Research on the Mechanism of Strength Improvement in Acid–Base-Activated Low Carbon Oil Absorbent Concrete
Abstract
1. Introduction
2. Experimental Methods
2.1. Raw Materials
2.2. Sample Preparation
2.2.1. Mix Design
2.2.2. Preparation of Alkali-Modified Seashell Powder
- S1.
- Washed and dried the seashell waste, and then crushed and sieved them, retaining seashell powder with a particle size of 0.3–0.6 mm;
- S2.
- Soaked the seashell powder in a 25% NaOH solution for 3 days, then dried it at 60 °C for later use.
2.2.3. Preparation of Acid–Base-Modified Seashell Powder
- S1.
- Washed and dried the seashell waste, and then crushed and sieved them, retaining seashell powder with a particle size of 0.3–0.6 mm.
- S2.
- Soaked the SC in a 30% citric acid solution and used an ultrasonicator (SN-QX-20D, Shanghai Shangyi Instrument Equipment Co., Ltd., Shanghai, China) to soak for 60 min. Rinsed the seashell powder with water until it was neutral.
- S3.
- Used an NaOH solution to treat the seashell powder three times. The procedure is as follows: First, soaked the seashell powder in a 25% NaOH solution for 30 min, then rinsed it with water until neutral. Soaked it in a 12% NaOH solution for 30 h, and rinsed it again with water until it became neutral. Soaked the material in citric acid for 4 h, then rinsed it with water until neutral. Next, soaked it in 60% NaOH for 24 h, and finally rinsed it with water until neutral.
- S4.
- The seashell powder was processed using a microwave by placing it in an industrial microwave oven (QX-5HO, Dongguan Qixie Microwave Equipment Co., Ltd., Dongguan, China) with a microwave power of 1180 W and a light wave power of 850 W for 60 min. Finally, the seashell powder was removed when the temperature dropped to room temperature and stored for later use.
2.2.4. OAC Sample Preparation
2.3. Test Methods
2.3.1. Oil Adsorption and Compressive Strength Test
2.3.2. Microscopic Test Methods
3. Results and Discussion
3.1. Oil Adsorption Performance
3.2. Compressive Strength Analysis
3.3. Microscopic Analysis
3.3.1. SEM Analysis
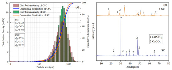
3.3.2. XRD Analysis
4. Conclusions
- (1)
- By comparing the oil absorption performance and compressive strength of concrete with different sand rates and water–cement ratios, it was found that when the sand rate was 35% and the water–cement ratio was 0.5, the oil absorption performance of concrete improved by 58.69% compared to ordinary concrete. Additionally, the compressive strength reached 17.52 MPa at 28 days and 24.96 MPa at 90 days.
- (2)
- After adding the silane modifier, compared with ordinary concrete, the oil absorption performance improved by 265.73%. The compressive strength at 28 days was only 11.95 MPa, while at 90 days, it increased to 15.53 MPa.
- (3)
- By comparing the compressive strength of concrete mixed with different seashell modifications at different ages, it was found that adding CSC was beneficial for enhancing the strength of OAC. The compressive strength reached 14.32 MPa at 28 days and 17.45 MPa at 90 days, representing an increase of 19.67% and 12.36%, respectively, compared to OAC.
- (4)
- By comparing the oil absorption properties of concrete with different proportions, it was found that adding CSC increased the oil absorption performance by 172.23% compared to ordinary concrete. This might be due to the porous structure of CSC, which caused the internal pores of concrete after adding CSC to be higher than ordinary concrete. Compared to OAC, the addition of seashell powder had a negative impact on the oil absorption performance of concrete. The oil absorbent performance was in the order BCA1-W > BCA1-J > BCA1-SJ. The physical filling effect of seashell powder and the generation of Ca(OH)2 after acid–base modification in CSC might invalidate some hydrophobic material properties, thereby reducing the oil absorption properties of the concrete.
- (5)
- Through SEM and XRD, it was found that after adding CSC, it reacted with hydrocalumite in the concrete to produce alumohydrocalcite, as CSC was abundant in CO32−. As the calcium hydroxide content in concrete increased, the proportions of C-(A)-S-H gel and ettringite increased. The synergistic effects of the three components increased the compressive strength of OAC.
Author Contributions
Funding
Institutional Review Board Statement
Informed Consent Statement
Data Availability Statement
Conflicts of Interest
References
- Amari, S.; Darestani, M.; Millar, G.J.; Samali, B.; Strounina, E. Engineering and Life Cycle Assessment (LCA) of Sustainable Zeolite-Based Geopolymer Incorporating Blast Furnace Slag. Sustainability 2024, 16, 440. [Google Scholar] [CrossRef]
- Martinho, F.C.G.; Silva, H.M.R.D.; Oliveira, J.R.M.; Moura, C.F.N.; Loureiro, C.D.A.; Silvestre, J.D.; Rodrigues, M.M.M. Mechanical and Environmental Performance of Asphalt Concrete with High Amounts of Recycled Concrete Aggregates (RCA) for Use in Surface Courses of Pavements. Sustainability 2023, 16, 248. [Google Scholar] [CrossRef]
- Kaptan, K.; Cunha, S.; Aguiar, J. A Review: Construction and Demolition Waste as a Novel Source for CO2 Reduction in Portland Cement Production for Concrete. Sustainability 2024, 16, 585. [Google Scholar] [CrossRef]
- Silva, A.; Nogueira, R.; Bogas, J.A. Strategies for OPC Paste Carbonation: Relationship between Microstructure, Performance and Net CO2 Balance. Sustainability 2023, 16, 361. [Google Scholar] [CrossRef]
- Chen, X.F.; Jiao, C.J. A photocatalytic mortar prepared by tourmaline and TiO2 treated recycled aggregates and its air-purifying performance. Case Stud. Constr. Mat. 2022, 16, e01073. [Google Scholar] [CrossRef]
- Chen, X.F.; Jiao, C.J. Effect of construction wastes on the rheo-physical behavior of photocatalytic mortar. Case Stud. Constr. Mat. 2022, 16, e01049. [Google Scholar] [CrossRef]
- Carpenter, A. Oil pollution in the North Sea: The impact of governance measures on oil pollution over several decades. Hydrobiologia 2019, 845, 109–127. [Google Scholar] [CrossRef]
- Zhang, B.; Matchinski, E.J.; Chen, B.; Ye, X.; Jing, L.; Lee, K. Marine Oil Spills—Oil Pollution, Sources and Effects, World Seas: An Environmental Evaluation; Academic Press: Cambridge, MA, USA, 2019; pp. 391–406. [Google Scholar] [CrossRef]
- Wang, D.; Liu, S.; Dong, B.; Yuan, L.; Pan, H.; Zhao, Q. Research Progress on Factors Affecting Oil-Absorption Performance of Cement-Based Materials. Materials 2023, 16, 3166. [Google Scholar] [CrossRef]
- Mora, E.; González, G.; Romero, P.; Castellón, E. Control of water absorption in concrete materials by modification with hybrid hydrophobic silica particles. Constr. Build. Mater. 2019, 221, 210–218. [Google Scholar] [CrossRef]
- Liu, B.; Shi, J.; Sun, M.; He, Z.; Xu, H.; Tan, J. Mechanical and permeability properties of polymer-modified concrete using hydrophobic agent. J. Build. Eng. 2020, 31, 101337. [Google Scholar] [CrossRef]
- Wang, Z.; Ma, H.Y.; Chu, B.; Hsiao, B.S. Super-hydrophobic modification of porous natural polymer “luffa sponge” for oil absorption. Polymer 2017, 126, 470–476. [Google Scholar] [CrossRef]
- Hou, D.; Zhao, T.; Wang, P.; Li, Z.; Zhang, J. Molecular dynamics study on the mode I fracture of calcium silicate hydrate under tensile loading. Eng. Fract. Mech. 2014, 131, 557–569. [Google Scholar] [CrossRef]
- Hou, D.; Lu, C.; Zhao, T.; Zhang, P.; Ding, Q. Structural, dynamic and mechanical evolution of water confined in the nanopores of disordered calcium silicate sheets. Microfluid. Nanofluid. 2015, 19, 1309–1323. [Google Scholar] [CrossRef]
- Li, Q.; Yang, K.; Yang, C.H. An alternative admixture to reduce sorptivity of alkali-activated slag cement by optimising pore structure and introducing hydrophobic film. Cem. Concr. Compos. 2019, 95, 183–192. [Google Scholar] [CrossRef]
- He, B.; Gao, Y.; Qu, L.; Duan, K.; Zhou, W.; Pei, G. Characteristics analysis of self-luminescent cement-based composite materials with self-cleaning effect. J. Clean. Prod. 2019, 225, 1169–1183. [Google Scholar] [CrossRef]
- Hou, P.; Li, R.; Li, H.; Xie, N.; Cheng, X.; Singh, L.P. The use of hydrophobicity and pozzolanic reactivity of the PMHS/nanosilica hybrid composites on the water absorption of cement mortar. J. Therm. Anal. Calorim. 2018, 134, 1775–1784. [Google Scholar] [CrossRef]
- Zhao, J.; Gao, X.; Chen, S.; Lin, H.; Li, Z.; Lin, X. Hydrophobic or superhydrophobic modification of cement-based materials: A systematic review. Compos. Part B Eng. 2022, 243, 110104. [Google Scholar] [CrossRef]
- Feng, Z.; Wang, F.; Xie, T.; Ou, J.; Xue, M.; Li, W. Integral hydrophobic concrete without using silane. Constr. Build. Mater. 2019, 227, 116678. [Google Scholar] [CrossRef]
- Aubert, J.E.; Husson, B.; Vaquier, A. Use of municipal solid waste incineration fly ash in concrete. Cem. Concr. Res. 2004, 34, 957–963. [Google Scholar] [CrossRef]
- Hemalatha, T.; Ramaswamy, A. A review on fly ash characteristics–Towards promoting high volume utilization in developing sustainable concrete. J. Clean. Prod. 2017, 147, 546–559. [Google Scholar] [CrossRef]
- Wang, J.J.; Liu, E.G.; Li, L. Characterization on the recycling of waste seashells with Portland cement towards sustainable cementitious materials. J. Clean. Prod. 2019, 220, 235–252. [Google Scholar] [CrossRef]
- Djobo, Y.J.N.; Elimbi, A.; Dika Manga, J.; Djon Li Ndjock, I.B. Partial replacement of volcanic ash by bauxite and calcined oyster shell in the synthesis of volcanic ash-based geopolymers. Constr. Build. Mater. 2016, 113, 673–681. [Google Scholar] [CrossRef]
- Kuo, W.T.; Wang, H.Y.; Shu, C.Y.; Su, D.S. Engineering properties of controlled low-strength materials containing waste oyster shells. Constr. Build. Mater. 2013, 46, 128–133. [Google Scholar] [CrossRef]
- Tayeh, B.A.; Hasaniyah, M.W.; Zeyad, A.M.; Awad, M.M.; Alaskar, A.; Mohamed, A.M.; Alyousef, R. Durability and mechanical properties of seashell partially-replaced cement. J. Build. Eng. 2020, 31, 101328. [Google Scholar] [CrossRef]
- Tayeh, B.A.; Hasaniyah, M.W.; Zeyad, A.; Yusuf, M.O. Properties of concrete containing recycled seashells as cement partial replacement: A review. J. Clean. Prod. 2019, 237, 117723. [Google Scholar] [CrossRef]
- Olivia, M.; Oktaviani, R. Properties of concrete containing ground waste cockle and clam seashells. Procedia Eng. 2017, 171, 658–663. [Google Scholar] [CrossRef]
- Ruengsillapanun, K.; Udtaranakron, T.; Pulngern, T.; Tangchirapat, W.; Jaturapitakkul, C. Mechanical properties, shrinkage, and heat evolution of alkali activated fly ash concrete. Constr. Build. Mater. 2021, 299, 123954. [Google Scholar] [CrossRef]
- Chi, M.; Huang, R. Binding mechanism and properties of alkali-activated fly ash/slag mortars. Constr. Build. Mater. 2013, 40, 291–298. [Google Scholar]
- Oderji, S.Y.; Chen, B.; Ahmad, M.R.; Shah, S.F.A. Fresh and hardened properties of one-part fly ash-based geopolymer binders cured at room temperature: Effect of slag and alkali activators. J. Clean. Prod. 2019, 225, 1–10. [Google Scholar] [CrossRef]
- Wardhono, A. The effect of seashell waste on setting and strength properties of class c fly ash geopolymer concrete cured at ambient temperature. J. Eng. Sci. Technol. 2019, 14, 1220–1230. [Google Scholar]
- Hasnaoui, A.; Bourguiba, A.; El Mendili, Y.; Sebaibi, N.; Boutouil, M. A preliminary investigation of a novel mortar based on alkali-activated seashell waste powder. Powder Technol. 2021, 389, 471–481. [Google Scholar] [CrossRef]
- Yun, Y.J.; Lee, S.; Kim, Y.; Ryu, Y.B. Effect of Various Acid Solutions on the CO2 Dissolution Rate, Morphology, and Particle Size of Precipitated Calcium Carbonate Synthesized Using Seashells. Materials 2023, 16, 7665. [Google Scholar] [CrossRef]
- Upadhayay, P.; Pal, P.; Zhang, D.; Pal, A. Sea Shell Extracted Chitosan Composites and Their Applications. Compos. Aquat. Environ. 2023, 2023, 293–314. [Google Scholar] [CrossRef]
- Wang, T.; Yang, L.; Rao, F.; Jiang, K.; Byrynnai, C. Effect of chitosan on the mechanical properties and acid resistance of metakaolin-blast furnance slag–based geopolymers. Environ. Sci. Pollut. Res. 2023, 30, 47025–47037. [Google Scholar] [CrossRef]
- Li, Z.; Chen, R.; Zhang, L.Y. Utilization of chitosan biopolymer to enhance fly ash-based geopolymer. J. Mater. Sci. 2013, 48, 7986–7993. [Google Scholar] [CrossRef]
- Wang, D.; Liu, S.; Yuan, L.; Dong, B.; Wu, D.; Zhao, Q. 1H NMR monitoring of dynamic microstructure evolution of HACP during adsorption of different fluids. Constr. Build. Mater. 2024, 411, 134462. [Google Scholar] [CrossRef]
- Wang, D.; Wu, X.; Yuan, L.; Wu, D.; Zhao, Q.; Pan, H.; Qi, W. Oil absorption and plant symbiosis capacity of hydrophobic modified concrete: Preparation and performance analysis. Constr. Build. Mater. 2024, 413, 134897. [Google Scholar] [CrossRef]
- Alabaraoye, E.; Achilonu, M.; Hester, R. Biopolymer (Chitin) from various marine seashell wastes: Isolation and characterization. J. Polym. Environ. 2018, 26, 2207–2218. [Google Scholar] [CrossRef]
- GB/T 50081-2019; Standard for Test Methods of Concrete Physical and Mechanical Properties. Chinese Standard: Beijing, China, 2019.
- Pan, D.; Chen, K.; Niu, D.; Leung, C.K.Y.; Li, Z. Capillary water absorption and free shrinkage characterization for seawater sea-sand concrete. J. Build. Eng. 2024, 87, 109119. [Google Scholar] [CrossRef]
- Eziefula, U.G.; Ezeh, J.C.; Eziefula, B.I. Properties of seashell aggregate concrete: A review. Constr. Build. Mater. 2018, 192, 287–300. [Google Scholar] [CrossRef]
- Temuujin, J.; Van Riessen, A.; Williams, R. Williams. Influence of calcium compounds on the mechanical properties of fly ash geopolymer pastes. J. Hazard. Mater. 2009, 167, 82–88. [Google Scholar] [CrossRef]
- Liu, B.J.; Luo, G.; Xie, Y.J. Effect of curing conditions on the permeability of concrete with high volume mineral admixtures. Constr. Build. Mater. 2018, 167, 359–371. [Google Scholar] [CrossRef]
- Zhang, J.; Bian, F.; Zhang, Y.; Fang, Z.; Fu, C.; Guo, J. Effect of pore structures on gas permeability and chloride diffusivity of concrete. Constr. Build. Mater. 2018, 163, 402–413. [Google Scholar] [CrossRef]
- Zhang, B.; Li, Q.; Ma, R.; Niu, X.; Yang, L.; Hu, Y.; Zhang, J. The influence of a novel hydrophobic agent on the internal defect and multi-scale pore structure of concrete. Materials 2021, 14, 609. [Google Scholar] [CrossRef]
- Prabhu, G.G.; Hyun, J.H.; Kim, Y.Y. Effects of foundry sand as a fine aggregate in concrete production. Constr. Build. Mater. 2014, 70, 514–521. [Google Scholar] [CrossRef]
- Liu, J.; Ge, T.; Wu, Y.; Chen, R. Effect of Sand-to-Cement Ratio on Mechanical Properties of Foam Concrete. Buildings 2022, 12, 1969. [Google Scholar] [CrossRef]
- Lam, L.; Wong, Y.L.; Poon, C.S. Degree of hydration and gel/space ratio of high-volume fly ash/cement systems. Cem. Concr. Res. 2000, 30, 747–756. [Google Scholar] [CrossRef]
- Rattanasak, U.; Chindaprasirt, P. Influence of NaOH solution on the synthesis of fly ash geopolymer. Miner. Eng. 2009, 22, 1073–1078. [Google Scholar] [CrossRef]
- Görhan, G.; Kürklü, G. The influence of the NaOH solution on the properties of the fly ash-based geopolymer mortar cured at different temperatures. Compos. Part B Eng. 2014, 58, 371–377. [Google Scholar] [CrossRef]
- Rifaai, Y.; Yahia, A.; Mostafa, A.; Aggoun, S.; Kadri, E.-H. Rheology of fly ash-based geopolymer: Effect of NaOH concentration. Constr. Build. Mater. 2019, 223, 583–594. [Google Scholar] [CrossRef]
- Ipavec, A.; Gabrovšek, R.; Vuk, T.; Kaučič, V.; Maček, J.; Meden, A. Carboaluminate phases formation during the hydration of calcite-containing Portland cement. J. Am. Ceram. Soc. 2011, 94, 1238–1242. [Google Scholar] [CrossRef]
- Ramachandran, V.S.; Zhang, C.M. Thermal analysis of the 3CaO· Al2O3-CaSO4· 2H2O-CaCO3-H2O system. Thermochim. Acta 1986, 106, 273–282. [Google Scholar] [CrossRef]
- Gu, X.; Tan, H.; He, X.; Zhang, J.; Li, M.; Su, Y.; Yang, J. Nano CSH seeds prepared from ground granulated blast-furnace slag-carbide slag and its application in Portland cement. Constr. Build. Mater. 2022, 329, 127204. [Google Scholar] [CrossRef]
- Da, Y.; Laixue, P.; Di, S.; Mingyang, L.U.; Jiabin, W.; Zebin, G. Reaction mechanism of fly ash in alkali-activated slag/fly ash system. Bull. Chin. Ceram. Soc. 2021, 40, 3005–3011. [Google Scholar] [CrossRef]










| Materials | CaO/% | SiO2/% | Al2O3/% | Fe2O3/% | MgO/% | K2O/% | SO3/% | Others/% |
|---|---|---|---|---|---|---|---|---|
| Cement | 63.40 | 20.60 | 4.79 | 3.14 | 2.62 | 1.05 | 3.68 | 0.72 |
| Fly ash | 4.48 | 42.7 | 44.8 | — | 0.38 | 1.14 | 0.61 | 5.89 |
| S95 Slag | 32.30 | 32.90 | 17.40 | — | 8.39 | 0.61 | 2.81 | 5.59 |
| Materials | Apparent Density (kg/m3) | Bulk Density (kg/m3) | Absorption (%) | Crush Value (%) |
|---|---|---|---|---|
| Manufactured Sand | 2630 ± 3 | 1740 ± 2 | — | — |
| Gravel | 2730 ± 2 | 1510 ± 4 | 2.5 ± 0.3 | 11.8 ± 0.2 |
| Number | Cement | Fly Ash | S95 Slag | NaOH | Seashell | Silane Modifier | Sand | Stone | Water | Remarks |
|---|---|---|---|---|---|---|---|---|---|---|
| D0.5 | 1 | — | — | — | — | — | 1.20 | 2.23 | 0.5 | — |
| SCA1-0.3 | 1 | 3.46 | 0.48 | — | — | — | 5.09 | 11.87 | 2.47 | — |
| SCA1-0.4 | 1 | 3.46 | 0.48 | — | — | — | 6.77 | 10.19 | 2.47 | — |
| WCA1-0.4 | 1 | 3.46 | 0.48 | — | — | — | 5.94 | 11.02 | 1.98 | — |
| WCA1-0.5 | 1 | 3.46 | 0.48 | — | — | — | 5.94 | 11.02 | 2.47 | — |
| WCA1-0.6 | 1 | 3.46 | 0.48 | — | — | — | 5.94 | 11.02 | 2.96 | — |
| YCA1 | 1 | 3.46 | 0.48 | — | — | — | 5.94 | 11.02 | 2.47 | — |
| ACA1-1 | 1 | 3.46 | 0.48 | 0.05 | — | 0.15 | 5.94 | 11.02 | 2.47 | — |
| ACA1-2 | 1 | 3.46 | 0.48 | 0.25 | — | 0.15 | 5.94 | 11.02 | 2.47 | — |
| ACA1-3 | 1 | 3.46 | 0.48 | 0.50 | — | 0.15 | 5.94 | 11.02 | 2.47 | — |
| BCA1-W | 1 | 3.46 | 0.48 | — | 0.49 | 0.15 | 5.94 | 11.02 | 2.47 | Unprocessed |
| BCA1-J | 1 | 3.46 | 0.48 | — | 0.49 | 0.15 | 5.94 | 11.02 | 2.47 | Alkali-modified |
| BCA1-SJ | 1 | 3.46 | 0.48 | — | 0.49 | 0.15 | 5.94 | 11.02 | 2.47 | Acid–base-modified |
Disclaimer/Publisher’s Note: The statements, opinions and data contained in all publications are solely those of the individual author(s) and contributor(s) and not of MDPI and/or the editor(s). MDPI and/or the editor(s) disclaim responsibility for any injury to people or property resulting from any ideas, methods, instructions or products referred to in the content. |
© 2024 by the authors. Licensee MDPI, Basel, Switzerland. This article is an open access article distributed under the terms and conditions of the Creative Commons Attribution (CC BY) license (https://creativecommons.org/licenses/by/4.0/).
Share and Cite
Wang, D.; Yang, Z.; Zheng, H.; Li, K.; Pan, H.; Li, T. Research on the Mechanism of Strength Improvement in Acid–Base-Activated Low Carbon Oil Absorbent Concrete. Sustainability 2024, 16, 3661. https://doi.org/10.3390/su16093661
Wang D, Yang Z, Zheng H, Li K, Pan H, Li T. Research on the Mechanism of Strength Improvement in Acid–Base-Activated Low Carbon Oil Absorbent Concrete. Sustainability. 2024; 16(9):3661. https://doi.org/10.3390/su16093661
Chicago/Turabian StyleWang, Dongli, Zeyu Yang, Haojie Zheng, Ke Li, Huimin Pan, and Tong Li. 2024. "Research on the Mechanism of Strength Improvement in Acid–Base-Activated Low Carbon Oil Absorbent Concrete" Sustainability 16, no. 9: 3661. https://doi.org/10.3390/su16093661
APA StyleWang, D., Yang, Z., Zheng, H., Li, K., Pan, H., & Li, T. (2024). Research on the Mechanism of Strength Improvement in Acid–Base-Activated Low Carbon Oil Absorbent Concrete. Sustainability, 16(9), 3661. https://doi.org/10.3390/su16093661
