Exploring Ecological, Morphological, and Environmental Controls on Coastal Foredune Evolution at Annual Scales Using a Process-Based Model
Abstract
1. Introduction
1.1. Wind-Driven Dune Growth
1.2. Wave-Driven Erosion
1.3. Vegetation Dynamics of Dunes
1.4. Previous Modeling Work Synthesizing Physical and Ecological Effects
1.5. Study Aims
2. Materials and Methods
2.1. Study Site and Field Datasets
2.2. Numerical Model Description
2.3. Modeling Management Strategies
2.3.1. Baseline Scenario
2.3.2. Modeling Dune Grass Planting Strategies
2.3.3. Exploratory Climate Change Scenarios
2.4. Model Outputs
3. Results
3.1. Baseline Case
3.2. Environmental Forcings
3.3. Vegetation Influence
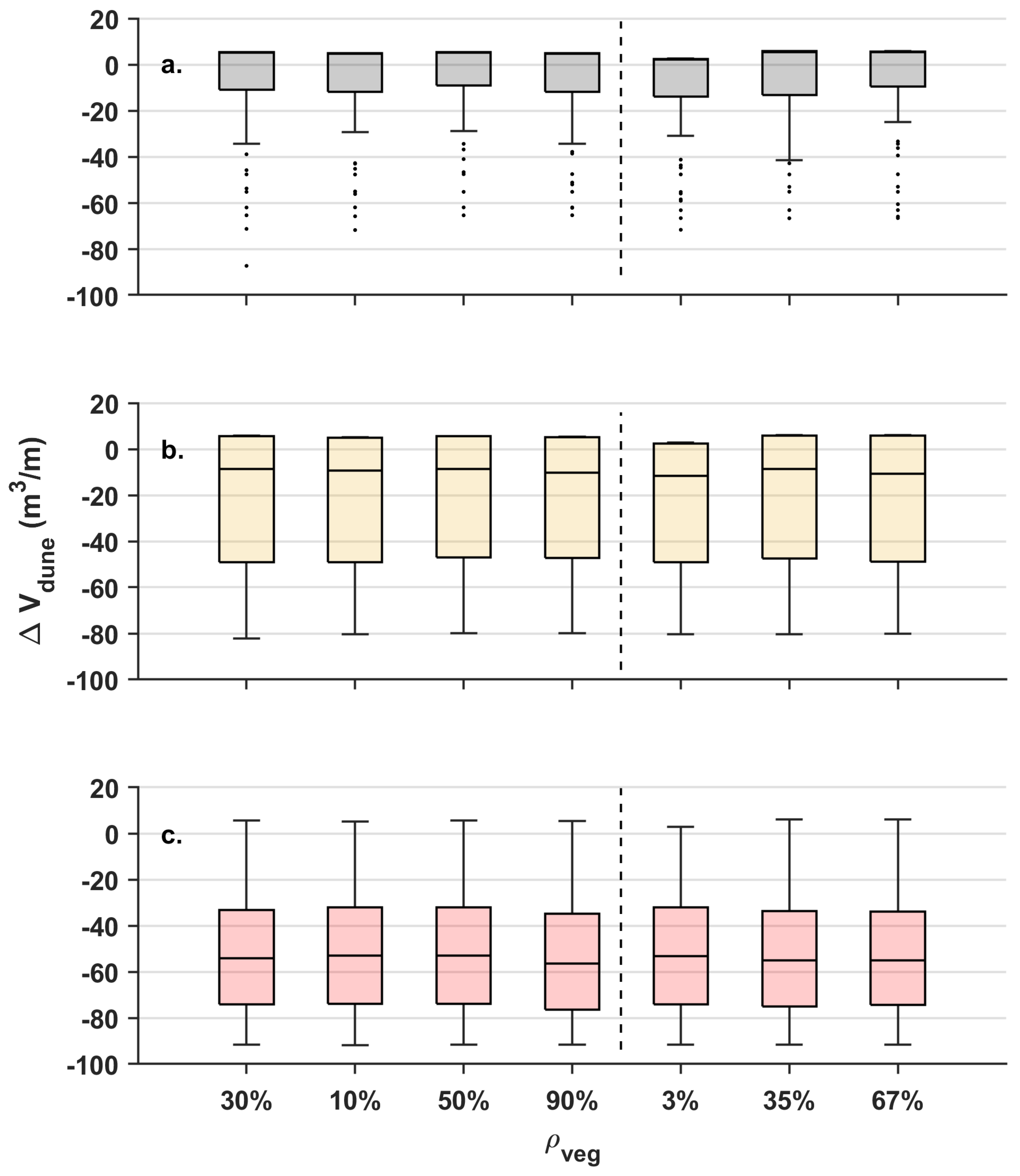
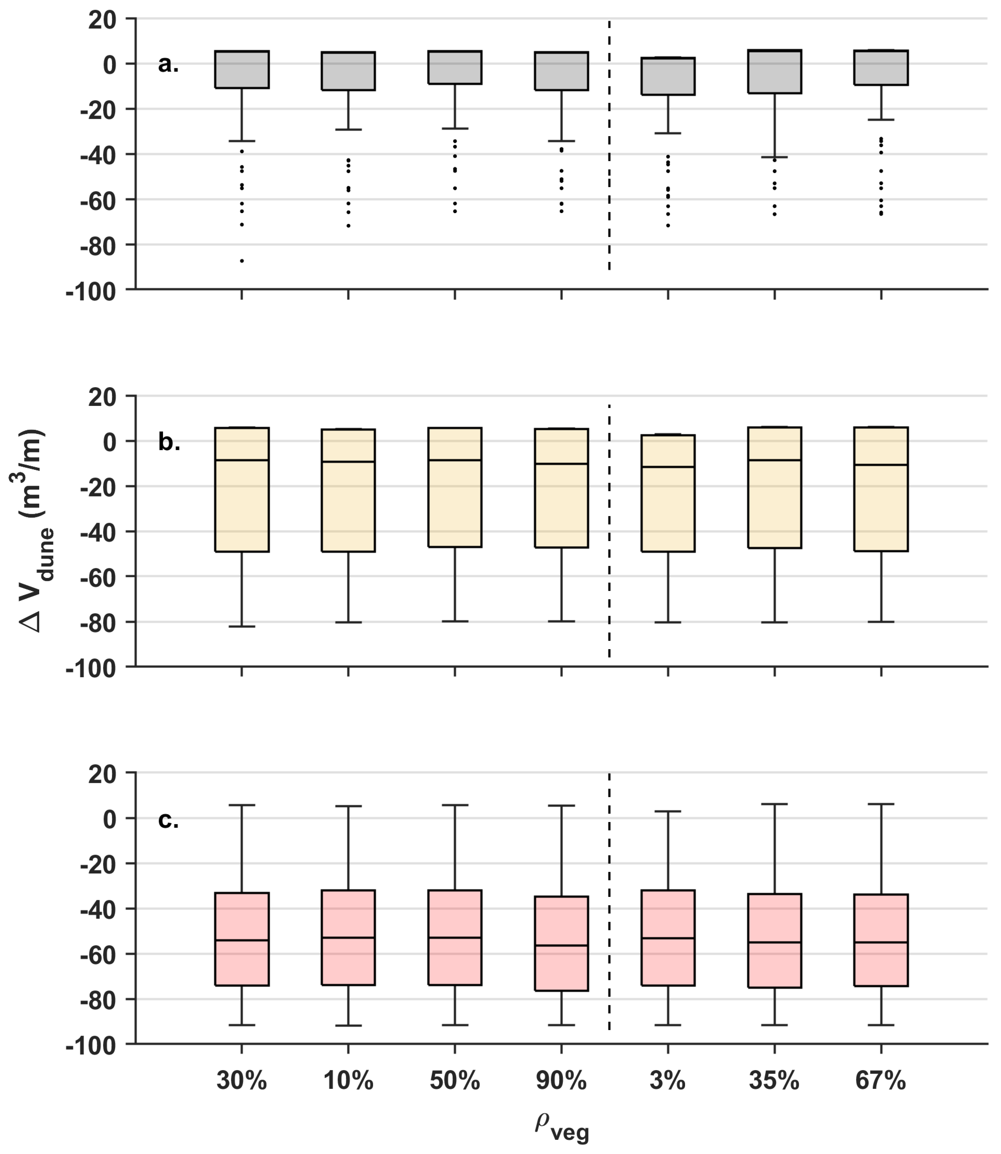
3.3.1. Uniform Vegetation Cover
3.3.2. Gradient Vegetation Cover
4. Discussion
4.1. Morphologic Controls
4.2. Ecological Controls
4.3. Future Dune Vulnerability under Variable Environmental Forcings
4.4. Numerical Approach
5. Conclusions
Author Contributions
Funding
Institutional Review Board Statement
Informed Consent Statement
Data Availability Statement
Acknowledgments
Conflicts of Interest
References
- Marsooli, R.; Lin, N.; Emanuel, K.; Feng, K. Climate Change Exacerbates Hurricane Flood Hazards along US Atlantic and Gulf Coasts in Spatially Varying Patterns. Nat. Commun. 2019, 10, 3785. [Google Scholar] [CrossRef] [PubMed]
- Sweet, W.V.; Hamlington, B.D.; Kopp, R.E.; Weaver, C.P.; Barnard, P.L.; Bekaert, D.; Brooks, W.; Craghan, M.; Dusek, G.; Frederikse, T.; et al. Global and Regional Sea Level Rise Scenarios for the United States: Updated Mean Projections and Extreme Water Level Probabilities along U.S. Coastlines; National Oceanic and Atmosphere Administration, National Ocean Service: Silver Spring, MD, USA, 2022. [Google Scholar]
- Knutson, T.R.; Chung, M.V.; Vecchi, G.; Sun, J.; Hsieh, T.-L.; Smith, A.J.P. ScienceBrief Review: Climate Change Is Probably Increasing the Intensity of Tropical Cyclones. In Critical Issues in Climate Change Science; le Quéré, C., Liss, P., Forster, P., Eds.; 2021; CERN: Meyrin, Switzerland; pp. 1–8. [Google Scholar] [CrossRef]
- Singhvi, A.; Luijendijk, A.P.; Van Oudenhoven, A.P.E. The Grey—Green Spectrum: A Review of Coastal Protection Interventions. J. Environ. Manag. 2022, 311, 114824. [Google Scholar] [CrossRef] [PubMed]
- Elko, N.; Brodie, K.; Stockdon, H.; Nordstrom, K.; Houser, C.; McKenna, K.; Moore, L.; Rosati, J.; Ruggiero, P.; Thuman, R.; et al. Dune Management Challenges on Developed Coasts. Shore Beach 2016, 84, 15–28. [Google Scholar]
- Santos, V.M.; Wahl, T.; Long, J.W.; Passeri, D.L.; Plant, N.G. Combining Numerical and Statistical Models to Predict Storm-Induced Dune Erosion. JGR Earth Surf. 2019, 124, 1817–1834. [Google Scholar] [CrossRef]
- Strypsteen, G.; Houthuys, R.; Rauwoens, P. Dune Volume Changes at Decadal Timescales and Its Relation with Potential Aeolian Transport. JMSE 2019, 7, 357. [Google Scholar] [CrossRef]
- Delgado-Fernandez, I. A Review of the Application of the Fetch Effect to Modelling Sand Supply to Coastal Foredunes. Aeolian Res. 2010, 2, 61–70. [Google Scholar] [CrossRef]
- Davidson-Arnott, R.G.D.; Law, M.N. Seasonal Patterns and Controls on Sediment Supply to Coastal Foredunes, Long Point, Lake Erie. In Coastal Dunes: Form and Process; John Wiley & Sons Ltd.: Hoboken, NJ, USA, 1990; pp. 177–200. [Google Scholar]
- Silva, F.G.; Wijnberg, K.M.; de Groot, A.V.; Hulscher, S.J.M.H. The Effects of Beach Width Variability on Coastal Dune Development at Decadal Scales. Geomorphology 2019, 329, 58–69. [Google Scholar] [CrossRef]
- Itzkin, M.; Moore, L.J.; Ruggiero, P.; Hacker, S.D.; Biel, R.G. The Relative Influence of Dune Aspect Ratio and Beach Width on Dune Erosion as a Function of Storm Duration and Surge Level. Earth Surf. Dynam. 2021, 9, 1223–1237. [Google Scholar] [CrossRef]
- Mull, J.M. Coastal Sand Dunes in the U.S. Pacific Northwest: Regional Variability in Foredune Geomorphology and Associated Physical Vulnerability to Hazards. Master’s Thesis, Oregon State University, Corvallis, OR, USA, 2010. [Google Scholar]
- Héquette, A.; Ruz, M.-H.; Zemmour, A.; Marin, D.; Cartier, A.; Sipka, V. Alongshore Variability in Coastal Dune Erosion and Post-Storm Recovery, Northern Coast of France. J. Coast. Res. 2019, 88, 25. [Google Scholar] [CrossRef]
- Palmsten, M.L.; Holman, R.A. Laboratory Investigation of Dune Erosion Using Stereo Video. Coast. Eng. 2012, 60, 123–135. [Google Scholar] [CrossRef]
- Stockdon, H.F.; Holman, R.A.; Howd, P.A.; Sallenger, A.H. Empirical Parameterization of Setup, Swash, and Runup. Coast. Eng. 2006, 53, 573–588. [Google Scholar] [CrossRef]
- Larson, M.; Erikson, L.; Hanson, H. An Analytical Model to Predict Dune Erosion Due to Wave Impact. Coast. Eng. 2004, 51, 675–696. [Google Scholar] [CrossRef]
- Wahl, T.; Plant, N.G.; Long, J.W. Probabilistic Assessment of Erosion and Flooding Risk in the Northern Gulf of Mexico. JGR Ocean. 2016, 121, 3029–3043. [Google Scholar] [CrossRef]
- Konlechner, T.M.; Hilton, M.J. Post-disturbance Evolution of a Prograded Foredune Barrier during a Sustained Dynamic Restoration Project—The Role of Wind Speed, Wind Direction and Vegetation. Earth Surf. Process. Landf. 2022, 47, 3435–3452. [Google Scholar] [CrossRef]
- White, A.E. Biotic Characteristics of Managed and Unmanaged Coastal Dunes in the Outer Banks, North Carolina. Master’s Thesis, Virginia Commonwealth University, Richmond, VA, USA, 2022. [Google Scholar]
- McGuirk, M.T.; Kennedy, D.M.; Konlechner, T. The Role of Vegetation in Incipient Dune and Foredune Development and Morphology: A Review. J. Coast. Res. 2022, 38, 414–428. [Google Scholar] [CrossRef]
- Ruggiero, P.; Hacker, S.; Seabloom, E.; Zarnetske, P. The Role of Vegetation in Determining Dune Morphology, Exposure to Sea-Level Rise, and Storm-Induced Coastal Hazards: A U.S. Pacific Northwest Perspective. In Barrier Dynamics and Response to Changing Climate; Moore, L.J., Murray, A.B., Eds.; Springer International Publishing: Cham, Switzerland, 2018; pp. 337–361. ISBN 978-3-319-68084-2. [Google Scholar]
- Valentini, E.; Taramelli, A.; Cappucci, S.; Filipponi, F.; Nguyen Xuan, A. Exploring the Dunes: The Correlations between Vegetation Cover Pattern and Morphology for Sediment Retention Assessment Using Airborne Multisensor Acquisition. Remote Sens. 2020, 12, 1229. [Google Scholar] [CrossRef]
- Charbonneau, B.R.; Dohner, S.M.; Wnek, J.P.; Barber, D.; Zarnetske, P.; Casper, B.B. Vegetation Effects on Coastal Foredune Initiation: Wind Tunnel Experiments and Field Validation for Three Dune-Building Plants. Geomorphology 2021, 378, 107594. [Google Scholar] [CrossRef]
- Derijckere, J.; Strypsteen, G.; Rauwoens, P. Early-Stage Development of an Artificial Dune with Varying Plant Density and Distribution. Geomorphology 2023, 437, 108806. [Google Scholar] [CrossRef]
- Dickey, J.; Wengrove, M.; Cohn, N.; Ruggiero, P.; Hacker, S.D. Observations and Modeling of Shear Stress Reduction and Sediment Flux within Sparse Dune Grass Canopies on Managed Coastal Dunes. Earth Surf. Process. Landf. 2023, 48, 907–922. [Google Scholar] [CrossRef]
- Hesp, P.A.; Dong, Y.; Cheng, H.; Booth, J.L. Wind Flow and Sedimentation in Artificial Vegetation: Field and Wind Tunnel Experiments. Geomorphology 2019, 337, 165–182. [Google Scholar] [CrossRef]
- de Battisti, D.; Griffin, J.N. Below-Ground Biomass of Plants, with a Key Contribution of Buried Shoots, Increases Foredune Resistance to Wave Swash. Ann. Bot. 2019, 125, mcz125. [Google Scholar] [CrossRef] [PubMed]
- Feagin, R.A.; Furman, M.; Salgado, K.; Martinez, M.L.; Innocenti, R.A.; Eubanks, K.; Figlus, J.; Huff, T.P.; Sigren, J.; Silva, R. The Role of Beach and Sand Dune Vegetation in Mediating Wave Run up Erosion. Estuar. Coast. Shelf. Sci. 2019, 219, 97–106. [Google Scholar] [CrossRef]
- Roelvink, D.; Costas, S. Coupling Nearshore and Aeolian Processes: XBeach and Duna Process-Based Models. Environ. Model Softw. 2019, 115, 98–112. [Google Scholar] [CrossRef]
- Robin, N.; Billy, J.; Castelle, B.; Hesp, P.; Nicolae Lerma, A.; Laporte-Fauret, Q.; Marieu, V.; Rosebery, D.; Bujan, S.; Destribats, B.; et al. 150 Years of Foredune Initiation and Evolution Driven by Human and Natural Processes. Geomorphology 2021, 374, 107516. [Google Scholar] [CrossRef]
- Wootton, L.; Miller, J.; Miller, C.; Peek, M.; Williams, A.; Rowe, P. Dune Manual 2016. Available online: https://njseagrant.org/wp-content/uploads/2016/12/Dune-Manual-Pgs-for-website.pdf (accessed on 1 May 2022).
- Town of Duck Shore Protection Project: Beach Maintenance Plan 2020. Available online: https://www.townofduck.com/wp-content/uploads/DUCK-FEMA-Maintenance-Plan_Updated-2020.pdf (accessed on 1 May 2022).
- Houser, C.; Wernette, P.; Rentschlar, E.; Jones, H.; Hammond, B.; Trimble, S. Post-Storm Beach and Dune Recovery: Implications for Barrier Island Resilience. Geomorphology 2015, 234, 54–63. [Google Scholar] [CrossRef]
- Durán, O.; Moore, L.J. Vegetation Controls on the Maximum Size of Coastal Dunes. Proc. Natl. Acad. Sci. USA 2013, 110, 17217–17222. [Google Scholar] [CrossRef] [PubMed]
- Hoonhout, B.M.; de Vries, S. A Process-based Model for Aeolian Sediment Transport and Spatiotemporal Varying Sediment Availability. JGR Earth Surf. 2016, 121, 1555–1575. [Google Scholar] [CrossRef]
- Keijsers, J.G.S.; De Groot, A.V.; Riksen, M.J.P.M. Modeling the Biogeomorphic Evolution of Coastal Dunes in Response to Climate Change: Modeling Coastal Dunes. J. Geophys. Res. Earth Surf. 2016, 121, 1161–1181. [Google Scholar] [CrossRef]
- van IJzendoorn, C.O.; Hallin, C.; Reniers, A.J.H.M.; de Vries, S. Modeling Multi-Fraction Coastal Aeolian Sediment Transport with Horizontal and Vertical Grain-Size Variability. JGR Earth Surf. 2023, 128, e2023JF007155. [Google Scholar] [CrossRef]
- van Westen, B.; de Vries, S.; Reniers, A.J.H.M.; den Bieman, J.P.; Hoonhout, B.M.; Rauwoens, P.; van Puijenbroek, M.E.B. Aeolian Modelling of Coastal Landform Development. In Proceedings of the Coastal Sediments 2019, St. Petersburg, FL, USA, 27–31 May 2019; World Scientific: Tampa/St. Petersburg, FL, USA, 2019; pp. 1354–1364. [Google Scholar]
- Strypsteen, G.; de Vries, S. Simulating Profile Development of New Artifical Dune with Planted Vegetation for Sand Nuisance Mitigation. In Proceedings of the Coastal Sediments 2023, New Orleans, LA, 11–15 April 2023; World Scientific: New Orleans, LA, USA, 2023; pp. 732–738. [Google Scholar]
- Birkemeier, W.A. Field Data on Seaward Limit of Profile Change. J. Waterw. Port. Coast. Ocean Eng. 1985, 111, 598–602. [Google Scholar] [CrossRef]
- Dolan, R.; Davis, R.E. An Intensity Scale for Atlantic Coast Northeast Storms. J. Coast. Res. 1992, 8, 840–853. [Google Scholar]
- Armstrong, S.B.; Lazarus, E.D. Masked Shoreline Erosion at Large Spatial Scales as a Collective Effect of Beach Nourishment. Earth’s Future 2019, 7, 74–84. [Google Scholar] [CrossRef]
- Brodie, K.; Conery, I.; Cohn, N.; Spore, N.; Palmsten, M. Spatial Variability of Coastal Foredune Evolution, Part A: Timescales of Months to Years. JMSE 2019, 7, 124. [Google Scholar] [CrossRef]
- Jay, K.R.; Hacker, S.D.; Hovenga, P.A.; Moore, L.J.; Ruggiero, P. Sand Supply and Dune Grass Species Density Affect Foredune Shape along the US Central Atlantic Coast. Ecosphere 2022, 13, 2. [Google Scholar] [CrossRef]
- Kaczkowski, H.L.; Kana, T.W.; Traynum, S.B.; Visser, R. Beach-Fill Equilibration and Dune Growth at Two Large-Scale Nourishment Sites. Ocean Dyn. 2018, 68, 1191–1206. [Google Scholar] [CrossRef]
- Fenster, M.S.; Dolan, R. Historical Shoreline Trends along the Outer Banks, North Carolina: Processes and Responses. J. Coast. Res. 1993, 9, 172–188. [Google Scholar]
- Cohn, N.; Brodie, K.L.; Johnson, B.; Palmsten, M.L. Hotspot Dune Erosion on an Intermediate Beach. Coast. Eng. 2021, 170, 103998. [Google Scholar] [CrossRef]
- Raupach, M.R.; Gillette, D.A.; Leys, J.F. The Effect of Roughness Elements on Wind Erosion Threshold. J. Geophys. Res. Atmos. 1993, 98, 3023–3029. [Google Scholar] [CrossRef]
- de Vries, S.; Hallin, C.; van IJzendoorn, C.; van Westen, B.; Cohn, N.; Strypsteen, G.; Skaden, J.; Agrawal, N.; Garcia Alvarez, M. 2023 AeoLiS (Version 2.1.1.) [Computer Software]. Available online: https://github.com/openearth/aeolis-python (accessed on 1 September 2023).
- Brodie, K.L.; Spore, N.J. Foredune Classification and Storm Response: Automated Analysis of Terrestrial Lidar DEMs. In Proceedings of the Coastal Sediments 2015, San Diego, CA, USA, 11–15 May 2015; World Scientific: San Diego, CA, USA, 2015. [Google Scholar]
- Inman, D.L.; Dolan, R. The Outer Banks of North Carolina: Budget of Sediment and Inlet Dynamics along a Migrating Barrier System. J. Coast. Res. 1989, 5, 193–237. [Google Scholar]
- Splinter, K.D.; Kearney, E.T.; Turner, I.L. Drivers of Alongshore Variable Dune Erosion during a Storm Event: Observations and Modelling. Coast. Eng. 2018, 131, 31–41. [Google Scholar] [CrossRef]
- Lemke, L.; Miller, J.K. Role of Storm Erosion Potential and Beach Morphology in Controlling Dune Erosion. JMSE 2021, 9, 1428. [Google Scholar] [CrossRef]
- Conlin, M.P.; Cohn, N.; Adams, P.N. Total Water Level Controls on the Trajectory of Dune Toe Retreat. Geomorphology 2023, 438, 108826. [Google Scholar] [CrossRef]
- Saye, S.E.; Van Der Wal, D.; Pye, K.; Blott, S.J. Beach–Dune Morphological Relationships and Erosion/Accretion: An Investigation at Five Sites in England and Wales Using LIDAR Data. Geomorphology 2005, 72, 128–155. [Google Scholar] [CrossRef]
- Moore, L.J.; Vinent, O.D.; Ruggiero, P. Vegetation Control Allows Autocyclic Formation of Multiple Dunes on Prograding Coasts. Geology 2016, 44, 559–562. [Google Scholar] [CrossRef]
- Silva, R.; Martínez, M.L.; Odériz, I.; Mendoza, E.; Feagin, R.A. Response of Vegetated Dune–Beach Systems to Storm Conditions. Coast. Eng. 2016, 109, 53–62. [Google Scholar] [CrossRef]
- Bauer, B.O.; Hesp, P.A.; Smyth, T.A.G.; Walker, I.J.; Davidson-Arnott, R.G.D.; Pickart, A.; Grilliot, M.; Rader, A. Air Flow and Sediment Transport Dynamics on a Foredune with Contrasting Vegetation Cover. Earth Surf. Process. Landf. 2022, 47, 2811–2829. [Google Scholar] [CrossRef]
- Keijsers, J.G.S.; De Groot, A.V.; Riksen, M.J.P.M. Vegetation and Sedimentation on Coastal Foredunes. Geomorphology 2015, 228, 723–734. [Google Scholar] [CrossRef]
- Shumack, S.; Farebrother, W.; Hesse, P. Quantifying Vegetation and Its Effect on Aeolian Sediment Transport: A UAS Investigation on Longitudinal Dunes. Aeolian Res. 2022, 54, 100768. [Google Scholar] [CrossRef]
- O’Connell, J. Coastal Dune Protection & Restoration: Using ‘Cape’ American Beachgrass & Fencing 2008. Available online: https://repository.library.noaa.gov/view/noaa/42104 (accessed on 1 May 2022).
- Passeri, D.L.; Dalyander, P.S.; Long, J.W.; Mickey, R.C.; Jenkins, R.L.; Thompson, D.M.; Plant, N.G.; Godsey, E.S.; Gonzalez, V.M. The Roles of Storminess and Sea Level Rise in Decadal Barrier Island Evolution. Geophys. Res. Lett. 2020, 47, e2020GL089370. [Google Scholar] [CrossRef]
- van Wiechen, P.P.J.; de Vries, S.; Reniers, A.J.H.M.; Aarninkhof, S.G.J. Dune Erosion during Storm Surges: A Review of the Observations, Physics and Modelling of the Collision Regime. Coast. Eng. 2023, 186, 104383. [Google Scholar] [CrossRef]
- Suanez, S.; Cancouët, R.; Floc’h, F.; Blaise, E.; Ardhuin, F.; Filipot, J.-F.; Cariolet, J.-M.; Delacourt, C. Observations and Predictions of Wave Runup, Extreme Water Levels, and Medium-Term Dune Erosion during Storm Conditions. JMSE 2015, 3, 674–698. [Google Scholar] [CrossRef]
- Smart, L.S.; Vukomanovic, J.; Sills, E.O.; Sanchez, G. Cultural Ecosystem Services Caught in a ‘Coastal Squeeze’ between Sea Level Rise and Urban Expansion. Glob. Environ. Chang. 2021, 66, 102209. [Google Scholar] [CrossRef]
- Ranasinghe, R.; Callaghan, D.P.; Li, F.; Wainwright, D.J.; Duong, T.M. Assessing Coastline Recession for Adaptation Planning: Sea Level Rise versus Storm Erosion. Sci. Rep. 2023, 13, 8286. [Google Scholar] [CrossRef] [PubMed]
- Moulton, M.A.B.; Hesp, P.A.; Miot Da Silva, G.; Keane, R.; Fernandez, G.B. Surfzone-Beach-Dune Interactions along a Variable Low Wave Energy Dissipative Beach. Mar. Geol. 2021, 435, 106438. [Google Scholar] [CrossRef]
- Ajedegba, J.O.; Choi, J.-W.; Jones, K.D. Analytical Modeling of Coastal Dune Erosion at South Padre Island: A Consideration of the Effects of Vegetation Roots and Shear Strength. Ecol. Eng. 2019, 127, 187–194. [Google Scholar] [CrossRef]
- Charbonneau, B.R.; Duarte, A.; Swannack, T.M.; Johnson, B.D.; Piercy, C.D. DOONIES: A Process-Based Ecogeomorphological Functional Community Model for Coastal Dune Vegetation and Landscape Dynamics. Geomorphology 2022, 398, 108037. [Google Scholar] [CrossRef]
- Nadal-Caraballo, N.C.; Melby, J.A.; Gonzalez, V.M.; Cox, A.T. Coastal Storm Hazards from Virginia to Maine; Project 401426, North Atlantic Coast Comprehensive Study; U.S. Army Engineer Research and Development Center; Coastal and Hydraulics Laboratory: Vicksburg, MS, USA, 2015. [Google Scholar]











Disclaimer/Publisher’s Note: The statements, opinions and data contained in all publications are solely those of the individual author(s) and contributor(s) and not of MDPI and/or the editor(s). MDPI and/or the editor(s) disclaim responsibility for any injury to people or property resulting from any ideas, methods, instructions or products referred to in the content. |
© 2024 by the authors. Licensee MDPI, Basel, Switzerland. This article is an open access article distributed under the terms and conditions of the Creative Commons Attribution (CC BY) license (https://creativecommons.org/licenses/by/4.0/).
Share and Cite
Heminway, S.S.; Cohn, N.; Davis, E.H.; White, A.; Hein, C.J.; Zinnert, J.C. Exploring Ecological, Morphological, and Environmental Controls on Coastal Foredune Evolution at Annual Scales Using a Process-Based Model. Sustainability 2024, 16, 3460. https://doi.org/10.3390/su16083460
Heminway SS, Cohn N, Davis EH, White A, Hein CJ, Zinnert JC. Exploring Ecological, Morphological, and Environmental Controls on Coastal Foredune Evolution at Annual Scales Using a Process-Based Model. Sustainability. 2024; 16(8):3460. https://doi.org/10.3390/su16083460
Chicago/Turabian StyleHeminway, Selwyn S., Nicholas Cohn, Elizabeth H. Davis, Andrew White, Christopher J. Hein, and Julie C. Zinnert. 2024. "Exploring Ecological, Morphological, and Environmental Controls on Coastal Foredune Evolution at Annual Scales Using a Process-Based Model" Sustainability 16, no. 8: 3460. https://doi.org/10.3390/su16083460
APA StyleHeminway, S. S., Cohn, N., Davis, E. H., White, A., Hein, C. J., & Zinnert, J. C. (2024). Exploring Ecological, Morphological, and Environmental Controls on Coastal Foredune Evolution at Annual Scales Using a Process-Based Model. Sustainability, 16(8), 3460. https://doi.org/10.3390/su16083460

