Experimental and Numerical Study on Flexural Behavior of Concrete Beams Using Notches and Repair Materials
Abstract
1. Introduction
Contribution of Work
2. Experimental Study
3. Numerical Study
3.1. Validation of the Numerical Model
3.2. Present Numerical Study
4. Results and Discussion
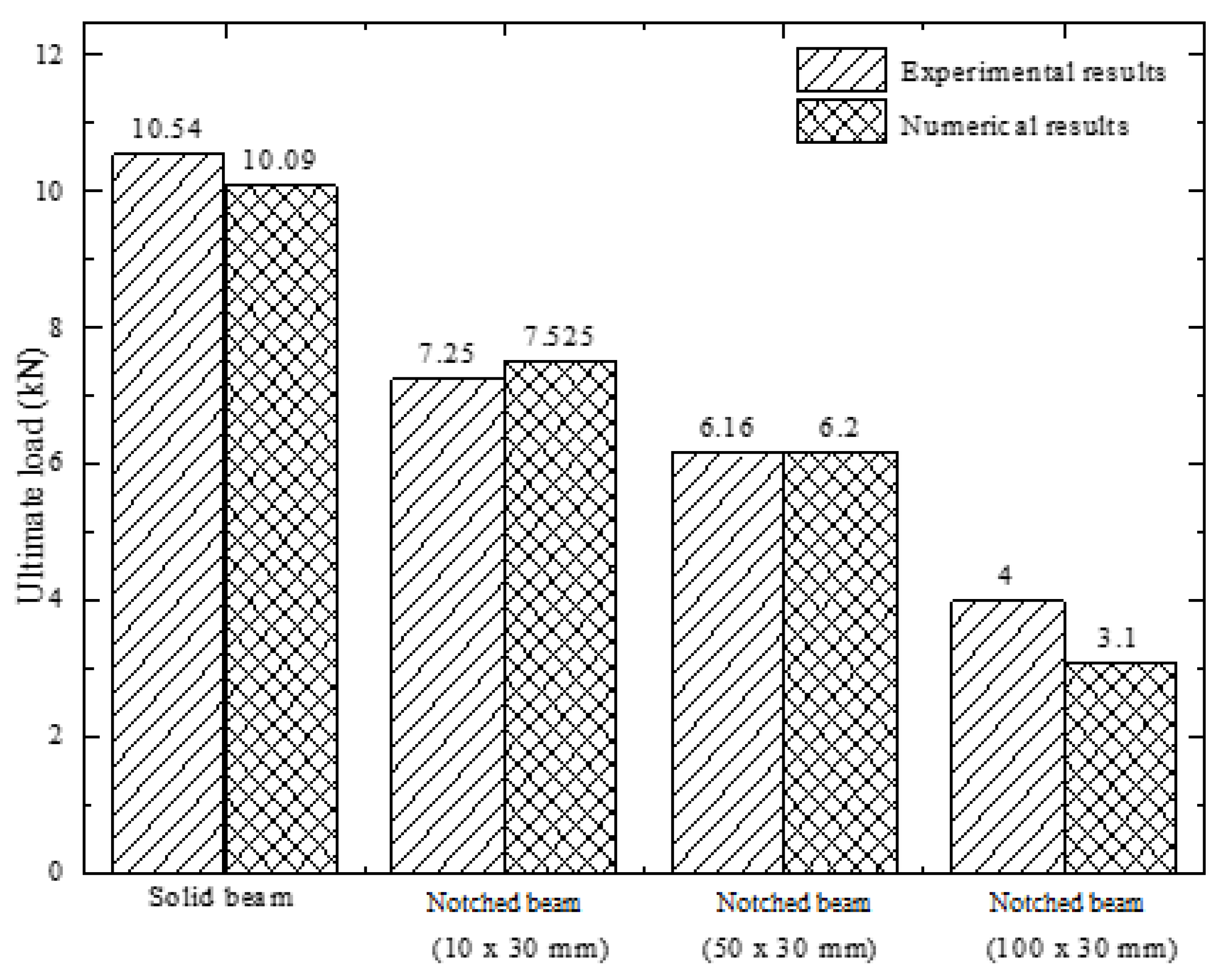
4.1. Effect of Notching
4.2. Effect of Repairing Materials
5. Conclusions
- There is an excellent correlation between the experimental and finite element numerical results at every loading stage up to the point of failure to predicate the flexural behavior of the concrete beam. Additionally, the FE numerical platform can overcome the drawbacks of experimental testing.
- The differences in numerical and experimental results ranged from 0.65% to 22.20% for the ultimate load carrying capacity.
- As the notch size increases, the ultimate load carrying capacity of the beam is reduced. The notch volume ranged from 0.6 to 6% with a percentage reduction in load carrying capacity in the range of 41.20–67.56%.
- A linear regression (LR) model was proposed to predict the ultimate load values at a notch width interval of 5 mm up to maximum notch width of 100 mm. It can be observed that the ultimate load capacity of the repaired beams was increased when compared to the notched beams with all three repairing materials under consideration.
- It can be seen that the correlation coefficient with experimental and numerical results shows a difference of nearly 1.12%. The root mean square errors (RMSE) for the experimental and numerical results are 0.288 and 0.522, respectively.
- The maximum ultimate load was increased in case of the notched beam repaired using adhesive. Additionally, the FE numerical platform can be used to simulate the repair materials and to study their performance. As compared to the cement mortar, the performance of the bacterial mortar was better in terms of the ultimate load. The bacterial mortar is more sustainable and more durable as a repair material for concrete structures.
- The selection of any repair and/or strengthening material depends on repair time, localized changes in the stiffness of the member, strength, ductility, durability, cost, and work safety.
Author Contributions
Funding
Institutional Review Board Statement
Data Availability Statement
Acknowledgments
Conflicts of Interest
List of Abbreviations
| AE | Acoustic emission |
| AFM | Atomic force microscopy |
| B. Pasturi | Bacillus Pastutri |
| CDP | Concrete damage plasticity |
| CFRP | Carbone fiber-reinforced polymer |
| DIF | Dynamic increase factor |
| FESEM | Field emission scanning electron microscopy |
| FIB | Focused ion beam |
| FRP | Fiber-reinforced polymer |
| GPR | Ground penetrating radar |
| HPC | High performance concrete |
| IMTECH, CSIR | Institute of Microbial Technology, Council of Scientific and Industrial Research |
| IS | Indian Standard |
| LR | Linear regression |
| MTTCC3616 | Microbial Type Culture Collection and Gene Bank |
| NDE | Non-destructive evaluation |
| NDT | Non-destructive testing |
| OPC | Ordinary Portland cement |
| PPC | Pozzolana Portland cement |
| R2 | Correlation coefficient |
| RCC | Reinforce cement concrete |
| RMSE | Root mean square errors |
| SEM | Scanning electron microscopy |
| SFRP | Steel fiber-reinforced polymer |
| SMA | Shape memory alloy |
| TEM | Transmission electron microscopy |
| UPA | Ultra-sonic pulse velocity |
| UT | Ultra-sonic testing |
| XFEM | Extended finite element method |
| XMT | X-ray microtomography |
| XRD | Extended finite element method |
List of Notations
| µFoamed Concrete | Poisson ratio of foamed concrete |
| µAdhesive | Poisson ratio of adhesive |
| µCFRP | Poisson ratio of CFRP |
| EFoamed Concrete | Modulus foamed concrete |
| EAdhesive | Modulus of elasticity of adhesive |
| EC | Modulus of elasticity of concrete |
| ECFRP | Modulus of elasticity of CFRP |
| fck | Compressive strength of concrete |
| ftk | Tensile strength of concrete |
| MIConcrete | Moment of inertia of concrete |
| w/c | Water-to-cement ratio |
| concrete | Density of concrete |
| foamed concrete | Density of foamed concrete |
| φ | Angle of repose |
References
- Luo, M.; Qian, C.; Li, R. Factors affecting crack repairing capacity of bacteria-based self-healing concrete. Constr. Build. Mater. 2015, 87, 1–17. [Google Scholar] [CrossRef]
- Obaid, W.A.; AL-asadi, A.K.; Shaia, H. Repair and strengthening of concrete beam materials using different CFRP laminates configuration. Mater. Today Proc. 2022, 49, 2806–2810. [Google Scholar] [CrossRef]
- Hassan, R.F.; Latief, A.F. Repairing and strengthening techniques of RC beams: A review, 3rd International Conference for Civil Engineering Science (ICCES 2023). IOP Conf. Ser. Earth Environ. Sci. 2023, 1232, 012032. [Google Scholar] [CrossRef]
- Martinola, G.; Meda, A.; Plizzari, G.A.; Rinaldi, Z. Strengthening and repair of RC beams with fiber reinforced concrete. Cem. Concr. Compos. 2010, 32, 731–739. [Google Scholar] [CrossRef]
- Pešić, N.; Pilakoutas, K. Flexural analysis and design of reinforced concrete beams with externally bonded FRP reinforcement. Mater. Struct./Mater. Constr. 2005, 38, 183–192. [Google Scholar] [CrossRef]
- Balsamo, A.; Nardone, F.; Iovinella, I.; Ceroni, F.; Pecce, M. Flexural strengthening of concrete beams with EB-FRP, SRP and SRCM: Experimental investigation. Compos. Part B Eng. 2013, 46, 91–101. [Google Scholar] [CrossRef]
- Słowik, M. The analysis of failure in concrete and reinforced concrete beams with different reinforcement ratio. Arch. Appl. Mech. 2019, 89, 885–895. [Google Scholar] [CrossRef]
- Sharaky, I.A.; Ahmed, S.E.; Alharthi, Y.M. Flexural response and failure analysis of solid and hollow core concrete beams with additional opening at different locations. Materials 2021, 14, 7203. [Google Scholar] [CrossRef]
- Dong, Y.; Ming, Z.; Ansari, F. Failure characteristics of reinforced concrete beams repaired with CFRP composites. In Proceedings of the Third International Conference on Composites in Infrastructure (ICCI’02), Francisco, CA, USA, 10–12 June 2002; pp. 51–65. [Google Scholar]
- Rahim, N.I.; Mohammed, B.S.; Al-Fakih, A.; Wahab, M.M.A.; Liew, M.S.; Anwar, A.; Amran, Y.H.M. Strengthening the structural behavior of web openings in RC deep beam using CFRP. Materials 2020, 13, 2804. [Google Scholar] [CrossRef]
- Maraq, M.A.A.; Tayeh, B.A.; Ziara, M.M.; Alyousef, R. Flexural behavior of RC beams strengthened with steel wire mesh and self-compacting concrete jacketing—Experimental investigation and test results. J. Mater. Res. Technol. 2021, 10, 1002–1019. [Google Scholar] [CrossRef]
- Chalioris, C.E.; Pourzitidis, C.N. Rehabilitation of shear-damaged reinforced concrete beams using self-compacting concrete jacketing. ISRN Civ. Eng. 2012, 2012, 816107. [Google Scholar] [CrossRef]
- Mostofinejad, D.; Shameli, S.M. Externally bonded reinforcement in grooves (EBRIG) technique to postpone debonding of FRP sheets in strengthened concrete beams. Constr. Build. Mater. 2013, 38, 751–758. [Google Scholar] [CrossRef]
- Sirisonthi, A.; Julphunthong, P.; Joyklad, P.; Suparp, S.; Ali, N.; Javid, M.A.; Chaiyasarn, K.; Hussain, Q. Structural behavior of large-scale hollow section RC beams and strength enhancement using carbon fiber reinforced polymer (CFRP) composites. Polymers 2022, 14, 158. [Google Scholar] [CrossRef] [PubMed]
- Grégoire, D.; Rojas-Solano, L.B.; Pijaudier-Cabot, G. Failure and size effect for notched and unnotched concrete beams. Int. J. Numer. Anal. Methods Geomech. 2013, 37, 1434–1452. [Google Scholar] [CrossRef]
- Ameli, Z.; Rahman, M.M.; Carloni, C. Largest experimental investigation on size effect of concrete notched beams. J. Eng. Mech. ASCE 2023, 150. [Google Scholar] [CrossRef]
- Nunes, L.C.S.; Reis, J.M.L. Experimental investigation of mixed-mode-I/II fracture in polymer mortars using digital image correlation method. Lat. Am. J. Solids Struct. 2014, 11, 330–343. [Google Scholar] [CrossRef]
- Huang, X.; Wang, J.; Zhang, F.; Niu, S.; Ding, J. An experimental investigation on the failure behavior of a notched concrete beam strengthened with carbon fiber-reinforced polymer. Int. J. Polym. Sci. 2015, 2015, 729320. [Google Scholar] [CrossRef]
- Kadela, M.; Cińcio, A.; Kozlowski, M. Degradation analysis of notched foam concrete beam. Appl. Mech. Mater. 2015, 797, 96–100. [Google Scholar] [CrossRef]
- Rahman, N.A.; Jaini, Z.M.; Rahim, N.A.A.; Razak, S.A.A. An experimental study on the fracture energy of foamed concrete using V-notched beams. In InCIEC 2014; Hassan, R., Yusoff, M., Alisibramulisi, A., Mohd Amin, N., Ismail, Z., Eds.; Springer: Singapore, 2015. [Google Scholar] [CrossRef]
- Benarbia, D.; Benguediab, M. Propagation of cracks in reinforced concrete beams cracked and repaired by composite materials. Mech. Mech. Eng. 2017, 21, 591–601. [Google Scholar]
- Lacidogna, G.; Piana, G.; Accornero, F.; Carpinteri, A. Experimental investigation on crack growth in pre-notched concrete beams. Proceedings 2018, 2, 429. [Google Scholar] [CrossRef]
- Valdez Aguilar, J.; Juárez-Alvarado, C.A.; Mendoza-Rangel, J.M.; Terán-Torres, B.T. Effect of the notch-to-depth ratio on the post-cracking behavior of steel-fiber-reinforced concrete. Materials 2021, 14, 445. [Google Scholar] [CrossRef] [PubMed]
- Vijay, K.; Murmu, M.; Deo, S.V. Bacteria based self healing concrete–A review. Constr. Build. Mater 2017, 152, 1008–1014. [Google Scholar] [CrossRef]
- Kumari, C.; Das, B.; Jayabalan, R.; Davis, R.; Sarkar, P. Effect of nonureolytic bacteria on engineering properties of cement mortar. J. Mater. Civ. Eng. ASCE 2017, 29, 06016024. [Google Scholar] [CrossRef]
- Sierra-Beltran, M.G.; Jonkers, H.M.; Schlangen, E. Characterization of sustainable bio-based mortar for concrete repair. Constr. Build. Mater. 2014, 67 Pt C, 344–352. [Google Scholar] [CrossRef]
- Vijay, K.; Murmu, M. Effect of calcium lactate on compressive strength and self-healing of cracks in microbial concrete. Front. Struct. Civ. Eng. 2019, 13, 515–525. [Google Scholar] [CrossRef]
- Abo-El-Enein, S.A.; Ali, A.H.; Talkhan, F.N.; Abdel-Gawwad, H.A. Application of microbial bio cementation to improve the physical mechanical properties of cement mortar. HBRC J. 2019, 9, 36–40. [Google Scholar] [CrossRef]
- De Belie, N. Application of bacteria in concrete: A critical evaluation of the current status. RILEM Tech. Lett. 2016, 1, 56–61. [Google Scholar] [CrossRef]
- Tziviloglou, E.; Wiktor, V.; Jonkers, H.M.; Schlangen, E. Bacteria-based self-healing concrete to increase liquid tightness of cracks. Constr. Build. Mater. 2016, 122, 118–125. [Google Scholar] [CrossRef]
- Gupta, S.; Dai, P.S.; Wei, K.H. Autonomous healing in concrete by bio-based healing agents—A review. Constr. Build. Mater. 2017, 146, 419–428. [Google Scholar] [CrossRef]
- Alazhari, M.; Sharma, T.; Heath, A.; Cooper, R.; Paine, K. Application of expanded perlite encapsulated bacteria and growth media for self-healing concrete. Constr. Build. Mater. 2018, 160, 610–619. [Google Scholar] [CrossRef]
- Morsali, S.; Isildar, G.Y.; Zargari, Z.H.; Tahni, A. The application of bacteria as a main factor in self-healing concrete technology. J. Build. Pathol. Rehabil. 2019, 4, 7. [Google Scholar] [CrossRef]
- Priyom, S.N.; Islam, M.M.; Islam, G.M.S.; Islam, M.S.; Rahman, M.A.; Zawad, M.F.S.; Shumi, W. Efficacy of Bacillus Cereus Bacteria in Improving Concrete Properties through Bio-precipitation. Iran. J. Sci. Technol. Trans. Civ. Eng. 2023, 47, 3309–3320. [Google Scholar] [CrossRef]
- Adhikary, S.; Li, B.; Fujikake, K. Dynamic behavior of reinforced concrete beams under varying rates of concentrated loading. Int. J. Impact Eng. 2012, 47, 24–38. [Google Scholar] [CrossRef]
- IS456-2000; Code of Practice for Plain and Reinforced Concrete. Bureau of Indian Standards: New Dehli, India, 2000.
- Bao, X.; Demerchant, M.; Brown, A.; Bremner, T. Tensile and compressive strain measurement in the lab and field with the distributed Brillouin scattering sensor. J. Light. Technol. 2001, 19, 1698–1704. [Google Scholar]
- Roux, S.; Hild, F. Stress intensity factor measurements from digital image correlation: Post-processing and integrated approaches. Int. J. Fract. 2006, 140, 141–157. [Google Scholar] [CrossRef]
- Kim, B.; Weiss, W. Using acoustic emission to quantify damage in restrained fiber-reinforced cement mortars. Cem. Concr. Res. 2003, 33, 207–214. [Google Scholar] [CrossRef]
- Hafezolghorani, M.; Farzad, H.; Ramin, V.; Jaafar, M.S.B.; Karimzade, K. Simplified damage plasticity model for concrete. Struct. Eng. Int. 2017, 27, 68–78. [Google Scholar] [CrossRef]
- Yehia, S.; Abudayyeh, O.; Nabulsi, S.; Abdel-Qader, I. Detection of Common Defects in Concrete Bridge Decks Using Nondestructive Evaluation Techniques. J. Bridge Eng. 2007, 12, 215–225. [Google Scholar] [CrossRef]
- Hognestad, E. Study of Combined Bending and Axial Load in Reinforced Concrete Members; Engineering Experiment Station, University of Illinois at Urbana Champaign, College of Engineering: Champaign, IL, USA, 1951. [Google Scholar]
- Villain, G.; Sbartaï, Z.M.; Dérobert, X.; Garnier, V.; Balayssac, J.P. Durability diagnosis of a concrete structure in a tidal zone by combining NDT methods: Laboratory tests and case study. Constr. Build. Mater. 2012, 37, 893–903. [Google Scholar] [CrossRef]
- Bogas, J.; Gomes, M.; Gomes, A. Compressive strength evaluation of structural lightweight concrete by non-destructive ultrasonic pulse velocity method. Ultrasonics 2013, 53, 962–972. [Google Scholar] [CrossRef] [PubMed]
- Tran, Q.; Han, D.; Kang, C.; Haldar, A.; Huh, J. Effects of Ambient Temperature and relative humidity on subsurface defect detection in concrete structures by active thermal imaging. Sensors 2017, 17, 1718. [Google Scholar] [CrossRef] [PubMed]
- Murad, Y.; Tarawneh, A.; Arar, F.; Al-Zu’bi, A.; Al-Ghwairi, A.; Al-Jaafreh, A.; Tarawneh, M. Flexural strength prediction for concrete beams reinforced with FRP bars using gene expression programming. Structures 2021, 33, 3163–3172. [Google Scholar] [CrossRef]
- Xie, D.; Brantley, W.; Culbertson, B.; Wang, G. Mechanical properties and microstructures of glass-ionomer cements. Dent. Mater. Off. Publ. Acad. Dent. Mater. 2000, 162, 129–138. [Google Scholar] [CrossRef] [PubMed]
- Li, V.; Liang, E. Fracture processes in concrete and fiber reinforced cementitious composites. J. Eng. Mech. -ASCE 1986, 112, 566–586. [Google Scholar] [CrossRef]
- Abdel-Wahab, A.; Maligno, A.; Silberschmidt, V. Micro-scale modelling of bovine critical bone fracture: Analysis of crack propagation and microstructure using X-FEM. Comput. Mater. Sci. 2012, 52, 128–135. [Google Scholar] [CrossRef]
- Devi, K.; Saini, B.; Aggarwal, P. Micro-structural analysis of cement composites using stone waste: A review. IOP Conf. Ser. Mater. Sci. Eng. 2022, 1260, 012031. [Google Scholar] [CrossRef]
- Landis, E.; Keane, D. X-ray microtomography. Mater. Charact. 2010, 61, 1305–1316. [Google Scholar] [CrossRef]
- Kotula, P.; Rohrer, G.; Marsh, M. Focused ion beam and scanning electron microscopy for 3D materials characterization. MRS Bull. 2014, 39, 361–365. [Google Scholar] [CrossRef]
- Lange, D.; Jennings, H.; Shah, S. Relationship between fracture surface roughness and fracture behavior of cement paste and mortar. J. Am. Ceram. Soc. 1993, 76, 589–597. [Google Scholar] [CrossRef]
- Launey, M.; Ritchie, R. On the fracture toughness of advanced materials. Adv. Mater. 2009, 21, 2103–2110. [Google Scholar] [CrossRef]
- Miramini, S.; Sofi, M.; Aseem, A.; Baluwala, A.; Zhang, L.; Mendis, P.; Duffield, C. Health assessment of a pedestrian bridge deck using ground penetrating radar. Electron. J. Struct. Eng. 2018, 18, 30–37. [Google Scholar] [CrossRef]
- Tchalla, A.; Belouettar, S.; Makradi, A.; Zahrouni, H. An ABAQUS toolbox for multiscale finite element computation. Composites Part B Eng. 2013, 52, 323–333. [Google Scholar] [CrossRef]
- Lee, J.; Fenves, G.L. Plastic-damage model for cyclic loading of concrete structures. J. Eng. Mech. 2018, 124, 892–900. [Google Scholar] [CrossRef]
- Lubliner, J.; Oliver, J.; Oller, S.; Onate, E. A plastic-damage model. Int. J. Solids Struct. 1989, 25, 299–326. [Google Scholar] [CrossRef]
- Jin, C.Y.; Li, Y.Q.; Zhu, J.C.; Li, Y. A finite element analysis on compressive properties of ECC with PVA fibers. IOP Conf. Ser. Mater. Sci. Eng. 2019, 544, 11–16. [Google Scholar] [CrossRef]
- Sikadur®-31 IN 2-Part Thixotropic Structural Epoxy Adhesive. Available online: https://ind.sika.com/en/construction/concrete-repair/bonding-primers/sikadur-31-in.html (accessed on 3 February 2024).
- George, J.; Rama, J.K.; Kumar, M.S.; Vasan, A. Behavior of plain concrete beam subjected to three point bending using concrete damaged plasticity (CDP) model. Mater. Today Proc. 2017, 4, 9742–9746. [Google Scholar] [CrossRef]
- Hashim, D.T.; Hejazi, F.; Lei, V.Y. Simplified constitutive and damage plasticity models for UHPFRC with different types of fiber. Int. J. Concr. Struct. Mater. 2020, 14, 45. [Google Scholar] [CrossRef]
- An, D.; Zhang, Y.X.; Richard, C.Y. Numerical modelling of 3D concrete printing: Material models, boundary conditions and failure identification. Eng. Struct. 2024, 299, 104–117. [Google Scholar] [CrossRef]













| Sr No. | Types of Material | Specification | Applications |
|---|---|---|---|
| A. Concrete Repair | |||
| 1 | Bonding primer | Epoxy resin | Used as bonding agent between old and new concrete structures |
| 2 | Crack repair | Low-viscosity injection resin | Moisture incentive for sealing cracks > 5 mm |
| 3 | Site batch mortars | Synthetic rubber emulsion | Used for good adhesion and water resistance |
| 4 | Smoothing mortars | Epoxy-modified cement, thixotropic, fine-textured mortar | Used for levelling and finishing of concrete, mortar, or stone surfaces |
| 5 | Structural injection material | Low-viscosity injection resin | Moisture incentive for sealing cracks > 5 mm |
| B. Structural Strengthening | |||
| 1 | Prefabricated CFRP plates | Pultruded carbon fiber-reinforced polymer (CFRP) laminates | Strengthening concrete, timber, masonry, steel, and fiber-reinforced polymer structures |
| 2 | FRP fabrics | Uni-directional woven carbon fiber fabric | Strengthening concrete, timber, masonry, steel, and fiber-reinforced polymer structures |
| 3 | Structural adhesives | Epoxy impregnation resin | Structural strengthening application |
| C. Repairing Mortar | |||
| 1 | Cementitious mortars | Polymer-modified | Repairing mortar |
| 2 | Epoxy mortar | Epoxy resin | For surface sealing and patch repair/filling mortar |
| 3 | Additives for mortars | Synthetic rubber emulsion | For waterproofing and repair |
| Authors | Type of Material | Specimen Size | Loading | Properties of Material | Remarks |
|---|---|---|---|---|---|
| [17] | Polymer mortars | 250 mm × 60 mm × 30 mm notches 2 mm thick at different positions, i.e., 0, 24 mm, 48 mm, and 72 mm, towards the support. | Three-point load | - | Cracked mouth-opening displacement, cracked tip-opening displacement, and values of energy release rate. |
| [18] | Concrete and CFRP plate | 100 mm × 100 mm × 500 mm beams with notches at the center with depths of 10 mm, 20 mm, and 30 mm, wrapped in CFRP plates with lengths of 100 mm, 200 mm, and 350 mm. Thickness of CFRP at 1 mm and adhesive at 0.5 mm. | Three-point load | fck = 41.4 MPa EC = 32.89 GPa ECFRP = 150 GPa Eadhesive = 4.3 GPa MIConcrete = 8.3 × 106 mm4 | With and without CFRP-laminated plates, visually analysis the brittle failure, shear failures, and delaminate failure. |
| [19] | Foamed concrete | Foamed concrete beam 840 mm × 100 mm × 100 mm with a notch (5 mm thickness; 42 mm height) at the center. | Three-point load | EFoamed Concrete = 1000 GPa µFoamed Concrete = 0.2, ε = 0.2, φ = 15° | Extended finite element method (XFEM) model of foamed concrete. |
| [20] | Foamed concrete | Foamed concrete beam 750 mm × 150 mm × 150 mm with a 30 mm long V-notch at the center. | Cube compressive strength and three-point load test | concrete =2400 kg/m3, foamed concrete = 1400–1600 kg/m3 | Compressive strength of cube and fracture energy of foam concrete is lower. |
| [21] | RCC beam, CFRP, and adhesive | RCC beam sized 3000 mm × 200 mm × 300 mm with a notch at the center of beam and 4 mm thick CFRP plates applied using a 2 mm thick layer of adhesive. | Three-point load | EC = 30 GPa ECFRP = 140 GPa EAdhisieve = 3 GPa µc = 0.18 µCFRP = 0.28 µAdhesive = 0.35 | CFRP plates bond with the surface of the beam and significantly enhance the stiffness and ultimate load. |
| [22] | PCC beam | 1640 mm × 200 mm × 400 mm in size with a notch at the center (a/d = 0.5). | Three-point load | EC = 30,570 MPa fck = 21.9 MPa ftk = 2.4 MPa | Acoustic emission (AE) and digital image correlation (DIC) techniques. |
| [23] | PCC beam with a steel fiber hook | A 600 mm × 150 mm × 150 mm plain concrete beam with different notch depths of 13 mm, 25 mm, and 50 mm at the center, and the a/d ratios are 0.08, 0.16 and 0.33. | Three-point load | Steel fiber of 50 mm length, 1 mm diameter, and 1130 MPa tensile strength. The water/cement ratio is 0.55, and the cement/sand/aggregate ratio is 1:2.93:2.31. | a/d ratio notch is increased by 0.08, 0.16, and 0.33 as the load carrying capacity decreases. Due to presence of high volumes of steel fiber, the fracture energy increases with increases in the a/d ratio. |
| [1] | RCC beam with a rectangular section and a T section. | 1600 mm × 300 mm × 150 mm CFRP ropes were used for retrofitting and shear strengthening. | Three-point load | Compressive and tensile strengths of concrete were found to be 28.0 MPa and 2.70 MPa. The area of the CFRP rope was 28 mm2 and the modulus of elasticity was 240 GPa. | CFRP ropes improve the structural performance of deep RC beams by converting brittle shear failure into ductile flexural failure. |
| Authors | Materials | Name of Bacteria | Preparation of Specimen and Curing | Test Method | Result and Discussion |
|---|---|---|---|---|---|
| [30] | Cement, sand, aggregate, bacteria liquid, cyclic-enriched ureolytic powder (CERUP), and activated compact denitrifying core (ACDC) granules. | B. Cohni | Specimens cured in water for 28 days. | Compressive strength, water absorption and recovery of water tightness. | Compressive strength increased by 25%, water absorption decreased, and due to the aerobic oxidation of organic carbon O2 consumption by bacteria, the rebar corrosion was reduced. |
| [31] | Cement, sand, aggregate, with a ratio of 1:2.5 of water–bacterial liquid in a clay ball. | Genus. Bacillus | Specimens cured in water and a wet/dry cycle for 28 and 56 days. | Crack water permeability. Recovery of water tightness. Oxygen consumption measurements and ESEM analysis. | Crack permeability was lower than in normal concrete. |
| [27] | Portland slag cement and fine sand at a ratio of 1:6; bacterial solution w/c 0.55. | B. Cohni | Specimen cured in water for 28 days. | Standard consistency, setting time, cement soundness, compressive strength, sorptivity, drying shrinkage, microstructure, morphology, field emission scanning electron microscope (FESEM), and X-ray diffraction (XRD) techniques. | For 28 days, compressive strength increased by 49.8% and sorptivity decreased. |
| [28] | Portland cement, sand fly ash, silica fume, calcium lactate, calcium acetate, and encapsulated material. | S. Pastteurii and others ureolytic bacteria. | Specimen cured for 28 days. | Setting time of concrete, compressive strength, permeability, chloride ion permeability, and microstructure calcite. | Compressive strength increased and permeability decreased. |
| [32] | Cement, sand, bacterial liquid, encapsulated material. | Ureolytic bacteria | Specimen cured in buffer solution for 7 and 28 days. | Scanning electron microscope, compressive strength, permeability. | Permeability decrease. |
| [33] | Portland fly ash cement and sand at a ratio of 1:3; bacteria perlite, sodium silicate, water, calcium acetate, and yeast extract; w/c 0.5. | B. Pseudoformu | Specimens were cured in a controlled environment, then after demolding, the specimen was cured in water at 20 °C for 28 days. Cracked sample cured in a moist and humid environment for 165 days. | Surface water absorption and visualization of crack healing. | Water absorption decreases. |
| [29] | OPC, sand, and w/c 0.46 buffer solution. | B. Pasturi | Specimen cured in a humidity chamber with a relative humidity of 100% for 24 h. After demolding, the bacterial specimens were cured in buffer solution for 28 days. | Compressive strength and water absorption. | For 28 days, compressive strength increased by 33% and water absorption. |
| Portland cement, sand, water, and encapsulated material. | Ureolytic bacteria | Specimens cured for 28, 60, 90, 365, and 730 days. | Compressive strength, flexural strength, and water absorption. | Compressive strength and flexural strength increased, construction cost increased, and maintenance cost decreased. | |
| [34] | Portland cement, sand, water, and encapsulated material. | Bacillus Cereus | Specimen cured for 180 days. | Compressive and split tensile strength, ultrasonic pulse velocity and water absorption capacity. | Compressive and split tensile strengths were improved and reduced water absorption capacity. |
| References | Material Properties | Dimensions | Maximum Failure Load (N) | % Difference | |
|---|---|---|---|---|---|
| Published Results | Present Study Results | ||||
| [52] | E= 32.89 GPa and fck = 41.2 MPa | 500 mm × 100 mm × 100 mm, notch 10 mm × 10 mm × 100 mm. | 6933.3 | 6606 | 4.72 |
| [53] | fck = 38.24 MPa | L = 1200 mm, d = 200 and b = 100 mm. | 11,200 | 10,770 | 3.83 |
| fck = 54 MPa, ftk = 3.16 | L = 1400 mm, d = 230 mm and b = 140 mm. | 16,000 | 15,963 | 0.23 | |
| Material | fck (MPa) | ftk (MPa) | Modulus of Elasticity (MPa) | Density (kg/m3) | Poisson’s Ratio | Dilation Angle | Viscosity |
|---|---|---|---|---|---|---|---|
| Concrete | 40 | 4.6 | 32,890 | 2400 | 0.2 | 31° | 0.00001 |
| Repairing Material | Density | Compressive Strength (N/mm2) | Modulus of Elasticity (MPa) | Poisson’s Ratio |
|---|---|---|---|---|
| Cement mortar | 2200 (kg/m3) | 36.22 in 28 days | 14,108.08 [60] | 0.2 |
| Bacterial mortar | 2200 (kg/m3) | 63.43 in 28 days | 30,387.43 [60] | 0.2 |
| Adhesive | 1.8 (kg/lit) | 65 in 15 days | 11,000 [61] | 0.25 |
| Parameters | Experimental | Numerical |
|---|---|---|
| Coefficients | p1 = −0.0364, p2 = 7.745 | p1 = −0.0496, p2 = 8.259 |
| R2 | 0.984 | 0.973 |
| RMSE | 0.288 | 0.522 |
Disclaimer/Publisher’s Note: The statements, opinions and data contained in all publications are solely those of the individual author(s) and contributor(s) and not of MDPI and/or the editor(s). MDPI and/or the editor(s) disclaim responsibility for any injury to people or property resulting from any ideas, methods, instructions or products referred to in the content. |
© 2024 by the authors. Licensee MDPI, Basel, Switzerland. This article is an open access article distributed under the terms and conditions of the Creative Commons Attribution (CC BY) license (https://creativecommons.org/licenses/by/4.0/).
Share and Cite
Khan, W.; Akhtar, S.; Rawat, A.; Basu, A. Experimental and Numerical Study on Flexural Behavior of Concrete Beams Using Notches and Repair Materials. Sustainability 2024, 16, 2723. https://doi.org/10.3390/su16072723
Khan W, Akhtar S, Rawat A, Basu A. Experimental and Numerical Study on Flexural Behavior of Concrete Beams Using Notches and Repair Materials. Sustainability. 2024; 16(7):2723. https://doi.org/10.3390/su16072723
Chicago/Turabian StyleKhan, Waseem, Saleem Akhtar, Aruna Rawat, and Anindya Basu. 2024. "Experimental and Numerical Study on Flexural Behavior of Concrete Beams Using Notches and Repair Materials" Sustainability 16, no. 7: 2723. https://doi.org/10.3390/su16072723
APA StyleKhan, W., Akhtar, S., Rawat, A., & Basu, A. (2024). Experimental and Numerical Study on Flexural Behavior of Concrete Beams Using Notches and Repair Materials. Sustainability, 16(7), 2723. https://doi.org/10.3390/su16072723

