Optimal Energy Storage Configuration of Prosumers with Uncertain Photovoltaic in the Presence of Customized Pricing-Based Demand Response
Abstract
1. Introduction
- (1)
- The majority of the existing literature on two-layer optimal electricity pricing focuses on consumer behavior. However, with the rapid advancement of renewable energy technologies, the imbalance between energy supply and demand has intensified. The integration of PV power generation and energy storage will wield considerable influence over the formulation of electricity pricing. Likewise, these pricing frameworks will also impact the deployment strategies for PV systems and energy storage solutions.
- (2)
- Prevailing two-layer electricity price optimization predominantly concentrates on TOU or real-time electricity pricing, neglecting a comprehensive examination of diverse pricing models such as auxiliary service subsidy rates and on-grid electricity price. Nevertheless, the establishment of these varied electricity pricing schemes plays a pivotal role in fostering the assimilation of new energy technologies and expanding the capacity of energy storage facilities at the consumer level. For instance, the implementation of auxiliary service subsidies serves as an effective strategy for mitigating the substantial initial investment costs associated with energy storage solutions.
- (3)
- The existing literature on electricity pricing often overlooks the load characteristics of prosumers, resulting in a lack of specificity in pricing formulation. For instance, variations in peak, off-peak, and flat periods of electricity consumption are not adequately accounted for, despite their significance in determining optimal pricing structures. Additionally, the introduction of renewable energy sources significantly alters the consumer’s load curve, directly influencing the efficacy of pricing strategies.
| References | Prosumer | Demand Price /TOU Price | On-Grid Price /Auxiliary Subsidy Price | Load Feature | PV Uncertainty | Energy Storage Configuration |
|---|---|---|---|---|---|---|
| [1] | × | ×/× | ×/× | √ | √ | √ |
| [5] | √ | ×/× | ×/× | √ | √ | √ |
| [6] | √ | ×/√ | ×/× | √ | × | × |
| [13] | √ | ×/√ | ×/× | √ | × | × |
| [16] | × | ×/√ | ×/× | √ | × | × |
| [26] | × | ×/× | √/× | × | √ | √ |
- •
- Addressing the variances in users’ electricity consumption behaviors, this paper proposes a two-layer iterative customized pricing strategy designed to incentivize user participation in demand response initiatives;
- •
- The upper VPP pricing incorporates two-part electricity price, on-grid electricity and auxiliary service subsidy. Concurrently, lower-tier prosumers optimize their benefits through an energy storage configuration model that accounts for PV uncertainties and auxiliary service. This comprehensive approach aims to encourage users to judiciously manage the costs associated with power supply and consumption;
- •
- This paper conducts simulations and analyses across various pricing strategies, evaluating aspects such as energy trading volumes, energy storage configurations, and PV output. The results serve to validate the rationale and efficacy of the proposed customized pricing-based demand response framework.
2. System Framework
2.1. The Pricing Model of VPP
2.1.1. The Model of TOU Price
2.1.2. The Model of Demand Electricity Price
2.1.3. The Model of On-Grid Price
2.1.4. The Model of Auxiliary Service Subsidy Price
2.2. The Optical Storage Configuration Model of Prosumers
2.2.1. The Model of PV Uncertainty
2.2.2. The Model of Energy Storage Cost
3. The Solution of the Model
3.1. Upper Layer: The VPP Model
3.2. Lower Layer: The Prosumer Model
3.3. The Process of Solving
4. Case Study
4.1. The Results of Period Partition and Pricing
4.2. Analysis of Optimization Results of PV Uncertainty
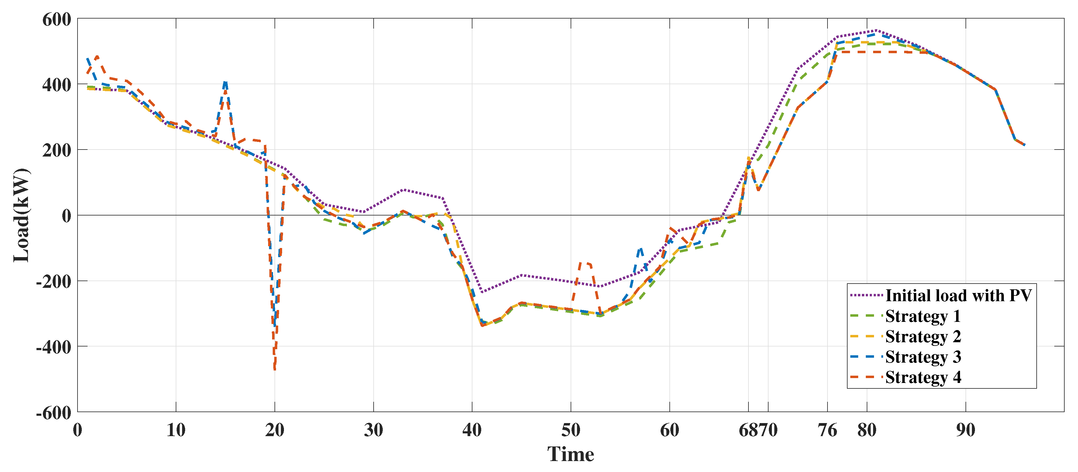
4.3. The Influence of Different Pricing Strategies on Energy Storage Configuration
4.4. The Influence of Different Pricing Strategies on Electricity Trading
4.5. The Impact of Different Pricing Strategies on the Benefit of Prosumers
5. Conclusions
Author Contributions
Funding
Institutional Review Board Statement
Informed Consent Statement
Data Availability Statement
Conflicts of Interest
References
- Mashlakov, A.; Pournaras, E.; Nardelli, P.H.; Honkapuro, S. Decentralized cooperative scheduling of prosumer flexibility under forecast uncertainties. Appl. Energy 2021, 290, 116706. [Google Scholar] [CrossRef]
- Venegas-Zarama, J.F.; Muñoz-Hernandez, J.I.; Baringo, L.; Diaz-Cachinero, P.; De Domingo-Mondejar, I. A review of the evolution and main roles of virtual power plants as key stakeholders in power systems. IEEE Access 2022, 10, 47937–47964. [Google Scholar] [CrossRef]
- Zheng, J.; Liang, Z.T.; Li, Y.; Li, Z.; Wu, Q.H. Multi-Agent Reinforcement Learning with Privacy Preservation for Continuous Double Auction-Based P2P Energy Trading. IEEE Trans. Ind. Inform. 2024. early access. [Google Scholar] [CrossRef]
- Li, P.; Wang, Z.; Wang, J.; Yang, W.; Guo, T.; Yin, Y. Two-stage optimal operation of integrated energy system considering multiple uncertainties and integrated demand response. Energy 2021, 225, 120256. [Google Scholar] [CrossRef]
- Liu, N.; Yu, X.; Wang, C.; Wang, J. Energy sharing management for microgrids with PV prosumers: A Stackelberg game approach. IEEE Trans. Ind. Inform. 2017, 13, 1088–1098. [Google Scholar] [CrossRef]
- Celebi, E.; Fuller, J.D. Time-of-use pricing in electricity markets under different market structures. IEEE Trans. Power Syst. 2012, 27, 1170–1181. [Google Scholar] [CrossRef]
- Wang, Z.; Sun, M.; Gao, C.; Wang, X.; Ampimah, B.C. A new interactive real-time pricing mechanism of demand response based on an evaluation model. Appl. Energy 2021, 295, 117052. [Google Scholar] [CrossRef]
- Shen, M.; Chen, J. Optimization of peak-valley pricing policy based on a residential electricity demand model. J. Clean Prod. 2022, 380, 134761. [Google Scholar] [CrossRef]
- Simshauser, P. Distribution network prices and solar PV: Resolving rate instability and wealth transfers through demand tariffs. Energy Econ. 2016, 54, 108–122. [Google Scholar] [CrossRef]
- He, Y.; Pang, Y.; Zhang, J.; Xia, T.; Zhang, T. Feed-in tariff mechanisms for large-scale wind power in China. Renew. Sust. Energy Rev. 2015, 51, 9–17. [Google Scholar] [CrossRef]
- Xu, Z.; Guo, Y.; Sun, H. Competitive pricing game of virtual power plants: Models, strategies, and equilibria. IEEE Trans. Smart Grid 2022, 13, 4583–4595. [Google Scholar] [CrossRef]
- Kong, X.; Lu, W.; Wu, J.; Wang, C.; Zhao, X.; Hu, W.; Shen, Y. Real-time pricing method for VPP demand response based on PER-DDPG algorithm. Energy 2023, 271, 127036. [Google Scholar] [CrossRef]
- Wang, L.; Yang, Y.; Dong, C.; Morosuk, T.; Tsatsaronis, G. Multi-objective optimization of coal-fired power plants using differential evolution. Appl. Energy 2014, 115, 254–264. [Google Scholar] [CrossRef]
- Arriola, E.R.; Ubando, A.T.; Chen, W.H. A bibliometric review on the application of fuzzy optimization to sustainable energy technologies. Int. J. Energy Res. 2022, 46, 6–27. [Google Scholar] [CrossRef]
- Nazari-Heris, M.; Mohammadi-Ivatloo, B. Application of robust optimization method to power system problems. In Classical and Recent Aspects of Power System Optimization; Academic Press: Cambridge, MA, USA, 2018; pp. 19–32. [Google Scholar]
- Huang, C.; Yue, D.; Xie, J.; Li, Y.; Wang, K. Economic dispatch of power systems with virtual power plant based interval optimization method. CSEE J. Power Energy Syst. 2016, 2, 74–80. [Google Scholar] [CrossRef]
- Kingma, D.P.; Ba, J. Adam: A method for stochastic optimization. arXiv 2014, arXiv:1412.6980. [Google Scholar]
- Zheng, J.; Guo, J.; Li, Z.; Wu, Q.; Zhou, X. Optimal design for a multi-level energy exploitation unit based on hydrogen storage combining methane reactor and carbon capture, utilization and storage. J. Energy Storage 2023, 62, 106929. [Google Scholar] [CrossRef]
- Kong, X.; Wang, Z.; Liu, C.; Zhang, D.; Gao, H. Refined peak shaving potential assessment and differentiated decision-making method for user load in virtual power plants. Appl. Energy 2023, 334, 120609. [Google Scholar] [CrossRef]
- Zhang, T.; Qiu, W.; Zhang, Z.; Lin, Z.; Ding, Y.; Wang, Y.; Wang, L.; Yang, L. Optimal bidding strategy and profit allocation method for shared energy storage-assisted VPP in joint energy and regulation markets. Appl. Energy 2023, 329, 120158. [Google Scholar] [CrossRef]
- Abbassi, A.; Ben Mehrez, R.; Abbassi, R.; Jerbi, H.; Saidi, S.; Jemli, M. Eco-feasibility study of a distributed power generation system driven by renewable green energy sources. Energy Sources Part A Recover. Util. Environ. Eff. 2022, 44, 3981–3999. [Google Scholar] [CrossRef]
- Abbassi, A.; Mehrez, R.B.; Abbassi, R.; Saidi, S.; Albdran, S.; Jemli, M. Improved off-grid wind/photovoltaic/hybrid energy storage system based on new framework of Moth-Flame optimization algorithm. Int. J. Energy Res. 2022, 46, 6711–6729. [Google Scholar] [CrossRef]
- Yang, Y.; Bremner, S.; Menictas, C.; Kay, M. Modelling and optimal energy management for battery energy storage systems in renewable energy systems: A review. Renew. Sust. Energy Rev. 2022, 167, 112671. [Google Scholar] [CrossRef]
- Dinh, H.T.; Yun, J.; Kim, D.M.; Lee, K.H.; Kim, D. A home energy management system with renewable energy and energy storage utilizing main grid and electricity selling. IEEE Access 2020, 8, 49436–49450. [Google Scholar] [CrossRef]
- Sikorski, T.; Jasiński, M.; Ropuszyńska-Surma, E.; Węglarz, M.; Kaczorowska, D.; Kostyła, P.; Leonowicz, Z.; Lis, R.; Rezmer, J.; Rojewski, W.; et al. A case study on distributed energy resources and energy-storage systems in a virtual power plant concept: Economic aspects. Energies 2019, 12, 4447. [Google Scholar] [CrossRef]
- Li, B.; Ghiasi, M. A new strategy for economic virtual power plant utilization in electricity market considering energy storage effects and ancillary services. J. Electr. Eng. Technol. 2021, 16, 2863–2874. [Google Scholar] [CrossRef]
- Abdullah, W.S.W.; Osman, M.; Ab Kadir, M.Z.A.; Verayiah, R.; Ab Aziz, N.F.; Rasheed, M.A. Techno-economics analysis of battery energy storage system (BESS) design for virtual power plant (VPP)—A case study in Malaysia. J. Energy Storage 2021, 38, 102568. [Google Scholar] [CrossRef]
- Szott, M.; Wermiński, S.; Jarnut, M.; Kaniewski, J.; Benysek, G. Battery energy storage system for emergency supply and improved reliability of power networks. Energies 2021, 14, 720. [Google Scholar] [CrossRef]
- Huang, W.; Zhang, X.; Li, K.; Zhang, N.; Strbac, G.; Kang, C. Resilience oriented planning of urban multi-energy systems with generalized energy storage sources. IEEE Trans. Power Syst. 2021, 37, 2906–2918. [Google Scholar] [CrossRef]
- Ma, X.; Pan, Y.; Zhang, M.; Ma, J.; Yang, W. A study of licensing strategies for energy storage technologies in the renewable electricity supply chain under government subsidies. J. Clean Prod. 2023, 420, 138343. [Google Scholar] [CrossRef]
- Zakeri, B.; Cross, S.; Dodds, P.E.; Gissey, G.C. Policy options for enhancing economic profitability of residential solar photovoltaic with battery energy storage. Appl. Energy 2021, 290, 116697. [Google Scholar] [CrossRef]
- Yang, Z.; Gao, T.; Liu, Y.; Huang, X.; Gao, S.; Zhao, Q.; Ding, H. A two-stage pricing strategy for electric vehicles participating in emergency power supply for important loads. Electr. Power Syst. Res. 2023, 218, 109239. [Google Scholar] [CrossRef]
- Mermoud, A.; Lejeune, T. Performance assessment of a simulation model for PV modules of any available technology. In Proceedings of the 25th European Photovoltaic Solar Energy Conference, Valencia, Spain, 6–10 September 2010; Volume 1, pp. 6–10. [Google Scholar]
- Thevenard, D.; Pelland, S. Estimating the uncertainty in long-term photovoltaic yield predictions. Sol. Energy 2013, 91, 432–445. [Google Scholar] [CrossRef]
- Zhang, Y.; Jin, Z.; Mirjalili, S. Generalized normal distribution optimization and its applications in parameter extraction of photovoltaic models. Energy Conv. Manag. 2020, 224, 113301. [Google Scholar] [CrossRef]
- Mandelbrot, B.B.; Mandelbrot, B.B. The Variation of Certain Speculative Prices; Springer: Berlin/Heidelberg, Germany, 1997. [Google Scholar]
- Wang, L.; Chen, J.; Peng, K.; Zhao, Y.; Zhang, X. Reward fairness-based optimal distributed real-time pricing to enable supply–demand matching. Neurocomputing 2021, 427, 1–12. [Google Scholar] [CrossRef]
- Park, J.; Kim, Y.; Eom, I.; Lee, K. Economic load dispatch for piecewise quadratic cost function using Hopfield neural network. IEEE Trans. Power Syst. 1993, 8, 1030–1038. [Google Scholar] [CrossRef]
- Low, S.H.; Lapsley, D.E. Optimization flow control. I. Basic algorithm and convergence. IEEE/ACM Trans. Netw. 1999, 7, 861–874. [Google Scholar] [CrossRef]
- Mohsenian-Rad, A.H.; Wong, V.W.; Jatskevich, J.; Schober, R.; Leon-Garcia, A. Autonomous demand-side management based on game-theoretic energy consumption scheduling for the future smart grid. IEEE Trans. Smart Grid 2010, 1, 320–331. [Google Scholar] [CrossRef]
- Samadi, P.; Mohsenian-Rad, A.H.; Schober, R.; Wong, V.W.; Jatskevich, J. Optimal real-time pricing algorithm based on utility maximization for smart grid. In Proceedings of the 2010 First IEEE International Conference on Smart Grid Communications, Gaithersburg, MD, USA, 4–6 October 2010; pp. 415–420. [Google Scholar]
- Jiang, X.; Nan, G.; Liu, H.; Guo, Z.; Zeng, Q.; Jin, Y. Optimization of battery energy storage system capacity for wind farm with considering auxiliary services compensation. Appl. Sci. 2018, 8, 1957. [Google Scholar] [CrossRef]
- Boyang, S.; Yin, X.; Ying, W. Optimal configuration and economic analysis of user-side energy storage participating in ancillary services. China Power 2023, 56, 164–170+178. [Google Scholar]
- Gurobi Optimization, LLC. Gurobi Optimizer Reference Manual; Gurobi Optimization, LLC.: Beaverton, OR, USA, 2021. [Google Scholar]






| Subject | TOU Price (CNY/kWh) | On-Grid Price (CNY/kWh) | Demand Price (CNY/kW) | Demand Respond (CNY/kWh) | Emergency Supply (CNY/kWh) | ||
|---|---|---|---|---|---|---|---|
| Peak | Flat | Valley | |||||
| Prosumer 1 | 0.518 | 1.508 | 0.775 | 0.243 | 30.515 | 12.194 | 22.847 |
| Prosumer 2 | 0.656 | 1.581 | 1.015 | ||||
| Prosumer 3 | 0.672 | 1.591 | 1.034 | ||||
| Subject | Prosumer 1 | Prosumer 2 | Prosumer 3 | Total |
|---|---|---|---|---|
| Deterministic | 3751.25 | 499.18 | 2935.34 | 7185.77 |
| Uncertain | 4268.20 | 562.23 | 3366.55 | 8196.97 (↑10%) |
| Subject | Strategy 1 | Strategy 2 | Strategy 3 | Strategy 4 | ||
|---|---|---|---|---|---|---|
| 20 Time | 48 Time | 90 Time | ||||
| Prosumer 1 | 30 | 132 | 113 | 211 | 223 | 122 |
| Prosumer 2 | 21 | 18 | 22 | 22 | 22 | 18 |
| Prosumer 3 | 11 | 141 | 148 | 164 | 164 | 149 |
| Total | 62 | 291 | 283 | 397 | 409 | 289 |
| Subject | Strategy 1 | Strategy 2 | Strategy 4 | ||
|---|---|---|---|---|---|
| 20 Time | 48 Time | 90 Time | |||
| Prosumer 1 | 21,779 | 22,974 | 23,000 | 23,382 | 22,779 |
| Prosumer 2 | 1129 | 1226 | 1227 | 1273 | 1217 |
| Prosumer 3 | 14,565 | 16,150 | 16,153 | 16,285 | 16,023 |
| Total | 37,473 | 40,350 | 40,380 | 40,940 | 40,019 |
Disclaimer/Publisher’s Note: The statements, opinions and data contained in all publications are solely those of the individual author(s) and contributor(s) and not of MDPI and/or the editor(s). MDPI and/or the editor(s) disclaim responsibility for any injury to people or property resulting from any ideas, methods, instructions or products referred to in the content. |
© 2024 by the authors. Licensee MDPI, Basel, Switzerland. This article is an open access article distributed under the terms and conditions of the Creative Commons Attribution (CC BY) license (https://creativecommons.org/licenses/by/4.0/).
Share and Cite
Pan, L.; Chen, J. Optimal Energy Storage Configuration of Prosumers with Uncertain Photovoltaic in the Presence of Customized Pricing-Based Demand Response. Sustainability 2024, 16, 2230. https://doi.org/10.3390/su16062230
Pan L, Chen J. Optimal Energy Storage Configuration of Prosumers with Uncertain Photovoltaic in the Presence of Customized Pricing-Based Demand Response. Sustainability. 2024; 16(6):2230. https://doi.org/10.3390/su16062230
Chicago/Turabian StylePan, Luwen, and Jiajia Chen. 2024. "Optimal Energy Storage Configuration of Prosumers with Uncertain Photovoltaic in the Presence of Customized Pricing-Based Demand Response" Sustainability 16, no. 6: 2230. https://doi.org/10.3390/su16062230
APA StylePan, L., & Chen, J. (2024). Optimal Energy Storage Configuration of Prosumers with Uncertain Photovoltaic in the Presence of Customized Pricing-Based Demand Response. Sustainability, 16(6), 2230. https://doi.org/10.3390/su16062230
