Sharing Is Caring: Exploring Distributed Solar Photovoltaics and Local Electricity Consumption through a Renewable Energy Community
Abstract
1. Introduction
2. Materials and Methods
2.1. Study Case: REC Telheiras
2.2. PV Systems Sizing and Simulation
- Building A—Community Center: Although this building has a considerable roof area, a significant portion of it requires repairs. Therefore, only a small southern portion of the roof is available for the PV system, where the only shading element is the chimney of the building. This roof area has two sides (one is oriented south, and the other is approximately rotated 20° northeast), and the structural and electrical conditions of the building are well-preserved.
- Building B—Local Government Headquarters: a considerable roof area is available, with significant shading incidence in some portions due to higher buildings in the surroundings. Thereby, PV modules should be installed in the southern and northern areas, respectively oriented to north and south. This building also has adequate structural and electrical conditions.
- Building C—Gymnasium: a very significant two-sided roof area is available (oriented to northeast and southwest), without shading elements in the roof or the surroundings and presenting good conditions of the structure of the building and the electrical installation. However, possible roof reinforcements might be required since the large available roof area will produce a relatively higher value of PV installed capacity.
- Building D—Local Primary School: many different roof portions with different sizes and orientations are available for PV modules. Here, the different height levels of adjacent roof areas and three specific trees located inside the school promote areas with intensive shading effect, where two of the selected roof areas are slightly oriented south, and the other two are entirely flat. The constructive aspects and the electrical installation of this building also are in a generally good condition.
2.3. Consumption Profiles: Participating Households and Public Buildings
2.4. Energy Compensation: SCI and SSI Indexes
- Obtain the energy compensation for each 15 min for each public building and analyze the respective surplus energy.
- Calculate the SCI and SSI indexes for each 15 min period for each public building and average daily and monthly values.
- Define an arbitrary initial number of members in the REC and the associated fixed and equal coefficient share for members of the total surplus energy.
- Obtain the energy compensation evaluation for each 15 min considering the total surplus energy and the total energy consumption of the considered number of members.
- Calculate the SCI and SSI indexes for each 15 min period for that specific number of members and average daily and monthly values.
- Vary the number of members aiming to maximize the monthly and yearly SCI and SSI indexes for the REC.
- Define an arbitrary initial number of members in the REC and the associated fixed and equal coefficient share for the total energy consumption.
- Obtain the energy compensation for each 15 min period considering the total energy generation and the total energy consumption of the number of members considered.
- Vary the number of members, aiming to maximize the monthly average SCI and SSI indexes for the members.
2.5. Scenarios Comparison
3. Results and Discussion
3.1. PV Systems Sizing Results
3.1.1. PV System A—Community Center
3.1.2. PV System B—Local Government Headquarters
3.1.3. PV System C—Gymnasium
3.1.4. PV System D—Local Primary School
3.1.5. Overview and Total Electricity Generation
3.2. Consumption Profile Analysis
3.2.1. Average Household Member Consumption Profile
3.2.2. Public Buildings Electricity Consumption Profiles

3.3. Analysis of Energy Compensation: SCI and SSI Indexes
3.3.1. Scenario A: Current Portuguese Legislation for Energy Sharing
3.3.2. Scenario B: Fixed Sharing Coefficient for All Members including Public Buildings
3.4. Scenarios Comparison
4. Conclusions
Author Contributions
Funding
Institutional Review Board Statement
Informed Consent Statement
Data Availability Statement
Acknowledgments
Conflicts of Interest
Appendix A. Detailed Costs of the Four Analyzed PV Systems
| PV System | Components | Quantity | EUR |
|---|---|---|---|
| System A | PV Module Risen RSM 150-8-500-M | 16 | 3840 |
| Inverter Sungrow SG8.0 RT | 1 | 1143 | |
| Aluminium Profile 2.08 m | 40 | 460 | |
| End Clamp 30/35 mm | 16 | 15.52 | |
| Middle Clamp 30/35 mm | 24 | 12.24 | |
| Roof Hook Stainless Steel | 56 | 253 | |
| Solar Cable 6 mm2 Black (m) | 70 | 120 | |
| Solar Cable 6 mm2 Red (m) | 70 | 120 | |
| Protection Cable 6 mm2 Yellow/Green (m) | 70 | 111 | |
| Installation Costs | - | 304 | |
| Total Costs of System A | 6377 | ||
| System B | PV Module Risen RSM 150-8-500-M | 58 | 13,920 |
| Inverter Sungrow SG20.0 RT | 1 | 1628 | |
| Aluminium Profile 2.08 m | 48 | 552 | |
| End Clamp 30/35 mm | 16 | 15.52 | |
| Middle Clamp 30/35 mm | 88 | 44.88 | |
| Roof Hook Stainless Steel | 80 | 362 | |
| Solar Cable 6 mm2 Black (m) | 120 | 205 | |
| Solar Cable 6 mm2 Red (m) | 120 | 205 | |
| Protection Cable 6 mm2 Yellow/Green (m) | 120 | 190 | |
| Installation Costs | - | 856 | |
| Total Costs of System B | 17,978 | ||
| System C | PV Module Risen RSM 150-8-500-M | 156 | 37,440 |
| Inverter Growatt 70KTL3-X | 1 | 4797 | |
| Aluminium Profile 2.08 m | 140 | 1610 | |
| End Clamp 30/35 mm | 36 | 34.92 | |
| Middle Clamp 30/35 mm | 300 | 153 | |
| Roof Hook Stainless Steel | 246 | 1112 | |
| Solar Cable 6 mm2 Black (m) | 300 | 513 | |
| Solar Cable 6 mm2 Red (m) | 300 | 513 | |
| Protection Cable 6 mm2 Yellow/Green (m) | 300 | 474 | |
| Installation Costs | - | 2332 | |
| Total Costs of System C | 48,979 | ||
| System D | PV Module Risen RSM 150-8-500-M | 93 | 22,320 |
| Inverter Sungrow SG25.0 RT | 1 | 1991 | |
| Aluminium Profile 2.08 m | 70 | 805 | |
| End Clamp 30/35 mm | 20 | 19.40 | |
| Middle Clamp 30/35 mm | 180 | 91.80 | |
| Roof Hook Stainless Steel | 144 | 651 | |
| Solar Cable 6 mm2 Black (m) | 300 | 513 | |
| Solar Cable 6 mm2 Red (m) | 300 | 513 | |
| Protection Cable 6 mm2 Yellow/Green (m) | 300 | 474 | |
| Installation Costs | - | 1369 | |
| Total Costs of System D | 28,747 | ||
| Total Costs of All the Four Analyzed PV Systems | 102,082 | ||
References
- Ruggerio, C.A. Sustainability and sustainable development: A review of principles and definitions. Sci. Total. Environ. 2021, 786, 147481. [Google Scholar] [CrossRef] [PubMed]
- Fawzy, S.; Osman, A.I.; Doran, J.; Rooney, D.W. Strategies for mitigation of climate change: A review. Environ. Chem. Lett. 2020, 18, 2069–2094. [Google Scholar] [CrossRef]
- IPCC. Summary for Policymakers. In Climate Change 2023: Synthesis Report. Contribution of Working Groups I, II and III to the Sixth Assessment Report of the Intergovernmental Panel on Climate Change; Core Writing Team, Lee, H., Romero, J., Eds.; Intergovernmental Panel on Climate Change: Geneva, Switzerland, 2023; pp. 1–34. [Google Scholar] [CrossRef]
- Gatto, A. The energy futures we want: A research and policy agenda for energy transitions. Energy Res. Soc. Sci. 2022, 89, 102639. [Google Scholar] [CrossRef]
- Jakimowicz, A. The energy transition as a super wicked problem: The energy sector in the era of prosumer capitalism. Energies 2022, 15, 9109. [Google Scholar] [CrossRef]
- Khodayar, M.E.; Feizi, M.R.; Vafamehr, A. Solar photovoltaic generation: Benefits and operation challenges in distribution networks. Electr. J. 2019, 32, 50–57. [Google Scholar] [CrossRef]
- Stieneker, M.; De Doncker, R.W. Medium-voltage DC distribution grids in urban areas. In Proceedings of the 2016 IEEE 7th International Symposium on Power Electronics for Distributed Generation Systems (PEDG), Vancouver, BC, Canada, 27–30 June 2016; pp. 1–7. [Google Scholar]
- Singh, B.; Sharma, J. A review on distributed generation planning. Renew. Sustain. Energy Rev. 2017, 76, 529–544. [Google Scholar] [CrossRef]
- Strachan, N.; Farrell, A. Emissions from distributed vs. centralized generation: The importance of system performance. Energy Policy 2006, 34, 2677–2689. [Google Scholar] [CrossRef]
- Li, X.; Peng, J.; Li, N.; Wu, Y.; Fang, Y.; Li, T.; Wang, M.; Wang, C. Optimal design of photovoltaic shading systems for multi-story buildings. J. Clean. Prod. 2019, 220, 1024–1038. [Google Scholar] [CrossRef]
- Ghosh, A. Potential of building integrated and attached/applied photovoltaic (BIPV/BAPV) for adaptive less energy-hungry building’s skin: A comprehensive review. J. Clean. Prod. 2020, 276, 123343. [Google Scholar] [CrossRef]
- Sharma, V.; Haque, M.H.; Aziz, S.M. PV generation and load profile data of net zero energy homes in South Australia. Data Brief 2019, 25, 104235. [Google Scholar] [CrossRef] [PubMed]
- Gomes, P.V.; Saraiva, J.T. Transmission system planning considering solar distributed generation penetration. In Proceedings of the 2017 14th International Conference on the European Energy Market (EEM), Dresden, Germany, 6–9 June 2017; pp. 1–6. [Google Scholar] [CrossRef][Green Version]
- Lopes, R.A.; Magalhães, P.; Gouveia, J.P.; Aelenei, D.; Lima, C.; Martins, J. A case study on the impact of nearly Zero-Energy Buildings on distribution transformer aging. Energy 2018, 157, 669–678. [Google Scholar] [CrossRef]
- Sgouras, K.I.; Bouhouras, A.S.; Gkaidatzis, P.A.; Doukas, D.I.; Labridis, D.P. Impact of reverse power flow on the optimal distributed generation placement problem. IET Gener. Transm. Distrib. 2017, 11, 4626–4632. [Google Scholar] [CrossRef]
- Fuster-Palop, E.; Prades-Gil, C.; Masip, X.; Viana-Fons, J.D.; Payá, J. Techno-economic potential of urban photovoltaics: Comparison of net billing and net metering in a Mediterranean municipality. Energies 2023, 16, 3564. [Google Scholar] [CrossRef]
- Dufo-López, R.; Bernal-Agustín, J.L. A comparative assessment of net metering and net billing policies. Study cases for Spain. Energy 2015, 84, 684–694. [Google Scholar] [CrossRef]
- Mendieta, J.O.; Hernández, E.S. Analysis of PV self-consumption in educational and office buildings in Spain. Sustainability 2021, 13, 1662. [Google Scholar] [CrossRef]
- de Faria, H.; Trigoso, F.B.; Cavalcanti, J.A. Review of distributed generation with photovoltaic grid connected systems in Brazil: Challenges and prospects. Renew. Sustain. Energy Rev. 2017, 75, 469–475. [Google Scholar] [CrossRef]
- Camilo, F.M.; Castro, R.; Almeida, M.E.; Pires, V.F. Economic assessment of residential PV systems with self-consumption and storage in Portugal. Sol. Energy 2017, 150, 353–362. [Google Scholar] [CrossRef]
- Luthander, R.; Widén, J.; Nilsson, D.; Palm, J. Photovoltaic self-consumption in buildings: A review. Appl. Energy 2015, 142, 80–94. [Google Scholar] [CrossRef]
- Stephens, J.C. Energy Democracy: Redistributing Power to the People through Renewable Transformation. Environ. Sci. Policy Sustain. Dev. 2019, 61, 4–13. [Google Scholar] [CrossRef]
- Szulecki, K. Conceptualizing energy democracy. Environ. Politi 2018, 27, 21–41. [Google Scholar] [CrossRef]
- Wahlund, M.; Palm, J. The role of energy democracy and energy citizenship for participatory energy transitions: A comprehensive review. Energy Res. Soc. Sci. 2022, 87, 102482. [Google Scholar] [CrossRef]
- Directive (EU) 2018/2001 of the European Parliament and of the Council of 11 December 2018 on the Promotion of the Use of Energy from Renewable Sources (Recast). Available online: http://data.europa.eu/eli/dir/2018/2001/oj (accessed on 27 February 2024).
- Cielo, A.; Margiaria, P.; Lazzeroni, P.; Mariuzzo, I.; Repetto, M. Renewable Energy Communities business models under the 2020 Italian regulation. J. Clean. Prod. 2021, 316, 128217. [Google Scholar] [CrossRef]
- Hanke, F.; Guyet, R.; Feenstra, M. Do renewable energy communities deliver energy justice? Exploring insights from 71 European cases. Energy Res. Soc. Sci. 2021, 80, 102244. [Google Scholar] [CrossRef]
- Ferreira, E.; Gouveia, J.P.; Sequeira, M.M. Renewable Energy Communities: Concepts, Approaches and the Case Study of Telheiras Neighborhood in Lisbon. In 8th Meeting on Energy and Environmental Economics—Energy Poverty—Book of Extended Abstracts; UA Editora: Aveiro, Portugal, 2023. [Google Scholar] [CrossRef]
- Koukoufikis, G.; Schockaert, H.; Paci, D.; Filippidou, F.; Caramizaru, A.; Della Valle, N.; Candelise, C.; Murauskaite-Bull, I.; Uihlein, A. Energy Communities and Energy Poverty; JRC134832; Publications Office of the European Union: Luxembourg, 2023. [Google Scholar] [CrossRef]
- Compile. Compile Project–Home. 2022. Available online: https://www.compile-project.eu/ (accessed on 20 February 2024).
- Caramizaru, E.; Uihlein, A. Energy Communities: An Overview of Energy and Social Innovation; EUR 30083 EN; Publications Office of the European Union: Luxembourg, 2020; ISBN 978-92-76-10713-2. [Google Scholar]
- Renewable Energy Communities Repository. EU Projects and Initiatives. European Commission, 2024. Available online: https://energy-communities-repository.ec.europa.eu/energy-communities-repository-support/energy-communities-repository-eu-projects-and-initiatives_en (accessed on 20 March 2024).
- Diário da República. Decreto-Lei nº 162/2019, 25 de Outubro–Aprova o Regime Jurídico Aplicável ao Autoconsumo de Energia Renovável, Transpondo Parcialmente a Diretiva 2018/2001; Presidência do Conselho de Ministros: Lisbon, Portugal, 2019; pp. 1–20.
- Diário da República. Decreto-Lei nº 15/2022, 14 de Janeiro–Estabelece a Organização e o Funcionamento do Sistema Elétrico Nacional, Transpondo a Diretiva (EU) 2019/944 e a Diretiva (EU) 2018/2001; Presidência do Conselho de Ministros: Lisbon, Portugal, 2022; pp. 3–185.
- Rescoop. Transposition Tracker–Enabling Frameworks & Support Schemes. 2024. Available online: https://www.rescoop.eu/transposition-tracker-support-schemes (accessed on 19 February 2024).
- Fina, B.; Monsberger, C. Legislation for renewable energy communities and citizen energy communities in Austria: Changes from the legislative draft to the finally enacted law. J. World Energy Law Bus. 2022, 15, 237–244. [Google Scholar] [CrossRef]
- Tatti, A.; Ferroni, S.; Ferrando, M.; Motta, M.; Causone, F. The EMERGING TRENDS of Renewable Energy Communities’ DEVELOPMENT in Italy. Sustainability 2023, 15, 6792. [Google Scholar] [CrossRef]
- Sebi, C.; Vernay, A.-L. Community renewable energy in France: The state of development and the way forward. Energy Policy 2020, 147, 111874. [Google Scholar] [CrossRef]
- Spasova, D.; Braungardt, S. Building a common support framework in differing realities—Conditions for renewable energy communities in Germany and Bulgaria. Energies 2021, 14, 4693. [Google Scholar] [CrossRef]
- Viver Telheiras. Comunidade de Energia Renovável de Telheiras. 2023. Available online: http://vivertelheiras.pt (accessed on 10 February 2024).
- Reis, I.F.G.; Gonçalves, I.; Lopes, M.A.R.; Antunes, C.H. Assessing the influence of different goals in energy communities’ self-sufficiency—An optimized multiagent approach. Energies 2021, 14, 989. [Google Scholar] [CrossRef]
- Todeschi, V.; Marocco, P.; Mutani, G.; Lanzini, A.; Santarelli, M. Towards energy self-consumption and self-sufficiency in urban Energy Communities. Int. J. Heat Technol. 2021, 39, 1–11. [Google Scholar] [CrossRef]
- Gallego-Castillo, C.; Heleno, M.; Victoria, M. Self-consumption for energy communities in Spain: A regional analysis under the new legal framework. Energy Policy 2021, 150, 112144. [Google Scholar] [CrossRef]
- Simoiu, M.S.; Fagarasan, I.; Ploix, S.; Calofir, V. Optimising the self-consumption and self-sufficiency: A novel approach for adequately sizing a photovoltaic plant with application to a metropolitan station. J. Clean. Prod. 2021, 327, 129399. [Google Scholar] [CrossRef]
- Barone, G.; Brusco, G.; Menniti, D.; Pinnarelli, A.; Polizzi, G.; Sorrentino, N.; Vizza, P.; Burgio, A. How smart metering and smart charging may help a local energy community in collective self-consumption in presence of electric vehicles. Energies 2020, 13, 4163. [Google Scholar] [CrossRef]
- Sequeira, M.M.; e Mameri, D. Can communities lead the way for socio-ecological urban transformations? The empiric experience of the “network of ideas” process in the Telheiras neighborhood, Portugal. In Proceedings of the International Sustainable Development Research Society Conference, Stockholm, Sweden, 15–17 June 2022; ISBN 978-91-89504-17-2. [Google Scholar]
- INE. Population and Society Statistics–Portugal. 2024. Available online: https://www.ine.pt/xportal/xmain?xpid=INE&xpgid=ine_main (accessed on 20 March 2024).
- EPAH (Energy Poverty Advisory Hub). Technical Assistance-Lumiar. DG Energy; European Commission, 2024. Available online: https://energy-poverty.ec.europa.eu/get-support/technical-assistance_en (accessed on 11 February 2024).
- Sequeira, M.M.; Ferreira, E.; Pereira, L.K.; Cachinho, L.; Martins, H.; Gouveia, J.P.; Antunes, A.R.; Boucinha, A. Practical Guide: Development of Renewable Energy Communities by Citizens, Associations, and Local Governments—The Example of the Telheiras Renewable Energy Community. 2024. Available online: http://vivertelheiras.pt/certelheiras (accessed on 11 February 2024).
- Risen Energy Co. Titan–110 High Performance Monocrystalline PERC Module. 2024. Available online: https://en.risenenergy.com/product/assembly_info?info=5 (accessed on 29 January 2024).
- Singh, B.P.; Goyal, S.K.; Kumar, P. Solar PV cell materials and technologies: Analyzing the recent developments. Mater. Today Proc. 2021, 43, 2843–2849. [Google Scholar] [CrossRef]
- Dambhare, M.V.; Butey, B.; Moharil, S.V. Solar photovoltaic technology: A review of different types of solar cells and its future trends. J. Phys. Conf. Ser. 2021, 1913, 012053. [Google Scholar] [CrossRef]
- Efaz, E.T.; Rhaman, M.; Al Imam, S.; Bashar, K.L.; Kabir, F.; Mourtaza, E.; Sakib, S.N.; Mozahid, F.A. A review of primary technologies of thin-film solar cells. Eng. Res. Express 2021, 3, 032001. [Google Scholar] [CrossRef]
- Baqir, M.; Channi, H.K. Analysis and design of solar PV system using Pvsyst software. Mater. Today Proc. 2021, 48, 1332–1338. [Google Scholar] [CrossRef]
- Pfeifroth, U.; Sanchez-Lorenzo, A.; Manara, V.; Trentmann, J.; Hollmann, R. Trends and variability of surface solar radiation in Europe based on surface- and satellite-based data records. J. Geophys. Res. Atmos. 2018, 123, 1735–1754. [Google Scholar] [CrossRef]
- Casa do Microinversor. Painel Solar Risen 500Wp–RSM-150-8-500M [Solar Panel Risen 500Wp–RSM-150-8-500M]. 2024. Available online: https://microinversor.com.br/produto/painel-solar-risen-500wp-rsm150-8-500m-500wp/?v=19d3326f3137 (accessed on 21 March 2024).
- Klima. Inversor Sungrow SG8.0RT [Sungrow Inverter SG8.0RT]. 2024. Available online: https://klima.pt/inversores/9131-inversor-sungrow-sg8-0rt.html (accessed on 21 March 2024).
- Great Tecno. Inversor Sungrow SG20.0RT [Sungrow Inverter SG20.0RT]. 2024. Available online: https://greatecno.com/pt/eletrodomesticos-para-o-lar/483960-inversor-sungrow-sg20-0rt.html?gad_source=1&gclid=CjwKCAjwte-vBhBFEiwAQSv_xanNf_1PQon5J2o07_58mA8qzxR2b2jEHW47KQKpgHwvLQqz7tvqfhoCHwoQAvD_BwE (accessed on 21 March 2024).
- IluminaShop. Inversor Trifásico Growatt MAX 70KTL3-X LV [Gowatt Triphasic Inverter MAX 70KTL3-X LV]. 2024. Available online: https://iluminashop.com/pt-pt/led-producto/material-eletrico/energia-solar-fotovoltaica/inversores-solares/inversor-trifasico-growatt-max-70ktl3-x-lv/?gad_source=1&gclid=CjwKCAjwte-vBhBFEiwAQSv_xfJuhrwTDX_LcClDvqXsiMTOIHKDi_-NnKfTcTKggXuyiOKHkcG9whoCfR4QAvD_BwE (accessed on 21 March 2024).
- Extra Digital. Inverter Sungrow SG25RT, 25kW, 3-phae, 2 MPPT. 2024. Available online: https://www.extradigital.eu/inverters-pv/inverter-sungrow-25kw-3-phase-2-mppt_SG25RT (accessed on 21 March 2024).
- Altamira. Perfil de Alumínio 208 cm 40 × 40 para Parafusos Hexagonais [Aluminium Profile 208 cm 40 × 40 for Hexagonal Screws]. 2024. Available online: https://e-altamira.pt/pt_PT/p/Perfil-de-Aluminio-208cm-40x40-para-Parafusos-Hexagonais/119?gad_source=1&gclid=CjwKCAjwte-vBhBFEiwAQSv_xQ9GRYaTtO4KMCJX5Lz24OS5PPiLpNdMQYfp3hE9jr6WNc2GCE_ldRoCszIQAvD_BwE (accessed on 21 March 2024).
- IluminaShop. Grampo Final 30/35 mm Preto para Guia Pro Standard XH [End Clamp 30/35 mm Black for Pro Standard XH]. 2024. Available online: https://iluminashop.com/pt-pt/led-producto/material-eletrico/energia-solar-fotovoltaica/estruturas-para-paineis-solares/grampo-final-30-35-mm-preto-para-guia-pro-standard-xh/?gad_source=1&gclid=CjwKCAjwte-vBhBFEiwAQSv_xZ-eo8VFiyu2qQXNgmS8Hu8CzOU9tfmEYurRdGlKECkLIVch41uppBoCUBcQAvD_BwE (accessed on 21 March 2024).
- Altamira. Grampo Central H8 furo M8 Alumínio 6060 Anodizado [Middle Clamp H8 Hole M8 Aluminium 6060 Anodized]. 2024. Available online: https://e-altamira.pt/pt_PT/p/Grampo-central-H8-furo-M8-aluminio-6060-Anodizado/159?gad_source=1&gclid=CjwKCAjwte-vBhBFEiwAQSv_xdABwMjfRip-lCqzGWfKdXxLpwNinmN7QVefhXcLm8EgLvvCcYb24RoC6-sQAvD_BwE (accessed on 21 March 2024).
- Altamira. Gancho de Telhado Vario 3× Ajustável em Aço Inoxidável 1.4016–120 mm [Vario Roof Hook 3× Adjustable in Stainless Steel 1.4016–120 mm]. 2024. Available online: https://e-altamira.pt/pt_PT/p/Gancho-de-Telhado-Vario-3x-Ajustavel-em-Aco-Inoxidavel-1.4016-120mm/127?gad_source=1&gclid=CjwKCAjwte-vBhBFEiwAQSv_xUFnMuu9GjLOcbJd9PfgqaGKIbPL8vytV1bJOasXtO8A6hftpFX6NRoCPQIQAvD_BwE (accessed on 21 March 2024).
- EfectoLED. Cabo Solar 6 mm2 PV ZZ-F Preto [Solar Cable 6 mm2 PV ZZ-F Black]. 2024. Available online: https://www.efectoled.com/pt/comprar-cabo-unifilar/7255-cable-negro-6mm2-pv-zz-f-.html?utm_source=google&utm_medium=pmax&utm_campaign=PT_Standard_Max_Valor&gad_source=1&gclid=CjwKCAjwte-vBhBFEiwAQSv_xd9bWZ9O7K-qQ_JWrS72AdzEi-TCLl6e_ackNc5AqIbQnjuihS_fmRoCN4EQAvD_BwE (accessed on 21 March 2024).
- EfectoLED. Cabo Solar 6 mm2 PV ZZ-F Vermelho [Solar Cable 6 mm2 PV ZZ-F Red]. 2024. Available online: https://www.efectoled.com/pt/comprar-cabo-electrico-de-borracha/7259-cable-rojo-6mm2-pv-zz-f-.html?utm_source=google&utm_medium=pmax&utm_campaign=PT_Standard_Max_Valor&gad_source=1&gclid=CjwKCAjwte-vBhBFEiwAQSv_xSqkIDBd82DoEOnpoxJ3RmKEiUEBtrbKgb3BGWOEw1__C2MGtZBUzRoCgYoQAvD_BwE (accessed on 21 March 2024).
- EfectoLED. Cabo 6 mm2 H07V-K Amarelo/Verde [Cable 6 mm2 H07V-K Yellow/Green]. 2024. Available online: https://www.efectoled.com/pt/comprar-cabo-unifilar/39706-cable-rojo-6mm2-pv-zz-f-.html?utm_source=google&utm_medium=pmax&utm_campaign=PT_Low_perf_Max_Valor&gad_source=1&gclid=CjwKCAjwte-vBhBFEiwAQSv_xU0oyPYtX3eRN-td3bVCpysZc6qhIfTZBBgQdkrb0VlfAj1qrR8SFBoC9ToQAvD_BwE (accessed on 21 March 2024).
- Gouveia, J.P.; Seixas, J.; Palma, P.; Duarte, H.; Luz, H.; Cavadini, G.B. Positive Energy District: A model for historic districts to address energy poverty. Front. Sustain. Cities 2021, 3, 648473. [Google Scholar] [CrossRef]
- ERSE. Tarifas e Preços para a Energia Elétrica e Outros Serviços em 2024 [Tariffs and Prices for Electricity and Other Services in 2024]. 2024. Available online: https://www.erse.pt/atividade/regulacao/tarifas-e-precos-eletricidade/#tarifas-e-precos-regulados (accessed on 21 March 2024).
- Ben Ammar, M.; Chaabene, M.; Elhajjaji, A. Daily energy planning of a household photovoltaic panel. Appl. Energy 2010, 87, 2340–2351. [Google Scholar] [CrossRef]
- Gouveia, J.P.; Seixas, J.; Mestre, A. Daily Electricity Profiles from Smart Meters—Proxies of Active Behaviour for Space Heating and Cooling. Energy 2017, 141, 108–122. [Google Scholar] [CrossRef]
- Rodrigues, F.; Cardeira, C.; Calado, J. The daily and hourly energy consumption and load forecasting using artificial neural network method: A case study using a set of 93 households in Portugal. Energy Procedia 2014, 62, 220–229. [Google Scholar] [CrossRef]
- Li, H.; Li, Y.; Zheng, G.; Zhou, Y. Interaction between household energy consumption and health: A systematic review. Renew. Sustain. Energy Rev. 2024, 189, 113859. [Google Scholar] [CrossRef]
- Estiri, H.; Zagheni, E. Age matters: Ageing and household energy demand in the United States. Energy Res. Soc. Sci. 2019, 55, 62–70. [Google Scholar] [CrossRef]
- Dounis, A.; Caraiscos, C. Advanced control systems engineering for energy and comfort management in a building environment—A review. Renew. Sustain. Energy Rev. 2009, 13, 1246–1261. [Google Scholar] [CrossRef]
- Mousavi, S.; Gijón-Rivera, M.; Rivera-Solorio, C.; Rangel, C.G. Energy, comfort, and environmental assessment of passive techniques integrated into low-energy residential buildings in semi-arid climate. Energy Build. 2022, 263, 112053. [Google Scholar] [CrossRef]
- PORDATA. Consumo de Energia Elétrica por Consumidor: Total e por Tipo de Consumo [Electricity Consumption by Consumer: Total and by Type of Consumer]. 2024. Available online: https://www.pordata.pt/portugal/consumo+de+energia+eletrica+por+consumidor+total+e+por+tipo+de+consumo-1231 (accessed on 21 March 2024).
- Hoicka, C.E.; Lowitzsch, J.; Brisbois, M.C.; Kumar, A.; Camargo, L.R. Implementing a just renewable energy transition: Policy advice for transposing the new European rules for renewable energy communities. Energy Policy 2021, 156, 112435. [Google Scholar] [CrossRef]
- Directive (EU) 2023/1791 of the European Parliament and of the Council of 13 September 2023 on Energy Efficiency and Amending Regulation (EU) 2023/955 (recast). Off. J. Eur. Union L231, 1–111. Available online: https://eur-lex.europa.eu/legal-content/EN/TXT/?uri=OJ%3AJOL_2023_231_R_0001&qid=1695186598766 (accessed on 2 February 2024).
- Ceglia, F.; Marrasso, E.; Samanta, S.; Sasso, M. Addressing energy poverty in the energy community: Assessment of energy, environmental, economic, and social benefits for an Italian residential case study. Sustainability 2022, 14, 15077. [Google Scholar] [CrossRef]
- Gouveia, J.P.; Seixas, J. Unraveling electricity consumption profiles in households through clusters: Combining smart meters and door-to-door surveys. Energy Build. 2016, 116, 666–676. [Google Scholar] [CrossRef]
- E-Redes. Smart Meters–The Innovation in the Electrical Energy Management. 2024. Available online: https://www.e-redes.pt/pt-pt/transicao-energetica/redes-do-futuro/contadores-inteligentes (accessed on 21 March 2024).













| PV Module: Risen RSM 150-8-500-M (STC Conditions) | ||
|---|---|---|
| Nominal power: 500 Wp | Open circuit voltage: 51 V | Monocrystalline cells |
| Efficiency: 20.3% | Short circuit current: 12.5 A | Area: 2.49 m2 |
| Components | EUR/Unit | Reference |
|---|---|---|
| PV Module Risen RSM 150-8-500-M | 240.00 | [56] |
| Inverter Sungrow SG8.0 RT | 1142.58 | [57] |
| Inverter Sungrow SG20.0 RT | 1628.24 | [58] |
| Inverter Growatt 70KTL3-X | 4797.00 | [59] |
| Inverter Sungrow SG25.0 RT | 1991.36 | [60] |
| Aluminium Profile 2.08 m | 11.50 | [61] |
| End Clamp 30/35 mm | 0.97 | [62] |
| Middle Clamp 30/35 mm | 0.51 | [63] |
| Roof Hook Stainless Steel | 4.52 | [64] |
| Solar Cable 6 mm2 Black (m) | 1.71 | [65] |
| Solar Cable 6 mm2 Red (m) | 1.71 | [66] |
| Protection Cable 6 mm2 Yellow/Green (m) | 1.58 | [67] |
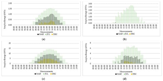
| System A—Community Center (Simulation Results) |
|---|
![]() |
| System B—Local Government Headquarters (Simulation Results) |
|---|
![]() |
| System C—Gymnasium (Simulation Results) |
|---|
![]() |
| System D—Local Primary School (Simulation Results). |
|---|
![]() |
| REC Members | Investment (EUR) | Available Energy (kWh/Year) | Annual Grid Costs (EUR/Year) | Annual O and M Costs (EUR/Year) | Energy Bills Savings (EUR/Year) | |
|---|---|---|---|---|---|---|
| Local government | A | 375 | 835 | - | 11.25 | 134 |
| B | 21,078 | 46,959 | - | 632 | 7513 | |
| C | 4223 | 9409 | - | 127 | 1505 | |
| D | 14,650 | 32,639 | - | 440 | 5222 | |
| Total | 40,326 | 89,842 | - | 1210 | 14,374 | |
| Families | 1 family | 147.39 | 328 | 3.48 | 4.19 | 52.54 |
| Total | ||||||
| (n = 419) | 61,756 | 137,432 | 1458 | 1852 | 22,014 | |
| REC Members | Investment (EUR) | Available Energy (kWh/Year) | Annual Grid Costs (EUR/Year) | Annual O and M Costs (EUR/Year) | Energy Bills Savings (EUR/Year) | |
|---|---|---|---|---|---|---|
| Local government | A | 174 | 387 | - | 5.22 | 62 |
| B | 174 | 387 | - | 5.22 | 62 | |
| C | 174 | 387 | - | 5.22 | 62 | |
| D | 174 | 387 | - | 5.22 | 62 | |
| Total | 696 | 1548 | - | 20.88 | 248 | |
| Families | 1 family | 174 | 387 | 4.11 | 5.22 | 62 |
| Total | ||||||
| (n = 583) | 101,442 | 225,621 | 2396 | 3043 | 36,146 | |
Disclaimer/Publisher’s Note: The statements, opinions and data contained in all publications are solely those of the individual author(s) and contributor(s) and not of MDPI and/or the editor(s). MDPI and/or the editor(s) disclaim responsibility for any injury to people or property resulting from any ideas, methods, instructions or products referred to in the content. |
© 2024 by the authors. Licensee MDPI, Basel, Switzerland. This article is an open access article distributed under the terms and conditions of the Creative Commons Attribution (CC BY) license (https://creativecommons.org/licenses/by/4.0/).
Share and Cite
Ferreira, E.; Sequeira, M.M.; Gouveia, J.P. Sharing Is Caring: Exploring Distributed Solar Photovoltaics and Local Electricity Consumption through a Renewable Energy Community. Sustainability 2024, 16, 2777. https://doi.org/10.3390/su16072777
Ferreira E, Sequeira MM, Gouveia JP. Sharing Is Caring: Exploring Distributed Solar Photovoltaics and Local Electricity Consumption through a Renewable Energy Community. Sustainability. 2024; 16(7):2777. https://doi.org/10.3390/su16072777
Chicago/Turabian StyleFerreira, Evandro, Miguel Macias Sequeira, and João Pedro Gouveia. 2024. "Sharing Is Caring: Exploring Distributed Solar Photovoltaics and Local Electricity Consumption through a Renewable Energy Community" Sustainability 16, no. 7: 2777. https://doi.org/10.3390/su16072777
APA StyleFerreira, E., Sequeira, M. M., & Gouveia, J. P. (2024). Sharing Is Caring: Exploring Distributed Solar Photovoltaics and Local Electricity Consumption through a Renewable Energy Community. Sustainability, 16(7), 2777. https://doi.org/10.3390/su16072777




