Evaluation of Ecological Carrying Capacity in Western Jilin Province from the Perspective of “Production–Living–Ecological Spaces” Coupling Coordination
Abstract
1. Introduction
2. Materials and Methods
2.1. Study Area
2.2. Data Sources
2.3. Methods
2.3.1. Construction of ECC Evaluation Model
Indicator Weight Calculation
Calculation of Ecological Carrying Capacity
2.3.2. Kernel Density Estimation
2.3.3. Geographical Detector
2.3.4. Constructing the “CCD of PLES” Evaluation Model
Identifying and Quantifying the PLES
Improved Coupled Coordination Degree Models
2.3.5. Bivariate Spatial Autocorrelation
3. Results
3.1. Ecological Carrying Capacity Evaluation in WJ
3.1.1. Spatial–Temporal Evolutionary Characteristics of Subsystem Carrying Capacity
3.1.2. Spatial–Temporal Evolutionary Characteristics of Ecological Carrying Capacity in WJ
3.1.3. Changes in Ecological Carrying Capacity (ECC) in Different Areas of WJ
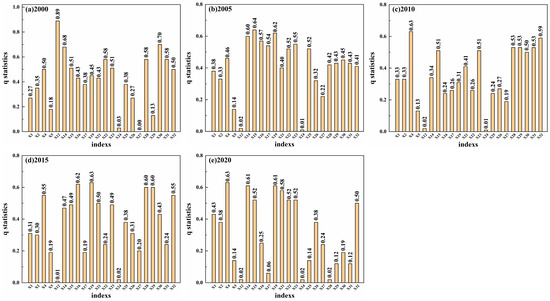
3.2. Identification of the Driving Factors for the ECC Development
3.3. Coupling Coordination Degree (CCD) of Production–Living–Ecological Spaces (PLES) Evaluation
3.4. The “CCD of PLES” and ECC Bivariate Spatial Autocorrelation
4. Discussion
4.1. The Applicability and Advantages of the Ecological Carrying Capacity Assessment Model
4.2. Changes in ECC
4.3. The Complex Spatio-Temporal Interactive Relationship Between “CCD of PLES” and ECC
4.4. Research Limitations and Prospects
5. Conclusions
- (1)
- The ecological carrying capacity (ECC) of Western Jilin Province exhibited two distinct phases: a decline from 2000 to 2010, followed by growth from 2010 to 2020. However, the overall trend in ECC from 2000 to 2020 was upward, with ECC in the “relatively high” and “high” categories increasing by 15% and 5%, respectively. Spatially, there was a notable imbalance in the distribution of ECC, transitioning from a high-west, low-east pattern to a high-east, low-west pattern. This shift was primarily influenced by factors such as fertilizer application rate (X4), per capita GDP (X14), per capita food production (X19), and the proportion of expenditure on education (X32).
- (2)
- A positive correlation was observed between the “coupling coordination degree (CCD) of production, living, and ecological spaces (PLES)” and ECC. The primary relationship types between “CCD of PLES” and ECC were “low CCD of PLES—high ECC” and “high CCD of PLES—high ECC”.
Author Contributions
Funding
Institutional Review Board Statement
Informed Consent Statement
Data Availability Statement
Conflicts of Interest
References
- Wang, Y.; Yu, X.; Zhao, B.; Xiong, X.; Li, Y.; Zhang, M. Evaluation of ecological carrying capacity in Yangtze River Economic Belt and analysis of its spatial pattern evolution. Ecol. Indic. 2022, 144, 109535. [Google Scholar] [CrossRef]
- Wang, C.; Hou, Y.; Xue, Y. Water resources carrying capacity of wetlands in Beijing: Analysis of policy optimization for urban wetland water resources management. J. Clean. Prod. 2017, 161, 1180–1191. [Google Scholar] [CrossRef]
- Deng, W.; Li, X.; Guo, Y.; Huang, J.; Zhang, L. Ecological Assessment of Water Environment in Huizhou Region of China Based on DPSIR Theory and Entropy Weight TOPSIS Model. Water 2024, 16, 2579. [Google Scholar] [CrossRef]
- Zhou, K.; Zhou, F.; Chen, L.; Li, H.; Wang, H.; Li, J. Alleviating environmental pressure from livestock production: A “livestock-resource environmental carrying capacity” perspective in China. Ecol. Indic. 2024, 160, 111800. [Google Scholar] [CrossRef]
- Dai, R.; Xiao, C.; Liang, X.; Yang, W.; Chen, J.; Zhang, L.; Zhang, J.; Yao, J.; Jiang, Y.; Wang, W. Spatial-temporal evolution law analysis of resource and environment carrying capacity based on game theory combination weighting and GMD-GRA-TOPSIS model. Evidence from 18 cities in Henan Province, China. J. Clean. Prod. 2024, 439, 140820. [Google Scholar] [CrossRef]
- Wang, X.; Zhang, S.; Tang, X.; Gao, C. Spatiotemporal heterogeneity and driving mechanisms of water resources carrying capacity for sustainable development of Guangdong Province in China. J. Clean. Prod. 2023, 412, 137398. [Google Scholar] [CrossRef]
- Bao, C.; Wang, H.; Sun, S. Comprehensive simulation of resources and environment carrying capacity for urban agglomeration: A system dynamics approach. Ecol. Indic. 2022, 138, 108874. [Google Scholar] [CrossRef]
- Wu, M.; Wu, J.; Zang, C. A comprehensive evaluation of the eco-carrying capacity and green economy in the Guangdong-Hong Kong-Macao Greater Bay Area, China. J. Clean. Prod. 2021, 281, 124945. [Google Scholar] [CrossRef]
- Chen, J.; Huang, X.; Jing, Y.; Wen, Z.; Zang, C. Spatial and temporal variation and driving factors of ecological carrying capacity in the Pan-Pearl River Basin, China. Ecol. Indic. 2023, 151, 110318. [Google Scholar] [CrossRef]
- Li, Q.; Liu, Z.; Yang, Y.; Han, Y.; Wang, X. Evaluation of water resources carrying capacity in Tarim River Basin under game theory combination weights. Ecol. Indic. 2023, 154, 110609. [Google Scholar] [CrossRef]
- Zhou, F.; Zhang, W.; Jiang, A.; Peng, H.; Li, L.; Deng, L.; Sun, Y.; Wang, H. Spatial-temporal variation characteristics and coupling coordination of the “water resources–water environment–water ecology” carrying capacity in the Three Gorges Reservoir Area. Ecol. Indic. 2023, 154, 110874. [Google Scholar] [CrossRef]
- He, R.; Liu, S.; Liu, Y. Application of SD model in Analyzing the Cultivated Land Carrying Capacity: A Case Study in Bijie Prefecture, Guizho Province, China. Procedia Environ. 2011, 10, 1985–1991. [Google Scholar] [CrossRef]
- Yang, Y.; Zhao, D.; Chen, H. Full Title: Quantifying the ecological carrying capacity of alpine grasslands on the Qinghai-Tibet Plateau. Ecol. Indic. 2022, 136, 108634. [Google Scholar] [CrossRef]
- Martire, S.; Castellani, V.; Sala, S. Carrying capacity assessment of forest resources: Enhancing environmental sustainability in energy production at local scale. Resour. Conserv. Recycl. 2015, 94, 11–20. [Google Scholar] [CrossRef]
- Tian, R.; Shao, Q.; Wu, F. Four-dimensional evaluation and forecasting of marine carrying capacity in China: Empirical analysis based on the entropy method and grey Verhulst model. Mar. Pollut. 2020, 160, 111675. [Google Scholar] [CrossRef]
- Du, L.; Niu, Z.; Zhang, R.; Zhang, J.; Jia, L.; Wang, L. Evaluation of water resource carrying potential and barrier factors in Gansu Province based on game theory combined weighting and improved TOPSIS model. Ecol. Indic. 2024, 16, 112438. [Google Scholar] [CrossRef]
- Li, J.; Sun, W.; Li, M.; Meng, L. Coupling coordination degree of production, living and ecological spaces and its influencing factors in the Yellow River Basin. J. Clean. Prod. 2021, 298, 126803. [Google Scholar] [CrossRef]
- Lv, B.; Liu, C.; Li, T.; Meng, F.; Fu, Q.; Ji, Y.; Hou, R. Evaluation of the water resource carrying capacity in Heilongjiang, eastern China, based on the improved TOPSIS model. Ecol. Indic. 2023, 150, 110208. [Google Scholar] [CrossRef]
- Xv, J.; Zhu, Z.; Lei, C.; Yang, C.; Song, Y.; Chen, S. Health Assessment of Rivers and Lakes in Xizang Plateau Based on Improved CRITIC-Entropy Combinatorial Weighting Model. J. Change River Sci. Res. Inst. 2024, 41, 200. [Google Scholar]
- Xu, H.; Ma, C.; Lian, J.; Xu, K.; Chaima, E. Urban flooding risk assessment based on an integrated k-means cluster algorithm and improved entropy weight method in the region of Haikou, China. J. Hydrol. 2018, 563, 975–986. [Google Scholar] [CrossRef]
- Xu, M.; Chen, M.; Li, Y.; Jiang, Y. Analysis of Water Resources Carrying Capacity of Coastal Cities along the Yangtze River Based on PSR Model. J. Coast. Res. 2020, 109, 110–113. [Google Scholar] [CrossRef]
- Badi, I.; Pamučar, D.; Stević, Ž.; Muhammad, L. Wind farm site selection using BWM-AHP-MARCOS method: A case study of Libya. Sci. Afr. 2023, 19, e01511. [Google Scholar] [CrossRef]
- Wu, Y.; Deng, Z.; Tao, Y.; Wang, L.; Liu, F.; Zhou, J. Site selection decision framework for photovoltaic hydrogen production project using BWM-CRITIC-MABAC: A case study in Zhangjiakou. J. Clean. Prod. 2021, 324, 129233. [Google Scholar] [CrossRef]
- Mohammadi, M.; Rezaei, J. Bayesian best-worst method: A probabilistic group decision making model. Omega-Int. J. Manag. S 2020, 96, 102075. [Google Scholar] [CrossRef]
- Wang, X.; Zhang, S.; Gao, C.; Tang, X. Coupling coordination and driving mechanisms of water resources carrying capacity under the dynamic interaction of the water-social-economic-ecological environment system. Sci. Total Env. 2024, 920, 171011. [Google Scholar] [CrossRef] [PubMed]
- Wang, Y.; Zhang, Z.; Wang, Z. An improved weighted TOPSIS method and its application based on grey relational coefficient. East China Econ. Manag. 2011, 25, 139–144. [Google Scholar]
- Liao, X.; Fang, C.; Shu, T. Multifaceted land use change and varied responses of ecological carrying capacity: A case study of Chongqing, China. Appl. Geogr. 2022, 148, 102806. [Google Scholar] [CrossRef]
- Li, X. TOPSIS model with entropy weight for eco geological environmental carrying capacity assessment. Microprocess. Microsy. 2021, 82, 103805. [Google Scholar] [CrossRef]
- Cheng, L.; Cui, H.; Liang, T.; Huang, D.; Su, Y.; Zhang, Z.; Wen, C. Study on the Trade-Off Synergy Relationship of “Production-Living-Ecological” Functions in Chinese Counties: A Case Study of Chongqing Municipality. Land 2023, 12, 1010. [Google Scholar] [CrossRef]
- Shan, Y.; Wei, S.; Yuan, W.; Miao, Y. Spatial-temporal differentiation and influencing factors of coupling coordination of “production-living-ecological” functions in Yangtze River Delta urban agglomeration. Acta Ecol. Sin. 2022, 42, 6644–6655. [Google Scholar]
- Zhu, H.; Jiang, S. Navigating urban sustainable development: Exploring the impact of low carbon policies on the urban ecological carrying capacity. J. Clean. Prod. 2024, 469, 143162. [Google Scholar] [CrossRef]
- Liu, Q.; Wang, X.; Zhu, Q.; Song, J.; Yan, Q.; Zhao, Y. Coupling relationship of water resources carrying capacity system in Tibet Autonomous Region based on “production-living-ecological” function. J. Nat. Resour. 2023, 38, 1618–1631. [Google Scholar] [CrossRef]
- Zou, Y.; Rao, Y.; Luo, F.; Yi, C.; Du, P.; Liu, H.; Wu, P.; Song, Y.; Zhou, Y. Evolution of rural settlements and its influencing mechanism in the farming-pastoral ecotone of Inner Mongolia from a production-living-ecology perspective. Habitat Int. 2024, 151, 103137. [Google Scholar] [CrossRef]
- Shan, S.-y.; Xu, H.-j.; Qi, X.-l.; Chen, T.; Wang, X.-d. Evaluation and prediction of ecological carrying capacity in the Qilian Mountain National Park, China. J. Environ. Manag. 2023, 339, 117856. [Google Scholar] [CrossRef] [PubMed]
- Dong, Z.; Zhang, J.; Tong, Z.; Han, A.; Zhi, F. Ecological security assessment of Xilingol grassland in China using DPSIRM model. Ecol. Indic. 2022, 143, 109336. [Google Scholar] [CrossRef]
- Shi, Z.; Zhou, S. A study on the dynamic evaluation of ecosystem health in the Yangtze river Basin of China. Ecol. Indic. 2023, 153, 110445. [Google Scholar] [CrossRef]
- Xiang, H.; Yang, Q.-Y.; Su, K.-c.; Zhang, Z.-X. Spatiotemporal Dynamics and Obstacles of the Multi-Functionality of Land Use in Xiangxi, China. Appl. Sci 2019, 9, 3649. [Google Scholar] [CrossRef]
- Niu, Y.; Wu, S.; Guo, C.; Zhuang, Q.; Xie, C.; Zhang, Z.; Luo, G. Spatio-temporal changes and coupling coordination of the function ofproduction- living-ecologicalin Xinjiang. Arid Land Geogr. 2021, 44, 1821–1835. [Google Scholar]
- Zhu, X.; Xie, Z.; Liu, B. Research on“production-ecology-living integration”evaluation system for greenway complex belts. J. Zhejiang Univ. Technol. 2024, 23, 251–257. [Google Scholar]
- Hou, M.; Li, L.; Yu, H.; Jin, R.; Zhu, W. Ecological security evaluation of wetlands in Changbai Mountain area based on DPSIRM model. Ecol. Indic. 2024, 160, 111773. [Google Scholar] [CrossRef]
- Zeng, Y.; Liao, C.; Liu, J. Evaluation and classification of village development quality in suburban areas from the perspective of “production-life-ecological” function: A case from Linchuan District, Fuzhou, Jiangxi Province, China. J. Agric. Resour. Environ. 2024, 41, 1122–1132. [Google Scholar]
- Yanhong, Z.; Peng, Z.; Huali, G.; Guodong, Y. Wetlands ecological security assessment in lower reaches of Taoerhe river connected with Nenjiang river using modified PSR model. J. Hydro. Res. 2023, 6, 156–165. [Google Scholar]
- Wang, Q.; Chen, T.; Li, A.; Zhang, S.; Wang, Y. Evaluation of territorial utilization quality based on “production-living-ecological” perspectives: A case study of Panxi region. Mt. Res. 2020, 38, 290–302. [Google Scholar]
- Zhou, T.; Wang, J. Classifying and regulation pathway of rural “production-living-ecology” regional area in the Center Plains Urban Agglomeration. Sci. Geogr. Sin. 2023, 43, 1227–1238. [Google Scholar]
- Wang, L.; Zhang, H.; Hu, W.; Yu, Z. Functional Evaluation of Land Use Based on Production-Living-Ecology View in Areas of Cropland and Coal Resources. Bull. Soil Water Conserv. 2018, 38, 301–306. [Google Scholar]
- Yun, Y. Evaluation of Land Ecological Security in the Midwest of Inner Mongolia; Inner Mongolia Normal University: Hohhot, China, 2014. [Google Scholar]
- Wang, K.; Li, N.; Yu, X.; Wang, Y.; Liu, Y. Eco-environmental carrying capacity evaluation index system based on the concept of P-S-R model -A case study in Shandong Peninsula. Acta Sci. Circumstantiae 2014, 34, 2133–2139. [Google Scholar]
- Du, W.; Liao, X.; Tong, Z.; Rina, S.; Rong, G.; Zhang, J.; Liu, X.; Guo, E. Early warning and scenario simulation of ecological security based on DPSIRM model and Bayesian network: A case study of east Liaohe river in Jilin Province, China. J. Clean. Prod. 2023, 398, 136649. [Google Scholar] [CrossRef]
- Liu, Y.; Xu, J.; Zhou, Y.; Muhtar, A.; Wang, L. Spatiotemporal Differentiation of the Coupling and Coordination of Production-Living-Ecology Functions in Hubei Province Based on the Global Entropy Value Method. Int. J. Environ. Res. Public Health 2022, 19, 16062. [Google Scholar] [CrossRef] [PubMed]
- Yu, Z.; Xu, E.; Zhang, H.; Shang, E. Spatio-Temporal Coordination and Conflict of Production-Living-Ecology Land Functions in the Beijing-Tianjin-Hebei Region, China. Land 2020, 9, 170. [Google Scholar] [CrossRef]
- Yu, S.-h.; Deng, W.; Xu, Y.-x.; Zhang, X.; Xiang, H.-L. Evaluation of the production-living-ecology space function suitability of Pingshan County in the Taihang mountainous area, China. J. Mt. Sci. 2020, 17, 2562–2576. [Google Scholar] [CrossRef]
- Wang, J.; Hao, J.; Chen, A.; Wang, N. Evaluation of ecological environment carrying capacity in Tianjin based on fuzzy cluster analysis. J. China Agric. Univ. 2018, 23, 112–121. [Google Scholar]
- Peng, L.; Wang, X.; Chen, T. Multifunctional land-use value mapping and space type classification: A case study of Puge County, China. Nat. Resour. Model. 2019, 32, e12212. [Google Scholar] [CrossRef]
- Lu, Z.; Zhang, M.; Hu, C.; Ma, L.; Chen, E.; Zhang, C.; Xia, G. Spatiotemporal Changes and Influencing Factors of the Coupled Production-Living-Ecological Functions in the Yellow River Basin, China. Land 2024, 13, 1909. [Google Scholar] [CrossRef]
- Luo, H.; Wu, Z.; Gan, Z.; Chen, J.; He, P.; Chen, Z. Spatial-temporal evolution characteristics of coupling coordination of “production-living-ecology” space functions in the Pearl River Delta urban agglomeration. Sci. Soil Water Conserv. 2023, 21, 43–52. [Google Scholar]
- Wang, D.; Jiang, D.; Fu, J.; Lin, G.; Zhang, J. Comprehensive Assessment of Production-Living-Ecological Space Based on the Coupling Coordination Degree Model. Sustainability 2020, 12, 2009. [Google Scholar] [CrossRef]
- He, N.; Zhou, Y.; Wang, L.; Li, Q.; Zuo, Q.; Liu, J.; Li, M. Spatiotemporal evaluation and analysis of cultivated land ecological security based on the DPSIR model in Enshi autonomous prefecture, China. Ecol. Indic. 2022, 145, 109619. [Google Scholar] [CrossRef]
- Wei, C.; Lin, Q.; Yu, L.; Zhang, H.; Ye, S.; Zhang, D. Research on Sustainable Land Use Based on Production-Living-Ecological Function: A Case Study of Hubei Province, China. Sustainability 2021, 13, 996. [Google Scholar] [CrossRef]
- Wu, X.; Peng, B. Urban comprehensive carrying capacity analysis in Zhejiang Province of China from the perspective of production, living, and ecological spaces. Geo-Spat. Inf. Sci. 2024, 27, 2179–2198. [Google Scholar] [CrossRef]
- Liu, Y.; Liu, X.; Zhao, C.; Wang, H.; Zang, F. The trade-offs and synergies of the ecological-production-living functions of grassland in the Qilian mountains by ecological priority. J. Environ. Manage. 2023, 327, 116883. [Google Scholar] [CrossRef]
- Mao, G.; Cao, Y.; Ren, Q. Study on the Evaluation of Ecological and Economic Development of Huaihe River Ecological and Economic Belt under the Perspective of “Three Lives”. J. Huaiyin Teach. Coll. 2021, 43, 350–359. [Google Scholar]
- Fu, J.; Zang, C.; Zhang, J. Economic and resource and environmental carrying capacity trade-off analysis in the Haihe River basin in China. J. Clean. Prod. 2020, 270, 122271. [Google Scholar] [CrossRef]
- Li, X.; Qin, X.; Lu, Z.; Gao, S.; Wang, G. Comparative analysis of ecological carrying capacity at different scales in Xilingol League, Inner Mongolia. Ecol. Indic. 2022, 141, 109127. [Google Scholar] [CrossRef]
- Chen, Y.; Zhu, M. Spatiotemporal Evolution and Driving Mechanism of “Production-Living-Ecology” Functions in China: A Case of Both Sides of Hu Line. Int. J. Environ. Res. Public Health 2022, 19, 3488. [Google Scholar] [CrossRef]
- Li, B.; Wang, H. Comprehensive evaluation of urban high-quality development: A case study of Liaoning Province. Environ. Dev. Sustain 2023, 25, 1809–1831. [Google Scholar] [CrossRef]
- Khatun, R.; Das, S. Assessment of wetland ecosystem health in Rarh Region, India through P-S-R (pressure-state-response) model. Sci. Total Env. 2024, 951, 175700. [Google Scholar] [CrossRef] [PubMed]
- Yu, Z.; Chen, L.; Zhang, T.; Li, L.; Yuan, L.; Teng, G.; Xiao, J.; Shi, S.; Chen, L. Land pressure evaluation in the Yangtze River Delta region: A perspective from production-living-ecology. Land Degrad. Dev. 2023, 34, 5312–5327. [Google Scholar] [CrossRef]
- Lai, G.; Hu, B.; Li, M.; Lin, S. Evaluation on spatial suitability of ecological-living-industrial in southwestern guangxi-beibu gulf region. Bull. Soil Water Conserv. 2020, 40, 221–227. [Google Scholar]
- Liu, C.; Li, W.; Xu, J.; Zhou, H.; Wang, W.; Wang, H. Temporal and spatial variations of ecological security on the northeastern Tibetan Plateau integrating ecosystem health-risk-services framework. Ecol. Indic. 2024, 158, 111365. [Google Scholar] [CrossRef]
- Ou, H.; Dai, W.; Huang, W.; Huang, K.; Xu, Y. Research on urban comprehensive bearing capacity of Fujian Province based on production-living-ecological space. Ecol. Sci. 2020, 39, 71–79. [Google Scholar]
- Wang, H.; Xu, Y.; Li, C. Coupling coordination and spatio-temporal pattern evolution between ecological protection and high-quality development in the Yellow River Basin. Heliyon 2023, 9, e21089. [Google Scholar] [CrossRef]
- Zheng, X.; Yang, Z.; Zhang, X.; Wang, T.; Chen, X.; Wang, C. Spatiotemporal evolution and influencing factors of provincial tourism ecological security in China. Ecol. Indic. 2023, 148, 110114. [Google Scholar] [CrossRef]
- He, L.; Li, C.; Zhang, A. Analysis of Water and Soil Resources Carrying Capacity from the Perspective on “Production-Living-Ecological Space”—Taking Inner Mongolia Autonomous Region as an Example. China Rural. Water Hydropower 2024, 12, 1–15. [Google Scholar]
- Sobhani, P.; Esmaeilzadeh, H.; Wolf, I.D.; Deljouei, A.; Marcu, M.V.; Sadeghi, S.M.M. Evaluating the ecological security of ecotourism in protected area based on the DPSIR model. Ecol. Indic. 2023, 155, 110957. [Google Scholar] [CrossRef]
- Diakoulaki, D.; Mavrotas, G.; Papayannakis, L. Determining objective weights in multiple criteria problems—The critic method. Comput. Oper. Res. 1995, 22, 763–770. [Google Scholar] [CrossRef]
- Ju, W.; Xing, Z.; Wu, J.; Kang, Q. Evaluation of forest fire risk based on multicriteria decision analysis techniques for Changzhou, China. Int. J. Disast. Risk Re. 2023, 98, 104082. [Google Scholar] [CrossRef]
- Chang, Y.; Wang, G.; Mu, W.; Yang, M.; Xu, W.; Guo, W.; Cai, X.; Song, J. Comprehensive assessment of flue-cured tobacco quality based on entropy weight method and modified TOPSIS method. Tob. Sci. Technol. 2023, 56, 35–43. [Google Scholar]
- Chen, W. On the Problem and Elimination of Rank Reversal in the Application of TOPSIS Method. Oper. Res. Manag. Sci. 2005, 3, 39–43. [Google Scholar]
- Benson, D.A.; Bolster, D.; Pankavich, S.; Schmidt, M.J. Nonparametric, data-based kernel interpolation for particle-tracking simulations and kernel density estimation. Adv. Water Resour. 2021, 152, 103889. [Google Scholar] [CrossRef]
- Zhao, Y.; Luo, Z.; Li, Y.; Guo, J.; Lai, X.; Song, J. Study of the spatial-temporal variation of landscape ecological risk in the upper reaches of the Ganjiang River Basin based on the production-living-ecological space. Acta Ecol. Sin. 2019, 39, 4676–4686. [Google Scholar]
- Zou, Y.; Zhang, S.; Xie, Y.; Du, Y. Spatial distribution and evolution characters of production-living-ecological spaces in Xuzhou city. Sci. Surv. Mapp. 2020, 45, 154–162. [Google Scholar]
- Tian, C. Decoupling Characteristics between Coupling Coordination Degree of Production-Living-Ecological Function and Carbon Emissions in the Urban Agglomeration of the Shandong Peninsula. Land 2024, 13, 996. [Google Scholar] [CrossRef]
- Dong, G.; Ge, Y.; Liu, J.; Kong, X.; Zhai, R. Evaluation of coupling relationship between urbanization and air quality based on improved coupling coordination degree model in Shandong Province, China. Ecol. Indic. 2023, 154, 110578. [Google Scholar] [CrossRef]
- Jiang, Y.; Chen, M.; Zhang, J.; Sun, Z.; Sun, Z. The improved coupling coordination analysis on the relationship between climate, eco-environment, and socio-economy. Environ. Ecol. Stat. 2022, 29, 77–100. [Google Scholar] [CrossRef]
- Zhang, Y.; Hu, X.; Wei, B.; Zhang, X.; Tang, L.; Chen, C.; Wang, Y.; Yang, X. Spatiotemporal exploration of ecosystem service value, landscape ecological risk, and their interactive relationship in Hunan Province, Central-South China, over the past 30 years. Ecol. Indic. 2023, 156, 111066. [Google Scholar] [CrossRef]
- Wang, A.; Liao, X.; Tong, Z.; Du, W.; Zhang, J.; Liu, X.; Guo, E.; Liu, M. Spatiotemporal variation of ecological carrying capacity in Dongliao River Basin, China. Ecol. Indic. 2022, 135, 108548. [Google Scholar] [CrossRef]
- Chen, C.-H. A Novel Multi-Criteria Decision-Making Model for Building Material Supplier Selection Based on Entropy-AHP Weighted TOPSIS. Entropy 2020, 22, 259. [Google Scholar] [CrossRef] [PubMed]
- Zhiqing, Z.; Zhonghua, Y. Research on supplier selection based on AHP and NEULONET. Syst. Eng. Electron. 2007, 29, 570–573. [Google Scholar]
- Du, X.; Wang, Y.; Chen, F. Evaluation of coal-resource-based cities transformation based on CRITIC-TOPSIS model. Sustain. Cities Soc. 2024, 103, 105271. [Google Scholar] [CrossRef]
- Ilham, N.I.; Dahlan, N.Y.; Hussin, M.Z. Optimizing solar PV investments: A comprehensive decision-making index using CRITIC and TOPSIS. Renew. Energy Focus 2024, 49, 100551. [Google Scholar] [CrossRef]
- Gul, M.; Yucesan, M. Performance evaluation of Turkish Universities by an integrated Bayesian BWM-TOPSIS model. Socio-Econ. Plan. Sci. 2022, 80, 101173. [Google Scholar] [CrossRef]
- Zhang, X.; Duan, X. Evaluating water resource carrying capacity in Pearl River-West River economic Belt based on portfolio weights and GRA-TOPSIS-CCDM. Ecol. Indic. 2024, 161, 111942. [Google Scholar] [CrossRef]
- Huang, Y.; Zhang, W.; Wang, N. Assessment of the carrying capacity of agricultural water resources in western region of Jilin based on principal component analysis. J. Change River Sci. Res. Inst. 2014, 31, 11. [Google Scholar]
- Long, X.; Lin, H.; An, X.; Chen, S.; Qi, S.; Zhang, M. Evaluation and analysis of ecosystem service value based on land use/cover change in Dongting Lake wetland. Ecol. Indic. 2022, 136, 108619. [Google Scholar] [CrossRef]
- Tang, X.; Cai, L.; Du, P. Spatiotemporal Evolution and Driving Forces of Production-Living-Ecological Space in Arid Ecological Transition Zone Based on Functional and Structural Perspectives: A Case Study of the Hexi Corridor. Sustainability 2024, 16, 6698. [Google Scholar] [CrossRef]
- Gao, J.; Xu, Y.; Yan, X.; Wang, Y.; Yang, J. Salt Resolving Slump of Sodic Saline Soil in the Lake Area of Western Jilin Province. J. Jilin Univ. Earth Sci. Ed. 2020, 50, 1104–1111. [Google Scholar]
- Zhai, Y.; Zhang, Y.; Jiang, Q.; Liu, R. Spatial-Temporal Evolution Pattern of “Production-Living-Ecological Space”in Agro-Pastoral Ecotone of Western Jilin Province. J. Jilin Univ. Earth Sci. Ed. 2022, 52, 1016–1026. [Google Scholar]
- Zhao, Y.; Wang, G.; Zhao, M.; Wang, M.; Xue, Z.; Liu, B.; Jiang, M. Seed limitation and saline-alkaline stress restrict wetland restoration potential in the Songnen Plain, northeastern China. Ecol. Indic. 2021, 129, 107998. [Google Scholar] [CrossRef]
- Huang, J.; Lin, H.; Qi, X. A literature review on optimization of spatial development pattern based on ecological-production-living space. Prog. Geogr. 2017, 36, 378–391. [Google Scholar]










| Subsystems | Criteria Layer | Indicator Layer | Select the Basis | Attribute | Quote | Weight |
|---|---|---|---|---|---|---|
| ecological space (0.3862) | Pressure (0.3327) | X1 Average annual precipitation | Precipitation impacts the ecological environment, while water scarcity intensifies ecological pressure. | + | [33,34,35] | 0.0929 |
| X2 Average annual temperature | Climate change may intensify drought severity in the region. | − | [33,36] | 0.1000 | ||
| X3 Average annual wind speed | Wind speed influences vegetation structure and soil erosion processes. | + | [36] | 0.0594 | ||
| X4 Fertilizer application rate | The overuse of fertilizers can result in soil contamination and impose pressure on the environment. | − | [34,37] | 0.0804 | ||
| Stata (0.3665) | X5 Wetland soil salinity index (SI) | Rerving as a key indicator of ecosystem health, reflecting the extent of land salinization. | − | [38] | 0.0679 | |
| X6 Wetland density index | Reflecting the status of the ecosystem’s water regulation and habitat functions. | + | [39,40] | 0.0779 | ||
| X7 Landscape diversity index | Reflecting the complexity of species diversity and landscape structure within the ecological space, thereby indicating the health status of the ecosystem. | + | [36,41] | 0.0943 | ||
| X8 Landscape fragmentation index | Reflecting the stability of the ecosystem. | − | [36,42] | 0.0622 | ||
| X9 Biodiversity index | Reflecting the health and stability of the ecosystem. | − | [42,43,44,45] | 0.0643 | ||
| Respond (0.3007) | X10 Hydrological regulation index | The capacity of water resources to regulate external pressures. | + | [40,42] | 0.0636 | |
| X11 Wetland degradation index | Reflecting the extent of the ecosystem’s response to changes in the external environment. | − | [36,42] | 0.0809 | ||
| X12 Proportion of the area under desertification | Desertification is a clear manifestation of ecological degradation, reflecting the capacity to withstand environmental stress. | − | [46,47] | 0.0566 | ||
| X13 Rate of conversion of non-ecological land to ecological land | Reflecting the extent of ecological restoration, acting as a positive response to ecosystem pressure and state. | + | [48] | 0.0997 | ||
| production space (0.3310) | Pressure (0.3390) | X14 Per capita GDP | Reflecting the level of economic development in the region, in which growth is often accompanied by increased pressure on production space. | − | [49,50] | 0.0836 |
| X15 Proportion of primary and secondary industries to GDP | Reflecting resource consumption and environmental impacts of agriculture and industry. | − | [51,52] | 0.0736 | ||
| X16 Large livestock | Reflecting the pressure of the livestock industry on production space. | − | [35,53] | 0.0788 | ||
| X17 Gross output value of agriculture, forestry, animal husbandry, and fisheries | Reflecting resource consumption and land use, which contribute to the excessive development of production space, thereby exerting pressure. | − | [54,55] | 0.1030 | ||
| Stata (0.3940) | X18 Land reclamation rate | Reflecting the land use efficiency and the progress of ecological restoration in production space. | + | [56,57] | 0.1084 | |
| X19 Per capita food production | Measuring the level of agricultural productivity and food security. | + | [45,55] | 0.1090 | ||
| X20 Per capita building land area | Reflecting efficiency in the use of land resources and sound urban planning. | + | [58,59] | 0.0775 | ||
| X21 Net primary productivity | Net Primary Productivity is an important indicator of the productive capacity of ecosystems. | + | [36,60] | 0.0991 | ||
| Respond (0.2669) | X22 Comprehensive utilization rate of general industrial solid waste | Utilization and treatment of solid waste from industrial enterprises. | + | [61,62,63] | 0.0887 | |
| X23 Proportion of tertiary industry to GDP | Reflecting to the optimization of the economic structure. | + | [48,64] | 0.0806 | ||
| X24 Cultural value of wetland | Reflecting the level of science and technology and can promote industrial transformation. | + | [65,66] | 0.0976 | ||
| living space (0.2827) | Pressure (0.4117) | X25 Natural population growth rat | Reflecting the pressures of population growth on urban living space. | − | [1,67] | 0.1566 |
| X26 Population density | Population density is directly related to the degree of crowding in urban living spaces and the pressure on the provision of public services. | − | [35,62] | 0.1478 | ||
| X27 Night Light Index | Reflects the intensity of urban activity. | − | [68,69] | 0.1073 | ||
| Stata (0.3504) | X28 Per capita daily domestic water consumption | Reflects water availability. | + | [62,70] | 0.1316 | |
| X29 Per capita green space in parks | Reflects the quality of people’s lives. | + | [37,70] | 0.1296 | ||
| X30 Number of general secondary schools | Educational infrastructure development in human societies. | + | [71,72] | 0.0892 | ||
| Respond (0.2378) | X31 Greening coverage in built-up areas | Reflecting the improvement in the quality of life of the inhabitants and the progress of sustainable urban development. | + | [1,73] | 0.1531 | |
| X32 Proportion of expenditure on education | Affecting social development and the quality of life of the population. | + | [64,74] | 0.0847 |
| Land Use Classification | Dominant Function Score Criteria | ||
|---|---|---|---|
| Production | Living | Ecological | |
| Farm land | 5 | 0 | 3 |
| Construction land | 3 | 5 | 0 |
| Wood land | 0 | 0 | 5 |
| Grass land | 1 | 0 | 5 |
| Water body | 3 | 0 | 5 |
| Bare land | 1 | 0 | 3 |
| Study Area | Statistic Variate | Statistical Variables of the Relationship Between “CCD of PLES” and ECC in Different Periods | ||||
|---|---|---|---|---|---|---|
| 2000 | 2005 | 2010 | 2015 | 2 | ||
| WJ | Moran’s I | 0.274 | 0.254 | 0.280 | 0.278 | 0.301 |
| Z-value | 20.9796 | 19.7050 | 21.5961 | 20.5298 | 22.5526 | |
| p-value | 0.001 | 0.001 | 0.001 | 0.001 | 0.001 | |
Disclaimer/Publisher’s Note: The statements, opinions and data contained in all publications are solely those of the individual author(s) and contributor(s) and not of MDPI and/or the editor(s). MDPI and/or the editor(s) disclaim responsibility for any injury to people or property resulting from any ideas, methods, instructions or products referred to in the content. |
© 2024 by the authors. Licensee MDPI, Basel, Switzerland. This article is an open access article distributed under the terms and conditions of the Creative Commons Attribution (CC BY) license (https://creativecommons.org/licenses/by/4.0/).
Share and Cite
Xu, J.; Tong, Z.; Liu, X.; Zhang, J. Evaluation of Ecological Carrying Capacity in Western Jilin Province from the Perspective of “Production–Living–Ecological Spaces” Coupling Coordination. Sustainability 2025, 17, 211. https://doi.org/10.3390/su17010211
Xu J, Tong Z, Liu X, Zhang J. Evaluation of Ecological Carrying Capacity in Western Jilin Province from the Perspective of “Production–Living–Ecological Spaces” Coupling Coordination. Sustainability. 2025; 17(1):211. https://doi.org/10.3390/su17010211
Chicago/Turabian StyleXu, Jiarong, Zhijun Tong, Xingpeng Liu, and Jiquan Zhang. 2025. "Evaluation of Ecological Carrying Capacity in Western Jilin Province from the Perspective of “Production–Living–Ecological Spaces” Coupling Coordination" Sustainability 17, no. 1: 211. https://doi.org/10.3390/su17010211
APA StyleXu, J., Tong, Z., Liu, X., & Zhang, J. (2025). Evaluation of Ecological Carrying Capacity in Western Jilin Province from the Perspective of “Production–Living–Ecological Spaces” Coupling Coordination. Sustainability, 17(1), 211. https://doi.org/10.3390/su17010211

