An Eretmocerus Species, Parasitoid of Aleurocanthus spiniferus, Was Found in Europe: The Secret Savior of Threatened Plants
Abstract
1. Introduction
2. Materials and Methods
2.1. Field Collections
2.2. Identification of the Parasitoid
2.3. Parasitization Rate
2.4. Phenology
2.5. Temperature Trend and Parasitization Percentage
3. Results
3.1. Identification of the Parasitoid
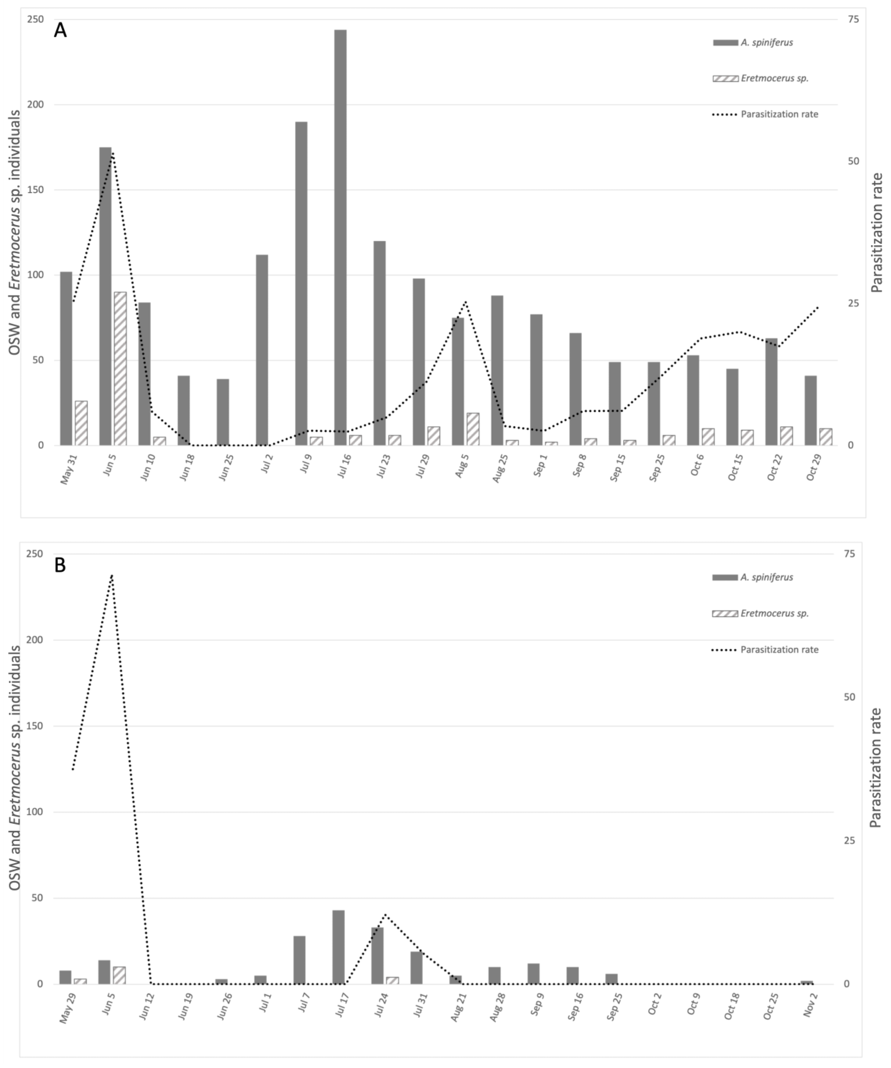
3.2. Parasitization Rate
3.3. Phenology
3.4. Temperature Trends and Parasitization Percentage in Campanian Sites
4. Discussion
5. Conclusions
Supplementary Materials
Author Contributions
Funding
Data Availability Statement
Acknowledgments
Conflicts of Interest
References
- Ouvrard, D.; Martin, J.H. Taxonomic Checklist (from The White-Files) [Data Set Resource]. Natural History Museum. 2015. Available online: https://data.nhm.ac.uk/dataset/the-white-files/resource/1c8f9d3c-1bbd-4fc2-9f9d-0242fb3b20a2 (accessed on 25 January 2024).
- Schrader, G.; Camilleri, M.; Ciubotaru, R.M.; Diakaki, M.; Vos, S. Pest survey card on Aleurocanthus spiniferus and Aleurocanthus woglumi. EFSA Support. Publ. 2019, 16, 1565E. [Google Scholar] [CrossRef]
- EPPO. EPPO A2 List of Pests Recommended for Regulation as Quarantine Pests Version 2023-09. 2023. Available online: https://www.eppo.int/ACTIVITIES/plant_quarantine/A2_list (accessed on 13 February 2024).
- EPPO. EPPO Global Database. 2024. Available online: https://gd.eppo.int/taxon/ALECSN (accessed on 13 February 2024).
- Jansen, M.; Porcelli, F. Aleurocanthus camelliae (Hemiptera: Aleyrodidae), a species possibly new for the European fauna of a genus in great need of Revision. Tijdschr. Voor Entomol. 2018, 161, 63–78. [Google Scholar] [CrossRef]
- Rizzo, D.; Suma, P.; Rossi, E.; Farina, P.; da Lio, D.; Bartolini, L.; Salemi, C.; Farina, A.; Rapisarda, C. First record of Aleurocanthus camelliae Kanmiya & Kasai, 2011 (Hemiptera, Aleyrodidae) from Italy, on Ornamental Camellia spp. plants. EPPO Bull. 2021, 51, 333–339. [Google Scholar]
- Nguyen, R.; Sailer, R.I.; Hamon, A.B. Catalog of Aleyrodidae on Citrus and Their Natural Enemies (Homoptera—Aleyrodidae); Florida Department of Agriculture & Consumer Services, Division of Plant Industry, Bureau of Entomology: St. Gainesville, FL, USA; Centre for Agriculture and Bioscience International: Wallingford, UK, 1993; Volume 730.
- Porcelli, F. First record of Aleurocanthus spiniferus (Homoptera: Aleyrodidae) in Apulia, Southern Italy. EPPO Bull. 2008, 38, 516–518. [Google Scholar] [CrossRef]
- El Kenawy, A.; Cornara, D.; Corrado, I.; El-Heneidy, A.; Rapisarda, C.; Porcelli, F. Aleurocanthus spiniferus (Quaintance) (Hemiptera Aleyrodidae) is spreading throughout the Italian region Apulia. In Proceedings of the 5th International Scientific Agricultural Symposium ‘Agrosym 2014’, Jahorina, Bosnia and Herzegovina, 23–26 October 2014. [Google Scholar]
- Bariselli, M.; Bartolotti, P.P.; Nannini, R. Technical Sheets for the Quarantine Pests Identification n. 27 Aleurocanthus spiniferus (In Italian) (Direttiva 2000/89/CE) Regione Emilia-Romagna, Assessorato Agricoltura, Caccia e Pesca, Servizio fitosanitario Emilia-Romagna. 2019, p. 4. Available online: https://agricoltura.regione.emilia-romagna.it/fitosanitario/temi/avversita/schede/avversita-per-nome/aleurocanthus-spiniferus (accessed on 13 February 2024).
- Nugnes, F.; Laudonia, S.; Jesu, G.; Jansen, M.G.M.; Bernardo, U.; Porcelli, F. Aleurocanthus spiniferus (Hemiptera: Aleyrodidae) in some European countries: Diffusion, hosts, molecular characterization, and natural enemies. Insects 2020, 11, 42. [Google Scholar] [CrossRef]
- Rapisarda, C.; Longo, S. First report from Sicily (Italy) of the orange spiny whitefly, Aleurocanthus spiniferus (Quaintance) (Hemiptera: Aleyrodidae), and its potential risk for the Italian citrus industry. EPPO Bull. 2021, 51, 329–332. [Google Scholar] [CrossRef]
- AMAP. DG n°369 del 27/12/22, P.F. SFA—Adoption of the Action Plan for the Containment of Aleurocanthus spiniferus in the Territory of the Marche Region. 2022. Available online: https://www.amap.marche.it/servizi/fitosanitario/emergenze-fitosanitarie/organismi-nocivi-da-quarantena-rilevanti-nella-regione-marche/aleurocanthus-spiniferus-quaintance-aleurodide-spinoso-degli-agrumi (accessed on 6 January 2023). (In Italian).
- Kapantaidaki, D.E.; Antonatos, S.; Kontodimas, D.; Milonas, P.; Papachristos, D.P. Presence of the invasive whitefly Aleurocanthus spiniferus (Hemiptera: Aleyrodidae) in Greece. OEPP/EPPO Bull. 2019, 49, 127–131. [Google Scholar] [CrossRef]
- Radonjić, S.; Hrnčić, S.; Malumphy, C. First record of Aleurocanthus spiniferus (Quaintance) (Hemiptera Aleyrodidae) in Montenegro. Redia 2014, 77, 141–145. [Google Scholar]
- Šimala, M.; Masten Milek, M.T. First record of the orange spiny whitefly, Aleurocanthus spiniferus Quaintance, 1903 (Hemiptera: Aleyrodidae), in Croatia. Glas. Biljn. Zaštite 2013, 13, 425–433. Available online: https://hrcak.srce.hr/clanak/253146 (accessed on 13 February 2024).
- Regulation (EU) 2019/2072 of 28 November 2019, Establishing Uniform Conditions for the Implementation of Regulation (EU) 2016/2031 of the European Parliament and the Council, as Regards Protective Measures against Pests of Plants, and Repealing Commission Regulation (EC) No 690/2008 and Amending Commission Implementing Regulation (EU) 2018/2019. Official Journal of the European Union L 319/1. Available online: http://data.europa.eu/eli/reg_impl/2019/2072/2020-10-06 (accessed on 28 January 2023).
- Cioffi, M.; Cornara, D.; Corrado, I.; Jansen, M.G.M.; Porcelli, F. The status of Aleurocanthus spiniferus from its unwanted introduction in Italy to date. Bull. Insectology 2013, 66, 273–281. [Google Scholar]
- EFSA—European Food Safety Authority. Scientific opinion on Pest categorisation of Aleurocanthus spp. EFSA J. 2018, 16, 5436. [Google Scholar] [CrossRef]
- Bubici, G.; Prigigallo, M.I.; Garganese, F.; Nugnes, F.; Jansen, M.; Porcelli, F. First report of Aleurocanthus spiniferus on Ailanthus altissima: Profiling of the insect microbiome and MicroRNAs. Insects 2020, 11, 161. [Google Scholar] [CrossRef] [PubMed]
- Picciotti, U.; Araujo Dalbon, V.; Ciancio, A.; Colagiero, M.; Cozzi, G.; De Bellis, L.; Finetti-Sialer, M.M.; Greco, D.; Ippolito, A.; Lahbib, N.; et al. “Ectomosphere”: Insects and Microorganism Interactions. Microorganisms 2023, 11, 440. [Google Scholar] [CrossRef] [PubMed]
- Gyeltshen, J.; Hodges, A.; Hodges, G.S. Orange Spiny Whitefly, Aleurocanthus spiniferus (Quaintance) (Insecta: Hemiptera: Aleyrodidae). Available online: https://edis.ifas.ufl.edu/pdffiles/IN/IN61800.pdf (accessed on 28 January 2023).
- Clausen, C.P.; Bartlett, B.R.; Debach, P.; Goeden, R.D.; Legner, E.F.; Mcmurtry, J.A.; Oatman, E.R.; Bay, E.C.; Rosen, D. Introduced parasites and predators of arthropod pests and weeds: A world review. In Agriculture Handbook No. 480; Agricultural Research Service, US Department of Agriculture: Washington, DC, USA, 1978; pp. 1–545. [Google Scholar]
- Muniappan, R.; Marutani, M.; Esguerra, N. Establishment of Encarsia smithi (Silvestri) (Hymenoptera: Aphelinidae) on Pohnpei for control of the orange spiny whitefly, Aleurocanthus spiniferus (Quaintance) (Homoptera: Aleyrodidae). Proc. Hawaiian Entomol. Soc. 1992, 31, 243. [Google Scholar]
- Muniappan, R.; Purea, M.; Sengebau, F.; Reddy, G.P. Orange spiny whitefly, Aleurocanthus spiniferus (Quaintance) (Homoptera: Aleyrodidae), and its parasitoids in the Republic of Palau. Proc. Hawaiian Entomol. Soc. 2006, 38, 21–25. [Google Scholar]
- Smith, H.D. Citrus blackfly on the west coast of Mexico and the importation and colonization of Eretmocerus serius Silv. for its control. Fitofolio 1945, 4, 67–103. [Google Scholar]
- Van Den Berg, M.A.; Greenland, J. First establishment of Encarsia cf. smithi (Hymenoptera: Aphelinidae), a parasitoid of the spiny blackfly, Aleurocanthus spiniferus (Hemiptera: Aleyrodidae), in southern Africa. African Plant Prot. 1996, 2, 127–129. [Google Scholar]
- Van Den Berg, M.A.; Greenland, J. Classical biological control of Aleurocanthus spiniferus (Hem.: Aleyrodidae), on citrus in Southern Africa. Entomophaga 1997, 42, 459–465. [Google Scholar] [CrossRef]
- Van Den Berg, M.A.; Höppner, G.; Greenland, J. An economic study of the biological control of the spiny blackfly, Aleurocanthus spiniferus (Hemiptera: Aleyrodidae), in a citrus orchard in Swaziland. Biocontrol Sci. Technol. 2000, 10, 27–32. [Google Scholar] [CrossRef]
- Niu, J.Z.; Hull-Sanders, H.; Zhang, Y.X.; Lin, J.Z.; Dou, W.; Wang, J.J. Biological Control of arthropod pests in citrus orchards in China. Biol. Control 2014, 68, 15–22. [Google Scholar] [CrossRef]
- Evans, G.A. The Whiteflies (Hemiptera: Aleyrodidae) of the World and Their Host Plants and Natural Enemies; USDA/Animal SDA/Animal Plant Health Inspection Service: Riverdale, MD, USA, 2007; p. 708.
- Silvestri, F. Contribuzione alla conoscenza degli Aleurodidae (Insecta: Homoptera) viventi su Citrus in estremo Oriente e dei loro parassiti. Boll. Lab. Zool E. Agric. R. Scuola Super. Agric. Portici 1927, 21, 46–48. [Google Scholar]
- Massimino Cocuzza, G.E.; Jovičić, I.; Frisenna, F.; Tumminelli, R.; Siscaro, G. Discovery of Serangium montazerii Fürsch (Coleoptera, Coccinellidae) as a predator of Aleurocanthus spiniferus (Quaintance) (Hemiptera, Aleyrodidae) in Italy. EPPO Bull. 2023, 53, 376–386. [Google Scholar] [CrossRef]
- Noyes, J.S. Universal Chalcidoidea Database. 2019. Available online: http://www.nhm.ac.uk/chalcidoids (accessed on 28 January 2024).
- Myartseva, S.N. Eretmocerus Haldeman (Hymenoptera: Aphelinidae)—Parasitoids of whiteflies Trialeurodes vaporariorum and Bemisia (tabaci complex) in Mexico, with a key and description of a new species. Vedalia 2006, 13, 27–38. [Google Scholar]
- Gerling, D.; Tremblay, E.; Orion, T. Initial stages of the vital capsule formation in the Eretmocerus-Bemisia tabaci association. Redia 1991, 74, 411–415. [Google Scholar]
- Rose, M.; Zolnerowich, G. The Genus Eretmocerus (Hymenoptera: Aphelinidae): Parasites of Whitefly (Homoptera: Aleyrodidae); Special Publication, California Department of Food and Agriculture: Sacramento, CA, USA, 1997; p. 8.
- Clausen, C.P.; Berry, P.A. The citrus blackfly in Asia, and the importation of its natural enemies into tropical America. Tech. Bull. USDA 1932, 320, 1–58. [Google Scholar]
- Rose, M.; Rosen, D. Eretmocerus debachi n. sp. (Hymenoptera: Aphelinidae), an effective parasite of Parabemisia myricae (Homoptera: Aleyrodidae). Isr. J. Entomol. 1992, 26, 199–207. [Google Scholar]
- Zolnerowich, G.; Rose, M. The genus Eretmocerus. In Classical Biological Control of Bemisia tabaci in the United States—A Review of Interagency Research and Implementation; Springe: Dordrecht, The Netherlands, 2008; pp. 89–109. [Google Scholar] [CrossRef]
- Nugnes, F.; Bubici, G.; Garganese, F.; Laudonia, S.; Garonna, A.P.; Bernardo, U.; Jesu, G.; Porcelli, F. Aleurocanthus spiniferus, an alien invasive threat to Europe, associated bacterial community and natural enemies. In Proceedings of the XI European Congress of Entomology, Napoli, Italy, 2–6 July 2018; p. 38, ISBN 978-88-9092-621-15. [Google Scholar]
- Gerling, D. 1969. Comments on Eretmocerus serius Silvestri (Hymenoptera: Aphelinidae) with a description of two new species. Boll. Lab. Ent. Agr. Portici 1969, 27, 79–88. [Google Scholar]
- Hayat, M. Aphelinidae of India (Hymenoptera: Chalcidoidea): A taxonomic revision. Mem. Entomol. Intern. 1998, 13, vii-416. [Google Scholar]
- Noyes, J.S. Collecting and preserving chalcid wasps (Hymenoptera: Chalcidoidea). J. Nat. Hist. 1982, 16, 315–334. [Google Scholar] [CrossRef]
- Compere, H. Notes on the classification of the Aphelinidae with descriptions of new species. Univ. Calif. Publ. Entomol. 1936, 6, 277–322. [Google Scholar]
- de Pedro, L.; Beitia, F.; Ferrara, F.; Asís, J.D.; Sabater-Muñoz, B.; Tormos, J. Effect of host density and location on the percentage parasitism, fertility and induced mortality of Aganaspis daci (Hymenoptera: Figitidae), a parasitoid of Ceratitis capitata (Diptera: Tephritidae). Crop Prot. 2017, 92, 160–167. [Google Scholar] [CrossRef]
- Viggiani, G. Lotta Biologica e Integrata nella Difesa Fitosanitaria: Volume Primo, 1st ed.; Liguori: Napoli, Italy, 1994; p. 517. [Google Scholar]
- Cooper, J.F.; Plummer, C.C.; Shaw, J.G. The citrus blackfly situation in Mexico. J. Econ. Entomol. 1950, 43, 767–773. [Google Scholar] [CrossRef]
- Shaw, J.G. Eretmocerus serius as a parasite of the citrus blackfly in Mexico. J. Econ. Entomol. 1950, 43, 380–382. [Google Scholar] [CrossRef]
- Giakoumaki, M.V.; Milonas, P.; Antonatos, S.; Evangelοu, V.; Partsinevelos, G.; Papachristos, D.; Ramadan, M.M. A Survey in Hawaii for Parasitoids of Citrus Whiteflies (Hemiptera: Aleyrodidae), for Introduction into Greece. Insects 2023, 14, 858. [Google Scholar] [CrossRef] [PubMed]


| Localities | Coordinates | Host Plants | Starting Month | Frequency |
|---|---|---|---|---|
| APULIA | ||||
| Bari (BA) | 41°06′ N; 16°52′ E | Citrus sinensis (L.) Osbeck, Citrus limon (L.) Burm. f. | July 2023 | Occasional |
| CAMPANIA | ||||
| Casagiove (CE) | 41°04′ N; 14°19′ E | Citrus limon (L.) Burm. f. | May 2023 | Weekly |
| Piana di Monte Verna (CE) | 41°09′ N; 14°20′ E | Citrus sinensis (L.) Osbeck Citrus limon (L.) Burm. f. | July 2023 | Occasional |
| Portici (NA) | 40°48′ N; 14°21′ E | Citrus limon (L.) Burm. f. | May 2023 | Weekly |
| LAZIO | ||||
| Terracina (LT) | 41°17′ N; 13°14′ E | Citrus limon (L.) Burm. f. | November 2023 | Occasional |
| Roma (RM) | 41°53′ N; 12°26′ E | Citrus clementina hort. ex Tanaka | January 2024 | Occasional |
| MARCHE | ||||
| Grottammare (AP) | 42°59′ N; 13°52′ E | Citrus × aurantium L. Citrus sinensis (L.) Osbeck | August 2023 | Occasional |
| SICILY | ||||
| Caltagirone (CT) | 37°14′ N; 14°30′ E | Citrus × aurantium L. | July 2023 | Monthly |
| Siracusa (SR) | 37°04′ N; 15°16′ E | Citrus × aurantium L. | July 2023 | Monthly |
| Palermo (PA) | 38°07′ N; 13°19′ E | Citrus × aurantium L. | July 2023 | Occasional |
| Localities | Max Parasitization Rate % (Date) |
|---|---|
| APULIA | |
| Bari (BA) | 4.07 (Jul 14) |
| CAMPANIA | |
| Casagiove (CE) | 51.43 (Jun 5) |
| Piana di Monte Verna (CE) | 63.16 (Oct 14) |
| Portici (NA) | 71.43 (Jun 5) |
| MARCHE | |
| Grottammare (AP) | 26.69 (Sep 20) |
| SICILY | |
| Caltagirone (CT) | 8.36 (Dec 19) |
| Siracusa (SR) | 9.66 (Nov 28) |
| Palermo (PA) | <1.00 (Sep 29) |
Disclaimer/Publisher’s Note: The statements, opinions and data contained in all publications are solely those of the individual author(s) and contributor(s) and not of MDPI and/or the editor(s). MDPI and/or the editor(s) disclaim responsibility for any injury to people or property resulting from any ideas, methods, instructions or products referred to in the content. |
© 2024 by the authors. Licensee MDPI, Basel, Switzerland. This article is an open access article distributed under the terms and conditions of the Creative Commons Attribution (CC BY) license (https://creativecommons.org/licenses/by/4.0/).
Share and Cite
Melone, G.; Ascolese, R.; Nugnes, F.; Porcelli, F.; Rapisarda, C.; Farina, A.; Picciotti, U.; Garganese, F.; Laudonia, S. An Eretmocerus Species, Parasitoid of Aleurocanthus spiniferus, Was Found in Europe: The Secret Savior of Threatened Plants. Sustainability 2024, 16, 2970. https://doi.org/10.3390/su16072970
Melone G, Ascolese R, Nugnes F, Porcelli F, Rapisarda C, Farina A, Picciotti U, Garganese F, Laudonia S. An Eretmocerus Species, Parasitoid of Aleurocanthus spiniferus, Was Found in Europe: The Secret Savior of Threatened Plants. Sustainability. 2024; 16(7):2970. https://doi.org/10.3390/su16072970
Chicago/Turabian StyleMelone, Gianluca, Roberta Ascolese, Francesco Nugnes, Francesco Porcelli, Carmelo Rapisarda, Alessia Farina, Ugo Picciotti, Francesca Garganese, and Stefania Laudonia. 2024. "An Eretmocerus Species, Parasitoid of Aleurocanthus spiniferus, Was Found in Europe: The Secret Savior of Threatened Plants" Sustainability 16, no. 7: 2970. https://doi.org/10.3390/su16072970
APA StyleMelone, G., Ascolese, R., Nugnes, F., Porcelli, F., Rapisarda, C., Farina, A., Picciotti, U., Garganese, F., & Laudonia, S. (2024). An Eretmocerus Species, Parasitoid of Aleurocanthus spiniferus, Was Found in Europe: The Secret Savior of Threatened Plants. Sustainability, 16(7), 2970. https://doi.org/10.3390/su16072970

