Simulating Tree Root Water Uptake in the Frame of Sustainable Agriculture for Extreme Hyper-Arid Environments Using Modeling and Geophysical Techniques
Abstract
1. Introduction
2. Materials and Methods
2.1. Site Description and Experimental Design
2.2. Forward Hydrological Modeling
Boundary Conditions
2.3. Soil Moisture Profile (SMP) Calculation
Time-Lapse 3D ERT Acquisition
3. Results and Discussion
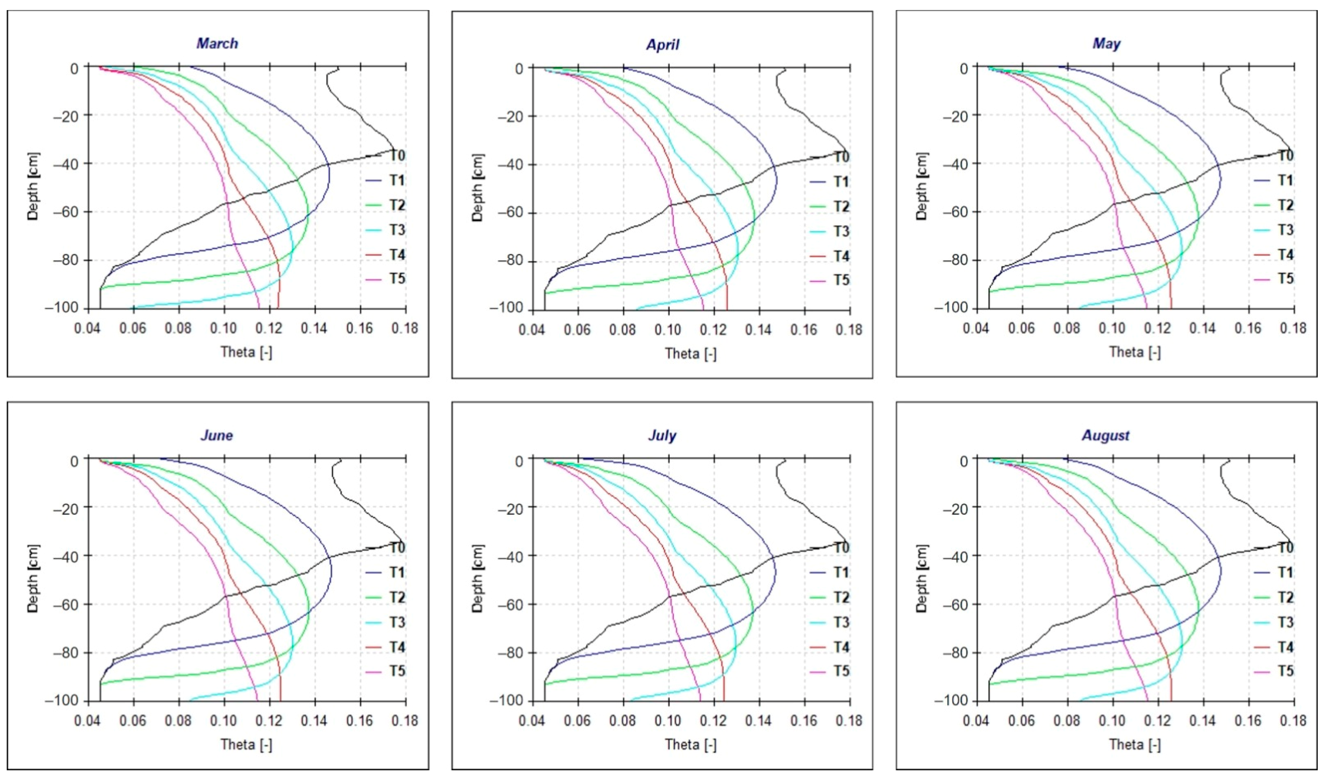
3.1. Soil Moisture Profiles Derived from ERT
3.2. Model Calibration
3.3. Simulated Soil Water Content
3.4. Diurnal and Seasonal Variations in RWU
3.5. RWU Rate at Different Soil Depths
4. Conclusions
Author Contributions
Funding
Institutional Review Board Statement
Informed Consent Statement
Data Availability Statement
Acknowledgments
Conflicts of Interest
References
- Xu, X.; Liu, W. The Global Distribution of Earth’s Critical Zone and Its Controlling Factors. Geophys. Res. Lett. 2017, 44, 3201–3208. [Google Scholar] [CrossRef]
- Dawson, T.E.; Hahm, W.J.; Crutchfield-Peters, K. Digging Deeper: What the Critical Zone Perspective Adds to the Study of Plant Ecophysiology. New Phytol. 2020, 226, 666–671. [Google Scholar] [CrossRef] [PubMed]
- Goldsmith, G.R. Changing Directions: The Atmosphere–Plant–Soil Continuum. New Phytol. 2013, 199, 4–6. [Google Scholar] [CrossRef] [PubMed]
- Wu, Y.; Ma, Y.; Niu, Y.; Song, X.; Yu, H.; Lan, W.; Kang, X. Warming Changed Seasonal Water Uptake Patterns of Summer Maize. Agric. Water Manag. 2021, 258, 107210. [Google Scholar] [CrossRef]
- Brunel, J.-P.; Walker, G.R.; Kennett-Smith, A.K. Field Validation of Isotopic Procedures for Determining Sources of Water Used by Plants in a Semi-Arid Environment. J. Hydrol. 1995, 167, 351–368. [Google Scholar] [CrossRef]
- Wan, C.; Yilmaz, I.; Sosebee, R.E. Seasonal Soil–Water Availability Influences Snakeweed Root Dynamics. J. Arid. Environ. 2002, 51, 255–264. [Google Scholar] [CrossRef]
- Williams, A.; Allen, C.D.; Macalady, A.K.; Griffin, D.; Woodhouse, C.A.; Meko, D.M.; Swetnam, T.W.; Rauscher, S.A.; Seager, R.; Grissino-Mayer, H.D.; et al. Temperature as a Potent Driver of Regional Forest Drought Stress and Tree Mortality. Nat. Clim. Chang. 2013, 3, 292–297. [Google Scholar] [CrossRef]
- Garrigues, E.; Doussan, C.; Pierret, A. Water Uptake by Plant Roots: I—Formation and Propagation of a Water Extraction Front in Mature Root Systems as Evidenced by 2D Light Transmission Imaging. Plant Soil 2006, 283, 83–98. [Google Scholar] [CrossRef]
- Naorem, A.; Jayaraman, S.; Dang, Y.P.; Dalal, R.C.; Sinha, N.K.; Rao, C.S.; Patra, A.K. Soil Constraints in an Arid Environment—Challenges, Prospects, and Implications. Agronomy 2023, 13, 220. [Google Scholar] [CrossRef]
- Morianou, G.; Kourgialas, N.N.; Karatzas, G.P. A Review of HYDRUS 2D/3D Applications for Simulations of Water Dynamics, Root Uptake and Solute Transport in Tree Crops under Drip Irrigation. Water 2023, 15, 741. [Google Scholar] [CrossRef]
- Dijkema, J.; Koonce, J.E.; Shillito, R.M.; Ghezzehei, T.A.; Berli, M.; van der Ploeg, M.J.; van Genuchten, M.T. Water Distribution in an Arid Zone Soil: Numerical Analysis of Data from a Large Weighing Lysimeter. Vadose Zone J. 2018, 17, 1–17. [Google Scholar] [CrossRef]
- Er-Raki, S.; Ezzahar, J.; Merlin, O.; Amazirh, A.; Hssaine, B.A.; Kharrou, M.H.; Khabba, S.; Chehbouni, A. Performance of the HYDRUS-1D Model for Water Balance Components Assessment of Irrigated Winter Wheat under Different Water Managements in Semi-Arid Region of Morocco. Agric. Water Manag. 2021, 244, 106546. [Google Scholar] [CrossRef]
- Šimůnek, J.; van Genuchten, M.T.; Šejna, M. Recent Developments and Applications of the HYDRUS Computer Software Packages. Vadose Zone J. 2016, 15, 1–25. [Google Scholar] [CrossRef]
- Jha, S.K.; Gao, Y.; Liu, H.; Huang, Z.; Wang, G.; Liang, Y.; Duan, A. Root Development and Water Uptake in Winter Wheat under Different Irrigation Methods and Scheduling for North China. Agric. Water Manag. 2017, 182, 139–150. [Google Scholar] [CrossRef]
- Wang, X.; Li, Y.; Chau, H.W.; Tang, D.; Chen, J.; Bayad, M. Reduced Root Water Uptake of Summer Maize Grown in Water-Repellent Soils Simulated by HYDRUS-1D. Soil Tillage Res. 2021, 209, 104925. [Google Scholar] [CrossRef]
- Zheng, L.; Ma, J.; Sun, X.; Guo, X.; Cheng, Q.; Shi, X. Estimating the Root Water Uptake of Surface-Irrigated Apples Using Water Stable Isotopes and the Hydrus-1D Model. Water 2018, 10, 1624. [Google Scholar] [CrossRef]
- Pellet, C.; Hilbich, C.; Marmy, A.; Hauck, C. Soil Moisture Data for the Validation of Permafrost Models Using Direct and Indirect Measurement Approaches at Three Alpine Sites. Front. Earth Sci. 2016, 3, 91. [Google Scholar] [CrossRef]
- Rieder, J.S.; Kneisel, C. Monitoring Spatiotemporal Soil Moisture Variability in the Unsaturated Zone of a Mixed Forest Using Electrical Resistivity Tomography. Vadose Zone J. 2023, 22, e20251. [Google Scholar] [CrossRef]
- Beck, H.E.; McVicar, T.R.; Vergopolan, N.; Berg, A.; Lutsko, N.J.; Dufour, A.; Zeng, Z.; Jiang, X.; van Dijk, A.I.J.M.; Miralles, D.G. High-Resolution (1 Km) Köppen-Geiger Maps for 1901–2099 Based on Constrained CMIP6 Projections. Sci. Data 2023, 10, 724. [Google Scholar] [CrossRef]
- Liu, Y.; Guo, Y.; Long, L.; Lei, S. Soil Water Behavior of Sandy Soils under Semiarid Conditions in the Shendong Mining Area (China). Water 2022, 14, 2159. [Google Scholar] [CrossRef]
- Ziogas, V.; Tanou, G.; Morianou, G.; Kourgialas, N. Drought and Salinity in Citriculture: Optimal Practices to Alleviate Salinity and Water Stress. Agronomy 2021, 11, 1283. [Google Scholar] [CrossRef]
- Fao FAOSTAT: Statistical Reports of Plant Production. Available online: http://www.fao.org/faostat/en/#data/QC (accessed on 27 January 2024).
- Fares, A.; Alva, A.K. Evaluation of Capacitance Probes for Optimal Irrigation of Citrus through Soil Moisture Monitoring in an Entisol Profile. Irrig. Sci. 2000, 19, 57–64. [Google Scholar] [CrossRef]
- Paramasivam, S.; Alva, A.K.; Fares, A.; Sajwan, K.S. Estimation of Nitrate Leaching in an Entisol under Optimum Citrus Production. Soil Sci. Soc. Am. J. 2001, 65, 914–921. [Google Scholar] [CrossRef]
- Parsons, L.R.; Boman, B.J. Microsprinkler Irrigation for Cold Protection of Florida Citrus. EDIS 1969 2003, 16, 1–9. [Google Scholar] [CrossRef]
- Yu, G.-R.; Zhuang, J.; Nakayama, K.; Jin, Y. Root Water Uptake and Profile Soil Water as Affected by Vertical Root Distribution. Plant Ecol. 2007, 189, 15–30. [Google Scholar] [CrossRef]
- Allen, R.; Pereira, L.; Raes, D.; Smith, M. Crop Evapotranspiration-Guidelines for Computing Crop Water Requirements; FAO Irriga; FAO: Rome, Italy, 1998; Volume 56, ISBN 92-5-104219-5. [Google Scholar]
- Feddes, R.A.; Kowalik, P.J.; Zaradny, H. Simulation of Field Water Use and Crop Yield; Wiley: Hoboken, NJ, USA, 1978; ISBN 9780470264638. [Google Scholar]
- Diongue, D.; Roupsard, O.; Do, F.; Stumpp, C.; Orange, D.; Sow, S.; Jourdan, C.; Faye, S. Evaluation of Parameterisation Approaches for Estimating Soil Hydraulic Parameters with HYDRUS-1D in the Groundnut Basin of Senegal. Hydrol. Sci. J. 2022, 67, 2327–2343. [Google Scholar] [CrossRef]
- Yu, J.; Wu, Y.; Xu, L.; Peng, J.; Chen, G.; Shen, X.; Lan, R.; Zhao, C.; Zhangzhong, L. Evaluating the Hydrus-1D Model Optimized by Remote Sensing Data for Soil Moisture Simulations in the Maize Root Zone. Remote Sens. 2022, 14, 6079. [Google Scholar] [CrossRef]
- Muñoz-Sabater, J.; Dutra, E.; Agustí-Panareda, A.; Albergel, C.; Arduini, G.; Balsamo, G.; Boussetta, S.; Choulga, M.; Harrigan, S.; Hersbach, H.; et al. ERA5-Land: A State-of-the-Art Global Reanalysis Dataset for Land Applications. Earth Syst. Sci. Data 2021, 13, 4349–4383. [Google Scholar] [CrossRef]
- Brakhasi, F.; Walker, J.P.; Ye, N.; Wu, X.; Shen, X.; Yeo, I.-Y.; Boopathi, N.; Kim, E.; Kerr, Y.; Jackson, T. Towards Soil Moisture Profile Estimation in the Root Zone Using L- and P-Band Radiometer Observations: A Coherent Modelling Approach. Sci. Remote Sens. 2023, 7, 100079. [Google Scholar] [CrossRef]
- Lowrie, W. Fundamentals of Geophysics; Cambridge University Press: Cambridge, UK, 2007; ISBN 9780521859028. [Google Scholar]
- Pradipta, A.; Soupios, P.; Kourgialas, N.; Doula, M.; Dokou, Z.; Makkawi, M.; Alfarhan, M.; Tawabini, B.; Kirmizakis, P.; Yassin, M. Remote Sensing, Geophysics, and Modeling to Support Precision Agriculture—Part 1: Soil Applications. Water 2022, 14, 1158. [Google Scholar] [CrossRef]
- Pradipta, A.; Soupios, P.; Kourgialas, N.; Doula, M.; Dokou, Z.; Makkawi, M.; Alfarhan, M.; Tawabini, B.; Kirmizakis, P.; Yassin, M. Remote Sensing, Geophysics, and Modeling to Support Precision Agriculture—Part 2: Irrigation Management. Water 2022, 14, 1157. [Google Scholar] [CrossRef]
- Telford, W.M.; Geldart, L.P.; Sheriff, R.E. Applied Geophysics, 2nd ed.; Cambridge University Press: Cambridge, UK, 1990; ISBN 0-521-32693-1. [Google Scholar]
- Mishra, V.; Ellenburg, W.L.; Al-Hamdan, O.Z.; Bruce, J.; Cruise, J.F. Modeling Soil Moisture Profiles in Irrigated Fields by the Principle of Maximum Entropy. Entropy 2015, 17, 4454–4484. [Google Scholar] [CrossRef]








| Date | Acquisition Number |
|---|---|
| 22 February 2023 | 0 (background) |
| 23 March 2023 | 1 |
| 11 April 2023 | 2 |
| 14 May 2023 | 3 |
| 1 June 2023 | 4 |
| 11 July 2023 | 5 |
| 21 August 2023 | 6 |
| 19 September 2023 | 7 |
| Depth (cm) | θr | θs | α | n | Ks (cm/d) | l |
|---|---|---|---|---|---|---|
| 0–100 | 0.045 | 0.3771 | 0.0348 | 4.3305 | 18.87 | 0.5 |
Disclaimer/Publisher’s Note: The statements, opinions and data contained in all publications are solely those of the individual author(s) and contributor(s) and not of MDPI and/or the editor(s). MDPI and/or the editor(s) disclaim responsibility for any injury to people or property resulting from any ideas, methods, instructions or products referred to in the content. |
© 2024 by the authors. Licensee MDPI, Basel, Switzerland. This article is an open access article distributed under the terms and conditions of the Creative Commons Attribution (CC BY) license (https://creativecommons.org/licenses/by/4.0/).
Share and Cite
Pradipta, A.; Kourgialas, N.N.; Mustafa, Y.M.H.; Kirmizakis, P.; Soupios, P. Simulating Tree Root Water Uptake in the Frame of Sustainable Agriculture for Extreme Hyper-Arid Environments Using Modeling and Geophysical Techniques. Sustainability 2024, 16, 3130. https://doi.org/10.3390/su16083130
Pradipta A, Kourgialas NN, Mustafa YMH, Kirmizakis P, Soupios P. Simulating Tree Root Water Uptake in the Frame of Sustainable Agriculture for Extreme Hyper-Arid Environments Using Modeling and Geophysical Techniques. Sustainability. 2024; 16(8):3130. https://doi.org/10.3390/su16083130
Chicago/Turabian StylePradipta, Arya, Nektarios N. Kourgialas, Yassir Mubarak Hussein Mustafa, Panagiotis Kirmizakis, and Pantelis Soupios. 2024. "Simulating Tree Root Water Uptake in the Frame of Sustainable Agriculture for Extreme Hyper-Arid Environments Using Modeling and Geophysical Techniques" Sustainability 16, no. 8: 3130. https://doi.org/10.3390/su16083130
APA StylePradipta, A., Kourgialas, N. N., Mustafa, Y. M. H., Kirmizakis, P., & Soupios, P. (2024). Simulating Tree Root Water Uptake in the Frame of Sustainable Agriculture for Extreme Hyper-Arid Environments Using Modeling and Geophysical Techniques. Sustainability, 16(8), 3130. https://doi.org/10.3390/su16083130

