Research on Alkali-Activated Systems Based on Solid Waste-Derived Activators: A Review
Abstract
1. Introduction
2. Alkali-Activation Mechanism and the Effect of Activators
2.1. Alkali-Activated High-Calcium Systems
2.2. Alkali-Activated Low-Calcium Systems
3. Classification of Industrial-Grade Activators
3.1. Alkali/Alkaline Earth Metal Hydroxide Activators
3.2. Alkali Metal Silicate/Chloride/Nitrate Activators
4. Solid Waste-Derived Activators
4.1. Waste-Derived Activators with CaO
4.2. Waste-Derived Activators with K2O and Na2O
4.3. Waste-Derived Activators with SiO2
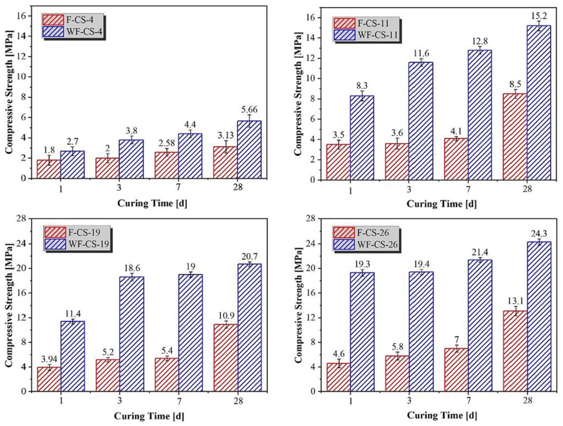
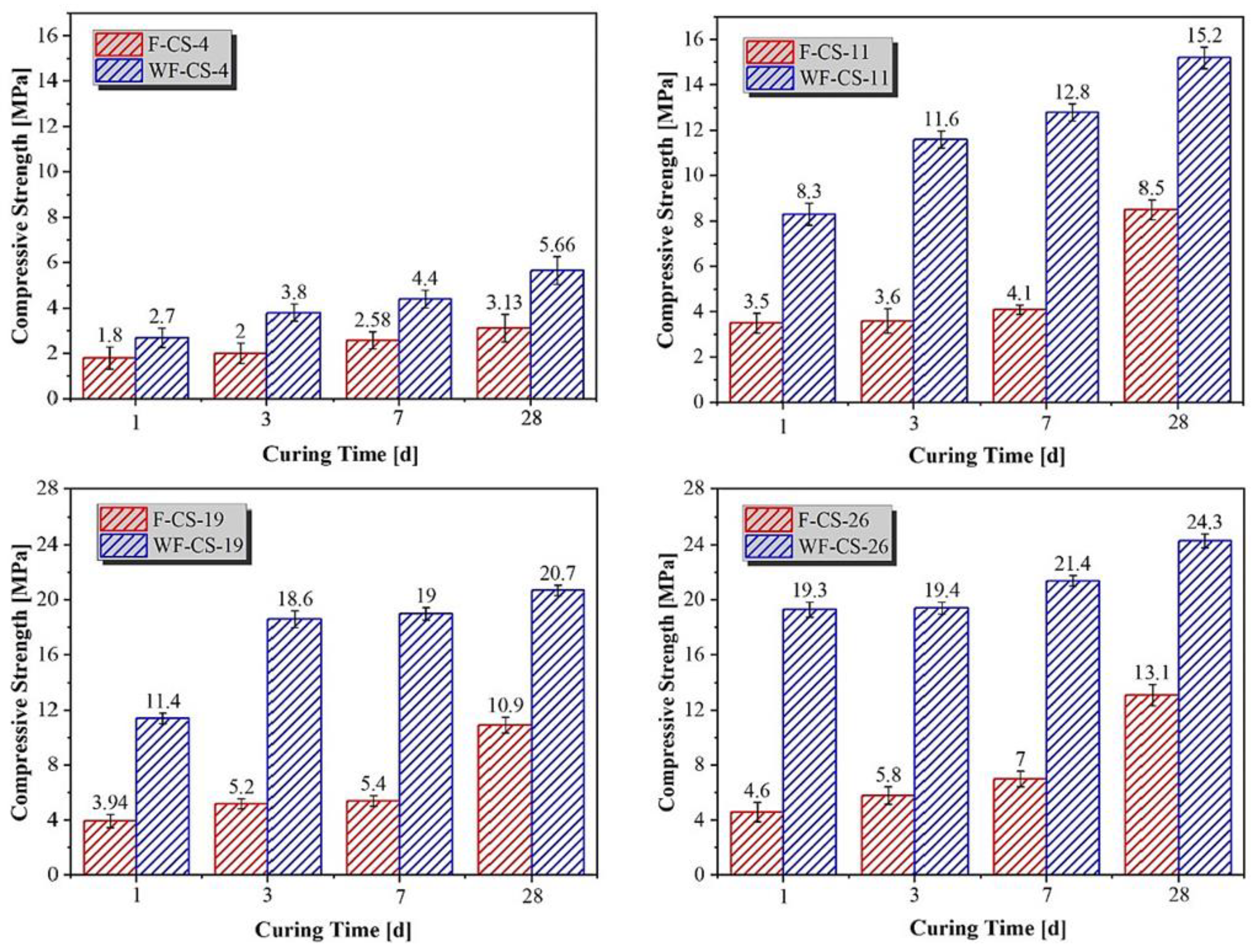
4.4. Discussion of the Activated Effect of Solid Waste-Derived Activators
5. Conclusions
Author Contributions
Funding
Institutional Review Board Statement
Informed Consent Statement
Data Availability Statement
Conflicts of Interest
References
- Alnahhal, M.F.; Kim, T.; Hajimohammadi, A. Waste-derived activators for alkali-activated materials: A review. Cem. Concr. Compos. 2021, 118, 103980. [Google Scholar] [CrossRef]
- Rao, F.; Liu, Q. Geopolymerization and its potential application in mine tailings consolidation: A review. Miner. Process. Extr. Met. Rev. 2015, 36, 399–409. [Google Scholar] [CrossRef]
- Davidovits, J. False values on CO2 emission for geopolymer cement/concrete published in scientific papers. Geopolymer Instit. Libr. 2015, 24, 1–9. [Google Scholar]
- Carreño-Gallardo, C.; Tejeda-Ochoa, A.; Perez-Ordonez, O.I.; Ledezma-Sillas, J.E.; Lardizabal-Gutierrez, D.; Prieto-Gomez, C.; Valenzuela-Grado, J.A.; Robles Hernandez, F.C.; Herrera-Ramirez, J.M. In the CO2 emission remediation utilizing alternative geopolymers as substitutes for cements. J. Environ. Chem. Eng. 2018, 6, 4878–4884. [Google Scholar] [CrossRef]
- Guo, S.; Wu, Y.; Jia, Z.; Qi, X.; Wang, W. Sodium-based activators in alkali-activated materials: Classification and comparison. J. Build. Eng. 2023, 70, 106397. [Google Scholar] [CrossRef]
- Awoyera, P.; Adesina, A. A critical review on application of alkali-activated slag as a sustainable composite binder. Case Stud. Constr. Mater. 2019, 11, 00268. [Google Scholar] [CrossRef]
- Ślosarczyk, A.; Fořt, J.; Klapiszewska, I.; Thomas, M.; Klapiszewski, Ł.; Černý, R. A literature review of the latest trends and perspectives regarding alkali-activated materials in terms of sustainable development. J. Mater. Res. Technol. 2023, 25, 5394–5425. [Google Scholar] [CrossRef]
- Chen, B.; Perumal, P.; Aghabeyk, F.; Adediran, A.; Illikainen, M.; Guang, Y. Advances in using municipal solid waste incineration (MSWI) bottom ash as a precursor for alkali-activation materials: A critical review. Resour. Conserv. Recycl. 2024, 204, 107516. [Google Scholar] [CrossRef]
- Tong, K.T.; Vinai, R.; Soutsos, M.N. Use of Vietnamese rice husk ash for the production of sodium silicate as the activator for alkali-activated binders. J. Clean. Prod. 2018, 201, 272–286. [Google Scholar] [CrossRef]
- Sajid, M.; Bai, C.; Aamir, M.; You, Z.; Yan, Z.; Lv, X. Understanding the Structure and Structural Effects on the Properties of Blast Furnace Slag (BFS). ISIJ Int. 2019, 59, 1153–1166. [Google Scholar] [CrossRef]
- Jiang, C.; Zhang, H.; Xiong, Z.; Chen, S.; Li, K.; Zhang, J.; Liang, W.; Sun, M.; Wang, Z.; Wang, L. Molecular dynamics investigations on the effect of Na2O on the structure and properties of blast furnace slag under different basicity conditions. J. Mol. Liq. 2020, 299, 112195. [Google Scholar] [CrossRef]
- Gluhovosky, V.D. High strength slag-alkaline cement. In Proceedings of the 7th International Congress on the Chemistry of Cements, Paris, France, 30 June–4 July 1980; pp. 164–167. [Google Scholar]
- Xu, B.; Pu, X. Study on the micro-phase-separation structure of slag glasses. J. Chongqing Jianzhu Univ. 1997, 19, 53–60. (In Chinese) [Google Scholar]
- Sun, J.; Zhu, P.; Wu, C. Exploration of hydration mechanism of slag under alkaline solution excitation. Silic. Bull. 1988, 6, 16–25. (In Chinese) [Google Scholar]
- White, C.E.; Daemen, L.L.; Hartl, M.; Page, K. Intrinsic differences in atomic ordering of calcium (alumino)silicate hydrates in conventional and alkali-activated cements. Cem. Concr. Res. 2015, 67, 66–73. [Google Scholar] [CrossRef]
- Zhang, L.; Ma, Y.; Ouyang, X.; Fu, J.; Li, Z. Effect of CaO on the shrinkage and microstructure of alkali-activated slag/fly ash microsphere. Constr. Build. Mater. 2024, 421, 135672. [Google Scholar] [CrossRef]
- Palomo, Á.; Krivenko, P.; Garcia-Lodeiro, I.; Kavalerova, E.; Maltseva, A.; Fernández-Jiménez, A. A review on alkaline activation: New analytical perspectives. Mater. Constr. 2014, 315, e022. [Google Scholar] [CrossRef]
- Caron, R.; Patel, R.A.; Miron, G.D.; Galliard, C.L.; Lothenbach, B.; Dehn, F. Microstructure development of slag activated with sodium silicate solution: Experimental characterization and thermodynamic modeling. J. Build. Eng. 2023, 71, 106398. [Google Scholar] [CrossRef]
- Krishna, R.S.; Mishra, J.; Zribi, M.; Adeniyi, F.; Saha, S.; Baklouti, S.; Shaikh, F.U.A.; Gökçe, H.S. A review on developments of environmentally friendly geopolymer technology. Materialia 2021, 20, 101212. [Google Scholar] [CrossRef]
- Chen, X.; Zhang, J.; Lu, M.; Chen, B.; Gao, S.; Bai, J.; Zhanh, H.; Yang, Y. Study on the effect of calcium and sulfur content on the properties of fly ash based geopolymer. Constr. Build. Mater. 2022, 314, 125650. [Google Scholar] [CrossRef]
- Garcia-Lodeiro, I.; Palomo, A.; Fernandez-Jimenez, A. An Overview of the Chemistry of Alkali-Activated Cement-Based Binder. In Handbook of Alkali-Activated Cements, Mortars and Concretes; Woodhead Publishing: Oxford, UK, 2015; pp. 19–47. [Google Scholar]
- Mendes, B.C.; Pedroti, L.G.; Vieira, C.M.F.; Marvila, M.; Azevedo, A.R.G.; Carvalho, J.M.F.; Ribeiro, J.C.L. Application of eco-friendly alternative activators in alkali-activated materials: A review. J. Build. Eng. 2021, 35, 102010. [Google Scholar] [CrossRef]
- Wu, Y.; Yang, J. A design method of alkali-activated binder based on all-solid-waste. J. Changsha Univ. Technol. (Nat. Sci. Ed.) 2023, 20, 25–40. (In Chinese) [Google Scholar]
- Cong, P.; Cheng, Y. Advances in geopolymer materials: A comprehensive review. J. Traffic Transp. Eng. (Engl. Ed.) 2021, 8, 283–314. [Google Scholar] [CrossRef]
- Xiao, Q.; Tang, Z.; Xiang, Y.; Cai, Y.; Wang, J.; Xu, W.; Long, G. Early age reaction, rheological properties, and environment impact of NaOH-activated fly ash mixtures at ambient environment. J. Build. Eng. 2024, 88, 109145. [Google Scholar] [CrossRef]
- Tho-In, T.; Sata, V.; Boonserm, K.; Chindaprasirt, P. Compressive strength and microstructure analysis of geopolymer paste using waste glass powder and fly ash. J. Clean. Prod. 2018, 172, 2892–2898. [Google Scholar] [CrossRef]
- Adewumi, A.A.; Ariffin, M.A.M.; Yusuf, M.O.; Maslehuddin, M.; Ismail, M. Effect of sodium hydroxide concentration on strength and microstructure of alkali-activated natural pozzolan and limestone powder mortar. Constr. Build. Mater. 2021, 271, 121530. [Google Scholar] [CrossRef]
- Zuo, Y.; Nedeljković, M.; Ye, G. Coupled thermodynamic modelling and experimental study of sodium hydroxide activated slag. Constr. Build. Mater. 2018, 188, 262–279. [Google Scholar] [CrossRef]
- Wang, X.; Lan, Q.; Lin, H.; Wang, Y.; Wu, W.; Xu, L.; Fu, L.; Li, C. Effects of alkali activator on the chloride-ion permeability of one-part alkali-activated nickel slag concrete. Case Stud. Constr. Mater. 2024, 20, e02970. [Google Scholar] [CrossRef]
- Phoo-Ngernkham, T.; Maegawa, A.; Mishima, N.; Hatanaka, S.; Chindaprasirt, P. Effects of sodium hydroxide and sodium silicate solutions on compressive and shear bond strengths of FA–GBFS geopolymer. Constr. Build. Mater. 2015, 91, 1–8. [Google Scholar] [CrossRef]
- Cui, H.; Cheng, H.; Huang, T.; Yang, F.; Lan, H.; Li, J. Effect of different activators on properties of slag-gold tailings-red mud ternary composite. Sustainability 2022, 14, 13573. [Google Scholar] [CrossRef]
- Lima, V.M.E.; Basto, P.A.; Henrique, M.A.; Almeida, Y.M.B.; Neto, A.D.M. Optimizing the concentration of Na2O in alkaline activators to improve mechanical properties and reduce costs and CO2 emissions in alkali-activated mixtures. Constr. Build. Mater. 2022, 344, 128185. [Google Scholar] [CrossRef]
- Gardner, D.W.; Li, J.; Morshedifard, A.; Saeed, M.; Qomi, A.; Javad, M.; Monteiro, J.; Roya, M.; Carlo, C. Silicate bond characteristics in calcium–silicate–hydrates determined by high pressure raman spectroscopy. J. Phys. Chem. C 2020, 124, 18335–18345. [Google Scholar] [CrossRef]
- Awang, H.; Isa, M.N. Characteristics of palm oil fuel ash geopolymer mortar activated with wood ash lye cured at ambient temperature. J. Build. Eng. 2023, 66, 105851. [Google Scholar]
- Zheng, Y.; Rao, F.; Yang, L.; Zhong, S. Comparison of ternary and dual combined waste-derived alkali activators on the durability of volcanic ash-based geopolymers. Cem. Concr. Compos. 2023, 136, 104886. [Google Scholar] [CrossRef]
- Provis, J.L. Alkali-activated materials. Cem. Concr. Res. 2018, 114, 40–48. [Google Scholar] [CrossRef]
- Yu, S.; He, J.; Sang, G.; Yang, S.; Liu, G. Study on hydration process of alkali-activated slag cement activated by weakly alkaline components. Constr. Build. Mater. 2024, 413, 134716. [Google Scholar] [CrossRef]
- Yang, J.; Zhang, Q.; He, X.; Su, Y.; Zeng, J.; Xiong, L.; Zeng, L.; Yu, X.; Tan, H. Low-carbon wet-ground fly ash geopolymer activated by single calcium carbide slag. Constr. Build. Mater. 2022, 353, 129084. [Google Scholar] [CrossRef]
- An, Q.; Pan, H.; Zhao, Q.; Wang, D. Strength development and microstructure of sustainable geopolymers made from alkali-activated ground granulated blast-furnace slag, calcium carbide residue, and red mud. Constr. Build. Mater. 2022, 356, 129279. [Google Scholar] [CrossRef]
- Shi, Y.; Zhao, Q.; Xue, C.; Jia, Y.; Guo, W.; Zhang, Y.; Qiu, Y. Preparation and curing method of red mud-calcium carbide slag synergistically activated fly ash-ground granulated blast furnace slag based eco-friendly geopolymer. Cem. Concr. Compos. 2023, 139, 104999. [Google Scholar] [CrossRef]
- Kolhe, S.S.; Chang, T.P.; Chen, C.T.; Shih, J.Y. Potential application of thermally treated calcium carbide residue as solid CaO activator for No-cement slag-FGDG composite. Constr. Build. Mater. 2022, 359, 129530. [Google Scholar] [CrossRef]
- Li, W.; Yi, Y. Use of carbide slag from acetylene industry for activation of ground granulated blast-furnace slag. Constr. Build. Mater. 2020, 238, 117713. [Google Scholar] [CrossRef]
- Lin, S.; Zheng, Y.; Liu, W.; Ma, H.; Rao, F.; Yang, L.; Zhong, S. Consolidation of phosphorus tailings and soluble fluorine & phosphorus with calcium carbide residue-mirabilite waste as a green alkali activator. Case Stud. Constr. Mater. 2023, 18, e01779. [Google Scholar]
- Mavroulidou, M.; Shah, S. Alkali-activated slag concrete with paper industry waste. Waste Manag. Res. 2021, 39, 466–472. [Google Scholar] [CrossRef] [PubMed]
- Gong, X.; Zhang, T.; Zhang, J.; Wang, Z.; Liu, J.; Cao, J.; Wang, C. Recycling and utilization of calcium carbide slag-current status and new opportunities. Renew. Sustain. Energy Rev. 2022, 159, 112133. [Google Scholar] [CrossRef]
- Zhao, X.; Yang, Z.; Lin, X.; Ma, H.; Shen, W. Development status of comprehensive utilization of carbide slag. China Chlor-Alkali 2016, 7, 43–47. (In Chinese) [Google Scholar]
- Cong, P.; Cheng, Y.; Ge, W.; Zhang, A. Mechanical, microstructure and reaction process of calcium carbide slag-waste red brick powder based alkali-activated materials (CWAAMs). J. Clean. Prod. 2022, 331, 129845. [Google Scholar] [CrossRef]
- Sun, X.; Liu, J.; Qiu, J.; Wu, P.; Zhao, Y. Alkali activation of blast furnace slag using a carbonate-calcium carbide residue alkaline mixture to prepare cemented paste backfill. Constr. Build. Mater. 2022, 320, 126234. [Google Scholar] [CrossRef]
- Liew, Y.M.; Heah, C.Y.; Mohd Mustafa, A.B.; Hussin, K. Structure and properties of clay-based geopolymer cements: A review. Prog. Mater. Sci. 2016, 83, 595–629. [Google Scholar] [CrossRef]
- Guo, W.; Zhang, Z.; Bai, Y.; Zhao, G.; Sang, Z.; Zhao, Q. Development and characterization of a new multi-strength level binder system using soda residue-carbide slag as composite activator. Constr. Build. Mater. 2021, 291, 123367. [Google Scholar] [CrossRef]
- Pacheco-Torgal, F.; Castro-Gomes, J.P.; Jalali, S. Investigations on mix design of tungsten mine waste geopolymeric binder. Constr. Build. Mater. 2008, 22, 1939–1949. [Google Scholar] [CrossRef]
- Jeong, Y.; Yum, W.S.; Moon, J.; Oh, J.E. Utilization of precipitated CaCO3 from carbon sequestration of industrially emitted CO2 in cementless CaO-activated blast-furnace slag binder system. J. Clean. Prod. 2017, 166, 649–659. [Google Scholar] [CrossRef]
- Kadhim, A.; Sadique, M.; Al-Mufti, R.; Hashim, K. Long-term performance of novel high-calcium one-part alkali-activated cement developed from thermally activated lime kiln dust. J. Build. Eng. 2020, 32, 101766. [Google Scholar] [CrossRef]
- Wang, K.; Du, L.; Lv, X.; He, Y.; Cui, X. Preparation of drying powder inorganic polymer cement based on alkali-activated slag technology. Powder Technol. 2017, 312, 204–209. [Google Scholar] [CrossRef]
- Yu, H.; Yi, Y.; Unluer, C. Heat of hydration, bleeding, viscosity, setting of Ca(OH)2-GGBS and MgO-GGBS grouts. Constr. Build. Mater. 2021, 270, 121839. [Google Scholar] [CrossRef]
- Guo, X.; Shi, H.; Dick, W.A. Compressive strength and microstructural characteristics of class C fly ash geopolymer. Cem. Concr. Compos. 2010, 32, 142–147. [Google Scholar] [CrossRef]
- He, X.; Zheng, Z.; Yang, J.; Su, Y.; Wang, T.; Strnadel, B. Feasibility of incorporating autoclaved aerated concrete waste for cement replacement in sustainable building materials. J. Clean. Prod. 2020, 250, 119455. [Google Scholar] [CrossRef]
- Lima, F.S.; Gomes, T.C.F.; Moraes, J.C.B. Effect of coffee husk ash as alkaline activator in one-part alkali-activated binder. Constr. Build. Mater. 2023, 362, 129799. [Google Scholar] [CrossRef]
- Font, A.; Soriano, L.; Moraes, J.C.B.; Tashima, M.M.; Monzó, J.; Borrachero, M.V.; Payá, J. A 100% waste-based alkali-activated material by using olive-stone biomass ash (OBA) and blast furnace slag (BFS). Mater. Lett. 2017, 203, 46–49. [Google Scholar] [CrossRef]
- Fořt, J.; Mildner, M.; Keppert, M.; Černý, R. Waste solidified alkalis as activators of aluminosilicate precursors: Functional and environmental evaluation. J. Build. Eng. 2022, 54, 104598. [Google Scholar] [CrossRef]
- Sun, K.; Ali, H.A.; Xuan, D.; Ban, J.; Poon, C. Utilization of APC residues from sewage sludge incineration process as activator of alkali-activated slag/glass powder material. Cem. Concr. Compos. 2022, 133, 104680. [Google Scholar] [CrossRef]
- Rasmus, J.; Ohenoja, K.; Oksanen, J.; Adesanya, E.; Kinnunen, P.; Illikainen, M. Alternative alkali activator from pulp mill waste–One-part blast furnace slag mortar activated with recovery boiler fly ash. J. Build. Eng. 2023, 76, 107113. [Google Scholar] [CrossRef]
- Adesanya, E.; Ohenoja, K.; Di Maria, A.; Kinnunen, P.; Illikainen, M. Alternative alkali-activator from steel-making waste for one-part alkali-activated slag. J. Clean. Prod. 2020, 274, 123020. [Google Scholar] [CrossRef]
- Rivera, O.G.; Long, W.R.; Weiss, J.R.C.A.; Moser, R.D.; Williams, B.A.; Torres-Cancel, K.; Gore, E.G.; Allison, P.G. Effect of elevated temperature on alkali-activated geopolymeric binders compared to portland cement-based binders. Cem. Concr. Res. 2016, 90, 43–51. [Google Scholar] [CrossRef]
- Alnahhal, M.F.; Hamdan, A.; Hajimohammadi, A.; Kim, T. Effect of rice husk ash-derived activator on the structural build-up of alkali activated materials. Cem. Concr. Res. 2021, 150, 106590. [Google Scholar] [CrossRef]
- Kallamalayil Nassar, A.; Kathirvel, P. Effective utilization of agricultural waste in synthesizing activator for sustainable geopolymer technology. Constr. Build. Mater. 2023, 362, 129681. [Google Scholar] [CrossRef]
- Tchakouté, H.K.; Rüscher, C.H.; Kong, S.; Kamseu, E.; Leonelli, C. Geopolymer binders from metakaolin using sodium waterglass from waste glass and rice husk ash as alternative activators: A comparative study. Constr. Build. Mater. 2016, 114, 276–289. [Google Scholar] [CrossRef]
- Luukkonen, T.; Abdollahnejad, Z.; Yliniemi, J.; Kinnunen, P.; Illikainen, M. Comparison of alkali and silica sources in one-part alkali-activated blast furnace slag mortar. J. Clean. Prod. 2018, 187, 171–179. [Google Scholar] [CrossRef]
- Mejía, J.M.; De Mejía Gutiérrez, R.; Montes, C. Rice husk ash and spent diatomaceous earth as a source of silica to fabricate a geopolymeric binary binder. J. Clean. Prod. 2016, 118, 133–139. [Google Scholar] [CrossRef]
- El-Naggar, M.R.; El-Dessouky, M.I. Re-use of waste glass in improving properties of metakaolin-based geopolymers: Mechanical and microstructure examinations. Constr. Build. Mater. 2017, 132, 543–555. [Google Scholar] [CrossRef]
- Puertas, F.; Torres-Carrasco, M. Use of glass waste as an activator in the preparation of alkali-activated slag. Mechanical strength and paste characterisation. Cem. Concr. Res. 2014, 57, 95–104. [Google Scholar] [CrossRef]
- Choeycharoen, P.; Sornlar, W.; Wannagon, A. A sustainable bottom ash-based alkali-activated materials and geopolymers synthesized by using activator solutions from industrial wastes. J. Build. Eng. 2022, 54, 104659. [Google Scholar] [CrossRef]
- Hossain, S.S.; Roy, P.K.; Bae, C.J. Utilization of waste rice husk ash for sustainable geopolymer: A review. Constr. Build. Mater. 2021, 310, 125218. [Google Scholar] [CrossRef]
- Jittin, V.; Bahurudeen, A.; Ajinkya, S.D. Utilisation of rice husk ash for cleaner production of different construction products. J. Clean. Prod. 2020, 263, 121578. [Google Scholar] [CrossRef]
- Bahri, S.; Mahmud, H.B.; Shafigh, P. Effect of utilizing unground and ground normal and black rice husk ash on the mechanical and durability properties of high-strength concrete. Sādhanā 2018, 43, 22. [Google Scholar] [CrossRef]
- Le, H.T.; Nguyen, S.T.; Ludwig, H.M. A Study on High Performance Fine-Grained Concrete Containing Rice Husk Ash. Int. J. Concr. Struct. Mater. 2014, 8, 301–307. [Google Scholar] [CrossRef]
- Istuque, D.B.; Payá, J.; Soriano, L.; Borrachero, M.V.; Monzó, J.; Tashima, M.M. The role of dissolved rice husk ash in the development of binary blast furnace slag-sewage sludge ash alkali-activated mortars. J. Build. Eng. 2022, 52, 104472. [Google Scholar] [CrossRef]
- Moraes, J.C.B.; Font, A.; Soriano, L.; Akasaki, J.L.; Tashima, M.M.; Borrachero, M.V.; Payá, J. New use of sugar cane straw ash in alkali-activated materials: A silica source for the preparation of the alkaline activator. Constr. Build. Mater. 2018, 171, 611–621. [Google Scholar] [CrossRef]
- Bouzón, N.; Payá, J.; Borrachero, M.V.; Soriano, L.; Tashima, M.M.; Monzó, J. Refluxed rice husk ash/NaOH suspension for preparing alkali activated binders. Mater. Lett. 2014, 115, 72–74. [Google Scholar] [CrossRef]
- Mejía, J.M.; de Gutiérrez, R.M.; Puertas, F. Rice husk ash as a source of silica in alkali-activated fly ash and granulated blast furnace slag systems. Mater. Constr. 2013, 63, 361–375. [Google Scholar]
- Font, A.; Soriano, L.; De Moraes Pinheiro, S.M.; Tashima, M.M.; Monzó, J.; Borrachero, M.V.; Payá, J. Design and properties of 100% waste-based ternary alkali-activated mortars: Blast furnace slag, olive-stone biomass ash and rice husk ash. J. Clean. Prod. 2020, 243, 118568. [Google Scholar] [CrossRef]
- Puertas, F.; Varga, C.; Alonso, M.M. Rheology of alkali-activated slag pastes. Effect of the nature and concentration of the activating solution. Cem. Concr. Compos. 2014, 53, 279–288. [Google Scholar] [CrossRef]
- Palomo, A.; Fernández-Jiménez, A.; Criado, M. “Geopolymers”: Same basic chemistry, different microstructures. Mater. Constr. 2004, 54, 77–91. [Google Scholar] [CrossRef]
- Criado, M.; Fernández-Jiménez, A.; Palomo, A.; Sobrados, I.; Sanz, M. Effect of the SiO2/Na2O ratio on the alkali activation of fly ash. Part II: 29Si MAS-NMR Survey. Microporous Mesoporous Mater. 2008, 109, 525–534. [Google Scholar] [CrossRef]
















| Solid Wastes | Main Constituents | Precursor | Activators | Parameter Design | Reference |
|---|---|---|---|---|---|
| Calcium carbide residue (CCR) | CaO | Volcanic ash and blast furnace slag | CCR1, Na2SO4 (N), Ca(OH)2 (C), NaOH (H), and Na2SiO3 (S) | Four combined activators (N-CCR, N-C, N-CCR-H, and N-CCR-S) were prepared. | [35] |
| Fly ash | CCR2 | Four activators with different content of CCR were employed, with a water-to-binder ratio of 0.5. | [38] | ||
| Blast furnace slag and red mud | CCR3, NaOH, and Na2SiO3 | The supernatant of CCR was used to reduce the dosage of industrial alkali. | [39] | ||
| Blast furnace slag and fly ash | NaCl, CCR, and red mud (AM) | In total, 30% CCR and 30% AM, with blast furnace slag/fly ash content ranging from 0% to 40%, were used. | [40] | ||
| Blast furnace slag and flue gas desulfurization gypsum | CCR4 with thermal treatment | The calcium carbide residue obtained by heating at 900 °C with a heating rate of 10 °C/min for 2 h is used as an alkaline activator. | [41] | ||
| Blast furnace slag (GGBS) and CCR | CCR5 | Five different mass ratios of CCR/(CCR + GGBS) were prepared, including 0% (pure GGBS), 5%, 10%, 15%, and 20% The water-to-binder ratio was 0.5. | [42] | ||
| Calcium carbide residue–mirabilite (CCRM) | CaO | Blast furnace slag | CCRM | Mirabilite is dissolved in water; then, CCR is added to produce the activator. The alkaline activator solution is then mixed with the raw materials. | [43] |
| Hydrated lime (HL) | CaO | Ground granulated blast furnace slag (GGBS) and HL | HL | Five different mass ratios of HL/(HL + GGBS) were prepared, including 0% (pure GGBS), 5%, 10%, 15%, and 20%. The water-to-binder ratio was 0.5. | [42] |
| Paper sludge ash (PSA) | CaO | Ground granulated blast furnace slag | PSA and KOH | Two types of activators were used: (a) KOH solution and water glass; (b) PSA partially substituted for KOH in (a). | [44] |
| Wood ash (WA) | CaO | Palm oil fuel ash (POFA) and ground granulated blast furnace slag | WA and Na2SiO3 | Wood ash and Na2SiO3 were directly mixed, with three water-to-binder ratios and five alkali activator ratios. | [34] |
| Solid Wastes | Main Constituents | Precursor | Activators | Parameter Design | Reference |
|---|---|---|---|---|---|
| Coffee husk ash (CHA) | K2O | Blast furnace slag | CHA and K2CO3 | Laboratory calcination of CHA is conducted to achieve maximum K2O content, solubility, and pH levels. | [58] |
| Olive-stone biomass ash (OBA) | K2O and CaO | Blast furnace slag | OBA and K2O | After milling OBA in a ball mill for 20 min, it is mixed with water with a ratio of 0.47 to activate blast furnace slag. | [59] |
| Waste solidified alkalis (WSAs) | Na2O | Blast furnace slag | WAS | WSAs from the glass industry were applied as alkaline activators of GGBFS. | [60] |
| Soluble salts from air pollution control (APC) | Na2O and SO3 | Blast furnace slag and waste glass powder | APC and Na2SiO3 | The APC residue was mixed with sodium silicate at mass ratios of 0:1, 1:1, and 2:1. The sodium silicate-to-precursor ratio was set at 10%. | [61] |
| Recovery boiler fly ash (RBA) | Na2O | Blast furnace slag and cement | RBA and sodium sulfate | The concentration of the alkaline solution was determined based on the equivalent of sodium oxide. Four groups were set for the proportion of waste-based alkaline activators and they were compared with those activated by sodium sulfate. | [62] |
| Desulphurization dust (DeS-dust) | Na2O and CaO | Blast furnace slag and microsilica | DeS-dust and NaOH | Specimens with similar strength were prepared with both desulfurization dust and sodium hydroxide as alkaline solutions. | [63] |
| Solid Wastes | Main Constituents | Precursor | Activators | Parameter Design | Reference |
|---|---|---|---|---|---|
| Rice husk ash (RHA) | SiO2 | Siliceous fly ash and ground granulated blast furnace slag | RHA1 and Na2SiO3 | Two types of sodium silicate (SS) derived from rice husk ash (RHA) were prepared, including filtered SS and unfiltered SS. | [65] |
| Ground granulated blast furnace slag | RHA2 | A novel sodium silicate was produced by co-agglomerating rice husk ash (RHA) with sodium hydroxide through the thermo-mechanochemical technique and it was utilized as an activator. | [66] | ||
| Ground granulated blast furnace slag and fly ash | RHA3 | An alkaline solution was prepared through a hydrothermal process by dissolving rice husk ash (RHA) in a sodium hydroxide solution. The effects of solution concentration, process temperature, and duration on the alkaline solution were investigated. | [9] | ||
| Rice husk ash (RHA) and waste glass (WG) | SiO2 | Metakaolin | RHA and WG | A sodium silicate was prepared with rice husk ash and waste glass, and the formation of silica dioxide was detected using ATR spectroscopy. | [67] |
| Rice husk ash (RHA) and microsilica (MS) | SiO2 | Ground granulated blast furnace slag | RHA, MS, and NaOH | A mixture of sodium hydroxide and slowly dissolved silica dioxide from rice husk ash or silica micro-powder was used to synthesize sodium metasilicate for the preparation of a single-component alkali-activated blast furnace slag mortar. | [68] |
| Rice husk ash (RHA) and spent diatomaceous earth (SDE) | SiO2 | Fly ash and metakaolin | RHA, SDE, NaOH, and Na2SiO3 | Three alkaline solutions were employed to activate the binary system of fly ash/microsilica (FA/MK), involving SN (sodium silicate and sodium hydroxide), RN (rice husk ash and sodium hydroxide), and DN (diatomaceous earth and sodium hydroxide). The water-to-binder ratio was set at 0.3 for the SN solution, while it was 0.45 for the RN and DN solutions. | [69] |
| Waste glass (WG) | SiO2 | Metakaolin | WG treated by alkali fusion | Five alkaline silicate solutions were prepared with different SiO2:Na2O ratios, one of which was made using sodium metasilicate pentahydrate and sodium hydroxide pellets, while the other four were prepared from products obtained through the melting processing of waste glass. | [70] |
| Ground granulated blast furnace slag | WG, NaOH, and Na2CO3 | Three activators were prepared: water glass, a mixture of NaOH/Na2CO3, and a solution obtained by dissolving waste glass in NaOH/Na2CO3. | [71] | ||
| NaOH wastewater discharged during anodic oxidation in the aluminum industry (AS) and rice husk ash (RHA) | SiO2 | Lignite coal-fired and bituminous coal-fired | AS, RHA, and Na2SiO3 | Activators were prepared with two alkaline solutions derived from waste: NaOH solution waste from the aluminum industry’s anodizing process emissions (AS1) and an alkaline solution prepared from boiled rice husk ash (AS2). | [72] |
Disclaimer/Publisher’s Note: The statements, opinions and data contained in all publications are solely those of the individual author(s) and contributor(s) and not of MDPI and/or the editor(s). MDPI and/or the editor(s) disclaim responsibility for any injury to people or property resulting from any ideas, methods, instructions or products referred to in the content. |
© 2025 by the authors. Licensee MDPI, Basel, Switzerland. This article is an open access article distributed under the terms and conditions of the Creative Commons Attribution (CC BY) license (https://creativecommons.org/licenses/by/4.0/).
Share and Cite
Wan, X.; Ren, L.; Lv, T.; Wang, D.; Wang, B. Research on Alkali-Activated Systems Based on Solid Waste-Derived Activators: A Review. Sustainability 2025, 17, 254. https://doi.org/10.3390/su17010254
Wan X, Ren L, Lv T, Wang D, Wang B. Research on Alkali-Activated Systems Based on Solid Waste-Derived Activators: A Review. Sustainability. 2025; 17(1):254. https://doi.org/10.3390/su17010254
Chicago/Turabian StyleWan, Xiaomei, Lijie Ren, Tingjian Lv, Dengke Wang, and Boshi Wang. 2025. "Research on Alkali-Activated Systems Based on Solid Waste-Derived Activators: A Review" Sustainability 17, no. 1: 254. https://doi.org/10.3390/su17010254
APA StyleWan, X., Ren, L., Lv, T., Wang, D., & Wang, B. (2025). Research on Alkali-Activated Systems Based on Solid Waste-Derived Activators: A Review. Sustainability, 17(1), 254. https://doi.org/10.3390/su17010254

