Next Article in Journal
Evaluation of Ecological Carrying Capacity in Western Jilin Province from the Perspective of “Production–Living–Ecological Spaces” Coupling Coordination
Previous Article in Journal
Bibliometric-Based Research Status and Development Trends of Dam Breach Studies
 
 
Font Type:
Arial Georgia Verdana
Font Size:
Aa Aa Aa
Line Spacing:
Column Width:
Background:
Article

Development and Application of a Winter Weather Traffic Imputation Model: A Comparative Study Against Machine Learning Techniques During the Winter Season

City of Regina, Sustainable Infrastructure, Corporate Asset Management, Queen Elizabeth II Court 2476 Victoria Avenue, Regina, SK S4P 3C8, Canada
Sustainability 2025, 17(1), 210; https://doi.org/10.3390/su17010210
Submission received: 5 November 2024 / Revised: 27 November 2024 / Accepted: 30 December 2024 / Published: 30 December 2024

Abstract

This study examines how winter weather conditions influence traffic patterns for both passenger vehicles and trucks, using data collected from weigh-in-motion (WIM) stations and nearby weather monitoring sites along Alberta’s Highways 2 and 2A. To explore how snowfall and temperature affect traffic volumes, we developed Ordinary Least Squares Regression (OLSR) models. The findings indicate that passenger car volumes drop more sharply than truck volumes under increased snowfall, with the decline being particularly notable on Highway 2, a rural stretch. In contrast, Highway 2A showed an uptick in truck traffic, likely due to detours from adjacent routes with less winter maintenance. For estimating missing traffic data during severe weather, we employed both OLSR and a machine learning technique, k-Nearest Neighbor (k-NN). In comparing the two approaches, OLSR demonstrated superior accuracy and consistency, making it more effective for filling in missing traffic data throughout the winter season. The performance of the OLSR model underscores its reliability in addressing data gaps during adverse winter conditions. Additionally, this study contributes to sustainable transportation by improving data accuracy, which aids in better resource allocation and enhances road safety during adverse weather. The findings support more efficient traffic management and maintenance strategies, including optimizing winter road maintenance and improving sustainable infrastructure planning, thereby aligning with the goals of sustainable infrastructure development.

1. Introduction

Understanding traffic patterns under severe winter conditions is essential for promoting sustainable transportation. Accurate traffic modeling enables optimized maintenance and operational strategies, reducing unnecessary delays and fuel consumption. This research supports the development of resilient transportation systems that adapt to changing climate conditions, thereby contributing to the broader goals of sustainable development.
Traffic volumes on highways fluctuate both over time and across different locations, with these changes often being influenced by the economic and social dynamics of nearby regions [1]. Temporal fluctuations occur on an hourly, daily, monthly, and annual basis, while spatial variations are shaped by factors such as highway type, geographic location, and road user route choices. Even when traffic is observed at the same time and place, the variations in volume can differ significantly between vehicle classes when analyzed separately. Adverse weather conditions also play a critical role in influencing traffic patterns, often leading to disruptions such as reduced speeds, delays, changes in travel plans, and an increased likelihood of accidents. These effects can lead to noticeable shifts in the traffic patterns of trucks and passenger cars. However, limited research has focused on understanding how classified traffic volumes change with different weather conditions, particularly regarding temporal and spatial variations.
It has been found that trip adjustments during adverse weather conditions are influenced by factors such as trip length, limited driving experience, gender, and increasing age [2]. Several other studies [3,4,5,6] have also noted that traffic volumes undergo more significant changes during the winter months compared to the summer. While severe cold may not directly impact driving conditions, travelers are often less willing to drive due to the increased risks associated with extreme cold [7], leading to a reduction in non-essential or discretionary trips.
In the research by the authors of [8], it was observed that the extent of traffic volume changes is influenced by factors such as the time of day, day of the week, location, highway classification, and the intensity of winter weather conditions. Their research explored traffic volume reductions within both temporal and spatial frameworks. However, like other studies in the field, their analysis was based on total traffic volumes, without differentiating between vehicle types. Prior studies have yet to focus specifically on how adverse weather conditions impact the timing and distribution of truck traffic across different locations. Moreover, the influence of challenging weather conditions on the route choices made by both truck and passenger vehicle drivers has not been thoroughly investigated. These gaps in the literature highlight the need for further investigation into how to classify traffic behaviors during severe winter weather. Additionally, research has not yet explored the possibility of increased traffic flow on well-maintained highways during poor weather, as vehicles may avoid routes with insufficient maintenance. This study examines and models this effect to fill that gap.
The main aim of this paper is to investigate how extreme winter weather influences traffic patterns, specifically modeling the effects of cold temperatures and snowfall on classified traffic volumes, with a focus on trucks and various highway types. The models utilize data gathered from weigh-in-motion (WIM) sites alongside weather station records. These models use regression analysis to associate variations in truck and passenger car traffic with winter weather conditions. The dataset, supplied by Alberta Transportation and Environment, Canada, includes more than 154 million vehicle records collected from six WIM locations on Alberta’s provincial highways. Model parameters were calculated using the car package within the R statistical software (R 4.3.1) [9]. The calibrated models were subsequently applied to estimate missing traffic data for winter periods. When compared to a widely used machine learning technique, the k-Nearest Neighbor (k-NN) algorithm, the results confirmed that the winter weather models developed in this study produced more accurate imputations of missing traffic data. k-NN, being a machine learning method, handles non-parametric regression, but was outperformed by the regression models used in this study.
Understanding traffic patterns during severe winter conditions is crucial for advancing sustainable transportation. Accurate traffic modeling allows for optimized maintenance and operational strategies, helping to reduce traffic monitoring costs and ensure the financial stability of transportation agencies. This research aids in building resilient transportation systems that can adapt to changing climate conditions, supporting the broader objectives of sustainable development, while addressing key research gaps, particularly the lack of focus on truck-specific traffic patterns and the interaction between snowfall and temperature on classified traffic volumes during severe winter weather.
The paper is structured as follows: Section 2 reviews the relevant literature. Section 3 describes the study data. Section 4 outlines the methodology. Section 5 presents the proposed winter weather model and results. Section 6 discusses traffic shifting analysis. Section 7 covers model applications, followed by the conclusion in Section 8.

2. Literature Review

Previous research on the effects of weather on traffic flow can be categorized into studies that examine how weather affects parameters in traffic flow such as speed, headway, and volume, and those that explore its impact on traffic flow quality, including operational performance, crash rates, delays, and congestion. This section discusses the most relevant studies focusing on variations in highway traffic volumes during winter weather.
Much previous research has focused on quantifying the relationship between traffic volumes and winter weather. It was reported that snowstorms can cause traffic volumes on U.S. highways to decrease by as much as 56% [10]. A matched-pair technique was used to examine the effect of summer precipitation on travel patterns in Chicago, comparing traffic volumes on days with and without rainfall [11]. A study conducted in the Lothian region of Scotland examined weather impacts on urban traffic, showing an average reductions of under 5% during severe weather conditions, with a more substantial 10–15% decrease observed when snow accumulation persisted [12]. For Iowa’s interstate highways, it was found that winter storms led to traffic volume reductions ranging from 16% to 47%, depending on storm severity [13]. In Melbourne, Australia, studies observed that rainy days led to a 1.35% reduction in traffic during winter and a 2.11% decrease in spring [14]. Research on Interstate Highway 35 in rural northern Iowa found a 20% decrease in traffic on snowy days with low wind and clear visibility, escalating to an 80% reduction when wind speeds surpassed 40 miles per hour and visibility fell below a quarter mile [15].
Keay and Simmonds [14] explored the influence of rainfall and other weather variables on traffic volumes in Melbourne, including both passenger vehicles and trucks. Additionally, Andrey and Olley [16] discussed how weather acts as a chronic hazard for road transportation in Canadian cities, focusing on both urban and rural settings. Maze et al. [15] highlighted how diverse weather conditions, such as rain, fog, and snow, influence traffic operations, safety, and demand. Datla and Sharma [17] further explored the interaction between cold temperatures and snowfall and particularly its combined effect on traffic volumes across different seasons and vehicle classes. These studies provide a broader perspective on the seasonal and weather-related impacts on classified traffic, particularly truck traffic.
Several other studies have investigated how cold temperatures and snowfall influence hourly and daily traffic volumes on provincial highways in Alberta. The study found that average daily winter traffic volumes drop by around 30% when temperatures fall below −25 °C. Additionally, their study indicated that daily traffic volumes drop between 7% and 17% for each centimeter of snowfall, with reductions reaching up to 51% during major snowstorms (30 cm or more of snowfall). Several other studies have investigated driver behaviors and trip-making decisions that impact highway traffic variations [10,18,19,20,21,22,23,24,25,26,27,28].
Recent advancements in deep learning techniques, such as Long Short-Term Memory (LSTM) networks and Convolutional Neural Networks (CNNs), and ensemble methods like gradient-boosting machines, have shown improved accuracy in traffic flow prediction under varying weather conditions, emphasizing their potential to complement regression-based approaches [29,30,31].
However, the literature review reveals a lack of detailed research on the impact of winter weather on classified traffic, particularly truck traffic. There is limited understanding of how winter conditions affect passenger cars and trucks differently based on road type, as well as how the interaction between snowfall and cold temperatures influences traffic patterns during severe winter weather. Previous studies often lacked in-depth statistical analysis due to data limitations. This study addresses these gaps through a comprehensive analysis using classified traffic data from WIM sites, coupled with weather data from Alberta, offering valuable insights into the relationship between winter conditions and traffic patterns.

3. Description of the Data

3.1. Big Wim Traffic Information

The weigh-in-motion (WIM) system collects extensive information on vehicles, such as axle loads, speed, passage date and time, lane details, and the number and spacing of axles, along with other relevant parameters. Alberta’s highway network includes six WIM sites that have been active since their installation in July 2004. These sites continuously gather data on vehicle classification and loads, aiding initiatives such as Alberta’s Strategic Highway Research and Long-Term Pavement Performance programs.
This study uses five years of WIM data, covering 2005 to 2009. The original dataset includes 61 variables per vehicle, from which 30 relevant variables were extracted using custom computer scripts written in Visual Basic. Initial analyses were performed on a dataset of 154,133,231 vehicle entries, each comprising 30 variables. These processed data form a matrix with 154,133,231 rows and 30 columns, allowing for an in-depth examination.

3.2. Environment Canada Weather Station Data

The climate data used in this study were obtained from Environment Canada [32]. Daily records from most weather stations include key parameters such as snowfall, precipitation, minimum, maximum, and average temperatures, and snow depth. Snowfall is recorded in centimeters, while temperatures are noted in degrees Celsius. Due to the negligible rainfall during winter, it was excluded from the analysis.

3.3. Choosing Study Locations

Environment Canada operates approximately 600 weather stations across the province of the Alberta. For this study, weather stations were selected based on their proximity to the research sites. According to previous studies [16,17,24,25], weather conditions are generally considered uniform within a 16 to 25 km radius of a weather station. A Geographic Information Systems (GIS) base map was developed to plot the locations of the 600 weather stations and 6 WIM sites. Using the proximity analysis feature in ArcGIS Pro 2.8.8 [33], WIM sites with nearby weather stations (within a 16 to 25 km radius) were identified. This study used complete datasets collected from three WIM sites and nearby weather stations located within a 7- to 9-km range. The data span a five-year timeframe from 2005 to 2009.
Highway 2, Alberta’s longest and one of Canada’s busiest highways, connects Edmonton and Calgary, forming a crucial economic corridor within western Canada and a segment of the Canamex Trade Corridor, which spans from Mexico to Alaska. Along this major route, two WIM sites capture data, monitoring heavy truck traffic, especially from Alberta’s oil fields. In contrast, the third WIM site is positioned on Highway 2A, south of Leduc. While Highway 2A is a significant roadway in Alberta, it handles much lower traffic volumes compared to Highway 2.

4. Preliminary Approach for Data Cleaning and Modelling

This research methodology is structured around four key stages, including vehicle classification, model development, model validation, and model application. The vehicle classification enables a focused examination of different vehicle types. Winter weather traffic models, which are based on regression analysis, evaluate the influence of snow and cold weather interactions (e.g., snowfall during cold days) on traffic volume fluctuations. Once these models are validated using statistical metrics, they are employed to input missing traffic data under extreme winter conditions.
Initially, vehicles are categorized into 13 groups based on the Federal Highway Administration (FHWA) classification system [34]. The study focuses on two primary vehicle categories—trucks and passenger cars—due to data constraints and the need to ensure sufficient sample sizes for robust statistical analysis. Although the original dataset included detailed classifications, such as various truck subtypes, the sample sizes for these specific categories were insufficient to support reliable modeling and meaningful comparisons, particularly under severe winter weather conditions. Grouping the data into broader categories allowed for a more stable and representative analysis of winter weather’s impact on traffic patterns. Consequently, the 13 vehicle categories were combined into two main groups—passenger vehicles and trucks—which were then utilized for the analysis and modeling stages.
Climate data from Environment Canada show that Alberta experiences significant snowfall and cold temperatures from November to March. Consequently, the study focuses on the period from November to March between 2005 and 2009. According to the literature [24], traffic patterns during long weekends in Alberta are highly distinctive, requiring careful consideration of data from holidays and adjacent days in studies of this nature. Additionally, initial analysis indicates that truck traffic volume on weekends is notably lower. These points are elaborated upon in Section 4.1. Therefore, weekends and long weekend holidays were excluded from the study’s analysis.

4.1. Traffic Patterns Analysis at the Study WIM Sites

A preliminary analysis examined hourly and daily traffic patterns for trucks and passenger cars, with the findings displayed in Figure 1. Variations in the hourly factor (defined as the ratio of hourly traffic volume to AADT) are illustrated in Figure 1a,b. Likewise, the daily factor (the ratio of daily traffic volume to AADT) is depicted in Figure 1c,d. The graphs show that variation patterns for total traffic closely resemble those of passenger cars, as passenger cars make up around 80–85% of the overall traffic. The hourly traffic factor for passenger cars exhibits a single peak (Figure 1a) from 5 to 7 p.m. on Highway 2. In contrast, Highway 2A displays two distinct peaks (Figure 1b): a morning peak between 7 and 9 a.m. and an evening peak from 4 to 7 p.m.
Truck traffic patterns differ from those of passenger cars, as shown in Figure 1a,b. Trucks exhibit a single peak between 2 and 6 p.m. Moreover, daily traffic trends for trucks differ markedly from those of passenger cars, with truck volumes being significantly higher on weekdays compared to weekends (Figure 1c,d). However, truck traffic declines sharply (by more than 50%) on weekends for both highways compared to weekdays.
Due to reduced truck traffic on weekends and the unique traffic patterns of passenger cars and trucks, distinct weekday winter weather traffic models were created for each vehicle type. According to Alberta’s road classification system outlined in a prior study [35] and the traffic trends shown in Figure 1, Highway 2 is identified as a regional long-distance route, whereas Highway 2A is categorized as a regional commuter route.

4.2. Non-Parametric Tests for Monthly Truck Type Distribution

This research aims to examine the impact of winter weather on truck volumes along two major highways in Alberta. To assess the temporal dependency of truck type distribution throughout the year, Chi-squared (χ2) and binomial probability tests were employed. Truck classifications were divided into single-unit, single-trailer, and multi-trailer trucks, following the FHWA Scheme-F classification system. The results of the χ2 test are summarized in Table 1. The detailed procedure for conducting the χ2 test follows the methodology outlined by previous studies [24,36].
The χ2 test results indicate whether truck types are associated with specific months, but they may not be fully conclusive. To enhance confidence in the consistency of these results, a binomial probability (BP) test was applied. The χ2 test outcomes are expected to follow a binomial distribution with a 0.5 probability of success each year, and the sample size is the number of study years. For a 95% confidence level, the critical value is 4 significant years out of 5. The combined results of the χ2 and BP tests suggest that truck traffic on Highway 2 is influenced by the time of year. Similar analyses on other Alberta highways, such as Highways 3, 16, and 44, confirmed this pattern. However, for Highway 2A, only 3 out of 5 years were significant, indicating no strong link between truck traffic and the time of year for this route.
Due to data limitations in both time and WIM sites, high-confidence seasonal truck traffic variations could not be fully established for all highways. However, the results can still guide monitoring programs. For regional commuter routes like Highway 2A, short-term traffic counts (a few days to weeks) may be sufficient for estimating key planning metrics such as Annual Average Daily Truck Traffic (AADTT) and Average Daily Truck Traffic (ADTT), though this method is less reliable for long-distance routes like Highway 2. Further research could help optimize truck count duration and frequency across different road types.

4.3. Modeling Procedures

Linear regression has long been a standard tool for predicting trip generation in transportation research. Ordinary Least Squares Regression (OLSR) is a commonly applied approach that links traffic volumes to various independent variables within a straightforward linear model, helping to clarify changes in highway traffic [37]. This study applies OLSR to analyze the influence of weather on daily traffic volumes. While linear regression provides advantages such as simplicity and interpretability, it has inherent limitations in capturing complex, non-linear relationships between variables. Despite these constraints, the selection of Ordinary Least Squares Regression (OLSR) for this study was justified by its robustness when applied to smaller datasets, its straightforward interpretability, and the clear linear relationship identified between weather variables and traffic patterns during the preliminary analysis.
In this study, the expected traffic volume factor, based on historical averages for the same time and location, is used as an independent variable. These averages account for traffic variations under different snow and temperature conditions, contributing as a systematic variable. Other weather factors, such as wind or pavement conditions, can also influence daily traffic and may act as random variables. However, this study concentrates solely on snow and temperature, given their prominence as typical winter conditions in northern North America.
To address yearly fluctuations in traffic, this study utilizes normalized daily passenger car volumes (the ratio of daily passenger car volume to annual average daily traffic, or AADT, for passenger cars) and truck volumes (the ratio of daily truck volume to truck AADT) rather than raw traffic counts. To systematically reflect typical traffic patterns and weekly variations, the model incorporates an expected daily volume factor (EDVF) as an independent variable. The EDVF is derived from historical traffic records corresponding to the same month, week, and day. Additional independent variables include Snow and Temp, which represent the relevant weather conditions. Additionally, to examine how snowfall and temperature interact and influence traffic volumes, the interaction term Snow × Temp is incorporated into the model. The formula for calculating EDVF is provided below.
E D V F i , j , k = r = 2005 r = 2009   ( D V F i , j , k ) r 5 ,   i ,   j & k
where i represents a specific day of the week (Monday to Friday), j represents a particular week of the month for which all weekday data are available (Week 1 to Week 4 or Week 5), k represents a specific month of winter (November to March), r serves as a yearly index spanning from 2005 to 2009, while DVFi,j,k denotes the daily volume factor for a specific day within a particular week and month of a designated year.
Prior to outlining the winter weather model structure, we created scatter plots to assess the linear relationship between traffic volume factors and winter weather variables. For the two study sites, Figure 2a–ff present scatter plots comparing passenger car and truck volume factors with expected traffic volume factors, snowfall, and temperature. Blue circles represent weekdays, and red stars represent weekends. Figure 2a,aa display scatter plots of daily volume factors against expected daily volume factors, revealing a tight clustering of data points along the regression line. This pattern suggests a strong positive linear relationship between daily volumes and historical averages. For passenger cars, the overlapping blue circles and red stars indicate substantial alignment in the observed and expected volume data. However, in Figure 2d,dd, the red stars for trucks are consistently lower than the blue circles, as truck traffic volumes are much lower on weekends. Weekday truck factors generally fall between 0.90 and 1.30, while weekend truck factors are between 0.30 and 0.70.
In Figure 2b,bb, the regression lines plotting passenger car volumes against snowfall indicate a moderate negative linear relationship, suggesting that higher snowfall generally correlates with reduced traffic volumes. Conversely, a positive linear relationship is observed between daily volumes and temperature, implying that traffic volume tends to increase as temperatures rise. The regression line slopes for passenger car traffic in both the snowfall (Figure 2b,bb) and temperature plots (Figure 2c,cc) are comparable between weekdays and weekends, indicating a consistent relationship between traffic volume and these weather variables regardless of the day type. For trucks (Figure 2e,f), the data clusters and regression lines exhibit a pattern similar to that of passenger cars on weekdays along Highway 2, indicating comparable responses to weather variables during the weekday period. On Highway 2A, truck traffic demonstrates a slight positive association with both snowfall and cold temperatures. The scatter plots indicate that truck volumes are not only lower than passenger car volumes but also display distinct patterns of variation, reflecting different sensitivities to winter weather conditions. As a result, separate models for cars and trucks were developed. Additionally, the slope of the regression line for weekend truck traffic is nearly flat due to the reduced volume on weekends. Consequently, we concentrated on developing weekday-specific models to analyze the individual effects of snowfall and temperature on passenger car and truck volumes, allowing for a detailed examination of these interactions.
Descriptive statistical analysis showed that the average winter temperature on snowy days (−10.94 °C, across 160 days over the five-year span) is lower than on snow-free days (−8.08 °C, over 350 days in the same period). The correlation analysis between snowfall and temperature yielded coefficients between 0.03 and −0.18, suggesting minimal to no correlation between these two variables. Moreover, historical data indicate that snowfall can occur at any temperature, with no clear pattern. This supports the need to investigate how the interaction between snow and cold affects traffic variations.

5. Model Structure and Estimation Results

Linear regression (L) analysis is commonly applied in modeling variations in highway traffic volumes [17], as it adeptly captures physical phenomena through clearly defined explanatory variables and their interactions [38]. The proposed L model utilizes an additive linear function to describe the relationship between highway traffic volume and winter weather conditions, incorporating three key explanatory variables: expected daily volume factor (EDVF), snowfall, and temperature.
y i = f ( E D V F ,   S n o w f a l l ,   T e m p e r a t u r e ) = β 1 E D V F i + β 2 S n o w i + β 3 T e m p i + ε i
In this model, i represents the ith observation, while β1, β2, β3 are the regression coefficients corresponding to the independent variables. The term yi denotes the estimated value of the daily traffic volume factor for different vehicle classes, such as cars and trucks. The independent variables include expected daily volume factor (EDVF), Snow (daily accumulation in centimeters), and Temp (daily temperature averaged in degrees Celsius). Lastly, εi is the stochastic error term, assumed to have an expected value of zero E(εi) = 0.
The additive L model (Equation (2)), incorporating EDVF, Snow, and Temp as independent variables, captures the distinct effects of cold temperatures and snowfall on highway traffic volumes. This means it reflects how temperature influences traffic volumes once the effect of snowfall has been considered, and vice versa. A more complex model is required to investigate whether snowfall’s impact on traffic volume is consistent across various temperature ranges or if it varies with temperature severity. Such an approach would help determine if there is an interaction between cold and snowfall affecting traffic volumes. To address this, the model in Equation (2) is expanded to include interactions between temperature and snowfall by adding the term Snowi × Tempi as an additional variable. The final form of the model, incorporating this interaction term, is shown in Equation (3).
y i = f ( E D V F ,   S n o w f a l l ,   T e m p e r a t u r e ) = β 1 E D V F i + β 2 S n o w i + β 3 T e m p i + β 4 S n o w i T e m p i + ε i
In this model, β4 denotes the regression coefficient estimated for the interaction term between snowfall and temperature. All other terms in the model, aside from the interaction term, retain the same definitions and roles as outlined in Equation (2).
The winter weather models for Highways 2 and 2A were estimated using the ordinary least squares (OLS) regression method [38]. Table 2 presents the results for six models, along with the corresponding statistical tests. In each model, a higher positive coefficient indicates that the associated factor leads to an increase in traffic volume, with parameter significance remaining stable across all models. The goodness of fit, measured by the R2 value, exceeds 0.98 for all models, and the F-test results confirm the statistical validity of the model structures at a significance level better than 0.001. The t-statistic is used to evaluate the significance of individual coefficients, and the reliability is marked in Table 2 using the symbol “*” (asterisk), where more stars represent greater reliability.
The incremental F-statistic was used to evaluate the snow–temperature interaction by comparing models that include the Snow × Temp interaction term with those that exclude it. These F-statistics, based on the comparison R2naive (or R2snow, temp) and R2snow×temp, using Equation (4) confirm that the inclusion of the interaction term improves the model, making it a valid addition.
F i n c r e m e n t a l = ( R s n o w × t e m p 2 R s n o w , t e m p 2 ) ( k s n o w × t e m p k s n o w , t e m p ) ( 1 R s n o w × t e m p 2 ) ( N k s n o w × t e m p )
In all cases, the adjusted R2 values closely match the R2 values, further supporting the findings from the t-test, F-test, and incremental F-statistics. These results confirm that the models are well-suited for the independent variables selected, indicating that overfitting is not a concern with the explanatory variables used.
The results of the five statistical tests—R2 value, F-test, incremental F-test, t-test, and adjusted R2 value—indicate that the models are well-suited to the sample data, confirming the appropriateness of the proposed model structure.

Temperature’s Partial Impact Under Different Snowfall Conditions

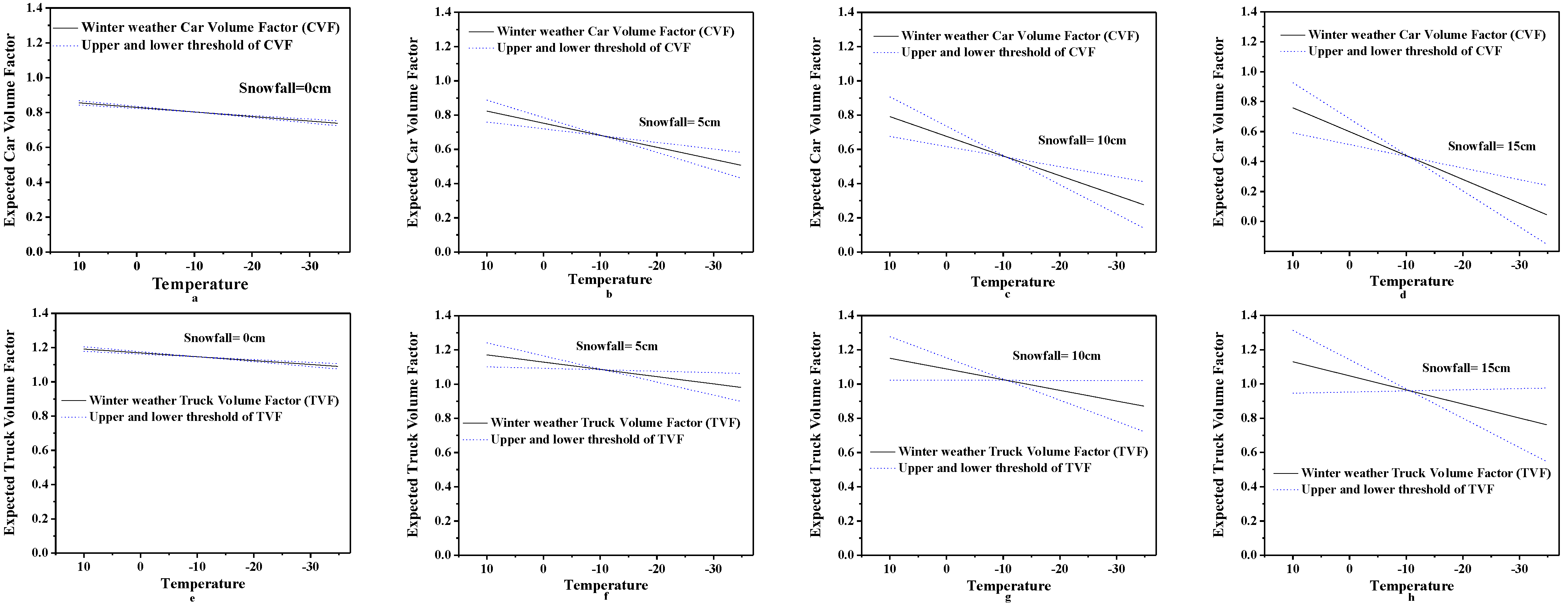
The influence of cold temperatures on daily traffic volumes across various snowfall levels is examined. Figure 3 and Figure 4 illustrate the effects of winter temperatures on both passenger car and truck volumes. In each plot, solid lines represent the estimated daily traffic based on the models in Table 2, with dotted lines marking the 95% confidence intervals for the traffic volume estimates. These plots demonstrate the effect of cold temperatures on daily traffic volumes across various conditions, including vehicle type, weekday versus weekend, location, and specified snowfall amounts.
In Figure 3, the top row of plots depicts how daily volume factors for passenger cars vary on weekdays along Highway 2 across a range of snowfall levels. These plots are based on the calculated estimated daily volume factor (EDVF), which was derived from the sample dataset. It is important to note that the EDVF at the point where the two dotted lines converge represents the average for that specific subset of data, typically occurring around −10 °C, which reflects both average and common winter conditions near the highway. The left-to-right comparison of slopes across the plots reveals how the influence of temperature on daily traffic varies with increasing snowfall. The second row of plots in Figure 3 presents similar information for trucks.
Figure 3 reveals a distinct relationship between cold temperatures, snowfall, and traffic volume fluctuations for both cars and trucks on Highway 2, which serves both regional and long-distance travel.
In Figure 3, daily traffic volumes are affected by the intensity of cold weather and the level of snowfall. As temperatures become colder, larger drops in both car and truck traffic are expected. On days without snowfall, the impact of cold alone on traffic is slight (Figure 3a,e). With increasing snowfall, the regression lines become steeper, showing that traffic decreases more sharply as both snowfall and cold levels rise, demonstrating an interaction effect. Snowfall of 15 cm or more, when temperatures are −20 °C or below, causes a notable drop in passenger car volumes (Figure 3d). Compared to trucks, passenger car traffic is more heavily reduced under extreme cold and high snowfall conditions (Figure 3d,h). Moreover, the broader 95% confidence range in extreme weather conditions suggests lower model reliability, likely due to fewer instances of heavy snowfall days in the modelling dataset.
Traffic volume reductions are associated with the proportion of discretionary trips in the overall traffic mix. A higher proportion of discretionary trips leads to greater adjustments in travel plans, resulting in larger traffic decreases, particularly for passenger cars. In contrast, trucks generally adhere to fixed schedules to meet essential travel needs, maintaining supply and demand balance when there is strong commodity demand, regardless of inclement weather conditions. In winter, user activity generally decreases, leading to a corresponding drop in commodity demand. For instance, Alberta sees extensive construction, farming, and oilfield operations in summer; however, these activities significantly drop in winter (with almost no agriculture), contributing to decreased truck traffic. On long-distance regional highways like Highway 2, truck traffic shows a decline, though it is less substantial than the reduction seen in car traffic.
Figure 4 displays the impact of cold temperatures on car and truck traffic along Highway 2A, a regional commuter corridor serving the Leduc area. The interpretation follows that of Figure 3. Like Highway 2, passenger car volumes on Highway 2A diminish with increased cold severity and snowfall. However, the regression slopes appear gentler than those for Highway 2, suggesting that cold has a relatively milder effect on cars on Highway 2A.
On Highway 2A, truck traffic patterns react differently to adverse weather conditions compared to those on Highway 2. Interestingly, the regression lines for truck volumes in Figure 4f–h show an unusual trend where increasing snowfall and colder temperatures lead to a slight rise in truck traffic volumes. This contrasts with the trend observed on Highway 2, where truck traffic decreases under similar conditions. Such a marginal increase in truck volume during harsh weather is seldom, if ever, documented in prior studies. An in-depth investigation was conducted to explore possible causes for this unusual pattern, including the potential rerouting of trucks from nearby roads like Highway 814, with findings detailed in the next section.

6. Assessment of Traffic Shifting Under Winter Weather Conditions

Examining the highway network around the study area reveals that Highway 814, a two-lane undivided secondary road located 7 km from Highway 2A, has a lower maintenance priority and a speed limit of 100 km/h. To understand whether traffic is moving to Highway 2A from Highway 814, an origin–destination survey would be ideal. However, since such surveys are costly and time consuming, this study uses Alberta’s winter road maintenance guidelines to assess how drivers might change routes. Alberta Transportation’s guidelines mandate minimum winter maintenance standards regardless of weather conditions. Table 3 indicates that Highway 2A, carrying an AADT over 7000, is designated as a Class B highway, ensuring a snow-clearing response time of less than 1 h. In contrast, Highway 814, with an AADT under 5000, falls into Class D, where the snow-clearing response time is up to 2 h. Observations also reveal significantly lower traffic on Highway 814 during severe winter conditions, which aligns with feedback from local municipalities indicating frequent traffic shifts to Highway 2A during poor winter maintenance on Highway 814.
The enhanced winter maintenance of Highway 2A, coupled with notable reductions in Highway 814’s traffic during severe weather, suggests a high likelihood of traffic diversion from lower-standard routes to higher-standard highways under adverse conditions.

7. Using the Winter Weather Model to Impute Missing Data in Winter Months

The winter weather models developed serve various purposes in transportation engineering, with one primary use being the estimation of missing traffic data throughout the winter season. This section focuses mainly on the comparison of the imputation accuracy resulting from the models developed in this study and a non-parametric machine learning method known as k-Nearest Neighbour (k-NN) method. The k-NN method was applied successfully to forecast short-term traffic flows [39]. The results from the k-NN method were compared with an artificial neural network, and time series models for traffic data imputation [40]. They concluded that the performance of the k-NN method is better in terms of forecast accuracy. It was reported the method is advantageous for modelling unusual situations since it maintains the uniqueness of every observation [41]. Considering its past successes, the k-NN method is used. After comparing the outcomes from both techniques, we found that winter weather models provide greater accuracy for imputing missing classified traffic data. The next section outlines the foundational concepts of the k-NN method.

7.1. Foundational Concepts of K-NN Machine Learning Technique

The k-Nearest Neighbor (k-NN) method is an instance-based machine learning technique designed to handle large datasets effectively [39,42]. It discerns patterns by matching current input variables to comparable data points from past records [39,43]. When applied to traffic volume data with temporal variations, the k-NN model represents the data as a state vector across time intervals, like t , t 1 , t 2 , and so on. Since k-NN aims to geometrically reconstruct a time series [44], including historical averages in the state vector helps each observation better align with the recurring flow–time pattern, thereby enhancing prediction accuracy [45]. For this study, the state vector x t is defined in Equation (5).
x t = [ V t , V t 1 , V t 2 , V h i s t t , V h i s t t + 1 ]
In this approach, traffic flows at time intervals t , t 1 , t 2 are represented by V t , V t 1 , and V t 2 , respectively. Historical average traffic volumes for the same day of the month at time intervals t and t + 1 are denoted by V h i s t t and V h i s t t + 1 . These historical averages are calculated from traffic data collected on the same calendar day and time period in previous years, ensuring they are specific to each vehicle type. Once this state vector is assembled, the model uses the Euclidean distance to find the k nearest neighbors, i.e., the k historical records that have the smallest distances from the current observation [39]. The Euclidean distance, d p , q measures the similarity between a historical data point p and the current situation q and is calculated as follows:
d p , q = V p t V q t 2 + V p t 1 V q t 1 2 + V p t 2 V q t 2 2 V h i s t , p t V h i s t , q t 2 + V h i s t , p t + 1 V h i s t , q t + 1 2
To determine the k-value, we identified the four closest data points, along with their traffic volumes, based on their Euclidean distances. For instance, Figure 5 illustrates the Euclidean distances and output volumes of the four nearest neighbors for 18 November 2009, a day with typical winter conditions where passenger vehicle volume reached 23,324. This volume aligns with the usual traffic for this location. As shown in Figure 5, the traffic volumes of the first three nearest neighbors closely match the actual volume, with smaller Euclidean distances. Therefore, for this case, the k-value is set to 3.

7.2. Utilizing Machine Learning K-NN and Winter Weather Models for Traffic Volume Prediction

To estimate daily traffic volumes on winter days, the k-NN method was implemented with k = 3 using Equation (7). This section provides an example of applying the k-NN technique to impute classified traffic data over an 18-day span, drawing on data from the WIM site along Highway 2. The period selected—14 November to 14 December 2009—features adverse weather conditions, as shown in Figure 6. Historical traffic data from 2005 through 2008 was used as a reference database to find similar instances for k-NN-based imputation.
y t = i = 1 k y i ( t ) d i i = 1 k 1 d i
Here, di denotes the Euclidean distance to the ith nearest neighbor, and y(t) represents that neighbor’s traffic volume. Figure 7 and Figure 8 compare the estimated versus actual traffic volumes for passenger cars and trucks, respectively, across the imputation period. A notable observation arose on Friday, 4 December (ID 91204), when snowfall reached 11 cm, and the average temperature was −7 °C. On this day, the k-NN method considerably overestimates volumes for both passenger cars and trucks, while the winter weather model yields estimates much closer to the actual recorded volumes.

7.3. Statistical Measures Comparing K-NN Machine Learning Method and Winter Weather Interaction Model Performance

The k-NN machine learning method’s performance is evaluated against the winter weather interaction model using several error metrics aimed at forecasting accuracy. Here, accuracy reflects how closely the model aligns with existing data. Among these metrics, the mean absolute percentage error (MAPE) is especially effective, as it reduces the impact of data variability. The formulation is provided in Equation (8).
M A P E = 1 n i = 1 n X i F i X i 100
In this context, Xi and Fi represent the actual and predicted daily traffic volumes, respectively. The minimum absolute percentage error (MinAPE, described in Equation (9)) and maximum absolute percentage error (MaxAPE, detailed in Equation (10)) indicate the least and greatest discrepancies in the results.
M i n P E = M i n X i F i X i 100
M a x P E = M a x X i F i X i 100
The 50th percentile error, denoted as E50 in Table 4, indicates that 50% of the estimation errors fall below this value. A similar explanation applies to E95. The error metrics suggest that the winter weather model provides more accurate imputation results overall. For truck traffic volume estimation, the k-NN method achieves a lower MAPE value compared to the winter weather model. However, the winter weather model shows a much lower E95 error (38.11) than the k-NN method (55.48), suggesting a higher accuracy in estimating more data points. When it comes to passenger cars, all error metrics consistently show that the winter weather model provides superior accuracy over the k-NN approach.
Upon further analysis, the superior performance of the machine learning k-Nearest Neighbors (k-NN) model in certain cases, particularly in terms of Mean Absolute Percentage Error (MAPE), can be attributed to the characteristics of the truck traffic data. Truck traffic tends to exhibit more consistent and predictable patterns compared to passenger car traffic, especially on long-distance routes. This consistency allows the machine learning k-NN algorithm to effectively capture these patterns by referencing similar historical data points.
In contrast, the interaction model demonstrates better performance in reducing extreme errors, as indicated by the lower E95 and MaxAPE values. This suggests that the interaction model is more effective at handling outliers and unusual traffic variations, which are particularly important during severe winter weather conditions. While the k-NN model performs well for typical traffic patterns, the interaction model offers a more robust approach for capturing the complex relationships between snowfall, temperature, and truck traffic, thereby enhancing the reliability of predictions under adverse weather conditions.

8. Conclusions

Research indicates that severe weather affects highway traffic patterns. However, detailed information on how winter weather influences truck traffic specifically, including temporal and spatial variations, has been lacking. This study addresses this gap by using vehicle classification data and weather data from weigh-in-motion (WIM) sites and weather stations in Alberta.
Results from combined χ2 and BP tests suggest that truck type distribution exhibits time dependency on rural long-distance roads, whereas regional commuter roads show consistent truck traffic monthly. Additional investigation is underway to further assess seasonal associations for different road types.
This study formulated and calibrated Ordinary Least Squares Regression (OLSR) models to link car and truck traffic variations to winter weather conditions. The models were statistically validated using F-test, and t-test. The findings indicate that traffic volumes are affected by cold severity and snowfall. On days without snowfall, temperature has only a slight impact on both vehicle types. However, during snowfalls, traffic volume reductions intensify, with passenger cars showing higher sensitivity compared to trucks. When snowfall reaches 15 cm or more at temperatures of −20 °C or below, very few passenger cars remain on the roads.
The study demonstrates that passenger cars are more affected by severe winter conditions than trucks. This may be due to factors like flexible trip planning, reluctance to take risks, or the limitations of two-wheel drives. Trucks, which must adhere to fixed schedules regardless of weather, showed less reduction in volume—though reduced activity levels still influence demand, especially on long-distance routes such as Highway 2. In contrast, increased truck volume was observed on Highway 2A, likely reflecting traffic shifts from parallel, lower-standard routes during adverse weather.
The study also applied winter weather models to estimate missing classified traffic data, comparing the results to k-NN machine learning-based imputations. The winter weather models provided estimates that were closer to the observed data.
While this study provides valuable insights into the impact of winter weather on classified traffic, several limitations should be acknowledged. The regional focus on Alberta may limit the generalizability of the findings to other geographical contexts with different winter weather patterns, road infrastructure, or traffic behaviors; future research should incorporate data from diverse regions to enhance broader applicability. Additionally, reliance on historical weather data may not fully capture evolving climate patterns, suggesting the need for integrating real-time data and predictive models. The simplified approach using Ordinary Least Squares Regression (OLSR) may not capture complex non-linear relationships, and advanced techniques like neural networks or ensemble methods could improve accuracy. Broader vehicle classifications overlook the detailed behavior of different truck subtypes, highlighting the potential for more in-detailed analysis. Finally, while missing data were addressed through imputation, alternative sources like GPS or telematics could provide richer insights.
Our analysis provides indirect evidence of truck rerouting from poorly maintained roads based on traffic volume data obtained from local authorities. However, we acknowledge that direct measurement of traffic flow, such as through origin–destination surveys, would offer more robust validation of this hypothesis. Future research could focus on directly measuring traffic patterns and investigating the extent of rerouting behavior during adverse weather conditions. This approach would enhance our understanding of traffic shifts and contribute to the development of more effective transportation management strategies in winter weather scenarios.
The insights gained from this study have significant implications for sustainable transportation management. By accurately estimating traffic volumes during winter, we can enhance the efficiency of road maintenance and resource use, ultimately reducing environmental impact and improving road safety. These advancements contribute to the creation of a more resilient and sustainable transportation network, supporting long-term development goals. Overall, these findings can support highway agencies in implementing better monitoring programs and winter roadway maintenance strategies. Additionally, they can inform operational planning for truck movements, such as route choice, terminal work allocation, and repositioning of empty trucks.

Funding

This research received no external funding.

Institutional Review Board Statement

Not applicable.

Informed Consent Statement

Not applicable.

Data Availability Statement

The original contributions presented in the study are included in the article, further inquiries can be directed to the corresponding author.

Acknowledgments

The authors thank Natural Science and Engineering Research Council of Canada (NSERC) and Alberta Transportation for their support and data provision.

Conflicts of Interest

The author declares no conflict of interest.

References

  1. HCM. Highway Capacity Manual; Transportation Research Board, National Research Council: Washington, DC, USA, 2008. [Google Scholar]
  2. Markku, K.; Heikki, S. Effects of weather and weather forecasts on driver behavior. Transp. Res. Part F 2007, 10, 288–299. [Google Scholar]
  3. Roh, H.J. Robust evaluation of big data-driven winter weather traffic models using six weigh-in-motion sites as testbeds in Alberta’s highway network. Transp. Plan. Technol. 2024, 1–26. [Google Scholar] [CrossRef]
  4. Andrey, J.; Mills, B.; Leahy, M.; Suggett, J. Weather as a Chronic Hazard for Road Transportation in Canadian Cities. Nat. Hazards 2003, 28, 319–343. [Google Scholar] [CrossRef]
  5. Goodwin, L.C. Weather Impacts on Arterial Traffic Flow; The Road Weather Management Program; FHWA, US Department of Transportation: Washington, DC, USA, 2002. [Google Scholar]
  6. Palutikof, J.P. Economic disruption caused by climatic extremes. Clim. Monit. 1981, 10, 68–73. [Google Scholar]
  7. Bomay. Work in Cold, Safety Resources; Bomay Group: Lagos, Nigeria, 2007. [Google Scholar]
  8. Datla, S.; Sharma, S. Impact of Cold and Snow on Temporal and Spatial Variations of Highway Traffic Volumes. J. Transp. Geogr. 2008, 16, 358–372. [Google Scholar] [CrossRef]
  9. RFSC. R Foundation for Statistical Computing. In R Development Core Team: A Language and Environment for Statistical Computing; R Foundation for Statistical Computing: Vienna, Austria, 2010. [Google Scholar]
  10. Hanbali, R.M.; Kuemmel, D.A. Traffic Volume Reduction Due to Winter Storm Conditions. Transp. Res. Rec. 1993, 1387, 159–164. [Google Scholar]
  11. Changnon, S.A. Effects of Summer Precipitation on Urban Transportation. Clim. Chang. 1996, 32, 481–495. [Google Scholar] [CrossRef]
  12. Hassan, Y.A.; Barker, J.J. The Impact of Unseasonable or Extreme Weather on Traffic Activity within Lothian Region, Scotland. J. Transp. Geogr. 1999, 7, 209–213. [Google Scholar] [CrossRef]
  13. Roh, H.J. Modelling Severe Weather Impact on Traffic Mobility and Evaluating Cross-Regional Applicability to Functionally Distinct Segments in Cold Region Highway Networks. Sustain. Futures 2024, 8, 100370. [Google Scholar] [CrossRef]
  14. Keay, K.; Simmonds, I. The Association of Rainfall and Other Weather Variables with Road Traffic Volume in Melbourne, Australia. Accid. Anal. Prev. 2005, 37, 109–124. [Google Scholar] [CrossRef] [PubMed]
  15. Maze, T.H.; Agarwal, M.; Burchett, G.D. Whether Weather Matters to Traffic Demand, Traffic Safety, and Traffic Operations and Flow. Transp. Res. Rec. 2006, 1948, 170–176. [Google Scholar] [CrossRef]
  16. Andrey, J.; Olley, R. Relationships between Weather and Road Safety, Past and Future Directions. Climatol. Bull. 1990, 24, 123–137. [Google Scholar]
  17. Datla, S.; Sharma, S. Variation of Impact of Cold Temperature and Snowfall and Their Interaction on Traffic Volume. Transp. Res. Rec. 2010, 2169, 107–115. [Google Scholar] [CrossRef]
  18. Smith, B.L.; Byrne, K.G.; Copperman, R.B.; Hennessy, S.M.; Goodall, N.J. An Investigation into the Impact of Rainfall on Freeway Traffic Flow. In Proceedings of the 83rd Annual Meeting of the Transportation Research Board, Washington, DC, USA, 11–15 January 2004. [Google Scholar]
  19. Shah, V.P.; Stern, A.D.; Goodwin, L.C.; Pisano, P. Analysis of Weather Impacts on Traffic Flow in Metropolitan Washington D.C. In Proceedings of the Annual Meeting of Institute of Transportation Engineers, Washington, DC, USA, 12–16 January 2003. [Google Scholar]
  20. Ibrahim, A.T.; Hall, F.L. Effect of Adverse Weather Conditions on Speed-Flow-Occupancy Relationships; Transportation Research Record: Journal of the Transportation Research Board, No. 1457; Transportation Research Board of the National Academies: Washington, DC, USA, 1994; pp. 184–191. [Google Scholar]
  21. Hall, F.L.; Barrow, D. Effects of Weather and the Relationship Between Flow and Occupancy on Freeways. Transp. Res. Rec. 1988, 1194, 55–63. [Google Scholar]
  22. McBride, J.C.; Benlangie, M.C.; Kennedy, W.J.; McCornkie, F.R.; Steward, R.M.; Sy, C.C.; Thuet, J.H. Economic Impacts of Highway Snow and Ice Control; FHWA, US Department of Transportation: Washington, DC, USA, 1997. [Google Scholar]
  23. Zang, L.I.; Holm, P.; Colyar, J. Identifying and Assessing Key Weather-Related Parameters and Their Impact on Traffic Operations Using Simulation; FHWA, US Department of Transportation: Washington, DC, USA, 2004. [Google Scholar]
  24. Roh, H.-J. Data-Driven Sustainability Validation of Winter Traffic Model Through Spatial Transferability of the Model’s Parameters between Functionally Homogeneous and Heterogeneous Highway Segments. J. Transp. Eng. Part A Syst. 2023, 149, 04022147. [Google Scholar] [CrossRef]
  25. Roh, H.-J. Developing a Risk Assessment Model for a Highway Site during the Winter Season and Quantifying the Functional Loss in Terms of Traffic Reductions Caused by Winter Hazards Conditions. J. Transp. Eng. Part A Syst. 2022, 148, 04022036. [Google Scholar] [CrossRef]
  26. Roh, H.-J. Development and Verification of Winter Weather Traffic Hazard Models for the Alberta Highway Network. Can. J. Civ. Eng. 2022, 49, 942–953. [Google Scholar] [CrossRef]
  27. Roh, H.-J.; Yasanthi, R.G.N. Modelling Traffic Volume Reduction as a Function of Winter Weather Factors in a Cold Region Highway. ASCE J. Cold Reg. Eng. 2023, 37, 06022004. [Google Scholar] [CrossRef]
  28. Roh, H.-J. A Study on Securing Model Usefulness through Geographical Scalability Testing of Winter Weather Model Developed with Big Traffic Data. Transp. Plan. Technol. 2022, 45, 473–497. [Google Scholar] [CrossRef]
  29. Smith, B.; Williams, R. Deep Learning for Spatiotemporal Traffic Forecasting: A Survey. J. Adv. Transp. 2021, 55, 123–145. [Google Scholar]
  30. Zhang, T.; Li, X. Applications of LSTM and CNN Models in Traffic Flow Prediction: A Comparative Study. Transp. Res. Part C Emerg. Technol. 2020, 115, 102632. [Google Scholar] [CrossRef]
  31. Ahmed, S.; Yu, M.; Kim, J. The Impact of Ensemble Methods on Weather-Influenced Traffic Prediction Models. IEEE Trans. Intell. Transp. Syst. 2019, 20, 2650–2660. [Google Scholar]
  32. EC. Environment Canada, Weather Office, Canada. 2024. Available online: https://weather.gc.ca/canada_e.html (accessed on 26 July 2024).
  33. ESRI. ArcGIS Pro 2.8.8 Help Library: Geographic Information System (GIS); ArcGIS Pro 2.8.8; Environmental System Research Institute, Inc.: Redlands, Australia, 2021. [Google Scholar]
  34. Wyman, J.H.; Braley, G.A.; Stephens, R.I. Field Evaluation of FHWA Vehicle Classification Categories; FHWA, US Department of Transportation: Washington, DC, USA, 1985. [Google Scholar]
  35. Sharma, S.; Werner, A. Improved Method of Grouping Province Wide Permanent Traffic Counters; Transportation Research Record: Journal of the Transportation Research Board, No. 815; Transportation Re-Search Board of the National Academies: Washington, DC, USA, 1981; pp. 12–18. [Google Scholar]
  36. Roh, H.J.; Datla, S.; Sharma, S. Impact of Winter Conditions on Truck Type Distribution on Alberta Highways. In Proceedings of the CSCE 2013 General Conférence-SCGC, Montréal, QC, USA, 29 May–1 June 2013. [Google Scholar]
  37. Fox, J. An R Companion to Applied Regression; SAGE Publications, Inc.: Thousand, OA, USA, 2011. [Google Scholar]
  38. Affi, A.; May, S.; Clark, A.V. Practical Multivariate Analysis, 5th ed.; CRC Press: Boca Raton, FL, USA; Taylor and Francis Group: Abingdon, UK, 2012. [Google Scholar]
  39. Liu, Z.B.; Sharma, S.; Datla, S. Imputation of Missing Traffic Data during Holiday Periods. Transp. Plan. Technol. 2008, 31, 525–544. [Google Scholar] [CrossRef]
  40. Smith, B.L.; Demetsky, M.J. Traffic flow forecasting: Comparison of model approaches. J. Transp. Eng. 1997, 123, 261–266. [Google Scholar] [CrossRef]
  41. Oswald, K.R.; Scherer, W.T.; Smith, B.L. Traffic Flow Forecasting Using Approximate Nearest Neighbor Nonparametric Regression, Final Report of ITS Center Project, Traffic Forecasting: Non-Parametric Regressions; Center for Transportation Studies, University of Virginia: Charlottesville, VA, USA, 2000. [Google Scholar]
  42. Hardle, W. Applied Nonparametric Regression; Cambridge University Press: Cambridge, UK, 1990. [Google Scholar]
  43. Davis, G.A.; Nihan, N.L. Nonparametric regression and short-term freeway traffic forecasting. J. Transp. Eng. 1991, 117, 178–187. [Google Scholar] [CrossRef]
  44. Mulhern, F.J.; Caprara, R.J.A. Nearest neighbour model for forecasting market response. Int. J. Forecast. 1994, 10, 191–207. [Google Scholar] [CrossRef]
  45. Smith, B.; Williams, B.M.; Oswald, R.K. Comparison of parametric and nonparametric models for traffic flow forecasting. Transp. Res. Part C 2002, 10, 303–321. [Google Scholar] [CrossRef]
Figure 1. Patterns of hourly and daily traffic variation for total traffics, passenger cars, and trucks.
Figure 1. Patterns of hourly and daily traffic variation for total traffics, passenger cars, and trucks.
Sustainability 17 00210 g001aSustainability 17 00210 g001b
Figure 2. (aff): Scatter plots illustrating the relationships between the dependent variable (traffic volume) and key independent variables, including categorized expected volume factors, snowfall, and temperature.
Figure 2. (aff): Scatter plots illustrating the relationships between the dependent variable (traffic volume) and key independent variables, including categorized expected volume factors, snowfall, and temperature.
Sustainability 17 00210 g002aSustainability 17 00210 g002b
Figure 3. (ah): Impact of cold temperatures on traffic volumes along Highway 2 at varying snowfall levels.
Figure 3. (ah): Impact of cold temperatures on traffic volumes along Highway 2 at varying snowfall levels.
Sustainability 17 00210 g003
Figure 4. (ah): Impact of cold temperatures on traffic volumes along Highway 2A at varying snowfall levels.
Figure 4. (ah): Impact of cold temperatures on traffic volumes along Highway 2A at varying snowfall levels.
Sustainability 17 00210 g004
Figure 5. Euclidean distances and corresponding output volumes for the four nearest neighboring data points.
Figure 5. Euclidean distances and corresponding output volumes for the four nearest neighboring data points.
Sustainability 17 00210 g005
Figure 6. Traffic variations and corresponding weather conditions for days with assumed missing data, utilized for model validation and testing.
Figure 6. Traffic variations and corresponding weather conditions for days with assumed missing data, utilized for model validation and testing.
Sustainability 17 00210 g006
Figure 7. Comparison of actual passenger car volumes with estimates from machine learning k-NN and winter weather interaction models.
Figure 7. Comparison of actual passenger car volumes with estimates from machine learning k-NN and winter weather interaction models.
Sustainability 17 00210 g007
Figure 8. Comparison of actual truck traffic with estimates from machine learning k-NN and winter weather interaction models.
Figure 8. Comparison of actual truck traffic with estimates from machine learning k-NN and winter weather interaction models.
Sustainability 17 00210 g008
Table 1. Non-parametric Chi-squared (χ2) test results.
Table 1. Non-parametric Chi-squared (χ2) test results.
Yearχ2—Hwy 2ASignificance **χ2—Hwy 2Significance **
2005241.235Y77.404Y
200621.023N74.003Y
200762.156Y75.096Y
200867.809Y59.347Y
200917.363N53.862Y
Total Significant Years 3 5
** Y = Dependent on month; N = Independent on month.
Table 2. Estimation results for the traffic–weather interaction model across different vehicle types.
Table 2. Estimation results for the traffic–weather interaction model across different vehicle types.
Highway 2
VariablesTOTPCTTT
EDVF1.0374 ***1.0406 ***1.0212 ***
SNOW−0.0144 ***−0.0153 ***−0.0081 **
TEMP0.0026 ***0.0026 ***0.0023 ***
SNOW × TEMP0.0008 **0.0009 ***0.0004
R20.99530.9940.9964
Adj. R20.99530.9940.9964
F-Statistics39,520 ***31,070 ***52,080 ***
Change from R2naive0.00010.00010.0001
Incremental F-statistic15.87 ***12.43 ***9.48 ***
Number of sample days750750750
Highway 2A
VariablesTOTPCTTT
EDVF1.0266 ***1.0310 ***1.0029 ***
SNOW−0.0156 ***−0.0170 ***−0.0085
TEMP0.0016 ***0.0019 ***0.0001
SNOW × TEMP0.0006 *0.0007 **−0.0004
R20.99770.99740.9923
Adj. R20.99760.99730.9922
F-Statistics39,500 ***35,200 ***11,290 ***
Change from R2naive0.00010.00010.0001
Incremental F-statistic16.13 ***14.27 ***0.0001
Number of sample days375375375
TOT (Total Traffic); PCT (Passenger Car Traffic); TT (Truck Traffic). *** indicate significance at the 0.001 level (p < 0.001), ** 0.01 level (p < 0.01), * 0.05 level (p < 0.05).
Table 3. Alberta winter road maintenance standards according to traffic volume and reaction time.
Table 3. Alberta winter road maintenance standards according to traffic volume and reaction time.
Class of HighwayTraffic Volume (AADT)Maximum Reaction Time (hrs)Maximum Time to Good Winter Driving Conditions (hrs)Typical Reaction Time (hrs)
A15,000261
B7000–15,000461
C5000–7000482
D2000–5000482
E1000–20006123
F500–10008123
G100–50012184
H<10016245
Table 4. Imputation results for passenger car and truck traffic using error measures for machine learning k-NN and winter weather interaction models.
Table 4. Imputation results for passenger car and truck traffic using error measures for machine learning k-NN and winter weather interaction models.
StatisticsMachine Learning K-NN_TTInteraction_TTMachine Learning K-NN_PCTInteraction_PCT
MAPE11.4913.2017.2814.32
MinAPE0.020.030.120.11
E505.165.219.275.56
E9555.4838.1157.8143.99
MaxAPE55.5245.00110.9467.91
TT = Truck Traffic; PCT = Passenger Car Traffic.
Disclaimer/Publisher’s Note: The statements, opinions and data contained in all publications are solely those of the individual author(s) and contributor(s) and not of MDPI and/or the editor(s). MDPI and/or the editor(s) disclaim responsibility for any injury to people or property resulting from any ideas, methods, instructions or products referred to in the content.

Share and Cite

MDPI and ACS Style

Roh, H.-J. Development and Application of a Winter Weather Traffic Imputation Model: A Comparative Study Against Machine Learning Techniques During the Winter Season. Sustainability 2025, 17, 210. https://doi.org/10.3390/su17010210

AMA Style

Roh H-J. Development and Application of a Winter Weather Traffic Imputation Model: A Comparative Study Against Machine Learning Techniques During the Winter Season. Sustainability. 2025; 17(1):210. https://doi.org/10.3390/su17010210

Chicago/Turabian Style

Roh, Hyuk-Jae. 2025. "Development and Application of a Winter Weather Traffic Imputation Model: A Comparative Study Against Machine Learning Techniques During the Winter Season" Sustainability 17, no. 1: 210. https://doi.org/10.3390/su17010210

APA Style

Roh, H.-J. (2025). Development and Application of a Winter Weather Traffic Imputation Model: A Comparative Study Against Machine Learning Techniques During the Winter Season. Sustainability, 17(1), 210. https://doi.org/10.3390/su17010210

Note that from the first issue of 2016, this journal uses article numbers instead of page numbers. See further details here.

Article Metrics

Back to TopTop