Experimental Study on the Movement of Boulders in Debris Flow: Influence of Boulder Size and Initial Orientation
Abstract
1. Introduction
2. Materials and Methods
2.1. Experimental Setup
2.2. Test Material
2.3. Boulder Models
2.4. Experimental Scale
2.5. Experiment Design
2.6. Experimental Procedure
- (1)
- Mudflow velocity: The velocity of the mudflow was obtained by recording the motion of the marker ball in the mudflow using Camera 1.
- (2)
- Variation in mudflow depth. Changes in the mudflow depth during the experiment were recorded using a laser distance-measuring device.
- (3)
- Changes in boulder velocity during boulder initiation. The change in boulder velocity during boulder initiation was recorded using Camera 1. Starting from the instant the mudflow touched the boulder, the change in boulder velocity was recorded every 1/6 s. The average velocity during each period was used as the instantaneous velocity at the next moment to facilitate data processing.
- (4)
- Variation in attitude during boulder movement. Changes in attitude during boulder movement were recorded using Camera 2.
- (5)
- Final movement distance and attitude of the boulder. At the end of the experiment, the final distance moved, and the attitude of the boulders was recorded using a camera.
3. Experimental Result
3.1. Velocity Variation During Boulder Initiation
3.2. Initiation Velocity of the Boulder
3.2.1. Effect of Length/Width Ratio on the Initiation Velocity
3.2.2. Effect of Angle on Initiation Velocity
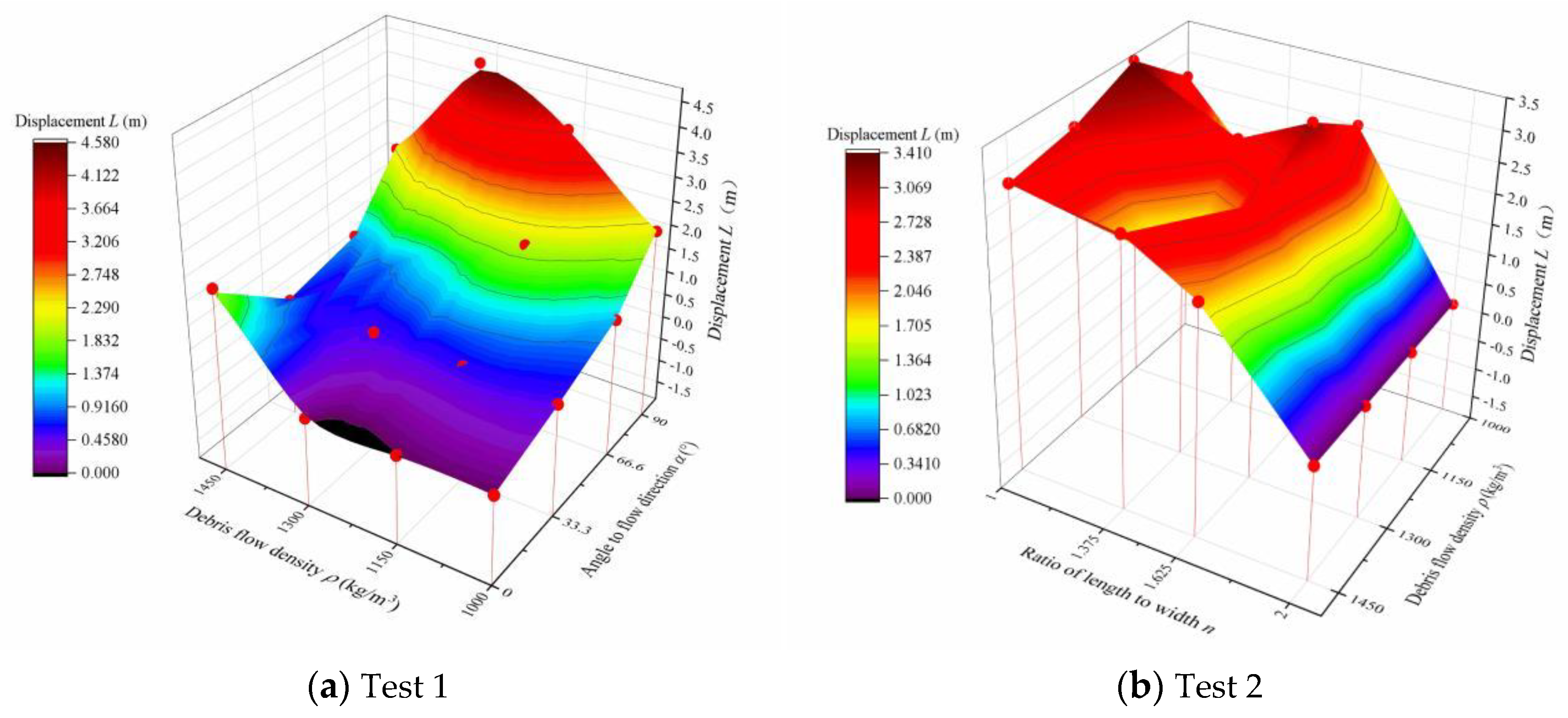
3.3. Distance of Boulder Movement
3.3.1. Effect of Length/Width Ratio on the Distance of Boulder Movement
3.3.2. Effect of Angle on Distance of Boulder Movement
3.3.3. The Effect of Mudflow Density on the Distance of Boulder Movement
3.4. Process of Boulder Movement
4. Discussion
4.1. Analysis of Boulder Forces
4.2. Analysis of Boulder Initiation Velocity
4.3. Analysis of Boulder Movement Distances
4.4. Initiation Conditions for Boulders
4.5. Principle of Deflection of Boulders
5. Conclusions
- (1)
- During the impact process of the mudflow on the boulders, the long axis of the boulder deflects under the uneven impact of the mudflow on both sides, increasing the area of the acting drag force and obtaining a more significant drag force. When the initial long axis of the boulder is parallel to the flow direction, the smaller the mass of the boulder, the less likely it is to deflect. However, when the boulder can be started, the difference between the drag force and the friction force is small, and the deflection of the boulder is obvious.
- (2)
- The velocity during the boulder movement successively exhibited four stages: slow growth, rapid growth, slow growth, and stabilization. In the test, the acceleration of the boulder stabilized at a lower value from 0 to 0.167 s, stabilized at the peak state from 0.167 s to 0.5 s, and then entered into the acceleration decrease stage. When the long axis of the boulder is parallel to the flow direction, the smaller the boulder mass, the greater the transfer efficiency of the mudflow on the boulder velocity. When an angle exists between the long axis of the boulder and the flow direction, the larger the angle, the larger the drag force area and velocity transfer efficiency.
- (3)
- The difference between the boulder force in the mudflow and tsunami was that the boulder in the seawater was always buoyant, whereas the boulder was buoyant only when the mudflow surrounded it, and the direction of the drag force of the boulder was different in the two cases.
Author Contributions
Funding
Institutional Review Board Statement
Informed Consent Statement
Data Availability Statement
Acknowledgments
Conflicts of Interest
References
- Fu, W.X.; Nie, D.X.; Ren, G.M.; Chen, H.J.; Wan, Z.L.; Yang, T.J.; Zhang, F.R. The Study on Debris Flow’s Distribution Regularity in China. Chin. J. Geol. Hazard Control 1997, 4, 40–44. (In Chinese) [Google Scholar]
- Iverson RM The physics of debris flows. Rev. Geophys. 1997, 35, 245–296. [CrossRef]
- Cui, P.; Zhuang, J.Q.; Chen, X.C.; Zhang, J.Q.; Zhou, X.J. Characteristics and countermeasures of debris flow in Wenchuan area after the earthquake. J. Sichuan Univ. (Eng. Sci. Ed.) 2010, 42, 10–19. [Google Scholar]
- Hu, G.S.; Chen, N.S.; Deng, M.F.; Lu, Y. Analysis of the Characteristics of Impact Force of Massive Stones of the Sanyanyu Debris Flow Gully in Zhouqu, Gansu Province. Earth Environ. 2011, 4, 478–484. [Google Scholar] [CrossRef]
- Wang, F.; Chen, X.Q.; Li, Y.; Li, K.; Yu, X.B. Fluid-solid Coupling Analysis of Boulder Rolling in Channel after Silt Dam Filled Based on Flow-3d. Sci. Technol. Eng. 2015, 15, 14–20. (In Chinese) [Google Scholar]
- Bugnion, L.; Mcardell, B.W.; Bartelt, P.; Wendeler, C. Measurements of hillslope debris flow impact pressure on obstacles. Landslides 2012, 9, 179–187. [Google Scholar] [CrossRef]
- Choi, C.E.; Ng, C.W.; Song, D.; Kwan, J.S.; Shiu, H.Y.; Ho, K.K.; Koo, R.C. Corrigendum: Flume investigation of landslide debris-resisting baffles. Can. Geotech. J. 2014, 51, 255. [Google Scholar] [CrossRef]
- Petroff, C.; Moore, A.; Arnason, H. Particle advection by turbulent bores—Orientation effects. In Proceedings of the International Tsunami Symposium, Seattle, WA, USA, 7–10 August 2001. [Google Scholar]
- Wang, D.; Chen, Z.; He, S.; Liu, Y.; Tang, H. Measuring and estimating the impact pressure of debris flows on bridge piers based on large-scale laboratory experiments. Landslides 2018, 15, 1331–1345. [Google Scholar] [CrossRef]
- Xu, Y.H.; Zhang, W.S.; Zhao, Y.X.; Wang, S.L. Numerical simulation of large particles moving in debris flow. J. Hydraul. Eng. 2012, S2, 98–104. (In Chinese) [Google Scholar] [CrossRef]
- Tang, B.H.; Sun, H.Y. Relationships between starting motion of large-sized particles in debris flow and water flow condition. J. Nat. Disasters 2017, 3, 132–138. (In Chinese) [Google Scholar] [CrossRef]
- Tang, B.H.; Sun, H.Y.; Hu, H.H. Analysis on critical hydraulic condition for starting motion of large-sized particles in viscous debris flow. J. Eng. Geol. 2018, 26, 1631–1637. (In Chinese) [Google Scholar] [CrossRef]
- Si, G.W.; Chen, X.Q.; Chen, J.G.; Tang, J.B.; Zhao, W.Y.; Jin, K. The Impact Force of Large Boulders with Irregular Shape in Flash Flood and Debris Flow. KSCE J. Civ. Eng. 2022, 26, 4276–4289. [Google Scholar] [CrossRef]
- Vicari, H.; Tran, Q.A.; Nordal, S.; Thakur, V. MPM modelling of debris flow entrainment and interaction with an upstream flexible barrier. Landslides 2022, 19, 2101–2115. [Google Scholar] [CrossRef]
- Wang, F.; Wang, J.; Chen, X.; Zhang, S.; Qiu, H.; Lou, C. Numerical Simulation of Boulder Fluid–Solid Coupling in Debris Flow: A Case Study in Zhouqu County, Gansu Province, China. Water 2022, 14, 3884. [Google Scholar] [CrossRef]
- Sha, S.; Dyson, A.P.; Kefayati, G.; Tolooiyan, A. Modelling of debris flow-boulder-barrier interactions using the Coupled Eulerian Lagrangian method. Appl. Math. Modell. 2024, 127, 143–171. [Google Scholar] [CrossRef]
- Nott, J. Extremely high-energy wave deposits inside the Great Barrier Reef, Australia: Determining the cause—Tsunami or tropical cyclone. Mar. Geol. 1997, 141, 193–207. [Google Scholar] [CrossRef]
- Nott, J. Waves, coastal boulder deposits and the importance of the pre-transport setting. Earth Planet. Sci. Lett. 2003, 210, 269–276. [Google Scholar] [CrossRef]
- Goto, K.; Okada, K.; Imamura, F. Numerical analysis of boulder transport by the 2004 Indian Ocean tsunami at Pakarang Cape, Thailand. Mar. Geol. 2010, 268, 97–105. [Google Scholar] [CrossRef]
- Paris, R.; Fournier, J.; Poizot, E.; Etienne, S.; Morin, J.; Lavigne, F.; Wassmer, P. Boulder and fine sediment transport and deposition by the 2004 tsunami in Lhok Nga (western Banda Aceh, Sumatra, Indonesia): A coupled offshore–onshore model. Mar. Geol. 2010, 268, 43–54. [Google Scholar] [CrossRef]
- Nandasena, N.A.K.; Tanaka, N. Boulder transport by high energy: Numerical model-fitting experimental observations. Ocean Eng. 2013, 57, 163–179. [Google Scholar] [CrossRef]
- Zainali, A.; Weiss, R. Boulder dislodgement and transport by solitary waves: Insights from three-dimensional numerical simulations. Geophys. Res. Lett. 2015, 42, 4490–4497. [Google Scholar] [CrossRef]
- Gandhi, D.; Chavare, K.A.; Prizomwala, S.P.; Bhatt, N.; Bhatt, N.Y.; Mohan, K.; Rastogi, B.K. Testing the numerical models for boulder transport through high energy marine wave event: An example from southern Saurashtra, western India. Quat. Int. 2017, 444, 209–216. [Google Scholar] [CrossRef]
- Imamura, F.; Goto, K.; Ohkubo, S. A numerical model for the transport of a boulder by tsunami. J. Geophys. Res. 2008, 113, 2007JC004170. [Google Scholar] [CrossRef]
- Bressan, L.; Guerrero, M.; Antonini, A.; Petruzzelli, V.; Archetti, R.; Lamberti, A.; Tinti, S. A laboratory experiment on the incipient motion of boulders by high-energy coastal flows. Earth Surf. Processes Landforms. 2018, 43, 2935–2947. [Google Scholar] [CrossRef]
- Liu, H.; Sakashita, T.; Sato, S. An experimental study on the tsunami boulder movement. In Proceedings of the 34th International Conference on Coastal Engineering, Seoul, Republic of Korea, 15–20 June 2014. [Google Scholar] [CrossRef]
- Oetjen, J.; Engel, M.; Bruckner, H.; Pudasaini, S.P.; Schuttrumpf, H. Enhanced Field Observation Based Physical and Numerical Modelling of Tsunami Induced Boulder Transport Phase 1: Physical Experiments. Int. Conf. Coast. Eng. 2017, 1, 4. [Google Scholar] [CrossRef][Green Version]
- Oetjen, J.; Engel, M.; Pudasaini, S.P.; Schuettrumpf, H. Significance of boulder shape, shoreline configuration and pre-transport setting for the transport of boulders by tsunamis. Earth Surf. Process. Landforms. 2020, 45, 2118–2133. [Google Scholar] [CrossRef]
- Xiao, X.W.; Xia, J.Q.; Shu, C.W.; Chen, Y.M. Theoretical analysis and experimental study of stability of flooded vehicles. J. Sediment Res. 2013, 1, 53–59. (In Chinese) [Google Scholar] [CrossRef]
- Shu, C.W.; Xia, J.Q.; Lin, B.L.; Tan, G.M. Estimation of Incipient Velocity of Flooded Vehicles. J. Catastrophol. 2012, 1, 28–33+43. (In Chinese) [Google Scholar]
- Shu, C.W.; Chen, X.D.; Kong, W.N. Experimental study of man-vehicle towing forces in floods. In Proceedings of the China Water Resources Society 2018 Annual Academic Conference Proceedings, Division 3, New Orleans, LA, USA, 29 September–3 October 2018; pp. 302–308. (In Chinese). [Google Scholar] [CrossRef]
- Cailleux, A.; Tricart, J. Contribution a L’etude Des Sables Et Des Galets; CDU: Paris, France, 1959; 376p. [Google Scholar]
- Li, P.; Wang, J.; Hu, K.; Shen, F. Effects of bed longitudinal inflexion and sediment porosity on basal entrainment mechanism: Insights from laboratory debris flows. Landslides 2021, 18, 3041–3062. [Google Scholar] [CrossRef]
- Iverson, R.M. Scaling and design of landslide and debris-flow experiments. Geomorphology 2015, 244, 9–20. [Google Scholar] [CrossRef]
- Lanzoni, S.; Gregoretti, C.; Stancanelli, L.M. Coarse-grained debris flow dynamics on erodible beds. JGR Earth Surf. 2017, 122, 592–614. [Google Scholar] [CrossRef]
- Xie, T.; Yang, H.; Wei, F.; Gardner, J.S.; Dai, Z.; Xie, X. A new water–sediment separation structure for debris flow defense and its model test. Bull. Eng. Geol. Environ. 2014, 73, 947–958. [Google Scholar] [CrossRef]
- Wang, D.P.; Chen, Z.; He, S.M.; Chen, K.J.; Liu, F.M.; Li, M.Q. Physical model experiments of dynamic interaction between debris flow and bridge pier model. Rock Soil Mech. 2019, 9, 3363–3372. (In Chinese) [Google Scholar] [CrossRef]
- Li, S.; Wang, J.; Wang, F.; Li, P. Experimental study on a debris flow water-sediment separation structure of a funnel-type grating and its sorting characteristics. Bull. Eng. Geol. Environ. 2023, 82, 148. [Google Scholar] [CrossRef]
- Lodhi, H.A.; Hasan, H.; Nandasena, N.A.K. The role of hydrodynamic impact force in subaerial boulder transport by tsunami—Experimental evidence and revision of boulder transport equation. Sediment. Geol. 2020, 408, 105745. [Google Scholar] [CrossRef]




















| V (m3) | n | α (°) | ρ (kg/m3) | |
|---|---|---|---|---|
| Test 1 | 0.05 | 1 | 0 | 1000, 1150, 1300, 1450 |
| 1.375 | ||||
| 1.625 | ||||
| 2 | ||||
| Test 2 | 2 | 0 | ||
| 33.3 | ||||
| 66.6 | ||||
| 90 |
| Test ID | ρ (kg/m3) | V (m3) | α (°) | n | v0 (m/s) | hm (mm) | v1 (m/s) | v2 (m/s) | v3 (m/s) | v4 (m/s) | Fr | L (m) |
|---|---|---|---|---|---|---|---|---|---|---|---|---|
| Test 1 | 1000 | 0.05 | 0 | 1 | 2.88 | 21 | 0.21 | 0.66 | 1.02 | 1.02 | 6.39 | 2.59 |
| 1.375 | 2.64 | 0.03 | 0.24 | 0.54 | 0.66 | 5.86 | 0.875 | |||||
| 1.625 | 2.76 | 0 | 0.18 | 0.54 | 0.72 | 6.12 | 2.51 | |||||
| 2 | 2.88 | 0 | 0 | 0 | 0 | 6.39 | 0 | |||||
| 1150 | 0.05 | 1 | 2.64 | 22.5 | 0.24 | 0.84 | 1.08 | 1.2 | 5.66 | 3.41 | ||
| 1.375 | 2.52 | 0 | 0.03 | 0.27 | 0.66 | 5.40 | 2.615 | |||||
| 1.625 | 2.52 | 0 | 0.03 | 0.24 | 0.48 | 5.40 | 3.17 | |||||
| 2 | 2.64 | 0 | 0 | 0 | 0 | 5.66 | 0 | |||||
| 1300 | 0.05 | 1 | 2.16 | 23.5 | 0.24 | 0.6 | 1.02 | 1.14 | 4.53 | 2.965 | ||
| 1.375 | 2.16 | 0.09 | 0.27 | 0.54 | 0.84 | 4.53 | 1.255 | |||||
| 1.625 | 2.28 | 0.06 | 0.45 | 0.72 | 0.84 | 4.78 | 2.6 | |||||
| 2 | 2.28 | 0 | 0 | 0 | 0 | 4.78 | 0 | |||||
| 1450 | 0.05 | 1 | 2.64 | 25.5 | 0.18 | 0.66 | 0.9 | 1.08 | 5.31 | 2.765 | ||
| 1.375 | 2.88 | 0.12 | 0.18 | 0.48 | 0.72 | 5.80 | 2.53 | |||||
| 1.625 | 2.64 | 0.06 | 0.18 | 0.48 | 0.54 | 5.31 | 1.89 | |||||
| 2 | 2.88 | 0 | 0 | 0.06 | 0.3 | 5.80 | 1.98 | |||||
| Test 2 | 1000 | 0.05 | 0 | 2 | 2.88 | 21 | 0 | 0 | 0 | 0 | 6.39 | 0 |
| 33.3 | 2.76 | 0 | 0.03 | 0.18 | 0.3 | 6.12 | 0.508 | |||||
| 66.6 | 2.88 | 0.18 | 0.36 | 0.84 | 1.08 | 6.39 | 1.06 | |||||
| 90 | 2.76 | 0.3 | 0.66 | 0.96 | 1.08 | 6.12 | 2.166 | |||||
| 1150 | 0.05 | 0 | 2.64 | 22.5 | 0 | 0 | 0 | 0 | 5.66 | 0 | ||
| 33.3 | 2.52 | 0.03 | 0.24 | 0.45 | 0.6 | 5.40 | 0.58 | |||||
| 66.6 | 2.64 | 0.18 | 0.66 | 1.02 | 1.14 | 5.66 | 2 | |||||
| 90 | 2.52 | 0.24 | 0.78 | 1.14 | 1.32 | 5.40 | 3.705 | |||||
| 1300 | 0.05 | 0 | 2.28 | 23.5 | 0 | 0 | 0 | 0 | 4.78 | 0 | ||
| 33.3 | 2.16 | 0.03 | 0.24 | 0.54 | 0.72 | 4.53 | 0.61 | |||||
| 66.6 | 2.16 | 0.21 | 0.63 | 1.02 | 1.14 | 4.53 | 1.37 | |||||
| 90 | 2.28 | 0.3 | 0.84 | 1.05 | 1.38 | 4.78 | 4.57 | |||||
| 1450 | 0.05 | 0 | 2.88 | 25.5 | 0 | 0 | 0.06 | 0.3 | 5.80 | 1.98 | ||
| 33.3 | 2.88 | 0 | 0 | 0.03 | 0.27 | 5.80 | 0.64 | |||||
| 66.6 | 2.64 | 0.12 | 0.66 | 0.84 | 1.07 | 5.31 | 1.01 | |||||
| 90 | 2.88 | 0.24 | 0.72 | 0.96 | 1.08 | 5.80 | 2.285 |
Disclaimer/Publisher’s Note: The statements, opinions and data contained in all publications are solely those of the individual author(s) and contributor(s) and not of MDPI and/or the editor(s). MDPI and/or the editor(s) disclaim responsibility for any injury to people or property resulting from any ideas, methods, instructions or products referred to in the content. |
© 2024 by the authors. Licensee MDPI, Basel, Switzerland. This article is an open access article distributed under the terms and conditions of the Creative Commons Attribution (CC BY) license (https://creativecommons.org/licenses/by/4.0/).
Share and Cite
Liu, R.; Wang, F.; Wang, J.; Chen, X.; Qiu, H.; Lou, C. Experimental Study on the Movement of Boulders in Debris Flow: Influence of Boulder Size and Initial Orientation. Sustainability 2025, 17, 179. https://doi.org/10.3390/su17010179
Liu R, Wang F, Wang J, Chen X, Qiu H, Lou C. Experimental Study on the Movement of Boulders in Debris Flow: Influence of Boulder Size and Initial Orientation. Sustainability. 2025; 17(1):179. https://doi.org/10.3390/su17010179
Chicago/Turabian StyleLiu, Rendong, Fei Wang, Jiading Wang, Xiaoqing Chen, Haijun Qiu, and Canyun Lou. 2025. "Experimental Study on the Movement of Boulders in Debris Flow: Influence of Boulder Size and Initial Orientation" Sustainability 17, no. 1: 179. https://doi.org/10.3390/su17010179
APA StyleLiu, R., Wang, F., Wang, J., Chen, X., Qiu, H., & Lou, C. (2025). Experimental Study on the Movement of Boulders in Debris Flow: Influence of Boulder Size and Initial Orientation. Sustainability, 17(1), 179. https://doi.org/10.3390/su17010179

