Evaluating Fuel Cell vs. Battery Electric Trucks: Economic Perspectives in Alignment with China’s Carbon Neutrality Target
Abstract
1. Introduction
2. Methods and Data
2.1. Framework
2.2. TCO Model
2.2.1. Vehicle Cost
2.2.2. Energy Cost
2.2.3. M&R Cost
2.2.4. Vehicle Residual Value
2.3. Vehicle Model
2.3.1. Case Definition
2.3.2. Energy Consumption and Storage Sizing
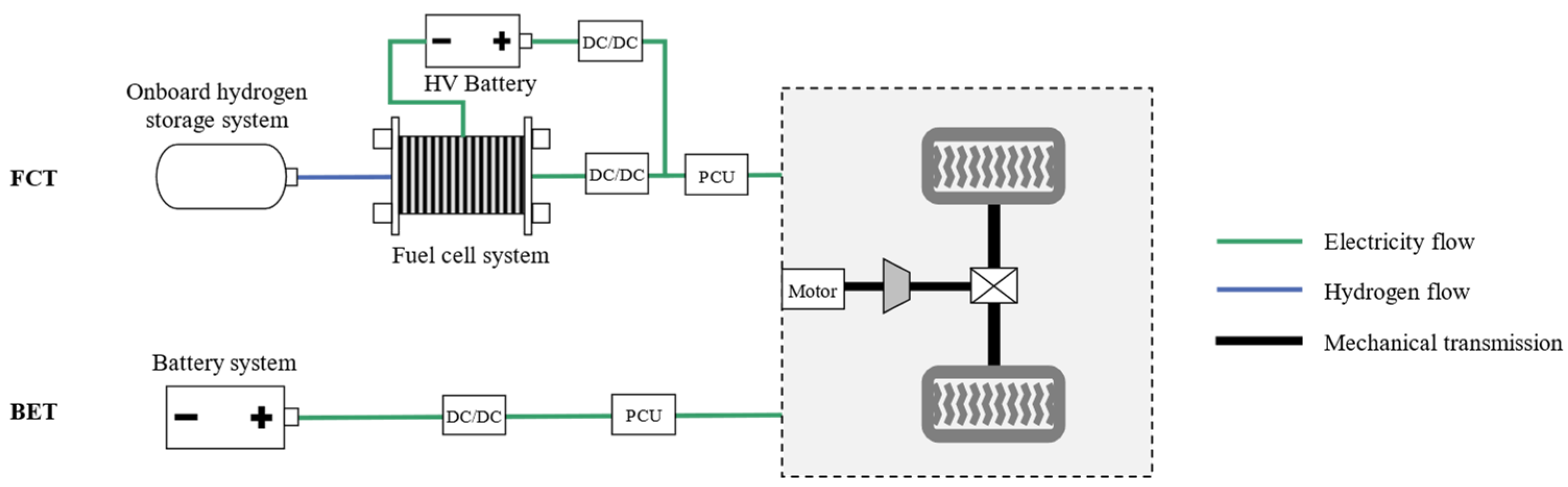
2.3.3. Powertrain Sizing
Motor
Fuel Cell System
Battery
2.3.4. Loading Capacity
2.4. Station Model
2.4.1. Hydrogen Refueling Station
2.4.2. Battery Charging Station
2.4.3. Battery Swapping Station
3. Results
3.1. TCO Results
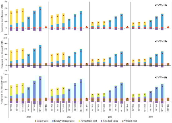
3.2. Vehicle Cost Results
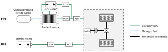
3.3. Loading Mass Evaluation
3.4. LCOR Results
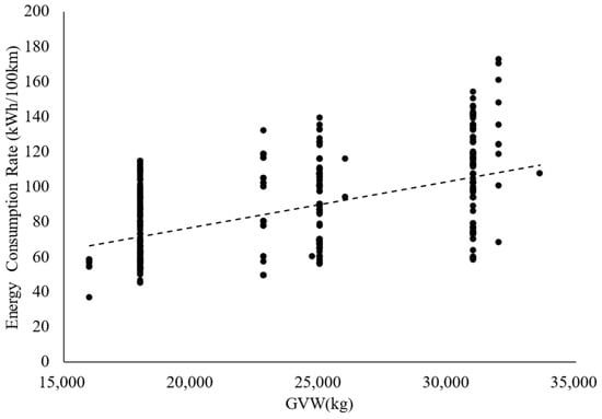
3.5. Results Validation
3.6. Key Parameter Analysis
4. Conclusions
- (1)
- In the TCO analysis of FCTs, the hydrogen energy price emerges as a crucial economic factor due to its significant contribution to the overall costs. For BETs, vehicle costs, especially those associated with the battery, become predominant as the size class and driving range increase. Thus, cost reduction strategies for FCTs should focus on hydrogen fuel prices, while for BETs, the emphasis should be on reducing vehicle-related expenses. Consequently, policy measures in emerging markets should be tailored to address these distinct areas for FCTs and BETs, with subsidies and R&D investments directed accordingly.
- (2)
- As the driving range extends, the TCO disparity between FCTs and BETs diminishes, reaching parity beyond 1000 km. This study forecasts a cost-equivalent range of 1180 km by 2035, a distance achievable by current diesel trucks, positioning fuel cell technology as a more cost-effective option for long-haul heavy-duty transportation. The price of renewable electricity significantly impacts the economic feasibility of both FCTs and BETs. This study projects that by 2035, if the cost of renewable energy electricity falls to 0.022 USD/kWh, FCTs and BETs with a 1000 km range will reach cost parity, highlighting the crucial role of energy pricing in the competitiveness of these technologies.
- (3)
- Throughout the various scenarios in this study, battery-swapping heavy trucks consistently exhibit optimal economic performance. However, this does not account for infrastructure considerations. The efficiency gain from quick battery swaps in heavy-duty trucks is counterbalanced by the necessity for more frequent battery swapping stations due to the 200 km driving mileage limit. This requirement places greater emphasis on the development and deployment of battery swapping station infrastructure for long-distance transportation.
Author Contributions
Funding
Data Availability Statement
Conflicts of Interest
Nomenclature
| BCS | Battery charging stations |
| BET | Battery electric truck |
| BETs-BS | Battery electric trucks with battery swapping |
| BETs-BC | Battery electric trucks with battery charging |
| BSS | Battery swapping station |
| FCT | Fuel cell truck |
| GHG | Greenhouse gas |
| GVW | Gross Vehicle Weight |
| HDT | Heavy-duty truck |
| HRS | Hydrogen refueling station |
| ICE | Internal combustion engine |
| LCOE | Levelized cost of electricity |
| LCOR | Levelized cost of replenishing |
| M&R | Maintenance and Repair |
| RV | Residual value |
| TCO | Total cost of ownership |
References
- SAE-China. Annual Report on Automotive Industry in China (2020); Social Sciences Academic Press: Beijing, China, 2020. [Google Scholar]
- Xue, L.; Liu, D. Decarbonizing China’s Road Transport Sector: Strategies toward Carbon Neutrality; WRI: Beijing, China, 2022. [Google Scholar]
- Lattanzio, R.K. Heavy-Duty Vehicles, Air Pollution, and Climate Change; CRS: Washington, DC, USA, 2023.
- European Commission CO2 Emission Standards for Heavy-Duty Vehicles. Available online: https://ec.europa.eu/commission/presscorner/detail/en/qanda_23_763 (accessed on 14 January 2024).
- Barbosa, F.C. Heavy Duty Diesel Emission Standards Regulation Evolution Review—Current Outcomes and Future Perspectives; SAE Technical Paper; SAE: Warrendale, PA, USA, 2020. [Google Scholar]
- Zhang, X.; Hao, X.; Liu, Y.; Wu, R.; Shan, X.; Li, S. Contribution of Potential Clean Trucks in Carbon Peak Pathway of Road Freight Based on Scenario Analysis: A Case Study of China. J. Clean. Prod. 2022, 379, 134669. [Google Scholar] [CrossRef]
- Ledna, C.; Muratori, M.; Yip, A.; Jadun, P.; Hoehne, C. Decarbonizing Medium- & Heavy-Duty On-Road Vehicles: Zero-Emission Vehicles Cost Analysis; National Renewable Energy Lab: Golden, CO, USA, 2022; p. 1854583.
- Burke, A.F.; Zhao, J.; Miller, M.R.; Sinha, A.; Fulton, L.M. Projections of the Costs of Medium- and Heavy-Duty Battery-Electric and Fuel Cell Vehicles (2020–2040) and Related Economic Issues. Energy Sustain. Dev. 2023, 77, 101343. [Google Scholar] [CrossRef]
- Basma, H.; Buysse, C.; Zhou, Y.; Rodríguez, F. Total Cost of Ownership of Alternative Powertrain Technologies for Class 8 Long-Haul Trucks in the United States; International Council on Clean Transportation: Washington, DC, USA, 2023. [Google Scholar]
- Noll, B.; del Val, S.; Schmidt, T.S.; Steffen, B. Analyzing the Competitiveness of Low-Carbon Drive-Technologies in Road-Freight: A Total Cost of Ownership Analysis in Europe. Appl. Energy 2022, 306, 118079. [Google Scholar] [CrossRef]
- Basma, H.; Rodríguez, F. A Total Cost of Ownership Comparison of Truck Decarbonization Pathways in Europe; International Council on Clean Transportation: Washington, DC, USA, 2023. [Google Scholar]
- Basma, H.; Zhou, Y.; Rodríguez, F. Fuel-Cell Hydrogen Long-Haul Trucks in Europe: A Total Cost of Ownership Analysis; International Council on Clean Transportation: Washington, DC, USA, 2022. [Google Scholar]
- Wang, Z.; Acha, S.; Bird, M.; Sunny, N.; Stettler, M.E.J.; Wu, B.; Shah, N. A Total Cost of Ownership Analysis of Zero Emission Powertrain Solutions for the Heavy Goods Vehicle Sector. J. Clean. Prod. 2024, 434, 139910. [Google Scholar] [CrossRef]
- Mao, S.; Basma, H.; Ragon, P.-L.; Zhou, Y.; Rodríguez, F. Total Cost of Ownership for Heavy Trucks in China: Battery Electric, Fuel Cell, and Diesel Trucks; International Council on Clean Transportation: Washington, DC, USA, 2021. [Google Scholar]
- Wang, B.; Li, Z.; Zhou, J.; Cong, Y.; Li, Z. Technological-Economic Assessment and Optimization of Hydrogen-Based Transportation Systems in China: A Life Cycle Perspective. Int. J. Hydrogen Energy 2023, 48, 12155–12167. [Google Scholar] [CrossRef]
- Zhang, X.; Lin, Z.; Crawford, C.; Li, S. Techno-Economic Comparison of Electrification for Heavy-Duty Trucks in China by 2040. Transp. Res. Part D Transp. Environ. 2022, 102, 103152. [Google Scholar] [CrossRef]
- Zhao, D.; Ren, H.; Chen, C.; Li, Y.; Jin, Y.; Liu, J.; Lv, L. Commercial Vehicles’ Total Cost of Ownership in China, Compared with the U.S.; Energy Foundation China: Beijing, China, 2022. [Google Scholar]
- Basma, H.; Saboori, A.; Rodríguez, F. Total Cost of Ownership for Tractor-Trailers in Europe: Battery Electric versus Diesel; International Council on Clean Transportation: Washington, DC, USA, 2021. [Google Scholar]
- Nair, V.; Stone, S.; Rogers, G.; Pillai, S. Medium and Heavy-Duty Electrification Costs for MY 2027–2030; Environmental Defense Fund, ROUSH: New York, NY, USA, 2022. [Google Scholar]
- Phadke, A.; Khandekar, A.; Abhyankar, N.; Wooley, D.; Rajagopal, D. Why Regional and Long-Haul Trucks Are Primed for Electrification Now; Lawrence Berkeley National Laboratory: Berkeley, CA, USA, 2021.
- Ballard. Fuel Cell Electric Trucks: An Analysis of Hybrid Vehicle Specifications for Regional Freight Transport; North American Council for Freight Efficiency: Fort Wayne, IN, USA, 2020. [Google Scholar]
- Fiquet, F.; King, A.; Skipton-Carter, A.; Bulut, Ö. Future heavy truck propulsion system solutions including their impact on total cost of ownership. In Heavy-Duty-, On-Und Off-Highway-Motoren 2020; Liebl, J., Ed.; Springer Fachmedien Wiesbaden: Wiesbaden, Germany, 2021; pp. 43–65. [Google Scholar]
- Burke, A.; Sinha, A. Technology, Sustainability, and Marketing of Battery Electric and Hydrogen Fuel Cell Medium-Duty and Heavy-Duty Trucks and Buses in 2020–2040; National Center for Sustainable Transportation: Long Beach, CA, USA, 2020. [Google Scholar]
- ITF. Decarbonising Europe’s Trucks: How to Minimise Cost Uncertainty; OECD: Paris, Italy, 2022. [Google Scholar]
- Rout, C.; Li, H.; Dupont, V.; Wadud, Z. A Comparative Total Cost of Ownership Analysis of Heavy Duty On-Road and Off-Road Vehicles Powered by Hydrogen, Electricity, and Diesel. Heliyon 2022, 8, e12417. [Google Scholar] [CrossRef] [PubMed]
- Gilleon, S.; Penev, M.; Hunter, C. Powertrain Performance and Total Cost of Ownership Analysis for Class 8 Yard Tractors and Refuse Trucks; National Renewable Energy Laboratory: Golden, CO, USA, 2022.
- Hao, X.; Ou, S.; Lin, Z.; He, X.; Bouchard, J.; Wang, H.; Li, L. Evaluating the Current Perceived Cost of Ownership for Buses and Trucks in China. Energy 2022, 254, 124383. [Google Scholar] [CrossRef]
- Wang, Z.; Liu, Y.; Lin, Z.; Hao, H.; Li, S. Techno-Economic Comparison on Charging Modes of Battery Heavy-Duty Vehicles in Short-Haul Delivery: A Case Study of China. J. Clean. Prod. 2023, 425, 138920. [Google Scholar] [CrossRef]
- Zhu, F.; Li, L.; Li, Y.; Li, K.; Lu, L.; Han, X.; Du, J.; Ouyang, M. Does the Battery Swapping Energy Supply Mode Have Better Economic Potential for Electric Heavy-Duty Trucks? eTransportation 2023, 15, 100215. [Google Scholar] [CrossRef]
- Hunter, C.; Penev, M.; Reznicek, E.; Lustbader, J.; Birky, A.; Zhang, C. Spatial and Temporal Analysis of the Total Cost of Ownership for Class 8 Tractors and Class 4 Parcel Delivery Trucks; National Renewable Energy Lab (NREL): Golden, CO, USA, 2021.
- SinoSynergy Products and Technology. Available online: https://www.sinosynergypower.com/ (accessed on 18 January 2024).
- SinoHytec Hydrogen Fuel Cell System. Available online: https://www.sinohytec.com/ (accessed on 18 January 2024).
- Marcinkoski, J.; Vijayagopal, R.; Adams, J.; James, B.; Kopasz, J. Hydrogen Class 8 Long Haul Truck Targets; DOE Advanced Truck Technologies; DOE: Washington, DC, USA, 2019.
- NEDO. FCV-HDV Fuel Cell Technology Roadmap; Hydrogen and Fuel Cell Strategy Council: Beijing, China, 2023. [Google Scholar]
- China SAE. Energy-Saving and New Energy Vehicle Technology Roadmap 2.0; China Society of Automotive Engineers: Shanghai, China, 2020. [Google Scholar]
- GUOFUHEE Hydrogen Products. Available online: https://en.guofuhee.com/site/products (accessed on 18 January 2024).
- Chen, S.; Xiao, Y.; Zhang, C.; Lu, X.; He, K.; Hao, J. Cost Dynamics of Onshore Wind Energy in the Context of China’s Carbon Neutrality Target. Environ. Sci. Ecotechnol. 2023, 19, 100323. [Google Scholar] [CrossRef] [PubMed]
- Yang, F.; Xu, C.; Sun, J. Design and Analysis of Parallel Hybrid Electric Vehicles for Heavy-Duty Truck Applications in a Total Cost of Ownership Framework; SAE Technical Paper; SAE: Warrendale, PA, USA, 2018. [Google Scholar]
- Wang, G.; Miller, M.; Fulton, L. Estimating Maintenance and Repair Costs for Battery Electric and Fuel Cell Heavy Duty Trucks; University of California: Berkeley, CA, USA, 2022. [Google Scholar]
- Yunzhe, J.; Chengbin, S.; Yibo, Z.; Wei, Z. Technical and Economic Analysis of Battery Replacement Heavy Truck in Typical Scenarios. J. Ind. Technol. Econ. 2022, 41, 154–160. [Google Scholar]
- China Federation of Logistics and Purchasing Employment Status of Truck Drivers in 2022. Available online: http://www.chinawuliu.com.cn/lhhzq/202304/07/603134.shtml (accessed on 24 December 2023).
- Chu, Y. Leading Cities for New Energy Urban Logistics Vehicles; International Council on Clean Transportation: Washington, DC, USA, 2023. [Google Scholar]
- Ji, R. Optimal Design and Energy Management of Power System for Full-Power Fuel Cell Vehicle. Master’s Thesis, Jilin University, Changchun, China, 2020. [Google Scholar]
- Wang, X. Lifecycle Cost Pricing Method of Hydrogen Energy Considering Carbon Emission. Master’s Thesis, Tsinghua University, Beijing, China, 2023. [Google Scholar]
- Xuan, Z.; Xinye, F.; Zhenyu, W.; Lijun, Z. Hydrogen energy supply chain cost analysis and suggestions. Chem. Ind. Eng. Prog. 2022, 41, 2364–2371. [Google Scholar] [CrossRef]
- Abramson, E.; McFarlane, D. United States EV Fast-Charging Corridor Road Map; Carbon Solutions LLC: Singapore, 2023. [Google Scholar]
- Suzan, S. Unlocking Electric Trucking in the EU: Recharging along Highways; Transport & Environment: Brussels, Belgium, 2021. [Google Scholar]
- Liang, Y. Charge and Battery Swap Pricing Model and Polices of Electric Vehicles. Ph.D. Dissertation, North China Electric Power University, Beijing, China, 2018. [Google Scholar]













| Regions | TCO Components | Energy Price Assumptions | Main Findings |
|---|---|---|---|
| US [7] | Truck purchase; Fuel; O&M | Charging: 0.18 USD/kWh Hydrogen: 4 USD/kg | The cost of BETs and FCTs can still be equivalent to ICE counterparts by 2035 even without policy intervention. |
| US [8] | Truck purchase; Fuel; O&M | Charging: 0.27 USD/kWh Hydrogen: 7 USD/kg | BETs will achieve TCO parity with their ICE counterparts by 2025. FCTs will achieve TCO parity with their ICE counterparts by 2030. |
| US [9] | Truck purchase; Fuel; O&M; Taxes; Insurance | Charging: 0.17–0.30 USD/kWh Hydrogen: 11 USD/kg | By 2030, the TCO for long-haul BETs is expected to be more advantageous, while FCTs might not reach cost parity with conventional trucks until after 2040. |
| EU [10] |
Truck purchase; Fuel; O&M; Tolls; Insurance | - | BETs have already achieved TCO parity with ICE counterparts with supportive policies including toll reductions and purchase subsidies. |
| EU [11] | Truck purchase; Fuel; O&M; Tolls; CO2 Charges; Insurance | Charging: 0.21 EUR/kWh Hydrogen: 10.3 EUR/kg | BETs are expected to become the most cost-effective decarbonization route for trucks in Europe and are likely to achieve parity with diesel trucks by 2030. |
| EU [12] | Truck purchase; Fuel; O&M; Taxes | Hydrogen: 3.50–7.95 EUR/kg | In Europe, the TCO of long-haul FCTs can be equivalent to diesel trucks by 2030, provided that the price of green hydrogen drops to around 4 EUR/kg. |
| UK [13] | Truck purchase; Fuel; O&M; Taxes; Insurance | Charging: 0.177 GBP/kWh; Hydrogen: 5.80 GBP/kg | For short-haul transportation, BETs are more competitive in the market, while FCTs may be more suitable for long-haul transportation. |
| China [14] | Truck purchase; Fuel; O&M; Incentives | Charging: 0.80–1.20 RMB/kWh Hydrogen: 49.6–75.7 RMB/kg | By 2035, BETs could achieve cost parity with diesel trucks in all segmented markets; by 2040, the TCO of FCTs will be almost equivalent to diesel trucks. |
| China [15] | Truck purchase; Fuel; O&M; Insurance; Environmental cost | Hydrogen: 30 RMB/kg | With the reduction in hydrogen fuel costs, FCTs will become a more economically viable option. |
| China [16] | Truck purchase; Fuel; O&M; Insurance; Environmental cost | Charging: 0.51–0.77 RMB/kWh Hydrogen: 31.81 RMB/kg | The cost of FCTs has decreased the most, but they are still expected to have the highest cost by 2040. |
| Vehicle Type | Unit | Rigid | Articulated | |
|---|---|---|---|---|
| Gross Vehicle Weight | kg | 16,000 | 25,000 | 49,000 |
| Driving mileage | km | 500/800/1000 | ||
| Vehicle lifespan | yrs | 5 | ||
| Daily operation time | hrs | 20 | ||
| Average speed | km/h | 60 | ||
| Working days per year | days | 260 | ||
| Glider cost | USD | 7065 | 18,000 | 34,487 |
| Drivetrain cost | USD/kW | 11 | ||
| FCT special | ||||
| Current | 2035 | |||
| FCS cost | USD/kW | 368 | 74 | |
| HSS cost | USD/kg | 662 | 294 | |
| HV battery cost | USD/kWh | 176 | 118 | |
| BET special | ||||
| Battery system cost | USD/kWh | 147 | 95 | |
| Parameter | Unit | Value | ||
|---|---|---|---|---|
| 16 t | 25 t | 49 t | ||
| Vehicle parameters | ||||
| Gross mass | kg | 16,000 | 25,000 | 49,000 |
| Number of axles | 2 | 3 | 2 + 4 | |
| Windward area | m2 | 7.7 | 7.76 | 7.8 |
| Rolling resistance | 0.01 | |||
| Drag coefficient | 0.9 | |||
| Performance indicators (full load) | ||||
| Maximum speed | km/h | 110 | 110 | 110 |
| Maximum gradient | rad | 20 | 20 | 20 |
| Acceleration time | s | 20 | 20 | 20 |
| Parameter | Unit | Value |
|---|---|---|
| Maximum number of vehicles served | Vehicles/hour | 8 |
| Daily operation time | hrs | 24 |
| Working days per year | days | 300 |
| Station lifespan | yrs | 10 |
| Station utilization rate | 50% | |
| Grid capacity expansion (for BCSs, BSSs) | USD/MW | 147,059 |
| Initial equipment cost for HRSs | ||
| Hydrogen storage | USD/kg | 882 |
| Hydrogen compression | USD | 294,118 |
| Hydrogen dispenser and cooling | USD | 441,176 |
| Other | USD | 147,059 |
| Initial equipment cost for BCSs | ||
| Charging rate | C | 2 |
| Number of charging pile | 5 | |
| Price of charging pile | USD | 257,059 |
| Initial equipment cost for BSSs | ||
| Price of battery swapping equipment | USD | 441,176 |
| Number of backup batteries | 32 | |
Disclaimer/Publisher’s Note: The statements, opinions and data contained in all publications are solely those of the individual author(s) and contributor(s) and not of MDPI and/or the editor(s). MDPI and/or the editor(s) disclaim responsibility for any injury to people or property resulting from any ideas, methods, instructions or products referred to in the content. |
© 2024 by the authors. Licensee MDPI, Basel, Switzerland. This article is an open access article distributed under the terms and conditions of the Creative Commons Attribution (CC BY) license (https://creativecommons.org/licenses/by/4.0/).
Share and Cite
Mu, Z.; Zhao, F.; Bai, F.; Liu, Z.; Hao, H. Evaluating Fuel Cell vs. Battery Electric Trucks: Economic Perspectives in Alignment with China’s Carbon Neutrality Target. Sustainability 2024, 16, 2427. https://doi.org/10.3390/su16062427
Mu Z, Zhao F, Bai F, Liu Z, Hao H. Evaluating Fuel Cell vs. Battery Electric Trucks: Economic Perspectives in Alignment with China’s Carbon Neutrality Target. Sustainability. 2024; 16(6):2427. https://doi.org/10.3390/su16062427
Chicago/Turabian StyleMu, Zhexuan, Fuquan Zhao, Fanlong Bai, Zongwei Liu, and Han Hao. 2024. "Evaluating Fuel Cell vs. Battery Electric Trucks: Economic Perspectives in Alignment with China’s Carbon Neutrality Target" Sustainability 16, no. 6: 2427. https://doi.org/10.3390/su16062427
APA StyleMu, Z., Zhao, F., Bai, F., Liu, Z., & Hao, H. (2024). Evaluating Fuel Cell vs. Battery Electric Trucks: Economic Perspectives in Alignment with China’s Carbon Neutrality Target. Sustainability, 16(6), 2427. https://doi.org/10.3390/su16062427

