitigation. Renew. Sustain. Energy Rev. 2019, 107, 171–182. [Google Scholar] [CrossRef]
  11. Hosseini, S.; Taheri, S.; Farzaneh, M.; Taheri, H. Modeling of Snow-Covered Photovoltaic Modules. IEEE Trans. Ind. Electron. 2018, 65, 7975–7983. [Google Scholar] [CrossRef]
  12. Khenar, M.; Hosseini, S.; Taheri, S.; Cretu, A.; Pouresmaeil, E.; Taheri, H. Particle swarm optimisation-based model and analysis of photovoltaic module characteristics in snowy conditions. IET Renew. Power Gener. 2019, 13, 1950–1957. [Google Scholar] [CrossRef]
  13. Rahmatmand, A. Experimental and Numerical Investigation of Snow Removal from Photovoltaic Solar Panels. Ph.D. Dissertation, Queens University, Kingston, ON, Canada, 2018. [Google Scholar]
  14. Marion, B.; Schaefer, R.; Caine, H.; Sanchez, G. Measured and modeled photovoltaic system energy losses from snow for Colorado and Wisconsin locations. Sol. Energy 2013, 97, 112–121. [Google Scholar] [CrossRef]
  15. Ryberg, D.S.; Freeman, J. Integration, Validation, and Application of a PV Snow Coverage Model in SAM; Tech. Rep. NREL/TP-6A20-68705; National Renewable Energy Laboratory: Golden, CO, USA, 2017. [Google Scholar]
  16. Bidram, A.; Davoudi, A.; Balog, R.S. Control and circuit techniques to mitigate partial shading effects in photovoltaic arrays. IEEE J. Photovolt. 2012, 2, 532–546. [Google Scholar] [CrossRef]
  17. Ram, J.P.; Rajasekar, N. A new robust, mutated and fast tracking LPSO method for solar PV maximum power point tracking under partial shaded conditions. Appl. Energy 2017, 201, 45–59. [Google Scholar] [CrossRef]
  18. Zafar, M.H.; Khan, N.M.; Mirza, A.F.; Mansoor, M.; Akhtar, N.; Qadir, M.U.; Khan, N.A.; Moosavi, S.K.R. A novel meta-heuristic optimization algorithm based MPPT control technique for PV systems under complex partial shading condition. Sustain. Energy Technol. Assess. 2021, 47, 101367. [Google Scholar] [CrossRef]
  19. Mirza, A.F.; Mansoor, M.; Zhan, K.; Ling, Q. High-efficiency swarm intelligent maximum power point tracking control techniques for varying temperature and irradiance. Energy 2021, 228, 120602. [Google Scholar] [CrossRef]
  20. Krishnan, G.; Kinattingal, S.; Simon, S.P.; Srinivasa, P.; Nayak, R. MPPT in PV systems using ant colony optimisation with dwindling population. IET Renew. Power Gener. 2020, 14, 1105–1112. [Google Scholar] [CrossRef]
  21. Mohammadinodoushan, M.; Abbassi, R.; Jerbi, H.; Ahmed, F.W.; Ahmed, H.A.K.; Rezvani, A. A new MPPT design using variable step size perturb and observe method for PV system under partially shaded conditions by modified shuffled frog leaping algorithm- SMC controller. Sustain. Energy Technol. Assess. 2021, 45, 101056. [Google Scholar] [CrossRef]
  22. Yang, B.; Zhu, T.; Wang, J.; Shu, H.; Yu, T.; Zhang, X.; Yao, W.; Sun, L. Comprehensive overview of maximum power point tracking algorithms of PV systems under partial shading condition. J. Clean. Prod. 2020, 268, 121983. [Google Scholar] [CrossRef]
  23. Singh, Y.; Pal, N. Reinforcement learning with fuzzified reward approach for MPPT control of PV systems. Sustain. Energy Technol. Assess. 2021, 48, 101665. [Google Scholar] [CrossRef]
  24. Krishna, G.S.; Moger, T. Enhancement of maximum power output through reconfiguration techniques under non-uniform irradiance conditions. Energy 2019, 187, 115917. [Google Scholar] [CrossRef]
  25. Satpathy, P.R.; Sharma, R.; Jena, S. A shade dispersion interconnection scheme for partially shaded modules in a solar PV array network. Energy 2017, 139, 350–365. [Google Scholar] [CrossRef]
  26. Batzelis, E.I.; Georgilakis, P.S.; Papathanassiou, S.A. Energy models for photovoltaic systems under partial shading conditions: A comprehensive review. IET Renew. Power Gener. 2015, 9, 340–349. [Google Scholar] [CrossRef]
  27. Satpathy, P.R.; Sharma, R.; Dash, S. An efficient SD-PAR technique for maximum power generation from modules of partially shaded PV arrays. Energy 2019, 175, 182–194. [Google Scholar] [CrossRef]
  28. Satpathy, P.R.; Sharma, R. Power loss reduction in partially shaded PV arrays by a static SDP technique. Energy 2018, 156, 569–585. [Google Scholar] [CrossRef]
  29. Manjunath, M.; Reddy, B.V.; Lehman, B. Performance improvement of dynamic PV array under partial shade conditions using M2 algorithm. IET Renew. Power Gener. 2019, 13, 1239–1249. [Google Scholar] [CrossRef]
  30. Ye, C.-E.; Tai, C.-C.; Huang, Y.-P.; Chen, J.-J. Dispersed partial shading effect and reduced power loss in a PV array using a complementary SuDoKu puzzle topology. Energy Convers. Manag. 2021, 246, 114675. [Google Scholar] [CrossRef]
  31. Pillai, D.S.; Ram, J.P.; Shabunko, V.; Kim, Y.-J. A new shade dispersion technique compatible for symmetrical and unsymmetrical photovoltaic (PV) arrays. Energy 2021, 225, 120241. [Google Scholar] [CrossRef]
  32. Meerimatha, G.; Rao, B.L. Novel reconfiguration approach to reduce line losses of the photovoltaic array under various shading conditions. Energy 2020, 196, 117120. [Google Scholar] [CrossRef]
  33. Reddy, S.S.; Yammani, C. Odd-Even-Prime pattern for PV array to increase power output under partial shading conditions. Energy 2020, 213, 118780. [Google Scholar] [CrossRef]
  34. Bouselham, L.; Rabhi, A.; Hajji, B.; Mellit, A. Photovoltaic array reconfiguration method based on fuzzy logic and recursive least squares: An experimental validation. Energy 2021, 232, 121107. [Google Scholar] [CrossRef]
  35. Ajmal, A.M.; Babu, T.S.; Ramachandaramurthy, V.K.; Yousri, D.; Ekanayake, J.B. Static and dynamic reconfiguration approaches for mitigation of partial shading influence in photovoltaic arrays. Sustain. Energy Technol. Assess. 2020, 40, 100738. [Google Scholar] [CrossRef]
  36. Yang, B.; Shao, R.; Zhang, M.; Ye, H.; Liu, B.; Bao, T.; Wang, J.; Shu, H.; Ren, Y.; Ye, H. Socio-inspired democratic political algorithm for optimal PV array reconfiguration to mitigate partial shading. Sustain. Energy Technol. Assess. 2021, 48, 101627. [Google Scholar] [CrossRef]
  37. Rezazadeh, S.; Moradzadeh, A.; Hashemzadeh, S.M.; Pourhossein, K.; Mohammadi-Ivatloo, B.; Hosseini, S.H. A novel prime numbers-based PV array reconfiguration solution to produce maximum energy under partial shade conditions. Sustain. Energy Technol. Assess. 2021, 47, 101498. [Google Scholar] [CrossRef]
  38. Yang, Z.; Zhang, N.; Wang, J.; Liu, Y.; Fu, L. Improved non-symmetrical puzzle reconfiguration scheme for power loss reduction in photovoltaic systems under partial shading conditions. Sustain. Energy Technol. Assess. 2022, 51, 101934. [Google Scholar] [CrossRef]
  39. Fathy, A. Butterfly optimization algorithm based methodology for enhancing the shaded photovoltaic array extracted power via reconfiguration process. Energy Convers Manag 2020, 220, 113115. [Google Scholar] [CrossRef]
  40. Ajmal, A.M.; Ramachandaramurthy, V.K.; Naderipour, A.; Ekanayake, J.B. Comparative analysis of two-step GA-based PV array reconfiguration technique and other reconfiguration techniques. Energy Convers. Manag. 2021, 230, 113806. [Google Scholar] [CrossRef]
  41. Zhang, X.; Li, C.; Li, Z.; Yin, X.; Yang, B.; Gan, L.; Yu, T. Optimal mileage-based PV array reconfiguration using swarm reinforcement learning. Energy Convers. Manag. 2021, 232, 113892. [Google Scholar] [CrossRef]
  42. Rahman, S.A.; Varma, R.K.; Vanderheide, T. Generalised model of a photovoltaic panel. IET Renew. Power Gener. 2014, 8, 217–229. [Google Scholar] [CrossRef]
  43. Yang, Y.; Kim, K.A.; Blaabjerg, F.; Sangwongwanich, A. Advances in Grid-Connected Photovoltaic Power Conversion Systems; Woodhead Publishing: Cambridge, UK, 2018. [Google Scholar]
  44. Pendem, S.R.; Mikkili, S. Modelling and performance assessment of PV array topologies under partial shading conditions to mitigate the mismatching power losses. Sol. Energy 2018, 160, 303–321. [Google Scholar] [CrossRef]
  45. Rani, B.I.; Ilango, G.S.; Nagamani, C. Enhanced power generation from PV array under partial shading conditions by shade dispersion using Su Do Ku configuration. IEEE Trans Sustain Energy 2013, 4, 594–601. [Google Scholar] [CrossRef]
  46. Golroodbari, S.Z.M.; de Waal, A.C.; van Sark, W.G. Proof of concept for a novel and smart shade resilient photovoltaic module. IET Renew. Power Gener. 2019, 13, 2184–2194. [Google Scholar] [CrossRef]
  47. Warren, S.G. Optical properties of snow. Rev. Geophys. 1982, 20, 67. [Google Scholar] [CrossRef]
  48. Mohammadi, E.; Moschopoulos, G. Performance investigation of roof-mounted pv systems in snowy conditions considering snow coverage and snow removal process. In Proceedings of the IEEE Power and Energy Society General Meeting, Montreal, QC, Canada, 2–6 August 2020. [Google Scholar] [CrossRef]
  49. Domine, F.; Albert, M.; Huthwelker, T.; Jacobi, H.-W.; Kokhanovsky, A.A.; Lehning, M.; Picard, G.; Simpson, W.R. Snow physics as relevant to snow photochemistry. Atmos. Chem. Phys. 2008, 8, 171–208. [Google Scholar] [CrossRef]
  50. Mohammadi, E.; Khodabakhsh, J.; Moschopoulos, G.; Fadaeinedjad, R. A Study on the Performance of PV Modules in Snowy Conditions Considering Orientation of Modules. In Proceedings of the Canadian Conference on Electrical and Computer Engineering, London, ON, Canada, 30 August–2 September 2020. [Google Scholar] [CrossRef]
  51. Elbaset, A.; Hassan, M. Design and Power Quality Improvement of Photovoltaic Power System; Springer: Berlin/Heidelberg, Germany, 2017. [Google Scholar]
  52. First Solar, Inc. Available online: http://www.firstsolar.com/ (accessed on 1 October 2019).
Figure 1. Equivalent circuit of single-diode PV model.
Figure 1. Equivalent circuit of single-diode PV model.
Sustainability 17 00329 g001
Figure 2. PV array and different configurations. (a) Roof-mounted photovoltaic array schematic, (b) series, (c) SP, (d) TCT, (e) HC, (f) BL configuration.
Figure 2. PV array and different configurations. (a) Roof-mounted photovoltaic array schematic, (b) series, (c) SP, (d) TCT, (e) HC, (f) BL configuration.
Sustainability 17 00329 g002
Figure 3. The impacts of uniform snow coverage on the PV array performance with TCT, SP, HC, BL configurations and various snow depths in Scenario 1. (a) P-V curve, (b) I-V curve.
Figure 3. The impacts of uniform snow coverage on the PV array performance with TCT, SP, HC, BL configurations and various snow depths in Scenario 1. (a) P-V curve, (b) I-V curve.
Sustainability 17 00329 g003
Figure 4. Uniform snow coverage and snow sliding off the array for Scenario 2.
Figure 4. Uniform snow coverage and snow sliding off the array for Scenario 2.
Sustainability 17 00329 g004
Figure 5. The impacts of various snow sliding levels on the PV array performance considering the uniform snow coverage of h = 1 cm for all modules in Scenario 2. (a) P-V curve, (b) I-V curve.
Figure 5. The impacts of various snow sliding levels on the PV array performance considering the uniform snow coverage of h = 1 cm for all modules in Scenario 2. (a) P-V curve, (b) I-V curve.
Sustainability 17 00329 g005
Figure 6. Non-uniform snow on the array for Scenario 3. (a) for A = 0, (b) for A = 0.2.
Figure 6. Non-uniform snow on the array for Scenario 3. (a) for A = 0, (b) for A = 0.2.
Sustainability 17 00329 g006
Figure 7. Effect of different snow sliding levels on the PV array performance considering the non-uniform snow coverage for different rows of Scenario 3. (a) P-V curve, (b) I-V curve.
Figure 7. Effect of different snow sliding levels on the PV array performance considering the non-uniform snow coverage for different rows of Scenario 3. (a) P-V curve, (b) I-V curve.
Sustainability 17 00329 g007
Figure 8. Non-uniform snow on the array (Scenario 4). (a) for A = 0, (b) for A = 0.2.
Figure 8. Non-uniform snow on the array (Scenario 4). (a) for A = 0, (b) for A = 0.2.
Sustainability 17 00329 g008
Figure 9. Effect of different snow sliding levels on P-V curve in Scenario 4. (a) A = 1 (fully snow covered (blue curve)), STC (black curve), (b) A = 0.2, (c) A = 0.4, (d) A = 0.8 (scenario 4).
Figure 9. Effect of different snow sliding levels on P-V curve in Scenario 4. (a) A = 1 (fully snow covered (blue curve)), STC (black curve), (b) A = 0.2, (c) A = 0.4, (d) A = 0.8 (scenario 4).
Sustainability 17 00329 g009
Figure 10. Effect of different snow sliding levels on I-V curve in Scenario 4. (a) A = 1 (fully snow-covered (blue curve)), STC (black curve), (b) A = 0.2, (c) A = 0.4 and (d) A = 0.8.
Figure 10. Effect of different snow sliding levels on I-V curve in Scenario 4. (a) A = 1 (fully snow-covered (blue curve)), STC (black curve), (b) A = 0.2, (c) A = 0.4 and (d) A = 0.8.
Sustainability 17 00329 g010
Figure 11. The effects of different snow sliding levels (A) on the (a) P-V curve, (b) I-V curve of the PV array with series interconnection in Scenario 4.
Figure 11. The effects of different snow sliding levels (A) on the (a) P-V curve, (b) I-V curve of the PV array with series interconnection in Scenario 4.
Sustainability 17 00329 g011
Figure 12. Non-uniform snow coverage on the array for Scenario 5. (a) pattern 1, (b) pattern 2.
Figure 12. Non-uniform snow coverage on the array for Scenario 5. (a) pattern 1, (b) pattern 2.
Sustainability 17 00329 g012
Figure 13. P-V curves of the PV system in scenario 5 considering SP, TCT, BL, and HC configurations: (a) Pattern 1, (b) Pattern 2.
Figure 13. P-V curves of the PV system in scenario 5 considering SP, TCT, BL, and HC configurations: (a) Pattern 1, (b) Pattern 2.
Sustainability 17 00329 g013
Figure 14. I-V curves of the PV system in scenario 5 considering SP, TCT, BL, and HC configurations: (a) Pattern 1, (b) Pattern 2.
Figure 14. I-V curves of the PV system in scenario 5 considering SP, TCT, BL, and HC configurations: (a) Pattern 1, (b) Pattern 2.
Sustainability 17 00329 g014
Figure 15. Characteristic curves of the PV system in Scenario 5 considering S configuration (a) P-V, (b) I-V curves.
Figure 15. Characteristic curves of the PV system in Scenario 5 considering S configuration (a) P-V, (b) I-V curves.
Sustainability 17 00329 g015
Figure 16. Non-uniform snow coverage on the array for Scenario 6.
Figure 16. Non-uniform snow coverage on the array for Scenario 6.
Sustainability 17 00329 g016
Figure 17. Characteristic curves of the PV system in scenario 6 considering TCT, SP, Bl, and HC configurations: (a) P-V, (b) I-V curves.
Figure 17. Characteristic curves of the PV system in scenario 6 considering TCT, SP, Bl, and HC configurations: (a) P-V, (b) I-V curves.
Sustainability 17 00329 g017
Figure 18. Characteristic curves of the PV system in Scenario 6 considering S configuration (a) P-V, (b) I-V curves.
Figure 18. Characteristic curves of the PV system in Scenario 6 considering S configuration (a) P-V, (b) I-V curves.
Sustainability 17 00329 g018
Figure 19. Random snow coverage on the array (Scenario 7).
Figure 19. Random snow coverage on the array (Scenario 7).
Sustainability 17 00329 g019
Figure 20. Characteristic curves of the PV system in Scenario 7 considering TCT, SP, Bl, and HC configurations: (a) P-V, (b) I-V curves.
Figure 20. Characteristic curves of the PV system in Scenario 7 considering TCT, SP, Bl, and HC configurations: (a) P-V, (b) I-V curves.
Sustainability 17 00329 g020
Figure 21. Characteristic curves of the PV system in Scenario 7 considering S configuration (a) P-V, (b) I-V curves.
Figure 21. Characteristic curves of the PV system in Scenario 7 considering S configuration (a) P-V, (b) I-V curves.
Sustainability 17 00329 g021
Table 1. Performance indices for Test 1.
Table 1. Performance indices for Test 1.
ΔP (%)GMPP (W)VOC (V)ISC (A)
STC---18754606.06
h = 1 cm38.91144451.43.5
h = 2 cm 64675442.82.02
h = 3 cm79.2390434.21.16
h = 4 cm 88224425.60.67
h = 5 cm 93.21274170.39
Table 2. Performance indices for Scenario 2.
Table 2. Performance indices for Scenario 2.
ΔP (%)GMPP (W)VOC (V)ISC (A)
A = 0 (full snow)38.91144451.43.5
A = 0.237.41174453.26.06
A = 0.4 35.71206454.96.06
A = 0.633.81242456.66.06
A = 0.8 201496458.36.06
A = 1 (clean array) ---18754606.06
Table 3. Comparison of GMPP of the PV array considering the proposed model and model presented in [15] for scenario 2.
Table 3. Comparison of GMPP of the PV array considering the proposed model and model presented in [15] for scenario 2.
Proposed ModelModel Presented in [15]
A = 011440
A = 0.21174358
A = 0.41206737
A = 0.612421117
A = 0.814961496
A = 118751875
Table 4. Performance indices for scenario 3.
Table 4. Performance indices for scenario 3.
ΔP (%)GMPP (W)VOC (V)ISC (A)
A = 0 (fully snow-covered)84.8284.7434.33.5
A = 0.274.3482.1442.96.06
A = 0.4 60748.5449.76.06
A = 0.640.41116.7454.96.06
A = 0.8 201496458.36.06
A = 1 (clean array) ---18754606.06
Table 5. Comparison of the GMPP of the PV array considering the proposed model and model presented in [15] for scenario 3.
Table 5. Comparison of the GMPP of the PV array considering the proposed model and model presented in [15] for scenario 3.
Proposed ModelModel Presented in [15]
A = 0284.70
A = 0.2482.1358
A = 0.4785.5737
A = 0.611171117
A = 0.814961496
A = 118751875
Table 6. Performance indices for Scenario 4 (SP, TCT, BL, HC interconnections).
Table 6. Performance indices for Scenario 4 (SP, TCT, BL, HC interconnections).
ΔP (%)GMPP (W)VOC (V)ISC (A)
A = 0 (fully snow-covered)73512437.61.55
A = 0.272532.74426.05
A = 0.4 61737.6446.66.05
A = 0.6401116.74516.05
A = 0.8 20.21495.8455.56.05
A = 1 (clean array) --18754606.06
Table 7. Performance indices for Scenario 4 (series interconnection).
Table 7. Performance indices for Scenario 4 (series interconnection).
ΔP (%)GMPP (W)VOC (V)ISC (A)
A = 0 (fully snow-covered)84.8284.32170.60.7
A = 0.276.8435.82196.51.21
A = 0.4 61.7736.722221.21
A = 0.640.51115.822481.21
A = 0.8 20.3149522741.21
A = 1 (clean array) --187523001.21
Table 8. Comparison of GMPP of the PV array considering the proposed model and model presented in [15] for Scenario 4.
Table 8. Comparison of GMPP of the PV array considering the proposed model and model presented in [15] for Scenario 4.
Proposed ModelModel Presented in [15]
A = 0284.30
A = 0.2435.8358
A = 0.4736.7737
A = 0.61115.81117
A = 0.814951496
A = 118751875
Table 9. Performance indices for scenario 5 (pattern 1).
Table 9. Performance indices for scenario 5 (pattern 1).
ΔP (%)GMPP (W)VOC (V)ISC (A)
SP71.7530.3442.54
TCT70.1551.9442.54
BL 72.3519.7442.54
HC72523442.54
S 76.7435.72196.51.21
Table 10. Performance indices for scenario 5 (pattern 2).
Table 10. Performance indices for scenario 5 (pattern 2).
ΔP (%)GMPP (W)VOC (V)ISC (A)
SP54.2858.14484.52
TCT50.99214484.52
BL 53.58724484.52
HC53.6869.94484.52
S 60.7736.722221.21
Table 11. Comparison of the GMPP of the PV array in Scenario 5 (pattern 1) considering the proposed model and model presented in [15].
Table 11. Comparison of the GMPP of the PV array in Scenario 5 (pattern 1) considering the proposed model and model presented in [15].
Proposed ModelModel Presented in [15]
SP530.3373.8
TCT551.9373.8
BL519.7373.8
HC523373.8
S435.7357.6
Table 12. Comparison of the GMPP of the PV array in Scenario 5 (pattern 2) considering the proposed model and model presented in [15].
Table 12. Comparison of the GMPP of the PV array in Scenario 5 (pattern 2) considering the proposed model and model presented in [15].
Proposed ModelModel Presented in [15]
SP858.1749
TCT921749
BL872749
HC869.9749
S736.7736.7
Table 13. Performance indices for Scenario 6.
Table 13. Performance indices for Scenario 6.
ΔP (%)GMPP (W)VOC (V)ISC (A)
SP47.49874536.05
TCT43.310644536.05
BL 48.89604536.05
HC50.89234536.05
S 52.389422531.21
Table 14. Comparison of the GMPP of the PV array in Scenario 6 considering the proposed model and model presented in [16].
Table 14. Comparison of the GMPP of the PV array in Scenario 6 considering the proposed model and model presented in [16].
Proposed ModelModel Presented in [16]
SP987770.2
TCT1064823.2
BL960787.6
HC923762.7
S894723
Table 15. Performance indices for scenario 7.
Table 15. Performance indices for scenario 7.
ΔP (%)GMPP (W)VOC (V)ISC (A)
SP65.7643441.56.05
TCT59.1767445.73.49
BL 63.3688443.24.98
HC66638441.55.54
S 64.866122071.21
Table 16. Comparison of the GMPP of the PV array in Scenario 7 considering the proposed model and model presented in [16].
Table 16. Comparison of the GMPP of the PV array in Scenario 7 considering the proposed model and model presented in [16].
Proposed ModelModel Presented in [16]
SP643590
TCT767597.6
BL688523.3
HC638494.9
S661509
Disclaimer/Publisher’s Note: The statements, opinions and data contained in all publications are solely those of the individual author(s) and contributor(s) and not of MDPI and/or the editor(s). MDPI and/or the editor(s) disclaim responsibility for any injury to people or property resulting from any ideas, methods, instructions or products referred to in the content.

Share and Cite

MDPI and ACS Style

Mohammadi, E.; Moschopoulos, G.; Chen, A. Boosting Solar Sustainability: Performance Assessment of Roof-Mounted PV Arrays Under Snow Considering Various Module Interconnection Schemes. Sustainability 2025, 17, 329. https://doi.org/10.3390/su17010329

AMA Style

Mohammadi E, Moschopoulos G, Chen A. Boosting Solar Sustainability: Performance Assessment of Roof-Mounted PV Arrays Under Snow Considering Various Module Interconnection Schemes. Sustainability. 2025; 17(1):329. https://doi.org/10.3390/su17010329

Chicago/Turabian Style

Mohammadi, Ebrahim, Gerry Moschopoulos, and Aoxia Chen. 2025. "Boosting Solar Sustainability: Performance Assessment of Roof-Mounted PV Arrays Under Snow Considering Various Module Interconnection Schemes" Sustainability 17, no. 1: 329. https://doi.org/10.3390/su17010329

APA Style

Mohammadi, E., Moschopoulos, G., & Chen, A. (2025). Boosting Solar Sustainability: Performance Assessment of Roof-Mounted PV Arrays Under Snow Considering Various Module Interconnection Schemes. Sustainability, 17(1), 329. https://doi.org/10.3390/su17010329

Note that from the first issue of 2016, this journal uses article numbers instead of page numbers. See further details here.

Article Metrics

Back to TopTop